Бутадиен-1,3 ГОСТ Р 55066-2012
Бутадиен-1,3. Технические условия ГОСТ Р 55066-2012
НАЦИОНАЛЬНЫЙ СТАНДАРТ РОССИЙСКОЙ ФЕДЕРАЦИИ
БУТАДИЕН-1,3
Технические условия
Butadiene-1,3. Specifications
ОКС 71.080.10
ОКП 24 1124
Дата введения 2014-01-01
Предисловие
1 РАЗРАБОТАН Открытым акционерным обществом Научно-исследовательский институт "Ярсинтез" (ОАО НИИ "Ярсинтез") и Федеральным государственным унитарным предприятием "Всероссийский научно-исследовательский центр стандартизации, информации и сертификации сырья, материалов и веществ" (ФГУП "ВНИЦСМВ")
2 ВНЕСЕН Техническим комитетом по стандартизации ТК 60 "Химия"
3 УТВЕРЖДЕН И ВВЕДЕН В ДЕЙСТВИЕ Приказом Федерального агентства по техническому регулированию и метрологии от 14 ноября 2012 г. N 764-ст
4 ВВЕДЕН ВПЕРВЫЕ
Правила применения настоящего стандарта установлены в ГОСТ Р 1.0-2012 (раздел 8). Информация об изменениях к настоящему стандарту публикуется в ежегодном (по состоянию на 1 января текущего года) информационном указателе "Национальные стандарты", а официальный текст изменений и поправок - в ежемесячном информационном указателе "Национальные стандарты". В случае пересмотра (замены) или отмены настоящего стандарта соответствующее уведомление будет опубликовано в ближайшем выпуске ежемесячного информационного указателя "Национальные стандарты". Соответствующая информация, уведомление и тексты размещаются также в информационной системе общего пользования - на официальном сайте Федерального агентства по техническому регулированию и метрологии в сети Интернет
1 Область применения
Настоящий стандарт распространяется на бутадиен-1,3, предназначенный для производства синтетических каучуков, латексов, хлоропрена и термоэластопластов.
Формулы:
эмпирическая C4H6
структурная 
Относительная молекулярная масса бутадиена-1,3 (по международным атомным массам 2011 г.) - 54,09.
2 Нормативные ссылки
В настоящем стандарте использованы нормативные ссылки на следующие стандарты:
ГОСТ 4-84 Углерод четыреххлористый технический. Технические условия
ГОСТ 12.1.007-76 Система стандартов безопасности труда. Вредные вещества. Классификация и общие требования безопасности
ГОСТ 12.4.021-75 Система стандартов безопасности труда. Системы вентиляционные. Общие требования
ГОСТ 61-75 Реактивы. Кислота уксусная. Технические условия
ГОСТ 400-80 Термометры стеклянные для испытаний нефтепродуктов. Технические условия
ГОСТ 427-75 Линейки измерительные металлические. Технические условия
ГОСТ 701-89 Кислота азотная концентрированная. Технические условия
ГОСТ 1277-75 Реактивы. Серебро азотнокислое. Технические условия
ГОСТ 1510-84 Нефть и нефтепродукты. Маркировка, упаковка, транспортирование и хранение
ГОСТ 1770-74 (ISO 1042-83, ISO 4788-80) Посуда мерная лабораторная стеклянная. Цилиндры, мензурки, колбы, пробирки. Общие технические условия
ГОСТ 2156-76 натрий двууглекислый. Технические условия
ГОСТ 2603-79 Реактивы. Ацетон. Технические условия
ГОСТ 2694-78 Изделия пенодиатомитовые и диатомитовые теплоизоляционные. Технические условия
ГОСТ 2768-84 Ацетон технический. Технические условия
ГОСТ 3022-80 Водород технический. Технические условия
ГОСТ 3118-77 Реактивы. кислота соляная. Технические условия
ГОСТ 3164-78 Масло вазелиновое медицинское. Технические условия
ГОСТ 3652-69 Реактивы. Кислота лимонная моногидрат и безводная. Технические условия
ГОСТ 3760-79 Реактивы. аммиак водный. Технические условия
ГОСТ 3773-72 Реактивы. Аммоний хлористый. Технические условия
ГОСТ 4165-78 Реактивы. Медь (II) сернокислая 5-водная. Технические условия
ГОСТ 4197-74 Реактивы. Натрий азотистокислый. Технические условия
ГОСТ 4202-75 Реактивы. калий йодноватокислый. Технические условия
ГОСТ 4204-77 Реактивы. Кислота серная. Технические условия
ГОСТ 4212-76 Реактивы. Методы приготовления растворов для колориметрического и нефелометрического анализа
ГОСТ 4232-74 Реактивы. Калий йодистый. Технические условия
ГОСТ 4328-77 Реактивы. Натрия гидроокись. Технические условия
ГОСТ 4461-77 Реактивы. Кислота азотная. Технические условия
ГОСТ 4517-87 Реактивы. Методы приготовления вспомогательных реактивов и растворов, применяемых при анализе
ГОСТ 4919.1-77 Реактивы и особо чистые вещества. Методы приготовления растворов индикаторов
ГОСТ 5456-79 Реактивы. Гидроксиламина гидрохлорид. Технические условия
ГОСТ 5955-75 Реактивы. Бензол. Технические условия
ГОСТ 6709-72-->ГОСТ 6709-72 Вода дистиллированная. Технические условия
ГОСТ 6995-77 Реактивы. метанол-яд. Технические условия
ГОСТ 7222-75 Проволока из золота, серебра и их сплавов. Технические условия
ГОСТ 8050-85 Двуокись углерода газообразная и жидкая. Технические условия
ГОСТ 8864-71 Реактивы. Натрия N,N-диэтилдитиокарбамат 3-водный. Технические условия
ГОСТ 9147-80 Посуда и оборудование лабораторные фарфоровые. Технические условия
ГОСТ 9293-74 (ИСО 2435-73) Азот газообразный и жидкий. Технические условия
ГОСТ 9656-75 Реактивы. Кислота борная. Технические условия
ГОСТ 10157-79 Аргон газообразный и жидкий. Технические условия
ГОСТ 10163-76 Реактивы. Крахмал растворимый. Технические условия
ГОСТ 10652-73 Реактивы. Соль динатриевая этилендиамин-N,N,N',N'-тетрауксусной кислоты 2-водная (трилон б). Технические условия
ГОСТ 10873-73 Аммоний сернокислый (Сульфат аммония) очищенный. Технические условия
ГОСТ 11086-76 Гипохлорит натрия. Технические условия
ГОСТ 12026-76 Бумага фильтровальная лабораторная. Технические условия
ГОСТ 12162-77 Двуокись углерода твердая. Технические условия
ГОСТ 13032-77 Жидкости полиметилсилоксановые. Технические условия
ГОСТ 14192-96 Маркировка грузов
ГОСТ 14921-78 Газы углеводородные сжиженные. Методы отбора проб
ГОСТ 17299-78 Спирт этиловый технический. Технические условия
ГОСТ 17433-80 Промышленная чистота. Сжатый воздух. Классы загрязненности
ГОСТ 18270-72 Кислота уксусная особой чистоты. Технические условия
ГОСТ 18300-87 Спирт этиловый ректификованный технический. Технические условия
ГОСТ 20015-88 Хлороформ. Технические условия
ГОСТ 20289-74 Реактивы. Диметилформамид. Технические условия
ГОСТ 22967-90 Шприцы медицинские инъекционные многократного применения. Общие технические требования и методы испытаний
ГОСТ 24363-80 Реактивы. Калия гидроокись. Технические условия
ГОСТ 25336-82 Посуда и оборудование лабораторные стеклянные. Типы, основные параметры и размеры
ГОСТ 25706-83 Лупы. Типы, основные параметры. Общие технические требования
ГОСТ 27025-86 Реактивы. Общие указания по проведению испытаний
ГОСТ 27068-86 Реактивы. натрий серноватистокислый (натрия тиосульфат) 5-водный. Технические условия
ГОСТ 28498-90 Термометры жидкостные стеклянные. Общие технические требования. Методы испытаний
ГОСТ 29169-91 (ИСО 648-77) Посуда лабораторная стеклянная. Пипетки с одной отметкой
ГОСТ 29227-91 (ИСО 835-1-81) Посуда лабораторная стеклянная. Пипетки градуированные. Часть 1. Общие требования
ГОСТ 29251-91 (ИСО 385-1-84) Посуда лабораторная стеклянная. Бюретки. Часть 1. Общие требования
ГОСТ 31340-2013 Предупредительная маркировка химической продукции. Общие требования
ГОСТ Р 51330.5-99 (МЭК 60079-4-75) Электрооборудование взрывозащищенное. Часть 4. Метод определения температуры самовоспламенения
ГОСТ Р 51330.11-99 (МЭК 60079-12-78) Электрооборудование взрывозащищенное. Часть 12. Классификация смесей газов и паров с воздухом по безопасным экспериментальным максимальным зазорам и минимальным воспламеняющим токам
ГОСТ Р 51723-2001 Спирт этиловый питьевой 95%-ный. Технические условия
ГОСТ Р 53228-2008 Весы неавтоматического действия. Часть 1. Метрологические и технические требования. Испытания
ГОСТ Р 54562-2011 известь хлорная. Технические условия
Примечание - При пользовании настоящим стандартом целесообразно проверить действие ссылочных стандартов в информационной системе общего пользования - на официальном сайте Федерального агентства по техническому регулированию и метрологии в сети Интернет или по ежегодному информационному указателю "Национальные стандарты", который опубликован по состоянию на 1 января текущего года, и по выпускам ежемесячного информационного указателя "Национальные стандарты" за текущий год. Если заменен ссылочный стандарт, на который дана недатированная ссылка, то рекомендуется использовать действующую версию этого стандарта с учетом всех внесенных в данную версию изменений. Если заменен ссылочный стандарт, на который дана датированная ссылка, то рекомендуется использовать версию этого стандарта с указанным выше годом утверждения (принятия). Если после утверждения настоящего стандарта в ссылочный стандарт, на который дана датированная ссылка, внесено изменение, затрагивающее положение, на которое дана ссылка, то это положение рекомендуется применять без учета данного изменения. Если ссылочный стандарт отменен без замены, то положение, в котором дана ссылка на него, рекомендуется применять в части, не затрагивающей эту ссылку.
3 Технические требования
3.1 Бутадиен-1,3 изготовляют в соответствии с требованиями настоящего стандарта по технологическому регламенту, утвержденному в установленном порядке.
3.2 Характеристики
3.2.1 В зависимости от назначения бутадиен-1,3 изготовляют двух марок:
- марки А - для производства синтетических каучуков методом стереоспецифической полимеризации, синтетических каучуков и латексов методом эмульсионной полимеризации, хлоропрена;
- марки Б - для производства хлоропрена, синтетических каучуков и латексов методом эмульсионной полимеризации.
3.2.2 По физико-химическим показателям бутадиен-1,3 должен соответствовать требованиям и нормам, указанным в таблице 1.
Таблица 1 - Физико-химические показатели
|
Наименование показателя |
Норма для марки |
Метод анализа |
||
|
А |
Б |
|||
|
Высший сорт |
Первый сорт |
Первый сорт |
||
|
1 Внешний вид |
Бесцветная или желтоватая жидкость |
По 7.3 |
||
|
2 Массовая доля бутадиена-1,3, %, не менее |
99,3 |
99,0 |
98,0 |
По 7.4 |
|
3 Массовая доля легколетучих углеводородов (C2,C3), %, не более |
0,10 |
0,20 |
0,40 |
По 7.4 |
|
4 Массовая доля циклопентадиена, %, не более |
0,0010 |
0,0010 |
Не нормируют |
По 7.5 |
|
5 Массовая доля азотистых соединений (в пересчете на азот), %, не более |
0,003 |
0,003 |
0,020 |
По 7.6 |
|
в том числе массовая доля аммиака (в пересчете на азот), %, не более |
0,0010 |
0,0010 |
Не определяют |
По 7.7 |
|
6 Массовая доля карбонильных соединений в пересчете на Ацетон, %, не более |
0,005 |
0,005 |
0,006 |
По 7.8 |
|
7 Массовая доля монозамещенных ацетиленовых углеводородов, %, не более |
0,005 |
0,005 |
0,020 |
По 7.9 |
|
8 Массовая доля алленовых углеводородов, %, не более |
0,03 |
0,03 |
Не нормируют |
По 7.10 |
|
9 Массовая доля тяжелого остатка, %, не более |
0,10 |
0,10 |
0,30 |
По 7.11 |
|
10 Массовая доля меди, %, не более |
Не нормируют |
Не нормируют |
0,00005 |
По 7.12 |
|
11 Массовая доля перекисных соединений (в пересчете на активный Кислород), %, не более |
0,0003 |
0,0010 |
0,0010 |
По 7.13 и 7.15 |
|
12 Массовая доля ингибитора, %: |
||||
|
- пара-трет-бутилпирокатехина (ТБК) |
0,005-0,01 |
0,005-0,01 |
0,005-0,01 |
По 7.14 |
|
- древесно-смоляного (ДСИ) |
0,01-0,03 |
0,01-0,03 |
0,01-0,03 |
По 7.14 |
|
- ИПОН-11011 |
0,005-0,01 |
0,005-0,01 |
0,005-0,01 |
По 7.15 |
|
13 Содержание нерастворенной влаги |
Отсутствие |
Отсутствие |
Отсутствие |
По 7.3 |
3.3 Маркировка
3.3.1 Транспортная маркировка - по ГОСТ 14192 с нанесением манипуляционного знака "Беречь от солнечных лучей", а также в соответствии с правилами перевозки, действующими на соответствующем виде транспорта.
3.3.2 Каждая грузовая единица должна иметь маркировку, характеризующую степень опасности груза при перевозке железнодорожным транспортом, по правилам [1]:
- класс опасности - 2;
- классификационный шифр - 2112;
- классификационный код - F2;
- знак опасности - рисунок 2.1;
- номер ООН - 1010;
- транспортное наименование: БУТАДИЕНЫ СТАБИЛИЗИРОВАННЫЕ или БУТАДИЕНОВ И УГЛЕВОДОРОДОВ СМЕСЬ СТАБИЛИЗИРОВАННАЯ, имеющая при 70 °С давление паров, не превышающее 1,1 МПа (11 бар), и имеющая при 50 °С плотность не менее 0,525 кг/л;
- номер аварийной карточки - 206 (при транспортировании по железной дороге).
3.3.3 Предупредительная маркировка - по ГОСТ 31340.
3.4 Упаковка
Упаковку бутадиена-1,3 проводят по ГОСТ 1510.
4 Требования безопасности
4.1 Бутадиен-1,3 при нормальных условиях - бесцветный газ с характерным запахом, в 1,92 раза тяжелее воздуха.
Жидкий бутадиен-1,3 - бесцветная или слегка желтоватая, прозрачная легкоподвижная жидкость.
4.2 По степени воздействия на организм бутадиен-1,3 относится к малоопасным веществам (4-й класс опасности по ГОСТ 12.1.007). Предельно допустимая концентрация паров в воздухе рабочей зоны - 100 мг/м3 в соответствии с гигиеническими нормативами [2].
4.3 Бутадиен-1,3 при высоких концентрациях в воздухе действует угнетающе на нервную систему, в малых концентрациях раздражает слизистые оболочки глаз и верхних дыхательных путей. В организме не накапливается.
4.4 Местное действие бутадиена-1,3, попавшего на кожу, проявляется в обморожении за счет быстрого испарения продукта. Общее действие на человека: острое отравление, характеризующееся общей слабостью, сонливостью, головной болью, шумом в ушах, ощущением опьянения.
Согласно санитарным правилам и нормам [3] бутадиен-1,3 относится к химическим канцерогенным факторам производства, в связи с чем обращение с ним должно быть основано на указанных правилах [3].
4.5 Первая (доврачебная) помощь при острых отравлениях - свежий воздух, молоко, а при отсутствии дыхания - искусственное дыхание. При попадании жидкого бутадиена-1,3 на кожу следует смыть его теплой водой с мылом.
4.6 При производстве и применении бутадиена-1,3 должны выполняться требования санитарно-эпидемиологических правил [4].
Обеспечение безопасности производственного процесса должно обеспечиваться следующими мероприятиями:
- оборудованием производственных помещений общеобменной приточно-вытяжной и местной вытяжной вентиляцией по ГОСТ 12.4.021;
- герметичностью производственного оборудования, коммуникаций, тары, вентиляционных систем; на участках, трудно поддающихся герметизации, следует предусматривать местные отсосы;
- максимальной автоматизацией и механизацией технологических процессов;
- систематическим надзором за состоянием воздуха в рабочих помещениях;
- проведением предварительного (при приеме на работу) и периодических (один раз в год) медицинских осмотров рабочих в соответствии с действующим законодательством;
- обеспечением рабочих индивидуальными средствами защиты в соответствии с типовыми отраслевыми нормами (спецодежда, спецобувь, защитные очки, перчатки, средства защиты органов дыхания).
4.7 Средства индивидуальной защиты - фильтрующий противогаз марки БКФ при объемной доле паров бутадиена-1,3 в воздухе 0,5%. При более высоких концентрациях - кислородно-изолирующий прибор.
4.8 Бутадиен-1,3 - горючий газ.
Температура самовоспламенения паров в воздухе - 430 °С.
Концентрационные пределы распространения пламени:
- нижний - 2,0%;
- верхний - 11,5%.
Средства пожаротушения: пенный или углекислотный огнетушитель, песок, огнетушащие газовые или аэрозольные составы.
Категория и группа взрывоопасных смесей ПВ-Т2 - согласно ГОСТ Р 51330.5 и ГОСТ Р 51330.11.
4.9 При разливе необходимо отключить электроэнергию (при аварийном положении), проветрить помещение. При разливе больших количеств бутадиена-1,3 в закрытых помещениях следует применять инертные газы.
5 Требования охраны окружающей среды
5.1 Бутадиен-1,3 при попадании в воздух, водоем или почву способен вызвать вредное воздействие на биологические объекты.
Предельно допустимая концентрация (ПДК) бутадиена-1,3 в атмосферном воздухе населенных мест составляет: максимально разовая - 3 мг/м3, среднесуточная - 1 мг/м3, лимитирующий показатель - рефлекторно резорбтивный, класс опасности - 4 в соответствии с гигиеническими нормативами [5].
Предельно допустимая концентрация бутадиена-1,3 для воды хозяйственно-бытовых водоемов - 0,05 мг/дм3, 4-й класс опасности в соответствии с гигиеническими нормативами [6].
При взаимодействии с объектами внешней среды бутадиен-1,3 вторичных опасных продуктов не образует.
5.2 Основными средствами защиты природной среды от вредных воздействий бутадиена-1,3 являются следующие мероприятия:
- использование для хранения и транспортирования бутадиена-1,3 герметичных емкостей и трубопроводов;
- исключение сброса бутадиена-1,3 в атмосферу и канализацию;
- емкости для хранения бутадиена-1,3 размещаются на обвалованных площадках, с которых предусмотрен выпуск атмосферных осадков.
5.3 Бутадиен в воздухе определяется колориметрическим (по реакции азосочетания) или хроматографическим методом.
6 Правила приемки
6.1 Бутадиен-1,3 поставляют партиями.
Партией считают любое количество продукта, однородного по показателям качества и сопровождаемого документом о качестве.
Документ о качестве должен содержать:
- наименование предприятия-изготовителя, его товарный знак и юридический адрес;
- наименование, марку продукта и код ОКП;
- номер партии и дату изготовления;
- массу нетто;
- результаты анализа;
- обозначение настоящего стандарта.
6.2 Для проверки соответствия качества бутадиена-1,3 отбирают пробу из резервуара с товарным продуктом или из каждой четвертой цистерны маршрута. Если партия состоит из трех цистерн, пробу отбирают из двух цистерн. В документе о качестве приводят результат анализа пробы из товарного резервуара или среднеарифметическое значение результатов анализа, отобранных из цистерн проб.
6.3 Предприятие-изготовитель проводит приемо-сдаточные и периодические испытания бутадиена-1,3 на соответствие требованиям, указанным в таблице 1, при этом частоту периодических испытаний устанавливает само предприятие, но не менее одного раза в три месяца.
Приемо-сдаточные испытания проводят на каждой партии бутадиена-1,3, периодические - на двух партиях.
6.4 Допускается предприятиям-изготовителям определять массовую долю циклопентадиена, аммиака, карбонильных и ацетиленовых соединений в бутадиене-1,3 до стабилизации его ингибитором.
Допускается в зимний период времени с 1 ноября по 1 апреля поставлять бутадиен-1,3 с массовой долей ингибитора ТБК не менее 0,002%, ДСИ - не менее 0,005%.
6.5 При использовании ингибитора ИПОН-11011 определение массовой доли перекисных соединений проводят по 7.15.
Определение показателя 4 (таблица 1) обязательно только для бутадиена, получаемого дегидрированием бутана.
Определение показателя 10 (таблица 1) обязательно только для бутадиена, выделяемого хемосорбцией с медно-аммиачными солями.
6.6 При получении неудовлетворительных результатов анализа хотя бы по одному из показателей проводят повторный анализ по этому показателю на удвоенном количестве проб, взятых от той же партии.
Результаты повторного анализа являются окончательными и распространяются на всю партию.
7 Методы контроля
7.1 Общие указания
7.1.1 Общие указания по проведению анализа - по ГОСТ 27025.
7.1.2 Допускается применение других средств измерения с метрологическими характеристиками и оборудования с техническими характеристиками не хуже, а также реактивов по качеству не ниже указанных в настоящем стандарте.
7.1.3 Все применяемые средства измерений должны быть поверены, испытательное оборудование - аттестовано.
7.1.4 Допускается при определении по 7.6; 7.8.1; 7.9.1; 7.13.2 пользоваться для титрования растворами с поправочными коэффициентами.
7.1.5 Для обработки хроматограмм и результатов измерений рекомендуется использовать электронные системы сбора и обработки хроматографических данных.
7.1.6 При наличии электронного обеспечения для установления градуировочной характеристики (фотометрические методы измерений) расчет уравнения линейной зависимости проводят с использованием специального программного обеспечения.
7.1.7 Результаты измерений округляют до того количества значащих цифр, которому соответствует норма по данному показателю.
7.2 Отбор проб
7.2.1 Отбор пробы бутадиена-1,3 из резервуара и железнодорожных цистерн проводят по ГОСТ 14921.
7.2.2 Пробу бутадиена-1,3 объемом 0,4-1,5 дм3 отбирают в металлический пробоотборник по ГОСТ 14921 или другой пробоотборник (толстостенная бутылка), испытанный на давление 0,25 МПа и охлаждаемый до температуры минус 10 °С - минус 20 °С.
В последнем случае пробу используют для анализа по любому показателю, кроме определений аммиака и монозамещенных ацетиленовых соединений.
7.2.3 Для проведения испытаний по отдельным показателям (углеводородный состав, циклопентадиен и др.) пробу бутадиена-1,3 объемом 10-30 см3 отбирают в контейнер, представляющий собой склянку вместимостью 70-100 см3, с пробкой из самозатягивающейся резины (например, пробкой из пенициллинового флакона), помещенную в металлический кожух (рисунок 1).
Рисунок 1 - Кожух контейнера с крышкой
Рисунок 1 - Кожух контейнера с крышкой
Допускается для определения нерастворенной влаги отбирать пробу в ампулу вместимостью 50-100 см3 и диаметром 25-30 мм.
7.2.4 Отбор пробы в металлический пробоотборник осуществляют по ГОСТ 14921.
7.2.5 При отборе пробы в контейнер вентиль на точке отбора должен быть снабжен ниппелем с приваренной или присоединенной к нему другим способом иглой от шприца. Точку отбора пробы перед заполнением контейнера промывают бутадиеном-1,3 объемом примерно 0,5 дм3, затем прокалывают иглой пробку контейнера, предварительно вставив в нее иглу для стравливания давления, набирают бутадиен-1,3 и удаляют иглу из пробки (при отборе пробы для определения легколетучих углеводородов, азотистых соединений, аммиака давление не стравливают).
7.2.6 Отбор пробы в другой пробоотборник (толстостенная бутылка) проводят через присоединенный в точке отбора и доходящий до дна сосуда резиновый шланг или медную трубку. Предварительно бутылку помещают в охлаждающую смесь температурой минус 10 °С - минус 20 °С, а точку отбора промывают примерно 0,5 дм3 бутадиена-1,3.
7.3 Определение внешнего вида и не растворенной влаги
Внешний вид и не растворенную влагу определяют визуально.
7.3.1 Определение внешнего вида
Пробу, отобранную по 7.2, наливают до половины объема в ампулу из бесцветного стекла диаметром 25-30 мм высотой 170-180 мм, охлаждаемую в охлаждающей смеси температурой минус 10 °С - минус 15 °С.
Ампулу вынимают из смеси, опускают в Этиловый спирт, обтирают и сравнивают в проходящем свете с дистиллированной водой, налитой в такую же ампулу. Устанавливают цвет бутадиена.
7.3.2 Определение не растворенной влаги
Пробу, отобранную по 7.2 в толстостенную бутылку или в металлический пробоотборник, тщательно перемешивают и наливают до половины объема в ампулу, аналогичную указанной в 7.3.1. Помещают в охлаждающую смесь температурой минус 10 °С - минус 15 °С. Ампулу выдерживают в смеси 10 мин, затем опускают в Этиловый спирт, обтирают и просматривают в проходящем свете. Отмечают наличие или отсутствие не растворенной влаги. При отборе пробы непосредственно в ампулу поступают аналогично, начиная со слов: "Ампулу выдерживают...".
При отборе пробы в бутылку из бесцветного стекла допускается устанавливать наличие или отсутствие не растворенной влаги просмотром пробы в бутылке после выдерживания ее в течение 10 мин при температуре минус 10 °С - минус 15 °С. При отборе пробы в ампулу или бутылку допускается определение влаги проводить на месте отбора пробы.
7.3.3 За отсутствие не растворенной влаги принимают отсутствие кристаллов (льдинок, хлопьев) в объеме бутадиена-1,3 и на дне и стенках ампулы (бутылки) не выше уровня жидкости.
7.4 Определение массовой доли бутадиена-1,3, легколетучих углеводородов
Определение состава смеси основано на разделении компонентов смеси методом газожидкостной хроматографии с последующим фиксированием выходящих из колонки компонентов детектором по теплопроводности. Для расчета массовой доли компонентов используют метод нормирования без поправочных коэффициентов.
7.4.1 Средства измерений, лабораторная посуда, вспомогательное оборудование, материалы, реактивы
Хроматограф газовый с детектором по теплопроводности или аппаратно-хроматографический комплекс, оснащенный блоком управления хроматографом и блоком обработки хроматографической информации с программным обеспечением.
Колонки хроматографические насадочные стальные или стеклянные длиной 4-6 м, внутренним диаметром 3-4 мм или капиллярные с нанесенной жидкой фазой, обеспечивающие разделение компонентов не хуже, чем на насадочных колонках.
Носитель твердый: диатомитовый кирпич или цветохром 1К фракции 0,125-0,315 мм по ГОСТ 2694 или хроматон N.
Фаза жидкая: н-дибутират триэтиленгликоль для хроматографии по [7]*.
________________
* Поз. [7]-[31] см. раздел Библиография. - Примечание изготовителя базы данных.
Колба стеклянная круглодонная с сифоном по ГОСТ 25336.
Посуда лабораторная фарфоровая по ГОСТ 9147.
Контейнер для отбора проб (рисунок 1).
Печь муфельная, обеспечивающая нагрев до температуры 1100 °С.
Шкаф сушильный, обеспечивающий нагрев до температуры 350 °С.
Насос вакуумный масляный.
Вибратор лабораторный.
Весы лабораторные электронные ВЛТЭ-1100 второго класса точности с наибольшим пределом взвешивания 1100 г, границы допускаемой погрешности - ±0,06 г по [8].
Медицинский шприц вместимостью 2 см3 по ГОСТ 22967.
Линейка измерительная по ГОСТ 427.
Лупа измерительная с десятикратным увеличением по ГОСТ 25706.
Набор сит "Физприбор" по [9].
Стакан В-1-600 ТС по ГОСТ 25336.
Баня водяная лабораторная.
Диэтиловый эфир, ч.д.а., по [10].
Спирт этиловый технический по ГОСТ 17299 или спирт этиловый ректификованный технический по ГОСТ 18300.
Ацетон по ГОСТ 2603, ч.д.а.
Метиловый оранжевый (индикатор) по [11], водный раствор с массовой долей 0,2%.
Гелий марки Б по [12].
Вода дистиллированная по ГОСТ 6709.
Азот газообразный по ГОСТ 9293.
Воздух технический по ГОСТ 17433.
7.4.2 Подготовка к испытанию
7.4.2.1 Приготовление неподвижной фазы
Диатомитовый носитель заливают концентрированной азотной кислотой в фарфоровой чашке и выдерживают под кислотой 3 ч. Затем диатомит отмывают от кислоты дистиллированной водой до нейтральной реакции (промывные воды контролируют по метиловому оранжевому), высушивают при температуре 100 °С - 150 °С в сушильном шкафу и прокаливают при температуре 900 °С в течение 3 ч в муфельной печи. Допустимо использовать уже обработанный кислотой диатомитовый носитель.
Затем 15 г н-дибутирата триэтиленгликоля, растворенного в 200 см3 этилового эфира (этилового спирта), помещают в круглодонную колбу, затем добавляют 100 г прокаленного диатомита (или хроматона N).
При использовании в качестве твердого носителя цветохрома 1К носитель необходимо просушить в течение 2 ч при температуре 150°С. На 100 г цветохрома 1К наносят 10 г жидкой фазы. Колбу закрывают пробкой с двумя отверстиями для продувки и содержимое встряхивают. Затем растворитель отгоняют на водяной бане при температуре 30 °С - 40 °С с одновременной продувкой азотом (воздухом). Отгонку продолжают до исчезновения запаха растворителя.
7.4.2.2 Заполнение хроматографической колонки
Используют хроматографическую колонку длиной 6 м из стальной или стеклянной трубки внутренним диаметром 3 мм.
Колонку промывают этиловым спиртом, затем ацетоном и продувают воздухом 50-60 мин.
Чистую, сухую хроматографическую колонку заполняют неподвижной фазой с помощью воронки и вакуумного насоса, присоединенного к одному из концов хроматографической колонки, предварительно закрытой тампоном из ваты. Насадку уплотняют вибратором или постукиванием деревянной палочкой, концы колонки закрывают тампоном из ваты.
Рекомендуется использование готовых неподвижных фаз или уже заполненных неподвижной фазой хроматографических колонок.
7.4.2.3 Подготовка хроматографа к работе
Подготовку хроматографа и вывод на рабочий режим выполняют в соответствии с требованиями инструкции по монтажу и эксплуатации хроматографа, прилагаемой к прибору, и согласно параметрам:
7.4.3 Проведение испытания
7.4.3.1 Анализируемую пробу товарного бутадиена-1,3, охлажденную до температуры 0 °С - минус 20 °С, испаряют в медицинский шприц, подогретый до температуры 30 °С - 40 °С, вводят в хроматографическую колонку 0,5-2 см3 испаренной пробы и записывают хроматограмму при чувствительности прибора, обеспечивающей максимальную высоту пика.
Порядок выхода компонентов пробы указан на рисунке 2.
Рисунок 2 - Хроматограмма искусственной смеси
1 - метан; 2 -
(этан + этилен); 3 - углекислый газ; 4 - пропан; 5 - пропен; 6 - изобутан; 7 - н-бутан; 8 - бутен-1 + изобутен; 9 - бутен-2-транс; 10 - бутен-2-цис; 11 - бутадиен-1,3; 12 - метилаллен
Рисунок 2 - Хроматограмма искусственной смеси
7.4.3.2 Качественную идентификацию состава смеси проводят на основе типовой хроматограммы (рисунок 2) или относительных объемов удерживания, приведенных в таблице 2.
Таблица 2
В таблице 2 приведен порядок выхода и относительные объемы удерживания (Vотн) компонентов.
7.4.4 Обработка хроматограммы и результатов измерений
Для обработки хроматограмм и вычисления результатов анализа рекомендуется использовать программное обеспечение хроматографа.
При отсутствии блока управления хроматографом и блока обработки хроматографической информации с программным обеспечением площадь пиков на хроматограмме рассчитывают как произведение высоты пика на его ширину, измеренную на половине высоты (полуширину). Высоту пика измеряют линейкой от вершины до основания, включая толщину линий, с точностью до 0,5 мм, а полуширину измеряют лупой от внешнего контура линии одной стороны до внутреннего контура линии другой стороны с точностью до 0,05 мм.
Полученное значение площади каждого пика умножают на масштаб переключения чувствительности хроматографа.
Массовую долю бутадиена, легколетучих углеводородов C2-C3 (Xi), %, вычисляют по формуле (1)
где Si - площадь пика i-го компонента, см2;
- сумма площадей пиков всех компонентов, в том числе не относящихся к легколетучим (рисунок 2, таблица 2), см2;
n - количество компонентов.
Массовую долю бутадиена-1,3 вычисляют вычитанием массовой доли бутадиена-1,3, полученной при расчете по формуле (1), и массовой доли тяжелого остатка, определенной по 7.11.
Вычисление и контроль качества результатов измерений при реализации в лаборатории - согласно 7.16.
7.4.5 Метрологические характеристики метода
Методика измерений обеспечивает получение результатов измерений с погрешностью, не превышающей значений, приведенных в таблицах 3, 4.
Таблица 3 - Диапазон измерений, значения предела воспроизводимости, повторяемости, критического диапазона при вероятности P=0,95
Таблица 4 - Диапазон измерений, значения предела воспроизводимости, повторяемости, критического диапазона при вероятности P=0,95
7.4.6 Контроль погрешности с использованием метода "варьирования навесок"
При применении метода "варьирования навесок" осуществляется изменение навески (объема) пробы по сравнению с рекомендуемой методикой анализа*.
_________________
* Например, в данной методике измерений рекомендован объем вводимой пробы 0,5-2 см3. Вводят 2,0 см3 рабочей пробы и 1,0 см3 пробы с измененным объемом.
При реализации контрольной процедуры получают результаты контрольных измерений содержания определяемого компонента в рабочей пробе объемом Vпроба (Xср) и содержания определяемого компонента в рабочей пробе с измененным объемом пробы V`проба (Xср), при этом V`проба должно быть меньше Vпроба.
Коэффициент изменения навески
рассчитывают по формуле (2)
Значение коэффициента изменения навески (объема)
удовлетворяет условию(3)
где
;
- значение показателя точности результатов анализа, соответствующее содержанию определяемого компонента в рабочей пробе и рабочей пробе с измененным объемом.
Контроль исполнителем процедуры выполнения измерений проводят путем сравнения результата отдельно взятой контрольной процедуры Kk с нормативом контроля K.
Результат контрольной процедуры (Kk) рассчитывают по формуле (4)
где X`ср - результат контрольного измерения содержания определяемого компонента в рабочей пробе с измененным объемом;
Xср - результат контрольного измерения содержания определяемого компонента в рабочей пробе.
Норматив контроля (K) рассчитывают по формуле (5)
где
- значение показателя точности результатов анализа, установленное в лаборатории при реализации методики, соответствующее содержанию определяемого компонента в рабочей пробе.
Качество контрольной процедуры признают удовлетворительным при выполнении условия (6)
При невыполнении условия (6) эксперимент повторяют. При повторном невыполнении условия (6) выясняют причины, приводящие к неудовлетворительным результатам и устраняют их.
7.5 Определение массовой доли циклопентадиена (ЦПД)
Определение основано на реакции ЦПД с 1,4-динитробензолом, в результате которой образуется дианион, окрашенный в зеленовато-желтый или голубой цвет.
Интенсивность окраски раствора измеряют на фотоэлектроколориметре при длине волны
(600±10) нм. Карбонильные соединения (в пересчете на Ацетон) с массовой долей менее 0,007% не мешают определению ЦПД. Влияние ингибитора устраняют переиспарением пробы.
7.5.1 Оборудование, посуда, реактивы
Весы лабораторные высокого (II) и среднего (III) классов точности с наибольшими пределами взвешивания 200 и 500 г соответственно по ГОСТ Р 53228.
Колориметр фотоэлектрический.
Кюветы с толщиной поглощающего свет слоя 20 мм.
Пипетки градуированные 1-1-1-1(2) по ГОСТ 29227.
Воронка В-56-80 ХС по ГОСТ 25336.
Колба 2-100-2 по ГОСТ 1770.
Стаканы Н-2-250ТХС, Н-2-400ТХС, Н-2-2000ТХС по ГОСТ 25336.
Цилиндры 1-50-1 и 1-500-2 по ГОСТ 1770.
Пипетка шариковая для отбора пробы с меткой на 2 см3 (рисунок 3).
Рисунок 3 - Шариковая пипетка
Рисунок 3 - Шариковая пипетка
Рисунок 4 - Склянка с сифоном
1, 2 - краны или зажимы Гофмана
Рисунок 4 - Склянка с сифоном
Рисунок 5 - Ампула со змеевиком
Рисунок 5 - Ампула со змеевиком
Пробирка П-4-10-14/23ХС по ГОСТ 25336 с пришлифованной пробкой.
Колба Кн-1-100TC по ГОСТ 25336.
Контейнер, состоящий из кожуха и склянки вместимостью 50 см3 (рисунок 1).
Склянка с сифоном (рисунок 4) вместимостью 50 см3.
Ампула со змеевиком (рисунок 5) вместимостью 50 см3.
Прибор для отгонки циклопентадиена (рисунок 6), состоящий из стеклянных приборов по ГОСТ 25336: круглодонной колбы К-1-50-19/26ТС, дефлегматора 150-14/23-19-26ТС, насадки Н-1-14/23-14/23-14/23ТС, холодильника ХПТ200-14/23ХС, алонжа АИО-14/23-60 и приемника - колбы Кн-1-50-14/23ТС.
Рисунок 6 - Прибор для отгонки циклопентадиена
1 - колба; 2 - елочный дефлегматор; 3 - холодильник; 4 - колба-приемник; 5 - термометр
Рисунок 6 - Прибор для отгонки циклопентадиена
Секундомер или часы песочные на 2 и 5 мин.
Термометр по ГОСТ 28498.
Калия гидроокись по ГОСТ 24363, ч.д.а., водный раствор с массовой долей 10%, готовят по ГОСТ 4517.
1,4-Динитробензол по нормативным документам.
Диметилформамид (ДМФА) по ГОСТ 20289, ч.д.а. или ч., очищенный по 7.5.2.2.
Дициклопентадиен технический по [13].
Циклопентадиен, полученный из дициклопентадиена, аттестованная смесь (АС) - раствор в ДМФА с массовой концентрацией ЦПД 0,01 мг/см3 по 7.5.2.3.
Смесь охлаждающая температурой минус 10 °С - минус 20 °С.
Спирт этиловый ректификованный технический по ГОСТ 18300 высшего сорта.
Вода дистиллированная по ГОСТ 6709.
кислота соляная по ГОСТ 3118, х.ч. или ч.д.а., раствор молярной концентрации c(HCl)=2 моль/дм3.
Кислота борная по ГОСТ 9656, х.ч.
Азот газообразный по ГОСТ 9293 с массовой долей кислорода не более 0,02%.
Цеолиты типа NaX, СаХ, СаН, прокаленные в течение 3 ч при температуре 400 °С - 450 °С в токе сухого азота.
7.5.2 Подготовка к анализу
7.5.2.1 Очистка 1,4-динитробензола
Очистку 1,4-динитробензола проводят сублимацией, используя для этого любой из приемов и нагревая сосуд с продуктом до температуры 180 °С - 200 °С.
Например, очистку проводят следующим образом: в высокий химический стакан вместимостью 400 см3 помещают примерно половину полученного продукта, закрывают стакан бумажным фильтром, диаметр которого должен быть примерно на 1 см больше диаметра стакана. Фильтр слегка прижимают стеклянной конусной воронкой, поставив ее вверх узким концом. Нагревают содержимое стакана на электроплитке закрытого типа с регулятором температуры или масляной бане до температуры 180 °С - 200 °С и при этой температуре ведут сублимацию в течение 30 мин. Затем нагрев прекращают, дают охладиться и осторожно собирают с фильтра и стенок стакана перекристаллизованный 1,4-динитробензол. Полученный продукт представляет собой бледно-желтые кристаллы. Стакан, в котором проводили сублимацию, моют ацетоном.
7.5.2.2 Очистка диметилформамида (ДМФА)
Если раствор холостого опыта (7.5.2.4) приобретает бурую подцветку и оптическая плотность при этом по отношению к воде более 0,05, ДМФА чистят одним из следующих способов:
Очистка ДМФА борной кислотой
К определенному количеству ДМФА добавляют 1,2%-1,3% борной кислоты, перемешивают смесь и отгоняют чистый продукт при остаточном давлении 1,3-4,0 гПа (1-3 мм рт.ст.) в сухую склянку.
Очистка ДМФА цеолитами
Цеолиты прокаливают в сушильном шкафу при 400 °С - 450 °С в течение 3 ч. В ДМФА всыпают примерно 10% об. цеолитов. Выдерживают 2-3 сут, фильтруют перед использованием через фильтровальную бумагу. Хранят очищенный ДМФА в склянке с пришлифованной пробкой под азотом.
7.5.2.3 Получение циклопентадиена и приготовление раствора ЦПД для построения градуировочного графика
Получают ЦПД непосредственно перед использованием. Для этого в круглодонную колбу прибора (рисунок 6) помещают дициклопентадиен, колбу присоединяют к елочному дефлегматору. Последний соединяют через прямой холодильник и алонж с приемником, который помещают в ледяную воду. Под колбу с дициклопентадиеном ставят колбонагреватель или закрытую электроплитку и отгоняют циклопентадиен при температуре паров 41 °С - 42 °С.
Не более 0,1 г свежеперегнанного ЦПД запаивают в микроампулу.
Ампулу взвешивают до заполнения и после заполнения. Запаянную ампулу помещают в коническую колбу, содержащую 100 см3 ДМФА, и разбивают ее энергичным встряхиванием колбы или раздавливают стеклянной палочкой. Соответствующим разбавлением ДМФА готовят раствор с концентрацией ЦПД 0,01 мг/см3. Допускается приготовление раствора путем внесения ЦПД пипеткой в мерную колбу, содержащую некоторый объем диметилформамида, и взвешивания колбы до и после внесения ЦПД.
7.5.2.4 Установление градуировочной характеристики
Строят два градуировочных графика для растворов, разбавленных до 10 см этиловым спиртом и диметилформамидом.
В 6 пробирок вместимостью 10 см3 каждая вносят пипеткой 0,1; 0,2; 0,4; 0,6; 0,8; 1,0 см3 раствора ЦПД, добавляют до 3 см3 диметилформамида и по 0,2 см3 раствора 1,4-динитробензола и раствора гидроокиси калия. Доводят объем до 10 см3 этиловым спиртом (диметилформамидом), перемешивают содержимое и заполняют им кювету с толщиной поглощающего свет слоя 20 мм. Закрывают кювету крышкой обязательно и измеряют оптическую плотность при длине волны (600±10) нм (красный светофильтр). Время от конца перемешивания до измерения оптической плотности должно составлять не более 2 мин. Кюветы сравнения при этом заполняют водой. Аналогично, но без введения раствора ЦПД, готовят раствор контрольного опыта. Допускается проводить холостой опыт один раз в 7-8 ч.
Для установления градуировочной характеристики необходимо провести не менее пяти измерений оптической плотности каждого градуировочного раствора. На основании результатов измерений рассчитывают уравнение линейной зависимости методом наименьших квадратов. Функцией уравнения является разность оптических плотностей рабочего и холостого опытов, переменная - масса ЦПД (мг). Допускается построение градуировочного графика на миллиметровой бумаге, откладывая разность оптических плотностей растворов рабочего и холостого опытов на оси ординат, а массу ЦПД в миллиграммах - на оси абсцисс. График строят в масштабе: 20 мм соответствует 0,001 мг ЦПД и 0,1 значения оптической плотности.
График проверяют один раз в год.
7.5.3 Проведение анализа
7.5.3.1 Освобождение пробы от ингибитора*
_________________
* Если незаправленный ингибитором бутадиен-1,3 отбирают в контейнер, то пробу 1,0-2,0 см3 переносят из него в градуированную пробирку с диметилформамидом с помощью иглы шприца, опустив ее конец в раствор. Пробирку при этом охлаждают в охлаждающей смеси температурой минус 10 °С - минус 20 °С.
Для освобождения от ингибитора бутадиен-1,3 переиспаряют. Для этого часть пробы (20-30 см3), отобранной по 7.2, переводят в склянку (рисунок 4) или контейнер (рисунок 1), помещенные в охлаждающую смесь. Затем склянку или контейнер вынимают из охлаждения, присоединяют к ампуле со змеевиком вместимостью 50 см3 (рисунок 5), помещенной в охлаждающую смесь. Испаряют бутадиен-1,3 при комнатной температуре, перед концом испарения ампулу (контейнер) помещают в воду температурой 40 °С - 50 °С.
7.5.3.2 В пробирку вместимостью 10 см3 вносят 3 см3 диметилформамида, затем шариковой пипеткой (рисунок 3) вносят 1,0-2,0 см3 бутадиена-1,3, освобожденного от ингибитора. После чего добавляют по 0,2 см3 растворов 1,4-динитробензола и гидроокиси калия и доводят объем до 10 см3 этиловым спиртом. Тщательно перемешивают содержимое пробирки и далее поступают, как указано в 7.5.2.4, начиная со слов "...и заполняют им кювету...". При получении мутных растворов анализ повторяют, заменяя Этиловый спирт диметилформамидом.
Параллельно проводят холостой опыт. По разности оптических плотностей растворов рабочего и холостого опытов рассчитывают по уравнению линейной зависимости (находят по градуировочному графику) массу ЦПД в миллиграммах.
7.5.4 Вычисление результата анализа
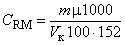
Массовую долю циклопентадиена (X1), %, рассчитывают по формуле (7)
где m - масса ЦПД, рассчитанная по уравнению (найденная по графику), мг;
V - объем пробы бутадиена-1,3, взятый на анализ, см3;
0,65 - принятая плотность бутадиена-1,3 при температуре минус 10 °С - минус 20 °С, г/см3.
Вычисление и контроль качества результатов измерений при реализации в лаборатории - согласно 7.16.
7.5.5 Метрологические характеристики методики
Методика измерений обеспечивает получение результатов измерений с погрешностью, не превышающей значений, приведенных в таблице 5.
Таблица 5 - Диапазон измерений, значения предела воспроизводимости, повторяемости, критического диапазона при вероятности P=0,95
7.6 Определение массовой доли азотистых соединений (аммиака, аминов, диметилформамида, ацетонитрила)*
_________________
* Допускается определять массовую долю ацетонитрила газохроматографическим методом по приложению Д.
Определение основано на экстракции азотистых соединений из бутадиена-1,3 раствором кислоты, последующем щелочном гидролизе диметилформамида и ацетонитрила, отгонке и поглощении аммиака и аминов раствором кислоты. Избыток кислоты определяют титрованием щелочью в присутствии метилового красного. Допускается определять массовую долю азотистых соединений по методике приложения А.
7.6.1 Оборудование, посуда, реактивы
Весы лабораторные среднего (III) класса точности по ГОСТ Р 53228 с наибольшим пределом взвешивания 500 г.
Бюретка вместимостью 1-1-2-25-0,1 по ГОСТ 29251.
Пипетки с одной меткой 1-2-10(20) по ГОСТ 29169.
Цилиндры 2-25(100)-1 по ГОСТ 1770.
Прибор для отгонки (рисунок 7 или 8), состоящий из стеклянных приборов по ГОСТ 25336: круглодонной трехгорлой колбы КГУ-3-2-500-34ТС, делительной воронки ВД-3-50ХС, каплеуловителя КП-14/23ХС, холодильника ХШ-I-300-14/23ХС или ХТП-200(300)-114/23, колбы Кн-1-250-34ТС или цилиндра вместимостью 200 см3.
Рисунок 7 - Прибор для отгонки аммиака и диметиламина
1 - трехгорлая колба; 2 - каплеуловитель; 3 - холодильник; 4 - алонж; 5 - приемник (цилиндр или колба); 6 - делительная воронка
Рисунок 7 - Прибор для отгонки аммиака и диметиламина
Рисунок 8 - Прибор для отгонки аммиака и диметиламина
1 - трехгорлая колба; 2 - каплеуловитель; 3 - делительная воронка; 4 - холодильник; 5 - алонж; 6- цилиндр
Рисунок 8 - Прибор для отгонки аммиака и диметиламина
Склянка толстостенная вместимостью 250 см3, снабженная резиновой пробкой со вставленным в нее краном или стеклянной трубкой с отрезком резиновой трубки и зажимом. Чехол из плотной материи по размерам склянки.
Контейнер, состоящий из кожуха и склянки вместимостью 50 см3 (рисунок 1).
Секундомер или часы песочные на 3 и 10 мин.
Насос вакуумный, обеспечивающий вакуум (1,3±0,6) кПа (10±5 мм рт.ст.).
Калия гидроокись по ГОСТ 24363, ч.д.а., раствор с массовой долей 40% и раствор молярной концентрации c(KOH)=0,01 моль/дм3 или натрия гидроокись по ГОСТ 4328, ч.д.а., раствор молярной концентрации c(NaOH)=0,01 моль/дм3.
Метиловый красный (индикатор) по [14], раствор в этиловом спирте, готовят по ГОСТ 4919.1.
Вода дистиллированная по ГОСТ 6709.
Смесь охлаждающая температурой минус 10 °С - минус 20 °С.
Воздух сжатый по ГОСТ 17433.
Кислота серная по ГОСТ 4204, раствор молярной концентрации c(1/2H2SO4)=0,01 моль/дм3.
7.6.2 Проведение анализа
С целью предотвращения потерь аммиака пробу отбирают в вакуумированную склянку или контейнер.
Для этого в толстостенную склянку наливают пипеткой 10 см3 раствора серной кислоты, закрывают пробкой со вставленным в нее краном или стеклянной трубкой с отрезком резиновой трубки и зажимом и откачивают воздух в течение 8-10 мин. Взвешивают склянку с чехлом. Охлаждают склянку, не допуская замерзания жидкости, присоединяют к точке отбора и отбирают примерно 50 см3 бутадиена-1,3 при массовой доле азотистых соединений 0,001%-0,003%. При массовой доле азотистых соединений примерно 0,02% берут 20 см3 раствора серной кислоты и примерно 10 см3 бутадиена-1,3.
Поместив склянку в чехол, снова взвешивают ее, а затем встряхивают в течение 3 мин, периодически охлаждая и стравливая давление в склянке. Если кислота при этом замерзает, ее подогревают рукой. Затем дают испариться бутадиену-1,3 (в вытяжном шкафу), поместив склянку в теплую воду, а экстракт количественно переносят в круглодонную колбу вместимостью 500 см3. Пробу объемом приблизительно 20 см3 отбирают в контейнер, содержащий 10 см3 раствора серной кислоты и взвешенный до и после взятия пробы. После встряхивания контейнера с пробой вводят большую иглу шприца в пробку и испаряют бутадиен-1,3, экстракт переводят в круглодонную колбу. Склянку промывают 40 см3 дистиллированной воды, воду сливают в ту же колбу. Помещают в колбу еще 150 см3 дистиллированной воды, несколько капилляров и присоединяют колбу к прибору для отгонки. Затем вводят в колбу через капельную воронку 40 см3 раствора гидроокиси калия (натрия) с массовой долей 40%.
Предварительно в приемник наливают пипеткой точно 20 см3 раствора серной кислоты, добавляют 2 капли индикатора и подставляют приемник под форштос холодильника таким образом, чтобы конец его был погружен в жидкость. Включают электроплитку и нагревают колбу до закипания содержащейся в ней жидкости. После этого нагрев уменьшают (опусканием плитки), но через 15 мин его снова усиливают. Когда в приемнике прекратится выделение пузырьков газа и начнется засасывание жидкости в форштосе, в колбу подают воздух (инертный газ) со скоростью один-два пузырька в секунду. Отгонку ведут до накопления в приемнике жидкости объемом 120 см3 (по специальной метке на колбе). Затем нагрев выключают, форштос обмывают 20 см3 дистиллированной воды и сливают ее в приемник, затем титруют содержимое приемника раствором гидроокиси калия или натрия до появления желтой окраски.
Аналогично проводят контрольный опыт. Для этого в колбу для отгонки наливают 40 см3 раствора гидроокиси калия или натрия с массовой долей 40% и 200 см3 дистиллированной воды. Объем, израсходованный на титрование, отсчитывают с погрешностью до 0,1 см3.
7.6.3 Вычисление результата анализа
Массовую долю азотистых соединений (X2), %, в пересчете на азот определяют по формуле (8)
где V1 - объем раствора гидроокиси калия (натрия) молярной концентрации c(KOH) или c(NaOH)=0,01 моль/дм3, израсходованный на титрование в холостом опыте, см3;
V2 - объем раствора гидроокиси калия (натрия) молярной концентрации c(KOH) или c(NaOH)=0,01 моль/дм3, израсходованный на титрование анализируемой пробы, см3;
0,00014 - массовая концентрация азота, эквивалентная 1 см3 раствора кислоты, концентрации c(1/2H2SO4)=0,01 моль/дм3, г/см3;
m - масса навески анализируемой пробы, г.
При использовании части экстракта для определения аммиака пересчитывают полученный результат с учетом взятого количества экстракта.
За результат анализа принимают результат одного определения.
7.6.4 Метрологические характеристики методики
Методика измерений обеспечивает получение результатов измерений с погрешностью, не превышающей значений, приведенных в таблице 6.
Таблица 6 - Диапазон измерений, значения показателей повторяемости, воспроизводимости и точности
7.7 Определение массовой доли аммиака
Определение основано на способности хлорноватистокислого натрия окислять аммиак до монохлорамина, который при взаимодействии с 1-нафтолом (альфа-нафтолом) в щелочной среде дает соединение зеленого цвета.
Интенсивность окраски измеряют на фотоэлектроколориметре при длине волны
(600±10) нм. Ацетонитрил в 1000-кратном избытке, диметилформамин, а также стабилизаторы (ТБК, ДСИ) при массовой доле не более 0,05% не мешают определению.
7.7.1 Средства измерений, вспомогательные устройства, реактивы
Весы лабораторные высокого (II) и среднего (III) классов точности по ГОСТ Р 53228 с наибольшими пределами взвешивания 200 и 1000 г соответственно.
Колориметр фотоэлектрический.
Кюветы с толщиной поглощающего свет слоя 20 мм.
Колба Кн-2-250-29ТХС по ГОСТ 25336 с пришлифованной пробкой.
Пипетки градуированные 1-1-2-1(2,5) и 1-1-1-1 по ГОСТ 29227.
Пробирки П4-10-14/23ХС по ГОСТ 25336 с пришлифованными пробками.
Воронка делительная ВД 2-50 ХС по ГОСТ 25336.
Воронка капельная ВК-100 ХС по ГОСТ 25336.
Цилиндры 2-100-1 по ГОСТ 1770.
Контейнер, состоящий из кожуха и склянки вместимостью 50 см3 (рисунок 1).
Колба КП-1-150-29/32ТС по ГОСТ 25336.
Склянка толстостенная вместимостью 250 см3, снабженная резиновой пробкой со вставленными в нее краном или стеклянной трубкой с надетым на нее отрезком резиновой трубки с винтовым зажимом.
Чехол из плотной ткани по размерам склянки.
Насос вакуумный, обеспечивающий вакуум (1,33±0,6) кПа (10±5) мм рт.ст.
Фильтры обеззоленные "синяя лента" по [15].
Натрия гидроокись по ГОСТ 4328, растворы с массовой долей 1% и 10%.
натрий серноватистокислый по ГОСТ 27068, раствор молярной концентрации c(Na2S2O3)=0,01 моль/дм3.
Кислота серная по ГОСТ 4204, раствор молярной концентрации c(1/2H2SO4)=0,01 моль/дм3 и растворы с массовой долей 5%, 10% и 20%.
кислота соляная по ГОСТ 3118, раствор с массовой долей 20%.
Крахмал растворимый по ГОСТ 10163, раствор с массовой долей 0,5%.
Калий йодистый по ГОСТ 4232, раствор с массовой долей 10%.
1-Нафтол по [16], перекристаллизованный из воды, раствор с массовой долей 5% в ацетоне по ГОСТ 2603. Используют в течение одного дня. Допускается применение неперекристаллизованного 1-нафтола, если колориметрируемый раствор не имеет бурой подцветки.
Гипохлорит натрия (хлорноватистокислый натрий) по ГОСТ 11086 или полученный по 7.7.2.1, раствор с массовой долей 0,1%.
Аммоний сернокислый по ГОСТ 10873, ч.д.а., или Аммоний хлористый по ГОСТ 3773, ч.д.а.; готовят следующим образом: 0,0472 г сернокислого аммония или 0,0382 г хлористого аммония, предварительно высушенного при температуре 105 °С - 110 °С в течение 2 ч, взвешивают на весах высокого (II) класса точности (результат взвешивания записывают до четвертого знака после запятой), затем растворяют в мерной колбе в 100 см3 дистиллированной воды, освобожденной от иона аммония. Полученный раствор разбавляют в 10 раз.
Вода дистиллированная, освобожденная от ионов аммония. К 1 дм3 дистиллированной воды прибавляют 5 см3 раствора серной кислоты с массовой долей 5% и перегоняют ее, отбросив первые 100-200 см3 отгона. Используют для анализа и приготовления растворов.
известь хлорная по ГОСТ 1692 марки ч.
Смесь охлаждающая температурой минус 10 °С - минус 20 °С.
7.7.2 Подготовка к анализу
7.7.2.1 Приготовление раствора хлорноватистокислого натрия и определение в нем активного хлора
В круглодонную колбу с боковым отводом помещают примерно 10 г хлорноватокислого натрия (хлорной извести) и закрывают колбу пробкой со вставленной в нее капельной воронкой. В воронку наливают приблизительно 70 см3 раствора серной (соляной) кислоты с массовой долей 20% и присоединяют к отводу колбы поглотитель, содержащий примерно 100 см3 раствора гидроокиси натрия с массовой долей 10%, помещенный в баню с ледяной водой. Затем из капельной воронки по каплям подают в колбу кислоту до тех пор, пока не прекратится выделение хлора. Выделяющийся хлор поглощается раствором гидроокиси натрия.
Полученный раствор хлорноватистокислого натрия используют в течение трех месяцев. Хранят в склянке из темного стекла в прохладном месте. Перед использованием проверяют массовую долю активного хлора.
Для этого в коническую колбу вместимостью 250 см3 вносят примерно 50 см3 дистиллированной воды и пипеткой вводят 1 см3 раствора хлорноватистокислого натрия. Туда же прибавляют 5 см3 раствора серной кислоты с массовой долей 10% и 15 см3 раствора йодистого калия. Колбу закрывают пробкой и ставят на 5 мин в темное место, после чего титруют выделившийся йод раствором серноватистокислого натрия в присутствии 2 см3 раствора крахмала до обесцвечивания раствора.
Массовую долю активного хлора (X3), %, рассчитывают по формуле (9)
где V - объем раствора серноватистокислого натрия молярной концентрации c(Na2S2O3)=0,01 моль/дм3, израсходованный на титрование, см3;
0,000355 - массовая концентрация хлора, эквивалентная 1 см3 раствора серноватистокислого натрия молярной концентрации c(Na2S2O3)=0,01 моль/дм3, г/см3;
1 - объем раствора, израсходованный на определение хлора, см3;
1,1 - плотность раствора гидроокиси натрия с массовой долей 10%, г/см3.
Для анализа раствор хлорноватистокислого натрия разбавляют дистиллированной водой таким образом, чтобы массовая доля активного хлора составила примерно 0,1%. Раствор хранят в склянке из темного стекла в прохладном месте и используют в течение 2-3 дней.
7.7.2.2 Установление градуировочных характеристик
В градуированную пробирку вносят последовательно 0,1; 0,2;...1,5 см3 раствора с массовой концентрацией азота 0,01 мг/см3 и доводят объем до 5 см3 дистиллированной водой. После этого прибавляют 1 см3 раствора хлорноватистокислого натрия, 2 см3 раствора гидроокиси натрия с массовой долей 1% и 1,5 см3 раствора 1-нафтола.
Содержимое пробирки перемешивают после прибавления каждого раствора и через 5 мин измеряют оптическую плотность при длине волны (600±10) нм по отношению к дистиллированной воде в кювете с толщиной поглощающего свет слоя 20 мм.
Одновременно и аналогично проводят контрольный опыт без раствора аммиака и измеряют его плотность также по отношению к воде. Для установления градуировочной характеристики необходимо провести не менее пяти измерений оптической плотности каждого градуировочного раствора. На основании результатов измерений рассчитывают уравнение линейной зависимости методом наименьших квадратов. Функцией уравнения является разность оптических плотностей рабочего и холостого опытов, переменной - масса азота (мг). Допускается построение градуировочного графика на миллиметровой бумаге. Откладывают на оси ординат разность оптических плотностей растворов рабочего и контрольного опытов, а на оси абсцисс - соответствующие массы азота в миллиграммах. Масштаб графика: 0,1 единицы оптической плотности и 0,001 мг азота равны 20 мм.
График проверяют один раз в 6 мес.
7.7.3 Проведение анализа
С целью предотвращения потерь аммиака примерно 5 г пробы отбирают в контейнер или толстостенную вакуумированную склянку, содержащую 10 см3 раствора серной кислоты молярной концентрации c(1/2H2SO4)=0,01 моль/дм3. Операцию отбора пробы, подготовку толстостенной склянки, испарение бутадиена-1,3 проводят, как в 7.6.2. После испарения бутадиена-1,3 содержимое склянки (поглотительный раствор) переводят в мерную колбу вместимостью 25 см3, обмывают склянку дистиллированной водой, сливая ее также в мерную колбу, доводят объем до метки водой и перемешивают. Из колбы берут в пробирку 5 см3 раствора, прибавляют 1 см3 раствора хлорноватистокислого натрия и поступают далее, как при построении графика в 7.7.2.2. Допускается брать для определения аммиака часть поглотительного раствора, полученного при определении массовой доли азотистых соединений по 7.6.2.
Если поглотительный раствор мутный, его фильтруют через фильтр "синяя лента".
Контрольный опыт проводят аналогично 7.7.2.2. По полученной разности оптических плотностей растворов рабочего и холостого опытов рассчитывают по уравнению линейной зависимости (находят по градуировочному графику) массу азота в миллиграммах.
7.7.4 Вычисление результата анализа
Массовую долю аммиака (X4), %, в пересчете на азот вычисляют по формуле (10)
где m - масса азота, рассчитанная по уравнению (найденная по графику), мг;
25 - объем мерной колбы с поглотительным раствором, см3;
V - объем поглотительного раствора, израсходованный на анализ, см3;
m1 - масса навески бутадиена-1,3, г.
Вычисление и контроль качества результатов измерений при реализации в лаборатории - согласно 7.16.
7.7.5 Метрологические характеристики метода
Методика измерений обеспечивает получение результатов измерений с погрешностью, не превышающей значений, приведенных в таблице 7.
Таблица 7 - Диапазон измерений, значения пределов повторяемости и воспроизводимости
7.8 Определение массовой доли карбонильных соединений
Определение проводят титриметрическим и фотоколориметрическим методами. При разногласиях в оценке определение проводят фотоколориметрическим методом.
7.8.1 Определение массовой доли карбонильных соединений титриметрическим методом
Определение основано на свойстве альдегидов и кетонов реагировать с солянокислым или сернокислым гидроксиламином с выделением кислоты. Выделившуюся кислоту титруют раствором щелочи в присутствии смешанного индикатора или потенциометрически. Наличие в пробе соединений кислого или щелочного характера учитывают проведением контрольного опыта.
7.8.1.1 Средства измерений, вспомогательные устройства, посуда, реактивы
Весы лабораторные среднего (III) класса точности по ГОСТ Р 53228 с наибольшим пределом взвешивания 500 г.
Пипетки 2-2-2(5,50) по ГОСТ 29169.
Бюретка 1-1-2-2-0,1 по ГОСТ 29251.
Иономер универсальный ЭВ-74 или другого типа с аналогичными характеристиками.
Электрод индикаторный стеклянный ЭСЛ-63-07 или ЭСЛ-43-07.
Электрод сравнительный хлорсеребряный ЭВЛ-1М3.
Стакан ВН-1-100 ТС по ГОСТ 25336.
Мешалка магнитная.
Секундомер или часы песочные на 3 мин.
Толстостенная склянка вместимостью 250 см3, снабженная пробкой со вставленным в нее отрезком стеклянной трубки с краном или винтовым зажимом. Пробку в склянке можно крепить с помощью держателя (рисунок 16).
Чехол из плотной ткани по размерам склянки.
Колба КН-2-250-34ТС по ГОСТ 25336.
Гидроксиламина гидрохлорид по ГОСТ 5456, раствор молярной концентрации c(NH2OHxHCl)=0,1 моль/дм3.
Кислота серная по ГОСТ 4204, раствор молярной концентрации c(1/2H2SO4)=0,05 моль/дм3.
кислота соляная по ГОСТ 3118, раствор молярной концентрации c(HCl)=0,05 моль/дм3.
Натрия гидроокись по ГОСТ 4328, раствор молярной концентрации c(NaOH)=0,05 моль/дм3.
Индикатор смешанный готовят следующим образом: метиловый оранжевый, раствор в воде с массовой долей 0,1%, и индигокармин, раствор в воде с массовой долей 0,20%, смешивают в соотношении 1:1.
Вода дистиллированная, нейтрализованная по смешанному индикатору.
Нейтрализацию проводят следующим образом: в коническую колбу отбирают цилиндром 50 см3 дистиллированной воды, добавляют 2-3 капли смешанного индикатора и титруют из микробюретки раствором кислоты до появления фиолетового окрашивания. Измеряют объем кислоты, израсходованный на титрование с точностью до 0,02 см3. Увеличивают полученный объем кислоты в 20 раз и вводят его в 1 дм3 дистиллированной воды. Полученную воду хранят в герметично закрытой склянке и используют для анализа.
Смесь охлаждающая температурой минус 10 °С - минус 20 °С.
7.8.1.2 Проведение анализа
В толстостенную склянку вносят 50 см3 нейтрализованной дистиллированной воды и 2 см3 раствора соли гидроксиламина, закрывают пробкой со вставленным в нее краном. Склянку с чехлом взвешивают. Затем охлаждают склянку, не замораживая жидкость, открывают пробку и отбирают из пробоотборника 30-50 см3 бутадиена-1,3. Склянку закрывают пробкой, помещают в чехол и взвешивают. Допускается брать пробу бутадиена по объему градуированной ампулой или цилиндром, охлажденными в охлаждающей смеси. Встряхивают склянку в течение 3 мин, периодически охлаждая и стравливая давление. Затем дают испариться бутадиену-1,3, добавляют 2-3 капли смешанного индикатора и титруют (в зависимости от среды) раствором кислоты до появления фиолетового окрашивания или раствором щелочи до появления зеленого окрашивания.
Для более четкого перехода окраски индикатора рекомендуется добавить, кроме смешанного индикатора, одну каплю метилового оранжевого. Аналогично проводят холостой опыт с таким же объемом бутадиена-1,3, какой был взят на анализ, но без добавления раствора гидроксиламина.
Объем, израсходованный на титрование, фиксируют с точностью до 0,01 см3.
Параллельно определяют кислотность гидроксиламина, т.е. количество щелочи, необходимое для нейтрализации свободной кислоты, находящейся во взятом для анализа объеме раствора соли гидроксиламина.
Допускается проводить титрование с потенциометрической индикацией точки эквивалентности. Для этого титруемые растворы переливают в стакан (склянку ополаскивают 5 см3 дистиллированной воды), ставят стакан на магнитную мешалку, опускают электроды и записывают начальную разность потенциалов, регистрируемую прибором. Титрант дозируют из микробюретки равномерными порциями по 0,1 см3, записывая каждый раз показания прибора. Титрование заканчивают после получения скачка потенциала стеклянного электрода, когда разность потенциалов в растворе достигает значений +40 - +20 (при титровании раствором гидроокиси натрия) или +180 - +200 мВ (при титровании раствором соляной кислоты). Строят график зависимости потенциала Eп (ось ординат) от объема титранта (ось абсцисс) и находят эквивалентный объем с точностью 0,01 см3 (рисунок 9).

а - при массовой доле карбонильных соединений в пробе
0,002%
б - при массовой доле карбонильных соединений в пробе >0,002%
Рисунок 9
Масштаб графика: 10 мм соответствуют по оси ординат 20 мВ, а по оси абсцисс - 0,1 см3.
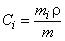
7.8.1.3 Вычисление результата анализа
Массовую долю карбонильных соединений (X5), %, в пересчете на Ацетон вычисляют по формулам (11), (12) или (13):
пробу и раствор контрольного опыта титруют кислотой (11)![]()
пробу титруют щелочью, раствор контрольного опыта - кислотой (12)![]()
пробу и раствор контрольного опыта титруют щелочью (13)![]()
где V1 - объем раствора щелочи или кислоты молярной концентрации c(NaOH) или c(1/2H2SO4)=0,05 моль/дм3, израсходованный на титрование в холостом опыте, см3;
V2 - объем раствора щелочи или кислоты молярной концентрации c(NaOH) или c(1/2H2SO4)=0,05 моль/дм3, израсходованный на титрование пробы, см3;
V3 - объем раствора щелочи молярной концентрации c(NaOH)=0,05 моль/дм3, израсходованный на титрование при определении кислотности раствора гидроксиламина (2 см3 раствора соли гидроксиламина и 50 см3 дистиллированной воды), см3;
m - масса навески бутадиена-1,3, г,
0,0029 - массовая концентрация ацетона, эквивалентная 1 см3 раствора щелочи молярной концентрации c(NaOH)=0,05 моль/дм3 или кислоты молярной концентрации c(1/2H2SO4)=0,05 моль/дм3, г/см3.
Массу навески бутадиена рассчитывают по формуле (14)
где V - объем бутадиена-1,3, взятый на анализ, см3;
0,65 - принятая плотность бутадиена-1,3 при температуре охлаждающей смеси, г/см3.
Кривые потенциометрического титрования свободной соляной кислоты, выделившейся в результате реакции карбонильных соединений с гидрохлоридом гидроксиламина, раствором гидроокиси калия, показаны на рисунке 9.
За результат анализа принимают результат одного определения.
7.8.1.4 Метрологические характеристики методики
Методика измерений обеспечивает получение результатов измерений с погрешностью, не превышающей значений, приведенных в таблице 8.
Таблица 8 - Диапазон измерений, значения показателей повторяемости, воспроизводимости и точности
7.8.2 Определение массовой доли карбонильных соединений фотоколориметрическим методом
Определение основано на количественном взаимодействии карбонильных соединений в солянокислом растворе с 2,4-динитрофенилгидразином (ДНФГ) с образованием соответствующих гидразонов.
Гидразоны экстрагируют четыреххлористым углеродом, интенсивность окраски раствора измеряют на фотоколориметре при длине волны
(430±10) нм.
7.8.2.1 Оборудование, посуда, реактивы
Весы лабораторные высокого (II) и среднего (III) классов точности по ГОСТ Р 53228 с наибольшими пределами взвешивания 200 и 500 г.
Колориметр фотоэлектрический.
Кюветы с толщиной поглощающего свет слоя 20 мм.
Колба 2-100(1000)-2 по ГОСТ 1770.
Пипетка 1-1-1-1 по ГОСТ 29227.
Пипетки 2-2-20 по ГОСТ 29169.
Воронка ВД-1-100XC по ГОСТ 25336.
Прибор для отгонки четыреххлористого углерода (рисунок 10), состоящий из лабораторной посуды по ГОСТ 25336: колб круглодонных Кн-1-500-29/32ТС, холодильника ХПТ-1-200-14/23ХС, алонжа АИО-14/23-14/23-50ТС, насадки Н1-29/32-14/23-14/23ТС.
Рисунок 10 - Прибор для отгонки четыреххлористого углерода
1 - круглодонная колба; 2 - насадка; 3 - холодильник; 4 - алонж; 5 - колба-приемник
Рисунок 10 - Прибор для отгонки четыреххлористого углерода
Абсорбционный сосуд вместимостью 50 см3 с пористой пластинкой (рисунок 11).
Рисунок 11 - Абсорбционный сосуд
Рисунок 11 - Абсорбционный сосуд
Контейнер, состоящий из кожуха и склянки вместимостью 50 см3 (рисунок 1).
Склянка (рисунок 4) вместимостью 50 см3.
Углерод четыреххлористый по ГОСТ 4, ч.д.а. или регенерированный по 7.8.2.2.
Ацетон по ГОСТ 2603, х.ч., свежеперегнанный, аттестованная смесь (АС) - раствор с массовой концентрацией ацетона 1 мг/см3. Готовят следующим образом: навеску ацетона массой 0,1 г, взвешенную на весах (II) класса точности (результат взвешивания в граммах, записывают с точностью до четвертого десятичного знака), помещают в мерную колбу вместимостью 100 см3 и доводят объем в колбе до метки дистиллированной водой.
кислота соляная по ГОСТ 3118, ч.д.а. или ч.
2,4-Динитрофенилгидразин (ДНФГ) по [17], ч., раствор с массовой долей 0,2%. Готовят растворением 2 г ДНФГ в 500 см3 дистиллированной воды в мерной колбе вместимостью 1000 см3, добавляют 200 см3 концентрированной соляной кислоты и доводят объем до метки дистиллированной водой. Раствор выдерживают сутки, очищают, хранят в посуде из темного стекла и используют в течение недели.
Азот по ГОСТ 9293 или любой другой инертный газ.
Вода дистиллированная по ГОСТ 6709.
Смесь охлаждающая температурой минус 10 °С - минус 20 °С.
Бумага фильтровальная по ГОСТ 12026 марки ФНБ или ФНС.
7.8.2.2 Подготовка к анализу
Регенерация отработанного четыреххлористого углерода
Отработанный четыреххлористый углерод перегоняют на приборе (рисунок 10).
Примерно 500 см3 четыреххлористого углерода помещают в колбу вместимостью 1000 см3 и отгоняют на кипящей водяной бане до тех пор, пока будет отгоняться бесцветный продукт, но не более 3/4 первоначального объема. Значение оптической плотности раствора контрольного опыта, проведенного с отогнанным четыреххлористым углеродом, не должно превышать значение оптической плотности раствора контрольного опыта четыреххлористым углеродом марки ч.д.а. В противном случае перегонку четыреххлористого углерода повторяют.
Очистка раствора 2,4-динитрофенилгидразина (2,4-ДНФГ)
Часть приготовленного раствора 2,4-ДНФГ (примерно 300 см3) помещают в делительную воронку вместимостью 500 см3, добавляют 50 см3 четыреххлористого углерода и встряхивают в течение 5 мин. Четыреххлористый углерод (нижний слой) сливают и повторяют экстракцию еще дважды. Водный раствор 2,4-ДНФГ фильтруют через фильтровальную бумагу в склянку из темного стекла. Используют в течение недели, после чего очистку повторяют.
Определение градуировочной характеристики
В делительную воронку берут пипеткой 20 см3 раствора 2,4-ДНФГ, добавляют с помощью пипетки вместимостью 1 см3 от 0,1 до 1,0 см3 стандартного раствора ацетона и проводят экстракцию четыреххлористым углеродом 4 раза по 20 см3, встряхивая содержимое воронки каждый раз в течение 5 мин. Нижний углеводородный слой сливают в мерную колбу вместимостью 100 см3 и доводят объем в колбе до метки четыреххлористым углеродом. Раствор перемешивают и измеряют его оптическую плотность по отношению к дистиллированной воде в кювете с толщиной поглощающего свет слоя 20 мм при синих светофильтрах [длина волны
(430±10) нм].
Параллельно проводят холостой опыт без стандартного раствора.
Для установления градуировочной характеристики необходимо провести не менее пяти измерений оптической плотности каждого градуировочного раствора. На основании результатов измерений рассчитывают уравнение линейной зависимости методом наименьших квадратов. Функцией уравнения является разность оптических плотностей рабочего и холостого опытов, переменная - масса ацетона, (мг). Допускается построение градуировочного графика на миллиметровой бумаге. Для этого по оси абсцисс откладывают массу ацетона в миллиграммах, а на оси ординат - соответствующую ему разность оптических плотностей рабочего и холостого опытов. График строят в масштабе: 20 мм соответствует 0,1 мг ацетона и 0,05 значения оптической плотности.
График проверяют при смене партии реактива ДНФГ.
7.8.2.3 Проведение анализа
10 см3 пробы, отобранной по 7.2, переводят в предварительно взвешенную склянку (рисунок 4), охлажденную охлаждающей смесью, или предварительно взвешенный на весах (III) класса точности контейнер (см. рисунок 1), в контейнер бутадиен-1,3 переводят из баллона через иглу от медицинского шприца.
Охлаждают склянку с пробой 3-5 мин, вынимают из охлаждающей смеси, насухо вытирают, корпус склянки погружают в сосуд со спиртом, снова вытирают и взвешивают. Контейнер после отбора пробы также взвешивают.
Массу навески бутадиена-1,3 допускается определять также по ее объему, отбирая пробу в откалиброванную ампулу.
Соединяют выходной отвод склянки (контейнера с помощью иглы) с абсорбционным сосудом (рисунок 11 а или б), содержащим 20 см3 раствора ДНФГ, а входной отвод склянки - через тройник к линии азота. Свободный конец тройника, служащий для сброса избыточного давления азота из линии, снабжают винтовым зажимом.
Проводят свободное испарение бутадиена-1,3 из ампулы (контейнера). Скорость испарения подбирают таким образом, чтобы проба полностью испарилась приблизительно в течение 30 мин. После полного испарения пробы подают азот и ведут продувку склянки (контейнера с помощью дополнительной иглы) в течение 5 мин.
Затем прекращают подачу азота и переводят раствор ДНФГ из абсорбционного сосуда в делительную воронку. Абсорбционный сосуд промывают дважды по 5 см3 четыреххлористым углеродом, промывные растворы соединяют с раствором ДНФГ в делительной воронке.
Раствор в делительной воронке встряхивают четырьмя порциями по 20 см3 четыреххлористого углерода и поступают далее, как при построении градуировочного графика.
Параллельно проводят холостой опыт. По разности оптических плотностей растворов рабочего и холостого опытов рассчитывают по уравнению линейной зависимости (находят по градуировочному графику) массу ацетона в навеске в миллиграммах.
7.8.2.4 Вычисление результата анализа
Массовую долю карбонильных соединений (X6), %, в пересчете на Ацетон рассчитывают по формуле (15)
где m - масса ацетона, рассчитанная по уравнению (найденная по графику), мг;
m1 - масса навески бутадиена-1,3, г, рассчитанная по формуле 14.
За результат анализа принимают результат одного определения.
7.8.2.5 Метрологические характеристики методики
Методика измерений обеспечивает получение результатов измерений с погрешностью, не превышающей значений, приведенных в таблице 9.
Таблица 9 - Диапазон измерений, значения показателей повторяемости, воспроизводимости и точности
7.9 Определение массовой доли монозамещенных ацетиленовых углеводородов
Определение проводят аргентометрическим и хроматографическим методами. При разногласиях в оценке определение проводят аргентометрическим методом.
7.9.1 Определение массовой доли монозамещенных ацетиленовых углеводородов аргентометрическим методом
Определение основано на взаимодействии монозамещенных ацетиленовых углеводородов со спиртовым раствором азотнокислого серебра и выделением азотной кислоты. Выделившуюся азотную кислоту титруют щелочью в присутствии смешанного индикатора.
7.9.1.1 Оборудование, посуда, реактивы
Весы лабораторные среднего (III) класса точности с наибольшим пределом взвешивания 500 г по ГОСТ Р 53228.
Бюретка 1-1-1-2-0,01 по ГОСТ 29251.
Пипетка с одной меткой 2-2-10 по ГОСТ 29169.
Цилиндры 2-25(50)-1 по ГОСТ 1770.
Контейнер, состоящий из кожуха и склянки вместимостью 50 см3 (рисунок 1).
Склянка вместимостью 50 см3 с сифоном (рисунок 4) или склянка без сифона, на конец которой надета толстостенная резиновая трубка с винтовым зажимом.
Чехол из плотной ткани по размерам ампулы.
Поглотители вместимостью примерно 100 см3 с впаянными или вставленными на пробке барботерами (рисунок 12) или склянки СН-1-100.
Рисунок 12 - Поглотитель
Рисунок 12 - Поглотитель
Насос вакуумный, обеспечивающий вакуум (1,33±0,6) кПа [(10±5) мм рт.ст.].
Колба Кн-1-500-29/32 по ГОСТ 25336.
Серебро азотнокислое по ГОСТ 1277, водный раствор с массовой долей 5%.
Спирт этиловый ректификованный по ГОСТ 18300 или спирт этиловый питьевой 95%-ный по ГОСТ Р 51723.
Натрия гидроокись по ГОСТ 4328, ч.д.а., раствор молярной концентрации c(NaOH)=0,01 моль/дм3 и раствор с массовой долей 10% или калия гидроокись по ГОСТ 24363, ч.д.а., раствор молярной концентрации c(KOH)=0,01 моль/дм3 и раствор с массовой долей 10%.
Кислота серная по ГОСТ 4204, ч.д.а., раствор концентрации c(1/2H2SO4)=0,01 моль/дм3 и раствор с массовой долей 5%.
Смешанный индикатор: 0,12 г метилового красного и 0,05 г метилового синего в 100 см3 этилового спирта по ГОСТ 18300. Используют в течение месяца.
Вода дистиллированная с pH=6,5-7,0, оттитрованная по смешанному индикатору.
Смесь охлаждающая с температурой минус 10 °С - минус 20 °С.
Секундомер или часы песочные на 5 мин.
7.9.1.2 Проведение анализа
Из ампулы откачивают в течение 5 мин с помощью вакуумного насоса воздух, закрывают зажим и надевают на нее чехол из плотной ткани. Ампулу взвешивают, охлаждают в охлаждающей смеси в течение 5 мин, подсоединяют к пробоотборнику и отбирают примерно 25 см3 бутадиена-1,3.
Ампулу с чехлом снова взвешивают и присоединяют затем к пяти последовательно соединенным поглотителям. Бутадиен-1,3 для анализа можно также отобрать из пробоотборника в контейнер*, который затем через иглу шприца также подсоединяют к поглотителям. В первый по ходу газа поглотитель наливают предварительно 15-20 см3 раствора серной кислоты с массовой долей 5% для связывания аммиака или аминов, во второй - 15-20 см3 раствора гидроксида натрия с массовой долей 10% для связывания кислых паров, в третий - 15-20 см3 дистиллированной воды, а в четвертый и пятый - 10 см3 раствора азотнокислого серебра и по 45 см3 этилового спирта. Открывают постепенно зажим и испаряют углеводороды с такой скоростью, чтобы не было переброса раствора из одного поглотителя в другой. Продолжительность испарения 25 см3 бутадиена-1,3 составляет 40-60 мин. По окончании испарения содержимое четвертого и пятого поглотителей переводят в коническую колбу вместимостью 500 см3, обмывают стенки и барботеры 150 см3 дистиллированной воды, перенося смыв в ту же колбу.
__________________
* Отбор пробы в контейнер допускается при массовой доле ацетиленовых 0,005 и менее. При большей концентрации возможно получение заниженных результатов из-за трудности регулирования скорости испарения.
Затем к полученному раствору прибавляют 7-8 капель раствора индикатора и титруют из микробюретки раствором гидроксида калия или натрия молярной концентрации c(KOH) или c(1/2H2SO4)=0,01 моль/дм3 или раствором кислоты в зависимости от среды. Индикатор имеет в кислой среде розовую окраску, в щелочной - зеленую, переходный цвет - серый.
С тем же количеством воды и реактивов проводят контрольный опыт. В зависимости от среды титруют также кислотой или щелочью. Объем, израсходованный на титрование, фиксируют с точностью до 0,02 см3.
7.9.1.3 Вычисление результата анализа
Массовую долю монозамещенных ацетиленовых соединений в расчете на винилацетилен (X7), %, вычисляют по формулам:
пробу и раствор контрольного опыта титруют кислотой (16)
пробу титруют щелочью, раствор контрольного опыта - кислотой (17)
пробу и раствор контрольного опыта титруют щелочью (18)
где V1 - объем раствора щелочи молярной концентрации c(NaOH)=0,01 моль/дм3 или c(KOH)=0,01 моль/дм3 или кислоты молярной концентрации c(1/2H2SO4)=0,01 моль/дм3, израсходованный на титрование пробы, см3;
V2 - объем раствора щелочи молярной концентрации c(NaOH)=0,01 моль/дм3 или c(KOH)=0,01 моль/дм3 или кислоты молярной концентрации c(1/2H2SO4)=0,01 моль/дм3, израсходованный на титрование в контрольном опыте, см3;
0,00052 - масса винилацетата, эквивалентная 1 см3 раствора щелочи молярной концентрации c(NaOH)=0,01 моль/дм3 или c(KOH)=0,01 моль/дм3, г/см3;
m - масса навески бутадиена-1,3, г.
Вычисление и контроль качества результатов измерений при реализации в лаборатории - согласно 7.16.
7.9.1.4 Метрологические характеристики методики
Методика измерений обеспечивает получение результатов измерений с погрешностью, не превышающей значений, приведенных в таблице 10.
Таблица 10 - Диапазон измерений, значения пределов повторяемости и воспроизводимости
7.9.2 Определение массовой доли монозамещенных ацетиленовых углеводородов в бутадиене-1,3 газохроматографическим методом
Определение массовой доли примесей в бутадиене-1,3: бутина-1, бутина-2 и винилацетилена основано на разделении компонентов смеси методом газожидкостной хроматографии с последующим фиксированием выходящих из колонки компонентов детектором ионизации в пламени. Для расчета концентрации компонентов использован метод абсолютной градуировки.
7.9.2.1 Оборудование, материалы, реактивы
Весы лабораторные электронные ВЛТЭ-1100 второго класса точности по [8] с наибольшим пределом взвешивания 1100 г, границы допускаемой погрешности - ±0,06 г.
Хроматограф газовый с пламенноионизационным детектором или аппаратно-хроматографический комплекс, оснащенный блоком управления хроматографом и блоком обработки хроматографической информации с программным обеспечением.
Колонки хроматографические насадочные длиной 10 м, внутренним диаметром 3 мм или капиллярные с нанесенной жидкой фазой, обеспечивающие разделение компонентов не хуже, чем на насадочных колонках.
Медицинский шприц вместимостью 2 см3 по ГОСТ 22967.
Лупа* измерительная по ГОСТ 25706.
________________
* Для обработки данных рекомендуется использовать программное обеспечение хроматографа.
Линейка измерительная с ценой деления 1 мм по ГОСТ 427.
Секундомер механический.
Печь муфельная, обеспечивающая нагрев до температуры 1100 °С.
Шкаф сушильный, обеспечивающий нагрев до температуры 350 °С.
Насос вакуумный масляный 3НВР-1Д.
Вибратор лабораторный.
Набор сит "Физприбор" по [9].
Стакан В-1-600 ТС по ГОСТ 25336.
Баня водяная лабораторная по [18].
Колба стеклянная круглодонная по ГОСТ 25336 вместимостью 500 см3, снабженная пробкой с сифоном.
Посуда лабораторная фарфоровая по ГОСТ 9147.
Контейнер, состоящий из кожуха и склянки вместимостью 50 см3 (рисунок 1).
Склянка (бутыль) номинальной вместимостью 1000 см3.
Цилиндр 1-250-2 по ГОСТ 1770.
Твердый носитель: диатомитовый кирпич или цветохром 1К фракции (0,125-0,315) мм по ГОСТ 2694.
Неподвижная фаза: бис-2-(цианэтил)овый эфир для хроматографии по приложению Б.
Хлороформ по ГОСТ 20015, очищенный.
Ацетон по ГОСТ 2603, ч.д.а.
Спирт этиловый технический по ГОСТ 17299.
Водород технический по ГОСТ 3022.
Азот газообразный по ГОСТ 9293.
Воздух технический по ГОСТ 17433.
Гелий газообразный по [12] марки Б.
Кислота азотная концентрированная по ГОСТ 4461.
Вода дистиллированная по ГОСТ 6709.
Метиловый оранжевый (индикатор) по [11], водный раствор с массовой долей 0,2%.
Бутадиен-1,3 с массовой долей основного вещества не менее 99% марки А.
7.9.2.2 Подготовка к анализу
Приготовление неподвижной фазы - по 7.4.2.1
Для приготовления неподвижной фазы берут 100 г диатомитового носителя и 15 г бис-2-(цианэтил)ового эфира, растворенного в 200 см3 хлороформа.
Колонку заполняют согласно 7.4.2.2. Используют хроматографическую колонку, изготовленную из стальной или стеклянной трубки внутренним диаметром 3-4 мм.
Подготовка хроматографа к работе
Подготовку хроматографа и вывод на рабочий режим выполняют в соответствии с требованиями инструкции по монтажу и эксплуатации хроматографа, прилагаемой к прибору, и следующими параметрами:
При этих условиях разделение определяемых компонентов должно быть аналогичным указанному на рисунке 13.
1 - бутадиен-1,3; 2 - метилэтиловый эфир; 3 - бутин-1; 4 - винилацетилен; 5 - бутин-2
Рисунок 13
Определение градуировочных коэффициентов
Определение градуировочных коэффициентов проводят путем анализа искусственных бинарных смесей состава бутадиена-1,3 в воздухе.
Для приготовления смеси используют склянку известной вместимости. Помещают в склянку стеклянные палочки для перемешивания и закрывают с помощью самоуплотняющейся прокладки. Медицинским шприцем вводят в склянку 0,5 см3 газообразного бутадиена-1,3. Допускается для приготовления смеси использовать другой сосуд с известным объемом, обеспечивающий сохранность смеси и возможность введения в него бутадиена-1,3. Газовую смесь перемешивают и используют в течение не более 7 дней. Чистым шприцем отбирают на анализ 0,5-1 см3 газовой смеси, вводят в хроматографическую колонку и записывают хроматограмму при условиях, указанных выше. Готовят не менее трех образцов. Каждый образец анализируют пять раз.
Площади пиков на хроматограмме рассчитывают по 7.4.5.
Градуировочный коэффициент по бутадиену-1,3 (K), мг/см2, рассчитывают по формуле (19)
где V1 - объем бутадиен-1,3, взятого для приготовления бинарной смеси, см3;
p - плотность газообразного бутадиена-1,3 (2,45), мг/см3;
V2 - объем смеси, взятый на анализ, см3;
Si - площадь пика бутадиена-1,3 на хроматограмме, см3;
V3 - объем склянки, см3.
Аналогично анализируют все смеси и вычисляют среднеарифметическое значение градуировочного коэффициента. Стабильность градуировочного коэффициента проверяют ежедневно по образцу для градуировки состава бутадиен-1,3 в воздухе.
Градуировочный коэффициент (K) вычисляют по формуле (20)
где Nнов - число анализов, на основании которых найдено значение Kнов;
Kнов - среднее значение градуировочного коэффициента, найденное в новой серии опытов;
Nст - число анализов, на основании которых найдено значение Kст;
Kст - прежнее значение среднего градуировочного коэффициента.
Градуировочный коэффициент является стабильным, если разность между значениями коэффициента, установленного ранее, Kст и коэффициента, устанавливаемого вновь, Kнов не превышает 20%. В случае нестабильности значений градуировочного коэффициента его устанавливают заново.
Градуировку проводят тем же шприцем, с помощью которого затем проводят анализ.
Хроматограмма примесей ацетиленовых углеводородов в бутадиене-1,3 приведена на рисунке 13.
7.9.2.3 Проведение анализа
Анализируемую пробу бутадиена-1,3, охлажденную до температуры 0° - минус 20 °С, испаряют в медицинский шприц, подогретый до температуры 35 °С - 40 °С, и вводят в хроматографическую колонку. Проводят запись хроматограммы при условиях, указанных в 7.9.2.2.
Устанавливают качественный состав смеси по таблице относительных объемов удерживания (таблица 11) или типовой хроматограмме (рисунок 13).
Таблица 11 - Относительные объемы удерживания Vотн на колонке с неподвижной фазой бис-2-(цианэтил)овый эфир на диатомитовом носителе
Площади пиков компонентов вычисляют по формуле 1.
7.9.2.4 Вычисление результата анализа
Массовую долю бутина-1, винилацетилена или бутина-2 (Xi), %, рассчитывают по формуле (21)
где K - градуировочный коэффициент, мг/см2;
Si - площадь пика определяемого компонента с учетом коэффициента переключения, см2;
V - объем газообразной пробы, введенный в колонку прибора, см3;
2,45 - плотность анализируемой пробы, мг/см3.
Массовую долю монозамещенных ацетиленовых соединений определяют как сумму массовых долей бутина-1, бутина-2, винилацетилена и метилацетилена, определяемого по 7.10.
Вычисление и контроль качества результатов измерений при реализации в лаборатории - согласно 7.16.
7.9.2.5 Метрологические характеристики метода
Методика измерений обеспечивает получение результатов измерений с погрешностью, не превышающей значений, приведенных в таблице 12.
Таблица 12 - Диапазон измерений массовой доли монозамещенных ацетиленовых углеводородов, значения пределов повторяемости, воспроизводимости и критического диапазона при доверительной вероятности P=0,95
7.10 Определение массовой доли алленовых углеводородов и метилацетилена в бутадиене-1,3 газохроматографическим методом
Определение массовой доли примесей в бутадиене-1,3 основано на разделении компонентов смеси методом газожидкостной хроматографии с последующим фиксированием выходящих из колонки компонентов детектором ионизации в пламени.
Для расчета массовой доли компонентов использован метод абсолютной градуировки.
7.10.1 Оборудование, посуда, реактивы
Хроматограф газовый с пламенноионизационным детектором или аппаратно-хроматографический комплекс, оснащенный блоком управления хроматографом и блоком обработки хроматографической информации с программным обеспечением.
Колонка хроматографическая насадочная длиной 10 м, внутренним диаметром 3-4 мм или капиллярные колонки с нанесенной жидкой фазой, обеспечивающие разделение компонентов не хуже, чем на насадочных колонках.
Весы лабораторные среднего (III) класса точности по ГОСТ Р 53228 с наибольшим пределом взвешивания 500 г.
Медицинский шприц вместимостью 2 см3 по ГОСТ 22967.
Лупа* измерительная с ценой деления 0,1 мм по ГОСТ 25706.
________________
* Для обработки данных рекомендуется использовать программное обеспечение хроматографа.
Линейка измерительная с ценой деления 1 мм по ГОСТ 427.
Секундомер механический по [19].
Печь муфельная, обеспечивающая нагрев до температуры 1100 °С.
Шкаф сушильный, обеспечивающий нагрев до температуры 350 °С.
Насос вакуумный масляный 3НВР-1Д.
Вибратор лабораторный.
Набор сит "Физприбор" по [9].
Стакан В-1-600 ТС по ГОСТ 25336.
Баня водяная лабораторная по [18].
Колба стеклянная круглодонная по ГОСТ 25336 вместимостью 500 см3, снабженная пробкой с сифоном.
Посуда лабораторная фарфоровая по ГОСТ 9147.
Контейнер, состоящий из кожуха и склянки вместимостью 50 см3 (рисунок 1).
Склянка (бутыль) номинальной вместимостью 1000 см3.
Цилиндр 1-250-2 по ГОСТ 1770.
Твердый носитель: диатомитовый кирпич или цветохром 1К фракции 0,125-0,315 мм по ГОСТ 2694.
Фаза жидкая: вазелиновое масло медицинское по ГОСТ 3164.
Кислота азотная концентрированная по ГОСТ 4461.
Вода дистиллированная по ГОСТ 6709.
Водород технический по ГОСТ 3022.
Азот газообразный по ГОСТ 9293.
Ацетон по ГОСТ 2603, ч.д.а.
Спирт этиловый технический по ГОСТ 17299.
Гелий газообразный по [12] марки Б.
Воздух технический по ГОСТ 17433.
Диэтиловый эфир по [10], ч.д.а.
Метиловый оранжевый (индикатор) по [11], водный раствор с массовой долей 0,2%.
7.10.2 Подготовка к анализу
Приготовление неподвижной фазы проводят по 7.4.2.1.
Для приготовления неподвижной фазы берут 100 г диатомитового носителя и 15 г вазелинового масла, растворенного в 200 см3 этилового спирта.
Заполнение хроматографической колонки выполняют по 7.4.2.2.
7.10.2.1 Подготовка хроматографа
Подготовку хроматографа и вывод на рабочий режим выполняют в соответствии с требованиями инструкции по монтажу и эксплуатации хроматографа, прилагаемой к прибору, и следующим параметрам:
При этих условиях разделение определяемых компонентов должно быть аналогичным, указанному на рисунке 14.
Рисунок 14 - Хроматограмма примесей алленовых углеводородов в бутадиене-1,3
1 - пропилен; 2 - метилацетилен; 3 - аллен; 4 - изобутан; 5 - бутадиен-1,3; 6 - цис-B-бутилен; 7 - метилаллен
Рисунок 14 - Хроматограмма примесей алленовых углеводородов в бутадиене-1,3
7.10.2.2 Определение градуировочных коэффициентов
Определение градуировочных коэффициентов проводят по 7.9.2.2.
7.10.3 Проведение анализа
Анализируемую пробу бутадиена-1,3, охлажденного до температуры 0 °С - минус 20 °С, испаряют в медицинский шприц, подогретый до температуры 35 °С - 40 °С, и вводят в хроматографическую колонку.
Проводят запись хроматограммы при условиях, указанных в 7.10.2.1. Устанавливают качественный состав смеси по таблице относительных объемов удерживания (таблица 13) или типовой хроматограмме (рисунок 14).
Таблица 13 - Относительные объемы удерживания Vотн на колонке с неподвижной фазой вазелиновое масло на диатомитовом носителе
7.10.4 Обработка хроматограммы и вычисление результатов анализа
Площади пиков компонентов-примесей измеряют по 7.4.5. Высоту и ширину пиков, находящихся на "хвосте" хроматограммы, измеряют, как показано на рисунке 14.
Массовую долю метилацетилена, аллена, метилаллена Xi (%) рассчитывают по 7.9.2.4.
Вычисление проводят до третьего десятичного знака. Массовые доли аллена и метилаллена складывают и округляют до второго десятичного знака. За результат анализа принимают результат одного определения.
7.10.5 Метрологические характеристики метода
Методика измерений обеспечивает получение результатов измерений с погрешностью, не превышающей значений, приведенных в таблице 14.
Таблица 14 - Диапазон измерений массовой доли алленовых углеводородов и метилацетилена, значения пределов повторяемости, воспроизводимости и критического диапазона при доверительной вероятности P=0,95
7.11 Определение массовой доли тяжелого остатка
Определение массовой доли тяжелого остатка основано на разделении компонентов анализируемой смеси методом газожидкостной хроматографии с применением крана обратной продувки. Выходящие из колонки компоненты фиксируются детектором по теплопроводности. Для расчета массовой доли компонентов использован метод нормализации без поправочных коэффициентов.
7.11.1 Оборудование, посуда, реактивы
Хроматограф газовый с детектором по теплопроводности или аппаратно-хроматографический комплекс, оснащенный блоком управления хроматографом и блоком обработки хроматографической информации с программным обеспечением.
Колонка хроматографическая длиной 3-4 м, внутренним диаметром 3-4 мм или капиллярные колонки с нанесенной жидкой фазой, обеспечивающие разделение компонентов не хуже, чем на насадочных колонках.
Твердый носитель: триэтиленгликольдибутират для хроматографии по [7], нанесенный на диатомитовый кирпич или цветохром 1К фракции 0,125-0,315 мм по ГОСТ 2694.
Медицинский шприц вместимостью 5 см3 по ГОСТ 22967.
Лупа* измерительная по ГОСТ 25706.
________________
* Для обработки данных рекомендуется использовать программное обеспечение хроматографа.
Линейка измерительная с ценой деления 1 мм по ГОСТ 427.
Водород технический по ГОСТ 3022.
Устройство для изменения направления потока газа-носителя (кран обратной продувки).
7.11.2 Подготовка к анализу
Приготовление неподвижной фазы проводят по 7.4.2.1.
Заполнение хроматографической колонки выполняют по 7.4.2.2.
7.11.2.1 Подготовка хроматографа
Подготовку хроматографа и вывод на рабочий режим выполняют в соответствии с требованиями инструкции по монтажу и эксплуатации хроматографа, прилагаемой к прибору, и следующими параметрами:
При этих условиях разделение определяемых компонентов должно быть аналогичным указанному на рисунке 15.
Рисунок 15 - Хроматограмма определения тяжелого остатка в бутадиене-1,3
1 - сумма углеводородов C3-C4; 2 - сумма углеводородов C4; 3 - тяжелый остаток
Рисунок 15 - Хроматограмма определения тяжелого остатка в бутадиене-1,3
7.11.3 Проведение анализа
Анализируемую пробу бутадиена-1,3, охлажденного до температуры 0 °С - минус 20 °С, испаряют в медицинский шприц, подогретый до температуры 30 °С - 40 °С, и вводят в хроматографическую колонку.
После выхода пика бутадиена-1,3 и возвращения пера самопишущего прибора к нулевой линии изменяют направление потока газа-носителя переключением крана обратной продувки. В случае присутствия тяжелого остатка его компоненты выходят одним пиком (иногда неправильной формы).
7.11.4 Обработка хроматограммы и вычисление результатов анализа
Рассчитывают площади пиков компонентов по 7.4.5. Массовую долю тяжелого остатка (Xi) рассчитывают по формуле (1).
Вычисление проводят до третьего десятичного знака, полученный результат округляют до второго десятичного знака. Выполняют два определения в условиях повторяемости.
7.11.5 Метрологические характеристики метода
Методика измерений обеспечивает получение результатов измерений с погрешностью, не превышающей значений, приведенных в таблице 15.
Таблица 15 - Диапазон измерений массовой доли "тяжелого остатка", значения показателей повторяемости, воспроизводимости, правильности и точности
7.12 Определение массовой доли меди
Определение основано на способности солей двухвалентной меди при взаимодействии с водным раствором диэтилдитиокарбамата натрия образовывать комплекс, окрашенный в желтый цвет. Интенсивность окраски, пропорциональную массовой доле меди, измеряют на фотоэлектроколориметре при длине волны
(430±10) нм.
7.12.1 Оборудование, посуда и реактивы
Весы лабораторные высокого (II) и среднего (III) классов точности по ГОСТ Р 53228 с наибольшими пределами взвешивания 200 и 500 г соответственно.
Колориметр фотоэлектрический.
Кюветы с толщиной поглощающего свет слоя 20 мм.
Цилиндры 2-25(100)-1 по ГОСТ 1770.
Пипетки градуированные 1(3)-1-2-1, 1(3)-1-2-5, 1-1-1-1 по ГОСТ 29227.
Пипетки с одной отметкой 2-2-10 по ГОСТ 29169.
Воронка делительная ВД-2-250 ХС по ГОСТ 25336.
Воронка В-56-80 ХС по ГОСТ 25336.
Секундомер или часы песочные на 2 и 3 мин.
Склянка толстостенная вместимостью 250 см3. На склянке делают метку, соответствующую объему 120 см3. В резиновую пробку вставляют отрезок стеклянной трубки с краном или винтовым зажимом. Пробку в склянке можно крепить с помощью специального держателя (рисунок 16).
Рисунок 16 - Держатель
1 - толстостенная склянка вместимостью 250 см3; 2 - резиновая пробка N 22 с отверстием; 3 - полумуфта (хомут) высотой 17 мм; 4 - держатель пробки; 5 - болты для крепления полумуфты болтом и гайкой; 6 - болты для крепления держателя пробки; 7 - гайки для крепления держателя пробки; 8 - стеклянная трубка диаметром 8 мм с краном; 9 - каучуковая трубка диаметром 8 мм; 10 - зажим Мора
Рисунок 16 - Держатель
Чехол из плотной ткани по размерам склянки.
Вода дистиллированная по ГОСТ 6709.
Бумага фильтровальная по ГОСТ 12026.
Натрия N,N-диэтилдитиокарбамат 3-водный по ГОСТ 8864, х.ч., раствор с массовой долей 1%, готовят следующим образом: растворяют 1 г диэтилдитиокарбамата натрия в небольшом количестве воды, фильтруют и доводят объем фильтрата до 100 см3 водой. Раствор хранят в склянке из темного стекла, он устойчив в течение месяца.
аммиак водный по ГОСТ 3760, ч.д.а., раствор с массовой долей 25%.
Кислота азотная по ГОСТ 4461, х.ч.
Соль динатриевая этилендиамин-N,N,N',N'-тетрауксусной кислоты 2-водная (трилон б) по ГОСТ 10652, х.ч., раствор молярной концентрации c(C10H14N2O8Na2)=0,05 моль/дм3, готовят следующим образом: растворяют 18,64 г трилона Б в 1 дм3 воды. Допускается приготовление раствора трилона Б из фиксанала.
Цитрат аммония, раствор готовят одним из следующих способов:
1) смешивают 210 см3 раствора аммиака со 150 см3 воды и прибавляют небольшими порциями 200 г лимонной кислоты по ГОСТ 3652, х.ч., перемешивая и охлаждая. Разбавляют водой до 500 см3 и перемешивают;
2) 300 г однозамещенного цитрата аммония по [20] растворяют в смеси 216 см3 раствора аммиака с массовой долей 25% и 120 см3 воды. После охлаждения раствор разбавляют до 1 дм3 и фильтруют. Раствор должен быть бесцветным.
Хлороформ по ГОСТ 20015, очищенный или фармакопейный.
Медь (II) сернокислая 5-водная по ГОСТ 4165, раствор 1 мг/см3 готовят по ГОСТ 4212 1 см3 полученного раствора содержит 1 мг меди. Разбавлением этого раствора в 200 раз получают раствор с массовой концентрацией меди 0,005 мг/см3, используемый для построения градуировочного графика. Раствор используют свежеприготовленным.
Смесь охлаждающая с температурой минус 10 °С - минус 20 °С.
Крезоловый красный (индикатор) по [21], раствор с массовой долей 0,1% в растворе этилового спирта с массовой долей 20%.
Спирт этиловый по ГОСТ 18300, высший сорт.
7.12.2 Подготовка к анализу
В делительную воронку вместимостью 250 см3 помещают пипеткой 0 (холостой опыт); 0,5; 1; 2...5 см3 раствора меди массовой концентрацией 0,005 мг/см3 и доводят объем водой до 100 см3. Добавляют 5 см3 раствора цитрата аммония и 10 см3 раствора трилона Б (для связывания в комплекс других катионов, присутствующих в качестве примесей в реактивах, воде, бутадиене-1,3), 2 капли крезолового красного и нейтрализуют раствором аммиака, прибавляя его по каплям и тщательно перемешивая раствор в воронке до перехода окраски от розовой через желтую к сиреневой. Затем приливают 10 см3 хлороформа, встряхивают смесь в течение 2 мин, дают слоям разделиться и отбрасывают слой хлороформа. Обработку хлороформом повторяют дважды. Затем к водному раствору приливают 10 см3 раствора диэтилдитиокарбамата натрия и 10 см3 хлороформа. Встряхивают смесь 3 мин и после отстаивания хлороформный слой фильтруют через фильтровальную бумагу в кювету с толщиной поглощающего свет слоя 20 мм и измеряют оптическую плотность при длине волны (430±10) нм (синий светофильтр). В кювету сравнения наливают дистиллированную воду. Оптическая плотность раствора контрольного опыта должна быть не более 0,1.
Для установления градуировочной характеристики необходимо провести не менее пяти измерений оптической плотности каждого градуировочного раствора. На основании результатов измерений рассчитывают уравнение линейной зависимости методом наименьших квадратов. Функцией уравнения является разность оптических плотностей рабочего и холостого опытов, переменная - масса меди (мг). Допускается построение градуировочного графика на миллиметровой бумаге. Для этого на оси ординат откладывают разность оптических плотностей растворов рабочего и контрольного опытов, а на оси абсцисс - соответствующие им массы меди в миллиграммах. Масштаб графика: 0,2 единицы оптической плотности и 0,005 мг меди равны 20 мм.
График проверяют один раз в год.
7.12.3 Проведение анализа
Склянку, содержащую 20 см3 воды и 1 см3 азотной кислоты, охлаждают в охлаждающей смеси, не замораживая содержимого. Затем наливают из пробоотборника 100 см3 бутадиена-1,3 (метка на склянке). Склянку закрывают пробкой со вставленной трубкой, укрепляют пробку держателем (при наличии), надевают на склянку чехол и закрывают кран (зажим на трубке). Встряхивают содержимое в течение 3 мин, периодически охлаждая склянку и стравливая давление. Затем переворачивают склянку вверх дном, осторожно приоткрывая кран (зажим на трубке), сливают нижний водный слой в делительную воронку, исключая попадание туда углеводородов. Объем в воронке доводят до 100 см3 водой (метка на воронке), вносят 5 см3 раствора цитрата аммония, 10 см3 трилона Б и добавляют 2 капли крезолового красного, осторожно нейтрализуют аммиаком до появления фиолетовой окраски раствора (отсутствие избыточного количества аммиака исключает мешающее влияние ингибиторов ТБК и ДСИ). Затем вносят в воронку 10 см3 хлороформа и анализ продолжают, как в 7.12.2 при построении графика, начиная со слов: "встряхивают смесь в течение 2 мин".
Холостой опыт проводят со 100 см3 воды, 1 см3 азотной кислоты, 5 см3 раствора цитрата аммония, 10 см3 раствора трилона Б, двумя каплями крезолового красного, как при проведении анализа. По разности оптических плотностей растворов рабочего и холостого опытов рассчитывают массу меди в миллиграммах по уравнению линейной зависимости (находят по градуировочному графику).
7.12.4 Вычисление результата анализа
Массовую долю меди (X8), %, рассчитывают по формуле (22)
где m - масса меди, рассчитанная по уравнению (найденная по графику), мг;
100 - объем пробы бутадиена-1,3, взятый для анализа, см3;
0,65 - принятая плотность бутадиена-1,3 при температуре охлаждающей смеси, г/см3.
Вычисление проводят до шестого десятичного знака, результат анализа округляют до пятого десятичного знака.
За результат анализа принимают результат одного определения.
7.12.5 Метрологические характеристики метода
Методика измерений обеспечивает получение результатов измерений с погрешностью, не превышающей значений, приведенных в таблице 16.
Таблица 16 - Диапазон измерений, значения показателей повторяемости, воспроизводимости и точности
7.13 Определение массовой доли перекисных соединений*
__________________
* При использовании ингибитора ИПОН-11011 определение проводят по 7.15.
Определение проводят полярографическим или титриметрическим йодометрическим методом. При разногласиях в оценке определение проводят титриметрическим йодометрическим методом.
7.13.1 Определение перекисных соединений полярографическим методом
Метод основан на способности перекисных соединений восстанавливаться на ртутном капающем электроде. На фоне раствора хлористого лития с молярной концентрацией c(LiCl)=0,3 моль/дм3 в бензольно-метанольной смеси перекисные соединения бутадиена-1,3 дают четкую полярографическую волну при полярографировании в интервале напряжений минус 0,2 - минус 2,0 В.
Потенциал полуволны (E1/2) перекисных соединений бутадиена-1,3 равен минус 1,1 В относительно хлорсеребряного электрода. Ингибиторы ТБК и ДСИ не мешают определению.
7.13.1.1 Оборудование, посуда, реактивы
Полярограф регистрирующий Lp-60, ОН-102.
Ячейка полярографическая термостатированная при (25±1) °С (рисунок 17), снабженная ртутным капающим электродом и хлорсеребряным электродом сравнения, трубкой для подачи азота и гидрозатвором.
Рисунок 17 - Ячейка полярографическая
1 - ртутный капающий электрод; 2 - хлорсеребряный электрод; 3 - гидрозатвор; 4 - трубка для подачи азота; 5 - отверстие для ввода пробы; 6 - рубашка для термостатирования
Рисунок 17 - Ячейка полярографическая
Термостат, обеспечивающий поддержание температуры (25±1) °С.
Склянка Дрекселя термостатированная (25±1) °С (рисунок 18).
Рисунок 18 - Термостатированная склянка Дрекселя
Рисунок 18 - Термостатированная склянка Дрекселя
Весы лабораторные высокого (II) и среднего (III) классов точности по ГОСТ Р 53228 с наибольшими пределами взвешивания 200 и 500 г.
Пипетки градуированные 1-1-1-1(2) по ГОСТ 29227.
Пипетки с одной отметкой 2-2-10(20) по ГОСТ 29169.
Пипетки специальные для отбора проб бутадиена-1,3, градуированные вместимостью 10 и 15 см3 (рисунок 19).
Рисунок 19 - Пипетка для отбора проб
Рисунок 19 - Пипетка для отбора проб
Ампула специальная для охлаждения бутадиена-1,3, изготовленная из закаленного стекла (рисунок 20).
Рисунок 20 - Ампула
Рисунок 20 - Ампула
Колбы 2-50(500)-2 по ГОСТ 1770.
Цилиндр 1-250-1 по ГОСТ 1770.
Сосуд Дьюара.
Литий хлористый по [22], х.ч.
метанол-яд по ГОСТ 6995, х.ч.
Бензол по ГОСТ 5955.
Азот сжатый, очищенный от кислорода в трубчатой печи с медным катализатором при температуре 300 °С - 400 °С.
Аргон по ГОСТ 10157, очищенный от кислорода.
Смесь охлаждающая температурой минус 10 °С - минус 20 °С.
Гидропероксид изопропилбензола технический по [23].
Стандартный раствор гидроперекиси изопропилбензола в метаноле концентрацией приблизительно 5·10-3 моль/дм3 (соответствующую навеску гидроперекиси изопропилбензола взвешивают на весах (II) класса точности в мерной колбе вместимостью 50 см3 и доводят метанолом до метки).
Раствор фоновый - раствор хлористого лития молярной концентрации c(LiCl)=0,3 моль/дм3 в смеси Бензол-метанол в объемном отношении 1:1. Готовят следующим образом: 6,36 г хлористого лития взвешивают на весах (III) класса точности, вносят в мерную колбу вместимостью 500 см3, растворяют в 250 см3 метанола и доводят до метки бензолом.
7.13.1.2 Подготовка к анализу
Ампулу (рисунок 20) погружают в охлаждающую смесь. В охлажденную ампулу с помощью сифона переносят из сосуда бутадиен-1,3, отобранный по 7.2, и погружают в него пипетку для отбора проб (с целью ее охлаждения) так, чтобы метка на пипетке не выходила более чем на 1-2 мм над уровнем бутадиена-1,3 в ампуле.
При отборе пробы бутадиена-1,3, а также при хранении и перенесении ее в ампулу следует по возможности исключить резиновые части (шланги, пробки), из которых при контакте с бутадиеном-1,3 могут извлекаться соединения, мешающие определению перекисных соединений.
7.13.1.3 Проведение анализа
10-20 см3 приготовленного фонового раствора вносят пипеткой в полярографическую ячейку и продувают в течение 15-20 мин аргоном или азотом. Для предотвращения выдувания фона из ячейки азот пропускают через склянку Дрекселя с бензольно-метанольной смесью (1:1), установленную перед входом газа в ячейку. Отключают продувку и проверяют отсутствие кислорода в фоне полярографированием в интервале напряжений минус 0,2 - минус 2,0 В при чувствительности прибора 1·10-8 А/мм. Затем охлажденной пипеткой отбирают охлажденный бутадиен-1,3 и вводят его в ячейку (10-15 см3), вновь перемешивают, дают основной массе бутадиена-1,3 испариться (с одновременной продувкой азотом или аргоном приблизительно 10 мин) и, прекратив перемешивание, оставив продувку над раствором, записывают 2-3 полярографические волны в указанном интервале напряжений*.
___________________
* В случае появления при более положительном потенциале (примерно 0,6 В относительно хлорсеребряного электрода) волны с максимумом, плохо отделяющейся от волны перекисных соединений, следует добавить к полярографируемому раствору в полярографическую ячейку 0,1 см3 водного раствора сернокислого натрия с массовой долей 5%.
После этого в ячейку вводят стандартный раствор гидроперекиси изопропилбензола, объем которого выбирают таким, чтобы волна перекиси, полученная от введения пробы, увеличилась в 1,5-2,0 раза при той же чувствительности прибора. Раствор продувают в течение 3-5 мин и снова записывают 2-3 волны.
7.13.1.4 Вычисление результата анализа
Высоту полярографической волны в миллиметрах отмеряют от уровня фоновой кривой, совмещая ее по потенциалам с полярографической волной перекисного соединения. Фоновую кривую и волну перекисного соединения в этом случае записывают на одной и той же чувствительности прибора. В случае появления максимума на волне перекисного соединения волну измеряют по высоте максимума. Измерение высоты полярографической волны перекисного соединения в пробе и суммарной волны после добавления стандартного раствора проводят до первого знака после запятой. Из значений высоты двух-трех полярографических волн берут средний результат.
Массовую долю перекисных соединений в бутадиене-1,3 (X9), %, на активный Кислород рассчитывают по формуле (23)![]()
__________________
* В случае записи волн перекисных соединений до добавки и после добавки стандартного раствора при разной чувствительности следует высоты волн пересчитать на ток в микроамперах и в формулу вместо h (мм) поставить i - (мкА).
где h1 - высота волны перекисных соединений в пробе, мм;
Vср - объем стандартного раствора, введенный в ячейку, см3;
Cср - концентрация стандартного раствора, моль/дм3;
16 - атомная масса кислорода;
Vф - объем фона, введенный в ячейку, см3;
h2 - суммарная высота волны перекисных соединений после добавки стандартного раствора, мм;
Vпр - объем пробы бутадиена-1,3, взятого на анализ, см3;
0,65 - принятая плотность бутадиена-1,3 для температуры минус 10 - минус 20 °С, г/см3.
За результат анализа принимают результат одного определения.
7.13.1.5 Метрологические характеристики метода
Методика измерений обеспечивает получение результатов измерений с погрешностью, не превышающей значений, приведенных в таблице 17.
Таблица 17 - Диапазон измерений, значения показателей повторяемости, воспроизводимости и точности
7.13.2 Определение массовой доли перекисных соединений титриметрическим йодометрическим методом
Определение основано на свойстве перекисных соединений выделять йод из подкисленных растворов йодистого калия. Выделяющийся йод титруют серноватистокислым натрием в присутствии крахмала.
Ингибиторы ТБК и ДСИ, а также продукты их окисления не мешают определению.
7.13.2.1 Оборудование, посуда, реактивы
Весы лабораторные среднего (III) класса точности по ГОСТ Р 53228 с наибольшим пределом взвешивания 500 г.
Пипетки 1-1-1-2(10) по ГОСТ 29277.
Бюретка 1-1-1-5-0,02 по ГОСТ 29251.
Колба Кн-250-1 ТС по ГОСТ 25336 с пришлифованной пробкой.
Толстостенная склянка из белого стекла вместимостью 200-250 см3.
Чехол из плотной ткани по размерам склянки.
Секундомер или часы песочные на 3 и 20 мин.
Кислота уксусная по ГОСТ 18270, о.с.ч., или по ГОСТ 61, х.ч., ледяная, пригодность которой для данного анализа проверяют по 7.13.2.2.
Калий йодистый по ГОСТ 4232, ч.д.а., раствор с массовой долей 50%.
натрий серноватистокислый (натрия тиосульфат) 5-водный по ГОСТ 27068, ч.д.а., раствор молярной концентрации c(Na2S2O3)=0,01 моль/дм3.
Крахмал растворимый по ГОСТ 10163, ч., водный раствор с массовой долей 0,5%.
Вода дистиллированная по ГОСТ 6709.
Смесь охлаждающая температурой минус 10 °С - минус 20 °С.
Азот газообразный по ГОСТ 9293 или другой инертный газ с массовой долей кислорода не более 0,2% или углерода двуокись по ГОСТ 8050.
7.13.2.2 Подготовка к анализу
Проверка пригодности уксусной кислоты
При проверке поступают так, как при проведении холостого опыта в 7.13.2.3 Колбу с содержимым выдерживают в темном месте 20 мин. Если на титрование идет менее 0,2 см3 тиосульфата натрия, Уксусная кислота пригодна для анализа.
7.13.2.3 Проведение анализа
Склянку продувают сильным током азота или углекислого газа в течение 3 мин, быстро вносят в нее в токе инертного газа 10 см3 ледяной уксусной кислоты, закрывают пробкой и взвешивают. Затем склянку помещают в охлаждающую смесь и, спустя некоторое время, в токе азота вводят с помощью сифона 10-20 г анализируемой пробы, закрывают ее пробкой, насухо вытирают и снова взвешивают.
После взвешивания склянку вновь охлаждают и вводят 1,5 см3 йодистого калия, закрывают пробкой и встряхивают содержимое в течение 3 мин, периодически стравливая давление. После встряхивания открывают пробку, помещают склянку в теплую воду температурой 30 °С - 40 °С и испаряют бутадиен-1,3. Одновременно проводят холостой опыт. Для этого в коническую колбу вместимостью 250 см3, продутую азотом или углекислым газом в течение 3 мин, вносят в токе инертного газа 10 см3 ледяной уксусной кислоты и 1,5 см3 раствора йодистого калия. Колбу закрывают пробкой и помещают ее в теплую воду вместе с пробой.
По окончании испарения бутадиена-1,3 склянку закрывают пробкой и помещают ее и колбу с раствором холостого опыта в темное место на 20 мин. По истечении этого времени приливают в склянку и колбу по 50 см3 дистиллированной воды, по 1 см3 крахмала и оттитровывают выделившийся йод раствором тиосульфата натрия в присутствии крахмала до исчезновения синей окраски.
7.13.2.4 Вычисление результата анализа
Массовую долю перекисных соединений в пересчете на активный Кислород (X10), %, рассчитывают по формуле (24)
где V1 - объем раствора тиосульфата натрия концентрации c(Na2S2O3)=0,01 моль/дм3, израсходованный на титрование анализируемой пробы, см3;
V2 - объем раствора тиосульфата натрия концентрации c(Na2S2O3)=0,01 моль/дм3, израсходованный на титрование в холостом опыте, см3;
0,00008 - массовая концентрация активного кислорода, эквивалентная 1 см3 раствора тиосульфата натрия молярной концентрации c(Na2S2O3)=0,01 моль/дм3, г/см3;
m - масса навески анализируемой пробы, г.
За результат анализа принимают результат одного определения.
7.13.2.5 Метрологические характеристики метода
Методика измерений обеспечивает получение результатов измерений с погрешностью, не превышающей значений, приведенных в таблице 18.
Таблица 18 - Диапазон измерений, значения показателей повторяемости, воспроизводимости и точности
7.14 Определение массовой доли ингибиторов (пара-трет-бутилпирокатехина и древесносмоляного)*
_________________
* Слово "трет" в наименовании пункта 7.14 в бумажном оригинале выделено курсивом. - Примечание изготовителя базы данных.
Определение основано на свойстве пара-трет-бутилпирокатехина (ТБК) и древесносмоляного ингибитора (ДСИ) восстанавливать фосфорномолибденовую кислоту, щелочной раствор которой окрашивается в синий цвет вследствие образования фосфорномолибденовой сини.
Интенсивность окраски раствора, пропорциональную массовой доле ингибитора, измеряют на фотоэлектроколориметре при длине волны
(630±40) нм.
7.14.1 Оборудование, посуда, реактивы, растворы
Весы лабораторные высокого (II) и среднего (III) классов точности по ГОСТ Р 53228 с наибольшими пределами взвешивания 200 и 500 г соответственно.
Колориметр фотоэлектрический.
Пипетки градуированные 1-1-1-1(5) по ГОСТ 29227.
Пробирка П4-15(20, 25)-14/23ХС по ГОСТ 25336 с пришлифованной пробкой.
Колба вместимостью 2-50-2 по ГОСТ 1770 с пришлифованной пробкой.
Цилиндр вместимостью 2-25-1 по ГОСТ 1770 с пришлифованной пробкой.
Контейнер, состоящий из кожуха и склянки вместимостью 50 см3 (рисунок 1).
Плитка электрическая любого типа.
Игла от шприца любого типа.
Воронка делительная ВД-1-50 ХС по ГОСТ 25336.
Воронка для фильтрования по ГОСТ 25336 диаметром (30±10) мм.
Секундомер или часы песочные на 1 и 2 мин.
Бумага фильтровальная по ГОСТ 12026 марки ФНБ или фильтр обезжиренный "желтая лента" по [24].
Спирт этиловый ректификованный технический по ГОСТ 18300.
Кислота фосфорномолибденовая по [25], ч., водный раствор с массовой долей 10%. Готовят нагреванием раствора до кипения, охлаждают и хранят в склянке из темного стекла. Раствор используют через 10 дней после приготовления.
аммиак по ГОСТ 3760, ч., водный раствор с массовой долей 25%.
Хлороформ по ГОСТ 20015, очищенный или хлороформ фармакопейный.
ТБК (ДСИ) по [26], раствор в этиловом спирте с концентрацией ТБК 0,1 мг/см3 (ДСИ 0,2 мг/см3), готовят растворением 0,05 г ТБК (0,1 г ДСИ), взвешенного на весах (II) класса точности (результат взвешивания в граммах записывают с точностью до четвертого десятичного знака), в этиловом спирте в мерной колбе вместимостью 50 см3 и рассчитывают содержание ингибитора в миллиграммах в 1 см3. Полученный раствор разбавляют в 10 раз этиловым спиртом. Готовят в день использования.
Вода дистиллированная по ГОСТ 6709.
Смесь охлаждающая температурой минус 10 °С - минус 20 °С.
7.14.2 Установление градуировочных характеристик
Строят два градуировочных графика: на ТБК и на ДСИ. В пробирки берут 0 (холостой опыт); 0,2; 0,5; 1,0; 1,5; 2,0 см3 раствора ТБК (ДСИ), доводят объем до 2,5 см3 этиловым спиртом, добавляют 1,0 см3 раствора фосфорномолибденовой кислоты, закрывают пробирку пробкой и встряхивают содержимое в течение 2 мин. Затем вводят по 0,3 см3 раствора аммиака, вновь встряхивают 1 мин, доводят объем до 10 см3 дистиллированной водой и перемешивают. Переводят раствор из пробирки в делительную воронку вместимостью 50 см3, добавляют 10 см3 хлороформа и энергично встряхивают содержимое воронки в течение 1-2 мин. После разделения слоев нижний хлороформный слой отбрасывают, а верхний (окрашенный) фильтруют через фильтровальную бумагу в кювету с толщиной поглощающего свет слоя 10 мм. Измеряют оптическую плотность при
(630±40) нм по отношению к дистиллированной воде. Время с момента перевода раствора в делительную воронку и до измерения оптической плотности не должно превышать 5 мин.
Одновременно готовят не более одного раствора.
Оптическая плотность раствора холостого опыта, измеренная относительно дистиллированной воды, должна быть не более 0,06.
Для установления градуировочной характеристики необходимо провести не менее пяти измерений оптической плотности каждого градуировочного раствора. На основании результатов измерений рассчитывают уравнение линейной зависимости методом наименьших квадратов. Функцией уравнения является разность оптических плотностей рабочего и холостого опытов, переменная - масса ТБК (ДСИ) (мг). Допускается построение градуировочного графика на миллиметровой бумаге. Для этого на оси абсцисс откладывают массу ТБК (ДСИ) в миллиграммах, а на оси ординат - соответствующую ей разность оптических плотностей растворов рабочего и холостого опыта. Масштаб: 20 мм соответствуют 0,1 единицы оптической плотности и 0,02 мг ТБК (0,04 мг ДСИ).
Проверку градуировочного графика проводят один раз в месяц для каждой новой партии ингибитора и в случае замены раствора фосфорномолибденовой кислоты.
7.14.3 Отбор пробы
В сухую толстостенную склянку вместимостью 50 см3 наливают пипеткой 5 см3 этилового спирта, помещают склянку в контейнер и взвешивают на весах (III) класса точности. Отбирают анализируемую пробу, как указано в 7.2.5, в количестве (10±2) г и снова взвешивают. Допускается отбирать пробу в толстостенную склянку, помещенную в охлаждающую смесь температурой минус 10 °С - минус 20 °С. Пробу анализируют сразу после отбора.
7.14.4 Проведение анализа
Испаряют углеводороды из контейнера, прокалывая иглой пробку в склянке контейнера.
После полного испарения углеводородов сливают остатки из склянки в мерный цилиндр (пробирку) вместимостью 25 см3. Обмывают склянку 3 см3 этилового спирта, сливая его в тот же цилиндр. Доводят объем в цилиндре до 10 см3 этиловым спиртом и перемешивают.
При определении ТБК в пробирку берут из цилиндра 2,5 см3 спиртового раствора, при определении ДСИ в пробирку берут 1,0 см3 спиртового раствора и доводят объем до 2,5 см3 этиловым спиртом. Добавляют в пробирку 1,0 см3 фосфорномолибденовой кислоты, закрывают пробирку пробкой и встряхивают в течение 2 мин. Далее поступают, как указано при построении градуировочного графика в 7.14.2 со слов: "Затем вводят 0,3 см3...".
Параллельно (или не реже одного раза в сутки) проводят холостой опыт, взяв 2,5 см3 этилового спирта и добавляя все указанные выше реактивы.
По разности оптических плотностей растворов рабочего и холостого опытов рассчитывают по уравнению линейной зависимости (находят по градуировочному графику) массу ТБК (ДСИ) в миллиграммах.
7.14.5 Вычисление результата анализа
Массовую долю ингибитора (X11), %, рассчитывают по формуле (25)
где m - масса ингибитора, рассчитанная по уравнению (найденная по графику), мг;
10 и V - объемы спиртового экстракта, общий и взятый на колориметрирование соответственно, см3;
m1 - масса навески бутадиена-1,3, г.
При определении ТБК V=2,5 см3, при определении ДСИ V=1 см3.
При одновременном присутствии в бутадиене ТБК и ДСИ массовую долю ингибитора рассчитывают на ДСИ, используя соответствующий градуировочный график.
За результат анализа принимают результат одного определения.
7.14.6 Метрологические характеристики метода
Методика измерений обеспечивает получение результатов измерений с погрешностью, не превышающей значений, приведенных в таблице 19.
Таблица 19 - Диапазон измерений, значения показателей повторяемости, воспроизводимости и точности
7.15 Раздельное определение массовой доли ингибитора ИПОН-11011 и перекисных соединений полярографическим методом
Сущность метода состоит в полярографическом раздельном определении массовой доли
-группы ингибитора ИПОН и перекисных соединений. Массовую долю ингибитора ИПОН-11011 рассчитывают по массовой доле
-группы с применением коэффициента пересчета.
Определение основано на восстановлении
-группы ингибитора ИПОН-11011 и перекисных соединений бутадиена-1,3 на ртутном капающем электроде на фоне хлористого лития молярной концентрации c(LiCl)=0,3 моль/дм3 в смеси Бензол-метанол (1:1 по объему).
Потенциал полуволны
-группы минус E1/2=0,55 - минус 0,6 В, потенциал полуволны перекисных соединений бутадиена E1/2=минус 1,0 - минус 1,1 В относительно хлорсеребряного электрода сравнения.
Высота полярографической волны (сила диффузионного тока) пропорциональна концентрации компонента.
В качестве градуировочной характеристики при определении массовой доли ингибитора ИПОН используют константу предельного диффузионного тока
-группы ингибитора, при определении массовой доли перекисных соединений - константу предельного диффузионного тока гидроперекиси изопропилбензола.
При массовой доле ингибитора ИПОН менее 0,012% предел определения массовой доли перекисных соединений в бутадиене составляет 1·10-4%; при массовой доле ИПОН свыше 0,012% предел определения перекисных соединений - 2·10-4%.
При наличии на полярограмме одной волны природу анализируемого компонента определяют по потенциалу полуволны.
Мешающее влияние растворенного кислорода в пробе, который восстанавливается в две ступени при потенциалах, близких к потенциалам восстановления
-группы ингибитора и гидроперекисей, устраняют предварительным продуванием подготовленной к полярографированию пробы в ячейке аргоном или очищенным от кислорода азотом.
7.15.1 Оборудование, посуда, реактивы
Полярограф универсальный ПУ-1, оснащенный ячейкой полярографической термостатируемой (рисунок 17), снабженной ртутным капающим электродом, хлорсеребряным электродом сравнения, трубкой для подачи инертного газа с трехходовым краном и гидрозатвором, отверстием для ввода пробы.
Весы лабораторные среднего (III) класса точности с наибольшим пределом взвешивания 500 г по ГОСТ Р 53228.
Пипетки градуированные 1(3)-1-2-1, 1(3)-1-2-2 по ГОСТ 29227.
Пипетки с одной отметкой 2-2-5, 2-2-10 по ГОСТ 29169.
Микрошприц МШ-50 и микрошприцы импортные вместимостью 100 и 250 мм3.
Колбы мерные 2-25-2, 2-250-2 ХС по ГОСТ 1770.
Цилиндр 1-200-2 ХС по ГОСТ 1770.
Линейка измерительная металлическая с ценой деления 1 мм по ГОСТ 427.
Стандартный образец предприятия состава раствора ингибитора ИПОН-11011 в метаноле по приложению В.
Стандартный образец предприятия состава раствора гидроперекиси изопропилбензола в метаноле по приложению Г.
Пипетка для отбора проб бутадиена, калиброванная вместимостью 10 см3 (рисунок 19).
Ампула для охлаждения бутадиена, изготовленная из закаленного стекла (рисунок 20).
Термостат, обеспечивающий поддержание температуры (25±1) °С.
Термометр ТН8М диапазоном измерения температуры от минус 80 °С до плюс 60 °С по ГОСТ 400.
Стаканчик для взвешивания (бюкс) СВ-14/8 ХС по ГОСТ 25336.
Воронка В-36-50 ХС, В-36-80 ХС по ГОСТ 25336.
Склянка Дрекселя термостатированная (рисунок 18).
Склянка СН-2 по ГОСТ 25336.
Сосуд Дьюара.
Проволока серебряная по ГОСТ 7222 толщиной 0,5-1,0 мм, длиной 4-5 см для изготовления электрода.
метанол-яд по ГОСТ 6995, х.ч.
Бензол по ГОСТ 5955, х.ч.
Литий хлористый безводный по [22], х.ч.
Аргон по ГОСТ 10157, высший сорт, или азот газообразный по ГОСТ 9293, очищенный от кислорода.
Ингибитор ИПОН-11011 (толуольный раствор) по [27].
Смесь охлаждающая температурой минус 10 °С - минус 20 °С (Ацетон по ГОСТ 2768 и твердая двуокись углерода по ГОСТ 12162).
Вода дистиллированная по ГОСТ 6709.
7.15.2 Подготовка к выполнению анализа
7.15.2.1 Приготовление раствора хлористого лития молярной концентрации c(LiCl)=0,3 моль/дм3 в смеси Бензол-метанол (1:1 по объему) - фоновый раствор: 3,18 г хлористого лития взвешивают, вносят в мерную колбу вместимостью 250 см3, растворяют в 125 см3 метанола, доводят объем раствора до метки бензолом и перемешивают.
7.15.2.2 Приготовление аттестованной смеси (АС-1) - рабочего раствора ингибитора ИПОН-11011 в метаноле молярной концентрации , примерно равной c(
)=0,01 моль/дм3.
Рабочий раствор ингибитора ИПОН-11011 готовят из стандартного образца предприятия состава раствора ингибитора ИПОН-11011 в метаноле.
5 см3 стандартного образца предприятия отбирают пипеткой с одной отметкой, вносят в мерную колбу вместимостью 25 см3, доводят объем раствора до метки метанолом и перемешивают.
Точную концентрацию приготовленной АС-1 (Cст), моль/дм, рассчитывают по формуле (26)
где CRM - принятое опорное значение молярной концентрации
-групп в стандартном образце предприятия состава раствора ингибитора ИПОН-11011 в метаноле, моль/дм3;
VRM - объем стандартного образца предприятия, взятый для приготовления рабочего раствора, см3;
Vk - объем мерной колбы, см3.
Аттестованное значение (концентрацию) АС-1 записывают с точностью до трех значащих цифр.
Погрешность процедуры приготовления АС-1 не превышает 6,5% отн.
Раствор хранят в склянке из темного стекла с пришлифованной пробкой. Раствор устойчив в течение недели.
7.15.2.3 Приготовление АС-2-рабочего раствора гидроперекиси изопропилбензола в метаноле молярной концентрации c(C9H12O2), примерно равной 0,01 моль/дм3
Рабочий раствор гидроперекиси изопропилбензола готовят из стандартного образца предприятия состава раствора гидроперекиси изопропилбензола в метаноле.
1 см3 стандартного образца предприятия вносят в мерную колбу вместимостью 25 см3, доводят объем раствора до метки метанолом и перемешивают.
Точную концентрацию приготовленной АС-2 (Cст, моль/дм3) рассчитывают по формуле (21), где CRM - принятое опорное значение молярной концентрации гидроперекиси изопропилбензола в стандартном образце предприятия состава раствора гидроперекиси изопропилбензола в метаноле, моль/дм3.
Аттестованное значение (концентрацию) АС-2 записывают с точностью до трех значащих цифр.
Погрешность процедуры приготовления АС-2 не превышает 1,5% отн.
Раствор хранят в склянке из темного стекла с пришлифованной пробкой. Раствор устойчив в течение недели.
7.15.2.4 Подготовка прибора к работе и условия полярографических измерений
Полярограф подготавливают к работе согласно прилагаемой к нему инструкции и указанным ниже параметрам:
вид полярографии - постоянно-токовая;
режим электролитической ячейки - 2-электродный;
рабочий электрод - ртутно-капельный;
период капания электрода - 3-6 с;
диапазон тока - D=1x1 мкА;
масштаб по координате Y-MY1; 2; 5 мВ/см;
масштаб по координате X-MX 1·100 мВ/см;
демпфирование - (1+4)·1,0 с;
компенсация емкостного тока - подбирают;
начальное поляризующее напряжение - минус 0,2 В;
амплитуда развертки - 2 В;
скорость развертки - 2+4 мВ/с.
7.15.2.5 Определение константы предельного диффузионного тока иминоксильных (
) групп ингибитора ИПОН
В склянку СН-2 вносят пипеткой (рисунок 19) 5 см3 свежеперегнанного охлажденного бутадиена, микрошприцем вносят 0,05 см3 АС-1. Испаряют бутадиен полностью слабой струей аргона при комнатной температуре (время испарения - 40-60 мин). Сухой остаток тщательно растворяют в 10 см3 фонового раствора, отобранного пипеткой, обмывая склянку Дрекселя изнутри. Раствор переносят через воронку в чистую полярографическую ячейку, которую предварительно промывают метанолом.
Продувают раствор в ячейке аргоном в течение 20 мин. Для предотвращения выдувания фонового раствора из ячейки аргон пропускают через термостатированную склянку Дрекселя (рисунок 18) с бензольно-метанольной смесью (1:1) или фоновым раствором, установленную перед входом инертного газа в ячейку.
Переключают трехходовый кран на продувку над раствором и записывают 2-3 полярограммы восстановления
-групп в интервале потенциалов минус 0,2 - минус 1,0 В при соответствующей чувствительности полярографа.
Промывают ячейку водой и ополаскивают 5-10 см3 метанола.
Повторяют процедуру, вводя в склянку с бутадиеном поочередно 0,1 и 0,2 см3 АС-1.
Измеряют значения высоты полярографических волн с точностью до 0,5 мм и вычисляют среднее значение высоты для каждой концентрации
-групп в ячейке. Среднее значение высоты записывают с точностью до 0,1 мм. Полярограмма ингибитора ИПОН-11011 представлена на рисунке 21.
Рисунок 21 - Полярограмма ингибитора ИПОН на фоне хлористого лития молярной концентрации c(LiCl) = 0,3 моль/куб. дм в смеси Бензол-метанол
Рисунок 21 - Полярограмма ингибитора ИПОН на фоне хлористого лития молярной концентрации c(LiCl)=0,3 моль/дм3 в смеси Бензол-метанол (1:1)
Константу предельного тока (K), мкА/ммоль/дм3, рассчитывают по формуле (27)
где l - предельный ток восстановления
-групп (ток электролитической ячейки), мкА;
Cяч - концентрация
-групп в ячейке, ммоль/дм3.
Значение тока ячейки (l), мкА, на полярографе ПУ-1 определяют по формуле (28)
где ly - отклонение пера потенциометра по ординате (средняя высота волны h), см;
My - масштаб по оси ординат, мВ/см;
D - значение, набранное переключателями "Диапазон тока", равное произведению значений двух нажатых кнопок на указанных переключателях, мкА;
25 - выходное напряжение, мВ.
Концентрацию
-групп в ячейке (Cяч), ммоль/дм3, рассчитывают по формуле (29)
где Cст - концентрация
-групп в АС-1, моль/дм3;
Vст - объем АС-1, введенный в бутадиен, см3;
Vф - объем фонового раствора, израсходованный на растворение остатка после испарения бутадиена, см3.
Из полученных результатов констант предельного тока вычисляют среднее значение, записывая его с точностью до 0,1 мкА·дм3/ммоль.
Определение проводят не реже одного раза в 6 мес, а также после смены капилляра ртутного капающего электрода.
7.15.2.6 Определение константы предельного диффузионного тока гидроперекиси изопропилбензола
Константу предельного диффузионного тока гидроперекиси изопропилбензола определяют аналогично 7.15.2.5, вводя в склянку с бутадиеном микрошприцем поочередно 0,05; 0,1; 0,2 см3 АС-2. Полярограммы восстановления гидроперекиси изопропилбензола записывают в интервале потенциалов минус 0,3 - минус 1,4 В при соответствующей чувствительности полярографа. Полярограмма гидроперекиси изопропилбензола представлена на рисунке 22.
Рисунок 22 - Полярограмма гидроперекиси изопропилбензола на фоне хлористого лития молярной концентрации c(LiCl) = 0,3 моль/куб. дм в смеси Бензол-метанол (1:1)
Рисунок 22 - Полярограмма гидроперекиси изопропилбензола на фоне хлористого лития молярной концентрации c(LiCl)=0,3 моль/дм3 в смеси Бензол-метанол (1:1)
Константу предельного тока для каждой концентрации гидроперекиси изопропилбензола в ячейке рассчитывают по формуле (27), где l - предельный ток восстановления гидроперекиси изопропилбензола, мкА; Cяч - концентрация гидроперекиси изопропилбензола в ячейке, ммоль/дм3.
Концентрацию гидроперекиси изопропилбензола в ячейке Cяч, ммоль/дм рассчитывают по формуле (29), где Cст - концентрация гидроперекиси изопропилбензола в АС-2, моль/дм3.
Из полученных результатов констант предельного тока вычисляют среднее значение, записывая его с точностью до 0,1 мкА·дм/ммоль.
Определение проводят не реже одного раза в 6 мес, а также после смены капилляра ртутного капающего электрода.
7.15.3 Проведение анализа
Ампулу (рисунок 20) погружают в охлаждающую смесь и охлаждают. В охлажденную ампулу переносят бутадиен, отобранный по 7.2*, и погружают в него пипетку для отбора пробы (с целью охлаждения) так, чтобы метка на пипетке не выходила более чем на 1-2 см над уровнем бутадиена в ампуле.
_________________
* При отборе и хранении пробы необходимо исключить резиновые части (шланги, пробки), из которых при контакте с бутадиеном могут извлекаться соединения, мешающие определению перекисных соединений.
В склянку СН-2 вносят 10 см* охлажденной пробы бутадиена-1,3, испаряют бутадиен полностью слабой струей аргона при комнатной температуре.
_____________
* Вероятно ошибка оригинала. Следует читать: 10 см3 . - Примечание изготовителя базы данных.
Сухой остаток тщательно растворяют в 10 см3 фонового раствора, отобранного пипеткой, обмывая склянку изнутри. Раствор из склянки переносят через воронку в чистую полярографическую ячейку, которую предварительно промывают метанолом.
Продувают раствор в ячейке аргоном в течение 20 мин. Переключают трехходовый кран на продувку над раствором и записывают 2-3 полярограммы пробы в интервале потенциалов минус 0,2 - минус 1,8 В при соответствующей чувствительности полярографа.
После каждого анализа ячейку промывают метанолом, затем тщательно дистиллированной водой. Перед каждым анализом ячейку ополаскивают 5-10 см3 метанола.
Выполняют два единичных измерения в условиях повторяемости.
Полярограмма модельной смеси ингибитора ИПОН-11011 и гидроперекиси изопропилбензола в бутадиене-1,3 представлена на рисунке 23.
Рисунок 23 - Полярограммы модельной смеси ингибитора ИПОН и гидроперекиси изопропилбензола в бутадиене-1,3 и фонового раствора
а - полярограмма модельной смеси ингибитора ИПОН и гидроперекиси изопропилбензола в бутадиене-1,3 на фоне хлористого лития молярной концентрации c(LiCl)=0,3 моль/дм3 в смеси Бензол-метанол (1:1); б - полярограмма фонового раствора
Рисунок 23 - Полярограммы модельной смеси ингибитора ИПОН и гидроперекиси изопропилбензола в бутадиене-1,3 и фонового раствора
7.15.4 Обработка результатов
На полярограммах пробы измеряют значения высот волн восстановления
-групп и перекисных соединений с точностью до 0,5 мм, вычисляют их среднеарифметическое значение и записывают его с точностью до 0,1 мм.
Массовую долю
-групп ингибитора ИПОН-11011 (X12), %, рассчитывают по формуле (30)![]()
Массовую долю перекисных соединений в пересчете на активный Кислород (X13), %, рассчитывают по формуле (31)
где h - средние высоты волн восстановления соответственно
-групп и перекисных соединений, полученные при полярографировании пробы, см;
D - диапазон тока, мкА;
My - масштаб по оси ординат, мВ/см;
10 - объем фонового раствора, см3;
16 - атомная масса кислорода, г/моль;
25 - выходное напряжение, мВ;
K - константа предельного тока соответственно
-групп ингибитора ИПОН и гидроперекиси изопропилбензола, мкА·дм3/ммоль;
Vпр - объем пробы бутадиена-1,3, см3;
0,65 - плотность бутадиена-1,3, г/см3;
30 - молярная масса
-группы, г/моль.
Массовую долю ингибитора ИПОН-11011 (XИПОН), %, вычисляют по массовой доле
-группы ингибитора (X12) по формуле (32)
где 30 - коэффициент пересчета.
Вычисление и контроль качества результатов измерений при реализации в лаборатории - согласно 7.16.
7.15.5 Метрологические характеристики метода
Методика измерений обеспечивает получение результатов измерений с погрешностью, не превышающей значений, приведенных в таблице 20.
Таблица 20 - Диапазон измерений, значения пределов повторяемости и воспроизводимости
7.16 Общие требования к вычислению результатов анализов
7.16.1 За результат измерения принимают среднеарифметическое значение результатов двух параллельных определений X1 и X2 (33)
для которых выполняется следующее условие (34)
где r - значение предела повторяемости в измеряемых единицах содержаний.
7.16.2 При невыполнении условия (34) необходимо дополнительно получить еще два результата параллельных определений.
В качестве окончательного результата принимают среднеарифметическое значение результатов четырех параллельных определений Xср, для которых выполняется следующее условие (35)
Значение критического диапазона для четырех результатов параллельных определений рассчитывают по формуле (36)
где
- коэффициент, зависящий от числа результатов единичных определений, полученных в условиях повторяемости и доверительной вероятности P=0,95, равный при заданных параметрах 3,63;
- среднеквадратическое отклонение повторяемости.
При невыполнении условия (36) в качестве окончательного результата измерений может быть принята медиана четырех результатов параллельных определений. Кроме того, целесообразно выяснить причины появления неприемлемых результатов параллельных определений и устранить их.
8 Транспортирование и хранение
8.1 Бутадиен-1,3 транспортируют в железнодорожных вагонах-цистернах для сжиженных углеводородных газов в соответствии с требованиями ГОСТ 1510 и правил [1].
8.2 Бутадиен-1,3 хранят в соответствии с требованиями ГОСТ 1510.
9 Гарантии изготовителя
9.1 Изготовитель гарантирует соответствие бутадиена-1,3 требованиям настоящего стандарта при соблюдении правил транспортирования и хранения, установленных настоящим стандартом.
9.2 Гарантийный срок хранения бутадиена-1,3, заправленного ингибитором, - 1 месяц со дня изготовления.
Приложение А (обязательное). Определение массовой доли азотистых соединений (аммиака, аминов, диметилформамида, ацетонитрила) в бутадиене-1,3
Приложение А
(обязательное)
Определение основано на экстракции азотистых соединений из бутадиена-1,3 раствором кислоты, последующем щелочном гидролизе диметилформамида и ацетонитрила, отгонке и поглощении аммиака и аминов раствором борной кислоты. Последние определяют затем титрованием кислотой в присутствии смешанного индикатора.
А.1 Средства измерения, вспомогательные устройства, реактивы
Весы лабораторные среднего (III) класса точности по ГОСТ Р 53228 с наибольшим пределом взвешивания 500 г.
Бюретка 1-1-1-5-0,02 по ГОСТ 29251.
Пипетки с одной отметкой 1-2-10(20) по ГОСТ 29169.
Цилиндры 1(3)-25-1, 1(3)-100-1 по ГОСТ 1770.
Прибор для отгонки (рисунок 7), состоящий из стеклянных приборов по ГОСТ 25336: круглодонной трехгорлой колбы КГУ-3-2-500-34 ТС, делительной воронки ВЛ-3-50 ХС, каплеуловителя КП-14/23ХС, холодильника ХШ-3-300-14/23ХС, колбы Кн-1-250-34ТС.
Склянка толстостенная вместимостью 250 см3, снабженная резиновой пробкой со вставленными в нее краном или стеклянной трубкой с отрезком резиновой трубки и зажимом.
Чехол из плотной материи по размерам склянки.
Контейнер, состоящий из кожуха и склянки вместимостью 50 см3 (рисунок 1).
Секундомер по [20].
Насос вакуумный, обеспечивающий остаточное давление (1,33±0,6) кПа или (10±5) мм рт.ст.
Калия гидроокись по ГОСТ 24363, ч.д.а., или натрия гидроокись по ГОСТ 4328, ч.д.а., раствор с массовой долей 40%.
Кислота серная по ГОСТ 4204, х.ч. или ч.д.а., раствор концентрации c(1/2H2SO4)=0,01 моль/дм3.
Кислота борная по ГОСТ 9656, раствор с массовой долей 2%.
Смешанный индикатор: бромкрезоловый зеленый (синий) [28], раствор в этиловом спирте с массовой долей 0,1%, и метиловый красный, раствор в этиловом спирте с массовой долей 0,1%, смешивают в соотношении 5:1. Хранят в темной склянке.
Спирт этиловый по ГОСТ 18300.
Вода дистиллированная по ГОСТ 6709.
Смесь охлаждающая температурой минус 10 °С - минус 20 °С.
Воздух сжатый или азот по ГОСТ 9293, или другой инертный газ.
А.2 Проведение анализа
Чтобы избежать потерь аммиака, часть пробы берут в вакуумированную склянку или контейнер.
Для этого в толстостенную склянку наливают пипеткой 10 см3 раствора серной кислоты, закрывают пробкой со вставленным в нее краном или стеклянной трубкой с отрезком резиновой трубки и зажимом и откачивают воздух в течение 8-10 мин. Взвешивают склянку с чехлом. Затем ее охлаждают, не допуская замерзания жидкости, присоединяют к баллону с пробой и отбирают примерно 50 см3 бутадиена-1,3 при массовой доле азотистых соединений 0,001%-0,003%. При массовой доле азотистых соединений примерно 0,02% берут 20 см3 раствора серной кислоты и примерно 10 см3 бутадиена-1,3. Поместив склянку в чехол, ее снова взвешивают, а затем встряхивают в течение 3 мин, периодически охлаждая и стравливая давление. Если кислота при этом замерзает, ее подогревают рукой. Затем дают испариться бутадиену-1,3 (в вытяжном шкафу), поместив склянку в теплую воду, а экстракт переводят количественно в круглодонную колбу вместимостью 500 см3.
Пробу из баллона или непосредственно из точки отбора объемом 20-30 см3 можно отобрать в контейнер, содержащий 10 см3 раствора серной кислоты и взвешенный до и после взятия пробы. После встряхивания контейнера с пробой вкалывают в пробку большую иглу шприца и испаряют бутадиен-1,3, экстракт переводят в круглодонную колбу. Обмывают склянку 40 см3 дистиллированной воды, сливая ее в ту же колбу. Помещают туда же еще 150 см3 дистиллированной воды, несколько капилляров и присоединяют колбу к прибору для отгонки. Через капельную воронку вводят в колбу 40 см3 раствора гидроокиси калия (натрия) с массовой долей 40%.
Предварительно в приемник наливают 20 см3 раствора борной кислоты, добавляют 4 капли смешанного индикатора и подставляют приемник под холодильник таким образом, чтобы конец форштоса был погружен в жидкость. Включают электроплитку и нагревают колбу до закипания содержащейся в ней жидкости. После этого нагрев уменьшают (опусканием плитки), но через 15 мин его снова усиливают. Когда в приемнике прекратится выделение пузырьков газа и начнется засасывание жидкости в холодильник, в колбу подают воздух или азот со скоростью 1-2 пузырька в секунду. Отгонку ведут до накопления в приемнике жидкости в количестве 140 см3 (по специальной метке на колбе). Затем выключают нагрев, холодильник обмывают 20 см3 дистиллированной воды (в приемник) и титруют содержимое приемника раствором серной кислоты концентрации c(1/2H2SO4)=0,01 моль/дм3 до появления розового окрашивания.
Аналогично проводят холостой опыт. Для этого в колбу для отгонки наливают 40 см3 раствора гидроокиси калия (натрия) и 200 см3 дистиллированной воды.
Объем, израсходованный на титрование, отсчитывают с погрешностью до 0,02 см3.
А.3 Вычисление результатов анализа
Массовую долю азотистых соединений (X), %, в пересчете на азот определяют по формуле (А.1)
где V1 - объем раствора серной кислоты молярной концентрации c(1/2H2SO4)=0,01 моль/дм3, израсходованной на титрование при анализе пробы, см3;
V2 - объем раствора серной кислоты молярной концентрации c(1/2H2SO4)=0,01 моль/дм3, израсходованной на титрование в холостом опыте, см3;
0,00014 - массовая концентрация азота, эквивалентная 1 см3 раствора кислоты концентрации c(1/2H2SO4)=0,01 моль/дм3, г/см3;
m - масса навески пробы, г.
За результат анализа принимают результат одного определения и выражают его с точностью до третьего десятичного знака. Относительная погрешность определения составляет 10% полученного значения.
Приложение Б (обязательное). Синтез бис-2-(цианэтил)ового эфира (-оксидипропиеннитрила)
Приложение Б
(обязательное)
Синтез проводят в трехгорлой колбе, снабженной обратным холодильником, стеклянной мешалкой, приводимой в движение от мотора, и термометром, опущенным в жидкость. В колбу загружают 214 г акрилонитрила, 14,5 г воды и 0,5 г гидроокиси натрия. Колбу нагревают на водяной бане 3 ч, следя за тем, чтобы температура не поднималась до 75 °С. По истечении этого времени температуру повышают до 75 °С и прекращают реакцию добавлением серной кислоты в количестве, эквивалентном количеству взятой щелочи. Жидкость из колбы переносят в колбу Кляйзена, из которой избыток акрилонитрила отгоняют при атмосферном давлении, а остаток перегоняют в вакууме. Бис-2-(цианэтил)овый эфир отгоняют при температуре 206 °С - 208 °С (40 мм рт.ст.) или при 120 °С (1 мм рт.ст.). Молекулярная масса - 124,
1,4430; число омыления - 903 мг KOH/г.
Приложение В (обязательное). Методика приготовления стандартного образца предприятия состава раствора ингибитора ИПОН-11011 в метаноле
Приложение В
(обязательное)
Методика регламентирует приготовление стандартного образца предприятия состава раствора ингибитора ИПОН-11011 в метаноле, аттестованного на молярную концентрацию иминоксильных
-групп по процедуре приготовления.
B.1 Метрологические характеристики
Принятое опорное значение молярной концентрации иминоксильных
-групп в стандартном образце предприятия рассчитывают по В.4.1.
Расширенная стандартная неопределенность принятого опорного значения молярной концентрации иминоксильных
-групп не превышает 6,0% отн. при P=0,95 (аттестацию по процедуре приготовления проводят по В.4.2).
B.2 Средства измерений, реактивы, материалы
Весы лабораторные высокого (II) класса точности с пределом погрешности не выше 0,02 мг по ГОСТ Р 53228.
Пипетка градуированная 1(3)-1-2-2 по ГОСТ 29227.
Колба мерная 2-25-2 ХС по ГОСТ 1770.
Ингибитор ИПОН-11011 (толуольный раствор) с массовой долей иминоксильных -групп в растворе ингибитора не ниже 2,1% по [27].
метанол-яд по ГОСТ 6995, х.ч.
B.3 Процедура приготовления
В предварительно взвешенную мерную колбу вместимостью 25 см3 вносят пипеткой 1,3 см3 товарного ингибитора ИПОН-11011 и снова взвешивают, записывая результат взвешивания с точностью до четвертого знака. Объем раствора доводят до метки метанолом и тщательно перемешивают.
Раствор переливают в склянку из темного стекла с пришлифованной пробкой.
Стандартный образец предприятия маркируют с четким указанием состава и даты приготовления и хранят при температуре 1 °С - 8 °С в темноте не более 1 мес.
B.4 Расчет метрологических характеристик
B.4.1 Расчет принятого опорного значения молярной концентрации -групп в стандартном образце предприятия
Принятое опорное значение молярной концентрации
-групп CRM, моль/дм3, рассчитывают по формуле (В.1)
где m - масса навески товарного ингибитора ИПОН-11011, соответствующая разности масс колбы с навеской ингибитора и пустой колбы г;
- массовая доля иминоксильных
-групп в товарном ингибиторе ИПОН-11011, %;
Vk - объем колбы, см;
30 - молярная масса иминоксильной
-группы, г/моль.
Принятое опорное значение молярной концентрации иминоксильных
-групп записывают с точностью до трех значащих цифр.
B.4.2 Расчет расширенной стандартной неопределенности принятого опорного значения молярной концентрации иминоксильных
-групп в стандартном образце предприятия
Расширенную стандартную неопределенность принятого опорного значения молярной концентрации иминоксильных
-групп по процедуре приготовления ±, %, рассчитывают по формуле, (В.2)
где
- неопределенность установления массовой доли иминоксильных
-групп в товарном ингибиторе ИПОН-11011, % (
=0,2%);
- неопределенность измерения массы навески, г (
=0,0003 г);
- неопределенность измерения объема в колбе, см3 (
=0,06 см3).
Расширенная стандартная неопределенность принятого опорного значения молярной концентрации иминоксильных
-групп в стандартном образце предприятия составляет не более 6,0% отн.
Приложение Г (обязательное). Методика приготовления стандартного образца предприятия состава раствора гидроперекиси изопропилбензола в метаноле
Приложение Г
(обязательное)
Методика регламентирует приготовление стандартного образца предприятия состава раствора гидроперекиси изопропилбензола в метаноле, аттестованного на молярную концентрацию гидроперекиси изопропилбензола по процедуре приготовления.
Г.1 Метрологические характеристики
Принятое опорное значение молярной концентрации гидроперекиси изопропилбензола в стандартном образце предприятия рассчитывают по Г.4.1.
Расширенная стандартная неопределенность принятого опорного значения молярной концентрации гидроперекиси изопропилбензола не превышает 1,1% отн. при P=0,95 (аттестацию по процедуре приготовления проводят по Г.4.2).
Г.2 Средства измерений, реактивы, материалы
Весы лабораторные высокого (II) класса точности с пределом погрешности не выше 0,0002 г по ГОСТ Р 53228.
Пипетка градуированная 1(3)-1-2-2 по ГОСТ 29227.
Колба мерная 2-25-2 ХС по ГОСТ 1770.
Изопропилбензола гидропероксид технический с массовой долей основного вещества не ниже 89% по [23].
метанол-яд по ГОСТ 6995, х.ч.
Г.3 Процедура приготовления
В предварительно взвешенную мерную колбу вместимостью 25 см3 вносят пипеткой 1 см3 гидроперекиси изопропилбензола и снова взвешивают, записывая результат взвешивания с точностью до четвертого знака. Объем раствора доводят до метки метанолом и тщательно перемешивают.
Раствор переливают в склянку из темного стекла с пришлифованной пробкой. Стандартный образец предприятия маркируют с четким указанием состава и даты приготовления и хранят при температуре 1 °С - 8 °С в темноте не более 1 мес.
Г.4 Расчет метрологических характеристик
Г.4.1 Расчет принятого опорного значения молярной концентрации гидроперекиси изопропилбензола в стандартном образце предприятия
Принятое опорное значение молярной концентрации гидроперекиси изопропилбензола CRM, моль/дм3, рассчитывают по формуле (Г.1) где 
m - масса навески гидроперекиси изопропилбензола, соответствует разности масс колбы с навеской ингибитора и пустой колбы г;
- массовая доля основного вещества в гидроперекиси изопропилбензола, %;
Vk - объем колбы, см3;
152 - молярная масса гидроперекиси изопропилбензола, г/моль.
Принятое опорное значение молярной концентрации гидроперекиси изопропилбензола записывают с точностью до трех значащих цифр.
Г.4.2 Расчет расширенной стандартной неопределенности принятого опорного значения молярной концентрации гидроперекиси изопропилбензола в стандартном образце предприятия
Расширенную стандартную неопределенность принятого опорного значения молярной концентрации гидроперекиси изопропилбензола в стандартном образце предприятия по процедуре приготовления ±и, %, рассчитывают по формуле (Г.2)
где
- неопределенность установления массовой доли гидроперекиси изопропилбензола, % (
, %);
- неопределенность измерения массы навески, г (
=0,0003 г);
- неопределенность измерения объема в колбе, см3 (
0,06 см3).
Расширенная стандартная неопределенность принятого опорного значения молярной концентрации гидроперекиси изопропилбензола в стандартном образце предприятия составляет не более 1,1% отн.
Приложение Д (справочное). Определение массовой доли ацетонитрила, димера бутадиена, метанола и ацетона в бутадиене-1,3
Приложение Д
(справочное)
Д.1 Определение состава смеси основано на разделении компонентов смеси газохроматографическим методом с последующим фиксированием выходящих из колонки компонентов пламенно-ионизационным детектором. Для расчета массовой доли компонентов используют метод абсолютной калибровки.
Д.2 Средства измерения, вспомогательные устройства, реактивы и материалы
Хроматограф газовый с пламенно-ионизационным детектором или аппаратно-хроматографический комплекс, оснащенный блоком управления хроматографом и блоком обработки хроматографической информации с программным обеспечением.
Колонка хроматографическая длиной 6 м, внутренним диаметром 3 мм или капиллярная колонка с нанесенной фазой DB-FFAP 60 мx0,25 ммx0,5 мкм.
Для насадочной колонки:
Носитель твердый: диатомитовый кирпич фракции 0,20-0,25 мм по ГОСТ 2694 или другой диатомитовый носитель, обеспечивающий аналогичное разделение.
Фаза жидкая - полиэтиленгликоль с молекулярной массой 1500 или 1540 (ПЭГ-1500 или ПЭГ-1540) и 1,2,3-трис-(B-цианэтокси)пропан.
Весы лабораторные высокого (II) класса точности с наибольшим пределом взвешивания 200 г по ГОСТ Р 53228.
Микрошприц МШ-10 по [29].
Медицинский шприц вместимостью 1 см3 по ГОСТ 22967.
Контейнер, состоящий из кожуха и склянки вместимостью 50 см3 (рисунок 1).
Вода дистиллированная по ГОСТ 6709.
Ацетон по ГОСТ 2603, ч.д.а.
метанол-яд по ГОСТ 6995, х.ч.
Спирт этиловый ректификованный технический по ГОСТ 18300.
Спирт трет-бутиловый по [30], ч.д.а.
Ацетонитрил для хроматографии по [31], х.ч.
Ацетальдегид, ч.д.а.
Воздух сжатый технический по ГОСТ 17433.
Азот газообразный по ГОСТ 9293, особой чистоты.
Водород технический по ГОСТ 3022 марки А или электролитический.
Д.3 Подготовка к испытанию
Д.3.1 В случае использования насадочной колонки приготовление неподвижной фазы [20% ПЭГ-1500+1% 1,2,3-трис-(B-цианэтокси)пропана] на диатомитовом кирпиче проводят согласно 7.4.2.1. Заполнение колонки проводят по 7.4.2.2.
Д.3.2 Подготовку хроматографа и вывод на рабочий режим выполняют в соответствии с требованиями инструкции по монтажу и эксплуатации хроматографа, прилагаемой к прибору, и согласно параметрам:
Подбирают оптимальные условия измерения, при которых коэффициент разделения R этанола и бензола составляет не менее 1,0.
Коэффициент разделения R рассчитывают по формуле (Д.1)
где
- расстояние между вершинами пиков этанола и бензола, мм;
b1, b2 - ширина пиков этанола и бензола, измеренная на середине их высоты, мм.
Д.3.3 Калибровка хроматографа
Для определения абсолютных калибровочных коэффициентов готовят не менее трех искусственных смесей, состоящих из ацетона, этилового спирта, метилового спирта, трет-бутилового спирта, растворенных в воде.
Для этого в три склянки (рисунок 1) наливают 40-50 г дистиллированной воды, закрывают склянку пробкой и крышкой и взвешивают с точностью до четвертого знака после запятой. Затем в склянки микрошприцем вносят по 3, 5, 7 мкл ацетона, этилового и трет-бутилового спиртов и 6, 8 и 10 мкл метилового спирта соответственно. Компоненты смеси вводят, прокалывая иглой пробку, не касаясь иглой воды, затем снова взвешивают с точностью до четвертого знака после запятой.
Смеси тщательно перемешивают и вводят не менее трех раз в испаритель хроматографа. Хроматограммы снимают в условиях по Д.3.2.
Вычисляют приведенные площади пиков компонентов Si, см2, по формуле (Д.2)
где hi - высота пика, см;
bi - ширина пика на половине высоты, см;
- масштаб хроматографирования.
Массовую концентрацию каждого компонента в искусственной смеси Ci, г/см3, вычисляют по формуле (Д.3)
где mi - масса навески введенного в смесь компонента, г;
p - плотность воды, г/см3;
m - масса навески воды, г.
Абсолютный калибровочный коэффициент для каждого компонента Ki, мг/см2, рассчитывают по формуле (Д.4)
где Ci - массовая концентрация каждого компонента в искусственной смеси, мг/мкл;
V1 - объем искусственной смеси, введенный в испаритель хроматографа, мкл;
Si - площадь пика i-го компонента, см2.
За значение калибровочного коэффициента Ki принимают среднеарифметическое значение трех измерений, при этом относительное расхождение между максимальным и минимальным значениями не должно превышать 15%. Значение калибровочного коэффициента вычисляют до трех значащих цифр.
Проверку калибровочных коэффициентов проводят не реже 1 раза в квартал, при этом снимают не менее двух хроматограмм. При этом относительное отклонение коэффициента не должно превышать 15%.
Искусственную смесь готовят один раз в месяц и хранят в холодильнике.
Коэффициент устанавливают заново при замене сорбента в хроматографической колонке или других элементов хроматографической системы.
Д.4 Проведение испытания
Анализируемую пробу бутадиена-1,3, охлажденную до температуры 0 °С - минус 20 °С, испаряют в медицинский шприц, подогретый до температуры 30 °С - 40 °С, вводят в хроматографическую колонку 0,5-1 см3 испаренной пробы и записывают хроматограмму.
Порядок выхода компонентов искусственных смесей и пробы указан на рисунках Д.1-Д.3.
Рисунок Д.1 - Хроматограмма искусственной смеси для калибровки на насадочной колонке
1 - Ацетон; 2 - трет-бутиловый спирт; 3 - метиловый спирт; 4 - Этиловый спирт
Рисунок Д.1 - Хроматограмма искусственной смеси для калибровки на насадочной колонке [20% ПЭГ-1500+1% 1,2,3-трис(B-цианэтокси)пропана] на диатомитовом кирпиче
Рисунок Д.2 - Хроматограмма искусственной смеси примесей в бутадиене-1,3 на капиллярной колонке
1 - бутадиен-1,3; 2 - ацетальдегид; 3 - Ацетон; 4 - трет-бутиловый спирт; 5 - метиловый спирт; 6- Этиловый спирт; 7 - Бензол; 8 - димер бутадиена; 9 - ацетонитрил; 10 - Толуол
Рисунок Д.2 - Хроматограмма искусственной смеси примесей в бутадиене-1,3 на капиллярной колонке DB-FFAP 60 мx0,25 ммx0,5 мкм
Рисунок Д.3 - Хроматограмма определения примесей в бутадиене-1,3 на насадочной колонке
1 - бутадиен-1,3; 2 - ацетальдегид; 3 - линейный димер бутадиена; 4 - метиловый спирт; 5 - Этиловый спирт; 6 - Бензол; 7 - димер бутадиена (винилциклогексен); 8 - ацетонитрил; 9 - Толуол
Рисунок Д.3 - Хроматограмма определения примесей в бутадиене-1,3 на насадочной колонке [20% ПЭГ-1500+1% 1,2,3-трис(B-цианэтокси)пропана] на диатомитовом кирпиче
Рассчитывают приведенные площади пиков анализируемых компонентов. Калибровочный коэффициент для углеводородов принимают равным 0,5 K ацетона.
Д.5 Вычисление результатов измерений
Массовые доли примесей в бутадиене Xi, % масс., вычисляют по формуле (Д.5)
где Ki - абсолютный калибровочный коэффициент i-го компонента, мг/см2;
Si - площадь пика i-го компонента, см2;
Vпр - объем анализируемой газовой пробы, см3;
2,4 - масса 1 см3 газообразного бутадиена, мг.
Вычисление и контроль качества результатов измерений при реализации в лаборатории - согласно 7.16.
Д.6 Метрологические характеристики метода
Методика измерений обеспечивает получение результатов измерений с погрешностью, не превышающей значений, приведенных в таблице Д.1.
Таблица Д.1 - Диапазоны измерений массовых долей, значения пределов повторяемости, воспроизводимости и критического диапазона при доверительной вероятности P=0,95
Библиография
_____________________________________________________________________
УДК 547.315.2:006.354 ОКС 71.080.10 ОКП 24 1124
Ключевые слова: бутадиен-1,3, технические требования, правила приемки, требования безопасности, упаковка, маркировка, методы анализа
_____________________________________________________________________
официальное издание
М.: Стандартинформ, 2014







, %








, %
, %






