Новости Нефтегазовая пром.
Выставки Наука и технология


Натрий серноватистокислый (натрия тиосульфат) 5-водный. Реактивы. Технические условия ГОСТ 27068-86

натрий серноватистокислый (натрия тиосульфат) 5-водный. Реактивы. Технические условия ГОСТ 27068-86 


ГОСТ 27068-86

Группа Л51

     
     
МЕЖГОСУДАРСТВЕННЫЙ СТАНДАРТ

     
     
Реактивы

     
натрий серноватистокислый (НАТРИЯ ТИОСУЛЬФАТ) 5-ВОДНЫЙ

     
Технические условия

     
Reagents. Sodium thiosulphate, 5-aqueous. Specifications



MКC 71.040.30
ОКП 26 2112 0820 02

Дата введения 1987-07-01


Постановлением Государственного комитета СССР по стандартам от 29 октября 1986 г. N 3321 дата введения установлена 01.07.87

Ограничение срока действия снято по протоколу N 5-94 Межгосударственного совета по стандартизации, метрологии и сертификации (ИУС 11-12-94)

ПЕРЕИЗДАНИЕ. Апрель 2003 г.


Настоящий стандарт распространяется на реактив - серноватистокислый натрий, который представляет собой бесцветные кристаллы, растворимые в воде, нерастворимые в спирте, негорюч, взрывобезопасен, слаботоксичен.

Формула: Na2S2O3* 5H2O

Молекулярная масса (по международным атомным массам 1971 г.) - 248,18.

Показатели технического уровня, установленные настоящим стандартом для квалификации "чистый", предусмотрены для высшей категории качества, а для квалификации "чистый для анализа" - для первой категории качества.

Стандарт полностью соответствует стандарту СЭВ 223-85.

1. ТЕХНИЧЕСКИЕ ТРЕБОВАНИЯ

1.1. Серноватистокислый натрий должен быть изготовлен в соответствии с требованиями настоящего стандарта по технологическому регламенту, утвержденному в установленном порядке.

1.2. Физико-химические показатели серноватистокислого натрия должны соответствовать нормам, указанным в таблице.

Наименование показателя

Норма

Чистый для анализа (ч.д.а.)
ОКП 26 2112 082200

Чистый (ч.)
ОКП 26 2112 082101

1. Массовая доля серноватистокислого натрия (Na2S2O3* 5H2O), %

99,5-100,5

98,5-101,0

2. Массовая доля нерастворимых в воде веществ, %, не более

0,005

0,01

3. Массовая доля сульфатов и сульфитов в пересчете на сульфаты (SO4), %, не более

0,05

0,15

4. Массовая доля сульфидов (S), %, не более

0,0002

0,001

5. Массовая доля кальция (Ca), %, не более

0,005

0,01

6. Массовая доля тяжелых металлов (Pb), %, не более

0,001

0,002

7. Массовая доля железа (Fe), %, не более

0,001

0,001

8. pH 5%-ного раствора

6,5-8

6-8,5

2. ПРАВИЛА ПРИЕМКИ

2.1. Правила приемки - по ГОСТ 3885-73-->ГОСТ 3885-73.

3. МЕТОДЫ АНАЛИЗА

3.1. Общие указания по проведению анализа - по ГОСТ 27025-86.

3.2. Отбор проб - по ГОСТ 3885-73-->ГОСТ 3885-73.

Масса средней пробы не должна быть менее 600 г.

3.3. Определение массовой доли серноватистокислого натрия

3.3.1. Реактивы, растворы, аппаратура и посуда

Вода дистиллированная по ГОСТ 6709-72-->ГОСТ 6709-72.

Йод по ГОСТ 4159-79, раствор концентрации c(1/2J2)=0,1 моль/дм3 (0,1 н.), готовят по ГОСТ 25794.2-83.

Крахмал растворимый по ГОСТ 10163-76, раствор с массовой долей 1%, готовят по ГОСТ 4517-87.

Весы лабораторные типа ВЛР-200 2-го класса точности или другие с ценой деления 0,0001 г.

Бюретка 1(2)-2-50-0,1 по ГОСТ 29251-91.

Колба Кн-2-250-34 ТХС по ГОСТ 25336-82.

Пипетка 6(7)-2-5 по ГОСТ 29227-91.

Стаканчик СВ-14/8 по ГОСТ 25336-82.

Цилиндр 1-100 по ГОСТ 1770-74.

3.3.2. Проведение анализа

1,0000 г препарата растворяют в 100 см3 воды и титруют раствором йода, прибавляя в конце титрования 1 см3 раствора крахмала.

3.3.3. Обработка результатов

Массовую долю серноватистокислого натрия (X) в процентах вычисляют по формуле где V - объем раствора йода концентрации точно c(1/2J2)=0,1 моль/дм3, израсходованный на титрование, см3;
      m- масса навески препарата, г;

     0,02482 - масса серноватистокислого натрия, соответствующая 1 см3 раствора йода концентрации точно c(1/2J2)=0,1 моль/дм3,г.

3.4. Определение массовой доли нерастворимых в воде веществ

3.4.1. Реактивы, аппаратура и посуда

Вода дистиллированная по ГОСТ 6709-72-->ГОСТ 6709-72.

Тигель фильтрующий ТФ ПОР 10 или ТФ ПОР 16 по ГОСТ 25336-82.

Весы лабораторные типа ВЛР-200 2-го класса точности или другие с ценой деления 0,0001 г.

Весы лабораторные технические типа ВЛТ-1 1-го класса точности или другие с ценой деления 0,01 г.

Стакан В-1-250 ТХС по ГОСТ 25336-82.

Цилиндр 1-100 по ГОСТ 1770-74.

3.4.2. Проведение анализа

30,00 г препарата помещают в стакан и растворяют в 100 см3 воды. Раствор фильтруют через фильтрующий тигель, предварительно доведенный до постоянной массы и взвешенный (результат взвешивания записывают с точностью до четвертого десятичного знака). Остаток на фильтре промывают 100 см3 горячей воды и сушат в сушильном шкафу при температуре 105-110 °С до постоянной массы.

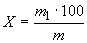
3.4.3. Обработка результатов

Массовую долю веществ, нерастворимых в воде, (X), в процентах вычисляют по формуле где m1 - масса высушенного остатка, г;
       m - масса навески препарата, г.

За результат анализа принимают среднее арифметическое результатов двух параллельных определений, допускаемые расхождения между которыми не должны превышать 15% среднего результата определения.

Пределы допускаемой относительной суммарной погрешности результата анализа составляют ±20% при доверительной вероятности P=0,95.

3.5. Определение массовой доли сульфатов и сульфитов в пересчете на сульфаты

3.5.1. Реактивы, растворы и посуда

Реактивы и растворы по ГОСТ 10671.5-74.

Йод по ГОСТ 4159-79, раствор концентрации c(1/2J2)=0,1 моль/дм3 (0,1 н.), готовят по ГОСТ 25794.2-83.
натрий серноватистокислый (натрия тиосульфат), раствор концентрации c(Na2S2O3* 5H2O)=0,1 моль/дм3(0,1 н.), готовят по ГОСТ 25794.2-83.

Колба коническая Кн-2-50-18 ТХС по ГОСТ 25336-82.

Стакан В-1-250 ТС по ГОСТ 25336-82.

3.5.2. Проведение анализа

1,00 г препарата помещают в стакан и растворяют в 100 см3 воды (если раствор мутный, его фильтруют через промытый горячей водой беззольный фильтр).

10 см3 полученного раствора (соответствует 0,1 г препарата) для препарата чистый для анализа или 5 см3 (соответствует 0,05 г препарата) для препарата чистый помещают в колориметрический стаканчик или коническую колбу с меткой на 25 см3, прибавляют раствор йода до появления бледно-желтого окрашивания, доводят объем раствора водой до метки и далее определение проводят по ГОСТ 10671.5-74.

Через 30 мин после прибавления реактивов к анализируемому раствору прибавляют 1-2 капли раствора серноватистокислого натрия (раствор должен обесцветиться) и заканчивают определение фототурбидиметрическим или визуально-нефелометрическим методом (способ 1).

Препарат считают соответствующим требованиям настоящего стандарта, если масса сульфатов и сульфитов не будет превышать:

для препарата чистый для анализа - 0,05 мг SO4;

для препарата чистый - 0,075 мг SO4.

При разногласиях в оценке массовой доли сульфатов и сульфитов анализ проводят фототурбидиметрическим методом.

3.6. Определение массовой доли сульфидов

3.6.1. Реактивы, растворы, аппаратура и посуда

Раствор, содержащий сульфиды, готовят по ГОСТ 4212-76.

Свинец уксуснокислый, щелочной раствор (плюмбит), готовят по ГОСТ 4517-87.

Весы лабораторные технические типа ВЛТ-1 1-го класса точности или другие с ценой деления 0,01 г.

Пробирка П4-20-14/23 ХС по ГОСТ 25336-82.

Цилиндр 1-50 по ГОСТ 1770-74.

3.6.2. Проведение анализа

3,00 г препарата растворяют в 10 см3 воды. К полученному раствору быстро прибавляют 0,8 см3 щелочного раствора уксуснокислого свинца и перемешивают.

Препарат считают соответствующим требованиям настоящего стандарта, если наблюдаемая через 2 мин по оси пробирки опалесценция анализируемого раствора не будет интенсивнее опалесценции раствора, приготовленного одновременно с анализируемым и содержащего в таком же объеме: 0,08 см3 щелочного раствора уксуснокислого свинца для препарата чистый для анализа - 0,006 мг S, для препарата чистый - 0,03 мг S.

3.7. Определение массовой доли кальция

3.7.1. Реактивы, растворы, аппаратура и посуда

Вода дистиллированная по ГОСТ 6709-72-->ГОСТ 6709-72.

Мурексид (аммонийная соль пурпуровой кислоты), раствор с массовой долей 0,05%, годен в течение 2 сут.

Натрия гидроокись по ГОСТ 4328-77, раствор концентрации c(NaON)=1 моль/дм3 (1 н.), готовят по ГОСТ 25794.1-83.

Раствор, содержащий кальций, готовят по ГОСТ 4212-76.

Весы лабораторные технические типа ВЛТ-1 1-го класса точности или другие с ценой деления 0,01 г.

Колба Кн-2-100-22 ТХС по ГОСТ 25336-82.

Пипетка 6(7)-2-10 по ГОСТ 29227-91.

Пробирка П4-20-14/23 ХС по ГОСТ 25336-82.

Цилиндр 1-100 по ГОСТ 1770-74.

3.7.2. Проведение анализа

Способ 1. 0,50 г препарата ч.д.а. или 0,25 г препарата ч. помещают в колориметрический цилиндр или пробирку, растворяют в 10 см3 воды и перемешивают. К полученному раствору прибавляют 1 см3 раствора гидроокиси натрия, 1 см3 раствора мурексида и перемешивают.

Препарат считают соответствующим требованиям настоящего стандарта, если розовый оттенок наблюдаемой через 1-2 мин розовато-фиолетовой окраски анализируемого раствора не будет интенсивнее розового оттенка окраски раствора, приготовленного одновременно с анализируемым и содержащего в таком же объеме для препарата чистый для анализа и чистый - 0,025 мг кальция, 1 см3 раствора гидроокиси натрия и 1 см3 раствора мурексида.

Способ 2. 0,75 препарата ч.д.а. или 0,50 г препарата ч. помещают в колориметрический цилиндр или пробирку, растворяют в 10 см3 воды и перемешивают. К полученному раствору прибавляют 1 см3 раствора гидроокиси натрия, 1 см3 раствора мурексида и перемешивают.

Препарат считают соответствующим требованиям настоящего стандарта, если розовый оттенок наблюдаемой через 1-2 мин розовато-фиолетовой окраски анализируемого раствора не будет интенсивнее розового оттенка окраски раствора, приготовленного одновременно с анализируемым и содержащего в таком же объеме 0,25 г препарата, для препарата ч.д.а. и ч. - 0,025 мг кальция, 1 см3 раствора гидроокиси натрия и 1 см3 раствора мурексида.

Способ 3. 0,50 г препарата растворяют в 40 см3 воды. 8 см3 для препарата ч.д.а. (соответствует 0,10 г препарата) или 4 см3 для препарата ч. (соответствует 0,05 г препарата) помещают в колориметрический цилиндр или пробирку, доводят объем раствора водой до 10 см3 и перемешивают. К раствору прибавляют 1 см3 раствора гидроокиси натрия, 1 см3 раствора мурексида и перемешивают.

Препарат считают соответствующим требованиям настоящего стандарта, если розовый оттенок наблюдаемой через 1-2 мин розовато-фиолетовой окраски анализируемого раствора не будет интенсивнее розового оттенка окраски раствора, приготовленного одновременно с анализируемым и содержащего в таком же объеме для препарата ч.д.а. и ч. 0,005 мг кальция, 1 см3 раствора гидроокиси натрия и 1 см3 раствора мурексида.

Окраска растворов устойчива в течение 10 мин.

Допускается проводить определение пламенно-фотометрическим методом по ГОСТ 25726-83* на спектрофотометре, используя раствор 1,00 г препарата в 10 см3 воды.
_______________
* Соответствует оригиналу.

При разногласиях в оценке массовой доли кальция определение проводят визуально-колориметрическим методом с применением мурексида.

3.8. Определение массовой доли тяжелых металлов проводят по ГОСТ 17319-76. При этом 2,00 г препарата растворяют в 20 см3 воды и далее определение проводят тиоацетамидным визуально-колориметрическим методом (прибавляя 1,5 см3 раствора тиоацетамида вместо 1 см3).

Препарат считают соответствующим требованиям настоящего стандарта, если наблюдаемая окраска анализируемого раствора не будет интенсивнее окраски раствора, приготовленного одновременно с анализируемым и содержащего в таком же объеме: 1 см3 раствора калия-натрия виннокислого, 2 см3 раствора гидроокиси натрия, 1,5 см3 раствора тиоацетамида и для препарата чистый для анализа - 0,02 мг свинца, для препарата чистый - 0,04 мг свинца.

3.9. Определение массовой доли железа проводят по ГОСТ 10555-75 роданидным методом с предварительным окислением железа азотной кислотой. При этом 1,00 г препарата помещают в коническую колбу (Кн-2-100-22 ТХС по ГОСТ 25336-82) с меткой на 50 см3, растворяют в 10 см3 воды, прибавляют 4 см3 10%-ного раствора гидроокиси натрия (по ГОСТ 4328-77) и осторожно, по каплям, перемешивая, - 6 см3 раствора перекиси водорода. Раствор выдерживают до полного прекращения выделения пузырьков газа, нагревают до кипения и кипятят в течение 15 мин. К горячему прибавляют 5 см3 воды, 1 см3 раствора соляной кислоты, 1 см3 раствора азотной кислоты, нагревают до кипения и кипятят в течение 2-3 мин. Раствор охлаждают, прибавляют 20 см3 воды, 4 см3 раствора роданистого аммония и далее проводят определение роданидным методом.

Из значений оптической плотности анализируемого раствора вычитают значение оптической плотности контрольного раствора, приготовленного следующим образом, 6 см3 раствора перекиси водорода выпаривают досуха, к остатку прибавляют 10 см3 воды, 4 см3 10%-ного раствора гидроокиси натрия, 1 см3 раствора соляной кислоты, 1 см3 раствора азотной кислоты, нагревают до кипения и кипятят в течение 2-5 мин. Затем раствор охлаждают, прибавляют 20 см3 воды, 4 см3 раствора роданистого аммония и доводят объем раствора водой до 50 см3.

Препарат считают соответствующим требованиям настоящего стандарта, если масса железа не будет превышать 0,01 мг для препарата чистый для анализа и чистый.

Допускается заканчивать определение визуально.

При разногласиях в оценке массовой доли железа анализ заканчивают фотометрически.

3.10. Определение pH 5%-ного водного раствора

3.10.1. Реактивы, растворы, аппаратура и посуда

Вода дистиллированная, не содержащая углекислоты; готовят по ГОСТ 4517-87.

Весы лабораторные технические типа ВЛТ-1 1-го класса точности или другие с ценой деления 0,01 г.

pH-метр со стеклянным электродом с пределом допускаемой основной погрешности ±0,05 pH.

Стакан Н-2-150 ТС по ГОСТ 25336-82.

3.10.2. Проведение анализа

5,00 г препарата растворяют в 95 см3 воды, не содержащей углекислоты, и измеряют pH раствора на pH-метре.

4. УПАКОВКА, МАРКИРОВКА, ТРАНСПОРТИРОВАНИЕ И ХРАНЕНИЕ

4.1. Упаковка и маркировка - по ГОСТ 3885-73-->ГОСТ 3885-73.

Вид и тип тары: 2-2, 2-4, 2-9, 6-1.

Группа фасовки: IV, V, VI.

4.2. Препарат перевозят всеми видами транспорта в соответствии с правилами перевозки грузов, действующими на данном виде транспорта.

4.3. Препарат хранят в упаковке изготовителя в крытых складских помещениях.

5. ГАРАНТИИ ИЗГОТОВИТЕЛЯ

5.1. Изготовитель гарантирует соответствие серноватистокислого натрия требованиям настоящего стандарта при соблюдении условий транспортирования и хранения.

5.2. Гарантийный срок хранения - 1 год со дня изготовления.



Текст документа сверен по:
официальное издание
М.: ИПК Издательство стандартов, 2003