Новости Нефтегазовая пром.
Выставки Наука и технология


Углерод четыреххлористый технический ГОСТ 4-84

Углерод четыреххлористый технический. Технические условия (с Изменениями N 1, 2) ГОСТ 4-84


ГОСТ 4-84

Группа Л21

     
     
МЕЖГОСУДАРСТВЕННЫЙ СТАНДАРТ

УГЛЕРОД ЧЕТЫРЕХХЛОРИСТЫЙ ТЕХНИЧЕСКИЙ 

Технические условия 

Carbon tetrachloride for industrial use. Specifications



ОКП 24 1214 0200

Дата введения 1986-01-01

     
     
ИНФОРМАЦИОННЫЕ ДАННЫЕ

1. РАЗРАБОТАН И ВНЕСЕН Министерством химической промышленности СССР

РАЗРАБОТЧИКИ

В.Г.Овчинников, А.И.Кочеровский

2. УТВЕРЖДЕН И ВВЕДЕН В ДЕЙСТВИЕ ПОСТАНОВЛЕНИЕМ Государственного комитета СССР по стандартам от 19.12.84 N 4741

3. ВЗАМЕН ГОСТ 4-75

4. ССЫЛОЧНЫЕ НОРМАТИВНО-ТЕХНИЧЕСКИЕ ДОКУМЕНТЫ

Обозначение НТД, на который дана ссылка

Номер пункта

ГОСТ 12.1.005-88

2.2

ГОСТ 12.4.121-83

2.3

ГОСТ 427-75

5.9.1

ГОСТ 1770-74

5.4, 5.7.1, 5.8.1, 5.9.1

ГОСТ 1942-86

5.9.1

ГОСТ 2517-85

5.1

ГОСТ 2603-79

5.8.1, 5.9.1

ГОСТ 3022-80

5.9.1

ГОСТ 4232-74

5.8.1

ГОСТ 4328-77

5.7.1

ГОСТ 4517-87

5.7.1

ГОСТ 4919.1-77

5.7.1

ГОСТ 5632-72

5.1 7.2

ГОСТ 5728-76

5.9.1

ГОСТ 5955-75

5.9.1

ГОСТ 6247-79

6.1

ГОСТ 6563-75

5.6

ГОСТ 6709-72-->ГОСТ 6709-72

5.7.1, 5.8.1

ГОСТ 9147-80

5.9.1

ГОСТ 9293-74

5.9.1

ГОСТ 9557-87

6.4

ГОСТ 9968-86

5.9.1

ГОСТ 9976-94

5.9.1

ГОСТ 14192-96

6.2

ГОСТ 14870-77

5.5

ГОСТ 17366-80

6.1

ГОСТ 18300-87

5.7.1, 5.8.1, 5.9.1

ГОСТ 18995.1-73

5.4а

ГОСТ 19433-88

6.2

ГОСТ 19908-90

5.6

ГОСТ 20015-88

5.9.1

ГОСТ 20490-75

5.8.1

ГОСТ 24104-88

5.7.1, 5.9.1

ГОСТ 24614-81

5.5

ГОСТ 25336-82

5.7.1, 5.8.1, 5.9.1

ГОСТ 25706-83

5.9.1

ГОСТ 25794.1-83

5.7.1, 5.8.1

ГОСТ 25794.3-83

5.8.1

ГОСТ 26319-84

6.1

ГОСТ 26663-85

6.4

ГОСТ 27025-86

5.2а

ГОСТ 27026-86

5.6

ГОСТ 29172-91

5.6

ГОСТ 29173-91

5.2

5. Ограничение срока действия снято по Протоколу N 5-94 Межгосударственного Совета по стандартизации, метрологии и сертификации (ИУС 11-12-94)

6. ИЗДАНИЕ (ноябрь 2000 г.) с Изменениями N 1, 2, утвержденными в декабре 1989 г., марте 1994 г. (ИУС 3-90, 2-95)

Настоящий стандарт распространяется на технический четыреххлористый углерод (тетрахлорметан), применяемый для производства хладоагентов, в качестве растворителя и для обезжиривания. 

Формула CCl4

Относительная молекулярная масса (по международным атомным массам 1987 г.) - 153,82. 

(Измененная редакция, Изм. N 1, 2).

1. ТЕХНИЧЕСКИЕ ТРЕБОВАНИЯ

1.1. Четыреххлористый углерод должен быть изготовлен в соответствии с требованиями настоящего стандарта по технологическому регламенту, утвержденному в установленном порядке.

1.2. По физико-химическим показателям четыреххлористый углерод должен соответствовать требованиям и нормам, указанным в табл.1.

Таблица 1

Наименование показателя

Норма

Высший сорт
ОКП 24 1214 0220

Первый сорт
ОКП 24 1214 0230

1. Внешний вид

Бесцветная прозрачная жидкость без механических примесей

2. Плотность при 20 °С, г/см3

1,593-1,597

3. Массовая доля воды, %, не более

0,0025

0,0050

4. Массовая доля нелетучего остатка, %, не более

0,0006

0,0020

5. Массовая доля кислот в пересчете на НСl, %, не более

0,0001

0,0010

6. Суммарное содержание свободного хлора и фосгена

Выдерживает испытание по п.5.8

7. Массовая доля хлорорганических примесей, %, не более

0,02

0,10

в том числе хлороформа

-

0,04



(Измененная редакция, Изм. N 1).

2. ТРЕБОВАНИЯ БЕЗОПАСНОСТИ

2.1. Четыреххлористый углерод негорюч, пожаровзрывобезопасен. При контакте с открытым пламенем или раскаленными поверхностями разлагается с выделением фосгена, оксида углерода и хлористого водорода.

2.2. Четыреххлористый углерод - высокоопасное вещество (2-й класс опасности по ГОСТ 12.1.005), обладает наркотическим действием, поражает центральную нервную систему, печень, почки, оказывает местное раздражающее действие на кожу рук, слизистые оболочки глаз, верхние дыхательные пути, обладает кумулятивными свойствами. В организм человека может поступать ингаляционным путем, через кожу, через органы пищеварения.

Предельно допустимая концентрация (ПДК) четыреххлористого углерода в воздухе рабочей зоны - 20 мг/м3.

2.3. Производственные помещения, в которых проводят работы с четыреххлористым углеродом, должны быть оборудованы общей приточной и местной вытяжной вентиляцией. Оборудование и коммуникации должны быть герметизированы.

Производственный персонал должен быть обеспечен средствами индивидуальной защиты (специальная одежда, резиновые сапоги, перчатки, защитные очки, промышленный фильтрующий противогаз марки А или БКФ по ГОСТ 12.4.121).

Раздел 2. (Измененная редакция, Изм. N 2).

3. ОХРАНА ПРИРОДЫ


Защиту окружающей среды при изготовлении, транспортировании и хранении четыреххлористого углерода обеспечивают герметизацией оборудования и тары.

Газовые выбросы на месте производства должны отсутствовать.

Отходы производства четырехлористого углерода утилизируют и обезвреживают: абгазные хлор и хлористый водород используют в производстве хлорированных углеводородов; жидкие хлорорганические продукты подвергают термическому обезвреживанию; технологические сточные воды отпаривают от органических примесей и направляют в коллектор щелочных стоков предприятия.

Максимальная разовая ПДК в атмосферном воздухе населенных мест - 4,0 мг/м3, среднесуточная - 0,7 мг/м3. В воде водных объектов хозяйственно-питьевого и культурно-бытового водопользования ориентировочный допустимый уровень (ОДУ) - 0,006 мг/м3.

Пролитый четыреххлористый углерод удаляют с помощью песка, а загрязненный песок обезвреживают в соответствии с порядком транспортирования, обезвреживания и захоронения промышленных отходов, утвержденным Минздравом.

Раздел 3. (Измененная редакция, Изм. N 1, 2).

4. ПРАВИЛА ПРИЕМКИ

4.1. Четыреххлористый углерод принимают партиями. Партией считают любое количество продукта, однородного по своим качественным показателям и сопровождаемого одним документом о качестве. Документ должен содержать следующие данные:

- товарный знак и (или) наименование предприятия-изготовителя;

- наименование продукта и его сорт;

- номер партии;

- дату изготовления;

- массу брутто и нетто;

- результаты проведенного анализа и (или) подтверждение соответствия продукта требованиям настоящего стандарта;

- обозначение настоящего стандарта.

Каждую цистерну с продуктом принимают за партию.

(Измененная редакция, Изм. N 1, 2).

4.2. Для проверки соответствия качества продукта требованиям настоящего стандарта от партии отбирают случайную выборку.

Объем выборки в зависимости от размера партии указан в табл.2.


Таблица 2

Размер партии, шт.

Объем выборки

До 5

5 шт.

6-15

4 шт.

16-100

20%

Более 100

10%



Допускается у изготовителя производить отбор проб из емкостей-хранилищ товарного продукта.

Массовую долю нелетучего остатка изготовитель определяет периодически, не реже одного раза в квартал, суммарное содержание свободного хлора и фосгена - только в продукте, предназначенном для применения в медицинской промышленности.

4.3. При получении неудовлетворительных результатов анализа хотя бы по одному показателю, проводят повторный анализ на удвоенной выборке или удвоенном объеме при транспортировании в цистернах.

При получении неудовлетворительных результатов анализа при периодических испытаниях изготовитель проверяет каждую партию до получения удовлетворительных результатов не менее чем в трех партиях подряд.

Результаты повторного анализа распространяют на всю партию.

4.2, 4.3. (Измененная редакция, Изм. N 1).

5. МЕТОДЫ АНАЛИЗА

5.1. Отбор проб

От каждой отобранной упаковочной единицы отбирают одну точечную пробу. Объединенную пробу получают смешением равных по объему точечных проб.

Из цистерны и емкостей-хранилищ отбирают три точечные пробы с трех уровней - верхнего, среднего и нижнего, соответственно 75, 50 и 25% по высоте столба, считая от дна цистерны. Объединенную пробу получают смешением точечных проб верхнего, среднего и нижнего уровней в соотношении 1:6:1.

Из емкости-хранилища пробы отбирают по ГОСТ 2517. Допускается отбирать одну пробу с любого уровня (верхнего, среднего или нижнего) или с линии розлива.

Из бочек точечные пробы отбирают стеклянной или металлической трубкой диаметром 30-35 мм с оттянутым концом, из цистерн - переносным металлическим пробоотборником или бутылкой в металлическом каркасе по ГОСТ 2517.

Металлическая трубка, пробоотборник, каркас бутылки и пробка должны быть изготовлены из стали марки 12Х18Н10Т по ГОСТ 5632.

Допускается отбирать точечную пробу пробоотборниками другой конструкции, позволяющими отбирать пробу на заданном уровне.

В случае возникновения разногласий по качеству продукта точечную пробу отбирают пробоотборником, указанным в настоящем стандарте.

(Измененная редакция, Изм. N 1).

5.2. Объединенную пробу помещают в чистую сухую стеклянную склянку с притертой пробкой. На склянку наклеивают этикетку с указанием наименования предприятия-изготовителя, наименования продукта, номера партии, даты изготовления и отбора пробы.

Объем пробы для анализа должен быть не менее 1,5 дм3.

Допускается проводить отбор проб продукта по ГОСТ 29173.

(Измененная редакция, Изм. N 1, 2).

5.2а. Общие указания по проведению анализа - по ГОСТ 27025.

Допускается применение других средств измерения с метрологическими характеристиками и оборудования с техническими характеристиками не хуже, а также реактивов по качеству не ниже указанных в настоящем стандарте.

Результаты анализа следует округлять до того десятичного знака, который указан в таблице технических требований.

(Введен дополнительно, Изм. N 2).

5.3. (Исключен, Изм. N 1).

5.4. Определение внешнего вида

Внешний вид определяют путем рассмотрения столба жидкости, налитой в цилиндр 1-100-2 (ГОСТ 1770) до отметки 100 см3, в проходящем свете на фоне белого листа бумаги.

(Измененная редакция, Изм. N 2).

5.4а. Определение плотности

Плотность продукта определяют по ГОСТ 18995.1. При разногласиях в оценке плотности определение проводят пикнометром.

(Введен дополнительно, Изм. N 1).

5.5. Определение массовой доли воды

Массовую долю воды определяют методом Фишера по ГОСТ 14870 электрометрическим титрованием или по ГОСТ 24614.

При возникновении разногласий в оценке массовой доли воды определение проводят по ГОСТ 14870.

(Измененная редакция, Изм. N 1).

5.6. Определение массовой доли нелетучего остатка

Массовую долю нелетучего остатка определяют по ГОСТ 27026. При этом 320 г (200 см3) продукта выпаривают в платиновой (ГОСТ 6563) или кварцевой (ГОСТ 19908) чашке.

Допускается проводить определение по ГОСТ 29172.

При разногласиях в оценке массовой доли нелетучего остатка определение проводят по ГОСТ 27026.

(Измененная редакция, Изм. N 1, 2).

5.7. Определение массовой доли кислот в пересчете на НСl.

5.7.1. Аппаратура, реактивы, растворы

Весы лабораторные 3 и 4-го классов точности по ГОСТ 24104* с наибольшим пределом взвешивания 500 г.
________________
* На территории Российской Федерации действует ГОСТ 24104-2001. Здесь и далее по тексту. - Примечание изготовителя базы данных.

Секундомер.

Бюретка вместимостью 5 см3 с ценой деления 0,02 см3.

Цилиндр по ГОСТ 1770 вместимостью 50 см3.

Колба типа Кн исполнения 2 вместимостью 250 см3 по ГОСТ 25336.

Посуда лабораторная по ГОСТ 25336. 

Натрия гидроокись по ГОСТ 4328, раствор молярной концентрации  c(NaOH)=0,01 моль/дм3, готовят по ГОСТ 25794.1.

Индикатор метиловый красный (или бромкрезоловый зеленый), спиртовой раствор с массовой долей 0,1%, готовят по ГОСТ 4919.1.

Вода дистиллированная по ГОСТ 6709, не содержащая углекислоты, готовят по ГОСТ 4517.

Спирт этиловый ректификованный технический по ГОСТ 18300.

5.7.2. Проведение анализа

В делительную воронку вместимостью 250 см3 помещают 160 г (100 см3) четыреххлористого углерода (результаты взвешиваний в граммах записывают с точностью до второго десятичного знака), прибавляют 40 см3 воды и встряхивают в течение 1 мин.

После расслоения фаз водный слой количественно переносят в коническую колбу, прибавляют 3-4 капли раствора метилового красного (или бромкрезолового зеленого) и титруют раствором гидроокиси натрия до перехода розовой окраски раствора в желтую (или желтой в голубую). Одновременно в тех же условиях проводят контрольное титрование 40 см3 воды.

5.7.3. Обработка результатов

Массовую долю кислот в пересчете на НСl (X1) в процентах вычисляют по формуле где V - объем раствора гидроокиси натрия молярной концентрации точно 0,01 моль/дм3, израсходованный на титрование анализируемого раствора, см3;
V1 - объем раствора гидроокиси натрия молярной концентрации точно 0,01 моль/дм3, израсходованный на контрольное титрование, см3;

m - масса анализируемой пробы, г;

0,000365 - масса хлористого водорода, соответствующая 1 см3 раствора гидроокиси натрия молярной концентрации точно 0,01 моль/дм3, г.

За результат анализа принимают среднее арифметическое результатов двух параллельных определений, абсолютное расхождение между которыми не превышает допускаемое расхождение, равное 0,00002% для продукта высшего сорта и 0,0001% - для продукта первого сорта.

Допускаемая абсолютная суммарная погрешность результата анализа ±0,00002% для продукта высшего сорта и ±0,0001% - для продукта первого сорта при доверительной вероятности P=0,95. 

5.7.1-5.7.3. (Измененная редакция, Изм. N 1, 2).

5.8. Определение суммарного содержания свободного хлора и фосгена 

Метод основан на взаимодействии N, N-диметил-n-фенилендиамид дигидрохлорида с йодом, выделяющимся при окислении йодистого калия хлором и фосгеном, содержащимися в четыреххлористом углероде, с образованием соединения, окрашенного в розовый цвет. Интенсивность окраски полученного соединения сравнивают с интенсивностью окраски раствора сравнения - разбавленным раствором марганцовокислого калия.

Предел обнаружения суммарной массовой доли свободного хлора и фосгена 5·10-5%.

5.8.1. Приборы и реактивы

Колбы 1,3-50-2, 2,4-100-2, 2,4-1000-2 по ГОСТ 1770.

Пипетки вместимостью 1, 5 и 10 см3 с ценой деления 0,01, 0,02 и 0,1 см3 соответственно.

Воронка ВД-1-50 ХС по ГОСТ 25336.

Пробирки П-2-25-0,2 ХС по ГОСТ 1770.

Калий йодистый по ГОСТ 4232, ч.д.а.; раствор в ацетоне готовят следующим образом: 0,35 г йодистого калия растворяют в 100 см3 ацетона.

Ацетон по ГОСТ 2603, ч.д.а.

Спирт этиловый ректификованный технический по ГОСТ 18300, высший сорт.

Калий марганцовокислый по ГОСТ 20490, х.ч.; раствор молярной концентрации c(1/5KMnO4)=0,1 моль/дм3 (0,1 н.); готовят по ГОСТ 25794.3 - раствор А.

N, N-диметил-n-фенилендиамин дигидрохлорид, ч.д.а.; раствор в этиловом спирте готовят следующим образом: 0,4 г реактива количественно переносят в мерную колбу вместимостью 100 см3, доводят объем в колбе этиловым спиртом до метки и перемешивают.

Вода дистиллированная по ГОСТ 6709.

(Измененная редакция, Изм. N 1, 2).

5.8.2. Подготовка к анализу

5.8.2.1. Приготовление раствора сравнения

0,5 см3 раствора А (п.5.8.1) помещают в мерную колбу вместимостью 50 см3, доводят объем водой до метки и перемешивают (раствор Б). 1,2 см3 раствора Б помещают в пробирку, прибавляют 4,8 см3 воды и перемешивают.

Раствор сравнения готовят одновременно с анализируемой пробой.

(Измененная редакция, Изм. N 2).

5.8.3. Проведение анализа

В пробирку помещают 4 см3 четыреххлористого углерода, прибавляют 0,5 см3 йодистого калия, 4,5 см3 ацетона, закрывают пробкой, перемешивают и выдерживают (120±10) с в темном месте. Затем прибавляют 5 см3 дистиллированной воды, 0,2 см3 раствора N, N-диметил-n-фенилендиамин дигидрохлорида и встряхивают (120±10) с. Раствор переносят в делительную воронку и после разделения фаз органический слой отбрасывают, а водный - помещают в пробирку и сравнивают по высоте столба с интенсивностью окраски раствора сравнения.

Продукт соответствует требованиям настоящего стандарта, если интенсивность окраски пробы не будет интенсивнее окраски раствора сравнения.

(Измененная редакция, Изм. N 1).

5.9. Определение массовой доли хлорорганических примесей

Массовую долю хлорорганических примесей определяют методом газожидкостной хроматографии на колонке с насадкой I в изотермическом режиме или на колонке с насадкой II в режиме линейного программирования температуры.

(Измененная редакция, Изм. N 1).

Определение массовой доли хлорорганических примесей
на колонке с насадкой I

5.9.1. Аппаратура и реактивы

Хроматограф газовый лабораторный с пламенно-ионизационным детектором.

Колонка газохроматографическая стальная или стеклянная длиной 3 м, внутренним диаметром 3 мм.

Весы лабораторные 2 и 3-го классов точности по ГОСТ 24104 с наибольшими пределами взвешивания 200 и 500 г соответственно.

Микрошприц МШ-10.

Линейка измерительная металлическая по ГОСТ 427.

Лупа типа ЛИ по ГОСТ 25706 с ценой деления 0,1 мм.

Шкаф сушильный, обеспечивающий температуру нагрева не менее 60 °С.

Посуда лабораторная по ГОСТ 25336.

Цилиндр по ГОСТ 1770.

Чашка выпарительная по ГОСТ 9147 N 4 или N 5.

Термометр любого типа, обеспечивающий измерение температуры (60±5) °С.

Секундомер.

Цветохром III КM, цветохром I КM или другой инертный носитель, позволяющий достигнуть требуемого разделения, с частицами размером 0,16-0,20; 0,20-0,25; 0,250-0,315 мм.

Трифенилфосфат или трикрезилфосфат по ГОСТ 5728 или любая другая неподвижная фаза, обеспечивающая разделение и определение массовых долей примесей с погрешностью не более, чем на указанных неподвижных фазах.

Газ-носитель: азот газообразный по ГОСТ 9293 или гелий газообразный.

Водород технический марки А или Б по ГОСТ 3022 или водород электролизный от генератора водорода СГС-2.

Воздух сжатый для питания контрольно-измерительных приборов.

Углерод четыреххлористый хроматографически чистый.

Метилен хлористый технический по ГОСТ 9968.

Хлороформ по ГОСТ 20015.

Трихлорэтилен технический по ГОСТ 9976.

Перхлорэтилен технический.

1,2-Дихлорэтан технический по ГОСТ 1942.

Бромтрихлорметан с массовой долей основного вещества не менее 95%.

Амил хлористый для хроматографии.

Ацетон по ГОСТ 2603.

Эфир этиловый технический.

Спирт этиловый ректификованный технический по ГОСТ 18300 высшего сорта.

Бензол по ГОСТ 5955.

(Измененная редакция, Изм. N 1, 2).

5.9.2. Подготовка к анализу

5.9.2.1. Приготовление насадки I и заполнение колонки

Неподвижную фазу наносят на твердый носитель следующим образом: трифенилфосфат или трикрезилфосфат, взятые в количестве 20% от массы твердого носителя, взвешивают по разности (результаты взвешиваний в граммах записывают до второго десятичного знака) и растворяют в ацетоне. Приготовленный раствор при непрерывном перемешивании приливают к твердому носителю, помещенному в фарфоровую чашку. Количество раствора должно быть таким, чтобы твердый носитель был полностью смочен раствором. Выпарительную чашку помещают на водяную баню и, непрерывно перемешивая ее содержимое, испаряют растворитель. Насадку I досушивают в сушильном шкафу при температуре 60 °С в течение 0,5-1,0 ч.

Хроматографическую колонку последовательно промывают бензолом, хлористым метиленом, этиловым спиртом, ацетоном и сушат сжатым воздухом.

Чистую хроматографическую колонку заполняют насадкой I небольшими порциями, уплотняя ее с помощью вибратора (или постукиванием) и водоструйного насоса. Концы заполненной колонки закрывают стеклотканью или стекловатой. Заполненную колонку устанавливают в термостат прибора и, не присоединяя к детектору, продувают газом-носителем в течение 6-8 ч, постепенно повышая температуру от 20 до 120 °С, затем в течение 8-10 ч при 120 °С. После этого колонку присоединяют к детектору.

Монтаж, наладку и вывод хроматографа на рабочий режим производят в соответствии с инструкцией, прилагаемой к прибору.

5.9.2.2. Режим градуирования и работы хроматографа

Хроматографический анализ и градуирование прибора проводят при следующих условиях:

Объемный расход газа-носителя, см3/мин

30

Соотношение объемных расходов газа-носителя и воздуха

1:10

Соотношение объемных расходов газа-носителя и водорода

1:1

Температура термостата колонок, °С

60

Температура испарителя, °С

130

Скорость диаграммной ленты, мм/ч

60

Шкала записи хроматограммы:

А

50·10-12

Ом

2·109

Объем вводимой пробы, мм3

0,2-3,0


В зависимости от модели применяемого хроматографа в условия градуирования и работы прибора могут быть внесены некоторые изменения с целью достижения полного разделения примесей и определения их с погрешностью, указанной в настоящем стандарте. Типовая хроматограмма четыреххлористого углерода приведена на черт.1.

Черт.1. Типовая хроматограмма искусственной смеси четыреххлористого углерода и хлорорганических примесей на колонке с насадкой I

Типовая хроматограмма искусственной смеси четыреххлористого углерода
и хлорорганических примесей на колонке с насадкой I


1 - метиленхлорид; 2 - четыреххлористый углерод; 3 - хлороформ; 4 - трихлорэтилен; 
5 - 1,2-дихлорэтан; 6 - хлористый амил; 7 - бромтрихлорметан; 8 - перхлорэтилен

Черт.1

5.9.2.1, 5.9.2.2. (Измененная редакция, Изм. N 1, 2).

5.9.2.3. Градуирование хроматографа

Массовую долю хлорорганических примесей в четыреххлористом углероде определяют методом "внутреннего эталона" с учетом градуировочных коэффициентов. В качестве "внутреннего эталона" используют хлористый амил.

Градуирование хроматографа осуществляют весовым методом по 4-5 искусственным градуировочным смесям, содержащим в пределах рабочих концентраций определяемые примеси и "внутренний эталон".

Искусственные смеси готовят следующим образом: 8-10 г хроматографически чистого четыреххлористого углерода взвешивают в сухом стеклянном сосуде вместимостью 15-20 см, закрытом эластичной, устойчивой к действию агрессивных сред прокладкой (например, силиконовой резиной). Если сосуд не имеет навинчивающейся крышки, прокладку закрепляют с помощью зажимного устройства любого типа.

Микрошприцем к четыреххлористому углероду добавляют по 0,05-0,10 г примесей и "внутреннего эталона" (смесь 1).

Снова взвешивают 8-10 г хроматографически чистого четыреххлористого углерода и добавляют в него 0,05-0,10 г смеси 1 (смесь 2). Результаты всех взвешиваний при приготовлении градуировочных смесей в граммах записывают до четвертого десятичного знака.

Суммарная относительная погрешность приготовления градуировочных смесей ±2%.

Допускается приготовление градуировочных смесей другими приемами и способами, обеспечивающими указанную погрешность.

После тщательного перемешивания 0,2-3,0 мм3 каждой из приготовленных смесей микрошприцем вводят в испаритель хроматографа не менее пяти раз.

Микрошприц после каждого определения промывают этиловым спиртом, а затем эфиром. 

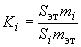
Градуировочный коэффициент (Ki) вычисляют по формуле где Sэт - площадь пика "внутреннего эталона", мм2;


mi - масса навески определяемой примеси, г;

Si - площадь пика определяемой примеси, мм2;

mэт - масса навески "внутреннего эталона", г.

Площадь пика определяют как произведение высоты пика на его ширину, измеренную на середине высоты, с учетом масштаба записи.

За градуировочный коэффициент для каждой примеси принимают среднее арифметическое результатов всех определений.

Результаты записывают до второго десятичного знака.

Проверку градуировочных коэффициентов проводят после каждой смены насадки в колонке и изменения условий хроматографического определения.

5.9.3. Проведение анализа

8-10 г анализируемого продукта взвешивают в стеклянном сосуде, закрытом эластичной прокладкой, устойчивой к действию агрессивных сред. Микрошприцем добавляют к анализируемому продукту 0,05-0,10 г "внутреннего эталона" - (смесь 1).

Затем снова взвешивают 8-10 г четыреххлористого углерода и к нему микрошприцем добавляют 0,05-0,10 г смеси I - (смесь 2). Результаты всех взвешиваний в граммах записывают до четвертого десятичного знака.

Смесь 2 тщательно перемешивают, микрошприцем отбирают необходимое количество анализируемого продукта и вводят в испаритель хроматографа. 

5.9.2.3, 5.9.3. (Измененная редакция, Изм. N 1).

5.9.4. Обработка результатов

Массовую долю каждой примеси (Xi) в процентах вычисляют по формуле где Ki - градуировочный коэффициент определяемой примеси;


Si - площадь пика определяемой примеси, мм2;

mэт - масса навески "внутреннего эталона" в смеси 2, г;

Sэт - площадь пика "внутреннего эталона", мм2;

m - масса навески четыреххлористого углерода в смеси 2, взятой для анализа, г.

Массовую долю хлорорганических примесей в процентах (X) вычисляют по формуле где Xi - массовая доля каждой примеси, %.


За результат анализа принимают среднее арифметическое результатов двух параллельных определений, абсолютное расхождение между которыми не превышает допускаемое расхождение, равное при определении хлороформа 0,004%, суммы хлорорганических примесей 0,02 и 0,004% для продуктов высшего и первого сортов соответственно (для продукта, содержащего бромтрихлорметан, - 0,008 и 0,04% для высшего и первого сортов соответственно).

Допускаемая абсолютная суммарная погрешность результата анализа при определении хлороформа ±0,003%, суммы хлорорганических примесей ±0,002 и ±0,004% для продуктов высшего и первого сортов соответственно (для продукта, содержащего бромтрихлорметан, ±0,006 и ±0,03% для высшего и первого сортов соответственно) при доверительной вероятности P=0,95.

(Измененная редакция, Изм. N 1, 2).

Определение массовой доли хлорорганических примесей
на колонке с насадкой II


На колонке с насадкой II определяют методом газожидкостной хроматографии массовую долю хлорорганических примесей в продукте, не содержащем бромтрихлорметан. 

5.9.5. Аппаратура и реактивы - по п.5.9.1 со следующими дополнениями и изменениями: 

Колонка газохроматографическая стальная или стеклянная длиной 2 м, внутренним диаметром 3 мм.

Аллил хлористый с массовой долей основного вещества не менее 95%.

1,1,2-Трихлорэтан технический.

Носитель твердый: хроматон N-AW или инертон AW c частицами размером 0,16-0,20; 0,20-0,25 или 0,250-0,315 мм.

Фаза жидкая неподвижная: адсорбент органоминеральный цезий-ЦПМ (Cs-ЦПМ) и полиэтиленгликоль 1500 для хроматографии.

(Измененная редакция, Изм. N 2).

5.9.6. Подготовка к анализу

5.9.6.1. Приготовление насадки II и заполнение колонки

Твердый носитель отсеивают с помощью металлических сит и отбирают необходимую фракцию.

Взвешивают 9-10 г хроматона N-AW, полиэтиленгликоль 1500 и адсорбент Cs-ЦПМ, взятые в количестве 3 и 7% от массы твердого носителя соответственно. Результаты взвешивания в граммах записывают с точностью до второго десятичного знака. 

Адсорбент Cs-ЦПМ помещают в стаканчик для взвешивания и добавляют 10-15 см3 бензола. Полученную суспензию выдерживают в течение 3-5 ч в вытяжном шкафу. полиэтиленгликоль 1500 растворяют в 10-15 см3 хлороформа, к полученному раствору приливают суспензию адсорбента в бензоле. Затем смесь при непрерывном перемешивании добавляют к твердому носителю, помещенному в выпарительную чашку и смоченному бензолом. Испарение растворителя, высушивание насадки II и заполнение хроматографической колонки проводят по п.5.9.2.1.

Заполненную колонку устанавливают в термостат хроматографа, не присоединяя к детектору, и продувают ее газом-носителем в течение 2-3 ч, постепенно повышая температуру от комнатной до 145 °С, затем в течение 3-6 ч при 145 °С. После этого колонку присоединяют к детектору.

Монтаж, наладку и вывод хроматографа на рабочий режим производят в соответствии с инструкцией, прилагаемой к прибору.

5.9.6.2. Режим градуирования и работы хроматографа 

Градуирование хроматографа проводят при следующих условиях:

Объемный расход газа-носителя, см3/мин

15

Соотношение объемных расходов газа-носителя и воздуха

1:10

Соотношение объемных расходов газа-носителя и водорода

1:1

Начальная температура термостата колонок:

- в момент ввода пробы в испаритель, °С

30

- через 8 мин после ввода пробы в испаритель, °С

60

Скорость нагрева термостата колонок, °С/мин

2

Конечная температура термостата колонок, °С

100

Температура испарителя, °С

130

Скорость движения диаграммной ленты, мм/ч

240

Шкала записи хроматограммы:

А

50·10-12

Ом

4·109

Объем вводимой пробы, мм3

0,8-2,0


Допускается изменять указанные условия (п.5.9.2.2). 

Типовая хроматофамма четыреххлористого углерода приведена на черт.2.

Черт.2. Типовая хроматограмма искусственной смеси четыреххлористого углерода и хлорорганических примесей на колонке с насадкой II

Типовая хроматограмма искусственной смеси четыреххлористого углерода 
и хлорорганических примесей на колонке с насадкой II


1 - хлористый аллил; 2 - четыреххлористый углерод; 3 - метиленхлорид; 4 - трихлорэтилен;
5 - хлороформ; 6 - перхлорэтилен; 7 - 1,2-дихлорэтан; 8 - 1,1,2-трихлорэтан

Черт.2

5.9.6.3. Градуирование хроматографа

Градуирование хроматографа проводят по п.5.9.2.3. В качестве "внутреннего эталона" используют хлористый аллил или 1,1,2-трихлорэтан.

5.9.7. Проведение анализа 

Определение проводят по п.5.9.3.

5.9.8. Обработка результатов

Обработку результатов проводят по п.5.9.4.

За результат анализа принимают среднее арифметическое результатов двух параллельных определений, абсолютное расхождение между которыми не превышает допускаемое расхождение, равное при определении хлороформа 0,004%, суммы хлорорганических примесей 0,002 и 0,004% для продуктов высшего и первого сортов соответственно.

Допускаемая абсолютная суммарная погрешность результата анализа при определении хлороформа ±0,003%, суммы хлорорганических примесей ±0,002 и ±0,004% для продуктов высшего и первого сортов соответственно при доверительной вероятности P=0,95.

5.9.6-5.9.8. (Введены дополнительно, Изм. N 2).

6. УПАКОВКА, МАРКИРОВКА, ТРАНСПОРТИРОВАНИЕ И ХРАНЕНИЕ

6.1. Четыреххлористый углерод заливают в чистые сухие стальные бочки по ГОСТ 17366 вместимостью 110 или 275 дм, по ГОСТ 6247 вместимостью 100, 200 или 275 дм3.

Упаковка четыреххлористого углерода должна соответствовать требованиям ГОСТ 26319.

6.2. Маркировка, характеризующая продукцию, должна содержать следующие данные:

- товарный знак и наименование предприятия-изготовителя;

- наименование и сорт продукта;

- номер партии и дату изготовления;

- обозначение настоящего стандарта.

Транспортная маркировка - по ГОСТ 14192 с нанесением манипуляционного знака "Герметичная упаковка".

Маркировка, характеризующая транспортную опасность груза, - по ГОСТ 19433(классификационный шифр 6112, знак опасности по черт.6а), серийный номер ООН 1846.

6.3. Четыреххлористый углерод транспортируют в крытых транспортных средствах автомобильным, водным и железнодорожным транспортом в бочках и наливом в железнодорожных цистернах в соответствии с правилами перевозки грузов, действующими на транспорте данного вида.

Цистерны и бочки заполняют четыреххлористым углеродом с учетом полной вместимости и объемного расширения продукта при возможном перепаде температур окружающей среды в пути следования.

Наливные люки цистерн и горловина бочек должны быть герметизированы прокладками из фторопласта, паронита или другого материала, стойкого к действию четыреххлористого углерода.

6.4. Четыреххлористый углерод в бочках транспортируют в пакетированном виде в соответствии с требованиями ГОСТ 26663 на деревянных плоских поддонах по ГОСТ 9557.

6.5. Четыреххлористый углерод хранят в упаковке изготовителя в неотапливаемом складском помещении или под навесом, или в герметичных стальных резервуарах. 

Раздел 6. (Измененная редакция, Изм. N 2).

7. ГАРАНТИИ ИЗГОТОВИТЕЛЯ

7.1. Изготовитель гарантирует соответствие четыреххлористого углерода требованиям настоящего стандарта при соблюдении условий транспортирования и хранения.

7.2. Гарантийный срок хранения четыреххлористого углерода - 3 мес со дня изготовления; при хранении продукта в резервуарах из стали 12Х18Н10Т (ГОСТ 5632) - один год со дня изготовления. 

(Измененная редакция, Изм. N 2).



официальное издание
М.: ИПК Издательство стандартов, 2001