Новости Нефтегазовая пром.
Выставки Наука и технология


Ацетон технический ГОСТ 2768-84

Ацетон технический. Технические условия (с Изменениями N 1, 2) ГОСТ 2768-84


ГОСТ 2768-84 


Группа Л21

МЕЖГОСУДАРСТВЕННЫЙ СТАНДАРТ

     
     
Ацетон ТЕХНИЧЕСКИЙ

     
Технические условия

Acetone for industrial use. 
Specifications



ОКП 24 1811

Дата введения 1985-07-01

ИНФОРМАЦИОННЫЕ ДАННЫЕ

1. РАЗРАБОТАН И ВНЕСЕН Министерством нефтехимической и нефтеперерабатывающей промышленности СССР

2. УТВЕРЖДЕН И ВВЕДЕН В ДЕЙСТВИЕ Постановлением Государственного комитета СССР по стандартам от 28.08.84 N 3030

3. ВЗАМЕН ГОСТ 2768-69

4. ССЫЛОЧНЫЕ НОРМАТИВНО-ТЕХНИЧЕСКИЕ ДОКУМЕНТЫ

Обозначение НТД, на который дана ссылка

Номер пункта, подпункта

ГОСТ 12.1.007-76

2.1

ГОСТ 12.1.044-89

2.2

ГОСТ 1770-74

4.3.2.1, 4.6.3.1, 4.8.1

ГОСТ 2517-85

3.2, 4.1.1

ГОСТ 2603-79

4.6.1.1, 4.6.4.1

ГОСТ 2768-84

4.6.1.1, 4.6.4.1

ГОСТ 3022-80

4.6.1.1, 4.6.4.1

ГОСТ 4204-77

4.6.3.1

ГОСТ 4212-76

4.6.3.1

ГОСТ 4328-77

4.3.2.1, 4.7.1

ГОСТ 4919.1-77

4.3.2.1, 4.7.1

ГОСТ 5456-79

4.3.2.1

ГОСТ 6247-79

5.1

ГОСТ 6552-80

4.6.3.1

ГОСТ 6613-86

4.6.1.1, 4.6.4.1

ГОСТ 6709-72-->ГОСТ 6709-72

4.3.2.1, 4.6.1.1, 4.6.3.1, 4.6.4.1, 4.7.1, 4.8.1

ГОСТ 6995-77

4.6.1.1, 4.6.4.1

ГОСТ 8325-93

4.6.4.1

ГОСТ 9293-74

4.6.1.1, 4.6.4.1

ГОСТ 9980.3 - ГОСТ 9980.5

5.5

ГОСТ 10146-74

4.6.4.1

ГОСТ 13950-91

5.1

ГОСТ 14192-96

5.2.2

ГОСТ 14870-77

4.5, 4.5.1

ГОСТ 17366-80

5.1

ГОСТ 17435-72

4.6.1.1, 4.6.4.1

ГОСТ 17567-81

4.6.1.2

ГОСТ 18300-87

4.7.1

ГОСТ 18573-86

5.1.2

ГОСТ 18995.1-73

1.2, 4.4, 4.6.3.4, 4.7.3

ГОСТ 19433-88

5.2.2

ГОСТ 20015-88

4.6.4.1

ГОСТ 20490-75

4.6.3.1, 4.8.1

ГОСТ 21029-75

5.1

ГОСТ 21650-76

5.3

ГОСТ 24363-80

4.3.2.1, 4.7.1

ГОСТ 24831-81

5.5.3

ГОСТ 25336-82

4.3.2.1, 4.6.1.1, 4.6.3.1, 4.6.4.1, 4.7.1

ГОСТ 25706-83

4.6.1.1, 4.6.4.1

ГОСТ 26319-84

5.1.2

ГОСТ 26663-85

5.3

ОСТ 6-09-185-85

5.1

ТУ 6-09-4327-78

4.6.3.1

ТУ 25-07-1503-82

4.6.4.1

5. Ограничение срока действия снято по протоколу N 4-93 Межгосударственного Совета по стандартизации, метрологии и сертификации (ИУС 4-94)

6. ИЗДАНИЕ (июль 2001 г.) с Изменениями N 1, 2, утвержденными в октябре 1985 г., сентябре 1989 г. (ИУС 1-86, 1-90)


Настоящий стандарт распространяется на технический Ацетон, получаемый кумольным методом, методом ацетонобутилового брожения, а также в качестве побочного продукта в ряде производств.

Технический Ацетон используется для синтеза уксусного ангидрида, ацетонциангидрина, дифенилолпропана и других органических продуктов, а также в качестве растворителя в различных отраслях промышленности.

Формула: CH3COCH3 

Молекулярная масса (по международным атомным массам 1985 г.) - 58,08.

Коэффициент преломления  технического ацетона 1,358-1,360.
(Измененная редакция, Изм. N 2).

1. ТЕХНИЧЕСКИЕ ТРЕБОВАНИЯ

1.1. Технический Ацетон должен быть изготовлен в соответствии с требованиями настоящего стандарта по технологическому регламенту, утвержденному в установленном порядке.

1.2. По физико-химическим показателям технический Ацетон должен соответствовать требованиям и нормам, указанным в таблице.

Наименование показателя

Норма

Метод анализа

Высший сорт ОКП 24 1811 0110

1-й сорт ОКП 24 1811 0130

2-й сорт ОКП 1811 0140

1. Внешний вид

Бесцветная прозрачная жидкость

По п.4.2

2. Массовая доля ацетона, %, не менее

99,75

99,5

99,0

По п.4.3

3. Плотность , г/см3

0,789-0,791

0,789-0,791

0,789-0,792

По ГОСТ 18995.1 и п.4.4 настоящего стандарта

4. Массовая доля воды, %, не более

0,2

0,5

0,8

По п.4.5

5. Массовая доля метилового спирта, %, не более

0,05

0,05

Не нормируют

По п.4.6

6. Массовая доля кислот в пересчете на уксусную кислоту, %, не более

0,001

0,002

0,003

По п.4.7

7. Устойчивость к окислению марганцовокислым калием, ч, не менее

4

2

0,75

По п.4.8


Примечание. В техническом ацетоне 1-го сорта, получаемом при производстве перекиси водорода из изопропилового спирта, допускается массовая доля метилового спирта не более 0,15%.

2. ТРЕБОВАНИЯ БЕЗОПАСНОСТИ

2.1. В соответствии с ГОСТ 12.1.007 по степени воздействия на организм Ацетон относится к 4-му классу опасности - вещества малоопасные.

Предельно допустимая концентрация (ПДК) паров ацетона в воздухе рабочей зоны - 200 мг/м3.

Ацетон обладает наркотическим действием. При продолжительном вдыхании паров Ацетон накапливается в организме, может всасываться через неповрежденную кожу. Отравление ацетоном возможно при вдыхании паров ацетона в концентрации, превышающей предельно допустимую концентрацию.

2.2. Ацетон - легковоспламеняющаяся жидкость.

Температура вспышки - минус 18 °С; температура самовоспламенения - 500 °С; температурные пределы воспламенения паров в воздухе: нижний - минус 20 °С, верхний - 6 °С; концентрационные пределы воспламенения паров в воздухе: нижний - 2,2% (по объему), верхний - 13% (по объему); минимальная энергия зажигания паров в воздухе - 0,6 мДж. Показатели пожароопасности определены по ГОСТ 12.1.044.

При контакте с перекисью натрия или хромовым ангидридом Ацетон загорается со взрывом. Минимальная взрывоопасная объемная доля кислорода при разбавлении ацетоновоздушных смесей: углекислым газом - 14,9%, азотом - 11,9%. Максимальное давление взрыва - 875 кПа.

Категория и группа взрывоопасной смеси ацетона - II А-Т1.

(Измененная редакция, Изм. N 2).

2.3. Все работы с ацетоном должны проводиться с использованием приточно-вытяжной вентиляции вдали от огня и источников искрообразования. В производственных условиях должна быть соблюдена герметизация оборудования, аппаратов, процессов слива и налива для исключения попадания паров ацетона в воздушную среду помещений.

При сливо-наливных операциях необходимо соблюдать правила защиты от статического электричества в производствах химической, нефтехимической и нефтеперерабатывающей промышленности.

2.4. При отборе проб, проведении анализа и обращении в процессе транспортных и производственных операций с ацетоном применяются индивидуальные средства защиты по нормам выдачи специальной одежды, специальной обуви и других средств защиты, утвержденным в установленном порядке.

2.5. Средства защиты органов дыхания в аварийных ситуациях - противогаз марки А или БКФ.

2.6. Для тушения горящего ацетона применяют порошковые огнетушители, средства объемного тушения (минимальная огнетушащая концентрация: углекислого газа - 29% (по объему), азота - 43% (по объему), дибромтетрафторэтана - 2,1% (по объему), песок, асбестовое одеяло, воду и пену.

2.7. Концентрацию ацетона в воздухе определяют методом, основанным на образовании йодоформа при взаимодействии ацетона с йодом в щелочной среде и сравнении степени помутнения со стандартной шкалой, а также с помощью газоанализатора УГ.

3. ПРАВИЛА ПРИЕМКИ

3.1. Ацетон принимают партиями. Партией считают любое количество ацетона, однородного по своим показателям и оформленного одним документом о качестве.

Документ должен содержать:

наименование предприятия-изготовителя и его товарный знак;

наименование продукта и его сорт;

дату изготовления;

номер партии, количество мест в партии, их номера;

массу нетто;

результаты проведенных анализов и подтверждение соответствия качества продукта требованиям настоящего стандарта;

обозначение настоящего стандарта.

3.2. Объем выборки для проверки качества технического ацетона устанавливают по ГОСТ 2517. У изготовителя допускается отбирать пробу из товарного резервуара.

3.3. При получении неудовлетворительных результатов анализа хотя бы по одному из показателей по нему проводят повторный анализ вновь отобранной пробы. Результаты повторного анализа распространяются на всю партию.

3.4; 3.4.1; 3.5. (Исключены, Изм. N 2).

3.6. Показатель "устойчивость к окислению марганцовокислым калием" определяют по требованию потребителя.

(Введен дополнительно, Изм. N 2).

4. МЕТОДЫ АНАЛИЗА

4.1. Отбор проб

4.1.1. Пробы отбирают по ГОСТ 2517. Объем объединенной пробы должен быть не менее 500 см3.

4.1.1 а. При взвешивании применяют лабораторные весы общего назначения типов ВЛР-200 и ВЛР-1 кг, ВЛКТ-500 г или ВЛЭ-1 кг.

Допускается применение других средств измерения с метрологическими характеристиками и оборудования с техническими характеристиками не хуже, а также реактивов по качеству не ниже указанных в настоящем стандарте.

(Введен дополнительно, Изм. N 2).

4.1.2. (Исключен, Изм. N 2).

4.2. Определение внешнего вида

Анализируемый Ацетон, налитый в цилиндр или пробирку из бесцветного стекла, по внешнему виду не должен отличаться от дистиллированной воды, налитой в такой же цилиндр или пробирку и в том же объеме, при рассмотрении сверху вниз в направлении оси сосуда на белом фоне при дневном свете. Высота налитого слоя жидкости должна быть 15-20 см.

4.3. Определение массовой доли ацетона

Массовую долю ацетона определяют расчетным или индикаторным методом.

При разногласиях в оценке массовой доли ацетона определение проводят расчетным методом.

4.3.1. Расчетный метод

Массовую долю ацетона (X) в процентах вычисляют по формуле

X=100-(X2+X3)

 где X2 - массовая доля воды, найденная по п.4.5, %;

X3 - массовая доля метилового спирта, найденная по п.4.6, %.

4.3.2. Индикаторный метод

4.3.2.1. Аппаратура, посуда, реактивы и растворы

Колба Кн-1-250-29/32 ТС по ГОСТ 25336.

Пипетки 8-2-0,2; 1(2)-2-1 и 6(7)-2-25 по НТД.

Бюретка 5-2-50 или 3-2-50 по НТД.

Цилиндр 1(3)-50 по ГОСТ 1770.

Вода дистиллированная по ГОСТ 6709.

Бромфеноловый синий (индикатор), раствор с массовой долей 0,04%; готовят по ГОСТ 4919.1.

Гидроксиламин солянокислый по ГОСТ 5456, раствор с массовой долей 20% (применяют через 2 ч после приготовления).

Натрия гидроокись по ГОСТ 4328 или калия гидроокись по ГОСТ 24363, раствор концентрации c(NaOH) или c(КОН)=0,5 моль/дм3 (0,5 н.).

(Измененная редакция, Изм. N 2).

4.3.2.2. Проведение анализа

Около 0,8 г (1 см3) ацетона помещают в предварительно взвешенную коническую колбу с притертой пробкой вместимостью 250 см3, содержащую 15 см3 раствора солянокислого гидроксиламина и 15 см3 воды, отмеренных пипеткой, и снова взвешивают. Результаты взвешивания в граммах записывают до четвертого десятичного знака. Перед прибавлением ацетона в колбу с раствором гидроксиламина пипетку с ацетоном снаружи обтирают кусочком фильтровальной бумаги, затем конец пипетки приближают к уровню раствора и быстро сливают Ацетон в раствор. Колбу закрывают пробкой, содержимое перемешивают вращательным движением до тех пор, пока жидкость не перестанет подниматься по стенкам колбы. По разнице взвешивания определяют массу навески ацетона.

К содержимому колбы прибавляют 0,2 см3 раствора бромфенолового синего и титруют раствором гидроокиси натрия или гидроокиси калия до исчезновения зеленого оттенка и появления голубовато-синей окраски, наблюдаемой в проходящем свете на белом фоне.

Одновременно готовят контрольный раствор, для этого в коническую колбу помещают 35 см3 воды, 15 см3 раствора солянокислого гидроксиламина, прибавляют 0,2 см3 раствора солянокислого бромфенолового синего и титруют в тех же условиях теми же реактивами.

4.3.2.3. Обработка результатов

Массовую долю ацетона (X1) в процентах вычисляют по формуле где V - объем раствора гидроокиси натрия или гидроокиси калия концентрации точно 0,5 моль/дм3, израсходованный на титрование пробы ацетона, см3;
V1 - объем раствора гидроокиси натрия или гидроокиси калия концентрации точно 0,5 моль/дм3, израсходованный на титрование в контрольном опыте, см3;

0,02904 - масса ацетона, соответствующая 1 см3 раствора гидроокиси натрия или гидроокиси калия концентрации точно 0,5 моль/дм3, г;

m - масса навески ацетона, г.

Результат округляют до второго десятичного знака для продукта высшего сорта и до первого десятичного знака для продукта первого и второго сортов.

За результат анализа принимают среднее арифметическое результатов двух параллельных определений, абсолютное расхождение между которыми не превышает допускаемое расхождение, равное 1%.

(Измененная редакция, Изм. N2).

4.4. Определение плотности

Плотность определяют по ГОСТ 18995.1.

При разногласиях в оценке плотности определение проводят по разд.2.

4.5. Определение массовой доли воды

Массовую долю воды определяют методом Фишера по ГОСТ 14870 или хроматографическим методом по п.4.6.4.

При разногласиях в оценке массовой доли воды определение проводят методом Фишера.

4.5.1. Определение массовой доли воды методом Фишера проводят по ГОСТ 14870, при этом берут 2 см3 анализируемого ацетона, в качестве растворителя используют 5 см3 пиридина. Применяют реактив Фишера невидоизмененного состава.

Результат округляют до первого десятичного знака.

4.5; 4.5.1. (Измененная редакция, Изм. N 2).

4.5.2-4.5.2.4. (Исключены, Изм. N 2).

4.6. Массовую долю метилового спирта определяют хроматографическим методом по п.п.4.6.1 и 4.6.2 или по п.4.6.4 или химическим (фотометрическим) методом по п.4.6.3.

При разногласиях в оценке массовой доли метилового спирта определение проводят хроматографическим методом по п.4.6.4.

4.6.1. Определение массовой доли метилового спирта хроматографическим методом

4.6.1.1. Аппаратура, материалы и реактивы

Хроматограф с пламенно-ионизационным детектором, с порогом чувствительности 2,5·10-8 мг/с и возможностью ввода пробы непосредственно в колонку.

Колонка хроматографическая из нержавеющей стали или стеклянная длиной 3 м, внутренним диаметром 3 мм.

Шкаф сушильный, обеспечивающий нагрев до температуры 250 °С.

Баня водяная или лампа накаливания инфракрасная зеркальная.

Лупа измерительная по ГОСТ 25706 или аналогичного типа.

Линейка измерительная по ГОСТ 427 или линейка чертежная по ГОСТ 17435.

Микрошприц типа МШ-10 или МШ-1.

Секундомер механический 3-го класса точности.

Колба круглодонная К-1-250-29/32 ТС по ГОСТ 25336.

Сита с сетками по ГОСТ 6613 или набор сит "Физприбор" с размерами сторон ячеек 0,10; 0,12; 0,14; 0,16; 0,20 мм.

Носитель твердый: хроматон N-AW, целит-545, порохром-1, с частицами размером 0,10-0,12; 0,12-0,14 мм, допускается применение фракции 0,16-0,20 мм.

Фаза неподвижная жидкая: 1, 2, 3-трис (бета-цианэтокси) пропан (ТЦЭП) или полиэтиленгликоль (ПЭГ)-300 или 400.

Газ-носитель: азот по ГОСТ 9293 или гелий марки А или Б.

Водород технический по ГОСТ 3022 марки А или Б, высший или первый сорт.

Воздух для питания приборов.

Растворитель неподвижной фазы: хлороформ для хроматографии, х.ч. или медицинский.

Ацетон по ГОСТ 2603 или по ГОСТ 2768, высший сорт.

метанол-яд для хроматографии, х.ч. или по ГОСТ 6995.

Вещество-эталон: третичный амиловый спирт, ч., или бутанол-2 для хроматографии, х.ч.

Вода дистиллированная по ГОСТ 6709.

4.6.1.2. Подготовка к анализу

Приготовление наполнителя колонки

Наполнитель готовят из расчета 15% неподвижной фазы от массы твердого носителя. Результаты взвешивания в граммах записывают с точностью до первого десятичного знака. Твердый носитель освобождают от пыли декантацией дистиллированной водой, высушивают при 200-250 °С в течение 2 ч в сушильном шкафу, переносят в круглодонную колбу, охлаждают до 40-50 °С и заливают раствором неподвижной фазы в хлороформе. Объем хлороформа должен быть таким, чтобы весь твердый носитель был покрыт раствором. В течение 40-50 мин время от времени осторожно перемешивают содержимое колбы круговыми движениями. Затем растворитель удаляют на водяной бане или на инфракрасной лампе до исчезновения запаха хлороформа.

Подготовка хроматографических колонок

Для анализа применяют составную хроматографическую колонку, соотношение длин секций с ПЭГ и ТЦЭП равно 2:1. Подготовку хроматографических колонок и заполнение сорбентом выполняют по инструкции к хроматографу.

В первую (по ходу газа-носителя) секцию колонки засыпают наполнитель с ПЭГ, во вторую - с ТЦЭП. Заполненную колонку устанавливают в термостат хроматографа, не присоединяя к детектору, устанавливают расход азота 5-10 см3/мин и поднимают температуру термостата до 100 °С в течение 1-1,5 ч. При 100 °С выдерживают в течение 8 ч.

Эффективность колонки, вычисленная по пику третичного амилового спирта (бутанола-2) в соответствии с ГОСТ 17567, должна быть не ниже 800 теоретических тарелок на 1 м.

Градуировка прибора (определение градуировочных коэффициентов).

Градуировку хроматографа осуществляют по 4-5 искусственным смесям ацетона с метанолом. Смеси готовят взвешиванием в пенициллиновом пузырьке с плотно закрытой пробкой. В Ацетон добавляют шприцем метанол и третичный амиловый спирт или бутанол-2 с таким расчетом, чтобы массовая доля каждого составляла 0,05-0,20%. Результаты взвешивания в граммах записывают до четвертого десятичного знака. Получают не менее трех хроматограмм каждой искусственной смеси в условиях проведения анализа (п.4.6.1.3).

Градуировку проводят не реже одного раза в квартал.

Градуировочный коэффициент (K) для метанола вычисляют по формуле где m - масса метанола в смеси, г;
hэт - высота пика эталона, мм;

mэт - масса эталона в смеси, г;

h - высота пика метанола, мм.

При использовании ацетона, содержащего примесь метанола, предварительно методом добавки определяют его массовую долю. За результат определения градуировочного коэффициента принимают среднее арифметическое всех определений, допускаемые расхождения между которыми не должны превышать 10% относительно определяемой величины. Результат округляют до третьего десятичного знака.

4.6.1.3. Проведение анализа

Условия проведения анализа:

Хроматон

Порохром

температура термостата, °С

65±10

75±10

температура испарителя, °С

100±10

100±10

расход газа-носителя, см3/мин

25±10

25±10

объем пробы, мм3

0,4-1,0

0,4-1,0

скорость движения диаграммной ленты, мм/ч

200-240

200-240


Масштаб записи хроматограммы устанавливают таким, чтобы при массовой доле метанола 0,02% высота пика была не менее 10 мм.

Подготовку к анализу и вывод прибора на рабочий режим проводят в соответствии с инструкцией к прибору.

Типовая хроматограмма анализа пробы технического ацетона приведена на черт.2.

Черт.2. Типовая хроматограмма технического ацетона

Типовая хроматограмма технического ацетона


1 - метанол; 2 - Этанол; 3 - трет-амиловый спирт

Черт.2*

________________
* Черт.1. (Исключен, Изм. N 2).


В пенициллиновый пузырек с плотно закрытой пробкой помещают около 10 г пробы ацетона и взвешивают. Результаты взвешивания в граммах записывают до четвертого десятичного знака. Шприцем добавляют 5 мм3 (примерно 0,05%) внутреннего эталона и снова взвешивают. Пробу с эталоном тщательно перемешивают, отбирают микрошприцем и быстро вводят непосредственно в колонку.

4.6.1.4. Обработка результатов

Высоты пиков измеряют с помощью линейки с точностью до 0,5 мм. Нулевую линию проводят как продолжение пика ацетона.

Массовую долю примеси метанола (X3) в процентах вычисляют по формуле где R - отношение массы эталона к массе пробы без эталона;
Km - градуировочный коэффициент для метанола;

h - высота пика метанола, мм;

hэт  - высота пика эталона, мм.

Результат округляют до второго десятичного знака. За результат анализа принимают среднее арифметическое результатов двух параллельных определений, абсолютное расхождение между которыми не превышает допускаемое расхождение, равное 0,004%.

Абсолютное расхождение результатов анализа, полученное в разных лабораториях, не превышает допускаемое расхождение, равное 0,009%.

4.6.1.1-4.6.1.4. (Измененная редакция, Изм. N 2).

4.6.2. Допускается проводить хроматографическое определение метанола, применяя в качестве наполнителя колонки динохром П или хроматон N, пропитанный ПЭГ-300 (10% от массы носителя). При этом анализ проводят при следующих условиях, указанных ниже:

температура колонки, °С

65-70

температура испарителя, °С 

150

скорость газа-носителя, см3/мин 

45

скорость движения ленты потенциометра, мм/ч 

600

объем пробы, мм3

2


Обработку результатов ведут по площадям пиков.

(Измененная редакция, Изм. N 2).

4.6.3. Определение массовой доли метилового спирта химическим (фотометрическим) методом

4.6.3.1. Аппаратура, материалы и реактивы

Фотоэлектроколориметр КФК или спектрофотометр СФ-16 или СФ-26.

Баня водяная.

Пробирки П-4-15-14/23ХС по ГОСТ 25336 с меткой на 15 см3.

Пипетки 2-2-5, 4-2-1, 4-2-2, 6-2-10 по НТД.

Колбы мерные 2-100-2, 2-200-2, 2-1000-2 по ГОСТ 1770.

Калий марганцовокислый по ГОСТ 20490, раствор с массовой долей 5%.

Кислота серная по ГОСТ 4204, раствор 3:1.

Кислота ортофосфорная по ГОСТ 6552, раствор 1:9.

Натрий сернистокислый пиро по ТУ 6-09-4327, 10%-ный раствор свежеприготовленный.

Соль динатриевая хромотроповой кислоты, ч.д.а., раствор с массовой долей 1%, свежеприготовленный и профильтрованный.

Раствор водно-метанольный, готовят по ГОСТ 4212 (7 см3 раствора содержат 1 мг метилового спирта).

Вода дистиллированная по ГОСТ 6709.

4.6.3.2. Построение градуировочного графика

В десять мерных колб вместимостью 100 см3 помещают 0,15; 0,20; 0,25; 0,5; 1,0; 1,5; 2,0; 3,0; 4,0; 5,0 см3 водно-метанольного раствора и доводят до метки дистиллированной водой. Из каждой колбы пипеткой отбирают в пробирки по 2 см3 приготовленных растворов.

Масса метанола в пробирках соответственно равна 0,003; 0,004; 0,005; 0,01; 0,02; 0,03; 0,04; 0,06; 0,08; 0,1 мг. В каждую пробирку добавляют 0,4 см3 раствора ортофосфорной кислоты, 0,5 см3 раствора марганцовокислого калия, перемешивают и оставляют в покое. Через 10 мин прибавляют по каплям, каждый раз встряхивая, раствор пиросернистокислого натрия до обесцвечивания. Затем прибавляют 10 см3 раствора серной кислоты, закрывают пробкой, осторожно перемешивают, прибавляют 0,4 см3 раствора динатриевой соли хромотроповой кислоты, перемешивают. Пробирки выдерживают в стакане с кипящей водой в течение 15 мин. Затем пробирки охлаждают в течение 5 мин в стакане под струей холодной воды, доводят объемы растворов до 15 см3, перемешивают и снова охлаждают.

Одновременно готовят в двух пробирках контрольный раствор, куда добавляют все реактивы, кроме метанола, и в тех же количествах, что и при построении градуировочного графика. Содержимое пробирок перемешивают между собой и заливают в кюветы. При измерении оптической плотности на однолучевом приборе контрольный раствор готовят в одной пробирке.

Оптическую плотность растворов измеряют по отношению к контрольному раствору в кюветах с толщиной поглощающего свет слоя 30 мм, при длине волны =582 нм (желтый светофильтр).
По полученным данным строят градуировочный график, откладывая по оси абсцисс массу метилового спирта в миллиграммах, а по оси ординат - соответствующие величины оптических плотностей.

4.6.3.1; 4.6.3.2. (Измененная редакция, Изм. N 2).

4.6.3.3. Проведение анализа

5 см3 ацетона помещают в мерную колбу вместимостью 200 см3, доводят объем до метки водой и перемешивают.

В две градуированные пробирки помещают по 2 см3 полученного раствора. В одну пробирку прибавляют те же реактивы в тех же количествах, что и при построении градуировочного графика, во вторую прибавляют 10 см3 раствора серной кислоты, 0,4 см3 раствора динатриевой соли хромотроповой кислоты, перемешивают и обе пробирки выдерживают в стакане с кипящей водой в течение 15 мин.

Затем содержимое пробирок охлаждают, доводят до 15 см3 водой, перемешивают и снова охлаждают. Величину оптической плотности растворов измеряют по отношению к контрольным растворам. Контрольный раствор для первой пробирки готовят в удвоенном количестве так же, как при построении градуировочного графика, для второй - в две градуировочные пробирки берут по 10 см3 раствора серной кислоты, прибавляют по 0,4 см3 раствора динатриевой соли хромотроповой кислоты, выдерживают в кипящей водяной бане 15 мин, охлаждают, доводят до метки водой. Содержимое обеих пробирок перемешивают между собой и заливают в кюветы.

По полученным значениям оптической плотности, пользуясь градуировочным графиком, находят массу веществ в пересчете на метанол, реагирующих с хромотроповой кислотой при окислении пробы перманганатом, и массу веществ, взаимодействующих с хромотроповой кислотой без окисления пробы перманганатом.

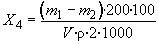
4.6.3.4. Обработка результатов

Массовую долю метилового спирта (X4) в процентах вычисляют по формуле где m1 - масса веществ, в пересчете на метанол, взаимодействующих с хромотроповой кислотой при окислении пробы перманганатом, мг;
m2 - масса веществ, в пересчете на метанол, взаимодействующих с хромотроповой кислотой без окисления пробы перманганатом, мг;

V - объем ацетона, взятый для анализа, см3;

p - плотность ацетона, определенная по ГОСТ 18995.1, г/см3;

200 - вместимость мерной колбы, в которой готовят водный раствор ацетона, см3;

2 - объем водного раствора ацетона, взятый для анализа, см3;

1000 - пересчет массы навески ацетона, мг.

За результат анализа принимают среднее арифметическое двух параллельных определений, допускаемые расхождения между которыми при доверительной вероятности P=0,95 не должны превышать в процентах:

0,0075 - при массовой доле метанола 0,05%,

0,02 - при массовой доле метанола 0,15%.

Результат округляют до второго десятичного знака.

(Измененная редакция, Изм.N 2).

4.6.4. Определение массовой доли метилового спирта и воды хроматографическим методом

4.6.4.1. Аппаратура, материалы, посуда, реактивы

Хроматограф с детектором по теплопроводности с порогом чувствительности по пропану не более 1·10-3% (по объему).

Колонка хроматографическая из нержавеющей стали или стеклянная длиной 1 м, внутренним диаметром 2-3 мм.

Микрошприц МШ-10.

Шкаф сушильный.

Трубка кварцевая или из нержавеющей стали длиной 100 мм, внутренним диаметром 40 мм.

Интеграторы электронные И-02, И-05.

Линейка измерительная по ГОСТ 427 или линейка чертежная по ГОСТ 17435.

Микроскоп отсчетный МПБ-2 или лупа измерительная ЛИ 3·10x по ГОСТ 25706 или аналогичного типа.

Лампа накаливания инфракрасная зеркальная или баня водяная.

Секундомер механический 3-го класса точности.

Часы электрические показывающие по ТУ 25-07-1503 или аналогичного типа.

Эксикатор по ГОСТ 25336.

Сита с сетками по ГОСТ 6613 или набор сит "Физприбор" с размерами сторон ячеек 0,160; 0,200; 0,250 мм.

Носитель твердый: полисорб-1, частицами размером 0,160-0,200 мм или 0,200-0,250 мм.

Фазы неподвижные жидкие: жидкость фторсиликоновая ФС-16 и масло метилсиликоновое ПМС-100; допускается применять 1, 2, 3-трис (бета-цианэтокси) пропан (ТЦЭП) и силиконовый эластомер Е-301 или аналогичного типа, обеспечивающие полное разделение пиков метанола и воды.

Нити стеклянные по ГОСТ 8325 или ткани фильтровальные из стеклянных нитей по ГОСТ 10146, или вата стеклянная.

Колба К-1-250-29/32 ТС по ГОСТ 25336.

Стакан В-1-50 по ГОСТ 25336.

Газ-носитель: гелий газообразный технический или водород технический по ГОСТ 3022 марки А или Б, высший или первый сорт.

Азот газообразный по ГОСТ 9293.

Хлороформ по ГОСТ 20015.

Сита молекулярные NaA, CaA или импортные 4A, 5A, гранулы или частицы размером не менее 160 мм.

Ацетон по ГОСТ 2603 или по ГОСТ 2768, высший сорт.

метанол-яд для хроматографии или по ГОСТ 6995.

Вода дистиллированная по ГОСТ 6709.

4.6.4.2. Подготовка к анализу

Приготовление наполнителя колонки

Полисорб-1 просеивают и заполняют трубку необходимым объемом, выдерживают в течение 3-4 ч при температуре (150±10) °С в токе азота.

ФС-16 или ТЦЭП и ПМС-100, или Е-301 (0,7 и 3,0% от массы носителя соответственно) взвешивают с точностью до четвертого десятичного знака, помещают в круглодонную колбу, растворяют в хлороформе и вносят термически обработанный носитель, взвешенный с точностью до второго десятичного знака. Раствор выдерживают в течение 40-50 мин, периодически перемешивая, при комнатной температуре. Затем растворитель выпаривают на инфракрасной лампе или водяной бане при температуре 60-70 °С до сыпучего состояния приготовленного наполнителя.

Допускается применять термически обработанный носитель без нанесения неподвижных фаз при условии четкого разделения пиков метанола и воды.

Подготовка колонки

Подготовку колонки и заполнение носителем выполняют по инструкции, прилагаемой к хроматографу. Слой наполнителя на входе и выходе колонки укрепляют тампонами из стеклянных нитей или стеклянной ваты. Заполненную колонку устанавливают в термостат хроматографа и, не присоединяя к детектору, продувают газом-носителем в течение (8±1) ч при температуре (95±5) °С. Затем колонку охлаждают до комнатной температуры, подключают к детектору и проверяют герметичность газовой линии.

Градуировка хроматографа

Подготовку хроматографа к анализу и вывод его на рабочий режим проводят в соответствии с инструкцией к прибору.

Условия работы хроматографа:

температура термостата, °С 

75±5

температура испарителя, °С 

130±10

температура детектора, °С 

110±10

расход газа-носителя, см3/мин

35±10

объем пробы, мм3 

1-3

скорость передвижения диаграммной ленты, мм/ч

240-600


Масштаб записи хроматограммы выбирают таким, чтобы при массовой доле метанола 0,02% высота пика была не менее 10 мм.

Для градуирования прибора готовят не менее трех искусственных смесей, близких по составу к анализируемому продукту. Результаты взвешивания в граммах записывают до четвертого десятичного знака. Для приготовления искусственных смесей используют Ацетон, очищенный молекулярными ситами, предварительно прокаленными при температуре (390±15) °С в течение 3-4 ч и охлажденными в эксикаторе. На две части (по объему) ацетона берут одну часть молекулярных сит.

При неполном удалении примесей остаточное содержание воды и метанола определяют методом добавок и учитывают при приготовлении искусственных смесей. Смеси готовят в склянке с пробкой, обеспечивающей герметичность. Получают четыре-пять хроматограмм каждой искусственной смеси непосредственно после приготовления.

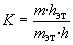
Градуировочный коэффициент (Ki) для каждой примеси вычисляют по формуле где S и Si - площади пиков определяемой примеси и ацетона соответственно, мм2;

M и Mi - масштаб записи пиков определяемой примеси и ацетона соответственно;

m и mi - масса навески определяемой примеси и ацетона соответственно, г.

Площадь пиков определяют как произведение высоты пика на его ширину, измеренную на половине высоты, или получают с помощью электронного интегратора.

Высоту пика измеряют с помощью линейки с точностью до 0,5 мм, ширину - с помощью микроскопа или лупы с точностью до 0,1 мм.

Допускается проводить расчет по высотам пиков, полученным с помощью линейки или электронного интегратора.

Результат округляют до третьего десятичного знака.

За градуировочный коэффициент для каждой примеси принимают среднее арифметическое результатов всех определений, относительное расхождение между которыми не превышает допускаемое расхождение, равное 5%.

Градуировку прибора проводят не реже одного раза в квартал и после каждой смены наполнителя в колонке или ремонта прибора.

4.6.4.3. Проведение анализа

Пробу ацетона без предварительной подготовки микрошприцем быстро вводят непосредственно в колонку. Затем проводят корректировку объема вводимой пробы и масштаба регистрации. Получают не менее двух хроматограмм.

Идентификацию пиков хроматограммы проводят методом добавок индивидуальных веществ.

Типовая хроматограмма технического ацетона приведена на черт.3.

Черт.3. Типовая хроматограмма анализа ацетона

Типовая хроматограмма анализа ацетона


1 - воздух;

2 - Вода; 3 - метанол; 4 - Ацетон

Черт.3

4.6.4.4. Обработка результатов

Массовую долю метанола и воды (Xi) в процентах вычисляют по формуле где Ki - градуировочный коэффициент для определяемой примеси;
S и Si  - площади пиков определяемой примеси и ацетона соответственно, мм2;

M и Mi - масштаб записи пиков определяемой примеси и ацетона соответственно;

100 - массовая доля ацетона в анализируемой пробе, %.

Результат округляют до второго десятичного знака при определении массовой доли метанола и до первого десятичного знака при определении массовой доли воды.

За результат анализа принимают среднее арифметическое результатов двух параллельных определений, абсолютное расхождение между которыми не превышает допускаемое расхождение, равное 0,003% при определении массовой доли метанола и 0,020% - при определении массовой доли воды.

Абсолютное расхождение результатов анализа, полученное в разных лабораториях, не превышает 0,009% для массовой доли метанола и 0,085% - для массовой доли воды.

4.6.4-4.6.4.4. (Введены дополнительно, Изм. N 2).

4.7. Определение массовой доли кислот в пересчете на уксусную кислоту

4.7.1. Посуда, материалы и реактивы

Колба Кн-1-250-29/32 ТС по ГОСТ 25336.

Пипетка 2-2-50 или 3-2-50 по НТД.

Бюретка 6-2-5, 7-2-3 или 7-2-10 по НТД.

Вода дистиллированная по ГОСТ 6709.

Фенолфталеин (индикатор), спиртовой раствор с массовой долей 1%; готовят по ГОСТ 4919.1.

Спирт этиловый ректификованный технический по ГОСТ 18300.

Натрия гидроокись по ГОСТ 4328 или калия гидроокись по ГОСТ 24363 концентрации c(NaOH) или c(КОН)=0,01 моль/дм3=(0,01 н.).

(Измененная редакция, Изм. N 2).

4.7.2. Проведение анализа

Отмеряют пипеткой 50 см3 ацетона, пипеткой переносят в коническую колбу с притертой пробкой вместимостью 250 см3, содержащую 50 см3 воды.

К раствору прибавляют две капли фенолфталеина. Полученный раствор титруют раствором щелочи, непрерывно перемешивая содержимое колбы, до появления розовой окраски, заметной в проходящем свете на белом фоне и устойчивой в течение 10-15 с.

Одновременно в тех же условиях и с теми же реактивами проводят контрольный опыт с 50 см3 воды.

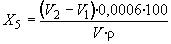
4.7.3. Обработка результатов

Массовую долю кислот в пересчете на уксусную кислоту (X5) в процентах вычисляют по формуле где V - объем анализируемой пробы ацетона, см3;
V1 - объем раствора гидроокиси натрия или гидроокиси калия концентрации точно 0,01 моль/дм3, израсходованный на титрование в контрольном опыте, см3;

V2 - объем раствора гидроокиси натрия или гидроокиси калия концентрации точно 0,01 моль/дм3, израсходованный на титрование пробы, см3;

p - плотность анализируемого ацетона, определенная по ГОСТ 18995.1, г/см3;

0,0006 - масса уксусной кислоты, соответствующая 1 см3 раствора гидроокиси натрия или гидроокиси калия концентрации точно 0,01 моль/дм3, г.

За результат анализа принимают среднее арифметическое результатов двух параллельных определений, допускаемые расхождения между которыми при доверительной вероятности P=0,95 не должны превышать 0,0001%.

Результат округляют до третьего десятичного знака.

(Измененная редакция, Изм. N 2).

4.8. Определение устойчивости к окислению марганцовокислым калием

4.8.1. Посуда, реактивы и растворы

Термостат или баня водяная.

Термометр с пределом измерения от 0 до 50 °С или от 0 до 100 °С и ценой деления 0,5 °С.

Пипетка 4(5)-2-1 по НТД или бюретка 1(3)-2-1 по НТД.

Цилиндр 2-100 или 4-100 по ГОСТ 1770.

Вода дистиллированная по ГОСТ 6709.

Калий марганцовокислый по ГОСТ 20490, раствор с массовой долей 0,1%; раствор годен в течение суток.

(Измененная редакция, Изм. N 2).

4.8.2. Проведение анализа

100 см3 ацетона помещают в цилиндр, прибавляют 1 см3 раствора марганцовокислого калия и тщательно перемешивают. Цилиндр помещают в темное место и поддерживают температуру раствора (20±2) °С. Продукт считают соответствующим требованиям настоящего стандарта, если в течение 4 ч для высшего сорта, 2 ч для 1-го сорта и 45 мин для 2-го сорта сохранится розовая окраска раствора.

5. УПАКОВКА, МАРКИРОВКА, ТРАНСПОРТИРОВАНИЕ И ХРАНЕНИЕ

5.1. Технический Ацетон заливают в специально выделенные для ацетона железнодорожные цистерны с верхним сливом или универсальным сливным прибором, автоцистерны, в бочки алюминиевые по ГОСТ 21029, стальные или оцинкованные по ГОСТ 17366, ГОСТ 13950, тип I, ГОСТ 6247, вместимостью от 100 до 275 дм3, в стеклянные бутыли по ОСТ 6-09-185, вместимостью 10 и 20 дм3.

5.1.1. Загрузочный люк цистерн закрывают и пломбируют.

5.1.2 Бутыли с техническим ацетоном закупоривают корковыми, деревянными, полиэтиленовыми или притертыми стеклянными пробками; корковые и деревянные пробки обертывают пергаментом. Пробки сверху покрывают полиэтиленовой пленкой и обвязывают шпагатом.

Бутыли упаковывают по ГОСТ 26319 в деревянные ящики номер 1 или 4 по ГОСТ 18573 и уплотняют древесной стружкой или полиэтиленовыми амортизаторами. Деревянные ящики и древесная стружка должны быть пропитаны негорючим веществом (насыщенным раствором хлористого кальция (магния) или сульфата аммония).

(Измененная редакция, Изм. N 2).

5.2. Маркировка

5.2.1. На железнодорожных цистернах должна быть предупредительная надпись "Огнеопасно" и трафарет приписки.

5.2.2. Бочки и бутыли маркируют по ГОСТ 14192.

На каждую бочку с ацетоном наносят следующие дополнительные обозначения:

наименование продукта и его сорт;

дату изготовления;

массу брутто и нетто;

номер партии, номер места;

обозначение настоящего стандарта;

знак опасности по ГОСТ 19433 (класс 3, подкласс 3.2, классификационный шифр 3212), серийный номер ООН 1090;

манипуляционный знак "Беречь от нагрева".

К бочкам с ацетоном, транспортируемым автомобильным транспортом, допускается прикреплять ярлык с теми же обозначениями.

На каждую бутыль с ацетоном прикрепляют ярлык с указанными обозначениями и дополнительными манипуляционными знаками "Хрупкое. Осторожно" и "Верх".

5.3. Ацетон транспортируют транспортом всех видов в соответствии с правилами перевозок грузов, действующими на транспорте данного вида.

Воздушным транспортом перевозят только на грузовых судах с максимальным объемом нетто на одну упаковку 60 дм3.

По железной дороге перевозят в бочках в крытых вагонах (повагонными или мелкими отправками).

При транспортировании ацетона в бочках вместимостью 100 дм3 в крытых железнодорожных вагонах, речным и морским транспортом перевозку осуществляют пакетами в соответствии с правилами перевозки грузов, действующими на транспорте данного вида и ГОСТ 21650. При формировании пакетов из бочек должны соблюдаться требования ГОСТ 26663.

Ацетон в бутылях перевозят только автомобильным транспортом.

5.2.2-5.3. (Измененная редакция, Изм. N 2).

5.4. Технический Ацетон хранят в стальных, алюминиевых, оцинкованных емкостях или бочках и в стеклянных бутылях в соответствии с правилами хранения огнеопасных веществ.

5.5. Упаковку, маркировку, транспортирование и хранение ацетона, предназначенного для розничной торговли, осуществляют в соответствии с ГОСТ 9980.3 - ГОСТ 9980.5. Срок хранения (годности) - не ограничен.

5.5.1. Ацетон, предназначенный для розничной торговли, упаковывают в стеклянные бутыли и флаконы вместимостью 30, 50, 100, 500 и 1000 см3.

(Измененная редакция, Изм. N 1).

5.5.2. На бутыли и флаконы, а также транспортную тару с ацетоном, предназначенным для розничной торговли, наносят маркировку, содержащую следующие обозначения:

наименование предприятия-изготовителя и его товарный знак;

наименование продукта "Ацетон";

массу нетто;

номер партии;

дату изготовления;

обозначение настоящего стандарта;

указание: "Ацетон предназначается для растворения лаков, красок и эмалей";

предупредительные надписи "Беречь от нагрева", "Хрупкое. Осторожно".

5.5.3. Допускается по согласованию с потребителем применение тары-оборудования по ГОСТ 24831.

5.5.4. Масса брутто упаковки не должна превышать 20 кг.

6. ГАРАНТИИ ИЗГОТОВИТЕЛЯ

6.1. Изготовитель гарантирует соответствие технического ацетона требованиям настоящего стандарта при соблюдении условий транспортирования и хранения.

6.2. Гарантийный срок хранения технического ацетона в стальных, алюминиевых и оцинкованных емкостях и бочках - три месяца, в стеклянной таре - один год со дня изготовления.

Гарантийный срок хранения технического ацетона высшего сорта в неоцинкованных емкостях из углеродистой стали - один месяц со дня изготовления.




официальное издание
М.: ИПК Издательство стандартов, 2001