Диметилформамид. Реактивы ГОСТ 20289-74
Диметилформамид. Реактивы. Технические условия (с Изменениями N 1, 2) ГОСТ 20289-74
ГОСТ 20289-74
Группа Л52
ГОСУДАРСТВЕННЫЙ СТАНДАРТ СОЮЗА ССР
Реактивы
ДИМЕТИЛФОРМАМИД
Технические условия
Reagents. Dimethyl formamide. Specifications
ОКП 26 3621 0550 05
Дата введения 1975-01-01
ИНФОРМАЦИОННЫЕ ДАННЫЕ
1. РАЗРАБОТАН И ВНЕСЕН Министерством химической промышленности
РАЗРАБОТЧИКИ
М.Б.Недув, Г.В.Грязнов, В.Г.Брудзь, И.Л.Ротенберг, Э.П.Кравчук, Л.Д.Комиссаренко, Т.К.Палдина
2. УТВЕРЖДЕН В ВВЕДЕН В ДЕЙСТВИЕ Постановлением Государственного комитета стандартов Совета Министров СССР от 15.11.74 N 2535
3. Срок проверки - 1996 г.
Периодичность проверки - 5 лет
4. Стандарт предусматривает прямое применение разд.59 международного стандарта ИСО 6353-3-87 "Реактивы для химического анализа. Часть 3. Технические условия. Вторая серия" и международного стандарта ИСО 6353-1-82 "Реактивы для химического анализа. Часть 1. Общие методы испытаний"
5. ВЗАМЕН ГОСТ 5.703-70
6. ССЫЛОЧНЫЕ НОРМАТИВНО-ТЕХНИЧЕСКИЕ ДОКУМЕНТЫ
|
Обозначение НТД, на который дана ссылка |
Номер пункта, подпункта |
|
ГОСТ 12.1.005-88 |
2а.1 |
|
ГОСТ 427-75 |
3.3.1.1 |
|
ГОСТ 1770-74 |
3.7.1; 3.10.1 |
|
ГОСТ 2222-78 |
3.3.1.1 |
|
3.3.1.1 |
|
|
3.7.1 |
|
|
2.1; 3.1; 4.1 |
|
|
3.10.1 |
|
|
3.3.1.1; 3.7.1 |
|
|
ГОСТ 4919.1-77 |
3.7.1 |
|
3.3.1.1 |
|
|
ГОСТ 6563-75 |
3.9 |
|
3.7.1; 3.10.1 |
|
|
3.3.1.1 |
|
|
ГОСТ 14870-77 |
3.8; приложение 2 |
|
ГОСТ 14871-76 |
3.2; приложение 2 |
|
3.7.1 |
|
|
ГОСТ 18522-93 |
Приложение 2 |
|
ГОСТ 18995.1-73 |
3.5 |
|
ГОСТ 18995.2-73 |
3.6 |
|
ГОСТ 18995.6-73 |
3.4 |
|
ГОСТ 19433-88 |
4.1 |
|
3.10.1 |
|
|
ГОСТ 21533-76 |
3.3.1.2; приложение 2 |
|
ГОСТ 25336-82 |
3.7.1; 3.10.1 |
|
ГОСТ 25706-83 |
3.3.1.1 |
|
ГОСТ 25794.1-83 |
3.7.1 |
|
ГОСТ 25794.2-83 |
3.10.1 |
|
ГОСТ 27025-86 |
3.1а |
|
ГОСТ 27026-86 |
3.9 |
7. Ограничение срока действия снято Постановлением Госстандарта СССР от 24.12.91 N 2065
8. ПЕРЕИЗДАНИЕ (ноябрь 1996 г.) с Изменениями N 1, 2, утвержденными в феврале 1987 г., декабре 1991 г. (ИУС 5-87, 4-92)
Настоящий стандарт распространяется на диметилформамид, представляющий собой бесцветную жидкость со слабым специфическим запахом.
Формулы: эмпирическая C3H7ON

Относительная молекулярная масса (по международным атомным массам 1985 г.) - 73,09.
Требования настоящего стандарта, кроме требований пп.3-5 табл.1, являются обязательными.
Допускается изготовлять диметилформамид по ИСО 6353-3-87 (Р.59) (см. приложение 1) и проводить анализы по ИСО 6353-1-82 (см. приложение 2).
(Измененная редакция, Изм. N 2).
1. ТЕХНИЧЕСКИЕ ТРЕБОВАНИЯ
1.1. Диметилформамид должен быть изготовлен в соответствии с требованиями настоящего стандарта по технологическому регламенту, утвержденному в установленном порядке.
(Измененная редакция, Изм. N 1).
1.2. По физико-химическим показателям диметилформамид должен соответствовать требованиям и нормам, указанным в табл.1.
Таблица 1
(Измененная редакция, Изм. N 1, 2).
2а. ТРЕБОВАНИЯ БЕЗОПАСНОСТИ
2а.1. Диметилформамид обладает местным раздражающим (слизистые оболочки дыхательных путей, глаза и кожа) и общетоксическим действием. Проникает в организм через дыхательные пути и неповрежденные кожные покровы.
Диметилформамид относится ко 2-му классу опасности по ГОСТ 12.1.005.
Предельно допустимая концентрация паров диметилформамида в воздухе рабочей зоны производственных помещений - 10 мг/м3.
2а.2. Диметилформамид - бесцветная горючая подвижная жидкость. Температура вспышки 59 °С, температура самовоспламенения 420 °С, концентрационные пределы воспламенения, % (по объему): нижний - 4,9, верхний - 13,6, температурные пределы воспламенения: нижний 50 °С, верхний 85 °С. В случае воспламенения тушить тонкораспыленной водой, пеной.
(Измененная редакция, Изм. N 2).
2а.3. Пробы диметилформамида должны храниться под тягой в герметически закрытой таре при постоянно действующей вытяжной вентиляции. При нарушении герметичности тары хранение диметилформамида под тягой и в помещении лаборатории запрещается.
2а.4. Помещения, в которых проводятся работы с препаратом, должны быть оборудованы непрерывно действующей приточно-вытяжной вентиляцией. Анализ препарата следует проводить в вытяжном шкафу лаборатории.
(Измененная редакция, Изм. N 2).
2а.5. При работе с диметилформамидом необходимо применять индивидуальные средства защиты, а также соблюдать правила личной гигиены.
На рабочем месте необходимо иметь противогаз марки БКФ и огнетушитель ОП-5.
Разд.2а. (Введен дополнительно, Изм. N 1).
2. ПРАВИЛА ПРИЕМКИ
2.1. Правила приемки - по ГОСТ 3885.
2.2. Температуру кипения, плотность и показатель преломления изготовитель определяет периодически в каждой 20-й партии.
(Введен дополнительно, Изм. N 1).
3. МЕТОДЫ АНАЛИЗА
3.1а. Общие указания по проведению анализа - по ГОСТ 27025.
При взвешивании применяют лабораторные весы общего назначения типов ВЛР-200 г и ВЛКТ-500 г-М или ВЛЭ-200 г.
Допускается применять другие средства измерения с метрологическими характеристиками и оборудование с техническими характеристиками не хуже, а также реактивы по качеству не ниже указанных в настоящем стандарте.
3.1. Пробы отбирают по ГОСТ 3885. Масса средней пробы должна быть не менее 430 г (453 см). Диметилформамид для анализа отбирают пипеткой с резиновой грушей или мерным цилиндром с погрешностью не более 1% (по объему).
3.1а, 3.1. (Измененная редакция, Изм. N 1, 2).
3.2. Внешний вид определяют по ГОСТ 14871. Препарат считают соответствующим требованиям настоящего стандарта, если окраска анализируемого диметилформамида не будет отличаться от окраски дистиллированной воды.
3.3. Определение содержания диметилформамида
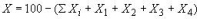
Содержание диметилформамида (X) в процентах вычисляют по формуле
где
- сумма органических примесей, кроме диметиламина и муравьиной кислоты, определяемых газохроматографически, %;
X1 - массовая доля диметиламина, определяемая по п.3.7, %;
X2 - массовая доля муравьиной кислоты, определяемая по п.3.7, %;
X3 - массовая доля воды, определяемая по п.3.8, %;
X4 - массовая доля нелетучего остатка, определяемая по п.3.9, %.
3.3.1. Определение массовой доли органических примесей
3.3.1.1. Приборы и реактивы
Хроматограф газовый аналитический с пламенно-ионизационным детектором.
Колонка длиной 2 м и внутренним диаметром 4 мм.
Микрошприц вместимостью 10 мм3.
Интегратор электронный или измерительная лупа по ГОСТ 25706 и линейка металлическая по ГОСТ 427.
Шкаф сушильный.
Носитель твердый (целит 545 или любой другой с аналогичными характеристиками).
Фаза жидкая неподвижная - полиэтиленгликоль ПЭГ-20000.
Газ-носитель (азот газообразный по ГОСТ 9293 высшего сорта или гелий газообразный очищенный).
Водород технический по ГОСТ 3022.
Воздух сжатый для питания контрольно-измерительных приборов.
метанол-яд технический по ГОСТ 2222*.
_________________
* Действует ГОСТ 2222-95. - Примечание изготовителя базы данных.
Натрия гидроокись по ГОСТ 4328.
Спирт изоамиловый по ГОСТ 5830.
3.3.1.2. Подготовка к анализу
Гидроокись натрия в количестве 2,5% и полиэтиленгликоль в количестве 20% от массы твердого носителя растворяют в метаноле. При постоянном перемешивании в раствор насыпают твердый носитель, предварительно прокаленный при 300 °С. Избыток растворителя удаляют при нагревании и помешивании, полное удаление производят в сушильном шкафу при 150 °С. Колонку заполняют по ГОСТ 21533 и стабилизируют при 200 °С в токе газа-носителя в течение 12 ч.
3.3.1.3. Проведение анализа
Включение и пуск прибора осуществляется в соответствии с инструкцией, прилагаемой к прибору.
Условия работы прибора:
Порядок выхода компонентов и относительное время удерживания представлены в табл.2.
Таблица 2
Массовую долю компонентов определяют методом "внутреннего эталона". В качестве внутреннего эталона используют изоамиловый спирт (0,02% от массы анализируемой пробы). При установившемся режиме в испаритель хроматографа вводят с помощью микрошприца соответствующий объем анализируемой пробы.
Для определения массовой доли каждого компонента смеси устанавливают градуировочные коэффициенты. Градуировочные коэффициенты для каждого компонента определяют по градуировочным смесям с массовой долей каждой примеси 0,01-0,001% с добавлением внутреннего эталона.
3.2, 3.3-3.3.1.3. (Измененная редакция, Изм. N 1).
3.3.1.4. Обработка результатов
Площади пиков определяют как произведение высоты пика на его ширину, измеренную на половине высоты. Измерения проводят с помощью металлической линейки и измерительной лупы.
Допускается определять площади пиков с помощью электронного интегратора.
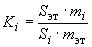
Градуировочный коэффициент i-го компонента (Ki) вычисляют по формуле
где Sэт - площадь пика "внутреннего эталона", см2;
Si - площадь пика i-го компонента, см2;
mэт - масса "внутреннего эталона" в градуировочной смеси, г;
mi - масса i-го компонента в градуировочной смеси, г.
За градуировочный коэффициент (Ki) принимают среднее арифметическое результатов трех параллельных определений смеси одинакового состава.
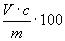
Массовую долю каждой примеси (Xi) в процентах вычисляют по формуле
где Si, Sэт - площади пиков компонентов и "внутреннего эталона", см2;
mэт - масса "внутреннего эталона" в анализируемом образце, г;
m - масса анализируемого образца без добавления "внутреннего эталона", г;
Ki - градуировочный коэффициент i-го компонента.
За результат анализа принимают среднее арифметическое результатов двух параллельных определений, абсолютное расхождение между которыми не превышает допускаемое расхождение, равное 0,1% при доверительной вероятности P=0,95.
(Измененная редакция, Изм. N 1, 2).
3.4. Температуру кипения определяют по ГОСТ 18995.6 методом Павлевского.
3.5. Плотность при 20 °С определяют по ГОСТ 18995.1 пикнометром.
3.6. Показатель преломления определяют по ГОСТ 18995.2.
3.7. Определение содержания диметиламина и муравьиной кислоты
3.7.1. Реактивы, растворы и посуда
Вода дистиллированная по ГОСТ 6709.
кислота соляная по ГОСТ 3118, раствор концентрации c(НСl)=0,1 моль/дм3 (0,1 н.); готовят по ГОСТ 25794.1.
Метиловый красный (индикатор), спиртовой раствор с массовой долей метилового красного 0,1%; готовят по ГОСТ 4919.1.
Натрия гидроокись по ГОСТ 4328, раствор концентрации c(NaOH)=0,1 моль/дм3 (0,1 н.); готовят по ГОСТ 25794.1.
Спирт этиловый ректификованный технический по ГОСТ 18300, высший сорт.
Бюретка вместимостью 2 см3 с ценой деления 0,01 см3.
Колба Кн-1-250-29/32 по ГОСТ 25336.
Пипетка вместимостью 50 см3.
Цилиндр 1(3)-100-2 по ГОСТ 1770.
(Измененная редакция, Изм. N 1, 2).
3.7.2. Проведение анализа
В две колбы наливают по 100 см3 воды, в каждую прибавляют по 3-4 капли метилового красного и в одну из них прибавляют 50 см3 диметилформамида, отмеренного пипеткой. Контрольную колбу оставляют для сравнения окрасок.
Если при этом анализируемый раствор окрасится в желтый цвет, то его титруют из бюретки раствором соляной кислоты до установления цвета раствора одинакового с цветом раствора в контрольной колбе.
Если же раствор в анализируемой колбе окрасится в красный цвет, то его титруют раствором гидроокиси натрия.
(Измененная редакция, Изм. N 1).
3.7.3. Обработка результатов
Содержание диметиламина (X1) в процентах вычисляют по формуле
где V - объем раствора соляной кислоты концентрации точно 0,1 моль/дм3, израсходованный на титрование, см3;
0,0045 - масса диметиламина, соответствующая 1 см3 раствора соляной кислоты концентрации точно 0,1 моль/дм3, г;
0,95 - плотность анализируемого препарата, округленная до второго десятичного знака, г/см3.
Содержание муравьиной кислоты (X2) в процентах вычисляют по формуле
где V - объем раствора гидроокиси натрия концентрации точно 0,1 моль/дм3, израсходованный на титрование, см3;
0,0046 - масса муравьиной кислоты, соответствующая 1 см3 раствора гидроокиси натрия концентрации точно 0,1 моль/дм3, г;
0,95 - плотность анализируемого препарата, округленная до второго десятичного знака, г/см3.
За результат анализа принимают среднее арифметическое результатов двух параллельных определений, абсолютное расхождение между которыми не превышает допускаемое расхождение, равное 0,0002%.
Допускаемая абсолютная суммарная погрешность результата анализа ±0,0002% при доверительной вероятности P=0,95.
(Измененная редакция, Изм. N 1, 2).
3.8. Определение массовой доли воды проводят по ГОСТ 14870 реактивом Фишера (способ 1) из навески анализируемого препарата 9,5 г (10 см3), используя 5 см3 метанола.
(Измененная редакция, Изм. N 1).
3.8.1. Обработка результатов
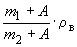
Содержание воды (X3) в процентах вычисляют по формуле
где V - объем реактива Фишера, израсходованный на титрование пробы, см3;
V1 - объем реактива Фишера, израсходованный на титрование 5 см3 метанола, см3;
10 - объем препарата, взятый для анализа, см3;
0,95 - плотность анализируемого препарата, округленная до второго десятичного знака, г/см3;
T - титр реактива Фишера, г/см3.
(Измененная редакция, Изм. N 1,2).
3.9. Определение массовой доли нелетучего остатка
Определение проводят по ГОСТ 27026.
При этом 50 г (53 см3) препарата помещают в платиновую чашку (ГОСТ 6563) и выпаривают на водяной бане досуха. Остаток сушат при 120 °С.
Препарат считают соответствующим требованиям настоящего стандарта, если масса нелетучего остатка (X4) не будет превышать:
для препарата химически чистый - 1 мг;
для препарата чистый - 2,5 мг.
3.10. Определение веществ, восстанавливающих KMnO4
3.9, 3.10. (Измененная редакция, Изм. N 1).
3.10.1. Реактивы, растворы и посуда
Вода дистиллированная по ГОСТ 6709.
Калий марганцовокислый по ГОСТ 20490, раствор концентрации c(1/5KMnO4)=0,1 моль/дм3 (0,1 н.); готовят по ГОСТ 25794.2.
Кислота серная по ГОСТ 4204, раствор с массовой долей серной кислоты 5%.
Колба Кн-1-250-29/32 по ГОСТ 25336.
Пипетки вместимостью 1 и 10 см3.
Цилиндр 1(3)-50-2 по ГОСТ 1770.
3.10.2. Проведение анализа
9,5 г (10 см3) препарата, отмеренных пипеткой, помещают в коническую колбу, прибавляют 50 см3 раствора серной кислоты, охлаждают до комнатной температуры, прибавляют 0,1 см3 раствора марганцовокислого калия.
Препарат считают соответствующим требованиям настоящего стандарта, если в течение 5 мин будет наблюдаться розовая окраска без желтоватого оттенка.
3.10.1, 3.10.2. (Измененная редакция, Изм. N 1, 2).
3.11, 3.11.1, 3.11.2. (Исключены, Изм. N 1).
4. УПАКОВКА, МАРКИРОВКА, ТРАНСПОРТИРОВАНИЕ И ХРАНЕНИЕ
4.1. Препарат упаковывают и маркируют в соответствии с ГОСТ 3885.
Вид и тип тары: 3-1, 3-5, 3-7, 3-9, 8-1, 8-2.
Группа фасовки: IV, V, VI, VII.
На тару наносят знак опасности по ГОСТ 19433 (класс 3, подкласс 3.3, черт.3, классификационный шифр 3353) и серийный номер ООН 2265.
(Измененная редакция, Изм. N 1, 2).
4.2. Препарат транспортируют транспортом всех видов в соответствии с правилами перевозки грузов, действующими на данном виде транспорта.
(Измененная редакция, Изм. N 1).
4.3. Препарат хранят в закрытой таре в помещении для горючих веществ.
5. ГАРАНТИИ ИЗГОТОВИТЕЛЯ
5.1. Изготовитель гарантирует соответствие диметилформамида требованиям настоящего стандарта при соблюдении условий транспортирования и хранения.
5.2. Гарантийный срок хранения препарата - один год со дня изготовления.
5.1, 5.2. (Измененная редакция, Изм. N 1).
Раздел 6. (Исключен, Изм. N 1).
ПРИЛОЖЕНИЕ 1 (обязательное). ИСО 6353-3-87 Реактивы для химического анализа. Часть 3. Технические условия. Вторая серия Р.59. Диметилформамид HCON (CH)
ПРИЛОЖЕНИЕ 1
Обязательное
ИСО 6353-3-87 Реактивы для химического анализа. Часть 3. Технические условия.
Вторая серия Р.59. Диметилформамид HCON (CH3)2
Относительная молекулярная масса: 73,09
Р.59.1. Технические требования
Р.59.2. Проведение испытаний
Р.59.2.1. Окраска в единицах Хазена
Следуют указаниям ОМ 36*.
Р.59.2.2. Плотность
Следуют указаниям ОМ 24.1*.
_____________
* Общие методы анализа (ОМ) - по ИСО 6353-1-82.
Р.59.2.3. Определение массовой доли диметилформамида
Определение проводят в соответствии с ОМ 34* при следующих условиях:
_____________
* Общие методы анализа (ОМ) - по ИСО 6353-1-82.
Р.59.2.4. Определение массовой доли нелетучего остатка
100 г (105 см3) испытуемого образца анализируют в соответствии с ОМ 14*, высушивая остаток в течение 30 мин.
Масса остатка не должна превышать 5 мг.
Р.59.2.5. Определение кислотности
10 г (10,5 см3) испытуемого образца анализируют в соответствии с ОМ 13.1*, титруя его раствором гидроокиси натрия концентрации c(NaOH)=0,01 моль/дм3 по фенолфталеину.
_____________
* Общие методы анализа (ОМ) - по ИСО 6353-1-82.
Объем титрованного раствора гидроокиси натрия не должен превышать 1 см3.
Р.59.2.6. Определение щелочности
10 г (10,5 см3) испытуемого образца анализируют в соответствии с ОМ 13.1*, титруя его раствором серной кислоты концентрации c(1/2H2SO4)=0,01 моль/дм3 по метиловому красному.
Объем титрованного раствора серной кислоты не должен превышать 1 см3.
Р.59.2.7. Определение массовой доли железа
Определение проводят в соответствии с ОМ 29* при следующих условиях:
Р.59.2.8. Определение массовой доли воды
20 г (21 см3) испытуемого образца анализируют в соответствии с ОМ 12*, используя 20 см3 метанола в качестве растворителя.
_____________
* Общие методы анализа (ОМ) - по ИСО 6353-1-82.
ПРИЛОЖЕНИЕ 2 (обязательное). ИСО 6353-1-82 Реактивы для химического анализа. Часть 1. Общие методы испытаний (ОМ)
ПРИЛОЖЕНИЕ 2
Обязательное
5.12. Определение массовой доли воды (ОМ 12)
Следуют указаниям ГОСТ 14870* (метод Карла Фишера).
_____________
* Применяют до введения ИСО 760-78 в качестве государственного стандарта.
5.13. Определение кислотности и щелочности (ОМ 13)
5.13.1. Определение кислотности и щелочности жидкостей, смешивающихся с водой (ОМ 13.1)
5.13.1.1. Методика
100 см3 воды помещают в коническую колбу вместимостью 250 см3 и кипятят в течение 5 мин для удаления двуокиси углерода. Дав раствору слегка охладиться, добавляют к нему указанный объем анализируемого раствора (Р.59.2.5, Р.59.2.6) и осторожно кипятят еще 5 мин. Затем колбу закрывают притертой пробкой, снабженной хлоркальциевой трубкой с натронной известью, и дают раствору охладиться до комнатной температуры. Затем добавляют указанный индикатор (Р.59.2.5, Р.59.2.6) и титруют указанным титрованным раствором (Р.59.2.5, Р.59.2.6) до достижения соответствующей конечной точки титрования, устойчивой в течение, по крайней мере, 15 с.
5.13.1.2. Обработка результатов
Кислотность или щелочность (в миллимолях H+ или ОН- на 100 г продукта) определяют по формуле
где V - объем титрованного раствора, израсходованный на титрование, см3;
c - концентрация титрованного раствора в H+ или ОН-, моль/дм3;
m - масса образца, находящаяся в указанном объеме анализируемого раствора, г.
5.14. Определение массовой доли нелетучего остатка (ОМ 14)
Упаривают указанную навеску досуха на кипящей водяной бане в подходящей взвешенной посуде вместимостью приблизительно 150 см3 (платиновой, стеклянной, кварцевой). Сушат до постоянной массы при (105±2) °С, как указано в стандарте на конкретный реактив.
5.24. Денситометрия (ОМ 24)
5.24.1. Пикнометрический метод (ОМ 24.1)
5.24.1.1. Методика
Высушенный пикнометр (объем 25-50 см3) взвешивают с точностью до 0,2 мг. Пикнометр заполняют свежепрокипяченной и охлажденной дистиллированной водой и определяют взвешиванием кажущуюся массу воды при (20±0,1) °С (m2). Пикнометр освобождают от воды, высушивают, заполняют анализируемым образцом и определяют аналогичным способом кажущуюся массу образца (m1) при (20±0,1) °С.
5.24.1.2. Обработка результатов
Плотность испытуемого вещества, выраженную в граммах на кубический сантиметр и рассчитываемую с точностью до третьего десятичного знака после запятой, определяют по формуле
где m1 - кажущаяся масса навески испытуемого вещества, г;
m2 - кажущаяся масса навески воды, г;
pв - плотность воды при 20 °С (0,9982 г/см3);
A - поправка к массе при взвешивании на воздухе;
где pa - плотность воздуха (приблизительно 0,0012 г/см3);
V - объем пикнометра, см3.
5.29. Атомно-абсорбционная спектроскопия (ОМ 29)
5.29.1. Общие указания
Испытуемый образец или его раствор всасывается в высокотемпературное пламя, создаваемое подходящей смесью горючего газа и газа, поддерживающего горение, обеспечивающее испарение испытуемого образца и диссоциацию его молекул на атомы. Может быть использован прибор с беспламенным нагревом. Источник излучения, представляющий собой электронную лампу с полым катодом или безэлектродную разрядную трубку, активируемую микроволновым излучением, продуцирует излучение с длиной волны, соответствующей энергии возбуждения атомов испытуемого вещества. Атомы определяемого элемента поглощают определенную долю этого излучения, пропорциональную их количеству в основном (невозбужденном) состоянии, и это поглощение регистрируется подходящим атомно-абсорбционным спектрометром.
5.29.2. Методика
Сущность метода, многообразие существующих приборов, обилие параметров, связанных с испытуемым образцом и с прибором, и множественность влияющих факторов не позволяют дать подробных инструкций.
Выбор методики определяется требуемой степенью точности.
Следует принимать во внимание возможность возникновения помех от пламенных и беспламенных источников нагрева. Если прибор укомплектован пламенным источником нагрева, определение обычно проводят, используя водные растворы испытуемых веществ, слегка подкисленные азотной или соляной кислотой.
В целях учета эффектов раствора рекомендуется пользоваться методом добавок. Этот метод состоит в том, что определение осуществляют для серии (размер которой зависит от требуемой точности, но не меньше двух) аликвот испытуемого раствора, к которым добавлены известные количества определяемого вещества.
Длины волн, соответствующие резонансным линиям, и другая специальная информация, приводятся в описаниях, относящихся к определенному конкретному реактиву.
5.34. Газовая хроматография (ОМ 34)
Следуют общим указаниям ГОСТ 21533.
5.36. Определение цвета в единицах Хазена (ОМ 36)
Следуют указаниям ГОСТ 14871* и ГОСТ 18522*.
_____________
* Применяют до введения ИСО 2211-73 в качестве государственного стандарта.
Приложения 1, 2. (Введены дополнительно, Изм. N 1, 2).
официальное издание
М.: ИПК Издательство стандартов, 1997
