Хлороформ ГОСТ 20015-88
Хлороформ. Технические условия (с Изменениями N 1, 2) ГОСТ 20015-88
ГОСТ 20015-88
Группа Л25
ГОСУДАРСТВЕННЫЙ СТАНДАРТ СОЮЗА ССР
ХЛОРОФОРМ
Технические условия
Chloroform. Specifications
ОКП 24 1213 0000
Дата введения 1990-01-01
ИНФОРМАЦИОННЫЕ ДАННЫЕ
1. РАЗРАБОТАН И ВНЕСЕН Министерством химической промышленности СССР
РАЗРАБОТЧИКИ
И.А.Дьяконов, канд. техн. наук (руководитель темы); З.М.Ривина, канд. хим. наук; Ю.А.Трегер, д-р хим. наук; В.Н.Розанов, канд. хим. наук; Е.В.Гвозд; И.Н.Кожухова, канд. хим. наук; Ю.А.Боровлев; Т.А.Сушко; М.А.Алешина; B.C.Чурилин, канд. хим. наук; С.А.Арыстанбекова, канд. хим. наук; И.М.Чудновская
2. УТВЕРЖДЕН И ВВЕДЕН В ДЕЙСТВИЕ Постановлением Государственного, комитета СССР по стандартам от 22.12.88 N 4454
3. СРОК ПРОВЕРКИ - 1996 г., периодичность проверки - 5 лет
4. ВЗАМЕН ГОСТ 20015-74
5. ССЫЛОЧНЫЕ НОРМАТИВНО-ТЕХНИЧЕСКИЕ ДОКУМЕНТЫ
|
|
|
|
3.6.1 |
|
|
ГОСТ 8.489-83 |
3.6.2.3 |
|
ГОСТ 8.579-2002 |
1.6.4 |
|
ГОСТ 12.4.011-89 |
1.4.4 |
|
ГОСТ 17.2.3.02-78 |
1.4.5 |
|
ГОСТ 427-75 |
3.6.1 |
|
ГОСТ 1770-74 |
3.4; 3.6.1; 3.7.1 |
|
3.6.1 |
|
|
3.6.1 |
|
|
3.6.1 |
|
|
1.6.2; 2.3; 3.1 |
|
|
ГОСТ 4517-87 |
3.7.1 |
|
ГОСТ 4919.1-77 |
3.7.1 |
|
ГОСТ 5632-72 |
3.1; 4.1 |
|
3.6.1 |
|
|
ГОСТ 5959-80 |
1.6.2 |
|
ГОСТ 6563-75 |
3.4 |
|
3.6.1 |
|
|
ГОСТ 9147-80 |
3.6.1 |
|
3.6.1; 4.1 |
|
|
ГОСТ 9557-87 |
4.2 |
|
3.6.1 |
|
|
ГОСТ 13950-91 |
1.6.1 |
|
ГОСТ 14192-96 |
1.5.2 |
|
ГОСТ 14870-77 |
3.5 |
|
ГОСТ 16457-76 |
3.8 |
|
ГОСТ 17366-80 |
1.6.1 |
|
1.3.1; 3.6.1 |
|
|
ГОСТ 18573-86 |
1.6.2 |
|
ГОСТ 18995.1-73 |
3.3 |
|
ГОСТ 19433-88 |
1.5.2 |
|
ГОСТ 19908-90 |
3.4 |
|
ГОСТ 21140-88 |
4.2 |
|
ГОСТ 21650-76 |
4.2 |
|
ГОСТ 24104-2001* |
3.6.1; 3.7.1 |
|
ГОСТ 24597-81 |
4.2 |
|
ГОСТ 24614-81 |
3.5 |
|
ГОСТ 25336-82 |
3.6.1; 3.7.1 |
|
ГОСТ 25706-83 |
3.6.1 |
|
ГОСТ 25794.1-83 |
3.7.1 |
|
ГОСТ 26155-84 |
1.6.1 |
|
ГОСТ 26319-84 |
1.6.3 |
|
ГОСТ 26663-85 |
4.2 |
|
ГОСТ 27025-86 |
Разд.3 |
|
ГОСТ 27026-86 |
3.4 |
|
ГОСТ 31340-2007 |
1.5.4 |
____________
* На территории Российской Федерации действует ГОСТ Р 53228-2008.
(Измененная редакция, Изм. N 2).
6. Ограничение срока действия снято Постановлением Госстандарта СССР от 26.12.91 N 2132
7. ПЕРЕИЗДАНИЕ (август 1996 г.) с Изменением N 1, утвержденным в декабре 1991 г. (ИУС 4-92)
ВНЕСЕНО Изменение N 2, утвержденное и введенное в действие Приказом Росстандарта от 29.05.2014 N 477-ст c 01.01.2015
Изменение N 2 внесено изготовителем базы данных по тексту ИУС N 9, 2014 год
Настоящий стандарт распространяется на хлороформ, используемый в производстве хладагентов, фторопластов, в химическом анализе, в качестве растворителя, в медицинской промышленности, в производстве душистых веществ и других отраслях промышленности.
По внешнему виду хлороформ представляет собой бесцветную прозрачную жидкость с характерным запахом.
Формула CHCl3
Относительная молекулярная масса (по международным атомным массам 1985 г.) - 119,37.
Требования настоящего стандарта являются обязательными.
(Измененная редакция, Изм. N 1).
1. МАРКИ И ТЕХНИЧЕСКИЕ ТРЕБОВАНИЯ
1.1. Хлороформ должен быть изготовлен в соответствии с требованиями настоящего стандарта по технологическому регламенту, утвержденному в установленном порядке.
1.2. В зависимости от назначения хлороформ изготовляют двух марок: очищенный и технический.
Очищенный хлороформ используется в производстве хладагентов, фторопластов, в химическом анализе, технический - в качестве растворителя в различных отраслях промышленности.
1.3. Характеристики
1.3.1. Хлороформ стабилизируют техническим ректификованным спиртом (ГОСТ 18300) в количестве до 1% (по массе).
По согласованию с потребителем допускается использовать другие стабилизаторы, а также не стабилизировать очищенный хлороформ.
(Измененная редакция, Изм. N 2).
1.3.2. По физико-химическим показателям стабилизированный хлороформ должен соответствовать нормам, указанным в таблице.
|
|
|
||
|
очищенного |
технического |
||
|
Высший сорт ОКП 24 |
Первый сорт |
ОКП 24 |
|
|
1. Плотность при 20 °С, г/см3 |
1,473-1,490 |
1,473-1,491 |
1,471-1,490 |
|
2. Массовая доля нелетучего остатка, %, не более |
0,001 |
0,001 |
0,001 |
|
3. Массовая доля воды, %, не более |
0,06 |
0,10 |
0,10 |
|
4. Массовая доля хлорорганических примесей, %, не более |
0,025 |
0,045 |
1,3 |
|
5. Массовая доля кислот в пересчете на соляную кислоту, %, не более |
0,001 |
0,002 |
0,002 |
|
6. Массовая доля альдегидов в пересчете на уксусный альдегид, %, не более |
0,0005 |
0,0005 |
- |
Примечание. Для нестабилизированного очищенного хлороформа массовую долю кислот в пересчете на соляную кислоту не определяют, допускается плотность при 20 °С - 1,487-1,492 г/см3, массовая доля воды - не более 0,025%.
(Измененная редакция, Изм. N 1, 2).
1.4. Требования безопасности и охраны окружающей среды
(Измененная редакция, Изм. N 2).
1.4.1. Хлороформ - не горюч, не взрывоопасен, обладает наркотическими свойствами, оказывает токсическое действие на организм человека, вызывает острую или хроническую интоксикацию.
Хлороформ на воздухе медленно окисляется с выделением хлора, хлористого водорода и фосгена, скорость разложения возрастает на свету и при воздействии повышенных температур.
Хлороформ относится ко 2-му классу опасности по ГОСТ 12.1.007.
Первая помощь при ингаляционном отравлении - свежий воздух, покой, тепло. По показаниям - искусственное дыхание.
При отравлении через рот - обильное питье воды, активированный уголь (2 столовые ложки на 0,5 л воды), солевое слабительное.
При попадании на кожу и в глаза - промыть проточной водой. В случае необходимости - госпитализация.
(Измененная редакция, Изм. N 2).
1.4.2. (Исключен, Изм. N 1).
1.4.3. Производственные помещения, в которых проводят работы с хлороформом, должны быть оборудованы приточно-вытяжной вентиляцией. Производственное оборудование должно быть герметичным, места отбора проб должны быть оборудованы местными отсосами.
1.4.4. Производственный персонал должен быть обеспечен специальной одеждой и средствами защиты в соответствии с ГОСТ 12.4.011 и типовыми отраслевыми нормами. Необходимо проводить предварительные и периодические медицинские осмотры производственного персонала в соответствии с порядком и в сроки, установленные органами здравоохранения.
Пролитый хлороформ убирают при помощи песка, опилок или вакуума (при наличии вакуум-системы), затем место розлива промывают водой.
Загрязненный песок вывозят в отвал, загрязненные опилки сжигают.
(Измененная редакция, Изм. N 2).
1.4.5. Хлороформ представляет опасность для окружающей среды: загрязняет атмосферный воздух и водоемы. Оказывает токсическое действие на обитателей водоемов, некоторых насекомых и почвенных беспозвоночных.
Защита окружающей среды должна быть обеспечена соблюдением требований технологического регламента, правил перевозки и хранения.
С целью охраны атмосферного воздуха от загрязнения выбросами вредных веществ должен быть организован контроль за содержанием предельно допустимых выбросов. Правила установления допустимых выбросов вредных веществ - по ГОСТ 17.2.3.02.
Отходы производства хлороформа обезвреживают и утилизируют: нейтрализующий раствор отпаривают от растворенных хлорметанов и сливают в канализацию, серную кислоту после очистки используют в производстве минеральных удобрений.
(Введен дополнительно, Изм. N 2).
1.5. Маркировка
1.5.1. Транспортная маркировка - по ГОСТ 14192 с нанесением манипуляционного знака "Беречь от влаги" (только на бочки), а также в соответствии с правилами перевозок опасных грузов, действующими на соответствующем виде транспорта.
1.5.2. Маркировка, характеризующая опасность груза, - по ГОСТ 19433: номер чертежа знака опасности - 6а, класс 6, подкласс 6.1, классификационный шифр 6112, номер ООН - 1888.
1.5.3. Маркировка, характеризующая опасность хлороформа, в соответствии с правилами перевозок опасных грузов по железным дорогам: знак опасности по чертежу 6.1, класс 6, подкласс 6.1, классификационный шифр 6113, номер ООН - 1888, аварийная карточка N 605.
1.5.4. Предупредительная маркировка - по ГОСТ 31340.
1.5.5. Маркировка, характеризующая упакованную продукцию, должна содержать:
- наименование предприятия-изготовителя, его товарный знак и юридический адрес;
- наименование продукта, марку и сорт;
- номер партии и дату изготовления;
- массу брутто и нетто;
- обозначение настоящего стандарта.
Способ нанесения транспортной маркировки - по ГОСТ 14192.
Подраздел 1.5. (Измененная редакция, Изм. N 2).
1.6. Упаковка
1.6.1. Хлороформ заливают в стальные сварные толстостенные бочки по ГОСТ 17366 типа 1 вместимостью 110 или 275 дм3, изготовленные из стали толщиной 3 мм.
Очищенный хлороформ заливают в бочки из коррозионностойкой стали по ГОСТ 26155 вместимостью 100-250 дм3, бочки стальные по ГОСТ 13950 типа 1А1 вместимостью 216,5 и 230 дм3 с внутренним покрытием.
Перед заполнением продуктом бочки должны быть вымыты и высушены.
Степень заполнения бочек вычисляют с учетом их вместимости и объемного расширения продукта при возможном перепаде температур окружающей среды в пути следования.
Горловины бочек должны быть герметизированы с помощью паронитовых, фторопластовых или других стойких к хлороформу прокладок.
(Измененная редакция, Изм. N 2).
1.6.2. Очищенный хлороформ, используемый в химическом анализе, упаковывают по ГОСТ 3885: потребительская тара вида и типа 3т-1, 8т-1; группа фасовки - IV-VII; транспортная тара - деревянные ящики по ГОСТ 18573 типа II-I, по ГОСТ 5959 типа VI.
(Измененная редакция, Изм. N 1).
1.6.3. Тара должна соответствовать требованиям ГОСТ 26319, рекомендаций по международной дорожной перевозке опасных грузов ДОПОГ, международным правилам перевозки опасных грузов железнодорожным транспортом СМГС и иметь сертификат соответствия требованиям международных и национальных регламентов по перевозке опасных грузов, выданный компетентным органом.
1.6.4. Пределы допускаемых отрицательных отклонений содержимого нетто (массы нетто) от номинального количества должны соответствовать ГОСТ 8.579.
1.6.3, 1.6.4. (Введены дополнительно, Изм. N 2).
2. ПРИЕМКА
2.1. Хлороформ принимают партиями. Партией считают любое количество продукта однородного по показателям качества, сопровождаемое одним документом о качестве.
При транспортировании хлороформа в железнодорожных цистернах каждую цистерну принимают за партию.
2.2. Документ о качестве должен содержать:
наименование предприятия-изготовителя и (или) его товарный знак;
наименование продукта, марку, сорт;
классификационный шифр группы 6112;
номер партии и дату изготовления;
количество упаковочных единиц в партии;
массу брутто и нетто;
результаты проведенных испытаний и (или) подтверждение о соответствии качества продукта требованиям настоящего стандарта;
обозначение настоящего стандарта.
2.1, 2.2. (Измененная редакция, Изм. N 1).
2.3. Для проверки качества хлороформа от партии отбирают 10% бочек, но не менее трех бочек.
Для проверки качества хлороформа, используемого в химическом анализе, объем выборки устанавливают по ГОСТ 3885.
2.4. При получении неудовлетворительных результатов анализа хотя бы по одному из показателей проводят повторный анализ пробы, отобранной от удвоенной выборки той же партии или вновь отобранной от цистерны.
Результаты повторного анализа распространяются на всю партию.
3. МЕТОДЫ АНАЛИЗА
Общие указания по проведению анализа - по ГОСТ 27025.
Допускается применение других средств измерения с метрологическими характеристиками и оборудования с техническими характеристиками не хуже, а также реактивов по качеству не ниже указанных в настоящем стандарте.
(Измененная редакция, Изм. N 1).
3.1. Отбор проб
Точечные пробы из бочек отбирают стеклянной трубкой с оттянутым концом (черт.1) или металлической трубкой из стали марки Х18Н10Т по ГОСТ 5632 (черт.2), погружая их до дна бочки. Длина трубки должна обеспечивать отбор проб по всей высоте слоя продукта.
Стеклянная трубка с оттянутым концом
Черт.1
Металлическая трубка
Черт.2
Точечные пробы из железнодорожных цистерн отбирают пробоотборником (черт.3).
Пробоотборник

1 - корпус из листового свинца толщиной 3 мм; 2 - склянка вместимостью
1000 см3; 3 - корковая пробка, 4 - дренажные отверстии диаметром 10 мм
Черт.3
Допускается использование пробоотборников других типов из нержавеющей стали, обеспечивающих отбор проб в соответствии с настоящим стандартом.
Отбор проб хлороформа, используемого в химическом анализе, - по ГОСТ 3885.
3.2. Точечные пробы соединяют вместе, тщательно перемешивают объединенную пробу и отбирают в склянку среднюю пробу объемом не менее 1 дм3. На склянку наклеивают этикетку с наименованием предприятия-изготовителя, наименованием, маркой и сортом продукта, номером партии, датой отбора пробы, фамилией лица, отобравшего пробу.
(Измененная редакция, Изм. N 1).
3.3. Определение плотности
Плотность определяют по ГОСТ 18995.1 ареометром.
(Измененная редакция, Изм. N 2).
3.4. Определение массовой доли нелетучего остатка
Массовую долю нелетучего остатка определяют по ГОСТ 27026. При этом 200 г (135 см3) продукта, отобранного цилиндром 4(2)-250-2 (ГОСТ 1770-74), помещают в несколько приемов в выпарительную чашку (платиновую по ГОСТ 6563 или кварцевую по ГОСТ 19908) и выпаривают на водяной бане при температуре не выше 60 °С.
Допускаемая абсолютная суммарная погрешность результата определения - ±2·10-4% при доверительной вероятности P=0,95.
(Измененная редакция, Изм. N 1).
3.5. Определение массовой доли воды
Массовую долю воды определяют по ГОСТ 14870 реактивом Фишера электрометрическим титрованием или по ГОСТ 24614.
При разногласиях в оценке массовой доли воды определение проводят по ГОСТ 14870.
3.6. Определение массовой доли хлорорганических примесей
Массовую долю хлорорганических примесей в хлороформе определяют методом газожидкостной хроматографии с использованием "внутреннего эталона".
3.6.1. Аппаратура, посуда и реактивы
Хроматограф аналитический газовый лабораторный с пламенно-ионизационным детектором.
Колонка газохроматографическая стальная или стеклянная внутренним диаметром 3 мм, длиной 3 м.
Весы лабораторные высокого (II) класса точности с наибольшим пределом взвешивания 200 г по ГОСТ 24104 и весы лабораторные среднего (III) класса точности с наибольшим пределом взвешивания 500 г по ГОСТ 24104.
Микрошприц МШ-10.
Линейка измерительная металлическая по ГОСТ 427.
Лупа по ГОСТ 25706 типа ЛИ с ценой деления 0,1 мм.
Интегратор электронный.
Цилиндр по ГОСТ 1770 вместимостью 25 или 50 см3.
Воронка ВД по ГОСТ 25336 вместимостью 50 см3.
Чашка выпарительная 4 или 5 по ГОСТ 9147.
Термометр любого типа, обеспечивающий измерение температуры до 100 °С.
Секундомер.
Хроматон N-AW с частицами размером 0,200-0,250 мм или 0,250-0,315 мм или другой диатомитовый носитель.
Трифенилфосфат или трикрезилфосфат по ГОСТ 5728.
Азот газообразный по ГОСТ 9293 или гелий газообразный.
Водород технический по ГОСТ 3022 марки А или Б или водород от генератора СГС-2.
Воздух сжатый для питания приборов.
Ацетон технический по ГОСТ 2603.
Спирт этиловый ректификованный технический по ГОСТ 18300, высший сорт.
Вода дистиллированная по ГОСТ 6709 или Вода эквивалентной чистоты.
Хлороформ для хроматографии, х.ч.
Метилен хлористый для хроматографии, х.ч., или по ГОСТ 9968, высший сорт.
Этил хлористый по ГОСТ 2769, высший сорт.
Аллил хлористый, ч.
1,1-Дихлорэтан с массовой долей основного вещества не менее 95%.
Углерод четыреххлористый по ГОСТ 4, х.ч.
Кальций хлорид обезвоженный.
(Измененная редакция, Изм. N 1, 2).
3.6.2. Подготовка к анализу
3.6.2.1. Приготовление насадки и заполнение колонки
Неподвижную фазу наносят на твердый носитель следующим образом: трифенилфосфат или трикрезилфосфат, взятые в количестве 20% от массы твердого носителя, взвешивают по разности (результаты взвешивания в граммах записывают с точностью до второго десятичного знака) и растворяют в ацетоне.
Приготовленный раствор при непрерывном перемешивании приливают к твердому носителю, помещенному в выпарительную чашку. Объем раствора должен быть таким, чтобы твердый носитель был полностью смочен раствором. Выпарительную чашку помещают на водяную баню и, непрерывно перемешивая ее содержимое, испаряют Ацетон. Насадку досушивают в сушильном шкафу при 60 °С в течение 0,5-1,0 ч. Хроматофафическую колонку промывают водой, ацетоном и сушат сжатым воздухом.
Затем колонку заполняют насадкой, внося ее небольшими порциями и уплотняя с помощью вибратора (или постукиванием) и водоструйного насоса, подсоединенного к противоположному от ввода насадки концу колонки. Концы заполненной колонки закрывают стекловатой или стеклотканью.
Заполненную колонку устанавливают в термостат прибора и, не присоединяя к детектору, стабилизируют ее газом-носителем (азотом или гелием) в течение 6-8 ч, постепенно повышая температуру от 20 до 120 °С, и затем в течение 8-10 ч при 120 °С.
Монтаж, наладку и вывод хроматографа на рабочий режим проводят в соответствии с инструкцией, прилагаемой к прибору.
3.6.2.2. Режим градуирования и работы хроматографа
Хроматографический анализ и градуирование прибора проводят при следующих условиях:
В зависимости от модели применяемого хроматографа и марки продукта в условия градуирования и работы прибора могут быть внесены некоторые изменения для достижения полного разделения примесей и определения их с погрешностью, указанной в настоящем стандарте.
Типовая хроматограмма технического хлороформа приведена на черт.4.
Типовая хроматограмма технического хлороформа
1 - хлористый этил; 2 - хлористый аллил ("внутренний эталон*);
3 - хлористый метилен; 4 - 1,1-дихлорэтан: 5 - четыреххлористый
углерод; 6 - хлороформ
Черт.4
3.6.2.3. Градуирование хроматографа
Прибор градуируют по 4-5 искусственным градуировочным смесям, содержащим в различных концентрациях хлороформ, определяемые примеси и хлористый аллил, используемый в качестве "внутреннего эталона".
Допускается в качестве внутреннего эталона использовать другое вещество, регистрируемое на хроматограмме в месте, свободном от наложения пиков анализируемого продукта.
Искусственные смеси готовят следующим образом: 5-6 г хлороформа для хроматографии взвешивают в сухом стеклянном сосуде вместимостью 15-20 см3, закрытом эластичной, устойчивой к действию агрессивных сред прокладкой (например силиконовой резиной). Если сосуд не имеет навинчивающейся крышки, прокладку укрепляют с помощью зажимного устройства любого типа (зажимные устройства не должны препятствовать вводу иглы микрошприца в сосуд). Микрошприцем к помещенному в сосуд хлороформу добавляют по 0,05-0,06 г примесей и "внутреннего эталона". Методом разбавления готовят смеси с массовой долей примесей 0,001-0,1%.
Результаты всех взвешиваний при приготовлении градуировочных смесей записывают в граммах с точностью до четвертого десятичного знака.
Погрешность приготовления градуировочной смеси с заданной концентрацией компонента (или эталона) не должна превышать 10% относительно заданных концентраций. Допускается готовить градуировочные смеси другими способами с погрешностями их приготовления не выше установленных в настоящем стандарте.
После тщательного перемешивания необходимое количество каждой из приготовленных смесей микрошприцем вводят в испаритель хроматографа не менее двух раз.
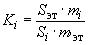
Градуировочный коэффициент (Ki) вычисляют по формуле
где Sэт - площадь пика "внутреннего эталона", мм2;
mi - масса определяемой примеси, г;
S - площадь пика определяемой примеси, мм2;
mэт - масса "внутреннего эталона", г.
Площадь пика вычисляют как произведение его высоты на ширину, измеренную на середине высоты, с учетом масштаба записи или измеряют электронным интегратором. Градуировочные коэффициенты для каждой примеси определяют как среднее арифметическое результатов всех определений, вычисленных с точностью до второго десятичного знака.
Проверку градуировочных коэффициентов проводят не реже одного раза в квартал и после каждой смены насадки в колонке или при изменении условий хроматографического определения. Стабильность градуировочных характеристик определяют по ГОСТ 8.489.
3.6.2.4. Подготовка пробы к анализу
Перед проведением анализа хлороформ очищают от стабилизатора. Для этого в делительную воронку помещают 25 см3 продукта и 15 см3 воды. Содержимое воронки встряхивают в течение 15 мин на механической мешалке с числом возвратно-поступательных (или вращательных) движений не менее 100 в минуту. После отстаивания в течение 3-5 мин хлороформ отделяют от водного слоя. Процесс очистки проводят три раза. Хлороформ, очищенный от стабилизатора, сушат в течение 30 мин над хлоридом кальция, предварительно прокаленным при 250-300 °С. Анализ хлороформа проводят не позже чем через 8 ч после подготовки пробы.
3.6.3. Проведение анализа
8-10 г анализируемого хлороформа взвешивают в стеклянном сосуде, закрытом укрепленной эластичной прокладкой, устойчивой к действию агрессивных сред. Микрошприцем добавляют к анализируемому продукту 0,08-0,10 г "внутреннего эталона". Методом разбавления готовят смеси с массовой долей "внутреннего эталона" 0,001-0,050%. Результаты взвешиваний в граммах записывают с точностью до четвертого десятичного знака. Смесь тщательно перемешивают, микрошприцем отбирают необходимое количество анализируемого продукта и вводят в испаритель хроматографа.
3.6.2.3-3.6.3. (Измененная редакция, Изм. N 1).
3.6.4. Обработка результатов
Массовую долю каждой примеси в хлороформе (Xi) в процентах вычисляют по формуле
где Ki - градуировочный коэффициент определяемой примеси;
Si - площадь пика определяемой примеси, мм2;
mэт - масса "внутреннего эталона", г;
Sэт - площадь пика "внутреннего эталона", мм2;
m - масса навески хлороформа, взятой для анализа, г.
Массовую долю суммы хлорорганических примесей в хлороформе (X) в процентах вычисляют по формуле
где Xi - массовая доля каждой примеси в хлороформе, %.
За результат анализа принимают среднее арифметическое результатов двух параллельных определений суммы примесей, абсолютные допускаемые расхождения между которыми не должны превышать 2,5·10-3% для очищенного хлороформа и 0,13% для технического хлороформа при доверительной вероятности P=0,95.
Допускаемая абсолютная суммарная погрешность результата определения ±5·10-3% для очищенного хлороформа и ±0,26% для технического хлороформа при доверительной вероятности P=0,95.
3.7. Определение массовой доли кислот в пересчете на соляную кислоту
3.7.1. Аппаратура, реактивы и растворы
Весы лабораторные общего назначения, среднего (III) класса точности с наибольшим пределом взвешивания 500 г по ГОСТ 24104.
Цилиндр по ГОСТ 1770 вместимостью 50 см3.
Бюретка вместимостью 50 см3.
Воронка делительная по ГОСТ 25336 вместимостью 250 см3.
Колба коническая по ГОСТ 25336 вместимостью 100 см3.
Вода дистиллированная, не содержащая углекислоты; готовят по ГОСТ 4517.
Натрия гидроокись, раствор концентрации c(NaOH) = 0,02 моль/дм3; готовят по ГОСТ 25794.1.
Фенолфталеин (индикатор), раствор с массовой долей 1%; готовят по ГОСТ 4919.1.
(Измененная редакция, Изм. N 2).
3.7.2. Проведение анализа
В делительную воронку помещают 100 г (67,5 см3) продукта (результаты взвешивания в граммах записывают с точностью до второго десятичного знака) и 50 см3 воды и встряхивают в течение 2 мин. После, расслоения фаз водный слой количественно переносят в колбу, прибавляют 3-4 капли раствора фенолфталеина и титруют раствором гидроокиси натрия до появления розовой окраски, устойчивой в течение 15-20 с. Одновременно проводят контрольный опыт, для чего к 50 см3 воды прибавляют 3-4 капли раствора фенолфталеина и титруют, как указано выше.
3.7.3. Обработка результатов
Массовую долю кислот в пересчете на соляную кислоту (X1) в процентах вычисляют по формуле
где V - объем раствора гидроокиси натрия концентрации точно 0,02 моль/дм3, израсходованный на титрование анализируемого раствора, см3;
V1 - объем раствора гидроокиси натрия концентрации точно 0,02 моль/дм3, израсходованный на титрование контрольного раствора, см3;
0,0007292 - масса соляной кислоты, соответствующая 1 см3 раствора гидроокиси натрия концентрации точно 0,02 моль/дм3, г;
m - масса анализируемой пробы, г.
За результат анализа принимают среднее арифметическое результатов двух параллельных определений, допускаемые абсолютные расхождения между которыми не должны превышать 1·10-4% при доверительной вероятности P=0,95.
Допускаемая абсолютная суммарная погрешность результата определения ±1·10-4% при доверительной вероятности P=0,95.
3.8. Определение массовой доли альдегидов в пересчете на уксусный альдегид
Массовую долю альдегидов в пересчете на уксусный альдегид определяют по ГОСТ 16457 визуально-колориметрически. При этом в делительную воронку вместимостью 100-250 см3 помещают (40,000±0,001) г продукта, 20 см3 дистиллированной воды и встряхивают в течение 5 мин. После расслоения фаз водный слой количественно переносят в коническую колбу вместимостью 50 см3 и далее определение проводят по ГОСТ 16457.
Продукт считают соответствующим требованиям настоящего стандарта, если розовая окраска анализируемого раствора будет не темнее окраски раствора сравнения, приготовленного одновременно с анализируемым и содержащего 0,2 мг ацетальдегида.
(Измененная редакция, Изм. N 1).
4. ТРАНСПОРТИРОВАНИЕ И ХРАНЕНИЕ
4.1. Хлороформ транспортируют в железнодорожных цистернах, принадлежащих изготовителю или потребителю, в соответствии с правилами перевозок грузов, действующими на железнодорожном транспорте.
Хлороформ марки "Очищенный" транспортируют в цистернах с котлами из нержавеющей стали марок X18H10T или Х18Н9Т по ГОСТ 5632 или из биметалла с внутренним слоем из нержавеющей стали.
Нестабилизированный продукт транспортируют в железнодорожных цистернах с газовой фазой азота по ГОСТ 9293.
По согласованию с потребителем допускается транспортировать нестабилизированный хлороформ в железнодорожных цистернах с котлами из нержавеющей стали или из биметалла с внутренним слоем из нержавеющей стали без азота.
Степень (уровень) заполнения цистерн вычисляют с учетом полного использования грузоподъемности (вместимости) и объемного расширения продукта при возможном перепаде температур в пути следования.
4.2. Хлороформ транспортируют в крытых транспортных средствах всеми видами транспорта в соответствии с правилами перевозок грузов, действующими на данном виде транспорта.
Железнодорожным транспортом хлороформ перевозят повагонными и мелкими отправками.
Хлороформ в бочках вместимостью 100 дм3 и хлороформ в мелкой фасовке, упакованный в деревянные ящики, транспортируют в пакетированном виде в соответствии с требованиями ГОСТ 21140, ГОСТ 21650, ГОСТ 26663, ГОСТ 24597 на плоских деревянных поддонах по ГОСТ 9557.
4.1, 4.2. (Измененная редакция, Изм. N 1).
4.3. Хлороформ в бочках и в мелкой фасовке хранят в крытых неотапливаемых складских помещениях, отвечающих требованиям, предъявляемым к складам, предназначенным для хранения ядовитых веществ.
5. ГАРАНТИИ ИЗГОТОВИТЕЛЯ
5.1. Изготовитель гарантирует соответствие хлороформа требованиям настоящего стандарта при соблюдении условий транспортирования и хранения.
5.2. Гарантийный срок хранения стабилизированного хлороформа - 3 мес со дня изготовления.
Текст документа сверен по:
официальное издание
М.: ИПК Издательство стандартов, 1996