Новости Нефтегазовая пром.
Выставки Наука и технология


Метанол-яд. Реактивы ГОСТ 6995-77

метанол-яд. Реактивы. Технические условия (с Изменениями N 1, 2) ГОСТ 6995-77


ГОСТ 6995-77

Группа Л52

     
     
ГОСУДАРСТВЕННЫЙ СТАНДАРТ СОЮЗА ССР

     
     
Реактивы

     
метанол-ЯД

     
Технические условия

     
Reagents. Methanol-poison. Specifications



ОКП 26 3211 0590 09

Дата введения 1979-01-01



ВВЕДЕН В ДЕЙСТВИЕ Постановлением Государственного комитета стандартов Совета Министров СССР от 1 июня 1977 г. N 1407

Постановлением Госстандарта от 30.07.92 N 835 снято ограничение срока действия

ВЗАМЕН ГОСТ 6995-67

ПЕРЕИЗДАНИЕ (январь 1997 г.) с Изменениями N 1, 2, утвержденными в ноябре 1984 г., июле 1992 г. (ИУС 2-85, 10-92)

Настоящий стандарт распространяется на метанол-яд, который, представляет собой бесцветную жидкость с запахом и вкусом, напоминающим Этиловый спирт

Формула СН3ОН

Относительная молекулярная масса (по международным атомным массам 1987 г.) - 32,04.

Допускается изготовление метанола-яда по ИСО 6353-2-83 (Р 18) (приложение 1) и проведение анализов по ИСО 6353-1-82 (приложение 2).

(Измененная редакция, Изм. N 2).

1. ТЕХНИЧЕСКИЕ ТРЕБОВАНИЯ

1.1. метанол-яд должен быть изготовлен в соответствии с требованиями настоящего стандарта по технологическому регламенту, утвержденному в установленном порядке.

(Измененная редакция, Изм. N 1).

1.2. По физико-химическим показателям метанол-яд должен соответствовать требованиям и нормам, указанным в табл.1.

Таблица 1

Норма

Наименование показателя

Химически чистый (х. ч.)

Чистый для анализа
(ч. д. а.)

Чистый (ч.)

ОКП 26 3211 0593 06

ОКП 26 3211 0592 07

ОКП 26 3211 0591 08

1. Внешний вид

Прозрачная бесцветная жидкость

2. Массовая доля метанола (СН3ОН), %, не менее

99,5

99,5

99,0

3. Массовая доля нелетучего остатка, %, не более

0,0005

0,0005

0,0010

4. Массовая доля кислот в пересчете на муравьиную кислоту, %, не более

0,001

0,001

0,002

5. Массовая доля щелочей в пересчете на NH3, %, не более

0,0002

0,0003

0,0005

6. Массовая доля альдегидов и кетонов в пересчете на Ацетон, %, не более

0,001

0,002

0,004

7. Массовая доля железа, %, не более

0,00001

0,00005

0,00020

8. Массовая доля общей серы, %, не более

0,0005

0,0005

0,0008

9. Массовая доля веществ, восстанавливающих марганцовокислый калий, в пересчете на Кислород, %, не более

0,0005

0,0005

0,0005

10. Вещества, темнеющие под действием серной кислоты

Должен выдерживать испытание по п.3.11

11. Массовая доля воды, %, не более

0,05

0,05

0,10

12. Смешиваемость с водой

Должен выдерживать испытание по п.3.13


(Измененная редакция, Изм. N 1, 2).

2а. ТРЕБОВАНИЯ БЕЗОПАСНОСТИ

2а.1. метанол-яд сильно действует на нервную и сосудистую систему. При попадании метанола в организм (через легкие, кожу, желудок) типичны поражения зрительного нерва и сетчатки глаз. Тяжелое отравление, сопровождающееся слепотой, может быть вызвано 5-10 г метанола. Смертельная доза - 30 г. Пары метилового спирта сильно раздражают оболочки дыхательных путей и глаз.

(Введен дополнительно, Изм. N 1).

2а.2. Предельно допустимая концентрация метанола в воздухе рабочей зоны 5 мг/м3. метанол относится к 3-му классу опасности по ГОСТ 12.1.005-88. ПДК в воде хозяйственно-питьевого назначения 3,0 мг/дм3 (показатель вредности - санитарно-токсикологический).

(Измененная редакция, Изм. N 2).

2а.3. При проведении всех видов работ с метанолом необходимо строго соблюдать общие санитарные правила по хранению и применению метанола, утвержденные Министерством здравоохранения СССР.

(Введен дополнительно, Изм. N 1).

2а.4. метанол - легковоспламеняющаяся жидкость. Температура кипения 64,7 °С, температура вспышки 6 °С, температура воспламенения 13 °С, температура самовоспламенения 440 °С, концентрационные пределы воспламенения: нижний 6,98% (по объему), верхний 35,5% (по объему); температурные пределы воспламенения: нижний 5 °С, верхний 39 °С; минимальное взрывоопасное содержание кислорода (МВСК) 10,48% (по объему).

Категория и группа взрывоопасной смеси 11А-12.

(Измененная редакция, Изм. N 2).

2а.5. При работе с метанолом необходимо применять средства индивидуальной защиты от попадания препарата на кожные покровы и слизистые оболочки, а также соблюдать правила личной гигиены.

2а.6. Все рабочие помещения, в которых проводятся работы с метанолом, должны быть оборудованы непрерывно действующей приточно-вытяжной вентиляцией; анализ препарата следует проводить в вытяжном шкафу лаборатории.

2а.5, 2а.6. (Измененная редакция, Изм. N 2).

2а.7. При попадании метанола на кожу необходимо немедленно промыть это место теплой водой с мылом.

2а.8. Все работы с метанолом следует проводить вдали от огня.

Средства пожаротушения: распыленная Вода, пена, порошок ПСБ (крупные проливы), углекислота, Вода (малые очаги).

(Измененная редакция, Изм. N 2).

2. ПРАВИЛА ПРИЕМКИ

2.1. Правила приемки - по ГОСТ 3885-73-->ГОСТ 3885-73.

3. МЕТОДЫ АНАЛИЗА

3.1а. Общие указания по проведению анализа - по ГОСТ 27025-86.

При взвешивании применяют лабораторные весы общего назначения типов ВЛР-200 г и ВЛКТ-500 г-М или ВЛЭ-200 г.

Допускается применение других средств измерения с метрологическими характеристиками и оборудования с техническими характеристиками не хуже, а также реактивов по качеству не ниже указанных в настоящем стандарте.

(Измененная редакция, Изм. N 2).

3.1. Пробы отбирают по ГОСТ 3885-73-->ГОСТ 3885-73. Масса средней пробы должна быть не менее 1,4 кг (1,8 дм3). метанол-яд для анализа отбирают пипеткой с резиновой грушей или мерным цилиндром с погрешностью не более 1%.

(Измененная редакция, Изм. N 1, 2).

3.2. Определение внешнего вида

Определение проводят по ГОСТ 14871-76. Препарат считают соответствующим требованиям настоящего стандарта, если окраска анализируемого метанола не будет отличаться от окраски дистиллированной воды.

3.3. Определение массовой доли метанола

Метод заключается в газохроматографическом разделении примесей и основного компонента, их регистрации с помощью пламенно-ионизационного детектора и обработке результатов по методу "внутренней нормализации" с учетом градуировочных коэффициентов.

Массовую долю метанола (X) в процентах вычисляют по формуле где  - сумма массовых долей органических примесей определяемых газохроматографически, %;

         Xводы - массовая доля воды, определяемая по п.3.12, %.

(Измененная редакция, Изм. N 1, 2).

3.3.1. Определение массовой доли органических примесей

3.3.1.1. Приборы и реактивы

Хроматограф газовый аналитический с пламенно-ионизационным детектором.

Колонка хроматографическая набивная составная общей длиной 6,5 м, внутренним диаметром 3 мм.

Микрошприц вместимостью 10 мм3.

Интегратор электронный или лупа измерительная по ГОСТ 25706-83 и линейка металлическая по ГОСТ 427-75 или планиметр.

Носитель твердый с минимальными адсорбционными свойствами с частицами размером 0,2-0,315 мм: хромосорб PAW, целит 545 или динохром Н.

Фаза жидкая неподвижная: полиэтиленгликоль 400, полиэтиленгликоль 1500, сорбит пищевой, твин - 60.

Азот газообразный технический по ГОСТ 9293-74, высший сорт.

Ацетон по ГОСТ 2603-79.

Вода дистиллированная по ГОСТ 6709-72-->ГОСТ 6709-72.

Водород технический по ГОСТ 3022-80.

Воздух сжатый для питания контрольно-измерительных приборов.

3.3.1.2. Подготовка к анализу

Для разделения примесей используют составную колонку: колонка N 1 длиной 4,5 м содержит 20% сорбита и 5% твина-60 на хромосорбе PAW; колонка N 2 длиной 2 м содержит 20% полиэтиленгликоля 400 на целите 545.

Пищевой сорбит массой 20 г и твин-60 массой 0,5 г растворяют в 300 см3 дистиллированной воды. В раствор насыпают 100 г твердого носителя, раствор выпаривают на водяной бане досуха при 80-90 °С при постоянном перемешивании. Полученный наполнитель окончательно высушивают в сушильном шкафу при 80-90 °С в течение 2-3 ч и заполняют им колонку N 1.

20 г полиэтиленгликоля 400 растворяют в 300 см3 ацетона, в раствор насыпают 100 г твердого носителя и выпаривают раствор на водяной бане досуха при 40-50 °С при постоянном перемешивании. Затем заполняют колонку N 2.

Заполненные колонки помещают в термостат хроматографа в порядке их нумерации. Колонки стабилизируют в течение 16 ч при 95 °С в слабом токе азота, не присоединяя к детектору.

3.3.1.1-3.3.1.2. (Измененная редакция, Изм. N 1, 2).

3.3.1.3. Проведение анализа

Включение и пуск прибора осуществляют в соответствии с прилагаемой к нему инструкцией.

Условия работы хроматографа

Температура колонки, °С

80-90

Температура испарителя, °С

140-160

Расход азота (газа-носителя), см3/мин

30-35

Входное сопротивление, Ом

10-8, 10-12

Шкала регистратора, мВ

10

Время анализа, мин

60


При установившемся режиме в испаритель хроматографа микрошприцем вводят 2 мм3 анализируемой пробы.

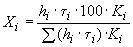
Последовательность выхода компонентов из колонки, относительное время удерживания и градуировочные коэффициенты приведены в табл.2.

Таблица 2

Компонент

Относительное время удерживания

Градуировочный коэффициент

Метан

0,19

1,00

Диметиловый эфир

0,23

2,88

Метилаль

0,31

2,63

Метиловый эфир муравьиной кислоты

0,37

3,75

Акролеин + метилэтилкетон

0,40

1,95

Изомасляный альдегид

0,48

1,75

Неидентифицированный

0,54

1,75

Вторичный бутиловый спирт

0,69

1,80

Этиловый спирт

0,80

2,66

метиловый спирт

1,00

3,34

3.3.1.4. Обработка результатов

Массовые доли компонентов определяют методом внутренней нормализации с учетом градуировочных коэффициентов. Запись пиков примесей проводят с входным сопротивлением 10-8. Ом, запись пика метанола проводят при переключении на входное сопротивление 10-12 Ом.

Массовую долю каждого компонента (Xi) в процентах вычисляют по формуле где hi - высота пика, мм;
      Ti - время удерживания -го компонента, мм;

      Ki - градуировочный коэффициент для -го компонента.

Градуировочные коэффициенты определяют по искусственным смесям, близким по количественному составу к анализируемой пробе по ГОСТ 21533-76.

За результат анализа принимают среднее арифметическое результатов двух параллельных определений, абсолютное расхождение между которыми не превышает допускаемое расхождение, равное 0,02%, при доверительной вероятности P=0,95.

3.3.1.3, 3.3.1.4 (Измененная редакция, Изм. N 2).

3.4. Определение массовой доли нелетучего остатка

Определение проводят по ГОСТ 27026-86 из навески массой 200 г (250 см3). Выпаривание проводят на водяной бане.

Допускаемая относительная суммарная погрешность результата анализа составляет ±30% при доверительной вероятности P=0,95.

(Измененная редакция, Изм. N 1, 2).

3.5. Определение массовой доли кислот в пересчете на муравьиную кислоту

3.5.1. Аппаратура, реактивы и растворы

Бюретка 6-2-2 или 7-2-3 по НТД.

Колба Кн-1-250-19/26 по ГОСТ 25336-82.

Пипетка 3 (4)-2-1 по НТД.

Цилиндр 1 (3)-50-2 по ГОСТ 1770-74.

Вода дистиллированная, не содержащая углекислоты, готовят по ГОСТ 4517-87.

Натрия гидроокись по ГОСТ 4328-77, раствор молярной концентрации  c(NaOH)=0,01 моль/дм3 (0,01 н.), готовят по ГОСТ 25794.1-83.
Спирт этиловый ректификованный технический по ГОСТ 18300-87, высшего сорта.

Фенолфталеин (индикатор), спиртовой раствор с массовой долей 1%; готовят по ГОСТ 4919.1-77.

3.5.2. Проведение анализа

25 см3 воды помещают в коническую колбу, прибавляют 0,1 см3 раствора фенолфталеина и затем осторожно из бюретки по каплям - раствор гидроокиси натрия до тех пор, пока появившаяся розовая окраска будет сохраняться в течение 1 мин. Затем к раствору прибавляют 50 см3 препарата, перемешивают и титруют из бюретки раствором гидроокиси натрия до появления розовой окраски, сохраняющейся в течение 30 с.

3.5.1, 3.5.2. (Измененная редакция, Изм. N 2).

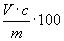
3.5.3. Обработка результатов

Массовую долю кислот в пересчете на муравьиную кислоту (X1) в процентах вычисляют по формуле где V - объем раствора гидроокиси натрия концентрации точно 0,01 моль/дм3, израсходованный на титрование, см3;
       0,79 - плотность препарата, г/см3;

      0,00046 - масса муравьиной кислоты, соответствующая 1 см3 раствора гидроокиси натрия концентрации точно 0,01 моль/дм3, г.

За результат анализа принимают среднее арифметическое результатов двух параллельных определений, относительное расхождение между которыми не превышает допускаемое расхождение, равное 20%.

Допускаемая относительная суммарная погрешность результата анализа составляет ±10% при доверительной вероятности P=0,95.

(Измененная редакция, Изм. N 1, 2).

3.6. Определение массовой доли щелочей в пересчете на NH3

3.6.1. Аппаратура, реактивы и растворы

Бюретка 6-2-2 или 7-2-3 по НТД.

Колба Кн-1-250-19/26 по ГОСТ 25336-82.

Пипетка 3 (4)-2-1 по НТД.

Цилиндр 1 (3)-50 (25)-2 по ГОСТ 1770-74.

Вода дистиллированная, не содержащая углекислоты, готовят по ГОСТ 4517-87.

Кислота серная по ГОСТ 4204-77, раствор молярной концентрации  c(1/2H2SO4)=0,01 моль/дм3 (0,01 н.) или

кислота соляная по ГОСТ 3118-77, раствор молярной концентрации  c(НСl)=0,01 моль/дм3 (0,01 н.); готовят по ГОСТ 25794.1-83.

Метиловый красный (индикатор), спиртовой раствор с массовой долей 0,1%; готовят по ГОСТ 4919.1-77.

Спирт этиловый ректификованный технический по ГОСТ 18300-87, высшего сорта.

(Измененная редакция, Изм. N 1, 2).

3.6.2. Проведение анализа

25 см3 препарата помещают цилиндром в коническую колбу содержащую 25 см3 воды, перемешивают, прибавляют 0,1 см3 раствора метилового красного и титруют из бюретки раствором соляной или серной кислоты до изменения окраски раствора из желтой в розовую.

(Измененная редакция, Изм. N 2).

3.6.3. Обработка результатов

Массовую долю щелочей в пересчете на NH3 (X2) в процентах вычисляют по формуле где V - объем раствора соляной или серной кислоты концентрации точно 0,01 моль/дм3, израсходованный на титрование, см3;
         0,79 - плотность препарата, г/см3;

        0,00017 - масса аммиака, соответствующая 1 см3 раствора соляной или серной кислоты концентрации точно 0,01 моль/дм3, г.

За результат анализа принимают среднее арифметическое результатов двух параллельных определений, относительное расхождение между которыми не превышает допускаемое расхождение, равное 20%.

Допускаемая относительная суммарная погрешность результата анализа составляет ±15% при доверительной вероятности P=0,95.

(Измененная редакция, Изм. N 1, 2).

3.7. Определение массовой доли альдегидов и кетонов в пересчете на Ацетон

3.7.1. Аппаратура, реактивы и растворы

Колба Кн-2-50-18 (22, 34) по ГОСТ 25336-82.

Пипетка 5 (6)-2-5 (10) по НТД.

Вода дистиллированная по ГОСТ 6709-72-->ГОСТ 6709-72.

Раствор, содержащий Ацетон, готовят по ГОСТ 4212-76, соответствующим разбавлением готовят раствор массовой концентрации 0,01 мг/см3 ацетона.

Реактив Несслера, готовят по ГОСТ 4517-87.

3.7.2. Проведение анализа

2,5 см3 (2 г) препарата помещают пипеткой в коническую колбу, прибавляют 4 см3 воды и 5 см3 реактива Несслера.

Препарат считают соответствующим требованиям настоящего стандарта, если наблюдаемая через 15 мин опалесценция анализируемого раствора не будет интенсивнее опалесценции раствора, приготовленного одновременно с анализируемым и содержащего в таком же объеме:

для препарата химически чистый

- 0,02 мг (CH3)2CO,

для препарата чистый для анализа

- 0,04 мг (CH3)2CO,

для препарата чистый

- 0,08 мг (CH3)2CO


и 5 см3 реактива Несслера.

При проведении анализа реактив Несслера следует прибавлять в анализируемый раствор и раствор сравнения одновременно.

3.7.1, 3.7.2 (Измененная редакция, Изм. N 2).

3.8. Определение массовой доли железа

Определение проводят по ГОСТ 10555-75.

При этом 63 см3 (50 г) препарата "химически чистый" и "чистый для анализа" или 13 см3 (10 г) препарата "чистый" помещают цилиндром вместимостью 100 или 25 см3 (ГОСТ 1770-74) в коническую колбу вместимостью 100 см3 (ГОСТ 25336-82), прибавляют 1 см3 раствора соляной кислоты, 10 см3 воды и нагревают на водяной бане до уменьшения объема раствора примерно до 10 см3. Раствор охлаждают, переносят в мерную колбу, прибавляют 10 см3 воды, перемешивают и далее определение проводят сульфосалициловым методом, не прибавляя раствор соляной кислоты.

Препарат считают соответствующим требованиям настоящего стандарта, если масса железа не будет превышать:

для препарата химически чистый

- 0,005 мг,

для препарата чистый для анализа

- 0,025 мг,

для препарата чистый

- 0,020 мг.


Допускается заканчивать определение визуально в объеме 25 см3.

При разногласиях в оценке массовой доли железа анализ заканчивают фотометрически.

3.9. Определение массовой доли общей серы

Определение проводят по ГОСТ 10671.5-74.

При этом 5 см3 (4 г) препарата помещают пипеткой в коническую колбу вместимостью 50 см3 с меткой на 26 см3 и прибавляют 1 см3 раствора гидроокиси калия с массовой долей 10% (готовят по ГОСТ 4517-87). К колбе подсоединяют холодильник типа ХПТ-1-100 (200)-14/23 (ГОСТ 25336-82) и нагревают в течение 15 мин на водяной бане. Затем холодильник смывают небольшим количеством воды, отсоединяют колбу от холодильника и выпаривают раствор до объема 1-2 см3. К оставшемуся раствору прибавляют 0,5 см3 бромной воды (готовят по ГОСТ 4517-87) и нагревают в течение 5 мин на водяной бане. Затем прибавляют 1 см3 раствора соляной кислоты с массовой долей 25%, 10-15 см3 воды, нагревают до кипения и кипятят до удаления брома (до обесцвечивания раствора). Раствор охлаждают до комнатной температуры, доводят объем раствора водой до 26 см3 и далее определение проводят фототурбидиметрическим или визуально-нефелометрическим (способ 1) методом без добавления соляной кислоты. Расчет ведут на серу. При этом раствор, содержащий серу, готовят по ГОСТ 4212-76.

Препарат считают соответствующим требованиям настоящего стандарта, если масса серы не будет превышать:

для препарата химически чистый

- 0,02 мг,

для препарата чистый для анализа

- 0,02 мг,

для препарата чистый

- 0,03 мг.


При необходимости в результат анализа вносят поправку на массовую долю серы в применяемых растворах гидроокиси калия и бромной воды, определяемую контрольным опытом.

При разногласиях в оценке массовой доли серы анализ проводят фототурбидиметрическим методом.

3.8, 3.9. (Измененная редакция, Изм. N 2).

3.10. Определение массовой доли веществ, восстанавливающих марганцовокислый калий, в пересчете на Кислород

(Измененная редакция, Изм. N 1).

3.10.1. Аппаратура, реактивы и растворы

Колба Кн-1-100-14/23 по ГОСТ 25336-82.

Пипетка 3 (4)-2-1 по НТД.

Цилиндр 1 (3)-25-2 по ГОСТ 1770-74.

Калий марганцовокислый по ГОСТ 20490-75, раствор молярной концентрации точно  c(1/5 KMnO4)=0,01 моль/дм3 (0,01 н.), свежеприготовленный, готовят по ГОСТ 25794.2-83 (1 см3 этого раствора соответствует 0,00008 г кислорода).

3.10.2. Проведение анализа

20 см3 (15,8 г) препарата помещают цилиндром в коническую колбу, охлаждают до 15 °С и прибавляют пипеткой 1 см3 раствора марганцовокислого калия.

Содержимое колбы осторожно перемешивают и колбу помещают в водяную баню с температурой 15 °С в темное место.

Препарат считают соответствующим требованиям настоящего стандарта, если по истечении 30 мин сохранится розовая окраска раствора.

3.10.1, 3.10.2. (Измененная редакция, Изм. N 2).

3.11. Определение веществ, темнеющих под действием серной кислоты

Определение проводят по ГОСТ 14871-76.

При этом 10 см3 препарата помещают пипеткой в коническую колбу вместимостью 50 см(ГОСТ 25336-82). Колбу с препаратом помещают в водяную баню температурой 8-10 °С и осторожно по стенке колбы прибавляют пипеткой небольшими порциями 10 см3 серной кислоты, выдерживающей пробу Савалля, непрерывно перемешивая содержимое колбы. Далее определение проводят визуальным методом бихроматной шкалы.

Препарат считают соответствующим требованиям настоящего стандарта, если окраска анализируемого раствора:

для препарата химически чистый и чистый для анализа не будет интенсивнее окраски 20 см3 серной кислоты;

для препарата чистый не будет интенсивнее окраски раствора сравнения с показателем цветности 2 бихроматной шкалы.

(Измененная редакция, Изм. N 2).

3.12. Определение массовой доли воды

Определение проводят по ГОСТ 14870-77 реактивом Фишера визуальным (способ 3) или электрометрическим титрованием.

Масса навески препарата 10 г (12,6 см).

При разногласиях в оценке массовой доли воды определение проводят электрометрическим титрованием.

(Измененная редакция, Изм. N 1).

3.13. Испытание на смешиваемость с водой

(Измененная редакция, Изм. N 2).

3.13.1. Аппаратура и реактивы

Колба Кн-1-100-14/23 по ГОСТ 25336-82.

Цилиндр 2 (4)-100-2 по ГОСТ 1770-74.

Вода дистиллированная по ГОСТ 6709-72-->ГОСТ 6709-72.

3.13.2. Проведение анализа

15 см3 препарата смешивают с 45 см3 дистиллированной воды в конической колбе или цилиндре из бесцветного стекла.

Препарат считают соответствующим требованиям настоящего стандарта, если через 1 ч при наблюдении в проходящем свете на темном фоне анализируемый раствор нельзя будет отличить от воды (60 см3), помещенной в такую же колбу или цилиндр.

Допускается проводить сравнение в одинаковых пробирках из бесцветного стекла вместимостью 100 см3 при наблюдении по оси пробирок.

3.13.1, 3.13.2. (Введены дополнительно, Изм. N 2).

4. УПАКОВКА, МАРКИРОВКА, ТРАНСПОРТИРОВАНИЕ И ХРАНЕНИЕ

4.1. Препарат упаковывают и маркируют в соответствии с ГОСТ 3885-73-->ГОСТ 3885-73.

Вид и тип тары: 3-1, 3-2, 3-5, 3-8, 8-1, 8-2, 10-1.

Группа фасовки: III, IV, V, VI, VII. Индифферентный материал - шлаковата или другой негорючий уплотняющий материал.

На тару наносят знаки опасности по ГОСТ 19433-88 (класс опасности 3, подкласс 3.2, основной черт.3 и дополнительный 6а, классификационный шифр 3222) и серийный номер ООН 1230.

(Измененная редакция, Изм. N 1, 2).

4.2. Препарат перевозят всеми видами транспорта в соответствии с правилами перевозки грузов, действующими на данном виде транспорта.

4.3. Препарат хранят в упаковке изготовителя в сухом прохладном помещении для огнеопасных веществ. Склянки должны быть наполнены не более чем на 90% объема.

5. ГАРАНТИИ ИЗГОТОВИТЕЛЯ

5.1. Изготовитель гарантирует соответствие метанола-яда требованиям настоящего стандарта при соблюдении условий транспортирования и хранения.

5.2. Гарантийный срок хранения - 6 мес со дня изготовления.

Разд.5. (Измененная редакция, Изм. N 1).

Разд.6. (Исключен, Изм. N 1).

ПРИЛОЖЕНИЕ 1 (обязательное). ИСО 6353-2-83 Реактивы для химического анализа. Часть 2. Технические условия. Первая серия Р 18. метанол CH(3)ОН


ПРИЛОЖЕНИЕ 1
Обязательное

     
ИСО 6353-2-83
Реактивы для химического анализа.
Часть 2. Технические условия. Первая серия
Р 18. метанол CH3OH


Относительная молекулярная масса: 32,04. 

Р 18.1. Технические требования

Массовая доля метанола (CH3OH), %, не менее

99,8

Плотность, г/см3

0,791-0,793

Массовая доля нелетучего остатка, %, не более 

0,001

Кислотность (в миллимолях H+), не более

0,065/100 г

Щелочность (в миллимолях ОН-), не более

0,02/100 г

Массовая доля веществ, восстанавливающих

KMnO4, в пересчете на Кислород (О), %, не более

0,0005

Легко обугливающиеся вещества

Должен выдерживать испытание

Массовая доля карбонильных соединений в пересчете на (СО), %, не более

0,005

Массовая доля воды, %, не более

0,2



Р 18.2. Методы анализа

Р 18.2.1. Определение массовой доли метанола

Определение проводят в соответствии с ОМ 34* при следующих условиях:
________________
* Общие методы анализа (ОМ) - по ИСО 6353-1-82.

Неподвижная фаза

20% карбовакс

400

Носитель

Хромосорб W

0,18-0,25 мм

(60-80 меш ASTM)

Длина колонки, м

2

Внутренний диаметр колонки, мм

5

Материал, из которого изготовлена колонка

Нержавеющая сталь

Температура колонки, °С

50

Температура испарителя, °С

150

Температура детектора, °С

150

Тип детектора

Катарометр

Газ-носитель

Гелий

Скорость потока, см3/мин

30

Объем анализируемой пробы, мм

5.


Р 18.2.2. Определение плотности

Определение проводят в соответствии с ОМ 24.1.*
________________
* Общие методы анализа (ОМ) - по ИСО 6353-1-82.

P 18.2.3. Определение массовой доли нелетучего остатка

100 г (126 см3) испытуемого образца анализируют в соответствии с ОМ 14*.
________________
* Общие методы анализа (ОМ) - по ИСО 6353-1-82.

Масса остатка не должна превышать 1 мг.

Р 18.2.4. Определение кислотности

79 г (100 см3) испытуемого образца анализируют в соответствии с ОМ 13.1*, титруя его раствором гидроокиси натрия концентрации точно  c(NaOH) - 0,01 моль/дм3 по фенолфталеину (ИР 4.3.9)**.
________________
* Общие методы анализа (ОМ) - по ИСО 6353-1-82.

** Индикаторные растворы (ИР) - по ИСО 6353-1-82.

Объем титрованного раствора гидроокиси натрия не должен превышать 5,2 см3.

Р 18.2.5. Определение щелочности

79 г (100 см3) испытуемого образца анализируют в соответствии с ОМ 13.1*, титруя его раствором серной кислоты концентрации точно  c(1/2H2SO4)=0,01 моль/дм3 по метиловому красному (ИР 4.3.6)**.
________________
* Общие методы анализа (ОМ) - по ИСО 6353-1-82.

** Индикаторные растворы (ИР) - по ИСО 6353-1-82.

Объем титрованного раствора серной кислоты не должен превышать 1,6 см3.

Р 18.2.6. Определение массовой доли веществ, восстанавливающих KMnO4

16 г (20 см3) испытуемого образца анализируют в соответствии с ОМ 19.1*, прибавляя 0,1 см3 раствора марганцовокислого калия массовой концентрации 3,16 г/дм3. Анализируемый раствор выдерживают в течение 10 мин при температуре 15 °С.
________________
* Общие методы анализа (ОМ) - по ИСО 6353-1-82.

Розовая окраска раствора не должна полностью исчезать.

Р 18.2.7. Определение легко обугливающихся веществ

10 см3 серной кислоты (95±0,5%) охлаждают до 10 °С и прибавляют по каплям при постоянном перемешивании 10 см3 испытуемого образца, поддерживая температуру смеси ниже 20 °С.

Полученный раствор должен быть бесцветным или интенсивность его окраски не должна превышать интенсивность окраски раствора серной кислоты или испытуемого образца.

Р 18.2.8. Определение массовой доли карбонильных соединений

4 г (5 см3) испытуемого образца разбавляют до 20 см3 метанолом, не содержащим карбонильных соединений. 2 см3 полученного раствора анализируют в соответствии с ОМ 23.

Готовят контрольный раствор, используя 2 см3 карбонилсодержащего раствора сравнения II (2 см3=0,005% СО).

Карбонилсодержащий раствор сравнения II готовят непосредственно перед употреблением разбавлением метанолом в мерной колбе основного раствора сравнения в соотношении 1:100. Основной раствор сравнения готовят следующим образом: 10,43 г ацетона, соответствующего 5,0 г СО, взвешивают в мерной колбе вместимостью 100 см3, содержащей 50 см3 метанола, не содержащего карбонильных соединений, разбавляют до метки тем же метанолом и тщательно перемешивают. 20 см3 этого раствора разбавляют до метки в мерной колбе вместимостью 1000 см3 и перемешивают. Для всех разбавлений применяют метанол, не содержащий карбонильных соединений.

метанол, не содержащий карбонильных соединений, готовят следующим образом: к 2 дм3 метанола добавляют 10 г 2,4-динитрофенилгидразина и 0,5 см3 соляной кислоты, кипятят с обратным холодильником 2 ч, после чего перегоняют, отбрасывая первые 50 см3 дистиллята. В процессе перегонки метанол перемешивают с помощью магнитной мешалки во избежание переброса. Полученный таким образом метанол, не содержащий карбонильных соединений, будет сохраняться неограниченно долго при условии хранения в плотно закупоренной бутылке.

Р 18.2.9. Определение массовой доли воды

8 г (10 см3) испытуемого образца анализируют в соответствии с ОМ 12* используя 20 см3 метанола в качестве растворителя.
____________________
* Общие методы анализа (ОМ) - по ИСО 6353-1-82.

ПРИЛОЖЕНИЕ 2 (обязательное). ИСО 6353-1-82 Реактивы для химического анализа. Часть 1. Общие методы испытаний

ПРИЛОЖЕНИЕ 2

Обязательное

4.3. Растворы индикаторов (ИР)

4.3.6. Метиловый красный (ИР 4.3.6)

25 мг тонко измельченного метилового красного нагревают с 0,95 см3 раствора гидроокиси натрия с массовой долей 0,2% и 5 см3 раствора этанола с объемной долей 95%. После полного растворения добавляют 125 см3 этанола с объемной долей 95% и разбавляют водой до объема 250 см3.

4.3.9. Фенолфталеин (ИР 4.3.9)

2,5 г фенолфталеина растворяют в 250 см3 раствора этанола с объемной долей 95%.

5. Общие методы анализа (ОМ)

5.12. Определение массовой доли воды (ОМ 12)

Определение проводят методом Карла Фишера, следуя указаниям ГОСТ 14870-77*.
__________________
* Применяют до введения ИСО 760-78 в качестве государственного стандарта.

5.13. Определение кислотности и щелочности (ОМ 13)

5.13.1. Определение кислотности и щелочности жидкостей, смешивающихся с водой (ОМ13.1)

5.13.1.1. Методика анализа

100 см3 воды помещают в коническую колбу вместимостью 250 см3 и кипятят в течение 5 мин для удаления двуокиси углерода. Дав раствору слегка охладиться, добавляют к нему указанный объем анализируемого раствора и осторожно кипятят еще 5 мин. Затем колбу закрывают притертой пробкой, снабженной хлоркальциевой трубкой с натронной известью, и дают раствору остыть до комнатной температуры. Затем добавляют указанный индикатор и титруют указанным титрованным раствором до достижения соответствующей конечной точки титрования, устойчивой в течение 15 с.

5.13.1.2. Обработка результатов

Кислотность или щелочность (в миллимолях H+ или ОН- на 100 г продукта) определяют по формуле где V - объем титрованного раствора, израсходованный на титрование, см3;
       c - концентрация титрованного раствора в H+ или ОН-, моль/дм3;

       m - масса образца, находящаяся в указанном объеме анализируемого раствора, г.

5.14. Определение массовой доли нелетучего остатка (ОМ 14).

Указанную навеску упаривают досуха на кипящей водяной бане в подходящей взвешенной посуде вместимостью приблизительно 150 см3 (платиновой, стеклянной, кварцевой). Сушат до постоянной массы при (105±2) °С, как указано в стандарте на конкретный реактив.

5.19. Определение массовой доли веществ, восстанавливающих перманганат калия (ОМ 19)

5.19.1. Прямой метод (ОМ 19.1)

Указанную анализируемую навеску или ее раствор помещают в подходящую бесцветную стеклянную колбу, снабженную пришлифованной стеклянной пробкой, и добавляют указанный объем раствора перманганата калия концентрации  c(1/5KMnO4)=0,1 моль/дм3. Колбу закрывают пробкой и оставляют в защищенном от света месте при заданной температуре в течение указанного времени. Проверяют, имеет ли место остаточная окраска раствора.

5.23. Определение массовой доли карбонильных соединений (ОМ 23)

Указанную навеску испытуемого образца или его раствор помещают в цилиндр из бесцветного стекла, снабженный пришлифованной стеклянной пробкой, добавляют 1 см3 раствора 2,4-динитрофенилгидразина, цилиндр закупоривают, встряхивают и дают постоять 30 мин. Затем добавляют 8 см3 пиридина, 2 см3 воды и 2 см3 раствора гидроксида калия в метаноле, встряхивают, дают постоять 10 мин и разбавляют до объема 25 см3 метанолом, не содержащим карбонильных соединений.

Сравнивают интенсивность темно-красной окраски полученного раствора с интенсивностью окраски раствора, полученного при аналогичной обработке соответствующего контрольного раствора. Раствор 2,4-динитрофенилгидразина готовят следующим образом: 50 мг 2,4-динитрофенилгидразина растворяют в смеси, состоящей из 25 см3 метанола, не содержащего карбонильных соединений, и 2 см3 соляной кислоты, и разбавляют до объема 50 см3 водой.

Раствор годен в течение 2 недель.

Раствор гидроксида калия в метаноле готовят следующим образом: 15,0 см3 раствора гидроксида калия с массовой долей 33% смешивают с 50 см3 метанола, не содержащего карбонильных соединений.

Полученный раствор годен в течение 2 недель.

5.24. Денситометрия (ОМ 24)

5.24.1. Пикнометрический метод (ОМ 24.1)

5.24.1.1. Методика анализа

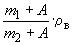
Высушенный пикнометр (объем 25-50 см3) взвешивают с точностью до 0,2 мг. Пикнометр заполняют свежепрокипяченной дистиллированной водой и определяют взвешиванием кажущуюся массу (m2) воды при (20±0,1) °С. Пикнометр освобождают от воды, высушивают, заполняют анализируемым образцом и определяют аналогичным способом кажущуюся массу образца (m1) при (20±0,1) °С.

5.24.1.2. Обработка результатов

Плотность испытуемого вещества, выраженную в граммах на кубический сантиметр и рассчитываемую с точностью до третьего десятичного знака после запятой, определяют по формуле где m1 - кажущаяся масса навески испытуемого вещества, г;
       m2 - кажущаяся масса навески воды, г;

      pв - плотность воды при 20 °С (0,9982 г/см3);

      A - поправка к массе при взвешивании на воздухе;

, где pa - плотность воздуха (приблизительно 0,0012 г/см3); 

      V - объем пикнометра, см3.

5.3.4. Газовая хроматография (ОМ 34)

Следуют общим указаниям ГОСТ 21533-76.

Приложения 1, 2 (Введены дополнительно, Изм. N 2).



Текст документа сверен по:
официальное издание
М.: ИПК Издательство стандартов, 1997