Новости Нефтегазовая пром.
Выставки Наука и технология


Хлорная известь ГОСТ Р 54562-2011

Хлорная известь ГОСТ Р 54562-2011. Технические условия.


ГОСТ Р 54562-2011

Группа Л17

     
     
НАЦИОНАЛЬНЫЙ СТАНДАРТ РОССИЙСКОЙ ФЕДЕРАЦИИ

ХЛОРНАЯ ИЗВЕСТЬ

Технические условия

Chlorinated lime. Specifications



ОКС 71.060.50
ОКП 21 4712
93 9210

Дата введения 2013-01-01

     
     
Предисловие


Цели и принципы стандартизации в Российской Федерации установлены Федеральным законом от 27 декабря 2002 г. N 184-ФЗ "О техническом регулировании", а правила применения национальных стандартов Российской Федерации - ГОСТ Р 1.0-2004 "Стандартизация в Российской Федерации. Основные положения"

Сведения о стандарте

1 РАЗРАБОТАН Обществом с ограниченной ответственностью "Научно-исследовательский инженерный центр "Синтез" (ООО "НИИЦ "Синтез")

2 ВНЕСЕН Техническим комитетом по стандартизации ТК 60 "Химия"

3 УТВЕРЖДЕН И ВВЕДЕН В ДЕЙСТВИЕ Приказом Федерального агентства по техническому регулированию и метрологии от 29 ноября 2011 г. N 646-ст

4 ВВЕДЕН ВПЕРВЫЕ

Информация об изменениях к настоящему стандарту публикуется в ежегодно издаваемом информационном указателе "Национальные стандарты", а текст изменений и поправок - в ежемесячно издаваемых информационных указателях "Национальные стандарты". В случае пересмотра (замены) или отмены настоящего стандарта соответствующее уведомление будет опубликовано в ежемесячно издаваемом информационном указателе "Национальные стандарты". Соответствующая информация, уведомление и тексты размещаются также в информационной системе общего пользования - на официальном сайте Федерального агентства по техническому регулированию и метрологии в сети Интернет

     1 Область применения


Настоящий стандарт распространяется на хлорную известь, полученную хлорированием "пушонки" (гидроксида кальция, гашеной извести) в кипящем слое, представляющую собой смесь двуосновной соли гипохлорита кальция, оксихлорида кальция, хлорида и гидроксида кальция, предназначенную для промышленного применения и розничной торговли.

Хлорную известь применяют для дегазации, отбеливания, обеззараживания питьевой воды и дезинфекции.

2 Нормативные ссылки


В настоящем стандарте использованы нормативные ссылки на следующие стандарты:

ГОСТ Р ИСО 5725-6-2002 Точность (правильность и прецизионность) методов и результатов измерений. Часть 6. Использование значений точности на практике

ГОСТ Р 52564-2006 Мешки тканые полипропиленовые. Общие технические условия

ГОСТ Р 53228-2008 Весы неавтоматического действия. Часть 1. Метрологические и технические требования. Испытания

ГОСТ 8.579-2002 Государственная система обеспечения единства измерений. Требования к количеству фасованных товаров в упаковках любого вида при их производстве, расфасовке, продаже и импорте

ГОСТ 12.1.004-91 Система стандартов безопасности труда. Пожарная безопасность. Общие требования

ГОСТ 12.1.007-76 Система стандартов безопасности труда. Вредные вещества. Классификация и общие требования безопасности

ГОСТ 12.4.011-89 Система стандартов безопасности труда. Средства защиты работающих. Общие требования и классификация

ГОСТ 12.4.021-75 Система стандартов безопасности труда. Системы вентиляционные. Общие требования

ГОСТ 12.4.121-83 Система стандартов безопасности труда. Противогазы промышленные фильтрующие. Технические условия

ГОСТ 17.2.3.02-78 Охрана природы. Атмосфера. Правила установления допустимых выбросов вредных веществ промышленными предприятиями

ГОСТ 17.2.4.02-81 Охрана природы. Атмосфера. Общие требования к методам определения загрязняющих веществ

ГОСТ 1770-74 Посуда мерная лабораторная стеклянная. Цилиндры, мензурки, колбы, пробирки. Общие технические условия

ГОСТ 2228-81 Бумага мешочная. Технические условия

ГОСТ 4204-77 Реактивы. Кислота серная. Технические условия

ГОСТ 4232-74 Реактивы. Калий йодистый. Технические условия

ГОСТ 4517-87 Реактивы. Методы приготовления вспомогательных реактивов и растворов, применяемых при анализе

ГОСТ 5044-79 Барабаны стальные тонкостенные для химических продуктов. Технические условия

ГОСТ 6709-72-->ГОСТ 6709-72 Вода дистиллированная. Технические условия

ГОСТ 6732.2-89 Красители органические, продукты промежуточные для красителей, вещества текстильно-вспомогательные. Методы отбора проб

ГОСТ 7328-2001* Гири. Общие технические условия
________________
* На территории Российской Федерации документ не действует. Действует ГОСТ OIML R 111-1-2009, здесь и далее по тексту. - Примечание изготовителя базы данных.

ГОСТ 8777-80 Бочки деревянные заливные и сухотарные. Технические условия

ГОСТ 9147-80 Посуда и оборудование лабораторные фарфоровые. Технические условия

ГОСТ 9557-87 Поддон плоский деревянный размером 800Х1200 мм. Технические условия
ГОСТ 10163-76 Реактивы. Крахмал растворимый. Технические условия

ГОСТ 10354-82 Пленка полиэтиленовая. Технические условия

ГОСТ 14192-96 Маркировка грузов

ГОСТ 15846-2002 Продукция, отправляемая в районы Крайнего Севера и приравненные к ним местности. Упаковка, маркировка, транспортирование и хранение

ГОСТ 16272-79 Пленка поливинилхлоридная пластифицированная техническая. Технические условия

ГОСТ 17811-78 Мешки полиэтиленовые для химической продукции. Технические условия

ГОСТ 18573-86 Ящики деревянные для продукции химической промышленности. Технические условия

ГОСТ 19433-88 Грузы опасные. Классификация и маркировка

ГОСТ 21650-76 Средства скрепления тарно-штучных грузов в транспортных пакетах. Общие требования

ГОСТ 22235-2010 Вагоны грузовые магистральных железных дорог колеи 1520 мм. Общие требования по обеспечению сохранности при производстве погрузочно-разгрузочных и маневровых работ

ГОСТ 25336-82 Посуда и оборудование лабораторные стеклянные. Типы, основные параметры и размеры

ГОСТ 25794.1-83 Реактивы. Методы приготовления титрованных растворов для кислотно-основного титрования

ГОСТ 25794.2-83 Реактивы. Методы приготовления титрованных растворов для окислительно-восстановительного титрования

ГОСТ 26319-84 Грузы опасные. Упаковка

ГОСТ 26663-85 Пакеты транспортные. Формирование с применением средств пакетирования. Общие технические требования

ГОСТ 27025-86 Реактивы. Общие указания по проведению испытаний

ГОСТ 27068-86 Реактивы. натрий серноватистокислый (натрия тиосульфат) 5-водный. Технические условия

ГОСТ 29227-91 (ИСО 835-1-81) Посуда лабораторная стеклянная. Пипетки градуированные. Часть 1. Общие требования

ГОСТ 29251-91 (ИСО 385-1-84) Посуда лабораторная стеклянная. Бюретки. Часть 1. Общие требования

ГОСТ 31340-2007 Предупредительная маркировка химической продукции. Общие требования

Примечание - При пользовании настоящим стандартом целесообразно проверить действие ссылочных стандартов в информационной системе общего пользования - на официальном сайте Федерального агентства по техническому регулированию и метрологии в сети Интернет или по ежегодно издаваемому информационному указателю "Национальные стандарты", который опубликован по состоянию на 1 января текущего года, и по соответствующим ежемесячно издаваемым информационным указателям, опубликованным в текущем году. Если ссылочный стандарт заменен (изменен), то при пользовании настоящим стандартом следует руководствоваться заменяющим (измененным) стандартом. Если ссылочный стандарт отменен без замены, то положение, в котором дана ссылка на него, применяется в части, не затрагивающей эту ссылку.

3 Технические требования

3.1 Хлорная известь должна быть изготовлена в соответствии с требованиями настоящего стандарта по технологическому регламенту, утвержденному в установленном порядке.

3.2 Характеристики

3.2.1 По физико-химическим показателям Хлорная известь должна соответствовать требованиям и нормам, указанным в таблице 1.


Таблица 1

Наименование показателя

Значение показателя

1-й сорт

2-й сорт

1 Внешний вид

Порошок белого цвета или слабоокрашенный, с наличием комков

2 Массовая доля активного хлора, %, не менее

25,0

20,0

3 Коэффициент термостабильности, не менее

0,90

0,80

3.2.2 Допускается снижение массовой доли активного хлора в хлорной извести 1-го сорта в течение трех лет на 8% (отн.), 2-го сорта в течение одного года - на 10% (отн).

3.2.3 Срок годности хлорной извести, предназначенной для розничной торговли (мелкая фасовка), составляет для 1-го сорта - 3 года, 2-го сорта - 1 год с даты изготовления.

3.3 Маркировка

3.3.1 Транспортная маркировка - по ГОСТ 14192 с нанесением манипуляционных знаков: "Герметичная упаковка", "Беречь от солнечных лучей", "Беречь от влаги".

3.3.2 Маркировка, характеризующая опасность груза, - в соответствии с правилами перевозки опасных грузов, действующими на соответствующем виде транспорта.

Маркировка, характеризующая опасность груза по ГОСТ 19433: класс 5, подкласс 5.1, классификационный шифр 5152, номер чертежа основного знака опасности - 5, дополнительного - 8, номер ООН 2208.

Маркировка, характеризующая опасность груза в соответствии с правилами перевозки опасных грузов по железным дорогам: класс 5, подкласс 5.1, классификационный шифр 5113, знак опасности - по образцу 5, номер ООН 2208, код опасности 50, аварийная карточка N 501 [1], [2].

Маркировку наносят непосредственно на каждое грузовое место и на ящичные поддоны, установленные у дверей вагона, но не менее чем на 10 ящичных поддонов. Допускается маркировку ящичных поддонов наносить на прикрепленные к ним ярлыки.

3.3.3 Предупредительная маркировка - по ГОСТ 31340.

3.3.4 Маркировка, характеризующая упакованную продукцию, должна содержать:

- наименование предприятия-изготовителя, его товарный знак и юридический адрес;

- наименование, сорт продукта;

- номер партии;

- дату изготовления;

- обозначение настоящего стандарта;

- массы брутто и нетто (для мешков - только массу нетто).

3.3.5 Маркировка потребительской тары с хлорной известью, предназначенной для розничной торговли, должна содержать:

- наименование предприятия-изготовителя, его товарный знак и юридический адрес;

- наименование продукта, сорт;

- назначение продукта, способ его применения;

- меры предосторожности и средства защиты;

- срок годности, дату изготовления (месяц, год);

- надписи: "Едкое вещество", "Хранить в сухом месте";

- массы брутто и нетто (для мешков - только массу нетто);

- обозначение настоящего стандарта.

Потребительскую маркировку продукта для розничной торговли наносят на тару печатью или другим способом по ГОСТ 14192.

3.3.6 Маркировка хлорной извести, отправляемой в районы Крайнего Севера и приравненные к ним местности, - по ГОСТ 15846 (раздел 4).

3.4 Упаковка

3.4.1 Тара, применяемая для упаковывания хлорной извести, должна соответствовать ГОСТ 26319.

3.4.2 Хлорную известь упаковывают:

- в полиэтиленовые мешки М10-0,220 по ГОСТ 17811;

- в полиэтиленовые мешки М10-0,220 по ГОСТ 17811, вложенные в мешки из хлориновой ткани;

- в тканые полипропиленовые мешки по ГОСТ Р 52564 типа III технического назначения, исполнения В (обыкновенные или повышенной прочности);

- в стальные барабаны по ГОСТ 5044 любого типа, исполнений Б1, B1, B2, B4 вместимостью не более 100 дм3, окрашенные внутри и снаружи химически стойкой краской, или в неокрашенные барабаны из углеродистой стали, снабженные вкладышами из полиэтиленовой пленки по ГОСТ 10354 толщиной 0,060-0,100 мм.

3.4.3 Хлорную известь для розничной торговли фасовкой 500, 1500 и 2000 г упаковывают в пакеты из полиэтиленовой пленки по ГОСТ 10354 толщиной 0,060-0,100 мм или поливинилхлоридной пластифицированной пленки по ГОСТ 16272 толщиной (0,23±0,04) мм, или мешочной бумаги по ГОСТ 2228 марки П.

Пакеты укладывают в полиэтиленовые мешки по ГОСТ 17811 или тканые полипропиленовые мешки по ГОСТ Р 52564, или деревянные ящики по ГОСТ 18573 типа II-1.

Масса брутто одного грузового места для мешков должна быть не более 30 кг, для стальных барабанов - не более 75 кг.

3.4.4 Допускаемое отрицательное отклонение массы нетто в упаковке от номинального количества хлорной извести должно соответствовать ГОСТ 8.579 (приложение А, таблица А.1 или А.2).

3.4.5 Допускается по согласованию с потребителем применять другие виды тары по нормативной или технической документации, обеспечивающей сохранность продукта и отвечающей требованиям ГОСТ 26319.

3.4.6 Полиэтиленовые мешки и пакеты заваривают или завязывают хлорстойким шпагатом, или обжимают металлическим кольцом. Допускается пакеты завязывать резиновым кольцом. Пакеты из мешочной бумаги заваривают. Мешки из хлориновой ткани зашивают, не прокалывая полиэтиленового вкладыша, или завязывают хлорстойким шпагатом.

3.4.7 Хлорную известь, предназначенную для отправки в районы Крайнего Севера и приравненные к ним местности, упаковывают по ГОСТ 15846 в деревянные бочки по ГОСТ 8777 вместимостью 100 дм с вкладышами из полиэтиленовой пленки по ГОСТ 10354 толщиной 0,060-0,100 мм, в деревянные бочки для хлорной извести, изготовленные по нормативной или технической документации.

4 Требования безопасности

4.1 По степени воздействия на организм при попадании в желудок (DL50=850 мг/кг по [3]) Хлорная известь является умеренно опасным веществом, 3-й класс опасности по ГОСТ 12.1.007.

4.2 Предельно допустимая концентрация (ПДК) хлора в воздухе рабочей зоны - 1 мг/м3, 2-й класс опасности по гигиеническим нормативам [4]. Для определения и регистрации содержания хлора в воздухе производственных помещений используют стационарные автоматические или переносные газоанализаторы. Метод определения основан на цветной реакции хлора с йодидами (йодкрахмальная реакция).

4.3 Хлорная известь под воздействием воздуха, влаги, углекислого газа, тепла и света распадается с выделением хлора и кислорода. Хлорная известь является сильным окислителем. Пыль хлорной извести и выделяющийся хлор оказывают раздражающее действие на слизистые оболочки дыхательных путей, глаза, а также кожные покровы.

4.4 Хлорная известь - негорючее вещество, но при контакте может вызывать возгорание и усиление горения многих горючих веществ и материалов. Транспортирование и хранение хлорной извести следует осуществлять, учитывая ее совместимость с другими веществами и материалами в соответствии с ГОСТ 12.1.004.

4.5 Производственные помещения должны быть оборудованы приточно-вытяжной вентиляцией, производственное оборудование должно быть герметизировано в соответствии с ГОСТ 12.4.021 и санитарными правилами и нормами [5].

4.6 Производственный персонал должен быть обеспечен спецодеждой и средствами защиты в соответствии с ГОСТ 12.4.011 и типовыми отраслевыми нормами.

4.7 Для защиты органов дыхания и зрения персонал должен использовать индивидуальные средства защиты - фильтрующий противогаз типа 1 марки В или БКФ по ГОСТ 12.4.121.

4.8 Производственные и складские помещения для хранения хлорной извести должны быть обеспечены первичными средствами пожаротушения в соответствии с правилами пожарной безопасности [6].

4.9 В случае саморазогрева хлорной извести вследствие разложения необходимо принять срочные меры к ее рассредоточению.

4.10 При отравлении хлором пострадавшего следует вывести из загазованной зоны, обеспечить покой, тепло и вызвать врача. При попадании продукта на кожные покровы и в глаза их надо промыть струей воды в течение 15-20 мин. При попадании хлора в желудок следует пить глотками растительное масло, рекомендуется также обильное питье [3]. Пострадавшего необходимо направить в медицинский пункт.

4.11 Уборка помещений - вакуумная. При отсутствии вакуумной системы допускается влажная уборка.

4.12 Работники обязаны проходить предварительный и периодический медицинские осмотры в соответствии с приказами Минздравсоцразвития РФ.

5 Требования охраны окружающей среды

5.1 Предельно допустимая концентрация (ПДК) хлора в атмосферном воздухе населенных мест составляет 0,1 мг/м3, 2-й класс опасности в соответствии с гигиеническими нормативами [7].

Предельно допустимая концентрация (ПДК) хлора в воде водных объектов хозяйственно-питьевого и культурно-бытового водопользования регламентируется как отсутствие, допускается сброс в водные объекты только при условии предварительного связывания активного хлора, образующегося в воде, по гигиеническим нормативам [8].

Предельно допустимая концентрация (ПДК) хлора в воде водоемов, имеющих рыбохозяйственное значение, регламентируется как отсутствие по нормативам [9].

5.2 С целью охраны атмосферного воздуха от загрязнения выбросами вредных веществ должен быть организован контроль за содержанием предельно допустимых выбросов. Правила установления допустимых выбросов вредных веществ - по ГОСТ 17.2.3.02, гигиенические требования к обеспечению качества атмосферного воздуха - по санитарным правилам и нормам [10], требования к методам определения загрязняющих веществ - по ГОСТ 17.2.4.02.

5.3 Промышленные сточные воды необходимо анализировать на наличие свободного хлора методами определения, утвержденными в установленном порядке, по методике [11].

5.4 В соответствии с санитарными правилами и нормами [12] отходы хлорной извести подлежат временному хранению в закрытой таре в специально оборудованном месте и дальнейшей сдаче на переработку на лицензированное предприятие.

Отходы производства хлорной извести, а также продукт с истекшим сроком годности подлежат сбору в сухую тару и направлению для уничтожения в места, согласованные с местными природоохранными и санитарными организациями.

Хлорную известь, используемую в бытовых условиях, утилизируют как "бытовые" отходы.

6 Правила приемки

6.1 Хлорную известь принимают партиями.

6.1.1 Партией считают количество продукта, однородного по показателям качества, массой не более 60 т, сопровождаемого одним документом о качестве.

6.1.2 Документ о качестве должен содержать:

- наименование предприятия-изготовителя, его товарный знак и юридический адрес;

- наименование и сорт продукта;

- номер партии;

- дату изготовления;

- массы брутто и нетто (для мешков - только массу нетто);

- количество упаковочных единиц в партии;

- результаты анализов или подтверждение о соответствии качества продукта требованиям настоящего стандарта;

- надписи: "Едкое вещество", "Хранить в сухом месте";

- обозначение настоящего стандарта.

6.2 Для проверки качества хлорной извести объем выборки продукта, упакованного в мешки, барабаны, должен быть 1% упаковочных единиц, но не менее 3%, если партия состоит из менее 30 упаковочных единиц.

Для контроля качества хлорной извести, предназначенной для розничной торговли, от каждого отобранного мешка или ящика отбирают по 2 пакета массой 500 г или 1 пакет массой 1500 или 2000 г.

6.3 При получении неудовлетворительных результатов анализа хотя бы по одному из показателей проводят повторный анализ по всем показателям на удвоенной выборке.

Результаты повторного анализа распространяют на всю партию.

7 Методы анализа

7.1 Отбор проб

7.1.1 Точечные пробы хлорной извести отбирают щупом по ГОСТ 6732.2 из титана, винилпласта, погружая его на 3/4 глубины грузового места.

Из пакетов массой 0,5-2,0 кг отбор проб проводят совком.

После отбора проб из полиэтиленовых мешков место отбора проб должно быть загерметизировано сваркой или плотным завязыванием, исключающим высыпание хлорной извести. 

Допускается проводить отбор проб из потока при фасовке.

Масса точечной пробы должна быть не менее 100 г.

7.1.2 Отобранные точечные пробы соединяют вместе в полиэтиленовом пакете или на чистом сухом листе силикатного или органического стекла или винилпласта, тщательно перемешивают и получают объединенную пробу.

7.1.3 Объединенную пробу сокращают методом отбора или квартования до получения средней пробы массой около 300 г и помещают в чистую сухую, плотно закрывающуюся стеклянную банку или полиэтиленовый пакет. Полиэтиленовый пакет заваривают или завязывают. Пробу хранят в сухом затемненном месте.

На банку или пакет наклеивают этикетку с указанием:

- наименования продукта;

- номера партии;

- сорта;

- даты отбора пробы;

- фамилии лица, отобравшего пробу.

7.2 Общие указания

7.2.1 Общие указания по проведению анализа - по ГОСТ 27025.

7.2.2 Допускается применение других средств измерения с метрологическими характеристиками и оборудования с техническими характеристиками не хуже, а также реактивов, по качеству не ниже указанных в настоящем стандарте.

7.3 Определение внешнего вида


Внешний вид продукта определяют визуально.

7.4 Определение массовой доли активного хлора

7.4.1 Сущность метода

Массовую долю активного хлора определяют методом йодометрического титрования хлора, выделяющегося при обработке хлорной извести серной кислотой, в диапазоне от 15% до 30% по [13].

7.4.2 Аппаратура, посуда, реактивы, растворы

Весы неавтоматического действия класса точности II с действительной ценой деления 0,05 мг и максимальной нагрузкой 200 г по ГОСТ Р 53228.

Набор гирь (1 г - 100 г) F1 или F2 по ГОСТ 7328.

Бюретка 1-1-2-50-0,1 или 1-3-2-50-0,1 по ГОСТ 29251.

Колба 1-500-2 или 2-500-2 по ГОСТ 1770.

Цилиндры 3-25(50)-2 и 1-50-2 по ГОСТ 1770.

Пипетки 1-2-2-5 и 1-2-2-50 по ГОСТ 29227.

Стаканчик СВ-19/9 по ГОСТ 25336.

Колба Кн-1-500-24/29 ТХС по ГОСТ 25336.

Ступка фарфоровая N 3 или N 4 с пестиком N 2 по ГОСТ 9147.

Воронка В-56-80ХС по ГОСТ 25336.

Часы или секундомер любого типа.

Калий йодистый по ГОСТ 4232, х.ч. или ч.д.а., раствор с массовой долей 10%; готовят по ГОСТ 4517 (пункт 2.67). Для определения используют только свежеприготовленный раствор.

Крахмал по ГОСТ 10163, ч.д.а. или ч., раствор с массовой долей 1%; готовят по ГОСТ 4517(пункт 2.90). Для определения используют только свежеприготовленный раствор.

Кислота серная по ГОСТ 4204, х.ч. или ч.д.а., раствор молярной концентрации c(1/2H2SO4)=0,1 моль/дм3; готовят по ГОСТ 25794.1 (пункт 2.1). Срок хранения раствора - 1 мес.

натрий серноватистокислый (натрия тиосульфат) 5-водный по ГОСТ 27068, ч.д.а. или ч., раствор молярной концентрации c(Na2S2O2·5H2O)=0,1 моль/дм3; готовят по ГОСТ 25794.2(пункт 2.11). Срок хранения раствора - 1 мес.

Вода дистиллированная по ГОСТ 6709.

7.4.3 Проведение анализа

Взвешивают в стаканчике для взвешивания 2,2-2,8 г хлорной извести (результат взвешивания в граммах записывают с точностью до четвертого десятичного знака). Навеску количественно переносят с помощью 40 см3 дистиллированной воды в фарфоровую ступку. Пробу тщательно растирают пестиком до образования однородной массы и оставляют на 5 мин. После отстаивания водный слой декантируют через воронку в мерную колбу вместимостью 500 см3. К остатку в ступке цилиндром вместимостью 25 см3 добавляют 20 см3 воды, тщательно растирают и количественно с помощью 40 см3 дистиллированной воды переносят всю массу через воронку в ту же мерную колбу.

Объем жидкости в колбе доводят до метки дистиллированной водой и тщательно перемешивают. Не давая осесть осадку, пипеткой вместимостью 50 см3 отбирают 50 см3 полученного раствора в коническую колбу, цилиндром 3-25-2 приливают 10 см3 раствора йодистого калия, перемешивают, цилиндром вместимостью 50 см3 прибавляют 50 см3 раствора серной кислоты. Закрывают колбу пробкой, снова перемешивают и помещают в темное место.

Через 5 мин выделившийся йод титруют раствором серноватистокислого натрия до соломенно-желтого цвета, добавляют пипеткой вместимостью 5 см3 1-2 см3 раствора крахмала и продолжают титрование до обесцвечивания раствора.

Одновременно проводят контрольный опыт с дистиллированной водой в тех же условиях, с теми же объемами реактивов.

Проводят два параллельных определения.

7.4.4 Обработка результатов

Массовую долю активного хлора (X), %, вычисляют по формуле (1) где V - объем раствора серноватистокислого натрия молярной концентрации точно  c(Na2S2O2·5H2O)=0,1 моль/дм3, израсходованный на титрование анализируемой пробы, см3;

V1 - объем раствора серноватистокислого натрия молярной концентрации точно  c(Na2S2O2·5H2O)=0,1 моль/дм3, израсходованный на титрование в контрольном опыте, см3;

0,003546 - масса хлора, соответствующая 1 см3 раствора серноватистокислого натрия молярной концентрации точно  c(Na2S2O2·5H2O)=0,1 моль/дм3, г;

m - масса пробы хлорной извести, взятой для анализа, г.

7.4.5 Метрологические характеристики

7.4.5.1 При соблюдении всех регламентированных условий и проведении анализа в точном соответствии с данной методикой значение погрешности измерений (и ее составляющих) не должно превышать значений, представленных в таблице 2.


Таблица 2

Диапазон измерений массовой доли активного хлора в хлорной извести, %

Показатель точности (границы относительной погрешности) , %, при P=0,95

Показатель повторяемости (относительное среднеквадра-
тическое отклонение повторяемости) Qr, %

Показатель воспроизводимости (относительное среднеквадрати-
ческое отклонение воспроизводимости) QR, %

Предел повторяе-
мости 
r, %, P=0,95, n=2

Критическая разность для результатов анализов, полученных в двух лабораториях, CD0,95, %, (n1=n2=2)

От 15,0 до 20,0 включ.

4,5

1

2

2,8

5,2

Св. 20,0 до 30,0 включ.

2,8

0,5

1

1,4

2,6

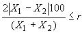
7.4.5.2 За результат анализа принимают среднеарифметическое значение результатов двух параллельных определений, если выполняется условие приемлемости (2) где X1, X2 - результаты параллельных определений массовой доли активного хлора, %;
r - значение предела повторяемости, % (таблица 2).

Если условие (2) не выполняется, выясняют причины превышения предела повторяемости, устраняют их и повторяют измерения в соответствии с требованиями методики измерений.

7.4.5.3 Результат анализа представляют в виде

, при P=0,95, 

где  - среднеарифметическое значение результатов двух определений, признанных приемлемыми по 7.4.5.2, %;

 - границы относительной погрешности измерений, % (таблица 2).
В случае если полученный результат измерений ниже нижней (выше верхней) границы диапазона измерений, то делают следующую запись в журнале:

"массовая доля активного хлора в хлорной извести - менее 15,0% (более 30,0%)".

7.4.5.4 Проверка приемлемости результатов измерений, полученных в условиях воспроизводимости

Проверку приемлемости результатов измерений в условиях воспроизводимости проводят:

а) при возникновении спорных ситуаций между двумя лабораториями;

б) при проверке совместимости результатов измерений, полученных при сличительных испытаниях (при проведении аккредитации лабораторий и инспекционного контроля).

Для проведения проверки приемлемости результатов измерений в условиях воспроизводимости каждая лаборатория использует пробы, оставленные на хранение.

Приемлемость результатов измерений, полученных в двух лабораториях, оценивают сравнением разности этих результатов с критической разностью CD0,95 по формуле (3) где Xср1,  Xср2 - средние значения массовой доли активного хлора, полученные в первой и второй лабораториях, %;
CD0,95 - значение критической разности, % (таблица 2).

Если критическая разность не превышена, то приемлемы оба результата измерений, проводимых двумя лабораториями, и в качестве окончательного результата используют их среднеарифметическое значение. Если критическая разность превышена, то выполняют процедуры, изложенные в ГОСТ Р ИСО 5725-6 (пункт 5.3.3).

При разногласиях руководствуются ГОСТ Р ИСО 5725-6 (пункт 5.3.4).

7.4.5.5 Контроль качества результатов измерений при реализации методики в лаборатории

Контроль качества результатов измерений в лаборатории при реализации методики осуществляют по ГОСТ Р ИСО 5725-6, используя контроль стабильности среднеквадратического (стандартного) отклонения промежуточной прецизионности по ГОСТ Р ИСО 5725-6 (пункт 6.2.3). Проверку стабильности осуществляют с применением контрольных карт Шухарта.

Периодичность контроля стабильности результатов выполнения измерений регламентируется в руководстве по качеству лаборатории.

Рекомендуется устанавливать контролируемый период так, чтобы количество результатов контрольных измерений было от 20 до 30.

При неудовлетворительных результатах контроля, например при превышении предела действия или регулярном превышении предела предупреждения, выясняют причины этих отклонений, в том числе проводят смену реактивов, проверяют работу оператора.

7.5 Определение коэффициента термостабильности

7.5.1 Подготовка пробы для определения массовой доли активного хлора после нагревания хлорной извести

7.5.1.1 Аппаратура, посуда, реактивы, растворы

Весы неавтоматического действия класса точности III с действительной ценой деления 1 мг и максимальной нагрузкой 500 г по ГОСТ Р 53228.

Набор гирь (1 г - 200 г) М1 по ГОСТ 7328.

Пробирка П1-25-200 ТС по ГОСТ 25336.

Термостат водяной, обеспечивающий температуру (85±1) °С.

Трубка стеклянная длиной 380 мм и внутренним диаметром 6 мм.

Часы.

Пробка резиновая с отверстием для стеклянной трубки.

7.5.1.2 Подготовка пробы

14-16 г хлорной извести взвешивают в пробирке (результат взвешивания в граммах записывают с точностью до второго десятичного знака).

Пробирку закрывают резиновой пробкой со вставленной в нее стеклянной трубкой. Конец трубки должен находиться на 5-10 мм выше уровня поверхности продукта.

Пробирку с продуктом помещают в водяной термостат так, чтобы весь продукт был погружен в воду, и выдерживают при температуре (85±1) °С в течение 2 ч.

После этого пробирку вынимают из термостата, закрывают пробкой и охлаждают до комнатной температуры.

7.5.2 Определение массовой доли активного хлора

Содержимое пробирки перемешивают и определяют массовую долю активного хлора Xн (%) в хлорной извести после нагревания по 7.4.

Массовую долю активного хлора Xн (%) после нагревания хлорной извести вычисляют по формуле (1).

7.5.3 Обработка результатов

Коэффициент термостабильности K вычисляют по формуле (4) где Xн - массовая доля активного хлора в хлорной извести после нагревания, определяемая по 7.5.2, %;
X - массовая доля активного хлора в анализируемой хлорной извести, определяемая по 7.4, %.

Проводят два параллельных определения.

Границы относительной погрешности расчета коэффициента термостабильности  находят как сумму границ относительной погрешности измерений массовой доли активного хлора в хлорной извести до и после нагревания в процентах (таблица 2).

8 Транспортирование и хранение

8.1 Хлорную известь транспортируют железнодорожным и автомобильным транспортом в крытых транспортных средствах в соответствии с правилами перевозки опасных грузов, действующими на данном виде транспорта [1], [14].

8.2 Хлорную известь транспортируют пакетами по ГОСТ 26663. Хлорную известь в мешках транспортируют в металлических ящичных поддонах, изготовленных по нормативной или технической документации; в барабанах, ящиках и бочках - на плоских деревянных поддонах по ГОСТ 9557.

Средства скрепления барабанов, ящиков и бочек на поддонах - по ГОСТ 21650. Масса брутто пакета не должна превышать 1 т.

8.3 По железной дороге хлорную известь транспортируют повагонными отправками с учетом технических условий размещения и крепления грузов и ГОСТ 22235.

При перевозке хлорной извести по железной дороге и автомобильным транспортом должна обеспечиваться вентиляция крытых транспортных средств.

Допускается перевозить хлорную известь, упакованную в тару, автомобильным и железнодорожным транспортом в непакетированном виде.

8.4 Хлорная известь, упакованная в полиэтиленовые, полипропиленовые или тканые мешки, должна быть выдержана в упаковке на складе предприятия-изготовителя не менее 72 ч на поддонах. При этом мешки укладывают на поддоны высотой до 1 м при ширине штабеля до 2 м. Проход между штабелями - не менее 0,5 м.

8.5 Хлорную известь хранят в закрытых складских неотапливаемых, затемненных и хорошо проветриваемых помещениях. Полы должны быть из асфальта, кирпича или бетона.

Хлорную известь в мешках, уложенных в металлические ящичные поддоны, хранят в штабелях шириной до 1,2 м и высотой до четырех ярусов; в барабанах, ящиках и бочках - вертикально, высотой до пяти ярусов с перестилом из досок между ярусами или горизонтально - высотой до 4 м.

Между штабелями оставляют проход шириной не менее 1,0 м.

8.6 Не допускается хранение в одном помещении с хлорной известью взрывчатых веществ, горючих грузов и баллонов со сжатыми газами.

9 Гарантии изготовителя

9.1 Изготовитель гарантирует соответствие качества хлорной извести требованиям настоящего стандарта при соблюдении условий транспортирования и хранения.

9.2 Гарантийный срок хранения хлорной извести 1-го сорта - 3 года со дня изготовления, 2-го сорта - 1 год со дня изготовления.

Библиография

[1]

Правила перевозок опасных грузов по железным дорогам (в редакции с изменениями и дополнениями от 23.11.07, 30.05.08, 22.05.09). Утверждены Советом по железнодорожному транспорту государств-участников Содружества, протокол от 15.04.96 N 15

[2]

Правила безопасности и порядок ликвидации аварийных ситуаций с опасными грузами при перевозке их по железным дорогам. М.: МПС, 1997. - 435 с.

[3]

Информационная карта потенциально опасного химического и биологического вещества. Кальций гипохлорит. Свидетельство о государственной регистрации. Серия AT N 001618 от 16.07.1999

[4]

Гигиенические нормативы
ГН 2.2.5.1313-03

Предельно допустимые концентрации (ПДК) вредных веществ в воздухе рабочей зоны. Утверждены Постановлением Главного государственного санитарного врача Российской Федерации 30.04.2003 N 76. М.: "СТК Аякс", 2003. - 268 с.

[5]

Санитарные правила и нормы 
СанПиН 2.2.2.1327-03 

Гигиенические требования к организации технологических процессов, производственному оборудованию и рабочему инструменту

[6]

Правила пожарной безопасности 
ППБ 01-03*

Правила пожарной безопасности в Российской Федерации

________________
* На территории Российской Федерации документ не действует. Действуют Правила противопожарного режима в Российской Федерации. - Примечание изготовителя базы данных.

[7]

Гигиенические нормативы
ГН 2.1.6.1338-03

Предельно допустимые концентрации (ПДК) вредных веществ в атмосферном воздухе населенных мест. Утверждены Постановлением Главного государственного санитарного врача Российской Федерации 30.05.2003 N 114. М.: "СТК Аякс", 2003. - 84 с.

[8]

Гигиенические нормативы
ГН 2.1.5.1315-03

Предельно допустимые концентрации (ПДК) вредных веществ в воде водных объектов хозяйственно-питьевого и культурно-бытового водопользования. Утверждены Постановлением Главного государственного санитарного врача Российской Федерации 30.04.2003 N 78. М.: "СТК Аякс", 2004. - 154 с.

[9]

Нормативы качества воды водных объектов рыбохозяйственного назначения, в том числе нормативы предельно допустимых концентраций вредных веществ в водах водных объектов рыбохозяйственного назначения. Утв. Приказом Росрыболовства от 18.01.2010 N 20

[10]

Санитарные правила и нормы 
СанПин 2.1.6.1032-01

Гигиенические требования к обеспечению качества атмосферного воздуха населенных мест

[11]

Природоохранные нормативные документы федеративные 14.1:2.111-97* Методика выполнения измерений массовой концентрации хлорид-ионов в пробах природных и очищенных сточных вод меркуриметрическим методом

[12]

Санитарные правила и нормы 
СанПиН 2.1.7.1322-03

Гигиенические требования к размещению и обезвреживанию отходов производства и потребления

[13]

N 01.00225/7-11 Свидетельство об аттестации методики измерений. Методика измерения массовой доли активного хлора в хлорной извести методом йодометрического титрования. ФГУП ВНИИМС. 28.01.2011

[14]

Правила перевозки опасных грузов автомобильным транспортом* (в редакции с изменениями от 11 июня, 14 октября 1999 г.). Утверждены Минтрансом РФ от 8 августа 1995 г. N 73

________________
* На территории Российской Федерации документ не действует. Действует Правила перевозок грузов автомобильным транспортом. - Примечание изготовителя базы данных.



официальное издание
М.: Стандартинформ, 2012