Азотная кислота концентрированная ГОСТ 701-89
Азотная кислота концентрированная. Технические условия ГОСТ 701-89
ГОСТ 701-89
Группа Л12
ГОСУДАРСТВЕННЫЙ СТАНДАРТ СОЮЗА ССР
КИСЛОТА АЗОТНАЯ КОНЦЕНТРИРОВАННАЯ
Технические условия
Concentrated nitric acid.
Specifications
ОКП 21 2131
Срок действия с 01.01.91
до 01.01.96*
________________
* Ограничение срока действия снято
по протоколу N 5-94 Межгосударственного Совета
по стандартизации, метрологии и сертификации.
(ИУС N 11-12, 1994 г.).
ИНФОРМАЦИОННЫЕ ДАННЫЕ
1. РАЗРАБОТАН И ВНЕСЕН Министерством по производству минеральных удобрений СССР
ИСПОЛНИТЕЛИ
Ю.И.Карцовник; А.Л.Вильдт, канд. хим. наук (руководитель темы); А.Б.Шестозуб, канд. техн. наук; Л.И.Домашенко (руководитель темы); Д.М.Фишбейн
2. УТВЕРЖДЕН И ВВЕДЕН В ДЕЙСТВИЕ Постановлением Государственного комитета СССР по стандартам от 29.06.89 N 2238
3. Срок первой проверки - 1994 г.
Периодичность проверки - 5 лет
4. ВЗАМЕН ГОСТ 701-78
5. ССЫЛОЧНЫЕ НОРМАТИВНО-ТЕХНИЧЕСКИЕ ДОКУМЕНТЫ
|
Обозначение НТД, на который дана ссылка |
Номер пункта, подпункта |
|
ГОСТ 12.1.005-88 |
1.2.3.5 |
|
ГОСТ 12.1.007-76 |
1.2.3.5 |
|
ГОСТ 12.1.044-84 |
1.2.3.1 |
|
ГОСТ 12.4.121-83 |
1.2.3.7 |
|
ГОСТ 1625-75 |
3.3.1 |
|
ГОСТ 1770-74 |
3.4.1 |
|
3.1.1 |
|
|
3.4.1 |
|
|
3.4.1 |
|
|
3.2.1, 3.3.1 |
|
|
ГОСТ 4919.1-77 |
3.2.1, 3.3.1 |
|
ГОСТ 5072-79 |
3.4.1 |
|
3.4.1 |
|
|
ГОСТ 6563-75 |
3.5.1 |
|
3.2.1, 3.3.1, 3.4.1 |
|
|
ГОСТ 6859-72 |
3.2.1, 3.3.1, 3.4.1 |
|
ГОСТ 7328-82 |
3.2.1, 3.3.1, 3.4.1, 3.5.1 |
|
ГОСТ 9147-80 |
3.5.1 |
|
ГОСТ 13874-83 |
3.5.2 |
|
ГОСТ 14192-77 |
1.3.1 |
|
3.2.1, 3.3.1 |
|
|
ГОСТ 19433-88 |
1.3.1, 1.3.3, 2.1 |
|
ГОСТ 19908-80 |
3.5.1 |
|
ГОСТ 20292-74 |
3.2.1, 3.3.1, 3.4.1, 3.5.1 |
|
3.4.1 |
|
|
ГОСТ 24104-88 |
3.2.1, 3.3.1, 3.4.1, 3.5.1 |
|
ГОСТ 25336-82 |
3.2.1, 3.3.1, 3.4.1, 3.5.1 |
|
ГОСТ 25794.1-83 |
3.2.1, 3.3.1 |
|
ГОСТ 25794.2-83 |
3.4.1 |
|
ГОСТ 26964-86 |
2.2 |
|
ГОСТ 27025-86 |
3.5.2 |
Настоящий стандарт распространяется на концентрированную азотную кислоту, получаемую методом прямого синтеза, через кислоту сверхазеотропной (промежуточной) концентрации, методом концентрирования разбавленной азотной кислоты, полученной из аммиака или денитрацией отработанных кислот с применением водоотнимающих средств (серной кислоты и нитрата магния).
Настоящий стандарт устанавливает требования к концентрированном азотной кислоте, изготовляемой для нужд народного хозяйства и экспорта.
Формула: HNO3
Относительная молекулярная масса (по международным относительным атомным массам 1985 г.) - 63,0128.
1. ТЕХНИЧЕСКИЕ ТРЕБОВАНИЯ
1.1. Концентрированная Азотная кислота должна быть изготовлена в соответствии с требованиями настоящего стандарта по технологическому регламенту, утвержденному в установленном порядке.
1 2. Характеристики
1 2.1. Концентрированная Азотная кислота выпускается двух марок - А и Б.
Азотная кислота марки А применяется в производстве изделий электронной и радиоэлектронной промышленности, в процессах нитрования органических соединений, в производстве взрывчатых веществ, при химической обработке металлов, в медицинской промышленности, в производстве пластмасс и для других целей.
Азотная кислота марки Б применяется для гальванических работ, в производстве химических реактивов, для растворения примесей промышленных продуктов, в процессах нитрования органических соединений, в производстве взрывчатых веществ и для других целей.
1.2.2. По физико-химическим показателям концентрированная Азотная кислота должна соответствовать нормам, указанным в таблице.
Примечания:
1. Нормы по показателям 1 и 3 установлены на момент отгрузки. Изменение массовой доли азотной кислоты и оксидов азота происходит во времени в зависимости от температуры (см. приложение 2).
2. Для азотной кислоты марки Б, получаемой прямым синтезом (являющейся побочным продуктом) и методом регенерирования отработанных кислот, а также в других случаях по согласованию с потребителем допускается массовая доля азотной кислоты не менее 97,0%.
3. Нормы серной кислоты даны для азотной кислоты, получаемой методом концентрирования с серной кислотой. В азотной кислоте, получаемой методом прямого синтеза, Серная кислота должна отсутствовать.
1.2.3. Требования безопасности
1.2.3.1. Концентрированная Азотная кислота - негорючая пожароопасная жидкость по ГОСТ 12.1.044, сильный окислитель. При контакте со многими материалами вызывает их самовозгорание, сильно дымит на воздухе, выделяя оксиды азота и пары азотной кислоты, которые образуют с влагой воздуха туман, неограниченно растворяется в воде. Пары азотной кислоты в 2,2 раза тяжелее воздуха.
1.2.3.2. При попадании на кожу концентрированная Азотная кислота вызывает тяжелые ожоги.
1.2.3.4. Пары азотной кислоты и оксидов азота раздражают верхние дыхательные пути, вызывают конъюнктивиты и поражают роговицы глаз.
1.2.3.5. Концентрированная Азотная кислота и оксиды азота по токсичности относятся к умеренно опасным веществам (3-й класс опасности по ГОСТ 12.1.007). Предельно допустимая концентрация (ПДК) паров азотной кислоты и оксидов азота в воздухе рабочей зоны производственных помещений - 2 мг/м3 по ГОСТ 12.1.005.
1.2.3.6. Помещения, в которых проводят работы с концентрированной азотной кислотой, должны быть оборудованы приточно-вытяжной вентиляцией.
1.2.3.7. Средствами индивидуальной защиты являются фильтрующий противогаз с коробкой марок В, М, БКФ с фильтром для защиты от тумана азотной кислоты по ГОСТ 12.4.121, защитные очки с резиновой полумаской или защитный щиток из оргстекла, или шлем от противогаза, резиновые кислотозащитные перчатки, специальная кислотозащитная одежда в соответствии с типовыми отраслевыми нормами, утвержденными в установленном порядке.
1.2.3.8. Средствами тушения очага воспламенения являются азот, диоксид углерода, сухой песок, огнетушитель типа ОП.
1.2.4. Охрана природы
1.2.4.1. При производстве концентрированной азотной кислоты методом прямого синтеза и через кислоту промежуточной концентрации оксиды азота в отходящих газах очищаются до санитарных норм каталитическими методами очистки. При производстве концентрированной азотной кислоты нитратмагниевым способом шлам, образующийся при получении нитрата магния, представляет собой индифферентное вещество, которое вывозится в отвал.
1.3. Маркировка
1.3.1. Транспортная маркировка - по ГОСТ 14192. По классификации опасных грузов концентрированная Азотная кислота относится к классу 8, подклассу 8.1 по ГОСТ 19433(классификационный шифр 8121, серийный номер ООН 2031).
1.3.2. Специальные трафареты "Опасно", "Азотная кислота", а также трафарет приписки наносят на цистерны в соответствии с правилами перевозки грузов, действующими на железнодорожном транспорте.
1.3.3. На бочки наносят информационные надписи "Опасно", "Азотная кислота", а также знаки опасности по ГОСТ 19433.
1.4. Упаковка
1.4.1. Концентрированную азотную кислоту заливают в специальные цистерны грузоотправителя (грузополучателя), изготовленные из алюминия, в алюминиевые бочки, изготовленные по технической документации, утвержденной в установленном порядке.
1.4.2. При отгрузке концентрированной азотной кислоты в железнодорожных цистернах цистерны заполняют на уровне 90% по объему (с учетом требований емкости для сильнодействующих ядовитых веществ).
1.4.3. Наливные люки цистерн и горловины бочек должны быть тщательно герметизированы прокладками из материала, стойкого к концентрированной азотной кислоте (фторопластовые).
1.4.4. Перед заполнением цистерн при наличии в них остатка более 10 см должен быть проведен анализ на соответствие его требованиям настоящего стандарта. Если остаток не соответствует требованиям настоящего стандарта, то подготовку цистерн производят в соответствии с правилами перевозок грузов, действующими на железнодорожном транспорте.
2. ПРИЕМКА
2.1. Азотная кислота должна предъявляться к приемке партиями. Партией считают любое количество продукта, однородного по своим качественным показателям, оформленное одним документом о качестве.
При отгрузке продукта в цистернах каждую цистерну считают за партию, при транспортировании по трубопроводу партией считают количество продукта, содержащегося в хранилище вместимостью не более 100 м3, оформленное одним документом о качестве.
Документ о качестве должен содержать:
наименование предприятия-изготовителя и его товарный знак;
наименование продукта и его марку, способ изготовления (прямой синтез, через кислоту промежуточной концентрации метод концентрирования - сернокислотный или нитратмагниевый);
номер партии, дату изготовления;
классификационный шифр по ГОСТ 19433;
надписи "Ядовито", "Окислитель";
количество бочек;
массу нетто;
результаты проведенных анализов или подтверждение соответствия продукта требованиям настоящего стандарта;
обозначение настоящего стандарта.
2.2. Приемосдаточные испытания азотной кислоты проводят по ГОСТ 26964.
Для контроля качества азотной кислоты пробы отбирают от каждой цистерны или хранилища, или от 5% бочек, но не менее чем от трех при партиях менее 30 бочек.
2.3. При получении неудовлетворительных результатов анализа хотя бы по одному из показателей проводят повторный анализ от удвоенной выборки. Результаты повторного анализа распространяются на всю партию.
3. МЕТОДЫ АНАЛИЗА
3.1. Отбор проб
3.1.1. Точечные пробы азотной кислоты из цистерны или хранилища отбирают через люк алюминиевым пробоотборником, представляющим собой цилиндр с узким горлом или узкой щелью в крышке. Пробоотборник медленно опускают на всю глубину цистерны (хранилища), отбирая пробы со всех слоев продукта по высоте цистерны (хранилища).
Допускается изготовление пробоотборного устройства из стали ЭИ 654 или ЭП 794. Для изготовления пробоотборного устройства можно использовать ГОСТ 2184.
Точечные пробы азотной кислоты из бочек отбирают алюминиевой трубкой, опуская ее на всю глубину бочки.
3.1.2. Объединенную пробу получают смешением одинаковых объемов точечных проб.
Из тщательно перемешанной объединенной пробы отбирают среднюю пробу объемом не менее 0,25 дм3.
3.1.3. Отобранную среднюю пробу помещают в сухую кислостостойкую стеклянную или фторопластовую банку вместимостью до 0,5 дм3 с герметично закрывающейся крышкой. На банку наклеивают этикетку или прикрепляют бирку с обозначениями наименования продукта, номера партии и даты отбора пробы.
3.1.4. Для контроля качества азотной кислоты допускается применение других метрологически аттестованных методик при условии, что суммарная погрешность результатов измерений и расхождения между результатами параллельных определений не будут превышать соответствующие параметры, указанные в настоящем стандарте.
Допускается применение импортной лабораторной посуды по классу точности и реактивов по качеству не ниже указанных в стандарте.
При разногласиях в оценке нормы анализ проводят по методикам, приведенным в настоящем стандарте.
3.2. Определение массовой доли азотной кислоты
3.2.1. Аппаратура, реактивы и растворы
Весы лабораторные общего назначения по ГОСТ 24104 2-го класса точности с наибольшим пределом взвешивания 200 г и ценой наименьшего деления 1·10-4 г или другие с аналогичной метрологической характеристикой.
Меры массы общего назначения Г-2-210 по ГОСТ 7328 2-го класса точности.
Прибор 3-1(2) по ГОСТ 6859 (пипетка Лунге-Рея) или ампулы стеклянные лабораторного изготовления, шарикообразные одно- или двухрожковые капиллярные.
Стеклянная толстостенная банка с притертой пробкой вместимостью 250-500 см3.
Горелка газовая или спиртовка СЛ-1 (СЛ-2) по ГОСТ 25336.
Колба Кн-1-250-19 (26 ТС или Кн-1-250-24)29 ТС по ГОСТ 25336.
Бюретка 1(3)-2-50-0,1 по ГОСТ 20292.
Натрия гидроксид по ГОСТ 4328, раствор молярной концентрации c(NaOH)=1 моль/дм3, готовят по ГОСТ 25794.1; точную концентрацию раствора устанавливают по серной кислоте, серной кислоты - по углекислому натрию.
Спирт этиловый ректификованный технический по ГОСТ 18300 высшего сорта.
Метиловый красный (индикатор), спиртовой раствор с массовой долей 0,1%, готовят по ГОСТ 4919.1.
Вода дистиллированная по ГОСТ 6709.
3.2.2. Проведение анализа
Навеску азотной кислоты массой (2,4000±0,6000) г взвешивают в пипетке Лунге-Рея или в стеклянной ампуле. Результаты взвешивания в граммах записывают до четвертого десятичного знака.
Для уменьшения термического разложения кислоты допускается применение двухрожковых ампул (см. приложение 1).
Навеску переносят в коническую колбу или стеклянную банку с притертой пробкой, содержащую 100-150 см3 воды. При взятии навески ампулой последнюю разбивают сильным встряхиванием банки, в которую заранее помещают кусочки битого стекла, и продолжают встряхивать до полного поглощения тумана водой. Кусочки капилляра ампулы раздавливают стеклянной палочкой. Пробку, горло банки и стеклянную палочку ополаскивают водой в ту же банку. Затем в колбу или банку прибавляют 2-3 капли индикатора и содержимое титруют раствором гидроксида натрия до перехода красной окраски раствора в желтую (допускается применение смешанного индикатора, приготовленного в соответствии с п.3.3.1).
3.2.3. Обработка результатов
Массовую долю азотной кислоты (X) в процентах вычисляют по формуле
где V - объем раствора гидроксида натрия молярной концентрации c(NaOH)=1 моль/дм3, израсходованный на титрование, см3;
K - коэффициент поправки для приведения молярной концентрации раствора гидроксида натрия точно к c(NaOH)=1 моль/дм3;
0,06301 - масса азотной кислоты, соответствующая 1 см3 раствора гидроксида натрия молярной концентрации точно c(NaOH)=1 моль/дм3, г;
X1 - массовая доля серной кислоты (п.3.3), %;
1,285 - коэффициент пересчета молекулярной массы серной кислоты на молекулярную массу азотной кислоты;
X2 - массовая доля оксидов азота (п.3.4), %;
1,370 - коэффициент пересчета молекулярной массы оксидов азота (N2O4) на молекулярную массу азотной кислоты;
m - масса навески, г.
За результат анализа принимают среднее арифметическое результатов двух параллельных определений, абсолютное расхождение между которыми не превышает допускаемое расхождение, равное 0,2%.
Допускаемая абсолютная суммарная погрешность результата анализа ±0,3% при доверительной вероятности P=0,95.
3.3. Определение массовой доли серной кислоты
Метод основан на нейтрализации серной кислоты раствором гидроксида натрия.
3.3.1. Аппаратура, реактивы и растворы
Весы лабораторные общего назначения по ГОСТ 24104 2-го или 3-го классов точности с наибольшим пределом взвешивания 200 г и ценой наименьшего деления 1·10-2 г или другие с аналогичной метрологической характеристикой.
Меры массы общего назначения и образцовые Г-2-210 по ГОСТ 7328 2-го класса точности.
Прибор 3-1(2) по ГОСТ 6859 (пипетка Лунге-Рея) или стаканчик СВ-19/9 по ГОСТ 25336.
Стакан Н-1-250 ТХС по ГОСТ 25336.
Баня водяная (паровая).
Бюретка 2(3)-2-2 или 6-2-2 по ГОСТ 20292.
Натрия гидроксид по ГОСТ 4328, раствор молярной концентрации c(NaOH)=0,1 моль/дм3, готовят по ГОСТ 25794.1; точную концентрацию раствора устанавливают по серной кислоте, серной кислоты - по углекислому натрию.
Спирт этиловый ректификованный технический по ГОСТ 18300 высшего сорта.
Смешанный индикатор 1, спиртовый раствор метилового красного и метиленового голубого, готовят по ГОСТ 4919.1, или смешанный индикатор 2, спиртовый раствор бромкрезолового зеленого (синего) и ализаринового красного С, готовят по ГОСТ 4919.1 и смешивают в соотношении 1:1.
формалин технический по ГОСТ 1625, раствор с массовой долей 25%.
Вода дистиллированная по ГОСТ 6709.
3.3.2. Проведение анализа
Навеску азотной кислоты массой (10,00±2,00) г взвешивают в пипетке Лунге-Рея или в стаканчике (результаты взвешивания в граммах записывают до второго десятичного знака), переносят в стакан и упаривают на водяной (паровой) бане до получения маслянистого остатка. Для проверки полноты удаления азотной кислоты к остатку прибавляют по каплям раствор формалина до полного прекращения выделения бурых паров. После охлаждения к остатку в стакане прибавляют 20-25 см3 воды, две капли индикатора и титруют раствором гидроксида натрия до появления зеленой (с индикатором 1) или синей (с индикатором 2) окраски.
3.3.3. Обработка результатов
Массовую долю серной кислоты (X1) в процентах вычисляют по формуле
где V - объем раствора гидроксида натрия молярной концентрации c(NaOH)=0,1 моль/дм3, израсходованный на титрование, см3;
K - коэффициент поправки для приведения молярной концентрации раствора гидроксида натрия точно к c(NaOH)=0,1 моль/дм3;
0,0049 - масса серной кислоты, соответствующая 1 см3 раствора гидроксида натрия молярной концентрации точно к c(NaOH)=0,1 моль/дм3, г;
m - масса навески, г.
За результат анализа принимают среднее арифметическое результатов двух параллельных определений, абсолютное расхождение между которыми не превышает допускаемое расхождение, равное 0,006%.
Допускаемая абсолютная суммарная погрешность результата анализа ±0,003% при доверительной вероятности P=0,95.
3.4. Определение массовой доли оксидов азота
Метод основан на окислении оксидов азота марганцовокислым калием с последующим титрованием его избытка сернокислым железом (II).
3.4.1. Аппаратура, реактивы и растворы
Весы лабораторные общего назначения по ГОСТ 24104 2-го класса точности с наибольшим пределом взвешивания 200 г и ценой наименьшего деления 1·10-4 г или другие с аналогичной метрологической характеристикой.
Меры массы общего назначения и образцовые Г-2-210 по ГОСТ 7328 2-го класса точности.
Колба 2-1000-1(2) по ГОСТ 1770.
Бюретка 1 (2)-2-25-0,05 по ГОСТ 20292.
Прибор 1 с дозатором номинальной вместимостью 10 см3 или прибор 3-1(2) по ГОСТ 6859(пипетка Лунге-Рея), или ампула стеклянная одно- или двухрожковая.
Секундомер механический по ГОСТ 5072 с ценой деления 0,2 с.
Спиртовка Сл-1 (Сл-2) по ГОСТ 25336 или горелка газовая.
Колба Кн-1-250-29/32 ТС по ГОСТ 25336.
Пипетка 6-1(2)-5 и 2-1 (2)-20 по ГОСТ 20292.
Цилиндр 1(3)-100 по ГОСТ 1770.
Кислота серная по ГОСТ 4204, разбавленная в соотношении 1: 4 (по объему).
Калий марганцовокислый по ГОСТ 20490, раствор молярной концентрации c(1/5KMnO4)=0,1 моль/дм3, приготовленный по ГОСТ 25794.2; точную концентрацию раствора устанавливают по серноватистокислому натрию.
Вода дистиллированная по ГОСТ 6709.
Кислота ортофосфорная по ГОСТ 6552.
Железо (II) сернокислое 7-водное по ГОСТ 4148, раствор молярной концентрации c(1/2FeSO4·7H2O)=0,1 моль/дм3, готовят следующим образом: 28,00 г сернокислого железа (II) растворяют в 400 см3 серной кислоты в мерной колбе вместимостью 1 дм3, доводят объем раствора водой до метки и перемешивают. Коэффициент поправки приготовленного раствора устанавливают по марганцовокислому калию следующим образом: в коническую колбу отбирают пипеткой 20 см3 раствора сернокислого железа (II), приливают 3 см3 ортофосфорной кислоты, которая связывает ионы Fе3+ в бесцветный комплекс, что способствует более четкому переходу окраски в точке эквивалентности, и титруют раствором марганцовокислого калия до розовой окраски, не исчезающей в течение 30 с. Коэффициент поправки раствора (K1) вычисляют в соответствии с требованиями ГОСТ 25794.1 по формуле
где V - объем раствора марганцовокислого калия молярной концентрации c(1/5KMnO4)=0,1 моль/дм3, израсходованный на титрование, см3;
K - коэффициент поправки для приведения молярной концентрации раствора марганцовокислого калия точно к c(1/5KMnO4)=0,1 моль/дм3;
20 - объем раствора сернокислого железа (II) молярной концентрации c(1/2FeSO4·7H2O)=0,1 моль/дм3, израсходованный на титрование, см3.
Коэффициент поправки проверяют в день проведения анализа.
3.4.2. Проведение анализа
Навеску азотной кислоты массой (5,0000±1,0000) г взвешивают в ампуле или в пипетке Лунге-Рея (результаты взвешивания в граммах записывают до четвертого десятичного знака), переносят в коническую колбу пли банку с притертой пробкой (при взятии навески ампулой), в которые предварительно помещены 10 см3 марганцовокислого калия, 10 см3 раствора серной кислоты и 100-150 см3 воды. При взятии навески ампулой ее разбивают, раствор тщательно перемешивают, следя за тем, чтобы поглотились все оксиды азота. Затем титруют раствором сернокислого железа (II) до обесцвечивания, после чего прибавляют избыток (2-3 см3) сернокислого железа (II), который оттитровывают тем же раствором марганцовокислого калия до розовой окраски.
3.4.3. Обработка результатов
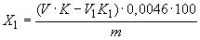
Массовую долю оксидов азота (X2) в процентах вычисляют по формуле
где V - суммарный объем раствора марганцовокислого калия молярной концентрации c(1/5KMnO4)=0,1 моль/дм3, взятый для анализа, см3;
V1 - суммарный объем раствора сернокислого железа (II) молярной концентрации c(1/2FeSO4·7H2O)=0,1 моль/дм3, израсходованный на титрование, см3;
0,0046 - масса оксидов азота, соответствующая 1 см3 раствора марганцовокислого калия молярной концентрации точно c(1/5KMnO4)=0,1 моль/дм3, г;
K - коэффициент поправки для приведения молярной концентрации раствора марганцовокислого калия точно к c(1/5KMnO4)=0,1 моль/дм3;
K1 - коэффициент поправки для приведения молярной концентрации раствора сернокислого железа (II) точно к c(1/2FeSO4·7H2O)=0,1 моль/дм3;
m - масса навески, г.
За результат анализа принимают среднее арифметическое результатов двух параллельных определений, абсолютное расхождение между которыми не превышает допускаемое расхождение, равное 0,04%.
Допускаемая абсолютная суммарная погрешность результатов анализа ±0,02% при доверительной вероятности P=0,95.
3.5. Определение массовой доли остатка после прокаливания
Метод основан на изменении массы навески в результате ее упаривания и прокаливания.
3.5.1. Аппаратура
Весы лабораторные общего назначения по ГОСТ 24104 2-го класса точности с наибольшим пределом взвешивания 200 г и ценой наименьшего деления 1·10-4 г или другие с аналогичной метрологической характеристикой (допускается взвешивать навески на весах 3-го, 4-го классов).
Меры массы общего назначения и образцовые Г-2-210 по ГОСТ 7328 2-го класса точности.
Стаканчик СВ 24/10 по ГОСТ 25336.
Пипетка 2(3)-2-20 по ГОСТ 20292.
Эксикатор по ГОСТ 25336.
Баня водяная (паровая) и песчаная.
Тигель по ГОСТ 19908 или ГОСТ 9147, или ГОСТ 6563 или чашка выпарительная по ГОСТ 9147, или по ГОСТ 6563.
Печь электрическая с терморегулятором, обеспечивающим температуру нагрева (820±20) °С.
3.5 2. Проведение анализа
Навеску азотной кислоты массой (30,00+2,00) г взвешивают в стаканчике (результаты взвешивания в граммах записывают до второго десятичного знака) или берут 20 см3 и переносят в предварительно прокаленный до постоянной массы при (820+20) °С и охлажденный в эксикаторе тигель. Анализируемую пробу выпаривают досуха (не допуская разбрызгивания) вначале на водяной (паровой), а затем на песчаной бане до образования сухих остатков. Выпаривание можно проводить под зеркальной лампой накаливания по ГОСТ 13874. Во время выпаривания во избежание попадания посторонних веществ извне над тиглем помещают стеклянную воронку. Затем остаток прокаливают в электрической печи до постоянной массы при (820±20) °С. Условия достижения постоянной массы - по ГОСТ 27025, разд.4. После прокаливания тигель с остатком охлаждают в эксикаторе и взвешивают. Результаты взвешивания пустого тигля и тигля с остатком в граммах записывают до четвертого десятичного знака.
3.5.3. Обработка результатов
Массовую долю остатка после прокаливания (X3) в процентах вычисляют по формуле
где m1 - масса тигля с остатком после прокаливания, г;
m2 - масса пустого тигля, г;
m - масса навески, г.
За результат анализа принимают среднее арифметическое результатов двух параллельных определений, абсолютное расхождение между которыми не превышает допускаемое расхождение, равное 0,002%.
Допускаемая абсолютная суммарная погрешность результатов анализа ±0,0014% при доверительной вероятности P=0,95.
3.6. Результаты анализа массовых долей азотной кислоты и оксидов азота округляют до десятых долей, серной кислоты - до сотых долей, остатка после прокаливания - до тысячных долей.
4. ТРАНСПОРТИРОВАНИЕ И ХРАНЕНИЕ
4.1. Азотную кислоту в соответствии с правилами перевозки грузов транспортируют:
железнодорожным транспортом в специальных цистернах из алюминия;
автомобильным транспортом в алюминиевых бочках, а также по трубопроводу, изготовленному из алюминия марки А 85 или стали марок ЭИ 654, ЭП 794.
4.2. Азотную кислоту хранят в алюминиевых или стальных (ЭИ 654, ЭП 794) емкостях.
ПРИЛОЖЕНИЕ 1 (обязательное). УСТРОЙСТВО ДВУХРОЖКОВЫХ АМПУЛ И СПОСОБ ИХ ЗАПОЛНЕНИЯ
ПРИЛОЖЕНИЕ 1
Обязательное
Двухрожковая ампула представляет собой ампулу вместимостью 6-7 см3 с двумя капиллярными рожками, расположенными под углом друг к другу, со специальным устройством (см. черт.1) для ее заполнения.
Черт.1
Устройство для отбора проб агрессивных сред
1 - колба с кислотой; 2, 4 - капиллярные концы ампулы; 3 - ампула; 5 - фторопластовый мундштук; 6 - стеклянный индикатор; 7 - гибкий шланг; 8 - вентиль; 9 - резиновая груша
Черт.1
Капиллярным концом 2 ампулу опускают в колбу 1 с азотной кислотой. Второй капиллярный конец 4 ампулы вставляют в отверстие фторопластового мундштука 5, соединенного гибкой линией с устройством для создания разрежения (резиновая груша 9) через вентиль 8 и стеклянный индикатор 6.
Плавно открывают вентиль 8, создают разрежение в ампуле 3, вследствие чего Азотная кислота заполняет ее. Закрывают вентиль, поднимают ампулу, переворачивают капиллярными концами вверх, вынимают из мундштука и запаивают ее концы на горелке.
Для удобства грушу 9 закрепляют на стенке вытяжного шкафа, в котором выполняют работу.
Ампулу заполняют азотной кислотой на 1/2 ее вместимости.
ПРИЛОЖЕНИЕ 2 (справочное)
ПРИЛОЖЕНИЕ 2
Справочное
Черт.2
Графоаналитическая зависимость разложения
азотной кислоты с массовой долей 97-99% от температуры (t, °C) и времени (, сут) в виде прироста массовой доли тетраоксида азота в кислоте (
%N2O4, %)
Черт.3
Графическая зависимость изменения концентрации HNO3 (98,2%)
от температуры
Черт.3
Черт.4
Графическая зависимость изменения концентрации HNO3 (98,2%)
от температуры
Черт.4
официальное издание
М.: Издательство стандартов, 1989
; 
