Новости Нефтегазовая пром.
Выставки Наука и технология


Серная кислота особой чистоты ГОСТ 14262-78

Серная кислота особой чистоты. Технические условия (с Изменениями N 1, 2) ГОСТ 14262-78


ГОСТ 14262-78

Группа Л54

     
МЕЖГОСУДАРСТВЕННЫЙ СТАНДАРТ


КИСЛОТА СЕРНАЯ ОСОБОЙ ЧИСТОТЫ

Технические условия

Super pure sulphuric acid. Specifications



МКС 71.040.30
ОКП 26 1212 0004

Дата введения 1979-01-01
в части марки ОС.Ч. 20-4 1980-01-01

     
ИНФОРМАЦИОННЫЕ ДАННЫЕ

1. РАЗРАБОТАН И ВНЕСЕН Министерством химической промышленности СССР

2. УТВЕРЖДЕН И ВВЕДЕН В ДЕЙСТВИЕ Постановлением Государственного комитета стандартов Совета Министров СССР от 16.01.78 N 80

3. ВЗАМЕН ГОСТ 14262-69

4. ССЫЛОЧНЫЕ НОРМАТИВНО-ТЕХНИЧЕСКИЕ ДОКУМЕНТЫ

Обозначение НТД, на который дана ссылка

Номер пункта, подпункта

ГОСТ 83-79

3.14.1

ГОСТ 84-76

3.14.1

ГОСТ 195-77

3.14.1

ГОСТ 1027-67

3.9.1

ГОСТ 1277-75

3.13.1

ГОСТ 1770-74

3.3.1, 3.4, 3.9.1, 3.10.1, 3.11.1, 3.13.1, 3.14.1, 3.15.1, 3.16.1

ГОСТ 2062-77

3.15.1

ГОСТ 3118-77

3.9.1, 3.11.1, 3.12.1

ГОСТ 3760-79

3.11.1

ГОСТ 3765-78

3.9.1

ГОСТ 3773-72

3.14.1

ГОСТ 3885-73-->ГОСТ 3885-73

2.1, 3.1, 4.1

ГОСТ 4159-79

3.9.1

ГОСТ 4160-74

3.14.1

ГОСТ 4201-79

3.9.1

ГОСТ 4204-77

3.9.1, 3.9.3.2, 3.15.1

ГОСТ 4212-76

3.9.1, 3.11.1, 3.13.1, 3.14.1, 3.15.1, 3.16.1

ГОСТ 4217-77

3.9.1, 3.10.1

ГОСТ 4232-74

3.9.1, 3.15.1

ГОСТ 4328-77

3.3.1, 3.16.1

ГОСТ 4331-78

3.14.1

ГОСТ 4461-77

3.15.1

ГОСТ 4467-79

3.14.1

ГОСТ 4517-87

3.5, 3.13.1

ГОСТ 4919.1-77

3.3.1

ГОСТ 4919.2-77

3.16.1

ГОСТ 5556-81

3.14.1

ГОСТ 5955-75

3.15.1

ГОСТ 6563-75

3.15.1

ГОСТ 6709-72-->ГОСТ 6709-72

3.2, 3.3.1, 3.9.1, 3.10.1, 3.11.1, 3.13.1, 3.15.1, 3.16.1

ГОСТ 9293-74

3.15.1

ГОСТ 10216-75

3.14.1

ГОСТ 10262-73

3.14.1

ГОСТ 10652-73

3.16.1

ГОСТ 11120-75

3.14.1

ГОСТ 11125-84

3.13.1

ГОСТ 14261-77

3.16.1

ГОСТ 16539-79

3.14.1

ГОСТ 18300-87

3.14.1, 3.16.1

ГОСТ 19433-81

4.1

ГОСТ 19627-74

3.14.1

ГОСТ 19908-90

3.4, 3.10.1, 3.14.1, 3.16.1

ГОСТ 23463-79

3.14.1

ГОСТ 24104-88

3.1а

ГОСТ 24147-80

3.16.1

ГОСТ 24245-80

3.5

ГОСТ 25336-82

3.2, 3.3.1, 3.5, 3.9.1, 3.10.1, 3.11.1, 3.13.1, 3.15.1

ГОСТ 25664-83

3.14.1

ГОСТ 25794.1-83

3.3.1, 3.16.1

ГОСТ 25794.2-83

3.9.1

ГОСТ 27025-86

3.1а

ГОСТ 27068-86

3.14.1

5. Ограничение срока действия снято по протоколу N 5-94 Межгосударственного совета по стандартизации, метрологии и сертификации (ИУС N 11-12-94).

6. ИЗДАНИЕ (декабрь 2002 г.) с Изменениями N 1, 2, утвержденными в октябре 1983 г., июне 1988 г. (ИУС 1-84, 11-88)

Настоящий стандарт распространяется на серную кислоту особой чистоты, которая представляет собой бесцветную прозрачную маслянистую жидкость.

Формула H2SO4

Молекулярная масса (по международным атомным массам 1971 г.) - 98,07.

(Измененная редакция, Изм. N 2).

1. ТЕХНИЧЕСКИЕ ТРЕБОВАНИЯ

1.1. Серная кислота должна быть изготовлена в соответствии с требованиями настоящего стандарта по технологическому регламенту, утвержденному в установленном порядке.

1.2. Серная кислота особой чистоты должна выпускаться плотностью около 1,83 г/см3.

1.3. По химическим показателям Серная кислота особой чистоты должна соответствовать нормам, указанным в табл.1.

Таблица 1

Наименование показателя

Норма для марки

ос.ч. 11-5 
ОКП 26 1212 0044 08

ос.ч. 5-5
ОКП 26 1212 0034 10

1. Внешний вид

Испытание по п.3.2

2. Массовая доля серной кислоты (H2SO4), %

93,5-95,6

93,5-95,6

3. Массовая доля остатка после прокаливания, %, не более

5·10-4

5·10-4

4. Массовая доля аммония (NH4), %, не более

1·10-4

1·10-4

5. Массовая доля алюминия (Al), %, не более

5·10-6

Не нормируется

6. Массовая доля висмута (Bi), %, не более

1·10-6

Не нормируется

7. Массовая доля железа (Fe), %, не более

3·10-6

1·10-5

8. Массовая доля кадмия (Cd), %, не более

2·10-6

Не нормируется

9. Массовая доля кобальта (Co), %, не более

1·10-6

Не нормируется

10. Массовая доля меди (Cu), %, не более

5·10-7

5·10-7

11. Массовая доля мышьяка (As), %, не более

1·10-6

1·10-6

12. Массовая доля никеля (Ni), %, не более

5·10-7

5·10-7

13. Массовая доля нитратов (NO3), %, не более

2·10-5

2·10-5

14. Массовая доля свинца (Pb), %, не более

5·10-6

1·10-5

15. Массовая доля селена (Se), %, не более

1·10-4

1·10-4

16. Массовая доля серебра (Ag), %, не более

1·10-6

Не нормируется

17. Массовая доля сурьмы (Sb), %, не более

1·10-5

1·10-5

18. Массовая доля хлоридов (Cl), %, не более

5·10-5

5·10-5

19. Массовая доля цинка (Zn), %, не более

5·10-6

Не нормируется


Примечание. При вычислении числа и суммы примесей для установления марок не учитывают показатели 3, 4, 11, 13, 15, 18 табл.1.

1.2; 1.3. (Измененная редакция, Изм. N 2).

2. ПРАВИЛА ПРИЕМКИ

2.1. Правила приемки - по ГОСТ 3885.

2.2. Массовые доли селена и сурьмы изготовитель определяет периодически в каждой 10-й партии.

(Измененная редакция, Изм. N 2).

3. МЕТОДЫ АНАЛИЗА

3.1а. Общие указания по проведению анализа - по ГОСТ 27025.

При взвешивании используют лабораторные весы по ГОСТ 24104* 2-го класса точности с наибольшим пределом взвешивания 200 г и 3-го класса точности с наибольшим пределом взвешивания 500 г или 1 кг.
__________________
* С 1 июля 2002 г. введен в действие ГОСТ 24104-2001.


Допускается применение импортной аппаратуры и посуды по классу точности и реактивов по качеству не ниже отечественных.

3.1. Пробы отбирают по ГОСТ 3885. Масса средней отобранной пробы должна быть не менее 1500 г.

(Измененная редакция, Изм. N 1, 2).

3.2. Определение внешнего вида

20 см3 препарата помещают в пробирку из бесцветного стекла диаметром 20 мм (по ГОСТ 25336) и сравнивают с 20 см3 дистиллированной воды (ГОСТ 6709), помещенными в такую же пробирку.

При наблюдении в проходящем свете препарат по прозрачности, цветности и наличию взвешенных частиц не должен отличаться от дистиллированной воды.

3.3. Определение массовой доли серной кислоты

3.3.1. Аппаратура, реактивы и растворы

Бюретка 1(2)-2-50-0,1 по НТД.

Колба Кн-2-500-34 ТХС по ГОСТ 25336.

Цилиндр 1(3)-250 по ГОСТ 1770.

Вода дистиллированная по ГОСТ 6709.

Метиловый оранжевый (индикатор), раствор с массовой долей 0,1%; готовят по ГОСТ 4919.1.

Смешанный индикатор (метиловый красный и метиленовый голубой); готовят по ГОСТ 4919.1.

Натрия гидроокись по ГОСТ 4328, раствор концентрации c(NaOH)=0,5 моль/дм3 (0,5 н.); готовят по ГОСТ 25794.1.

3.3.2. Проведение анализа

Около 1,0000 г препарата взвешивают в запаянной ампуле (или в пипетке Лунге) и помещают в колбу, содержащую 200 см3 воды. Ампулу разбивают стеклянной палочкой с плоским концом и содержимое колбы перемешивают. К раствору прибавляют 5 капель смешанного индикатора и титруют из бюретки раствором гидроокиси натрия до появления зеленой окраски.

3.3.3. Обработка результатов

Массовую долю серной кислоты (X) в процентах вычисляют по формуле где V - объем раствора гидроокиси натрия концентрации 0,5 моль/дм3, израсходованный на титрование, см3;
      K - коэффициент поправки раствора гидроокиси натрия концентрации 0,5 моль/дм3;

      0,02452 - масса серной кислоты, соответствующая 1 см3 раствора гидроокиси натрия концентрации 0,5 моль/дм3, г;

      m - масса навески препарата, г.

Допускается определять массовую долю серной кислоты в присутствии индикатора метилового оранжевого (до появления желтой окраски).

За результат анализа принимают среднее арифметическое результатов двух параллельных определений, абсолютное расхождение между которыми не превышает допускаемое расхождение, равное 0,2%.

Допускается абсолютная суммарная погрешность результата анализа ±0,4% при доверительной вероятности P=0,95.

3.4. Определение массовой доли остатка после прокаливания

90 см3 препарата (160 г), взятого по объему цилиндром (2(4)-100 по ГОСТ 1770) с погрешностью не более 1,0 см3, выпаривают в кварцевой чаше (ГОСТ 19908) вместимостью 100 см3, предварительно прокаленной при 600 °С до постоянной массы и взвешенной (результат взвешивания в граммах записывают с точностью до четвертого десятичного знака). Для этого чашу с половиной объема препарата помещают в плоскодонную кварцевую чашу значительно большего диаметра и ставят на электроплитку (мощностью 1200 Вт), покрытую алюминиевым листом.3

Над плиткой с чашей закрепляют перевернутую полиэтиленовую или стеклянную воронку большего диаметра (отверстие трубки воронки прикрывают колпачком из обеззоленного фильтра). Электроплитку включают и жидкость в чаше выпаривают до 1 см3, после этого прибавляют в чашу остальную часть препарата и выпаривают досуха. Чашу с сухим остатком покрывают перевернутой кварцевой чашей промежуточного диаметра и все три чаши помещают в муфельную печь.

Остаток прокаливают при 600 °С до постоянной массы (взвешивают чашу с прокаленным остатком анализируемого препарата).

Препарат считают соответствующим требованиям настоящего стандарта, если масса прокаленного остатка не будет превышать 0,8 мг.

За результат анализа принимают среднее арифметическое результатов двух параллельных определений, относительное расхождение между которыми не превышает допускаемое расхождение, равное 40%.

Допускаемая относительная суммарная погрешность результата анализа ±30% при доверительной вероятности P=0,95.

3.5. Определение массовой доли аммония

Определение проводят по ГОСТ 24245. При этом 5,4 см3 препарата (10 г), взятого пипеткой (6(7)-2-10 по НТД) с погрешностью не более 0,1 см3, осторожно помещают в коническую колбу (ГОСТ 25336) вместимостью 100 см3 с меткой на 50 см3, содержащую 10 см3 воды. Раствор охлаждают и нейтрализуют (при охлаждении) по универсальной индикаторной бумаге раствором гидроокиси натрия с массовой долей 30%, не содержащим NH4 (готовят по ГОСТ 4517). После охлаждения объем раствора доводят водой до 50 см3 и перемешивают. Далее определение проводят по ГОСТ 24245.

Препарат считают соответствующим требованиям настоящего стандарта, если масса аммония не будет превышать 0,01 мг.

3.3.1-3.5. (Измененная редакция, Изм. N 2).

3.5.1-3.8.3.1. (Исключены, Изм. N 2).

 3.9. Определение массовой доли мышьяка

3.9.1. Реактивы, растворы и аппаратура

Аммоний молибденовокислый по ГОСТ 3765, х.ч., раствор с массовой долей 5%, хранят в полиэтиленовой посуде.

Вата, пропитанная раствором уксуснокислого свинца; готовят следующим образом: дважды пропитывают вату раствором уксуснокислого свинца с массовой долей 5% и высушивают на воздухе.

Вода марки ос.ч. 27-5, содержащая не более 5·10-8% As. При отсутствии воды особой чистоты ее готовят следующим образом: дистиллированную воду по ГОСТ 6709 перегоняют дважды в стеклянном приборе с добавлением азотнокислого калия (0,5 г на каждый кубический дециметр воды).

Йод по ГОСТ 4159, раствор концентрации c(1/2J2)=0,05 моль/дм3 (0,05 н.); готовят по ГОСТ 25794.2 следующим образом: 0,65 г йода смешивают с 1,5 г йодистого калия и растворяют в 100 см3 воды.

калий азотнокислый по ГОСТ 4217, х.ч.

Калий йодистый по ГОСТ 4232, х.ч.

Калий сурьма (III) оксид тартрат 0,5-водный (калий-антимонил виннокислый), ч., раствор с массовой долей 0,27%.

Кислота аскорбиновая, раствор с массовой долей 1,7%, готовят перед применением.

Кислота серная по ГОСТ 4204, х.ч., раствор концентрации c(1/2H2SO4)=5 моль/дм3 (5 н.).

кислота соляная по ГОСТ 3118, ч.ч.*
________________
* Текст документа соответствует оригиналу. - Примечание изготовителя базы данных.

Натрий углекислый кислый по ГОСТ 4201, х.ч., раствор с массовой долей 8,5%.

Олово (II) хлорид 2-водное, раствор с массовой долей 10%; готовят следующим образом: 10 г 2-водного хлорида олова (II) растворяют в 12,5 см3 соляной кислоты (при необходимости подогревают) и полученный раствор разбавляют водой до 100 см3.

Раствор, содержащий As, готовят по ГОСТ 4212. Соответствующим разбавлением готовят раствор, содержащий 0,001 мг As в 1 см3. Разбавленный раствор должен быть свежеприготовленным.
________________
* Текст документа соответствует оригиналу. - Примечание изготовителя базы данных.

Реактив на мышьяк, готовят следующим образом: смешивают 10 см3 раствора серной кислоты, 3 см3 раствора молибденовокислого аммония, 1 см3 раствора виннокислого калия-антимонила, 6 см3 раствора аскорбиновой кислоты и 5 см3 воды. Реактив готовят перед использованием.

Свинец уксуснокислый по ГОСТ 1027, раствор с массовой долей 5%.

Цинк гранулированный.

Спектрофотометр СФ-46 или другой прибор с аналогичными метрологическими характеристиками.

Кюветы прямоугольные с толщиной поглощающего свет слоя 1 см.

Колба Кн-2-250-34 ТХС по ГОСТ 25336.

Пипетки 4(5)-2-1(2), 6(7)-2-5(10) и 6(7)-2-25 по НТД.

Пробирка П-3-5 по ГОСТ 25336.

Цилиндры 2-5(10), 1(3)-50 и 1(3)-100 по ГОСТ 1770.

(Измененная редакция, Изм. N 1, 2).

3.9.2. Подготовка к анализу

3.9.2.1. Описание прибора

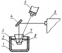
Прибор для определения мышьяка (черт.1) состоит из конической колбы 9 с резиновой пробкой 8, имеющей два отверстия. В одно отверстие вставляют стеклянную трубку 7 диаметром 5 мм, высотой 300 мм, доходящую до дна колбы. Верхний конец этой трубки всегда открыт. В другое отверстие вставляют конец стеклянной П-образной трубки диаметром 5 мм, заканчивающейся под пробкой. К другому концу этой трубки присоединяют на резиновой трубке 4 стеклянный шарик 5 диаметром 20 мм, заполненный ватой, пропитанной раствором уксуснокислого свинца (вату следует менять после каждого определения). К шарику на резиновой трубке 4 присоединяют стеклянную трубку диаметром 5 мм, высотой 120 мм, заканчивающуюся капилляром 3 диаметром 0,5 мм и помещенную в пробирку 1, в которую предварительно помещают стеклянное кольцо 2 высотой 10 мм.


Черт.1

3.9.2.2. Построение градуировочного графика

Готовят растворы сравнения и контрольный раствор. Для этого в три колбы от приборов для определения мышьяка помещают соответственно 0,0005; 0,0010; 0,0020 мг As, в четвертую колбу мышьяк не помещают. В каждую колбу добавляют 100 см3 воды, 15 см3 анализируемой серной кислоты, 1 см3 раствора 2-водного хлорида олова (II) и 10 г цинка. Колбы немедленно закрывают пробками. Капилляры опускают в пробирки, в которые предварительно наливают по 1 см3 раствора йода и по 0,2 см3 раствора кислого углекислого натрия (для поглощения выделяющегося мышьяковистого водорода). Пробирки закрывают сверху ватой. Отгонку мышьяковистого водорода продолжают до полного растворения цинка. После этого пробирки с поглотительной жидкостью отделяют от приборов и приливают в них по каплям пипеткой раствор аскорбиновой кислоты до исчезновения окраски йода, отмечая добавленный объем аскорбиновой кислоты. Объем каждого раствора доводят водой пипеткой до 2,4 см3 (объем воды по расчету), добавляют в каждую пробирку 0,6 см3 реактива на мышьяк и растворы взбалтывают. Через 30 мин растворы переносят в кюветы и измеряют их оптические плотности при длине волны =850 нм по отношению к воде. Из величин оптической плотности растворов сравнения вычитают величину оптической плотности контрольного раствора. Строят градуировочный график в координатах: оптическая плотность (нм) - масса, мг.

3.9.3. Проведение анализа

27 см3 препарата (50 г), взятые по объему цилиндром с погрешностью не более 1 см3, осторожно вливают при постоянном перемешивании и охлаждении раствора в колбу прибора для определения мышьяка, в которую предварительно помещают 100 см3 охлажденной воды. В полученный раствор, охлажденный до комнатной температуры, прибавляют еще 15 см3 анализируемой кислоты и 1 см3 раствора 2-водного хлорида олова (II). Раствор охлаждают и прибавляют 10 г цинка. Колбу сразу закрывают пробкой, капилляр опускают в пробирку, в которую предварительно помещают 1 см3 раствора йода и 0,2 см3 раствора кислого углекислого натрия. Пробирку закрывают сверху ватой и оставляют до полного растворения цинка. После этого пробирку с поглотительной жидкостью отделяют от прибора для определения мышьяка и далее определение проводят, как описано в п.3.9.2.2.

Препарат считают соответствующим требованиям настоящего стандарта, если найденная по градуировочному графику массовая доля мышьяка не будет превышать 0,0005 мг.

За результат анализа принимают среднее арифметическое результатов двух параллельных определений, относительное расхождение между которыми не превышает допускаемое расхождение, равное 50%.

Допускаемая относительная суммарная погрешность результата анализа ±40% при доверительной вероятности P=0,95.

3.9.2-3.9.3. (Измененная редакция, Изм. N 1, 2).

3.9.3.1. Применяемые реактивы и растворы считают пригодными, если оптическая плотность контрольного раствора не превышает 0,03.

3.9.3.2. Допускается определять массовую долю мышьяка по ГОСТ 42047 методом с применением бромнортутной бумаги в сернокислой среде.

При разногласиях в оценке массовой доли мышьяка определение проводят спектрофотометрически.

(Измененная редакция, Изм. N 2).

 3.10. Определение массовой доли нитратов

3.10.1. Реактивы, растворы и аппаратура

Вода дистиллированная по ГОСТ 6709.

калий азотнокислый по ГОСТ 4217.

Кислота серная особой чистоты по настоящему стандарту.

Олово (II) хлорид 2-водное, раствор с массовой долей 0,3%, готовят следующим образом: 0,30 г 2-водного хлорида олова (II) помещают в мерную колбу вместимостью 100 см3, приливают 50 см3 воды и 5 см3 серной кислоты. Содержимое колбы тщательно перемешивают, доводят объем раствора водой до метки и перемешивают. Раствор годен в течение 3 сут.

1, 2, 5, 8-тетрагидроксиантрахинон (хинализарин), ч.д.а., раствор в серной кислоте с массовой долей 0,035%; готовят следующим образом: 0,060 г хинализарина взвешивают в стаканчике, переносят в мерную колбу вместимостью 100 см3 с помощью нескольких кубических сантиметров серной кислоты, закрывают колбу пробкой и осторожно взбалтывают содержимое колбы до полного растворения хинализарина. Затем доводят объем раствора серной кислотой до метки, закрывают колбу пробкой и перемешивают.

Реактив на нитраты; готовят следующим образом: 5 см3 раствора хинализарина, взятые с помощью сухой пипетки, помещают в сухую мерную колбу вместимостью 50 см3, доводят объем раствора серной кислотой до метки и перемешивают.

Раствор, содержащий NO3; готовят следующим образом: 0,0073 г азотнокислого калия взвешивают в стаканчике, количественно переносят в мерную колбу вместимостью 50 см3 раствором хинализарина. Колбу закрывают пробкой и содержимое тщательно перемешивают до полного растворения азотнокислого калия. Затем доводят объем раствора до метки раствором хинализарина и перемешивают. 5 см3 этого раствора помещают в мерную колбу вместимостью 50 см3, доводят объем раствора серной кислотой до метки и тщательно перемешивают. Полученный раствор содержит 0,01 мг NO3 в 1 см3.

Колба 2-50-2 и 2-100-2 по ГОСТ 1770.

Пипетки 4(2)-2-1, 6(7)-2-5 и 6(7)-2-25 по НТД.

Пробирка ПП-45-КШ 14/23 по ГОСТ 19908.

Стаканчик по ГОСТ 25336-82.

Цилиндр 1(3)-25 и 1(3)-50 по ГОСТ 1770.

3.10.2. Проведение анализа

27 см3 препарата (50 г), взятого по объему цилиндром с ценой деления 1 см3, помещают в сухую кварцевую пробирку.

Готовят раствор сравнения. Для этого во вторую такую же пробирку вводят 0,1 см3 раствора 2-водного хлорида олова (II), прибавляют 27 см3 раствора анализируемого препарата и закрывают пробирку пробкой. Содержимое осторожно перемешивают и выдерживают при комнатной температуре в течение 20 мин. Затем сухой пипеткой с ценой деления 0,01 см3 вводят в эту пробирку 1 см3 раствора, содержащего NO3, закрывают пробирку пробкой и перемешивают. Одновременно в пробирку с анализируемым раствором прибавляют 1 см3 реактива на нитрат, закрывают пробкой и перемешивают. Выдерживают содержимое обеих пробирок в течение 20 мин. Затем в пробирку с анализируемым раствором вводят 0,1 см3 раствора 2-водного хлорида олова (II), закрывают пробирку пробкой и перемешивают. Далее сравнивают окраски анализируемого раствора и раствора сравнения по оси пробирок на фоне молочного стекла.

Препарат считают соответствующим требованиям настоящего стандарта, если синяя окраска анализируемого раствора будет не интенсивнее окраски раствора сравнения.

3.10.1, 3.10.2. (Измененная редакция, Изм. N 1, 2).

3.10.2.1. Пригодность применяемых реактивов проверяют в контрольном опыте следующим образом: одновременно с раствором сравнения, содержащим NO3, готовят аналогично контрольный раствор, не содержащий NO3.

Реактивы считают пригодными, если интенсивность окраски контрольного раствора будет меньше, чем у раствора сравнения, содержащего 0,005 мг NO3.

3.10.2.2. Растворы А и Б могут быть использованы для анализа серной кислоты других партий.

3.11. Определение массовой доли селена

3.11.1. Реактивы, растворы и аппаратура

аммиак водный по ГОСТ 3760.

Бумага лакмусовая.

Вода дистиллированная по ГОСТ 6709.

Кислота аскорбиновая, раствор с массовой долей 5%, свежеприготовленный.

кислота соляная по ГОСТ 3118, раствор 1:1.

Раствор, содержащий Se, готовят по ГОСТ 4212. Соответствующим разбавлением приготовленного раствора водой готовят раствор, содержащий 0,01 мг Se в 1 см3. Разбавленный раствор должен быть свежеприготовленным.

Колба Кн-2-100-22 ТХС по ГОСТ 25336.

Пипетки 4(5)-2-1(2) и 6(7)-2-10 по НТД.

Стакан В(Н)-1-25 по ГОСТ 25336.

Цилиндр 1(3)-25 по ГОСТ 1770.

3.11.2. Проведение анализа

5,5 см3 препарата (10 г), взятого по объему пипеткой с погрешностью не более 0,1 см3, помещают в стакан, содержащий 5 см3 воды. Полученный раствор осторожно по каплям пипеткой переносят при перемешивании в коническую колбу (с меткой на 30 см3), содержащую 12 см3 раствора аммиака и погруженную в холодную воду. Раствор охлаждают, доводят водой до метки, нейтрализуют по лакмусовой бумаге до слабокислой реакции, прибавляют 0,6 см3 раствора соляной кислоты, 2 см3 раствора аскорбиновой кислоты и перемешивают.

Одновременно в таких же колбах и в таком же объеме готовят растворы сравнения, содержащие 0; 0,005; 0,010; 0,020 мг Se, 0,6 см3 раствора соляной кислоты и 2 см3 раствора аскорбиновой кислоты.

Препарат считают соответствующим требованиям настоящего стандарта, если наблюдаемая через 10 мин окраска анализируемого раствора на фоне молочного стекла не будет интенсивнее окраски раствора сравнения, приготовленного одновременно с анализируемым и содержащего в таком же объеме 0,01 мг Se, 0,6 см3 раствора соляной кислоты и 2 см3 раствора аскорбиновой кислоты.

Допускаемая относительная суммарная погрешность результата анализа ±50% при доверительной вероятности P=0,95.

3.11.1; 3.11.2. (Измененная редакция, Изм. N 2).

3.12-3.12.3.2. (Исключены, Изм. N 2).

 3.13. Определение массовой доли хлоридов

3.13.1. Реактивы, растворы и аппаратура

Вода дистиллированная по ГОСТ 6709, вторично перегнанная в кварцевом приборе с прибавлением 1 см3 раствора гидроокиси калия на каждые 500 см3 перегоняемой воды.

Кислота азотная особой чистоты по ГОСТ 11125, раствор с массовой долей 25%; готовят по ГОСТ 4517.

Раствор, содержащий Cl, готовят по ГОСТ 4212. Соответствующим разбавлением приготовленного раствора водой готовят раствор, содержащий 0,01 мг Cl в 1 см3.

Серебро азотнокислое по ГОСТ 1277, х.ч., раствор концентрации c(AgNO3)=0,1 моль/дм(0,1 н.) (хранят в темноте).

Колба Кн-2-100-34 ТХС по ГОСТ 25336.

Пипетки 4(5)-2-1(2), 6(7)-2-5 и 6(7)-2-25 по ГОСТ по НТД.

Цилиндр 1(3)-50 по ГОСТ 1770.

3.13.2. Проведение анализа

11 см3 препарата (20 г), взятого по объему пипеткой с погрешностью не более 0,2 см3, осторожно перемешивая, помещают в коническую колбу (с меткой на 50 см3), содержащую 25 см3 воды. Раствор охлаждают, погружая колбу в холодную воду со льдом, затем прибавляют 4 см3 раствора азотной кислоты, 2 см3 раствора азотнокислого серебра, перемешивают, доводят объем раствора водой до метки и снова перемешивают.

Одновременно в таких же колбах и в таком же объеме готовят растворы сравнения, содержащие 0; 0,005; 0,010; 0,020 мг Cl, 4 см3 раствора азотной кислоты и 2 см3 раствора азотнокислого серебра.

Препарат считают соответствующим требованиям настоящего стандарта, если наблюдаемая через 20 мин опалесценция анализируемого раствора не будет интенсивнее опалесценции раствора сравнения, приготовленного одновременно с анализируемым и содержащего в таком же объеме 0,01 мг Cl, 4 см3 раствора азотной кислоты и 2 см3 раствора азотнокислого серебра.

Допускаемая относительная суммарная погрешность результата анализа ±50% при доверительной вероятности P=0,95.

3.13.1; 3.13.2. (Измененная редакция, Изм. N 2).

3.13.2.1. (Исключен, Изм. N 2).

3.13.2.2. Анализ следует проводить в помещении, где отсутствуют пары соляной кислоты и ее легколетучих солей.

(Измененная редакция, Изм. N 2).

3.14. Определение массовой доли алюминия, висмута, железа, кадмия кобальта, меди, никеля, свинца, серебра, сурьмы, цинка

3.14.1. Аппаратура, реактивы и растворы

Спектограф типа ИСП-28 с трехлинзовой системой освещения (изображение источника света сфокусировано в фокальной плоскости щели) и трехступенчатым ослабителем.

Выпрямитель ВАЗ-275-100.

Генератор переменного тока ДГ-2 (для поджига).

Микрофотометр МФ-2.

Спектропроектор ПС-18.

Весы торсионные марки ВТ с ценой деления 1 мг и наибольшим пределом взвешивания 500 мг.

Плитки со спиралью, закрытой кварцем.

Смеситель механический.

Встряхиватель лабораторный типа L Е-203, напряжением 220 В, частотой 50 Гц, мощностью 0,05 кВт, или другие аналогичные приборы.

Допускается применение других приборов с аналогичными метрологическими характеристиками.

Бюретка 2-2-25-0,1 по ГОСТ НТД.

Колбы 2-1000-2, 2-2000-2 по ГОСТ 1770.

Пипетка 6(7)-2-10 по ГОСТ НТД.

Ступка с пестиком из органического стекла.

Цилиндр 1(3)-25 по ГОСТ 1770.

Чаша 40(50) по ГОСТ 19908.

Угли графитированные марки ОС.Ч. 7-3 (электроды), нижний электрод (кратер) имеет глубину 3 мм, диаметр 4 мм, верхний электрод заточен на слегка усеченный конус.

Натрий хлористый для спектрального анализа.

Фотопластинки спектральные типа 2 чувствительностью 16 относительных единиц, типа ЭС чувствительностью 7 относительных единиц и УФШ-3.

Алюминий окись, ч.д.а.

Висмут (III) окись по ГОСТ 10216, х.ч.

Железо (III) оксид.

Метол (4-метиламинофенол сульфат) по ГОСТ 25664.

Гидрохинон (парадиоксибензол) по ГОСТ 19627.

Кадмия окись по ГОСТ 11120, х.ч.

Натрий сульфит 7-водный.

Натрий сернистокислый по ГОСТ 195.

Натрий углекислый по ГОСТ 83.

Кобальта (II, III) окись по ГОСТ 4467.

Натрий углекислый 10-водный по ГОСТ 84.

Меди (II) окись по ГОСТ 16539.

Калий бромистый по ГОСТ 4160-74.

натрий серноватистокислый (натрия тиосульфат) 5-водный по ГОСТ 27068.

Аммоний хлористый по ГОСТ 3773.

Никеля окись черная по ГОСТ 4331.

Графит порошковый ос.ч. 8-4 по ГОСТ 23463.

Свинца (II) окись по НТД.

Сурьма (III) оксид, х.ч.

Цинка окись по ГОСТ 10262.

Спирт этиловый ректификованный технический по ГОСТ 18300, высший сорт.

Вата медицинская гигроскопическая по ГОСТ 5556.

Фильтры обеззоленные.

Раствор, содержащий Ag, готовят по ГОСТ 4212, 1 см3 раствора содержит 1 мг Ag.

Проявитель метолгидрохиноновый готовят следующим образом: раствор А - 2 г метола, 10 г гидрохинона и 104 г 7-водного сульфита натрия (или 52 г сернистокислого натрия) растворяют в воде, доводят объем раствора водой до 1 дм3, перемешивают и, если раствор мутный, его фильтруют, раствор Б - 16 г углекислого натрия (или 40 г 10-водного углекислого натрия) и 2 г бромистого калия растворяют в воде, доводят объем раствора водой до 1 дм3, перемешивают и, если раствор мутный, его фильтруют. Затем растворы А и Б смешивают в равных объемах.

Фиксаж быстродействующий готовят следующим образом: 500 г 5-водного серноватистокислого натрия и 100 г хлористого аммония растворяют в воде, доводят объем раствора водой до 2 дм3, перемешивают и, если раствор мутный, его фильтруют.

(Измененная редакция, Изм. N 1, 2).

3.14.2. Приготовление образцов сравнения

Образцы готовят на основе порошкового графита. Для каждой марки серной кислоты готовят свою серию образцов.

Головные образцы готовят смешиванием рассчитанных масс окислов определяемых элементов и порошкового графита.

Серебро в образцы вводят в виде раствора.

Головные образцы каждой серии, а также образцы, в которые вводят раствор серебра, растирают в течение 3 ч. Последующие образцы готовят разбавлением предыдущих порошковым графитом. Смешение и растирание образцов проводят на механическом смесителе в течение 30 мин (можно проводить смешиванием вручную в ступке в течение 1 ч.).

Схемы приготовления образцов сравнения для препарата марок ос.ч. 11-5 и ос.ч. 5-5 приведены соответственно в табл.3 и 4.

Таблица 3*

_______________

* Таблица 2. (Исключена. Изм. N 2). 

Схема приготовления серии образцов сравнения для препарата марки ос.ч. 11-5 (коэффициент обогащения равен 500)

Определяемая примесь

Головной образец N 1

Массовая доля примесей, %, для образцов

Масса вводимого соединения, мг

Массовая доля примеси, %

Масса вводимого соеди- нения, мг

N 2

N 3

N 4

N 5

N 6

Алюминий Al2O3

235

2,5

-

2,5·10-1

2,5·10-2

7,5·10-3

2,5·10-3

1,25·10-3

Висмут Bi2O3

28

5·10-1

-

5·10-2

5·10-3

1,5·10-3

5·10-4

2,5·10-4

Железо Fe2O3

143

2

-

2·10-1

2·10-2

6·10-3

2·10-3

1·10-3

Кадмий CdO

285

5

-

5·10-1

5·10-2

1,5·10-2

5·10-3

2,5·10-3

Кобальт Co3O4

34

5·10-1

-

5·10-2

5·10-3

1,5·10-3

5·10-4

2,5·10-4

Медь CuO

31

5·10-1

-

5·10-2

5·10-3

1,5·10-3

5·10-4

2,5·10-4

Никель NiO

32

5·10-1

-

5·10-2

5·10-3

1,5·10-3

5·10-4

2,5·10-4

Свинец PbO

135

2,5

-

2,5·10-1

2,5·10-2

7,5·10-3

2,5·10-3

1,25·10-3

Сурьма Sb2O3

300

5

-

5·10-2

5·10-2

1,5·10-2

5·10-3

2,5·10-3

Цинк ZnO

620

10

-

1

1·10-1

3·10-2

1·10-2

5·10-3

Серебро  -

-

-

Ag (раствор) 2,5

5·10-2

5·10-3

1,5·10-3

5·10-4

2,5·10-4

Графит порошковый

3157

-

-

-

-

-

-

-


Примечание. После добавления в образец N 2 раствора, содержащего серебро, образец высушивают в сушильном шкафу при 70 °С.

Таблица 4


Схема приготовления серии образцов сравнения для препарата марки ос.ч. 5-5 (коэффициент обогащения равен 500)

Определяемая примесь

Головной образец N 1

Массовая доля примесей, %, для образцов

Масса вводимого соединения, мг

Массовая доля примеси, %

N 2

N 3

N 4

N 5

N 6

Железо Fe2O3

720

10

1

2·10-1

6·10-2

2·10-2

2·10-3

Медь CuO

62

1

1·10-1

2·10-2

6·10-3

2·10-3

2·10-4

Никель NiO

64

1

1·10-1

2·10-2

6·10-3

2·10-3

2·10-4

Свинец PbO

540

10

1

2·10-1

6·10-2

2·10-2

2·10-3

Сурьма Sb2O3

600

10

1

2·10-1

6·10-2

2·10-2

2·10-3

Графит порошковый

3014

-

-

-

-

-

-



При этом для марки ос.ч. 11-5 образцы N 2 и 3 получают разбавлением соответственно образцов N 1 и 2 в 10 раз; образец N 4 - разбавлением образца N 3 в 3,3 раза; образец N 5 - разбавлением образца N 4 в 3 раза; образец N 6 - разбавлением образца N 5 в 2 раза. Для марки ос.ч. 5-5 образец N 2 получают разбавлением образца N 1 в 10 раз; образец N 3 - разбавлением образца N 2 в 5 раз; образец N 4 - разбавлением образца N 3 в 3,3 раза; образец N 5 - разбавлением образца N 4 в 3 раза; образец N 6 - разбавлением образца N 5 в 10 раз.

(Измененная редакция, Изм. N 2).

3.14.2.1, 3.14.2.2. (Исключены, Изм. N 2).

3.14.3. Подготовка анализируемой пробы

В три кварцевые чаши помещают по 5,4 см3 препарата (10 г), взятые по объему бюреткой или пипеткой с погрешностью не более 0,1 см3. В каждую чашу прибавляют 20 мг порошкового графита, затем ставят на электроплитку и выпаривают досуха (до удаления паров серной кислоты). Полученные концентраты проб подвергают спектральному анализу.

3.14.4. Проведение анализа

В каналы электродов (анодов) на дно вносят по 1 мг хлористого натрия, затем сверху - полученные концентраты проб или по 20 мг образцов N 6, 5, 4 соответствующей серии. Допускается использовать образцы сравнения для препарата марки о.с.ч. 11-5 при анализе препарата марки о.с.ч. 5-5. Готовят не менее трех параллельных проб для каждого образца.

Условия съемки спектрограммы:

ширина щели спектрографа - 0,012 мм;

время экспозиции - 30 с;

сила постоянного тока - 8-10 А;

сила переменного тока - 14-16 А;

высота диафрагмы на средней линзе конденсорной системы - 5 мм.

Перед съемкой угольные электроды протирают спиртом и обжигают в дуге постоянного тока при силе тока 12 А или в дуге переменного тока при силе тока 18 А в течение 15 с.

Перед съемкой и проведением обжига электродов камеру штатива, а также рабочее место набивки электродов протирают ватным тампоном, смоченным в этиловом спирте.

3.14.5. Обработка спектрограммы и результатов анализа

Фотопластинку со снятыми спектрами проявляют, промывают водой, фиксируют, снова тщательно промывают в проточной воде и высушивают на воздухе (при помощи вентилятора). Сухую фотопластинку фотометрируют на микрофотометре, пользуясь логарифмической шкалой и измеряют почернение линий определяемых элементов Sпр (no проходящей ступени ослабителя) и соседнего фона Sф.

Аналитические линии, нм:

алюминий - 257,5; 308,2; 309,2;

висмут - 306,7;

железо - 259,9; 302,0; 304,8;

кадмий - 288,8; 326,1;

кобальт - 242,4; 304,4; 345,3;

медь - 327,4;

никель - 305,0;

свинец - 283,3;

сурьма - 259,8;

цинк - 213,8; 334,5;

серебро - 328,0.

Находят среднее арифметическое разностей почернений = Sпр-Sф для всех образцов сравнения и строят градуировочный график в координатах -lgC, где C - массовая доля примесей в процентах в образцах сравнения. По градуировочному графику находят массовую долю примесей в процентах в концентратах. Разделив это значение на коэффициент обогащения (500), получают массовую долю примесей в процентах в серной кислоте.
За результат анализа принимают среднее арифметическое результатов трех параллельных определений, относительное расхождение между наиболее отличающимися значениями которых не превышает допускаемое расхождение, равное 100%.

Допускаемая относительная суммарная погрешность результата анализа ±50% при доверительной вероятности P=0,95.

3.14.3-3.14.5. (Измененная редакция, Изм. N 2).

 3.15. Определение массовой доли сурьмы

3.15.1. Реактивы, растворы и аппаратура

Бензол по ГОСТ 5955, х.ч.

Калий йодистый по ГОСТ 4232, раствор с массовой долей 10%.

Кислота бромистоводородная по ГОСТ 2062, ч.д.а., очищенная от органических примесей следующим образом: 100 см3 кислоты помещают в делительную воронку вместимостью 250 см3 (ГОСТ 25336), прибавляют 30 см3 хлороформа и встряхивают в течение 30 мин. Затем отделяют бромистоводородную кислоту и перегоняют в кварцевом приборе при 127 °С.
Кислота азотная по ГОСТ 4461, х.ч.

Кислота серная по ГОСТ 4204, х.ч., раствор концентрации c(1/2H2SO4)=10 моль/дм3 (10 н.).

Раствор, содержащий Sb, готовят по ГОСТ 4212. Соответствующим разбавлением приготовленного раствора водой готовят раствор, содержащий 0,005 мг Sb в 1 см3.

Хлороформ.

Азот жидкий по ГОСТ 9293.

Вода дистиллированная по ГОСТ 6709.

Спектрограф ИСП-51 с фотоэлектрической приставкой ФЭП-1 и фотоумножителем ФЭУ-38, спектрометр СДЛ-1 или другой прибор с аналогичными метрологическими характеристиками.

Осветитель ОИ-18.

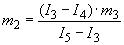
Приставка для измерения интенсивности люминесценции при температуре жидкого азота (черт.2). При проведении анализа тигель 7 с анализируемым раствором 3 помещают в пенопластовую чашку 1, заполненную жидким азотом 2. После того, как раствор в тигле замерзнет, в тигель заливают жидкий азот 8. Люминесценцию возбуждают сверху осветителем 5и направляют зеркалом 4 на входную щель прибора 6.


Черт.2


Пипетки 4(5)-2-1 и 6(7)-2-5 по НТД.

Тигель высокий из платины 100-1 по ГОСТ 6563.

Цилиндр 1(3)-100 по ГОСТ 1770.

3.15.2. Проведение анализа

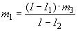
В два платиновых тигля помещают по 2,8 см3 препарата (5 г), взятого по объему пипеткой с погрешностью не более 0,1 см3, добавляют по 0,2 см3 азотной кислоты и в одну из них - 0,1 см3 раствора, содержащего 0,005 мг/см3 сурьмы. Растворы выпаривают на плитке. Остатки после выпаривания смывают по 5 см3 раствора серной кислоты и добавляют к этим растворам по 0,2 см3 раствора йодистого калия. Облучают растворы под светом лампы ОИ-18 без светофильтра в течение 25 мин. Растворы переносят в кварцевую делительную воронку вместимостью 10-15 см3 и экстрагируют сурьму из растворов 1 см3 бензола и реэкстрагируют 2 см3 воды. Реэкстракты сливают в платиновые тигли, прибавляют по 0,1 см3 азотной кислоты и выпаривают на водяной бане. Остатки после выпаривания смывают по 0,5 см3 бромистоводородной кислоты и измеряют интенсивность люминесценции этих растворов при температуре жидкого азота при 640 нм. В этих же условиях измеряют интенсивность люминесценции бромистоводородной кислоты.

3.15.3. Обработка результатов

Массовую долю сурьмы (X1) в процентах вычисляют по формуле где l1 - интенсивность люминесценции анализируемого раствора;
       l2 - интенсивность люминесценции раствора с введенными 0,0005 мг Sb;

       l3 - интенсивность люминесценции бромистоводородной кислоты.

За результат анализа принимают среднее арифметическое результатов двух параллельных определений, относительное расхождение между которыми не превышает допускаемое расхождение, равное 100%.

Допускаемая относительная суммарная погрешность результата анализа ±50% при доверительной вероятности P=0,95.

3.15.3.1. Для контроля чистоты реактивов в две пробирки помещают по 5 см3 раствора серной кислоты, в одну из них добавляют 0,1 см3 раствора, содержащего 0,005 мг Sb в 1 см3, и далее определение проводят, как описано выше.
При ранзогласиях в оценке массовой доли сурьмы определение проводят люминесцентным методом.

3.15.1-3.15.3.1. (Измененная редакция, Изм. N 2).

 3.16. Определение массовой доли цинка

3.16.1. Реактивы, растворы и аппаратура

аммиак водный по ГОСТ 24147, ос.ч. 17-4.

Боратный буферный раствор с pH 8,0; готовят по ГОСТ 4919.2 с использованием раствора тетраборнокислого натрия, приготовленного следующим образом: 12,367 г борной кислоты помещают в мерную колбу вместимостью 1 дм3 (по ГОСТ 1770), добавляют из бюретки вместимостью 100 см3 (по НТД) 100 см3 раствора гидроокиси натрия, тщательно перемешивают и доводят объем раствора водой до метки.

Вода дистиллированная по ГОСТ 6709.

Кислота борная марки ос.ч., 12-3.

кислота соляная по ГОСТ 14261, ос.ч., раствор концентрации c(HCl)=0,1 моль/дм3.

Натрия гидроокись по ГОСТ 4328, х.ч., раствор концентрации c(NaOH)=1 моль/дм3 (1 н.); готовят по ГОСТ 25794.1.

Спирт этиловый ректификованный технический по ГОСТ 18300, высший сорт.

8-(n-толуолсульфониламино)-хинолин, ч.д.а., спиртовой раствор с массовой долей 0,01%.

Соответствующим разбавлением приготовленного раствора готовят раствор с массовой долей 0,001%. Разбавленный раствор должен быть свежеприготовленным.

Раствор, содержащий Zn, готовят по ГОСТ 4212. Соответствующим разбавлением приготовленного раствора готовят раствор, содержащий 0,0001 мг Zn в 1 см3.

Соль динатриевая этилендиамин-N,N,N',N'-тетрауксусной кислоты 2-водная (трилон б) по ГОСТ 10652, х.ч., раствор с массовой долей 5%.

Флуориметр КФЛ-2-1 М со светофильтрами: первичный - С3С-21+ФС-6, вторичный - ЖС-4+ЖС-17 или флуориметр "Квант" с теми же светофильтрами или установка на основе монохроматора УМ-2, высоковольтного стабилизированного выпрямителя ВС-22, фотоумножителя ФЭУ-38, микроамперметра чувствительностью 1·10-8 А на одно деление шкалы, осветителя ИО-18 со светофильтром УФС-3.

Пипетки 6(7)-2-5 и 4(5)-2-1 по НТД.

Пробирка ПП-6-КШ 5/13 по ГОСТ 19908

Чаша 20 или тигель В(Н)-10 по ГОСТ 19908.

(Измененная редакция, Изм. N 1, 2).

3.16.2. Проведение анализа

В три кварцевые чаши (или тигли) помещают по 2,8 см3 препарата (5 г), взятого по объему пипеткой с погрешностью не более 0,1 см3, в третью чашу добавляют 1 см3 раствора, содержащего 0,0001 мг Zn в 1 см3 и выпаривают на электроплитке. После этого чаши (или тигли) с остатком прокаливают в течение 10 мин в муфельной печи при 500-600 °С.

Сухие остатки обрабатывают 1 см3 аммиака и упаривают досуха. Остатки после выпаривания смывают 1 см3 буферного раствора и переносят в три кварцевые пробирки.

Во вторую пробирку добавляют 0,1 см3 раствора трилона Б.

Одновременно в три другие (четвертая-шестая) кварцевые пробирки вводят по 1 см3 буферного раствора, в пятую пробирку - раствор, содержащий 0,0001 мг цинка, в шестую пробирку - 0,1 см3 раствора трилона Б. Затем во все шесть пробирок вводят по 1 см3 разбавленного раствора 8-(n-толуолсульфониламино-)хинолина. Растворы перемешивают и через 20 мин измеряют интенсивность люминесценции всех растворов при длине волны 520 нм.

3.16.3. Обработка результатов

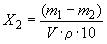
Массовую долю цинка (X2) в процентах вычисляют по формуле где m1 - суммарная масса цинка, мг;
      m2 - масса цинка в применяемых реактивах, мг;

      V - объем анализируемой пробы, см3;

      p - плотность, г/см3.

Суммарную массу цинка (m1) в миллиграммах вычисляют по формуле где l - интенсивность люминесценции анализируемой пробы;
       l1 - интенсивность люминесценции анализируемой пробы с трилоном Б;

       m3 - масса добавленного цинка, мг;

       l2 - интенсивность люминесценции анализируемого раствора с добавкой цинка.

Массу цинка в применяемых реактивах (m2) в миллиграммах вычисляют по формуле где l3 - интенсивность люминесценции буферного раствора;
       l4 - интенсивность люминесценции буферного раствора с трилоном Б;

       m3 - масса добавленного цинка, мг;

        l5 - интенсивность люминесценции буферного раствора с добавкой цинка.

За результат анализа принимают среднее арифметическое результатов двух параллельных определений, относительное расхождение между которыми не превышает допускаемое расхождение, равное 100%.

Допускаемая относительная суммарная погрешность результата анализа ±50% при доверительной вероятности P=0,95.

При разногласиях в оценке массовой доли цинка определение проводят люминесцентным методом.

(Измененная редакция, Изм. N 2).

4. УПАКОВКА, МАРКИРОВКА, ТРАНСПОРТИРОВАНИЕ И ХРАНЕНИЕ

4.1. Препарат упаковывают и маркируют в соответствии с ГОСТ 3885.

Вид и тип тары: 3-1, 8-1, 8-3.

Горловины тары обвязывают полиэтиленовой пленкой. Поверх полиэтиленовой пленки накладывают тканевую салфетку и обвязывают пеньковым шпагатом, хлорвиниловой нитью или другой прочной нитью. Гипсовку горловины не производят.

Группа фасовки: V, VI, VII.

На каждую единицу тары наносят знаки опасности по ГОСТ 19433 и классификационный шифр 8151.

(Измененная редакция, Изм. N 1, 2).

4.2. Препарат транспортируют всеми видами транспорта в соответствии с правилами перевозок грузов, действующими на данном виде транспорта.

4.3. Препарат хранят в закрытой таре в крытых складских помещениях в условиях, установленных для хранения кислот.

5. ГАРАНТИИ ИЗГОТОВИТЕЛЯ

5.1. Изготовитель гарантирует соответствие серной кислоты особой чистоты требованиям настоящего стандарта при соблюдении условий хранения препарата.

5.2. Гарантийный срок хранения серной кислоты - один год со дня изготовления.

5.1-5.2. (Измененная редакция, Изм. N 1).

6. ТРЕБОВАНИЯ БЕЗОПАСНОСТИ

6.1. Серная кислота раздражает и обжигает слизистые оболочки верхних дыхательных путей, поражает легкие. При попадании на кожу вызывает тяжелые ожоги.

6.2. Серная кислота относится к веществам высоко опасным (класс 2). Предельно допустимая концентрация 1 мг/м3.

6.3. Для обеспечения безопасных условий труда при работе с серной кислотой необходимо строго соблюдать меры, предупреждающие выделение серного ангидрида в воздух, попадание серной кислоты на кожу.

6.4. Все операции по выпариванию серной кислоты должны проводиться в вытяжном шкафу лаборатории.

6.5. Все работы с серной кислотой необходимо выполнять в спецодежде индивидуального пользования: в халате с длинными рукавами и резиновых перчатках.



официальное издание
М.: ИПК Издательство стандартов, 2003