Новости Нефтегазовая пром.
Выставки Наука и технология


Калий азотнокислый. Реактивы ГОСТ 4217-77

калий азотнокислый. Реактивы. Технические условия (с Изменениями N 1, 2) ГОСТ 4217-77


ГОСТ 4217-77

Группа Л51

МЕЖГОСУДАРСТВЕННЫЙ СТАНДАРТ

Реактивы

калий азотнокислый

Технические условия

Reagents. Potassium nitrate. Specifications



МКС 71.040.30
ОКП 26 2113 0020 10

Дата введения 1979-01-01

ИНФОРМАЦИОННЫЕ ДАННЫЕ

1. РАЗРАБОТАН И ВНЕСЕН Министерством химической промышленности СССР

2. УТВЕРЖДЕН И ВВЕДЕН В ДЕЙСТВИЕ Постановлением Государственного комитета стандартов Совета Министров СССР от 13.06.77 N 1470

3. ВЗАМЕН ГОСТ 4217-73

4. Стандарт полностью соответствует СТ СЭВ 1697-79

5. ССЫЛОЧНЫЕ НОРМАТИВНО-ТЕХНИЧЕСКИЕ ДОКУМЕНТЫ

Обозначение НТД, на который дана ссылка

Номер пункта, подпункта

ГОСТ 12.1.004-91

4.3

ГОСТ 1277-75

3.10.1

ГОСТ 1770-74

3.5.1, 3.6, 3.8, 3.10.1, 3.11.2, 3.13.1, 3.14.1

ГОСТ 3770-75

3.2.1

ГОСТ 3885-73-->ГОСТ 3885-73

2.1, 3.1, 4.1

ГОСТ 4204-77

3.2.1, 3.5.1

ГОСТ 4212-76

3.5.1, 3.10.1, 3.13.1, 3.14.1

ГОСТ 4232-74

3.5.1

ГОСТ 4328-77

3.14.1

ГОСТ 4461-77

3.10.1

ГОСТ 4517-87

3.5.1, 3.17

ГОСТ 5457-75

3.13.1

ГОСТ 6691-77

3.5.1

ГОСТ 6709-72-->ГОСТ 6709-72

3.4.1, 3.5.1, 3.6, 3.7, 3.10.1, 3.13.1, 3.14.1

ГОСТ 8421-79

3.5.1

ГОСТ 9147-80

3.2.2, 3.7, 3.10.1, 3.15

ГОСТ 10163-76

3.5.1

ГОСТ 10485-75

3.15

ГОСТ 10555-75

3.12

ГОСТ 10671.3-74

3.6

ГОСТ 10671.5-74

3.7

ГОСТ 10671.6-74

3.8

ГОСТ 10671.7-74

3.9

ГОСТ 17065-94

4.1

ГОСТ 17319-76

3.16

ГОСТ 19433-88

4.1

ГОСТ 24104-88

3.1а

ГОСТ 24245-80

3.11.2

ГОСТ 25336-82

3.3.1, 3.4.1, 3.5.1, 3.10.1, 3.14.1, 3.17

ГОСТ 27025-86

3.1а

ГОСТ 29227-91

3.5.1, 3.10.1, 3.13.1, 3.14.1

6. Ограничение срока действия снято по протоколу N 4-93 Межгосударственного совета по стандартизации, метрологии и сертификации (ИУС 4-94)

7. ИЗДАНИЕ (май 2003 г.) с Изменениями 1, 2, утвержденными в августе 1980 г., июне 1988 г. (ИУС 10-80, 10-88)


Настоящий стандарт распространяется на азотнокислый калий, представляющий собой бесцветные, прозрачные, растворимые в воде кристаллы.

Формула KNO3

Молекулярная масса (по международным атомным массам 1971 г.) - 101,09.

(Измененная редакция, Изм. N 2).

1. ТЕХНИЧЕСКИЕ ТРЕБОВАНИЯ

1.1. Азотнокислый калий должен быть изготовлен в соответствии с требованиями настоящего стандарта по технологическому регламенту, утвержденному в установленном порядке.

1.2. По физико-химическим показателям азотнокислый калий должен соответствовать значениям, указанным в табл.1.

Таблица 1

Значение

Наименование показателя

Химически чистый (х.ч.) ОКП 26 2113 0023 07

Чистый для анализа (ч.д.а.) ОКП 26 2113 0022 08

Чистый (ч.) ОКП 26 2113 0021 09

1. Массовая доля азотнокислого калия (KNO3) в высушенном препарате, %, не менее

99,8

99,8

99,8

2. Массовая доля потерь при высушивании, %, не более

0,2

0,2

0,5

3. Массовая доля нерастворимых в воде веществ, %, не более

0,003

0,005

0,005

4. Массовая доля йодатов (JO3), %, не более

0,00005

0,00050

Не нормируется

5. Массовая доля нитритов (NO2), %, не более

0,0001

0,0005

0,0010

6. Массовая доля сульфатов (SO4), %, не более

0,001

0,003

0,020

7. Массовая доля фосфатов (PO4), %, не более

0,0003

0,0003

0,0010

8. Массовая доля хлоридов (Cl), %, не более

0,0005

0,0010

0,0020

9. Массовая доля хлоратов и перхлоратов (Cl), %, не более

0,001

0,002

0,005

10. Массовая доля аммонийных солей (NH4), %, не более

0,001

0,005

0,005

11. Массовая доля железа (Fe), %, не более

0,0001

0,0002

0,0010

12. Массовая доля кальция (Ca), %, не более

0,001

0,002

0,002

13. Массовая доля натрия (Na), %, не более

0,005

0,005

0,005

14. Массовая доля магния (Mg), %, не более

0,001

0,001

0,002

15. Массовая доля мышьяка (As), %, не более

0,00004

Не нормируется

16. Массовая доля тяжелых металлов (Pb), %, не более

0,0002

0,0003

0,0005

17. pH раствора препарата с массовой долей 5%

5,5-8

5,5-8

Не нормируется



(Измененная редакция, Изм. N 1, 2).

2. ПРАВИЛА ПРИЕМКИ

2.1. Правила приемки - по ГОСТ 3885.

2.2. Массовые доли йодатов, фосфатов, магния, мышьяка и тяжелых металлов изготовитель определяет периодически в каждой 20-й партии.

(Введен дополнительно, Изм. N 2).

3. МЕТОДЫ АНАЛИЗА

3.1а. Общие указания по проведению анализа - по ГОСТ 27025.

При взвешивании применяют лабораторные весы по ГОСТ 24104* 2-го класса точности с наибольшим пределом взвешивания 200 г 3-го класса точности с наибольшим пределом взвешивания 500 г или 1 кг.
_______________
* С 01.07.2002 г. введен в действие ГОСТ 24104-2001.

Допускается применение импортной лабораторной посуды и аппаратуры по классу точности и реактивов по качеству не ниже отечественных.

(Измененная редакция, Изм. N 2).

3.1. Пробы отбирают по ГОСТ 3885. Масса средней пробы должна быть не менее 500 г.

(Измененная редакция, Изм. N 1).

3.2. Определение массовой доли азотнокислого калия

3.2.1. Реактивы и растворы

Аммоний углекислый по ГОСТ 3770.

Кислота серная по ГОСТ 4204, раствор с массовой долей 20%.

(Измененная редакция, Изм. N 2).

3.2.2. Проведение анализа

Около 1,0000 г препарата, предварительно растертого в фарфоровой ступке (ГОСТ 9147) и высушенного при 120-130 °С в течение 2 ч, помещают в фарфоровый тигель (ГОСТ 9147), прокаленный до постоянной массы и взвешенный (результат взвешивания в граммах записывают с точностью до четвертого знака после запятой), прибавляют 3 смраствора серной кислоты и выпаривают досуха на водяной бане. Тигель с остатком помещают на песчаную баню и постепенно нагревают до температуры около 300 °С (остаток сначала плавится, а затем становится твердым) до прекращения выделения белых паров. Затем к охлажденному остатку прибавляют 0,1-0,2 г углекислого аммония (для разрушения, возможно, образовавшегося персульфата), тигель накрывают часовым стеклом и нагревают при 60 °С до исчезновения со стекла соли, после чего стекло снимают и затем осадок прокаливают в муфельной печи при 600-700 °С до постоянной массы. Операцию прибавления углекислого аммония и прокаливания проводят дважды. Допускается проводить определение методом потенциометрического титрования раствором сернокислого железа (II).

(Измененная редакция, Изм. N 1, 2).

3.2.3. Обработка результатов

Массовую долю азотнокислого калия (X) в процентах вычисляют по формуле где m1 - масса прокаленного остатка, г;
      1,1604 - коэффициент пересчета массы сернокислого калия на массу азотнокислого калия;

      m - масса навески препарата, г.

За результат анализа принимают среднеарифметическое результатов двух параллельных определений, абсолютное расхождение между которыми не превышает допускаемое расхождение, равное 0,2%.

Допускаемая абсолютная суммарная погрешность результата анализа ±0,1% при доверительной вероятности P=0,95.

(Измененная редакция, Изм. N 2).

3.3. Определение массовой доли потерь при высушивании

3.3.1. Проведение анализа

Около 5,0000 г препарата взвешивают в стаканчике для взвешивания (ГОСТ 25336), предварительно доведенном до постоянной массы и взвешенным (результат взвешивания в граммах записывают с точностью до четвертого десятичного знака). Стаканчик для взвешивания с навеской помещают в сушильный шкаф и, сняв крышку, высушивают при 120 °С до постоянной массы.

3.3.2. Обработка результатов

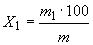
Массовую долю потерь при высушивании (X1) в процентах вычисляют по формуле где m1 - масса потерь при высушивании, г;
       m - масса навески анализируемого препарата, г.

За результат анализа принимают среднеарифметическое результатов двух параллельных определений, абсолютное расхождение между которыми не превышает допускаемое расхождение, равное 0,02%.

Допускаемая абсолютная суммарная погрешность результата анализа ±0,01% при доверительной вероятности P=0,95.

3.3.1, 3.3.2. (Измененная редакция, Изм. N 1, 2).

3.4. Определение массовой доли нерастворимых в воде веществ

3.4.1. Реактивы и посуда

Вода дистиллированная по ГОСТ 6709.

Стакан В-1-400 ТХС по ГОСТ 25336.

Тигель фильтрующий типа ТФ ПОР 10 или ТФ ПОР 16 по ГОСТ 25336.

3.4.2. Проведение анализа

50,00 г препарата помещают в стакан и растворяют, нагревая, в 200 см3 воды. Стакан накрывают часовым стеклом и выдерживают на водяной бане в течение 1 ч, затем раствор фильтруют через фильтрующий тигель, предварительно высушенный до постоянной массы и взвешенный (результат взвешивания в граммах записывают с точностью до четвертого десятичного знака).
Остаток на фильтре промывают 150 см3 горячей воды и сушат в сушильном шкафу при 105-110 °С до постоянной массы.

Препарат считают соответствующим требованиям настоящего стандарта, если масса остатка после высушивания не будет превышать:

для препарата химически чистый - 1,5 мг,

для препарата чистый для анализа - 2,5 мг,

для препарата чистый - 2,5 мг.

3.4.3. Обработка результатов

Массовую долю нерастворимых в воде веществ (X) в процентах вычисляют по формуле где m - масса навески анализируемого препарата, г;
       m1 - масса высушенного остатка, г.

За результат анализа принимают среднеарифметическое двух параллельных определений, относительное расхождение между которыми не превышает допускаемое расхождение, равное 20%.

Допускаемая относительная суммарная погрешность результата анализа ±20% при доверительной вероятности P=0,95.

3.4.1-3.4.3. (Измененная редакция, Изм. N 2).

3.5. Определение массовой доли йодатов

3.5.1. Реактивы, растворы и посуда

Кадмий йодистый по ГОСТ 8421, раствор с массовой долей 10%, или Калий йодистый по ГОСТ 4232, раствор с массовой долей 10%.

Кислота серная по ГОСТ 4204, раствор с массовой долей 20%.

Крахмал растворимый по ГОСТ 10163, раствор с массовой долей 1%, готовят по ГОСТ 4517, свежеприготовленный.

мочевина по ГОСТ 6691, раствор с массовой долей 20%.

Раствор, содержащий JO3, готовят по ГОСТ 4212, раствор хранят в склянке из оранжевого стекла.

Вода дистиллированная по ГОСТ 6709.

Колба 2-50-2 по ГОСТ 1770.

Пипетка 6(7)-2-5-(10) или 6(7)-2-25 по ГОСТ 29227.

Пробирка П4-25-14/23 ХС по ГОСТ 25336.

Стакан В-1-100 ТХС по ГОСТ 25336.

Цилиндр 1(3)-50(100) или мензурка 50(100) по ГОСТ 1770.

3.5.2. Проведение анализа

15,00 г препарата помещают в стакан и растворяют, слабо нагревая, в 40 см3 воды. Раствор охлаждают, переносят количественно в мерную колбу, объем раствора доводят водой до метки и перемешивают (раствор А).

12 см3 раствора А (соответствует 3,6 г препарата) помещают пипеткой в пробирку, прибавляют 1,5 см3 раствора мочевины, 1 см3 раствора серной кислоты, 0,5 см3 раствора крахмала и 1 см3 раствора йодистого кадмия, йодистого калия, перемешивая раствор после прибавления каждого реактива.

Препарат считают соответствующим требованиям настоящего стандарта, если наблюдаемая через 2 мин в проходящем свете на фоне молочного стекла окраска анализируемого раствора не будет интенсивнее окраски раствора сравнения, приготовленного одновременно с анализируемым и содержащего в таком же объеме:

для препарата химически чистый - 0,0015 мг JO3;

для препарата чистый для анализа - 0,015 мг JO3, 2 см3 раствора А (соответствуют 0,6 г препарата), 1,5 см3 раствора мочевины, 1 см3 раствора серной кислоты, 0,5 см3 раствора крахмала и 1 см3 раствора йодистого кадмия, йодистого калия.

3.5.1, 3.5.2. (Измененная редакция, Изм. N 1, 2).

3.6. Определение массовой доли нитритов

Определение проводят по ГОСТ 10671.3. Для этого 1,00 г препарата помещают в цилиндр (2-50 по ГОСТ 1770), растворяют в 40 см3 дистиллированной воды (ГОСТ 6709) и далее определение проводят визуально-колориметрическим методом.

Препарат считают соответствующим требованиям настоящего стандарта, если наблюдаемая через 10 мин окраска анализируемого раствора не будет интенсивнее окраски раствора сравнения, приготовленного одновременно с анализируемым и содержащего в таком же объеме:

для препарата химически чистый - 0,001 мг NO2,

для препарата чистый для анализа - 0,005 мг NO2,

для препарата чистый - 0,010 мг NO2 и 1 см3 реактива Грисса.

3.7. Определение массовой доли сульфатов

Определение проводят по ГОСТ 10671.5. Для этого 2,00 г препарата помещают в выпарительную чашку 3 (ГОСТ 9147), растворяют в 10 см3 дистиллированной воды (ГОСТ 6709), прибавляют 10 см3 раствора соляной кислоты (х.ч.) с массовой долей 25% и выпаривают на водяной бане досуха. Содержимое чашки охлаждают, вновь прибавляют 10 см3 раствора соляной кислоты (х.ч.) с массовой долей 25% и выпаривают досуха.

После охлаждения остаток растворяют в 30 см3 воды, раствор фильтруют через обеззоленный фильтр "синяя лента", промытый горячей водой. Добавляют 20 см3 воды и перемешивают.

25 см3 раствора (соответствуют 1 г препарата) для квалификации х.ч. и ч.д.а. и 12,5 см3 раствора (соответствуют 0,5 г препарата) и 12,5 см3 воды для квалификации ч. помещают в конические колбы и далее определение проводят визуально-нефелометрическим методом (способ 1) или фототурбидиметрическим методом (для препарата квалификации "чистый для анализа" и "чистый").

Препарат считают соответствующим требованиям настоящего стандарта, если наблюдаемая на темном фоне через 30 мин опалесценция анализируемого раствора не будет интенсивнее опалесценции раствора сравнения, приготовленного одновременно с анализируемым и содержащего в таком же объеме:

для препарата химически чистый - 0,01 мг SO4,

для препарата чистый для анализа - 0,03 мг SO4,

для препарата чистый - 0,10 мг SO4, 1 см3 раствора соляной кислоты с массовой долей 10%, 3 см3 раствора крахмала и 3 см3 раствора хлористого бария.

В результат определения вносят поправку на массу сульфатов в 20 см3 раствора соляной кислоты с массовой долей 25%, устанавливаемую контрольным опытом.

При разногласиях в оценке массовой доли сульфатов анализ проводят визуально-нефелометрическим методом (способ 1).

3.8. Определение массовой доли фосфатов

Определение проводят по ГОСТ 10671.6. Для этого 5,00 г препарата помещают в коническую колбу вместимостью 50 см3 и растворяют, слабо нагревая, в 12 см3 воды. Раствор охлаждают до комнатной температуры, переносят количественно в мерную колбу вместимостью 25 см3 (ГОСТ 1770) и далее определение проводят фотометрическим методом по желтой окраске фосфорнованадиевомолибденового комплекса.

Препарат считают соответствующим требованиям настоящего стандарта, если масса фосфатов не будет превышать:

для препарата химически чистый - 0,015 мг,

для препарата чистый для анализа - 0,015 мг,

для препарата чистый - 0,05 мг.

Допускается заканчивать определение визуально.

При разногласиях в оценке массовой доли фосфатов анализ заканчивают фотометрическим методом.

3.9. Определение массовой доли хлоридов

Определение проводят по ГОСТ 10671.7. Для этого 2,00 г препарата помещают в коническую колбу вместимостью 100 см3 (с меткой на 40 см3 или 50 см3) и растворяют в 30 см3 воды. Если раствор мутный, его фильтруют через обеззоленный фильтр "синяя лента", промытый горячим раствором азотной кислоты с массовой долей 1%. Далее определение проводят фототурбидиметрическим (в объеме 50 см3) или визуально-нефелометрическим (в объеме 40 см3) методом.

Препарат считают соответствующим требованиям настоящего стандарта, если масса хлоридов не будет превышать:

для препарата химически чистый - 0,01 мг,

для препарата чистый для анализа - 0,02 мг,

для препарата чистый - 0,04 мг.

При разногласиях в оценке массовой доли хлоридов анализ проводят фототурбидиметрическим методом.

3.6-3.9. (Измененная редакция, Изм. N 2).

3.10. Определение массовой доли хлоратов и перхлоратов

3.10.1. Реактивы, растворы и посуда

Кислота азотная по ГОСТ 4461, х.ч., растворы с массовыми долями 25 и 1%.

Раствор, содержащий Cl, готовят по ГОСТ 4212, соответствующим разбавлением готовят раствор, содержащий 0,01 мг/см3 Cl.

Серебро азотнокислое по ГОСТ 1277, раствор концентрации c(AgNO3)=0,1 моль/дм3 (0,1 н.).

Вода дистиллированная по ГОСТ 6709.

Колба Кн-2-100-22 ТХС по ГОСТ 25336.

Пипетка 6(7)-2-5(10) по ГОСТ 29227.

Тигель по ГОСТ 9147.

Цилиндр 1(3)-50(100) или мензурка 50(100) по ГОСТ 1770.

(Измененная редакция, Изм. N 2).

3.10.2. Проведение анализа

1,00 г препарата помещают в фарфоровый тигель и осторожно нагревают на песчаной бане в течение 1 ч, а затем прокаливают в муфельной печи при 650-700 °С в течение 1 ч.

Прокаленный остаток охлаждают и растворяют в 40 см3 воды (если раствор мутный, его фильтруют через обеззоленный фильтр "синяя лента", предварительно промытый горячим раствором азотной кислоты с массовой долей 1%. Полученный раствор помещают в коническую колбу вместимостью 100 см3 (с меткой на 50 см3), прибавляют 2 см3 раствора азотной кислоты с массовой долей 25%, 1 см3 раствора азотнокислого серебра, доводят объем раствора водой до метки и перемешивают.

Препарат считают соответствующим требованиям настоящего стандарта, если наблюдаемая на темном фоне через 20 мин опалесценция анализируемого раствора не будет интенсивнее опалесценции раствора сравнения, приготовленного одновременно с анализируемым и содержащего в таком же объеме:

для препарата химически чистый - 0,01 мг Cl,

для препарата чистый для анализа - 0,02 мг Cl,

для препарата чистый - 0,05 мг Cl и дополнительную массу хлоридов в миллиграммах, найденную в 1,00 г препарата (по п.3.9), 2 см3 раствора азотной кислоты с массовой долей 25% и 1 см3 раствора азотнокислого серебра.

Допускается проводить определение фотометрическим методом.

(Измененная редакция, Изм. N 1, 2).

3.11. Определение массовой доли аммонийных солей

3.11.1. (Исключен, Изм. N 2).

3.11.2. Проведение анализа

Определение проводят по ГОСТ 24245. Для этого 1,00 г препарата помещают в цилиндр 2(4)-100 (ГОСТ 1770), растворяют в 40 см3 воды и далее определение проводят по ГОСТ 24245.

Препарат считают соответствующим требованиям настоящего стандарта, если наблюдаемая через 10 мин окраска анализируемого раствора не будет интенсивнее окраски раствора сравнения, приготовленного одновременно с анализируемым и содержащего в таком же объеме:

для препарата химически чистый - 0,01 мг NH4,

для препарата чистый для анализа - 0,05 мг NH4,

для препарата чистый - 0,05 мг NH4, 1 см3 раствора гидроокиси натрия и 1 см3 реактива Несслера или Несслера-Виклера.

3.12. Определение массовой доли железа

Определение проводят по ГОСТ 10555. Для этого 5,00 г препарата помещают в мерную колбу вместимостью 50 см3, растворяют в 20 см3 воды и далее определение проводят сульфосалициловым методом.

Препарат считают соответствующим требованиям настоящего стандарта, если масса железа не будет превышать:

для препарата химически чистый - 0,005 мг,

для препарата чистый для анализа - 0,010 мг,

для препарата чистый - 0,050 мг.

Допускается заканчивать определение визуально 2,2'-дипиридиловым методом по ГОСТ 10555.

При разногласиях в оценке массовой доли железа анализ проводят сульфосалициловым фотометрическим методом.

(Измененная редакция, Изм. N 1, 2).

3.13. Определение массовой доли кальция и натрия

3.13.1. Приборы, оборудование, реактивы и растворы

Фотометр пламенный на основе спектрографа ИСП-51 с приставкой ФЭП-1 с соответствующим фотоумножителем или спектрофотометр "Сатурн"; допускается использование других приборов с аналогичными метрологическими характеристиками.

Колба 2-100-2 по ГОСТ 1770.

Пипетки 6(7)-2-5 и 6(7)-2-25 по ГОСТ 29227.

Воздух сжатый для питания контрольно-измерительных приборов.

Фракция пропан-бутановая.

Ацетилен растворенный технический по ГОСТ 5457.

Горелка с распылительной камерой, снабженная угловым или концентрическим распылителем (рекомендуемые размеры углевого распылителя: диаметр капилляра, подающего раствор, - 0,3 мм, подающего воздух, - 0,7 мм).

Растворы, содержащие натрий и кальций, готовят по ГОСТ 4212, соответствующим разбавлением получают раствор, содержащий 0,1 мг/см3 натрия и 0,1 мг/см3 кальция - раствор А.

калий азотнокислый х.ч., дважды перекристаллизованный и высушенный при 120 °С до постоянной массы водный раствор 200 г/дм3 - раствор Б.

Вода дистиллированная по ГОСТ 6709, вторично перегнанная в кварцевом дистилляторе или Вода деминерализованная.

Все исходные растворы и растворы сравнения следует хранить в полиэтиленовой или кварцевой посуде.

3.13.2. Подготовка к анализу

Приготовление анализируемых растворов

5,00 г препарата помещают в мерную колбу и растворяют в воде. Объем раствора доводят водой до метки и тщательно перемешивают. (Для анализа берут не менее двух навесок препарата).

Приготовление растворов сравнения

Для приготовления растворов сравнения в три мерные колбы помещают указанные в табл.2 объемы раствора А и по 25 см3 раствора Б.

Таблица 2

Масса раствора А, см3

Масса элемента в 100 см3 раствора сравнения, мг

Массовая доля элемента в растворе сравнения, %, в пересчете на препарат

Na

Ca

Na

Ca

0,5

0,05

0,05

0,001

0,001

1,5

0,15

0,15

0,003

0,003

2,5

0,25

0,25

0,005

0,005


Объем каждого раствора доводят водой до метки и тщательно перемешивают.

3.13.3. Проведение анализа

Сравнивают интенсивность излучения резонансной линии Na-589,0-589,6 нм, Ca-422,7 нм. При определении натрия допускается проводить испытание в пламени смеси пропан-бутан-воздух в спектре пламени смеси ацетилен-воздух, при введении в него растворов проб и растворов сравнения.

После подготовки прибора проводят фотометрирование воды, применяемой для приготовления растворов, в порядке возрастания массовых долей примесей.

Затем проводят фотометрирование в обратной последовательности, начиная с максимальных массовых долей примесей и вычисляют среднеарифметическое значение показаний для каждого раствора, учитывая в качестве поправки отсчет, полученный при фотометрировании воды. После каждого замера распыляют воду.

3.13.1-3.13.3. (Измененная редакция, Изм. N 1, 2).

3.13.4. Обработка результатов

По полученным данным для растворов сравнения строят градуировочный график, откладывая значения интенсивности излучения на оси ординат, а массовые доли примесей натрия и кальция на оси абсцисс.

Массовые доли примесей Na и Ca в анализируемом препарате в процентах находят по графику.

За результат анализа принимают среднеарифметическое результатов двух определений, относительное расхождение между которыми не превышает допускаемое расхождение, равное 20%.

Допускаемая относительная суммарная погрешность результата анализа ±10% при доверительной вероятности P=0,95.

(Измененная редакция, Изм. N 2).

3.14. Определение массовой доли магния

3.14.1. Аппаратура, реактивы и растворы

Колба Кн-2-50-18 ТХС по ГОСТ 25336.

Пипетка 4(5)-2-2 по ГОСТ 29227.

Цилиндр 1(3)-25(50) и 2(4)-50 по ГОСТ 1770.

Натрия гидроокись (гидроксид) по ГОСТ 4328, с массовой долей 30%.

Раствор, содержащий Mg, готовят по ГОСТ 4212, соответствующим разбавлением готовят раствор, содержащий 0,01 мг/см3 Mg.

Титановый желтый, раствор с массовой долей 0,05%, свежеприготовленный.

Вода дистиллированная по ГОСТ 6709.

(Измененная редакция, Изм. N 2).

3.14.2. Проведение анализа

1,00 г препарата помещают в коническую колбу или цилиндр вместимостью 50 см3, растворяют в 18 см3 воды, прибавляют 0,2 см3 раствора титанового желтого, 2 см3 раствора гидроксида натрия и перемешивают.

Препарат считают соответствующим требованиям настоящего стандарта, если наблюдаемая через 10 мин в проходящем свете на фоне молочного стекла розовато-желтая окраска анализируемого раствора по розовому оттенку не будет интенсивнее окраски раствора сравнения, приготовленного одновременно с анализируемым и содержащего в таком же объеме:

для препарата химически чистый - 0,01 мг Mg,

для препарата чистый для анализа - 0,01 мг Mg,

для препарата чистый - 0,02 мг Mg, 0,2 см3 раствора титанового желтого и 2 см3 раствора гидроксида натрия.

3.15. Определение массовой доли мышьяка

Определение проводят по ГОСТ 10485. Для этого 5,00 г препарата помещают в выпарительную чашку 3 (ГОСТ 9147), прибавляют 5 см3 воды, 20 см3 раствора серной кислоты и выпаривают сначала на водяной бане, а затем на песчаной до появления густых паров серной кислоты.

После охлаждения чашки осторожно прибавляют 10 см3 воды и снова выпаривают сначала на водяной, а затем на песчаной бане до появления густых паров серной кислоты.

После охлаждения остаток растворяют в 30 см3 воды и переносят в колбу прибора для определения мышьяка и далее определение проводят методом с применением бромнортутной бумаги в сернокислой среде (способ 2).

Препарат считают соответствующим требованиям настоящего стандарта, если наблюдаемая через 1,5 ч окраска бромнортутной бумаги от анализируемого раствора не будет интенсивнее окраски бромнортутной бумаги от раствора сравнения, приготовленного одновременно с анализируемым и содержащего в таком же объеме для препарата квалификации химически чистый 0,002 мг As, 20 см3 раствора серной кислоты, 0,5 см3 раствора 2-водного двухлористого олова с массовой долей 10% и 5 г цинка.

При необходимости вводят поправку на массу мышьяка в 20 см3 раствора применяемой серной кислоты, устанавливаемую контрольным опытом.

Допускается определять мышьяк диэтилдитиокарбаматом серебра по ГОСТ 10485.

3.16. Определение массовой доли тяжелых металлов

Определение проводят по ГОСТ 17319. Для этого 5,00 г препарата помещают в коническую колбу вместимостью 50 см3 (с меткой на 25 см3) и, слабо нагревая, растворяют в 15 см3 воды. Раствор охлаждают до комнатной температуры и далее определение проводят тиоацетамидным методом фотометрическим или визуально-колориметрическим методом.

Препарат считают соответствующим требованиям настоящего стандарта, если масса тяжелых металлов (Pb) не будет превышать:

для препарата химически чистый - 0,010 мг,

для препарата чистый для анализа - 0,015 мг,

для препарата чистый - 0,025 мг.

Допускается проводить определение сероводородным методом по ГОСТ 17319.

При разногласиях в оценке массовой доли тяжелых металлов анализ проводят фотометрическим тиоацетамидным методом.

3.14.2-3.16. (Измененная редакция, Изм. N 1, 2).

3.17. Определение pH раствора препарата с массовой долей 5%

5,00 г препарата помещают в коническую колбу вместимостью 250 см (ГОСТ 25336), растворяют в 95 см3 дистиллированной воды, не содержащей углекислоты (готовят по ГОСТ 4517), и измеряют pH раствора на универсальном иономере ЭВ-74 или другом приборе с основной допускаемой погрешностью ±0,05 pH.

(Измененная редакция, Изм. N 2).

4. УПАКОВКА, МАРКИРОВКА, ТРАНСПОРТИРОВАНИЕ И ХРАНЕНИЕ

4.1. Препарат упаковывают и маркируют в соответствии с ГОСТ 3885.

Вид и тип тары: 2-1, 2-4 и 11-6, вложенные в картонные навивные барабаны по ГОСТ 17065.

На банки и барабаны наносят знаки опасности по ГОСТ 19433 (класс 5, подкласс 5.1, классификационный шифр 5113).

Группа фасовки: IV, V, VI, VII до 35 кг.

(Измененная редакция, Изм. N 1, 2).

4.2. Препарат перевозят всеми видами транспорта в соответствии с правилами перевозки грузов, действующими на данном виде транспорта.

4.3. Препарат хранят в упаковке изготовителя в сухих крытых вентилируемых складских помещениях отдельно от восстановителей и хлоратов при дополнительном соблюдении требований ГОСТ 12.1.004 по совместному хранению веществ.

(Измененная редакция, Изм. N 2).

5. ГАРАНТИИ ИЗГОТОВИТЕЛЯ

5.1. Изготовитель гарантирует соответствие азотнокислого калия требованиям настоящего стандарта при соблюдении условий транспортирования и хранения.

5.2. Гарантийный срок хранения реактива - два года со дня изготовления.

5.1, 5.2. (Измененная редакция, Изм. N 2).

6. ТРЕБОВАНИЯ БЕЗОПАСНОСТИ

6.1. Азотнокислый калий является окислителем. Смеси с горючими веществами легко воспламеняются и интенсивно горят. Воспламенение может произойти в результате самовозгорания. Со многими веществами, в том числе не способными гореть на воздухе, образует взрывчатые смеси. Упаковочные материалы, пропитанные азотнокислым калием, могут самовозгораться. Пожар тушат большим количеством воды. Не допускается применять пенные огнетушители.

6.2. Для предотвращения пожаров и взрывов при хранении продукта следует соблюдать требования, изложенные в п.4.3 настоящего стандарта. Просыпанное вещество следует собирать в отдельную тару и отправлять на уничтожение. Пропитанные азотнокислым калием сгораемые упаковочные материалы следует сжигать, не допуская даже временного их складирования. Во избежание взрывообразного сгорания сжигаемые отходы нужно сжигать небольшими порциями

6.3. Азотнокислый калий действует раздражающе на органы дыхания, слизистые оболочки и кожу. При работе с препаратом следует применять индивидуальные средства защиты.

Предельно допустимая концентрация (ПДК) пыли продукта в воздухе рабочей зоны - 5 мг/м3 (вещество 3-го класса опасности).

6.1-6.3. (Измененная редакция, Изм. N 2).

6.4. Определение ПДК пыли азотнокислого калия в воздухе рабочей зоны проводят гравиметрическим методом по привесу аэрозольных фильтров.

6.5. Отходы производства возвращаются в производственный цикл.

6.4, 6.5. (Введены дополнительно, Изм. N 2).



Текст документа сверен по:
официальное издание
М.: ИПК Издательство стандартов, 2003