Новости Нефтегазовая пром.
Выставки Наука и технология


Соляная кислота особой чистоты ГОСТ 14261-77

Соляная кислота особой чистоты. Технические условия (с Изменением N 1, с Поправкой) ГОСТ 14261-77


ГОСТ 14261-77

Группа Л54



ГОСУДАРСТВЕННЫЙ СТАНДАРТ СОЮЗА ССР

кислота соляная ОСОБОЙ ЧИСТОТЫ

Технические условия

Hydrochloric acid super pure. Specifications



ОКП 26 1234 0004 05

Срок действия с 01.07.78 
в части марки ос.ч. 26-4 с 01.01.80
до 01.07.93*
______________________________
* Ограничение срока действия снято
по протоколу N 2-92 Межгосударственного Совета
по стандартизации, метрологии и сертификации
(ИУС N 2, 1993 год). - Примечание изготовителя базы данных.

     
     
ИНФОРМАЦИОННЫЕ ДАННЫЕ

1. РАЗРАБОТАН И ВНЕСЕН Министерством химической промышленности

ИСПОЛНИТЕЛИ

В.Г.Брудзь, М.С.Чунахин, К.Д.Пославская, А.Т.Черепкова, Л.К.Радинская

2. УТВЕРЖДЕН И ВВЕДЕН В ДЕЙСТВИЕ Постановлением Государственного комитета стандартов Совета Министров СССР от 26 мая 1977 г. N 1347

3. ПЕРИОДИЧНОСТЬ ПРОВЕРКИ - 5 лет

4. ВЗАМЕН ГОСТ 14261-69

5. ССЫЛОЧНЫЕ НОРМАТИВНО-ТЕХНИЧЕСКИЕ ДОКУМЕНТЫ

Обозначение НТД, на который дана ссылка

Номер пункта, подпункта

ГОСТ 36-78

3.7.1

ГОСТ 83-79

3.4.1, 3.8.1, 3.11.1

ГОСТ 84-76

3.4.1, 3.11.1

ГОСТ 1027-67

3.7.1

ГОСТ 1770-74

3.2.1, 3.3, 3.4.1, 3.5.1, 3.8.1, 3.9.1,
3.10.1, 3.11.1, 3.12.1, 3.13.1

ГОСТ 2062-77

3.12.1

ГОСТ 3118-77

3.8.1

ГОСТ 3652-69

3.6.1

ГОСТ 3765-78

3.6.1, 3.9.1

ГОСТ 3773-72

3.4.1, 3.11.1

ГОСТ 3885-73-->ГОСТ 3885-73

2.1, 3.1, 4.1

ГОСТ 4108-72

3.8.1

ГОСТ 4159-79

3.10.1

ГОСТ 4160-74

3.4.1, 3.11.1

ГОСТ 4166-76

3.7.1, 3.9.1

ГОСТ 4172-76

3.10.1

ГОСТ 4204-77

3.3. 3.12.1

ГОСТ 4212-76

3.4.1, 3.5.1, 3.6.1, 3.7.1, 3.8.1, 3.9.1,
3.11.1, 3.12.1, 3.13.1

ГОСТ 4232-74

3.7.1, 3.9.1, 3.10.1, 3.12.1

ГОСТ 4234-77

3.6.1

ГОСТ 4328-77

3.2.1, 3.13.1

ГОСТ 4331-78

3.11.1

ГОСТ 4461-77

3.12.1

ГОСТ 4467-79

3.11.1

ГОСТ 4517-87

3.7.1

ГОСТ 4526-75

3.11.1

ГОСТ 4919.1-77

3.2.1

ГОСТ 4919.2-77

3.13.1

ГОСТ 5457-75

3.5.1

ГОСТ 5556-81

3.4.1, 3.11.1

ГОСТ 5830-79

3.9.1

ГОСТ 5955-75

3.7.1, 3.12.1

ГОСТ 6563-75

3.6.1, 3.12.1

ГОСТ 6709-72-->ГОСТ 6709-72

3.2.1, 3.4.1, 3.5.1, 3.6.1, 3.7.1, 3.8.1,
3.9.1, 3.10.1, 3.11.1, 3.12.1, 3.13.1

ГОСТ 8321-74

3.4.1

ГОСТ 9199-77

3.11.1

ГОСТ 9293-74

3.12.1

ГОСТ 9656-75

3.6.1

ГОСТ 10216-75

3.11.1

ГОСТ 10262-73

3.11.1

ГОСТ 10929-76

3.8.1

ГОСТ 11125-84

3.7.1, 3.9.1, 3.11.1

ГОСТ 14262-78

3.6.1, 3.7.1, 3.9.1, 3.11.1

ГОСТ 16539-79

3.11.1

ГОСТ 18300-87

3.2.1, 3.4.1, 3.7.1, 3.11.1, 3.13.1

ГОСТ 19627-74

3.4.1, 3.11.1

ГОСТ 19908-80 

3.3, 3.4.1, 3.5.1, 3.7.1, 3.8.1, 3.9.1, 3.11.1, 3.13.1

ГОСТ 20292-74

3.2.1, 3.4.1, 3.5.1, 3.6.1, 3.7.1, 3.8.1,
3.9.1, 3.10.1, 3.11.1, 3.12.1, 3.13.1

ГОСТ 22516-77

3.11.1

ГОСТ 23463-79

3.4.1, 3.11.1

ГОСТ 24104-80

3.1а

ГОСТ 25336-82

3.2.1, 3.8.1, 3.9.1, 3.12.1

ГОСТ 25664-83

3.4.1, 3.11.1

ГОСТ 25794.1-83

3.2.1, 3.13.1

ГОСТ 25794.2-83

3.10.1

ГОСТ 27025-86

3.1а

ГОСТ 27068-86

3.4.1, 3.11.1

6. Срок действия продлен до 01.07.93 Постановлением Госстандарта от 18.12.87 N 4704

7. ПЕРЕИЗДАНИЕ (январь 1988 г.) с Изменением N 1, утвержденным в декабре 1987 г. (ИУС 3-88).


ВНЕСЕНА поправка, опубликованная в ИУС N 3, 1990 год 


Поправка внесена изготовителем базы данных

Настоящий стандарт распространяется на соляную кислоту особой чистоты, которая представляет собой бесцветную прозрачную жидкость, дымящую на воздухе.

Формула НСl.

Молекулярная масса (по международным атомным массам 1971 г.) - 36,46.

1. ТЕХНИЧЕСКИЕ ТРЕБОВАНИЯ

1.1. Соляная кислота особой чистоты должна выпускаться плотностью 1,174-1,185 г/см3.

1.2. Соляная кислота должна быть изготовлена в соответствии с требованиями настоящего стандарта по технологическому регламенту, утвержденному в установленном порядке.

1.3. По химическим показателям Соляная кислота должна соответствовать нормам, указанным в табл.1.

Таблица 1

Наименование показателя

Норма 

Ос.ч. 26-4 
ОКП 26 1234
0044 08

Ос.ч. 20-4 
ОКП 26 1234
0034 10

Ос.ч. 7-4 
ОКП 26 1234
0024 01

1. Массовая доля хлористого водорода, %

35-38

35-38

35-38

2. Массовая доля остатка после прокаливания, %, не более

2·10-4

5·10-4

5·10-4

3. Массовая доля алюминия (Аl), %, не более

5·10-7

4·10-6

Не нормируется

4. Массовая доля бора (В), %, не более

1·10-7

1·10-6

Не нормируется

5. Массовая доля висмута (Bi), %, не более

3·10-7

1·10-6

Не нормируется

6. Массовая доля галлия (Ga), %, не более

1·10-7

Не нормируется

Не нормируется

7. Массовая доля железа (Fe), %, не более

1·10-6

4·10-6

1·10-5

8. Массовая доля золота (Аu), %, не более

5·10-7

Не нормируется

Не нормируется

9. Массовая доля индия (In), %, не более

1·10-7

Не нормируется

Не нормируется

10. Массовая доля кадмия (Cd), %, не более

1·10-6

5·10-6

Не нормируется

11. Массовая доля калия, (K), %, не более

5·10-6

Не нормируется

Не нормируется

12. Массовая доля кальция (Ca), %, не более

5·10-6

Не нормируется

Не нормируется

13. Массовая доля кобальта (Со), %, не более

1·10-7

1·10-6

Не нормируется

14. Массовая доля кремниевой кислоты (SiO2), %, не более

2·10-5

1·10-4

Не нормируется

15. Массовая доля магния (Mg), %, не более

1·10-6

5·10-6

Не нормируется

16. Массовая доля марганца (Mn), %, не более

1·10-7

1·10-6

Не нормируется

17. Массовая доля меди (Сu), %, не более

1·10-7

5·10-7

1·10-6

18. Массовая доля мышьяка (As), %, не более

5·10-7

1·10-6

1·10-6

19. Массовая доля натрия (Na), %, не более

5·10-6

Не нормируется

Не нормируется

20. Массовая доля никеля (Ni), %, не более

1·10-7

1·10-6

1·10-6

21. Массовая доля олова (Sn), %, не более

3·10-7

3·10-6

Не нормируется

22. Массовая доля свинца (Pb), %, не более

1·10-7

1·10-6

1·10-5

23. Массовая доля серы общей (S), %, не более

1·10-5

3·10-4

3·10-4

24. Массовая доля серебра, (Ag), %, не более 

1·10-7

5·10-7

Не нормируется

25. Массовая доля сурьмы (Sb), %, не более

1·10-7

1·10-5

Не нормируется

26. Массовая доля титана (Ti), %, не более

1·10-6

1·10-6

Не нормируется

27. Массовая доля фосфора (P), %, не более 

1·10-7

1·10-6

1·10-5

28. Массовая доля цинка (Zn), %, не более

2·10-6

5·10-6

Не нормируется

29. Массовая доля свободного хлора (Сl), %, не более

1·10-4

1·10-4

1·10-4

30. Массовая доля хрома (Сr), %, не более

3·10-7

Не нормаруется

Не нормируется


Примечания:

1. При подсчете числа и суммы примесей для установления марок не учитываются показатели 1, 2, 8 и 29 табл.1.

2. Препарату с массовой долей свободного хлора 5·10-5% присваивают марку "ос.ч. 20-4 с низким содержанием хлора" (ОКП 26 1234 0064 04) и "ос.ч. 7-4 с низким содержанием хлора" (ОКП 26 1234 0054 06).


(Измененная редакция, Изм. N 1).

2. ПРАВИЛА ПРИЕМКИ

2.1. Правила приемки - по ГОСТ 3885-73-->ГОСТ 3885-73.

2.2. Массовую долю золота в соляной кислоте марки ос.ч. 26-4 определяют по требованию потребителей.

Массовую долю бора и мышьяка изготовитель определяет периодически в каждой 20-й партии. 

(Измененная редакция, Изм. N 1).

3. МЕТОДЫ АНАЛИЗА

3.1а. Общие указания по проведению анализа - по ГОСТ 27025-86. При взвешивании используют лабораторные весы по ГОСТ 24104-80 2-го класса точности с наибольшим пределом взвешивания 500 г или 1 кг.

Допускается применение импортной аппаратуры и посуды по классу точности и реактивов по качеству не ниже отечественных. 

(Введен дополнительно, Изм. N 1).

3.1. Пробы отбирают по ГОСТ 3885-73-->ГОСТ 3885-73. Масса средней отобранной пробы должна быть не менее 2800 г.

Для анализа пробу соляной кислоты отбирают в полиэтиленовые бутылки с навинчивающимися крышками и вкладышами из того же материала, предварительно выдержанные в течение суток с соляной кислотой особой чистоты. Перед отбором пробы пипетку ополаскивают соляной кислотой особой чистоты. Бутылки обвязывают полиэтиленовой пленкой.

(Измененная редакция, Изм. N 1).

3.2. Определение массовой доли хлористого водорода

3.2.1. Аппаратура, реактивы и растворы

Бюретка 1(2)-2-50-0,1 по ГОСТ 20292-74.

Колба Кн-1-250-14(23) ТХС по ГОСТ 25336-82.

Цилиндр 1(3)-50(100) по ГОСТ 1770-74.

Вода дистиллированная по ГОСТ 6709-72-->ГОСТ 6709-72.

Метиловый красный (индикатор), спиртовой раствор с массовой долей 0,1% или метиловый оранжевый (индикатор), раствор с массовой долей 0,1%; готовят по ГОСТ 4919.1-77.

Натрия гидроокись по ГОСТ 4328-77, раствор гидроокиси натрия концентрации c(NaOH)=1 моль/дм3 (1 н.); готовят по ГОСТ 25794.1-83.

Спирт этиловый ректификованный технический по ГОСТ 18300-87, высший сорт.

3.2.2. Проведение анализа

Около 3,5000 г (3 см3) препарата, взятого по объему пипеткой Лунге, взвешивают и помещают в коническую колбу, содержащую 15 см3 воды.

Раствор тщательно перемешивают и титруют из бюретки раствором гидроокиси натрия, применяя в качестве индикатора раствор метилового красного или метилового оранжевого.

Массу навески препарата допускается взвешивать в ампуле или в колбе (с притертой пробкой) вместимостью 100 см3, содержащую 15 см3 воды и предварительно взвешенную (результат взвешивания в граммах записывают с точностью до четвертого десятичного знака).

3.2.3. Обработка результатов

Массовую долю хлористого водорода (X) в процентах вычисляют по формуле где V - объем раствора гидроокиси натрия концентрации точно c(NaOH)=1 моль/дм3, израсходованный на титрование, см3;
   0,03646 - масса хлористого водорода, соответствующая 1 см3 раствора гидроокиси натрия концентрации точно c(NaOH)=1 моль/дм3, г;

    m - масса навески препарата, г.

За результат анализа принимают среднее арифметическое результатов двух параллельных определений, абсолютное расхождение между которыми не превышает допускаемое расхождение, равное 0,2%, при доверительной вероятности P=0,95.

3.3. Массовая доля остатка после прокаливания

К 420 см3 (500 г) препарата марки ос.ч. 26-4 или к 168 см3 (200 г) препарата марок ос.ч. 20-4 и ос.ч. 7-4, взятых по объему цилиндром с пришлифованной пробкой (ГОСТ 1770-74) с погрешностью не более 1%, добавляют 0,1 см3 серной кислоты (ГОСТ 4204-77) и выпаривают в несколько приемов в кварцевой чашке вместимостью 100-120 см3 (ГОСТ 19908-80), предварительно прокаленной при 600 °С до постоянной массы и взвешенной (результат взвешивания в граммах записывают с точностью до четвертого десятичного знака), следующим образом: чашку с одной порцией (100 см3) препарата, в которую добавлен 0,1 см3 серной кислоты, помещают в плоскодонную кварцевую чашку значительно большего диаметра и ставят на электроплитку любого типа, покрытую алюминиевым листом.

Над плиткой с чашкой закрепляют перевернутую полиэтиленовую или стеклянную воронку большого диаметра (отверстие трубки воронки прикрывают колпачком из обеззоленного фильтра). Включают электроплитку и жидкость в чашке выпаривают до 1 см3, охлаждают, после чего прибавляют в чашку следующую порцию препарата и снова выпаривают досуха. Чашку с сухим остатком покрывают перевернутой кварцевой чашкой промежуточного диаметра и все три чашки помещают в муфельную печь. Остаток прокаливают при 600 °С до постоянной массы (взвешивают чашку с сухим остатком анализируемого препарата) и результат взвешивания в граммах записывают с точностью до четвертого десятичного знака.

Препарат считают соответствующим требованиям настоящего стандарта, если масса прокаленного остатка не будет превышать 1 мг.

3.2.1-3.3. (Измененная редакция, Изм. N 1).

3.4. Определение массовой доли бора 

3.4.1. Аппаратура, реактивы и растворы

Спектрограф ИСП-28 (или ИСП-30) с трехлинзовой системой освещения и трехступенчатым ослабителем.

Генератор дуги переменного тока ДГ-2 для поджига дуги постоянного тока.

Спектропроектор типа ПС-18.

Выпрямитель ртутный ВАРЗ 120-30.

Микрофотометр МФ-2 или МФ-4.

Автотрансформатор лабораторный ЛАТР-2А (или 9А).

Весы торсионные типа ВТ с ценой деления 1 мг и наибольшим пределом взвешивания 500 мг.

Допускается применение других приборов с аналогичными метрологическими характеристиками.

Колба 2-100-2 по ГОСТ 1770-74.

Пипетка 4(5)-2-1 (2) по ГОСТ 20292-74.

Чаша 50 по ГОСТ 19908-80.

Цилиндр 2-50 по ГОСТ 1770-74.

Электроплитка с регулируемым нагревом и графитовой прокладкой.

Вода дистиллированная по ГОСТ 6709-72-->ГОСТ 6709-72.

Угли графитированные (электроды) марки ос.ч. 7-3 диаметром 6 мм. Нижний электрод имеет кратер диаметром 4,5 мм и глубиной 4 мм; верхний электрод может быть с плоской торцевой поверхностью.

Графит порошковый, ос.ч. 8-4 по ГОСТ 23463-79

Натрий хлористый для спектрального анализа. 

Фотопластинки спектральные типа II, чувствительностью 15 относительных единиц.

Проявитель метолгидрохиноновый, готовят следующим образом:

раствор А: 2 г метола, 10 г гидрохинона и 104 г 7-водного сернистокислого натрия растворяют в воде, доводят объем раствора водой до 1 дм3 перемешивают и, если раствор мутный, фильтруют; 

раствор Б: 16 г углекислого натрия (или 40 г 10-водного углекислого натрия) и 2 г бромистого калия растворяют в воде, доводят объем раствора водой до 1 дм3, перемешивают и, если раствор мутный, фильтруют. Затем растворы А и Б смешивают в равных объемах.

Фиксаж быстродействующий, готовят следующим образом: 500 г 5-водного серноватистокислого натрия и 100 г хлористого аммония растворяют в воде, доводят объем раствора водой до 2 дм3, перемешивают и, если раствор мутный, фильтруют.

Метол (4-метиламинофенол сульфат) по ГОСТ 25664-83.

Гидрохинон (парадиоксибензол) по ГОСТ 19627-74.

Натрий сульфит 7-водный.

Натрий углекислый по ГОСТ 83-79.

Натрий углекислый 10-водный по ГОСТ 84-76.

Калий бромистый по ГОСТ 4160-74.

Аммоний хлористый по ГОСТ 3773-72.

натрий серноватистокислый 5-водный (натрия тиосульфат) по ГОСТ 27068-86.

Раствор, содержащий бор, готовят по ГОСТ 4212-76.

Д(-) маннит по ГОСТ 8321-74, ч.д.а., содержащий не более 1·10-4 бора (при необходимости перекристаллизовывают из воды), растворы с массовой долей 1 и 0,1%.

Спирт этиловый ректификованный технический по ГОСТ 18300-87, высший сорт.

Вата медицинская гигроскопическая по ГОСТ 5556-81.

3.4.2. Приготовление образцов сравнения

Для приготовления образцов сравнения предварительно готовят растворы, содержащие 0,01, 0,006, 0,002 мг бора в 1 см3. Затем в ступку из органического стекла помещают 1 г порошкового графита, раствор, содержащий 0,01 мг бора, и 0,5 см3 раствора маннита с массовой долей 1%. Приготовленную смесь высушивают под инфракрасной лампой в течение 40 мин.

Аналогичным образом готовят образцы сравнения, содержащие 0,006 и 0,002 мг бора. Затем на 1 г каждого образца сравнения добавляют 0,06 г хлористого натрия, тщательно растирают в течение 15 мин.

Весы, ступку, пестик и остальные приспособления (в том числе и при проведении анализа) предварительно тщательно протирают ватным тампоном, смоченным в этиловом спирте.

3.4.3. Подготовка анализируемой пробы

В чашку помещают цилиндром 42 см3 (50 г) препарата, взятого по объему с погрешностью не более 1 см.

В чашку прибавляют 0,025 г порошкового графита, 0,2 см3 раствора маннита с массовой долей 0,1%, затем выпаривают на электроплитке досуха.

К сухому остатку при тщательном перемешивании добавляют 2 мг хлористого натрия. Полученные концентраты проб подвергают спектральному анализу.

Съемку спектрограмм производят при ширине щели спектрографа - 0,015 мм, времени экспозиции - 50 с, силе тока - 10 А, высоте диафрагмы на средней линзе конденсорной системы - 5 мм.

3.4.4. Проведение анализа

В каналы нижних электродов (анодов), предварительно протертых спиртом, вносят образцы сравнения и концентраты анализируемых проб. Между вертикально поставленными электродами зажигают дугу, питаемую постоянным током. На одной фотопластинке в одинаковых условиях фотографируют по 2-3 раза спектры образцов сравнения и концентратов проб. Каждый раз ставят новую пару электродов. Щель открывают ранее зажигания дуги.

За результат анализа принимают среднее арифметическое результатов трех параллельных определений, относительное расхождение между наиболее отличающимися значениями которых не превышает допускаемое расхождение, равное 100%.

Допускаемая относительная суммарная погрешность результата анализа ±50% при доверительной вероятности P=0,95.

3.4.1-3.4.4. (Измененная редакция, Изм. N 1).

3.4.5. Обработка спектрограммы и результатов анализа

Фотопластинку со снятыми спектрами проявляют, промывают водой, фиксируют, снова тщательно промывают в проточной воде и высушивают на воздухе (или при помощи вентилятора). Сухую фотопластинку фотометрируют на микрофотометре, пользуясь логарифмической шкалой и измеряя почернение линии бора Sпр+ф (по подходящей ступени ослабителя) и соседнего фона (Sф).

Используют аналитические линии бора 246,6 и 249,7 нм.

Находят среднюю арифметическую величину разности почернения  в концентратах проб и образцах сравнения. Строят градуировочный график по средним величинам . На оси абсцисс откладывают логарифмы массовой доли примеси в образце сравнения, на оси ординат - разность почернений

По градуировочному графику находят массоваю долю примеси в концентрате. Делением этой величины на 2·10получают массовую долю примеси в анализируемом препарате.

3.5. Определение массовой доли калия и натрия

3.5.1. Аппаратура, реактивы и растворы

Фотометр пламенный или спектрофотометр на основе спектрографа ИСП-51 с фотоэлектрической приставкой ФЭП-1, с соответствующим фотоумножителем или спектрофотометр "Сатурн"; допускается использование других приборов с аналогичными метрологическими характеристиками.

Пропан в баллоне.

Распылитель.

Горелка.

Колба 2-100-2 по ГОСТ 1770-74.

Пипетка 6(7)-2-5(10) по ГОСТ 20292-74.

Чаша 200 по ГОСТ 19908-80.

Цилиндр 1(3)-25 и 2(4)- 250 по ГОСТ 1770-74

Ацетилен растворенный и газообразный технический по ГОСТ 5457-75.

Вода дистиллированная по ГОСТ 6709-72-->ГОСТ 6709-72, вторично перегнанная в кварцевой аппаратуре, или Вода деминерализованная.

Воздух сжатый для питания контрольно-измерительных приборов.

Растворы, содержащие K и Na, готовят по ГОСТ 4212-76; соответствующим разбавлением готовят раствор, содержащий по 0,01 мг K и Na в 1 см (раствор А).

Все растворы и воду необходимо хранить в полиэтиленовой, фторопластовой или кварцевой посуде.

3.5.2. Приготовление растворов сравнения

В три мерные колбы помещают по 25 см воды и объемы раствора А, указанные в табл.2.

Таблица 2

Номера растворов сравнения

Объем раствора А, см

Масса натрия и калия в 100 см раствора сравнения, мг

Масса натрия и калия в 100 см и калия в анализируемом препарате, %

K

Na

K

Na

1

2,4

0,024

0,024

3·10-6

3·10-6

2

4

0,04

0,04

5·10-6

5·10-6

3

6

0,06

0,06

7,5·10-6

7,5·10-6


Объем растворов доводят водой до метки и тщательно перемешивают.

3.5.3. Приготовление анализируемой пробы

168 см (200 г) препарата марки ос.ч. 26-4 отмеряют цилиндром, помещают в кварцевую чашу и упаривают досуха под инфракрасной лампой (или на графитовой плитке) в условиях, исключающих загрязнение.

Сухой остаток растворяют в 25 см воды, раствор переносят в полиэтиленовый стаканчик для взвешивания.

3.5.4. Проведение анализа

Сравнивают интенсивность излучения резонансных линий натрия 589,0-589,6 и калия 766,5-768,9 нм, возникающих в спектре пламени газ-воздух при введении в него анализируемой пробы и растворов сравнения.

После подготовки прибора в соответствии с приложенной к нему инструкцией по эксплуатации проводят фотометрирование воды, применяемой для приготовления растворов, а также анализируемых проб и растворов сравнения в порядке возрастания массовых долей примесей натрия и калия. Затем проводят фотометрирование в обратной последовательности и вычисляют среднее арифметическое значение показаний для каждого раствора, учитывая в качестве поправки отсчет, полученный при фотометрировании воды.

По полученным данным для растворов сравнения строят градуировочный график в координатах: интенсивность излучения - массовая доля примеси в процентах. Массовую долю натрия и калия в анализируемой пробе в процентах находят по градуировочному графику.

За результат анализа принимают среднее арифметическое результатов двух параллельных определений, относительное расхождение между которыми не превышает допускаемое расхождение, равное 20%.

Допускаемая относительная суммарная погрешность результата анализа ±10% при доверительной вероятности P=0,95.

3.5.1-3.5.4. (Измененная редакция, Изм. N 1).

3.6. Определение массовой доли кремниевой кислоты

3.6.1. Аппаратура, реактивы и растворы

Спектрофотометр СФ-4А или другой прибор с аналогичными метрологическими характеристиками.

Кюветы прямоугольные с толщиной поглощающего свет слоя 1 см.

Пипетки 4(5)-2-1(2), 5(6)-2-5(10) по ГОСТ 20292-74.

Чашки из платины по ГОСТ 6563-75.

Аммоний молибденовокислый по ГОСТ 3765-78, х.ч., раствор с массовой долей 5% (отфильтрованный). Хранят в полиэтиленовой посуде.

Вода дистиллированная по ГОСТ 6709-72-->ГОСТ 6709-72, дополнительно перегнанная из кварцевого прибора.

Калий хлористый по ГОСТ 4234-77, раствор с массовой долей 1%.

Кислота аскорбиновая, раствор с массовой долей 1%; готовят перед использованием.

Кислота борная по ГОСТ 9656-75, раствор с массовой долей 1%

Кислота лимонная по ГОСТ 3652-69, раствор с массовой долей 10%.

Кислота серная особой чистоты по ГОСТ 14262-78, растворы концентраций c(1/2H2SO4)=10 моль/дм (10 н.) и c(1/2H2SO4)=1,25 моль/дм (1,25 н.).

Кислота фтористоводородная марки ос.ч. 27-5, очищенная от кремния следующим образом: в полиэтиленовую бутылку помещают около 100 см фтористоводородной кислоты, прибавляют 5 г хлористого калия, перемешивают и оставляют на 12-16 ч. Отстоявшуюся прозрачную кислоту используют для анализа.

Раствор, содержащий Si, готовят по ГОСТ 4212-76.

Соответствующим разбавлением готовят раствор, содержащий 0,001 мг Si в 1 см.

Смесь реактивов готовят в день применения следующим образом: сливают вместе 20 см раствора аскорбиновой кислоты и 15 см раствора серной кислоты концентрации 10 моль/дм.

3.6.2. Построение градуировочного графика

Готовят растворы сравнения и контрольный раствор. Для этого в пять платиновых или фторопластовых чашек диаметром 7-8 см помещают соответственно: 0,0005, 0,00075, 0,001, 0,0015 и 0,002 мг кремния, в шестую чашку кремний не добавляют (контрольный раствор).

Объем растворов во всех чашках доводят водой до 2,3 см. Прибавляют 0,3 см раствора борной кислоты, 0,2 см раствора серной кислоты концентрации 1,25 моль/дм, 0,2 см раствора хлористого калия и 0,3 см раствора молибденовокислого аммония. Перемешивают содержимое чашек и выдерживают в течение 10 мин. Затем прибавляют по 0,15 см раствора лимонной кислоты, по 0,35 см смеси реактивов, перемешивают вращательным движением чашки ее содержимое, переливают в кювету и через 15 мин измеряют оптическую плотность растворов на спектрофотометре при длине волны =820 нм по отношению к контрольному раствору.
Строят градуировочный график в координатах: оптическая плотность - масса кремния в миллиграммах. По результатам трех параллельных определений вычисляют для каждой точки среднюю оптическую плотность раствора.

3.6.3. Проведение анализа

8,5 см(10 г) препарата марки ос.ч. 26-4 и 1,7 см (2 г) марки ос.ч. 20-4, взятого по объему пипеткой с погрешностью не более 0,1 см, помещают в платиновую или фторопластовую чашку, прибавляют по 0,2 см раствора хлористого калия и выпаривают на водяной бане досуха в условиях, исключающих загрязнение кремнием. К сухому остатку добавляют 2 см воды, 0,1 см фтористоводородной кислоты и снова выпаривают содержимое чашки досуха.
Сухой остаток растворяют в 2,3 см воды, прибавляют 0,3 см раствора борной кислоты, 0,2 см раствора серной кислоты концентрации 1,25 моль/дм и 0,3 см раствора молибденовокислого аммония. Содержимое чашки перемешивают, выдерживают в течение 10 мин, добавляют 0,15 см раствора лимонной кислоты и 0,35 см смеси реактивов. Содержимое чашки снова перемешивают, переливают в кювету и через 15 мин измеряют оптическую плотность, как описано в п.3.6.2. Массовую долю кремния в миллиграммах находят по градуировочному графику.

Препарат считают соответствующим требованиям настоящего стандарта, если оптическая плотность анализируемого раствора будет не более чем у раствора сравнения, содержащего 0,001 мг Si (что соответствует 0,002 мг SiO2).

3.6.4. Допускается заканчивать определение визуально.

При разногласиях в оценке массовой доли кремния определение заканчивают фотометрически.

3.6.5. Если оптическая плотность анализируемого раствора не удовлетворяет указанному выше условию, определение повторяют в условиях, исключающих загрязнение кремнием. Применяют для нагревания водяной бани электроплитку, закрытую металлической пластинкой.

3.6.1-3.6.5. (Измененная редакция, Изм. N 1).

3.6.6. (Исключен, Изм. N 2).

3.6.7. При необходимости в результат определения вводят поправку на массовую долю кремниевой кислоты в применяемых количествах реактивов, определяемую контрольным опытом (масса кремния в применяемых реактивах не должна превышать 0,0005 мг).

(Измененная редакция, Изм. N 1).

3.7. Определение массовой доли мышьяка

3.7.1. Реактивы, растворы и аппаратура

Бумага бромнортутная; готовят по ГОСТ 4517-87.

Бензол по ГОСТ 5955-75, х.ч.

Вата, пропитанная раствором уксуснокислого свинца, готовят по ГОСТ 4517-87.

Вода дистиллированная по ГОСТ 6709-72-->ГОСТ 6709-72, дополнительно перегнанная в кварцевом приборе с добавкой 0,05 см раствора серной кислоты на каждый кубический дециметр воды.

Калий йодистый по ГОСТ 4232-74, х.ч., раствор с массовой долей 10%.

Кислота азотная особой чистоты по ГОСТ 11125-84.

Кислота серная особой чистоты по ГОСТ 14262-78, раствор концентрации c(1/2H2SO4)=5 моль/дм (5 н.).

кислота соляная особой чистоты. Соответствующим разбавлением готовят кислоту 1:5.

Натрий сернокислый безводный по ГОСТ 4166-76, раствор с массовой долей 1%.

Олово двухлористое 2-водное по ГОСТ 36-78, раствор с массовой долей 10%; готовят растворением 10 г двухлористого олова в 12,5 см соляной кислоты особой чистоты (при необходимости подогревают), полученный раствор разбавляют водой до 100 см и перемешивают.

Раствор, содержащий As, готовят по ГОСТ 4212-76. Соответствующим разбавлением готовят растворы, содержащие 0,001 и 0,0001 мг As в 1 см. Разбавленные растворы должны быть свежеприготовленными.

Ртуть (II) бромид (ртуть бромная), спиртовой раствор с массовой долей 5%.

Спирт этиловый ректификованный технический по ГОСТ 18300-87, высший сорт.

Свинец уксуснокислый по ГОСТ 1027-67, раствор с массовом долей 5%.

Цинк гранулированный.

Прибор для определения мышьяка, состоит из кварцевого стаканчика вместимостью 10 см, закрывающегося полой притертой пробкой (стаканчик и пробка герметически соединяются резинками), в которую впаяна трубка длиной 50-60 мм, диаметром 5-6 мм. В трубку помещают неплотный тампон из ваты, пропитанный раствором уксуснокислого свинца. К трубке на каучуке присоединяют капиллярную трубку длиной 50 мм, внешним диаметром 5-6 мм, внутренним диаметром 0,5 мм. Перед определением на конец капиллярной трубки накладывают бромнортутную бумагу, сверху - фильтровальную бумагу и обе бумаги с помощью резинки плотно натягивают и закрепляют.

Пипетки 4(5)-2-1(2), 6(7)-2-5(10) по ГОСТ 20292-74.

Чаша 20 по ГОСТ 19908-80.

3.7.2. Проведение анализа

8,5 см препарата (10 г) марки ос.ч. 26-4 или 4,3 см препарата (5 г) марок ос.ч. 20-4 и ос.ч. 7-4, взятого по объему пипеткой с погрешностью не более 0,1 см, помещают в кварцевую чашу, приливают 0,2 см раствора безводного сернокислого натрия, 0,5 см азотной кислоты и выпаривают досуха на водяной бане в условиях, исключающих загрязнение. К сухому остатку добавляют 2,5 см раствора соляной кислоты (в два приема), 2,5 см воды (также в два приема) и переносят раствор в прибор для определения мышьяка.

Одновременно готовят растворы сравнения и контрольный раствор для определения массы примеси мышьяка в применяемых реактивах. Для этого в два стакана от приборов для определения мышьяка помещают соответственно 0,00001 и 0,00005 мг мышьяка. В третий стакан мышьяк не вводят, доводят объем раствора водой во всех трех стаканах до 2,5 см и прибавляют по 2,5 см раствора соляной кислоты.

К анализируемому, контрольному растворам и растворам сравнения прибавляют по 0,1 см раствора двухлористого олова и 1 г цинка. Прибор после добавления цинка быстро закрывают пробкой и выдерживают 1,5-2 ч при 20-25 °С.

По истечении указанного времени снимают бромнортутные бумаги и сравнивают интенсивность окраски пятна от анализируемого раствора, раствора сравнения и контрольного раствора.

Препарат считают соответствующим требованиям настоящего стандарта, если окраска пятна на бромнортутной бумаге от анализируемого раствора будет не интенсивнее окраски пятна на бромнортутной бумаге от раствора сравнения, содержащего 0,00005 мг мышьяка, а интенсивность окраски пятна от контрольного раствора будет намного меньше окраски пятна от раствора сравнения, содержащего 0,00001 мг мышьяка.

3.7.1, 3.7.2. (Измененная редакция, Изм. N 1).

3.8. Определение массовой доли общей серы

3.8.1. Аппаратура, реактивы и растворы

Пипетки 4(5)-2-1(2), 6(7)-2-10 по ГОСТ 20292-74.

Пробирка П2-10-90 ХС или П4-5-10/19 ХС по ГОСТ 25336-82.

Чаша 50 по ГОСТ 19908-80.

Цилиндр 2(4)-100 по ГОСТ 1770-74.

барий хлористый по ГОСТ 4108-72, раствор с массовой долей 20%, отфильтрованный через обеззоленный фильтр "синяя лента" на другой день после приготовления.

Натрий углекислый по ГОСТ 83-79, х.ч., раствор с массовой долей 0,1%.

Раствор, содержащий SO4; готовят по ГОСТ 4212-76.

Вода дистиллированная по ГОСТ 6709-72-->ГОСТ 6709-72.

Водорода перекись по ГОСТ 10929-76, х.ч.

кислота соляная по ГОСТ 3118-77, х.ч., раствор с массовой долей 10%.

3.8.2. Проведение анализа

85 см (100 г) препарата марки ос.ч. 26-4, взятого по объему цилиндром с погрешностью не более 1 см, или 8,5 см (10 г) препарата марки ос.ч. 20-4 и ос.ч. 7-4, взятого по объему пипеткой с погрешностью не более 0,1 см, помещают в кварцевую чашку (препарат марки ос.ч. 26-4 в два приема) и выпаривают на водяной бане, добавляют 1 см перекиси водорода, 0,2 см раствора углекислого натрия (для препарата марки ос.ч. 26-4 перекись водорода и раствор углекислого натрия добавляют также в два приема) и раствор выпаривают досуха. Одновременно готовят растворы сравнения: в такую же чашку помещают 0,01 мг SO4 для марки ос.ч. 26-4, 0,03 мг SO4 для марок ос.ч. 20-4 и ос.ч. 7-4 и вводят те же количества растворов перекиси водорода и углекислого натрия, что и в анализируемый раствор, и выпаривают на водяной бане досуха. Остаток растворяют в 2 см воды и переносят в пробирку. Далее к анализируемому раствору и раствору сравнения добавляют по 0,1 см раствора соляной кислоты, перемешивают и помещают на 10 мин на водяную баню. Затем добавляют 0,2 см раствора хлористого бария, и тщательно перемешивают. Раствор хлористого бария необходимо прибавлять, по каплям с одинаковой скоростью спуска при перемешивании содержимого пробирки.

Препарат считают соответствующим требованиям настоящего стандарта, если наблюдаемая на темном фоне через 30 мин опалесценция анализируемого раствора будет не интенсивнее опалесценции раствора сравнения.

(Измененная редакция, Изм. N 1).

3.9. Определение массовой доли фосфора

3.9.1. Аппаратура, реактивы и растворы

Пипетки 4(5)-2-1(2), 6(7)-2-5(10) по ГОСТ 20292-74.

Пробирка П4-5-10/19 ХС по ГОСТ 25336-82.

Чаша 50 по ГОСТ 19908-80.

Цилиндр 2(4)-50 по ГОСТ 1770-74.

Аммоний молибденовокислый по ГОСТ 3765-78, х.ч., раствор с массовой долей 5% (отфильтрованный). Хранят в полиэтиленовой посуде.

Вода дистиллированная по ГОСТ 6709-72-->ГОСТ 6709-72, дополнительно перегнанная из кварцевого прибора с добавлением 0,05 см раствора серной кислоты на каждый кубический дециметр воды.

Калий йодистый по ГОСТ 4232-74, раствор с массовой долей 0,1%.

Калий сурьма (III) оксид тартрат 0,5-водный (калий антимонил виннокислый), ч., раствор с массовой долей 0,3%.

Кислота азотная особой чистоты по ГОСТ 11125-84.

Кислота аскорбиновая, раствор с массовой долей 1,7%; готовят перед применением.

Кислота серная особой чистоты по ГОСТ 14262-78, раствор концентрации c(1/2H2SO4)=5 моль/дм (5 н.).

кислота соляная особой чистоты.

Натрий сернокислый безводный по ГОСТ 4166-76, раствор с массовой долей 1%.

Раствор, содержащий фосфор. Соответствующим разбавлением приготовленного по ГОСТ 4212-76 раствора готовят раствор, содержащий 0,0001 мг/см фосфора. Разбавленный раствор должен быть свежеприготовленным.

Реактив на фосфор готовят следующим образом: смешивают перед применением 10 мл раствора серной кислоты, 3 см раствора молибденовокислого аммония, 1 см раствора виннокислого антимонила калия, 6 см раствора аскорбиновой кислоты и 5 см воды.

Спирт изоамиловый по ГОСТ 5830 -79.

3.9.2. Проведение анализа

25,5 см (30 г) препарата марки ос.ч. 26-4 и ос.ч. 20-4, взятого по объему цилиндром с погрешностью не более 1 см, или 2,5 см (3 г) препарата марки ос.ч. 7-4, взятого по объему пипеткой с погрешностью не более 0,1 см, помещают в кварцевую чашу. Одновременно в таких же чашках готовят растворы сравнения, содержащие 0,00003 мг фосфора для марки ос.ч. 26-4, 0,0003 мг фосфора марки ос.ч. 20-4 и ос.ч. 7-4 и контрольный раствор, не содержащий фосфор. Далее к анализируемому раствору, раствору сравнения и контрольному раствору приливают по 0,2 см раствора сернокислого натрия, 0,5 см азотной кислоты и выпаривают досуха на водяной бане в условиях, исключающих загрязнение. К сухому остатку приливают 1 см раствора йодистого калия, 1 см соляной кислоты и выпаривают досуха. Затем сухой остаток обрабатывают 1 см соляной кислоты и выпаривают досуха. После этого добавляют 1 см азотной кислоты и также выпаривают досуха. Сухой остаток растворяют в 2,4 см воды, приливают 0,6 см реактива на фосфор, перемешивают и выдерживают в течение 5 мин.

Растворы переносят в пробирки, добавляют 0,2 см изоамилового спирта для марки ос.ч. 26-4 и 1 см для марок ос.ч. 20-4 и ос.ч. 7-4, встряхивают в течение 2 мин. После полного расслаивания фаз сравнивают окраску органической фазы анализируемого раствора с окраской органической фазы контрольного раствора и растворов сравнения.

Препарат считают соответствующим требованиям настоящего стандарта, если окраска органической фазы анализируемого раствора будет не интенсивнее окраски органической фазы соответствующего раствора сравнения.

Пригодность применяемых реактивов проверяют таким же образом на растворе, не содержащем фосфора. Растворы считают пригодными, если интенсивность окраски органического слоя этого раствора будет меньше, чем окраска органического слоя раствора сравнения, приготовленного таким же образом и содержащего в таком же объеме 0,00003 мг (0,03 мкг) фосфора.

3.9.1, 3.9.2. (Измененная редакция, Изм. N 1).

3.10. Определение массовой доли свободного хлора

3 10.1. Аппаратура, реактивы и растворы

Пипетки 6(7)-2-5(10), 6(7)-2-25 и 8-2-0,1(0,2) по ГОСТ 20292-74.

Пробирка диаметром 10 мм вместимостью 100 см с плоским дном и притертой пробкой.

Цилиндр 2(4)-50(100) по ГОСТ 1770-74.

Вода дистиллированная по ГОСТ 6709-72-->ГОСТ 6709-72.

Йод по ГОСТ 4159-79, раствор концентрации c(1/2J2)=0,1 моль/дм (0,1 н.), готовят по ГОСТ 25794.2-83; соответствующим разбавлением водой готовят раствор концентрации c(1/2J2)=0,01 моль/дм (0,01 н.). Растворы хранят в склянке из темного стекла.

Калий йодистый по ГОСТ 4232-74, раствор с массовой долей 10%, свежеприготовленный.

Натрий фосфорнокислый двузамещенный 12-водный по ГОСТ 4172-76, раствор с массовой долей 10%.

Хлороформ медицинский.

3.10.2. Проведение анализа

51 см (60 г) препарата, взятого по объему цилиндром с погрешностью не более 1 см, помещают в пробирку, добавляют 25 см соды, 2 см раствора 12-водного двузамещенного фосфорнокислого натрия, 2 см раствора йодистого калия, перемешивают и через 5 мин прибавляют 2,5 см хлороформа. Раствор энергично взбалтывают в течение 30 с. 

Одновременно готовят растворы сравнения. Для этого в две пробирки помещают по 25,5 см (30 г) препарата, взятого по объему цилиндром с погрешностью не более 1 см, прибавляют соответственно 0,042 и 0,085 см раствора йода концентрации 0,01 моль/дм (соответствует 0,054 и 0,108 мг J или 0,015 и 0,030 мг Сl), прибавляют по 12,5 см воды, 1 см раствора 12-водного двузамещенного фосфорнокислого натрия, 1 см раствора йодистого калия, перемешивают, через 5 мин прибавляют по 2,5 см хлороформа и энергично встряхивают 30 с.

После расслаивания хлороформные слои анализируемого раствора и растворов сравнения сливают в пробирки, доводят растворы в пробирках хлороформом до одинакового уровня и сравнивают их окраски на фоне молочного стекла.

Препарат считают соответствующим требованиям настоящего стандарта, если розовая окраска хлороформного слоя анализируемого раствора будет не интенсивнее, чем у раствора сравнения, приготовленного одновременно с анализируемым и содержащего:

для препаратов марок ос.ч. 20-4 и ос.ч. 7-4 с низким содержанием хлора - 0,054 мг J;

для препаратов марок ос.ч. 26-4, ос.ч. 20-4 и ос.ч. 7-4 - 0,1 08 мг J.

3.10.1; 3.10.2. (Измененная редакция, Изм. N 1).

3.11. Определение массовой доли алюминия, висмута, галлия, золота, железа, индия, кадмия, кальция, кобальта, магния, марганца, меди, никеля, олова, свинца, серебра, сурьмы, титана, хрома, цинка

3.11.1. Аппаратура, реактивы и растворы

Спектрограф типа ИСП-28 с однолинзовой системой освещения (изображение источника света сфокусировано в фокальной плоскости щели) и трехступенчатым ослабителем.

Выпрямитель ВАЗ 275-100.

Генератор переменного тока ДГ-2 (для поджига).

Микрофотометр МФ-2.

Спектропроектор ПС-18.

Допускается применение других приборов с аналогичными метрологическими характеристиками.

Колбы 2-100-2, 2-1000-2 по ГОСТ 1770-74.

Пипетка 6(7)-2-10 по ГОСТ 20292-74.

Чаша 50 по ГОСТ 19908-80.

Цилиндр 50 по ГОСТ 1770-74.

Весы торсионные марки ВТ с ценой деления 1 мг и наибольшим пределом взвешивания 500 мг.

Плитки любого типа со спиралью, закрытой кварцем.

Графит порошковый, ос.ч. 8-4 по ГОСТ 23463-79.

Угли графитированные марки ос.ч. 7-3 (электроды); нижний электрод имеет кратер глубиной 3 мм, диаметром 4 мм, верхний - заточен на слегка усеченный конус.

Фотопластинки спектральные, типа I, чувствительностью 5 относительных единиц и типа III, чувствительностью 18 относительных единиц.

Натрий хлористый для спектрального анализа.

Алюминий окись, ч.д.а.

Висмута (III) окись по ГОСТ 10216-75, х.ч.

Вода дистиллированная по ГОСТ 6709-72-->ГОСТ 6709-72.

Галий (III) оксид.

Железа окись.

Индий треххлористый 3-водный, х.ч. и ч.

Золотохлористоводородная кислота 4-водная, ч.

Кадмий углекислый для оптического стекловарения, ос.ч. 7-4.

кальций углекислый для спектрального анализа, ч.д.а.

Кобальта (II, III) окись по ГОСТ 4467-79.

Магния окись по ГОСТ 4526-75.

Марганец (IV) окись, ос.ч. II-2.

Меди (II) окись по ГОСТ 16539-79.

Никеля окись черная по ГОСТ 4331-78.

Олова двуокись по ГОСТ 22516-77.

Свинца (II) окись по ГОСТ 9199-77.

Сурьма (III) оксид, х.ч.

Титан (IV) окись для волоконной оптики, ос.ч. 7-5.

Хрома (III) окись, ч.д.а.

Цинка окись по ГОСТ 10262-73.

Раствор, содержащий 1 мг/см серебра; готовят по ГОСТ 4212-76.

Раствор, содержащий 0,1 мг/см золота; готовят следующим образом: 0,209 г 4-водной золотохлористоводородной кислоты (с массовой долей 47,85%) помещают в мерную, колбу вместимостью 1 дм (ГОСТ 1770-74), растворяют в воде, тщательно перемешивают и доводят объем раствора водой до метки.

Кислота азотная особой чистоты по ГОСТ 11125-84.

Кислота серная особой чистоты по ГОСТ 14262-78.

кислота соляная особой чистоты.

Раствор, содержащий 1 мг/см индия; готовят следующим образом: 0,19 г 3-водного треххлористого индия помещают в мерную колбу вместимостью 100 см (ГОСТ 1770-74), растворяют в воде, содержащей 0,5 см соляной кислоты, тщательно перемешивают и доводят объем раствора водой до метки.

Проявитель метолгидрохиноновый, готовят следующим образом:

раствор А - 2 г метола, 10 г гидрохинона и 104 г 7-водного сульфита натрия растворяют в воде, доводят объем раствора водой до 1 дм, перемешивают, и, если раствор мутный, его фильтруют;

раствор Б - 16 г углекислого натрия (или 40 г 10-водного углекислого натрия) и 2 г бромистого калия растворяют в воде, доводят объем раствора водой до 1 дм, перемешивают и, если раствор мутный, его фильтруют. Затем растворы А и Б смешивают в равных объемах.

Метол (4-метиламинофенол сульфат) по ГОСТ 25664-83.

Гидрохинон (парадиоксибензол) по ГОСТ 19627-74.

Натрий сульфит 7-водный.

Калий бромистый по ГОСТ 4160-74.

Натрий углекислый по ГОСТ 83-79 или

Натрий углекислый 10-водный по ГОСТ 84-76.

натрий серноватистокислый 5-водный (натрия тиосульфат) по ГОСТ 27068-86.

Аммоний хлористый по ГОСТ 3773-72.

Фиксаж быстродействующий, готовят следующим образом: 500 г 5-водного серноватистокислого натрия и 100 г хлористого аммония растворяют в воде, доводят объем раствора водой до 2 дм, перемешивают и, если раствор мутный, фильтруют.

Спирт этиловый ректификованный технический по ГОСТ 18300-87, высший сорт.

Вата медицинская гигроскопическая по ГОСТ 5556-81.

3.11.2. Приготовление образцов сравнения

Образцы готовят на основе порошкового графита. Для каждой марки соляной кислоты готовят свою серию образцов. Последний образец каждой серии является образцом сравнивания (головной образец).

Головные образцы готовят смешением рассчитанных масс окислов или углекислых солей определяемых элементов и порошкового графита.

Серебро, индий и золото в образцы вводят в виде растворов.

Головные образцы каждой серии, а также образцы, в которые вводят раствор серебра, золота и индия растирают в течение 3 ч. Последующие образцы готовят разбавлением предыдущих порошковым графитом. Смешивание и растирание образцов проводят на механическом смесителе в течение 30 мин (можно проводить смешивание, вручную в течение 1 ч).

Все приспособления (в том числе и при проведении анализа) предварительно тщательно протирают ватным тампоном, смоченным в этиловом спирте.

Схемы приготовления образцов сравнения для препарата марок ос.ч. 26-4, ос.ч. 20-4, ос.ч. 7-4 приведены соответственно в табл.3-5.

Таблица 3


Схема приготовление серии образцов сравнения для марки ос.ч. 26-4 (коэффициент обогащение равен 2000)

Определяемая примесь

Головной образец сравнения N 1

Образец сравнения N 2

Массовая доля примесей, %, для образцов сравнения 

Масса вводимого соединения, мг

Массовая доля примесей, %

Масса вводимого соединения, мг

Массовая доля примесей, %

N 3

N 4

N 5

Алюминий Al2O3

189

2

2·10-1

2·10-2

6·10-3

2·10-3

Висмут Вi2O3

34

6·10-1

6·10-2

6·10-3

1,8·10-3

6·10-4

Галлий Ga2O3

13

2·10-1

2·10-2

2·10-3

6·10-4

2·10-4

Железо Fe2O3

143

2

2·10-1

2·10-2

6·10-3

2·10-3

Золото

Au 5 мг 
(в растворе)

1·10-1

1·10-2

3·10-3

1·10-3

Индий

In 1 мг 
(в растворе)

2·10-2

2·10-3

6·10-4

2·10-4

Кадмий СdCO

175

2

2·10-1

2·10-2

6·10-3

2·10-3

Кальций CaCO3

1258

10

1

1·10-1

3·10-2

1·10-2

Кобальт Co3O

14

2·10-1

2·10-2

2·10-3

6·10-4

2·10-4

Магний MgО

165

2

2·10-1

2·10-2

6·10-3

2·10-3

Марганец MnO3 

72

1

1·10-1

1·10-2

3·10-3

1·10-3

Медь CuO

12

2·10-1

2·10-2

2·10-3

6·10-4

2·10-4

Никель NiO

13

2·10-1

2·10-2

2·10-3

6·10-4

2·10-4

Олово
SnO2

48

6·10-1

6·10-2

6·10-3

1,8·10-3

6·10-4

Свинец PbO

54

1

1·10-1

1·10-2

3·10-3

1·10-3

Серебро

Ag 1 мг 
(в растворе)

2·10-2

2·10-3

6·10-4

2·10-4

Сурьма Sb2O3

60

1

1·10-1

1·10-2

3·10-3

1·10-3

Титан TiO2

167

2

2·10-1

2·10-2

6·10-3

2·10-3

Хром Сr2O3

44

6·10-1

6·10-2

6·10-3

1,8·10-3

6·10-4

Цинк ZnO

248

4

4·10-1

4·10-2

1,2·10-2

4·10-3

Графит порошковый

2291


Примечание. После прибавления в образец N 2 растворов, содержащих индий, серебро и золото, образец высушивают в сушильном шкафу при 80°С.

Таблица 4


Схема приготовления серии образцов сравнения для марки ос.ч. 20-4 (коэффициент обогащения равен 500)

Определяемая примесь

Головной образец сравнения N 1

Образец сравнения N 2

Массовая доля примесей, %, для образцов сравнения 

Масса вводимого соединения, мг

Массовая доля примесей, %

Масса вводимого соединения, мг

Массовая доля примесей, %

N 3

N 4

N 5

Алюминий Al2O3

180

2

2·10-1

2·10-2

6·10-3

2·10-3

Висмут Вi2O3

28

5·10-1

5·10-2

5·10-3

1,5·10-3

5·10-4

Железо Fe2O3

143

2

2·10-1

2·10-2

6·10-3

2·10-3

Кадмий СdCO3

192

2,5

2,5·10-1

2,5·10-2

7,5·10-3

2,5·10-3

Кобальт Co2O3

35

5·10-1

5·10-2

5·10-3

1,5·10-3

5·10-4

Магний MgО

207

2,5

2,5·10-1

2,5·10-2

7,5·10-3

2,5·10-3

Марганец MnO2 

36

5·10-1

5·10-2

5·10-3

1,5·10-3

5·10-4

Медь CuO

16

2,5·10-1

2,5·10-2

2,5·10-3

7,5·10-4

2,5·10-4

Никель NiO

32

5·10-1

5·10-2

5·10-3

1,5·10-3

5·10-4

Олово SnO2

95

1,5

1,5·10-1

1,5·10-2

4,5·10-3

1,5·10-3

Свинец PbO

27

5·10-1

5·10-2

5·10-3

1,5·10-3

5·10-4

Серебро

Ag 1,25 мг 
(в растворе)

2,5·10-2

2,5·10-3

7,5·10-4

2,5·10-4

Сурьма Sb2O3

300

5

5·10-1

5·10-2

1,5·10-2

5·10-3

Титан TiO2

42

5·10-1

5·10-2

5·10-2

1,5·10-3

5·10-4

Цинк ZnO

152

2,5

2,5·10-1

2,5·10-2

7,5·10-3

2,5·10-3

Графит порошковый

3515


Примечание. После прибавления в образец N 2 раствора, содержащего серебро, образец высушивают в сушильном шкафу при 70°С.

Таблица 5


Схема приготовления серии образцов сравнения для марки ос.ч. 7-4 (коэффициент обогащения равен 500)

Определяемая примесь

Образец сравнения N 1

Массовая доля примесей, %, для образцов сравнения 

Масса вводимого соединения, мг

Массовая доля примесей, %

N 2

N 3

N 4

N 5

Железо Fe2O3

358

5

5·10-1

5·10-2

1,5·10-2

5·10-3

Медь CuO

31

5·10-1

5·10-2

5·10-3

1,5·10-3

5·10-4

Никель NiO

32

5·10-1

5·10-2

5·10-3

1,5·10-3

5·10-4

Свинец PbO

270

5

5·10-1

5·10-2

1,5·10-2

5·10-3

Графит порошковый

4309


При этом для марки ос.ч. 26-4 и 20-4 образец сравнения N 2 и N 3 получают разбавлением образца соответственно N 1 и N 2 в 10 раз; образец сравнения N 4 - разбавлением образца N 3 в 3,3 раза; образец N 5 - разбавлением образца N 4 в 3 раза. Для марки ос.ч. 7-4 образец сравнения N 2 получают разбавлением образца N 1 в 10 раз; образец сравнения N 3 - разбавлением образца N 2 в 5 раз; образец N 4 - разбавлением образца N 3 в 3,3 раза; образец сравнения N 5 получают разбавлением образца N 4 в 3 раза.

3.11.3. Подготовка анализируемой пробы

В три кварцевые чаши помещают цилиндром 43 см (50 г) препарата марки ос.ч. 26-4, взятого по объему с погрешностью не более 1 см, или 8,5 см (10 г) препарата марок ос.ч. 20-4 и ос.ч. 7-4, взятые по объему пипеткой с погрешностью не более 0,1 см.

В каждую чашку прибавляют по 25 мг порошкового графита (для марки ос.ч. 26-4) и 20 мг (для марок ос.ч. 20-4 и ос.ч. 7-4), затем ставят на электроплитку и выпаривают досуха. Полученные концентраты проб подвергают спектральному анализу.

3.11.4. Проведение анализа

В каналы электродов (анодов), предварительно протертых спиртом, на дно вносят по 1 мг хлористого натрия, затем сверху - полученные концентраты проб или по 20 мг образцов сравнения N 5, 4, 3 соответствующей серии. Готовят не менее трех параллельных проб для каждого образца.

3.11.1-3.11.4. (Измененная редакция, Изм. N 1).

3.11.5. Съемку спектрограммы производят при ширине щели 0,012 мм, времени экспозиции 45 с, силе тока 8-10 А, пластинки типа I для области спектра 250-450 нм, пластинки типа III для области спектра 210-250 нм.

Перед съемкой угольные электроды обжигают в дуге постоянного тока силой 10-12 А в течение 30 с.

3.11.6. Обработка спектрограммы и результатов анализа 

Фотопластинку со снятыми спектрами проявляют, промывают водой, фиксируют, снова тщательно промывают в проточной воде и высушивают на воздухе при помощи вентилятора.

Сухую фотопластинку фотометрируют на микрофотометре, пользуясь логарифмической шкалой, и измеряют почернение линий определяемых элементов Sпр (по подходящей ступени ослабителя) и соседнего фона Sф.

Аналитические линии, нм:

кальций

396,3; 317,9

титан

308,8; 336,1

хром

284,9; 283,5

галлий

294,3

серебро

328,0

индий

303,9

медь

324,7

свинец

283,3

никель

305,0

кобальт

345,4; 245,4

железо

302,0

висмут

306,7

алюминий

308,2

олово

283,9

магний

280,2

кадмий

228,8

марганец

280,1

цинк

213,8; 334,5

золото

267,6

сурьма

259,8


Находят среднее арифметическое значение величины почернений  для каждой примеси в концентратах проб и образцах сравнения. Строят градуировочный график для каждого определяемого элемента по средним величинам , на оси абсцисс откладывают логарифмы массовой доли примеси в образце сравнения, на оси ординат - разность почернений . По градуировочным графикам находят массовую долю примеси в концентрате. Делением этой величины на соответствующий коэффициент обогащения K (для препарата марки ос.ч. 26-4 K=2000, для препарата марки ос.ч. 20-4 K=500, для препарата марки ос.ч. 7-4 K=500, для препарата марки K=500) получают массовую долю примеси анализируемой кислоты. За результат анализа принимают среднее арифметическое результатов трех параллельных определений, относительное расхождение между наиболее отличающимися значениями которых не превышает допускаемое расхождение, равное 100%.

Допускаемая относительная суммарная погрешность результата анализа ±50% при доверительной вероятности P=0,95.

(Измененная редакция, Изм. N 1). 

3.11.6.1. Так как нормы массовой доли сурьмы и цинка ос.ч. 26-4 находятся на пределе чувствительности спектрального метода, определение указанных примесей может быть проверено методом, основанным на измерении люминесценции (см. пп.3.12 и 3.13).

3.12. Отделение массовой доли сурьмы (в препарате марки ос.ч. 26-4)

3.12.1. Аппаратура, реактивы и растворы

Спектрограф ИСП-51 с фотоэлектрической приставкой ФЭП-1, спектрометр СДЛ-1 или другой прибор с аналогичными метрологическими характеристиками.

Осветитель ОИ-18.

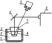
Приставка для измерения интенсивности люминесценции при температуре жидкого азота (чертеж). При проведении анализа тигель с анализируемым раствором помещают в пенопластовую чашку, заполненную жидким азотом. После того, как раствор в тигле замерзает, в тигель заливают жидкий азот. Люминесценцию возбуждает сверху осветителем ОИ-18 и направляют зеркалом на входную щель прибора.

Чертеж. Приставка для измерения интенсивности люминесценции при температуре жидкого азота


1 - пенопластовая чашка; 2 - жидкий азот; 3 - анализируемый раствор; 4 - зеркало; 
5
- осветитель; 6 - монохроматор; 7 - платиновый тигель; 8 - жидкий азот


Пипетки 4(5)-2-1(2) и 6(7)-2-5(10) по ГОСТ 20292-74.

Тигель высокий из платины 100-1 по ГОСТ 6563-75. 

Цилиндр 1(3)-100 по ГОСТ 1770-74. 

Азот жидкий по ГОСТ 9293-74

Вода дистиллированная по ГОСТ 6709-72-->ГОСТ 6709-72.

Бензол по ГОСТ 5955-75, х.ч.

Кислота бромистоводородная по ГОСТ 2062-77, ч.д.а., очищенная от органических примесей следующим образом:

100 см3 кислоты помещают в делительную воронку вместимостью 250 см3 (ГОСТ 25336-82), прибавляют 30 см3 хлороформа и встряхивают в течение 30 мин. Эту операцию проводят дважды. Затем отделяют бромистоводородную кислоту и перегоняют в кварцевом приборе при 127 °С.

Кислота азотная по ГОСТ 4461-77, х.ч.

Кислота серная по ГОСТ 4204-77, х.ч., концентрированная и раствор концентрации c(1/2H2SO4)=10 моль/дм3 (10 н.).

Калий йодистый по ГОСТ 4232-74, раствор с массовой долей 10%.

Раствор, содержащий Sb, готовят по ГОСТ 4212-76. Соответствующим разбавлением готовят раствор, содержащий 0,5 мкг Sb в 1 см3.

Хлороформ медицинский.

3.12.2. Проведение анализа

В два платиновых тигля помещают по 8,5 см3 (10 г) препарата, взятого по объему пипеткой с погрешностью не более 0,1 см3, добавляют по 0,2 см3 концентрированных серной и азотной кислот и в одну из них - 0,1 см3 раствора, содержащего 0,5 мкг/см3 сурьмы. Растворы выпаривают на водяной бане. Остаток в каждом тигле после выпаривания смывают по 5 см3 раствора серной кислоты концентрации 10 моль/дм3 и добавляют к этим растворам по 0,2 см3 раствора йодистого калия. Облучают растворы под светом лампы ОП-18 без светофильтра в течение 15 мин. Растворы переносят в кварцевую делительную воронку вместимостью 10-15 см3, экстрагируют сурьму из растворов 1 см3 бензола реэкстрагируют 2 см3 воды. Реэкстракты сливают в платиновые тигли, прибавляют по 0,1 см3 азотной кислоты и выпаривают и водяной бане. Остатки после выпаривания смывают 0,5 см3 бромистоводородной кислоты и измеряют интенсивность люминесценции этих растворов при температуре жидкого азота при 640 нм. В тех же условиях измеряют интенсивность люминесценции бромистоводородной кислоты.

3.12.3. Обработка результатов

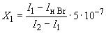
Массовую долю сурьмы (X1) в процентах вычисляют по формуле где I1 - интенсивность люминесценции анализируемого раствора; 
      I2 - интенсивность люминесценции раствора с введенной сурьмой;

      IHBr - интенсивность люминесценции бромистоводородной кислоты.

Для контроля чистоты реактивов в две пробирки помещают по 5 см3 раствора серной кислоты концентрации 10 моль/дм3, в одну из них добавляют 0,1 см3 раствора, содержащего 0,5 мкг Sb в 1 см3, и далее определение проводят, как указано выше.

3.12.1-3.12.3. (Измененная редакция, Изм. N 1). 

3.13. Определение массовой доли цинка (в препарате марки ос.ч. 26-4)

3.13.1 Аппаратура, реактивы и растворы 

Боратный буферный раствор с pH-8,0; готовят по ГОСТ 4919.2-77 с использованием раствора тетраборнокислого натрия, приготовленного следующим образом: 12,367 г борной кислоты, помещают в мерную колбу вместимостью 1 дм3 (по ГОСТ 1770-74) добавляют из бюретки вместимостью 100 см3 (ГОСТ 20292-74) 100 см3 раствора гидроокиси натрия концентрации 1 моль/дм3, тщательно перемешивают и доводят объем раствора водой до метки.

Вода дистиллированная по ГОСТ 6709-72-->ГОСТ 6709-72.

Кислота борная ос.ч. 12-3.

кислота соляная особой чистоты по ГОСТ 14261-77

Натрия гидроокись по ГОСТ 4328-77, х.ч., раствор концентрации c(NaOH)=1 моль/дм3 (1 н.); готовят по ГОСТ 25794.1-83.

Спирт этиловый ректификованный технический по ГОСТ 18300-87, высший сорт.

8-(n-толуолсульфониламино)-хинолин, ч.д.а., спиртовой раствор с массовой долей 0,01%. Соответствующим разбавлением приготовленного раствора спиртом готовят раствор с массовой долей 0,001%. Разбавленный раствор должен быть свежеприготовленным.

Раствор, содержащий Zn; готовят по ГОСТ 4212-76. Соответствующим разбавлением приготовленного раствора готовят раствор, содержащий 10,0; 1,0; 0,5 мкг цинка в 1 см3. Разбавленные растворы должны быть свежеприготовленными.

Флуориметр "Квант" со светофильтрами, первичные СЗС-21+ФС-6 вторичные ЖС-4+ЖС-17 и кюветой вместимостью 2,5 см3.

Спектрограф ИСП-51 с фотоэлектрической приставкой ФЭП-1 или установка на основе монохроматора УМ-2, состоящая из высоковольтного стабилизированного выпрямителя ВС-22, фотоумножителя ФЭУ-38, гальванометра чувствительностью 1·10-9 А на одно деление шкалы, осветителя ОИ-18 со светофильтром УФС-3.

Лампа инфракрасная мощностью 500 Вт.

Пипетки 4(5)-2-1(2) и 6(7)-2-5(10) по ГОСТ 20292-74.

Пробирки ПП-10-КШ-7/16 по ГОСТ 19908-80. 

3.13.2. Проведение анализа

В шесть фторопластовых чашек диаметром 50 мм, высотой 25-30 мм помещают по 8,5 см3(10 г) препарата, взятого, по объему пипеткой с погрешностью не более 0,1 см3. В третью и четвертую чашки добавляют по 0,1 см3 раствора, содержащего 0,5 мкг цинка в 1 см3, а в пятую и шестую - по 0,1 см3 раствора, содержащего 1 мкг цинка в 1 см3, и выпаривают под инфракрасной лампой досуха.

Сухие остатки после выпаривания с помощью 1,0 см3 буферного раствора смывают и переносят в кварцевые пробирки.

Затем во все пробирки, включая контрольную пробу (1,0 см3 буферного раствора), вводят по 1,0 см3 8-(n-толуолсульфониламино)-хинолина. Содержимое перемешивают и через 20 мин измеряют интенсивность флуоресценции всех растворов.

3.13.3. Обработка результатов

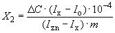
Массовую долю цинка (X2) в процентах вычисляют по формуле где  - масса добавляемого цинка, мг; 

       Izn - относительная интенсивность флуоресценции пробы с добавкой цинка;

       Ix - относительная интенсивность флуоресценции анализируемой пробы;

       Io - относительная интенсивность флуоресценции контрольной пробы;

       m - масса анализируемого образца, г.

Массовую долю цинка рассчитывают два раза, исходя из двух добавок, и берут среднее значение.

3.13.1-3.13.3. (Измененная редакция, Изм. N 1).

4. УПАКОВКА, МАРКИРОВКА, ТРАНСПОРТИРОВАНИЕ И ХРАНЕНИЕ

4.1. Препарат упаковывают и маркируют в соответствии с ГОСТ 3885-73-->ГОСТ 3885-73.

Вид и тип тары: 8-5, 8-6, 9-1, 4-2, 3-1, 3-11, 8-1, 8-3, 3-5, 8-2.

Для продукта марок ос.ч. 26-4 и 20-4 применяется только новая тара по НТД, для продукта марки ос.ч. 7-4 допускается применение возвратной тары.

Горловины тары покрывают полиэтиленовой салфеткой и обвязывают шпагатом или другой прочной нитью.

Группа фасовки: V, VI, VII.

Допускаемые отклонения массы группы фасовки V составляют ±3%, групп фасовки VI и VII - ±2,5%.

На тару наносят знак опасности по ГОСТ 19433-88 (класс 8, подкласс 8.1, чертеж 8, классификационный шифр 8172, серийный номер ООН 1789).

(Измененная редакция, Изм. N 1). 


(Поправка. ИУС N 3-1990).

4.2. Препарат транспортируют всеми видами транспорта в соответствии с правилами перевозок грузов, действующими на данном транспорте.

4.3. Препарат хранят в закрытой таре в крытых складских помещениях в условиях, установленных для хранения кислот.

5. ГАРАНТИИ ИЗГОТОВИТЕЛЯ

5.1. Изготовитель гарантирует соответствие соляной кислоты особой чистоты требованиям настоящего стандарта при соблюдении условий транспортирования и хранения.

5.2. Гарантийный срок хранения - один год со дня изготовления.

Разд.5. (Измененная редакция, Изм. N 1).

6. ТРЕБОВАНИЯ БЕЗОПАСНОСТИ

6.1. Соляная кислота раздражает слизистые оболочки дыхательных путей, поражает легкие. При попадании на кожу вызывает ожоги.

Соляная кислота относится к веществам 2-го класса опасности.

6.2. Предельно допустимая концентрация хлористого водорода в воздухе рабочей зоны производственных помещений 5 мг/м3.

6.3. Все операции по выпариванию соляной кислоты должны проводиться в вытяжных шкафах.

6.4. При работе с соляной кислотой необходимо применять индивидуальные средства защиты (респираторы, защитные очки, халаты с длинными рукавами и резиновые перчатки), а также соблюдать правила личной гигиены.

6.5. Помещения, в которых производят работы с препаратом, должны быть оборудованы эффективной приточно-вытяжной механической вентиляцией.




официальное издание
М.: Издательство стандартов, 1988