Новости Нефтегазовая пром.
Выставки Наука и технология


Натрий углекислый 10-водный. Реактивы ГОСТ 84-76

Натрий углекислый 10-водный. Реактивы ГОСТ 84-76 Технические условия (с Изменениями N 1, 2)


ГОСТ 84-76

Группа Л51

     
     
МЕЖГОСУДАРСТВЕННЫЙ СТАНДАРТ

Реактивы

Натрий углекислый 10-ВОДНЫЙ

Технические условия

Reagents. Sodium carbonate, 10-aqueous. 
Specifications



ОКП 26 2112 1060 03

Дата введения 1977-07-01

     
     
ИНФОРМАЦИОННЫЕ ДАННЫЕ

1. РАЗРАБОТАН И ВНЕСЕН Министерством химической промышленности

2. УТВЕРЖДЕН И ВВЕДЕН В ДЕЙСТВИЕ Постановлением Государственного комитета СССР по стандартам от 06.06.76 N 1662

3. Стандарт соответствует СТ СЭВ 1749-79

4. ССЫЛОЧНЫЕ НОРМАТИВНО-ТЕХНИЧЕСКИЕ ДОКУМЕНТЫ

Обозначение НТД, на который дана ссылка

Номер пункта, подпункта

ГОСТ 61-75

3.9.1

ГОСТ 1770-74

3.2.1; 3.3.1; 3.9.1; 3.12.1

ГОСТ 3117-78

3.9.1

ГОСТ 3118-77

3.2.1; 3.12.1; 3.14

ГОСТ 3760-79

3.9.1

ГОСТ 3770-75

3.9.1

ГОСТ 3885-73-->ГОСТ 3885-73

2.1; 3.1; 4.1

ГОСТ 4204-77

3.2.1

ГОСТ 4212-76

3.9.1; 3.12.1

ГОСТ 4461-77

3.8

ГОСТ 4517-87

3.6; 3.9.1

ГОСТ 4919.1-77

3.2.1; 3.5; 3.7; 3.13

ГОСТ 6563-75

3.2.1; 3.5

ГОСТ 6709-72-->ГОСТ 6709-72

3.2.1; 3.3.1; 3.9.1; 3.12.1

ГОСТ 9147-80

3.3.1

ГОСТ 10398-76

3.12.1

ГОСТ 10485-75

3.13

ГОСТ 10652-73

3.12.1

ГОСТ 10555-81*

3.10

_______________
* Вероятно ошибка оригинала. Следует читать ГОСТ 10555-75.

ГОСТ 10671.1-74

3.5

ГОСТ 10671.4-74

3.4

ГОСТ 10671.5-74

3.6

ГОСТ 10671.6-74

3.7

ГОСТ 10671.7-74

3.8

ГОСТ 17319-76

3.14

ГОСТ 24104-88

3.1а

ГОСТ 25336-82

3.2.1; 3.3.1; 3.4.1; 3.9.1; 3.12.1

ГОСТ 25794.1-83

3.2.1

ГОСТ 26726-85

3.11

ГОСТ 27025-86

3.1а

ГОСТ 29227-91

3.9.1; 3.12.1

ГОСТ 29251-91

3.2.1; 3.12.1

5. Ограничение срока действия снято по протоколу N 7-95 Межгосударственного Совета по стандартизации, метрологии и сертификации (ИУС 11-95)

6. ИЗДАНИЕ (июнь 2001 года) с Изменениями N 1, 2, утвержденными в мае 1980 года, феврале 1987 года (ИУС 7-80, 5-87)


Настоящий стандарт распространяется на реактив - 10-водный углекислый натрий, который представляет собой бесцветные прозрачные кристаллы, растворимые в воде.

Показатели технического уровня, установленные настоящим стандартом, предусмотрены для высшей категории качества.

Формула Na2CO3·10H2O.

Молекулярная масса (по международным атомным массам 1971 года) - 286,14.

1. ТЕХНИЧЕСКИЕ ТРЕБОВАНИЯ

1.1. 10-водный углекислый натрий должен быть изготовлен в соответствии с требованиями настоящего стандарта по технологическому регламенту, утвержденному в установленном порядке.

1.2. По химическим показателям 10-водный углекислый натрий должен соответствовать нормам, указанным в таблице.

Наименование показателя

Норма

Химически чистый (х.ч.) ОКП 26
2112 1063 00

Чистый для анализа (ч.д.а.) ОКП 26
2112 1062 01

Чистый (ч.) 
ОКП 26 
2112 1061 02

1. Массовая доля углекислого натрия (Na2CO3) в прокаленном препарате, %, не менее

99,8

99,8

99,8

2. Массовая доля потерь при прокаливании, %

62,8-63,8

62,3-64,2

61,7-64,6

3. Массовая доля нерастворимых в воде веществ, %, не более

0,002

0,003

0,010

4. Массовая доля общего азота (N) из нитратов, нитритов и аммиака, %, не более

0,0005

0,0005

0,0010

5. Массовая доля кремниевой кислоты (SiO2), %, не более

0,0005

0,001

0,005

6. Массовая доля серы общей (в пересчете на SO4), %, не более

0,001

0,001

0,006

7. Массовая доля фосфатов (РО4), %, не более

0,0003

0,0003

0,0020

8. Массовая доля хлоридов (Сl), %, не более

0,0005

0,0010

0,0030

9. Массовая доля алюминия (Аl), %, не более

0,0005

0,0005

0,0030

10. Массовая доля железа (Fe), %, не более

0,0002

0,0002

0,0010

11. Массовая доля калия (K), %, не более

0,001

0,001

0,010

12. Массовая доля кальция и магния (в пересчете на Mg), %, не более

0,004

0,006

0,020

13. Массовая доля мышьяка (As), %, не более

0,00001

0,00001

0,00003

14. Массовая доля тяжелых металлов (Pb), %, не более

0,0002

0,0003

0,0005



Разд.1. (Измененная редакция, Изм. N 2).

2а. ТРЕБОВАНИЯ БЕЗОПАСНОСТИ

2а.1. 10-водный углекислый натрий в виде пыли вызывает раздражение слизистых оболочек и кожных покровов.

2а.2. При работе с 10-водным углекислым натрием следует применять индивидуальные средства защиты.

2а.3. Помещения, в которых проводятся работы с препаратом, должны быть оборудованы общей приточно-вытяжной вентиляцией.

Разд.2а. (Введен дополнительно, Изм. N 2).

2. ПРАВИЛА ПРИЕМКИ

2.1. Правила приемки - по ГОСТ 3885.

3. МЕТОДЫ АНАЛИЗА

3.1. Пробы отбирают по ГОСТ 3885. Масса средней пробы не должна быть более 560 г.

3.1а. Общие указания по проведению анализа - по ГОСТ 27025.

При выполнении операций взвешивания применяют лабораторные весы по ГОСТ 24104* 2-го класса точности с наибольшим пределом взвешивания 200 г и 3-го класса точности с наибольшим пределом взвешивания 500 г или 1 кг.
_______________
* Действует ГОСТ 24104-2001.


Допускается применение импортной лабораторной посуды по классу точности и реактивов по качеству не ниже отечественных.

3.2. Определение массовой доли углекислого натрия в прокаленном препарате и массовой доли потерь при прокаливании

3.2.1. Аппаратура, реактивы и растворы

Бюретка 2-2-50-0,1 по ГОСТ 29251.

Колба Кн-1-250-34 ТХС по ГОСТ 25336. 

Стаканчик для взвешивания СВ-34/12 по ГОСТ 25336. 

Тигель высокий N 100 по ГОСТ 6563.

Цилиндр 1-100 по ГОСТ 1770.

Вода дистиллированная по ГОСТ 6709.

Кислота серная по ГОСТ 4204 концентрированная и раствор концентрации c(1/2H2SO4)=1 моль/дм3 (1 н.), готовят по ГОСТ 25794.1.

кислота соляная по ГОСТ 3118, раствор концентрации c(НСl)=1 моль/дм3 (1 н.), готовят по ГОСТ 25794.1.

Метиловый оранжевый (пара-диметиламиноазобензолсульфокислый натрий) (индикатор), готовят по ГОСТ 4919.1.

3.2.2. Проведение анализа

Около 5 г препарата помещают в платиновый тигель, предварительно прокаленный и взвешенный (результат взвешивания в граммах записывают с точностью до четвертого десятичного знака), и выдерживают в течение 24 ч в эксикаторе над серной кислотой. Затем тигель с препаратом помещают на песчаную баню так, чтобы уровень песка снаружи находился не ниже уровня препарата в тигле, и нагревают постепенно до температуры (285±15) °С, поместив термометр в песок около тигля. Прокаливание при этой температуре ведут до постоянной массы. Допускается проводить прокаливание в высокотемпературном сушильном шкафу при температуре (285±15) °С. При всех взвешиваниях тигель помещают в стаканчик для взвешивания.

Остаток растворяют в 50 см3, добавляют 1-2 капли метилового оранжевого и титруют из бюретки раствором соляной или серной кислоты до перехода желтой окраски раствора в оранжевую. Затем раствор нагревают до кипения и кипятят 2-3 мин - для удаления углекислоты. Если после охлаждения вновь появится желтая окраска, титрование раствора продолжают до перехода желтой окраски в оранжевую.

3.1-3.2.2. (Измененная редакция, Изм. N 2).

3.2.3. Обработка результатов

3.2.3.1. Массовую долю углекислого натрия в прокаленном препарате (X) в процентах вычисляют по формуле где V - объем раствора соляной или серной кислоты концентрации точно 1 моль/дм3, израсходованный на титрование, см3
       m - масса прокаленного препарата, г. 

    0,053 - масса углекислого натрия, соответствующая 1 см3 раствора соляной или серной кислоты концентрации точно 1 моль/дм3, г.

За результат анализа принимают среднеарифметическое двух параллельных определений, допускаемые расхождения между которыми не должны превышать 0,3% при P=0,95.

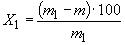
3.2.3.2. Массовую долю потерь при прокаливании (X1) в процентах вычисляют по формуле где  m1 - масса навески препарата, г;
        m  - масса остатка после прокаливания, г.

За результат анализа принимают среднеарифметическое двух параллельных определений, допускаемые расхождения между которыми не должны превышать 0,3% при P=0,95.

3.2.3.1, 3.2.3.2. (Измененная редакция, Изм. N 2).

3.3. Определение содержания массовой доли нерастворимых в воде веществ

3.3.1. Посуда, реактивы и растворы

Стакан В-1-600 ТХС по ГОСТ 25336.

Тигель типа ТФ с фильтром класса ПОР10 или ПОР16 по ГОСТ 25336 или тигель Гуча 2 по ГОСТ 9147 с кружком из обеззоленного фильтра "синяя лента".

Цилиндр 1-500 по ГОСТ 1770. 

Вода дистиллированная по ГОСТ 6709.

(Измененная редакция, Изм. N 2).

3.3.2. Проведение анализа

50,00 г препарата квалификации х.ч. и ч.д.а. или 25,00 г препарата квалификации ч. помещают в стакан и растворяют при нагревании в 400 см3 воды. Стакан накрывают часовым стеклом и выдерживают в течение 1 ч на кипящей водяной бане, затем раствор фильтруют через фильтрующий тигель, предварительно высушенный до постоянной массы и взвешенный (результат взвешивания в граммах записывают с точностью до четвертого десятичного знака). Остаток на фильтре промывают 100 см3 горячей воды и сушат в сушильном шкафу при 100-105 °С до постоянной массы.

При применении для фильтрования тигля Гуча его предварительно промывают 100 см3 раствора углекислого натрия с массовой долей 10%, 100 см3 воды и сушат до постоянной массы в условиях определения.

(Измененная редакция, Изм. N 1, 2).

3.3.3. Обработка результатов

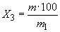
Массовую долю нерастворимых в воде веществ (X3) в процентах вычисляют по формуле где  m1 - масса навески препарата, г; 
        m - масса высушенного остатка, г.

За результат анализа принимают среднеарифметическое результатов двух параллельных определений, допускаемые расхождения между которыми не должны превышать 30% относительно вычисляемой величины при P=0,95.

3.4. Определение общей массовой доли азота - по ГОСТ 10671.4. 

3.4.1. Проведение анализа

5,00 г препарата помещают в колбу К-2-250-34 TXC (ГОСТ 25336) прибора для дистилляции, растворяют в воде и далее определение проводят фотометрическим или визуально-колориметрическим методом.

Препарат считают соответствующим требованиям настоящего стандарта, если общая масса азота не будет превышать:

- для препарата химически чистый

- 0,025 мг;

- для препарата чистый для анализа

- 0,025 мг;

- для препарата чистый

- 0,050 мг.

При разногласиях в оценке массовой доли общего азота анализ проводят фотометрическим методом.

3.5. Определение массовой доли кремнекислоты - по ГОСТ 10671.1.

1,00 г препарата взвешивают в платиновой чашке N 118 (ГОСТ 6563), растворяют в 10 см3 воды, прибавляют 1-2 капли раствора n-нитрофенола с массовой долей 0,2% (готовят по ГОСТ 4919.1), нейтрализуют раствором серной кислоты с массовой долей 20% до обесцвечивания раствора, прибавляя ее по каплям при перемешивании платиновым шпателем. Затем прибавляют 0,5 см3 избытка раствора той же кислоты. Раствор переносят в коническую колбу вместимостью 50 см3 (с метками на 20 и 50 см3), кипятят в течение 5 мин, охлаждают, доводят объем раствора водой до 20 см3 и далее определение проводят фотометрическим методом по окраске молибденовой сини (способ 1), не прибавляя раствор серной кислоты.

Препарат считают соответствующим требованиям настоящего стандарта, если масса кремнекислоты не будет превышать:

- для препарата химически чистый

- 0,01 мг;

- для препарата чистый для анализа

- 0,005 мг;

- для препарата чистый

- 0,05 мг.

Допускается проводить определение по ГОСТ 10671.1 визуально - способ 2. 

При разногласиях в оценке содержания кремнекислоты анализ проводят фотометрическим методом.

3.6. Определение массовой доли общей серы (в пересчете на SO4) - ГОСТ 10671.5.

2,00 г препарата квалификации химически чистый и чистый для анализа или 1,00 г препарата чистый помещают в коническую колбу вместимостью 50 см3 (с меткой на 26 см3), растворяют в 10 см3 воды, прибавляют 0,1 см3 бромной воды (насыщенный раствор, готовят по ГОСТ 4517), нагревают раствор до кипения и кипятят 2 мин, охлаждают, нейтрализуют осторожно при перемешивании раствором соляной кислоты по лакмусовой бумаге и прибавляют 1 см3 избытка раствора соляной кислоты. Раствор кипятят до удаления брома, охлаждают, доводят объем раствора водой до метки и, если раствор мутный, его фильтруют через обеззоленный фильтр "синяя лента", промытый горячей водой. Далее определение проводят фототурбидиметрическим или визуально-нефелометрическим методом (способ 1), не прибавляя раствор соляной кислоты.

Препарат считают соответствующим требованиям настоящего стандарта, если общая масса серы (в пересчете на сульфаты) не будет превышать:

- для препарата химически чистый

- 0,02 мг;

- для препарата чистый для анализа

- 0,02 мг;

- для препарата чистый

- 0,06 мг.

Допускается проводить определение общего содержания серы в виде сульфатов по ГОСТ 10671.5 визуально-нефелометрическим методом (способ 3) из 5 г навески.

При разногласиях в оценке содержания общей серы анализ проводят фототурбидиметрическим методом.

3.3.3-3.6. (Измененная редакция, Изм. N 2).

3.7. Определение массовой доли фосфатов - по ГОСТ 10671.6.

5,00 г препарата помещают в коническую колбу вместимостью 50 см3 (с меткой на 15 см3), смачивают 6 см3 воды, прибавляют 1-2 капли раствора n-нитрофенола (раствор с массовой долей n-нитрофенола 0,2%; готовят по ГОСТ 4919.1) и осторожно, по каплям, раствор азотной кислоты до растворения препарата и обесцвечивания раствора. Объем раствора доводят до 15 см3, перемешивают и далее определение проводят фотометрическим методом по окраске фосфорнованадиево-молибденового комплекса.

Препарат считают соответствующим требованиям настоящего стандарта, если масса фосфатов не будет превышать:

- для препарата химически чистый

- 0,015 мг;

- для препарата чистый для анализа

- 0,015 мг;

- для препарата чистый

- 0,100 мг.

Допускается заканчивать определение визуально.

При разногласиях в оценке массовой доли фосфатов анализ проводят фотометрическим методом.

(Измененная редакция, Изм. N 1, 2).

3.8. Определение содержания хлоридов - по ГОСТ 10671.7.

2,00 г препарата помещают в коническую колбу вместимостью 100 см3, растворяют в 30 см3 воды, прибавляют осторожно при перемешивании 5 см3 раствора азотной кислоты с массовой долей 25% и, если раствор мутный, его фильтруют через обеззоленный фильтр, промытый горячим раствором азотной кислоты (ГОСТ 4461) с массовой долей 1%, и далее определение проводят фототурбидиметрическим (способ 2) или визуально-нефелометрическим методом, не прибавляя раствор азотной кислоты.

Препарат считают соответствующим требованиям настоящего стандарта, если масса хлоридов не будет превышать:

- для препарата химически чистый

- 0,01 мг;

- для препарата чистый для анализа

- 0,02 мг;

- для препарата чистый

- 0,06 мг.

При разногласиях в оценке содержания хлоридов анализ проводят фототурбидиметрическим методом.

(Измененная редакция, Изм. N 2).

3.9. Определение массовой доли алюминия

3.9.1. Аппаратура, реактивы и растворы 

Колба Кн-1-50-22 TXC по ГОСТ 25336. 

Пипетка 6(7)-2-5(10) по ГОСТ 29227. 

Цилиндры 1-25 и 1-100 по ГОСТ 1770.

Алюминон, раствор с массовой долей алюминона 0,1%, готовят по ГОСТ 4517 не менее чем за 1 ч до определения, годен в течение 5 сут.

аммиак водный по ГОСТ 3760, раствор с массовой долей аммиака 10%, готовят по ГОСТ 4517.

Вода дистиллированная по ГОСТ 6709.

Кислота уксусная по ГОСТ 61, ледяная х.ч.

Раствор, содержащий Аl; готовят по ГОСТ 4212.

Аммоний углекислый по ГОСТ 3770, х.ч.; раствор готовят следующим образом: 20 г углекислого аммония растворяют при слабом нагревании в 20 см3 раствора аммиака и 40 см3 воды, доводят объем раствора водой до 100 см3 и перемешивают.

Аммоний уксуснокислый по ГОСТ 3117, раствор с массовой долей уксуснокислого аммония 5%, проверенный на отсутствие алюминия в условиях определения следующим образом: к раствору, содержащему 5,75 см3 воды, 10 см3 уксуснокислого аммония и 0,75 см3 уксусной кислоты, прибавляют 1 см3 раствора алюминона и через 5 мин - 10 см3 раствора углекислого аммония. Через 10 мин раствор должен быть бесцветным.

3.9.2. Проведение анализа

1,00 г препарата помещают в коническую колбу, растворяют в 15 см3 воды, прибавляют осторожно при перемешивании 1,5 см3 уксусной кислоты, 1 см3 раствора алюминона и перемешивают. Через 5 мин прибавляют 10 см3 раствора углекислого аммония и снова перемешивают.

Препарат считают соответствующим требованиям настоящего стандарта, если наблюдаемая через 10 мин окраска анализируемого раствора не будет интенсивнее окраски раствора, приготовленного одновременно с анализируемым следующим образом: к 5,75 см3 воды, содержащим

для препарата химически чистый

- 0,005 мг Al;

для препарата чистый для анализа

- 0,0050 мг Al;

для препарата чистый

- 0,030 мг Al,

прибавляют 10 см3 раствора уксуснокислого аммония, 0,75 см3 уксусной кислоты и 1 см3 раствора алюминона. Через 5 мин прибавляют 10 см3 раствора углекислого аммония и перемешивают.

3.10. Определение массовой доли железа - по ГОСТ 10555.

2,50 г препарата помещают в коническую колбу вместимостью 100 см3 (с меткой на 20 и 50 см3) и прибавляют 15 см3 воды. Затем при перемешивании по каплям прибавляют 5 см3 раствора соляной кислоты, нагревают до кипения и кипятят 5 мин. Раствор охлаждают, доводят объем раствора водой до 20 см3 и далее определение проводят сульфосалициловым методом, не прибавляя раствор соляной кислоты.

Препарат считают соответствующим требованиям настоящего стандарта, если масса железа не будет превышать:

- для препарата химически чистый

- 0,005 мг;

- для препарата чистый для анализа

- 0,005 мг;

- для препарата чистый

- 0,025 мг.

При необходимости в результат анализа вносят поправку на массу железа в применяемом для нейтрализации объеме раствора соляной кислоты, определяемую контрольным опытом.

Допускается заканчивать определение визуально.

Допускается проводить определение 2,2'-дипиридиловым или роданидным методом по ГОСТ 10555.

При разногласиях в оценке содержания железа анализ проводят сульфосалициловым методом.

3.11. Определение проводят по ГОСТ 26726 методом пламенной фотометрии.

3.12. Определение массовых долей кальция и магния (в пересчете на магний)

3.12.1. Применяемые реактивы и растворы 

Бюретка 1-2-5-0,02 по ГОСТ 29251. 

Колба Кн-1-250-34 TXC по ГОСТ 25336. 

Пипетки 7-2-10 или 4-2-2 по ГОСТ 29227. 

Цилиндр 1-100 по ГОСТ 1770.

Бумага лакмусовая или бумага индикаторная универсальная.

Буферный раствор (аммиачный) с pH=9,5-10; готовят по ГОСТ 10398.

Вода дистиллированная по ГОСТ 6709.

кислота соляная по ГОСТ 3118, раствор с массовой долей соляной кислоты 10%.

1-[(окси-2-нафтил)-азо]-6-нитро-2-нафтол-4-сульфокислоты натриевая соль (эрихром черный Т), индикаторная смесь; готовят по ГОСТ 10398.

Раствор, содержащий Mg; готовят по ГОСТ 4212, соответствующим разбавлением готовят раствор, содержащий 0,1 мг/см3 Mg.

Соль динатриевая этилендиамин N, N, N', N'-тетрауксусной кислоты 2-водная (ди-Na-ЭДТА) по ГОСТ 10652, раствор концентрации c(ди-Na-ЭДТА)=0,01 моль/дм3 (0,01 М); готовят по ГОСТ 10398.

3.12.2. Проведение анализа

5,00 г препарата помещают в колбу, растворяют в 90 см3 воды и нейтрализуют раствором соляной кислоты в присутствии лакмусовой бумаги или до рН 7 по универсальной индикаторной бумаге (около 12 см3). Раствор нагревают до кипения, осторожно кипятят в течение 5 мин и охлаждают. Затем пипеткой 4-2-2 прибавляют, перемешивая, 1 см3 раствора, содержащего 0,1 мг Mg, 5 см3 буферного раствора, 0,1 г индикаторной смеси и титруют из бюретки раствором ди-Na-ЭДТА до перехода фиолетовой окраски раствора в синюю.

Одновременно титруют контрольный раствор, содержащий в таком же объеме 1 см3 раствора, содержащего 0,1 мг Mg и те же количества буферного раствора и индикаторной смеси.

3.9.1, 3.12.2. (Измененная редакция, Изм. N 1, 2).

3.12.3. Обработка результатов

Массовая доля кальция и магния в пересчете на Mg (X2) в процентах вычисляют по формуле где  V1 - объем раствора ди-Na-ЭДТА концентрации точно 0,01 моль/дм3, израсходованный на титрование анализируемого раствора, см3
      V2 - объем раствора ди-Na-ЭДТА концентрации точно 0,01 моль/дм3, израсходованный на титрование контрольного раствора, см3

      m  - масса навески препарата, г; 

      0,000243 - количество магния, соответствующее 1 см3 раствора ди-Na-ЭДТА концентрации точно 0,01 моль/дм3.

При необходимости в результат анализа вносят поправку на массовую долю Mg и Ca в соляной кислоте, определяемую контрольным опытом после выпаривания 12 см3 раствора соляной кислоты.

За результат анализа принимают среднеарифметическое двух параллельных определений, допускаемые расхождения между которыми не должны превышать 0,0006% абс. при доверительной вероятности P=0,95.

(Измененная редакция, Изм.N 2).

3.13. Определение массовой доли мышьяка - по ГОСТ 10485.

5,00 г препарата растворяют в 15 см3 воды и нейтрализуют в колбе прибора для определения мышьяка раствором серной кислоты в присутствии 1-2 капель раствора n-нитрофенола с массовой долей 0,2% (готовят по ГОСТ 4919.1). Доводят объем раствора водой до 30 см3 и далее определение проводят методом с применением бромнортутной бумаги в сернокислой среде.

Препарат считают соответствующим требованиям настоящего стандарта, если наблюдаемая через 1,5 ч окраска бромнортутной бумаги от анализируемого раствора не будет интенсивнее окраски бромнортутной бумаги от раствора, приготовленного одновременно с анализируемым и содержащего в таком же объеме:

для препарата химически чистый

- 0,0005 мг As;

для препарата чистый для анализа

- 0,0005 мг As;

для препарата чистый

- 0,0015 мг As,

20 см3 раствора серной кислоты, 0,5 см3 раствора двухлористого олова и 5 г цинка.

Допускается проводить определение методом с применением бромнортутной бумаги в солянокислой среде.

При разногласиях в оценке массовой доли мышьяка анализ проводят методом с применением бромнортутной бумаги в сернокислой среде.

3.14. Определение массовой доли тяжелых металлов - по ГОСТ 17319.

5,00 г препарата помещают в коническую колбу вместимостью 50 см3 (с меткой на 20 см3), смачивают 10 см3 воды, осторожно нейтрализуют раствором соляной кислоты с массовой долей 25% (ГОСТ 3116*) в присутствии лакмусовой бумаги (допускается проводить нейтрализацию до pH 7 по универсальной индикаторной бумаге), доводят объем раствора водой до метки и далее определение проводят тиоацетамидным методом.
_______________
* Вероятно ошибка оригинала. Следует читать ГОСТ 3118 (см. п.4 Информационных данных).

Препарат считают соответствующим требованиям настоящего стандарта, если масса тяжелых металлов не будет превышать:

- для препарата химически чистый

- 0,010 мг;

- для препарата чистый для анализа

- 0,015 мг;

- для препарата чистый

- 0,025 мг.

При необходимости в результат анализа вносят поправку на массу тяжелых металлов в применяемом объеме соляной кислоты, определяемую контрольным опытом.

Допускается заканчивать определение фотометрически или визуально.

Допускается проводить определение сероводородным методом.

При разногласиях в оценке содержания тяжелых металлов анализ проводят тиоацетамидным методом фотометрически.

3.13, 3.14. (Измененная редакция, Изм. N 1, 2).

4. УПАКОВКА, МАРКИРОВКА, ТРАНСПОРТИРОВАНИЕ И ХРАНЕНИЕ

4.1. Препарат упаковывают и маркируют в соответствии с ГОСТ 3885.

Вид упаковки: 2-1, 2-2, 2-4, 2-9.

Группа фасовки: IV, V, VI не более 3000 г. 

(Измененная редакция, Изм. N 2).

4.2. Препарат перевозят всеми видами транспорта в соответствии с правилами перевозки грузов, действующими на данном виде транспорта.

4.3. Препарат хранят в упаковке изготовителя в крытых складских помещениях.

5. ГАРАНТИИ ИЗГОТОВИТЕЛЯ

5.1. Изготовитель гарантирует соответствие 10-водного углекислого натрия требованиям настоящего стандарта при соблюдении потребителем условий хранения.

5.2. Гарантийный срок хранения препарата - один год со дня изготовления. 

Разд.5. (Измененная редакция, Изм. N 2).

Разд.6. (Исключен, Изм. N 2).



Текст документа сверен по:
официальное издание
М.: ИПК Издательство стандартов, 2001