Новости Нефтегазовая пром.
Выставки Наука и технология


Калий бромистый. Реактивы ГОСТ 4160-74

Калий бромистый. Реактивы. Технические условия (с Изменениями N 1, 2, 3) ГОСТ 4160-74


ГОСТ 4160-74

Группа Л51

     
     
ГОСУДАРСТВЕННЫЙ СТАНДАРТ СОЮЗА ССР

     
     
Реактивы

     
КАЛИЙ БРОМИСТЫЙ

     
Технические условия

     
Reagents. Potassium bromide. Specifications



ОКП 26 2113 0120 07

Дата введения 1975-07-01

     
     
ИНФОРМАЦИОННЫЕ ДАННЫЕ

1. РАЗРАБОТАН И ВНЕСЕН Министерством химической промышленности

РАЗРАБОТЧИКИ

Г.В.Грязнов, В.Г.Брудзь, И.Л.Ротенберг, 3.М.Ривина, Л.3.Климова, Л.В.Кидиярова

2. УТВЕРЖДЕН И ВВЕДЕН В ДЕЙСТВИЕ Постановлением государственного комитета стандартов Совета Министров СССР от 15.04.74 N 885

3. ВВЕДЕН ВЗАМЕН ГОСТ 4160-65

4. ССЫЛОЧНЫЕ НОРМАТИВНО-ТЕХНИЧЕСКИЕ ДОКУМЕНТЫ

Обозначение НТД, на который дана ссылка

Номер пункта, подпункта

ГОСТ 1277-75

3.9.1

ГОСТ 1770-74

3.2.1, 3.3.1, 3.6.1, 3.7.1

ГОСТ 2603-79

3.13.1

ГОСТ 3760-79

3.9.1, 3.13.1

ГОСТ 3773-72

3.13.1

ГОСТ 3885-73-->ГОСТ 3885-73

2.1, 3.1, 4.1

ГОСТ 4204-77

3.6.1, 3.7.1, 3.9.1, 3.10.1

ГОСТ 4212-76

3.6.1, 3.7.1, 3.9.1, 3.10.1, 3.13.1, 3.14.1

ГОСТ 4217-77

3.9.1

ГОСТ 4232-74

3.6.1, 3.7.1

ГОСТ 4461-77

3.9.1

ГОСТ 4517-87

3.2.1, 3.7.1, 3.9.1, 3.15

ГОСТ 4521-78

3.2.1

ГОСТ 4919.1-77

3.2.1

ГОСТ 5845-79

3.13.1

ГОСТ 5848-73

3.7.1

ГОСТ 5955-75

3.7.1

ГОСТ 6709-72-->ГОСТ 6709-72

3.2.1, 3.3.1, 3.6.1, 3.7.1, 3.9.1, 3.10.1, 3.13.1, 3.14.1

ГОСТ 10555-75

3.11

ГОСТ 10671.4-74

3.5

ГОСТ 10671.5-74

3.8

ГОСТ 10929-76

3.9.1

ГОСТ 18300-87

3.10.1

ГОСТ 17319-76

3.12

ГОСТ 20015-88

3.7.1

ГОСТ 25336-82

3.2.1, 3.3.1, 3.4, 3.6.1, 3.7.1, 3.9.1, 3.10.1, 3.11, 3.13.1, 3.15

ГОСТ 25794.1-83

3.6.1

ГОСТ 25794.3-83

3.2.1, 3.9.1

ГОСТ 27025-86

3.1а

5. Ограничение срока действия снято по протоколу N 4-93 Межгосударственного Совета по стандартизации, метрологии и сертификации (ИУС 4-94)

6. ПЕРЕИЗДАНИЕ (июнь 1998 г.) с Изменениями N 1, 2, 3, утвержденными в июне 1980 г., декабре 1984 г., декабре 1989 г. (ИУС 9-80, 4-85, 2-90)


Настоящий стандарт распространяется на бромистый калий, представляющий собой бесцветные кристаллы или мелкокристаллический порошок; растворим в воде, трудно растворим в спирте, негорюч, нетоксичен.

Формула КВr.

Молекулярная масса (по международным атомным массам 1971 г.) - 118,99.

(Измененная редакция, Изм. N 3).

1. ТЕХНИЧЕСКИЕ ТРЕБОВАНИЯ

1.1. Бромистый калий должен быть изготовлен в соответствии с требованиями настоящего стандарта по технологическому регламенту, утвержденному в установленном порядке.

1.2. По физико-химическим показателям бромистый калий должен соответствовать нормам, указанным в табл.1.

Таблица 1

Наименование показателя

Норма

Химически 
чистый (х.ч.)
ОКП 
26 2113 0123 04

Чистый для 
анализа (ч.д.а.)
ОКП 
26 2113 0122 05

Чистый (ч.)
ОКП 
26 2113 0121 06

1. Массовая доля бромистого калия (KBr) в высушенном препарате, %, не менее

99,5

99,0

98,5

2. Массовая доля нерастворимых в воде веществ, %, не более

0,003

0,005

0,010

3. Массовая доля потерь при высушивании, %, не более

0,2

0,35

1,0

4. Массовая доля общего азота (N), %, не более

0,001

0,001

Не нормируется

5. Массовая доля броматов (ВrO3), %, не более

0,0003

0,0008

0,0008

6. Массовая доля йодидов (J), %, не более

0,001

0,001

Не нормируется

7. Массовая доля сульфатов (SO4), %, не более

0,002

0,002

0,005

8. Массовая доля хлоридов (Сl), %, не более

0,1

0,15

0,5

9. Массовая доля бария (Ba), %, не более

0,0015

0,002

Не нормируется

10. Массовая доля железа (Fe), %, не более

0,0002

0,0002

0,0002

11. Массовая доля тяжелых металлов (Pb), %, не более

0,0002

0,0002

0,0005

12. Массовая доля магния (Mg), %, не более

0,0005

0,001

Не нормируется

13. Массовая доля кальция, (Ca), %, не более

0,0005

0,001

0,001

14. Массовая доля натрия (Na), %, не более

0,05

0,15

Не нормируется

15. pH раствора препарата с массовой долей 5%

5-8

5-8

5-8



(Измененная редакция, Изм. N 1, 2, 3).

2. ПРАВИЛА ПРИЕМКИ

2.1. Правила приемки - по ГОСТ 3885.

2.2. Определение массовой доли общего азота, броматов, йодидов, бария, железа, тяжелых металлов и кальция изготовитель проводит в каждой 10-й партии, массовой доли магния - по требованию потребителя.

(Введен дополнительно, Изм. N 3).

3. МЕТОДЫ АНАЛИЗА

3.1а. Общие указания по проведению анализа - по ГОСТ 27025.

При взвешивании применяют лабораторные весы общего назначения типов ВЛР-200г, ВЛКТ-500г-М, ВЛР-1 кг или ВЛЭ-200г.

Допускается применять другие средства измерения с метрологическими характеристиками и оборудования с техническими характеристиками, а также реактивов по качеству не ниже указанных в настоящем стандарте.

3.1. Пробы отбирают по ГОСТ 3885. Масса пробы должна быть не менее 230 г.

3.1а, 3.1. (Измененная редакция, Изм. N 3).

3.2. Определение массовой доли бромистого калия

3.2.1. Реактивы и растворы

Вода дистиллированная по ГОСТ 6709;

дифенилкарбазон, раствор в спирте с массовой долей 1%; готовят по ГОСТ 4919.1;

кислота азотная, не содержащая оксидов азота; готовят по ГОСТ 4517;

ртуть (I) азотнокислая 2-водная по ГОСТ 4521, раствор концентрации c(1/2 Hg2(NO3)2·2H2O)=0,1 моль/дм3 (0,1 н.); готовят по ГОСТ 25794.3;

бюретка 1(2)-2-50-0,1 по НТД;

колба Кн-2-250-34 ТХС по ГОСТ 25336;

пипетки 4(5)-2-2 и 6(7)-2-5(10) по НТД;

цилиндр 1-50(100) по ГОСТ 1770.

3.2.2 Проведение анализа

Около 0,3000 г препарата, высушенного по п.3.4, помещают в коническую колбу, растворяют в 50 см3 воды, прибавляют 5 см3 раствора азотной кислоты и титруют раствором 2-водной азотнокислой ртути (I). Не доходя до точки эквивалентности на 2-3 см3 (по теоретическому расчету), прибавляют 0,2 см3 раствора дифенилкарбазона и продолжают титрование до резкого перехода голубовато-зеленой окраски образовавшейся суспензии в синюю или сине-фиолетовую.

3.2.3. Обработка результатов

Массовую долю бромистого калия (X) в процентах вычисляют по формуле где V - объем раствора 2-водной азотнокислой ртути (I) концентрации точно 0,1 моль/дм3, израсходованный на титрование, см3;

      X1 - массовая доля хлоридов в препарате, найденная по настоящему стандарту, %;

      m - масса навески препарата, г;

    0,0119 - масса бромистого калия, соответствующая 1 см3 раствора 2-водной азотнокислой ртути (I) концентрации точно 0,1 моль/дм3, г;

     3,356 - коэффициент пересчета хлоридов (Сl) на бромистый калий.

За результат анализа принимают среднее арифметическое результатов двух параллельных определений, абсолютное расхождение между которыми не превышает допускаемое расхождение равное 0,3%.

Допускаемая абсолютная суммарная погрешность результата анализа ±0,6% при доверительной вероятности P=0,95.

3.2.1-3.2.3. (Измененная редакция, Изм. N 1, 2, 3).

3.3. Определение массовой доли нерастворимых в воде веществ

3.3.1. Реактивы и посуда

Вода дистиллированная по ГОСТ 6709;

тигель типа ТФ класса ПОР 10 или ПОР 16 по ГОСТ 25336;

стакан В(Н)-1-400 ТХС по ГОСТ 25336;

цилиндр 1(3)-250 по ГОСТ 1770.

3.3.2. Проведение анализа

35,00 г препарата химически чистого и 20,00 г препарата чистого для анализа или чистого помещают в стакан и растворяют в воде (объем воды для растворения препарата химически чистого составляет 250 см3, для препарата чистого для анализа или чистого 150 см3). Стакан накрывают часовым стеклом, выдерживают раствор на водяной бане в течение 1 ч и фильтруют через фильтрующий тигель, предварительно высушенный до постоянной массы и взвешенный (результат взвешивания в граммах записывают до четвертого десятичного знака).

Остаток на фильтре промывают 100 см3 горячей воды и сушат в сушильном шкафу при 105-110 °С до постоянной массы.

Препарат считают соответствующим требованиям настоящего стандарта, если масса остатка после высушивания не будет превышать:

для препарата химически чистый - 1,0 мг,

для препарата чистый для анализа - 1,0 мг,

для препарата чистый - 2,0 мг.

Допускаемая относительная суммарная погрешность результата анализа ±50% для препарата квалификации х.ч. и ч.д.а. и ±30% для препарата квалификации ч. при доверительной вероятности P=0,95.

3.4. Определение массовой доли потерь при высушивании

Около 1,0000 г препарата помещают в стаканчик для взвешивания типа СН (ГОСТ 25336), предварительно высушенный до постоянной массы и взвешенный (результат взвешивания в граммах записывают до четвертого десятичного знака), и сушат в сушильном шкафу при 105-110 °С до постоянной массы.

Препарат считают соответствующим требованиям настоящего стандарта, если потеря массы не будет превышать:

для препарата химически чистый - 2 мг;

для препарата чистый для анализа - 3,5 мг;

для препарата чистый - 10 мг.

Остаток сохраняют для определения бромистого калия по п.3.2.

3.3.1-3.4. (Измененная редакция, Изм. N 2, 3).

3.5. Определение массовой доли общего азота проводят по ГОСТ 10671.4. При этом 2,00 г препарата помещают в круглодонную колбу, растворяют в воде и далее определение проводят фотометрическим или визуально-колориметрическим методом.

Препарат считают соответствующим требованиям настоящего стандарта, если масса общего азота не будет превышать:

для препарата химически чистый - 0,02 мг,

для препарата чистый для анализа - 0,02 мг.

При разногласиях в оценке массовой доли общего азота анализ проводят фотометрическим методом.

(Измененная редакция, Изм. N 1, 2, 3).

3.6. Определение массовой доли броматов

3.6.1. Реактивы и растворы

Вода дистиллированная по ГОСТ 6709;

Калий йодистый по ГОСТ 4232, раствор с массовой долей 2%;

кислота серная по ГОСТ 4204, раствор концентрации c(1/2H2SO4)=1 моль/дм3 (1 н.), готовят по ГОСТ 25794.1 без установления коэффициента поправки;

раствор, содержащий броматы (BrO); готовят по ГОСТ 4212, соответствующим разбавлением готовят раствор массовой концентрации ВrO - 0,01 мг/см3;

колба Кн-2-50-22 ТХС по ГОСТ 25336;

пипетки 4(5)-2-1(2) и 6(7)-2-5(10) по НТД;

цилиндр 1(3)-50 по ГОСТ 1770.

3.6.2. Проведение анализа

2,00 г препарата помещают в колбу, растворяют в 20 см3 воды, прибавляют 1 см3 раствора йодистого калия, 5 см3 раствора серной кислоты и перемешивают.

Препарат считают соответствующим требованиям настоящего стандарта, если окраска анализируемого раствора, наблюдаемая через 30 мин на фоне молочного стекла, не будет интенсивнее окраски раствора, приготовленного одновременно с анализируемым и содержащего в таком же объеме:

для препарата химически чистый - 0,006 мг ВrO3,

для препарата чистый для анализа - 0,016 мг ВrO3,

для препарата чистый - 0,016 мг ВrO3,

1 см3 раствора йодистого калия и 5 см3 раствора серной кислоты.

3.6.1; 3.6.2. (Измененная редакция, Изм. N 2, 3).

3.7. Определение массовой доли йодидов

3.7.1. Реактивы и растворы

Бензол по ГОСТ 5955 или хлороформ технический по ГОСТ 20015;

бром, насыщенный водный раствор (бромная Вода); готовят по ГОСТ 4517;

Вода дистиллированная по ГОСТ 6709;

Калий йодистый по ГОСТ 4232, раствор с массовой долей 5%;

кислота муравьиная по ГОСТ 5848, раствор с массовой долей 20%;

кислота серная по ГОСТ 4204, раствор с массовой долей 20%;

раствор, содержащий Йодиды (J); готовят по ГОСТ 4212 соответствующим разбавлением готовят раствор массовой концентрации J - 0,001 мг/см3;

колбы Кн-2-50-22 ТХС и Кн-2-100-22 ТХС по ГОСТ 25336;

пипетки 2-2-20 и 4(5)-2-1(2) по НТД;

пробирка П1-16-150 ХС или П4-25-14/23 по ГОСТ 25336;

цилиндр 1(3)-50 по ГОСТ 1770.

(Измененная редакция, Изм. N 1, 2, 3).

3.7.2. Проведение анализа

20 см3 полученного раствора (соответствуют 0,2 г препарата) пипеткой помещают в коническую колбу вместимостью 50 см3 (с меткой на 20 см3), прибавляют 0,1 см3 бромной воды, нагревают до кипения и кипятят 1-2 мин. К горячему раствору прибавляют 0,2 см3 раствора муравьиной кислоты, охлаждают, доводят объем раствора водой до метки, перемешивают и переносят в пробирку.

Затем прибавляют 0,2 см3 раствора серной кислоты, 0,1 см3 раствора йодистого калия, перемешивают, прибавляют 1 см3 бензола или хлороформа, сильно встряхивают несколько раз и оставляют до расслоения.

Препарат считают соответствующим требованиям настоящего стандарта, если окраска органического слоя анализируемого раствора, наблюдаемая на фоне молочного стекла, не будет интенсивнее окраски органического слоя раствора, приготовленного одновременно с анализируемым таким же образом и содержащего в таком же объеме:

для препарата химически чистый - 0,002 мг J,

для препарата чистый для анализа - 0,002 мг J,

0,1 см3 бромной воды, 0,2 см3 раствора муравьиной кислоты, 0,2 см3 раствора серной кислоты, 0,1 см3 раствора йодистого калия, 1 см3 бензола или хлороформа.

(Измененная редакция, Изм. N2, 3).

3.8. Определение массовой доли сульфатов

Определение проводят по ГОСТ 10671.5 фототурбидиметрическим или визуально-нефелометрическим (способ 1) методом. При этом 1,00 г препарата помещают в коническую колбу вместимостью 50 см3, растворяют в 25 см3 воды и, если раствор мутный, его фильтруют через обеззоленный фильтр "синяя лента", промытый горячей водой. Далее определение проводят по ГОСТ 10671.5.

Препарат считают соответствующим требованиям настоящего стандарта, если масса сульфатов не будет превышать:

для препарата химически чистый - 0,02 мг SO4,

для препарата чистый для анализа - 0,02 мг SO4,

для препарата чистый - 0,05 мг SO4,

1,0 см3 раствора соляной кислоты с массовой долей 10%, 3,0 см3 раствора крахмала и 3,0 см3 раствора хлорида бария.

При разногласиях в оценке массовой доли сульфатов анализ проводят фототурбидиметрическим методом.

(Измененная редакция, Изм. N 1, 2, 3).

3.9. Определение массовой доли хлоридов

3.9.1. Реактивы, растворы и приборы

аммиак водный по ГОСТ 3760;

Вода дистиллированная по ГОСТ 6709;

кислота азотная по ГОСТ 4461, раствор 1:1;

кислота серная по ГОСТ 4204;

Серебро азотнокислое по ГОСТ 1277, раствор концентрации c(AgNO3)=0,1 моль/дм3 (0,1 н.), готовят по ГОСТ 25794.3;

бумага йодкрахмальная, готовят по ГОСТ 4517;

водорода пероксид по ГОСТ 10929;

калий азотнокислый по ГОСТ 4217, насыщенный раствор;

раствор, содержащий хлориды (Сl), готовят по ГОСТ 4212;

бюретка 1(2)-10-0,05 по НТД;

колба Кн-2-100-22 ТХС по ГОСТ 25336;

пипетка 6(7)-2-5 по НТД;

стакан Н-2-150 ХС по ГОСТ 25336;

цилиндр 1(3)-50 по ГОСТ 1770;

мешалка магнитная;

иономер ЭВ-74 или другой с аналогичными метрологическими характеристиками;

насыщенный хлорсеребряный электрод сравнения с электролитическим ключом, наполненным насыщенным раствором калия азотнокислого;

серебряный электрод индикаторный, изготовляется из серебряной проволоки длиной 300 мм, диаметром 1-1,5 мм в виде спирали или из серебряной пластины длиной 100 мм, шириной 10 мм. Перед применением поверхность серебряного электрода чистят тонкой наждачной бумагой и погружают в раствор азотной кислоты до выделения пузырьков на поверхности металла. При повторном использовании серебряный электрод помещают последовательно в раствор аммиака для растворения налета азотнокислого серебра и в раствор азотной кислоты.

(Измененная редакция, Изм. N 2, 3).

3.9.2. Проведение анализа

Около 1,0000 г препарата, предварительно высушенного до постоянной массы в сушильном шкафу при 105-110 °С, помещают в коническую колбу (с меткой на 30 см3), растворяют в 25 см3 воды, осторожно прибавляют пипетками 3 см3 серной кислоты и 1 см3 пероксида водорода. Раствор нагревают на электрической плитке, покрытой асбестом, или песчаной бане до обесцвечивания раствора, охлаждают, затем осторожно прибавляют еще раз 1 см3 пероксида водорода и продолжают нагревание до полного удаления брома (проба йодкрахмальной бумагой), поддерживая объем анализируемого раствора не менее 30 см3. Раствор охлаждают, количественно переносят 703 см воды в стакан, прибавляют пипеткой 5 см3 раствора, содержащего хлориды (соответствуют 5 мг Сl) и перемешивают. В стакан с раствором помещают электроды и при перемешивании раствора магнитной мешалкой титруют раствором азотнокислого серебра до скачков потенциала. Сначала титруют оставшийся бром-ион (первый скачок потенциала), затем хлор-ион (второй скачок потенциала). Вблизи скачков потенциала раствор азотнокислого серебра следует прибавлять по каплям. Разность потенциалов считают установившейся, если она не меняется в течение 1 мин.

Одновременно в тех же условиях проводят контрольный опыт. При этом 100 см3 воды помещают в стакан, прибавляют пипетками 3 см3 серной кислоты, 5 см3 раствора, содержащего хлориды (соответствуют 5 мг Сl) и при перемешивании раствора магнитной мешалкой титруют раствором азотнокислого серебра до скачка потенциала.

3.9.3. Обработка результатов

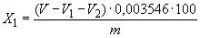
Массовую долю хлоридов (X1) в процентах вычисляют по формуле где V - объем раствора азотнокислого серебра концентрации точно 0,1 моль/дм3, израсходованный на суммарное титрование бром-иона и хлор-иона, см3;

   V1 - объем раствора азотнокислого серебра концентрации точно 0,1 моль/дм3, израсходованный на титрование бром-иона (первый скачок потенциала), см3;

   V2 - объем раствора азотнокислого серебра концентрации точно 0,1 моль/дм3, израсходованный на титрование контрольного опыта, см3;

   0,003546 - масса хлоридов, соответствующая 1 см3 раствора азотнокислого серебра концентрации точно 0,1 моль/дм3,г;

   m - масса навески препарата, г.

Объем раствора азотнокислого серебра, израсходованный на титрование V(V1,V2) в кубических сантиметрах вычисляют с точностью до второго десятичного знака по формуле где VH - объем раствора азотнокислого серебра концентрации 0,1 моль/дм3, соответствующий точке начала скачка потенциала, см3;

       A - разность потенциалов после скачка, мВ;

      B - разность потенциалов до скачка, мВ;

      0,1 - интервал дозировки раствора азотнокислого серебра при титровании, см3.
За результат анализа принимают среднее арифметическое результатов двух параллельных определений, абсолютное расхождение между которыми не превышает допускаемое расхождение, равное 0,05%.

Допускаемая абсолютная суммарная погрешность результата анализа ±0,03% при доверительной вероятности P=0,95.

3.9.2, 3.9.3. (Измененная редакция, Изм. N 3).

3.10. Определение массовой доли бария

3.10.1. Реактивы и растворы

Вода дистиллированная по ГОСТ 6709;

кислота серная по ГОСТ 4204, раствор с массовой долей 16%;

спирт этиловый ректификованный технический по ГОСТ 18300, высшего сорта;

раствор, содержащий барий (Ba); готовят по ГОСТ 4212, соответствующим разбавлением готовят раствор массовой концентрации Ba - 0,01 мг/см3;

колба Кн-2-50-22 ХС по ГОСТ 25336;

пипетки 4(5)-2-1(2) и 6(7)-2-5 по НТД;

цилиндр 1(3)-50 по ГОСТ 1770.

(Измененная редакция, Изм. N 1, 3).

3.10.2. Проведение анализа

2,00 г препарата помещают в коническую колбу, растворяют в 20 см3 воды и, если раствор мутный, его фильтруют через обеззоленный фильтр "синяя лента", промытый горячей водой. Затем прибавляют при перемешивании 5 см3 спирта и 1 см3 раствора серной кислоты.

Препарат считают соответствующим требованиям настоящего стандарта, если опалесценция анализируемого раствора, наблюдаемая через 30 мин на темном фоне, не будет интенсивнее опалесценции раствора, приготовленного одновременно с анализируемым и содержащего в таком же объеме:

для препарата химически чистый - 0,03 мг Ba,

для препарата чистый для анализа - 0,04 мг Ba,

5 см3 спирта и 1 см3 раствора серной кислоты.

3.11. Определение массовой доли железа

Массовую долю железа определяют по ГОСТ 10555. При этом 2,50 г препарата помещают в коническую колбу Кн-2-100-22 ТХС (ГОСТ 25336), растворяют в 20 см3 воды, прибавляют 1 см3 раствора соляной кислоты, нагревают до кипения и кипятят 1-2 мин. Раствор охлаждают и, если он мутный, фильтруют через обеззоленный фильтр "синяя лента", промытый горячей водой, переносят количественно в мерную колбу и далее определение проводят сульфосалициловым методом.

Препарат считают соответствующим требованиям настоящего стандарта, если масса железа не будет превышать:

для препарата химически чистый - 0,005 мг,

для препарата чистый для анализа - 0,005 мг,

для препарата чистый - 0,005 мг.

Допускается заканчивать определение визуально.

При разногласиях в оценке массовой доли железа анализ заканчивают фотометрически.

3.12. Определение массовой доли тяжелых металлов

Определение проводят по ГОСТ 17319. При этом 5,00 г препарата помещают в коническую колбу (с меткой на 25 см3), растворяют в 15 см3 воды и, если раствор мутный, его фильтруют через обеззоленный фильтр "синяя лента", промытый горячей водой.

Далее определение проводят тиоацетамидным методом фотометрически или визуально-колориметрически.

Препарат считают соответствующим требованиям настоящего стандарта, если масса тяжелых металлов не будет превышать:

для препарата химически чистый - 0,010 мг,

для препарата чистый для анализа - 0,010 мг,

для препарата чистый - 0,025 мг.

При разногласиях в оценке массовой доли тяжелых металлов анализ проводят фотометрически.

3.10.2-3.12. (Измененная редакция, Изм. N 1, 2, 3).

3.13. Определение массовой доли магния

3.13.1. Реактивы и растворы

аммиак водный по ГОСТ 3760;

Аммоний хлористый по ГОСТ 3773, раствор с массовой долей 10%;

Ацетон по ГОСТ 2603;

Вода дистиллированная по ГОСТ 6709;

магнезон ХС, ацетоновый раствор с массовой долей 0,01%, применяют не ранее чем через сутки после приготовления. Раствор годен в течение 4-5 недель;

раствор, содержащий Mg; готовят по ГОСТ 4212, соответствующим разбавлением готовят раствор, содержащий 0,01 мг/см3 Mg;

калий-Натрий виннокислый 4-водный по ГОСТ 5845, раствор с массовой долей 50%;

пипетки 4(5)-2-1 и 6(7)-2-5(10) по НТД;

пробирки П1-16-150 ХС или П4-25-14/23 по ГОСТ 25336.

3.13.2. Проведение анализа

0,50 г препарата помещают в пробирку, растворяют в 5 см3 воды, прибавляют 1 см3 раствора хлористого аммония, 0,4 см3 раствора 4-водного виннокислого калия-натрия, 2 см3 ацетона, 1 см3 раствора магнезона ХС, 1 см3 раствора аммиака, перемешивая раствор после прибавления каждого реактива.

Препарат считают соответствующим требованиям настоящего стандарта, если наблюдаемая через 5 мин в проходящем свете на фоне молочного стекла розовато-синяя окраска анализируемого раствора по розовому оттенку не будет интенсивнее окраски раствора, приготовленного одновременно с анализируемым и содержащего в таком же объеме:

для препарата химически чистый - 0,0025 мг Mg,

для препарата чистый для анализа - 0,005 мг Mg,

1 см3 раствора хлористого аммония, 0,4 см3 раствора 4-водного виннокислого калия-натрия, 2 см3 ацетона, 1 см3 раствора магнезона ХС и 1 см3 раствора аммиака.

3.13.1, 3.13.2. (Измененная редакция, Изм. N 2, 3).

3.14. Определение массовой доли натрия и кальция

3.14.1. Приборы, оборудование, реактивы и растворы

Фотометр пламенный или спектрофотометр на основе спектрографа ИСП-51 с приставкой ФЭП-1 с соответствующим фотоумножителем или спектрофотометр "Сатурн" в эмиссионном режиме;

ацетилен растворенный и газообразный технический по ГОСТ 5457;

воздух сжатый для питания контрольно-измерительных приборов;

горелка;

распылитель;

Вода дистиллированная по ГОСТ 6709, вторично перегнанная в кварцевом дистилляторе, или Вода деминерализованная;

раствор, содержащий Na и Ca; готовят по ГОСТ 4212, соответствующим разбавлением готовят раствор с массовой концентрацией Na - 0,1 мг/см3 - раствор А и с массовой концентрацией Ca - 0,01 мг/см3 - раствор Б.

Все исходные растворы и растворы сравнения, а также воду, применяемую для их приготовления, необходимо хранить в полиэтиленовой или кварцевой посуде:

колба 2-100-2 по ГОСТ 1770;

пипетки 4(5)-2-2, 6(7)-2-5, 6(7)-2-10 и 6(7)-2-20 по НТД.

3.14.2. Приготовление растворов сравнения

В шесть мерных колб помещают по 20 см3 воды и указанные в табл.2 объемы растворов А и Б. Растворы перемешивают, доводят объем каждого раствора водой до метки и снова перемешивают.

Таблица 2

Номер раствора сравнения

Объем раствора, см3

Масса каждого элемента 
(Na, Ca), введенного в 100 см3 раствора сравнения, мг

Массовая доля каждого элемента (Na, Са) в растворе сравнения, 
в пересчете на препарат, %

А

Б

Na

Са

Na

Са

1

1

0,5

0,1

0,005

0,01

0,0005

2

2,5

1

0,25

0,01

0,025

0,001

3

5

2

0,5

0,02

0,05

0,002

4

10

3

1

0,03

0,10

0,003

5

15

4

1,5

0,04

0,15

0,004

6

20

5

2

0,05

0,20

0,005

3.14.1, 3.14.2. (Измененная редакция, Изм. N 3).

3.14.3. Проведение анализа

Приготовление анализируемых растворов

1,00 г препарата помещают в мерную колбу, растворяют в воде, перемешивают, доводят объем водой до метки и снова перемешивают.

Для анализа берут не менее двух навесок препарата.

Сравнивают интенсивность излучения резонансных линий Na - 589,0-589,6 нм и Са - 422,7 нм, возникающих в спектре пламени ацетилен-воздух при введении в него анализируемых растворов и растворов сравнения.

После подготовки приборов в соответствии с прилагаемой к нему инструкцией по эксплуатации проводят фотометрирование воды, применяемой для приготовления растворов, а также анализируемых растворов и растворов сравнения, в порядке возрастания содержания примеси натрия или кальция.

Затем проводят фотометрирование в обратной последовательности, начиная с максимального содержания примеси, и вычисляют среднее арифметическое значение интенсивности излучения для каждого раствора.

После каждого измерения распыляют воду.

(Измененная редакция, Изм. N 1, 2, 3).

3.14.4. Обработка результатов

По полученным данным для растворов сравнения строят градуировочный график, откладывают значения интенсивности излучения по оси ординат, массовую долю примеси натрия или кальция в пересчете на препарат - по оси абсцисс.

Массовую долю натрия и кальция в препарате находят по градуировочному графику.

За результат анализа принимают среднее арифметическое результатов двух параллельных определений, относительное расхождение между которыми не превышает допускаемое расхождение, равное 20%.

Допускаемая относительная суммарная погрешность результата анализа ±10% при доверительной вероятности P=0,95.

(Измененная редакция, Изм. N 2, 3).

3.15. Определение pH раствора препарата с массовой долей 5%

5,00 г препарата помещают в стакан В-2-150 ТХС (ГОСТ 25336), растворяют в 95 см воды, не содержащей углекислоты (готовят по ГОСТ 4517) и измеряют pH раствора на универсальном иономере ЭВ-74 с допускаемой основной погрешностью ±0,05 pH.

Допускаемая абсолютная суммарная погрешность результата анализа ±0,1 единицы pH.

(Измененная редакция, Изм. N 3).

4. УПАКОВКА, МАРКИРОВКА, ТРАНСПОРТИРОВАНИЕ И ХРАНЕНИЕ

4.1. Препарат упаковывают и маркируют в соответствии с ГОСТ 3885.

Вид и тип тары: 2т-1, 2т-2, 2т-4, 6-2, 11-2, а также 2-9, 6-1 и 11-1 с обертыванием в светонепроницаемую бумагу.

Группа фасовки: IV, V, VI, VII не более 10 кг.

(Измененная редакция, Изм. N 1, 2, 3).

4.2. Препарат перевозят всеми видами транспорта в соответствии с правилами перевозки грузов, действующими на данном виде транспорта.

4.3. (Исключен, Изм. N 2).

4.4. Препарат хранят в упаковке изготовителя в крытых складских помещениях.

5. ГАРАНТИИ ИЗГОТОВИТЕЛЯ

5.1. Изготовитель гарантирует соответствие бромистого калия требованиям настоящего стандарта при соблюдении условий транспортирования и хранения.

5.2. Гарантийный срок хранения препарата - один год со дня изготовления.

(Измененная редакция, Изм. N 2).

Раздел 6. (Исключен, Изм. N 2).

официальное издание
М.: ИПК Издательство стандартов, 1998