Натр едкий очищенный ГОСТ 11078-78
натр едкий очищенный. Технические условия (с Изменениями N 1, 2, 3) ГОСТ 11078-78
ГОСТ 11078-78
Группа Л13
ГОСУДАРСТВЕННЫЙ СТАНДАРТ СОЮЗА ССР
натр едкий ОЧИЩЕННЫЙ
Технические условия
Sodium hudrate purified. Specifications
ОКП 21 3211 0200
Дата введения 1979-01-01
ИНФОРМАЦИОННЫЕ ДАННЫЕ
1. РАЗРАБОТАН И ВНЕСЕН Министерством химической промышленности СССР
ИСПОЛНИТЕЛИ
В.Г.Овчинников, Ж.В.Боковенко, В.А.Скрипник (руководитель темы), А.И.Шерстюк, Е.В.Леонтович, Г.С.Биленко, А.И.Кочеровский
2. УТВЕРЖДЕН И ВВЕДЕН В ДЕЙСТВИЕ Постановлением Государственного комитета стандартов Совета Министров СССР от 08.02.78 N 395
3. ВЗАМЕН ГОСТ 11078-71 и ГОСТ 5830-71*
________________
* Вероятно, ошибка оригинала, следует читать: ГОСТ 5.830-71. - Примечание изготовителя базы данных.
4. СООТВЕТСТВУЕТ стандартам ИСО 3195-74, ИСО 3196-75, ИСО 3697-76 в части методов анализа
5. ССЫЛОЧНЫЕ НОРМАТИВНО-ТЕХНИЧЕСКИЕ ДОКУМЕНТЫ
|
Обозначение НТД, на который дана ссылка |
Номер пункта, подпункта |
|
3.8.1, 3.12.1 |
|
|
ГОСТ 83-75 |
3.10.1 |
|
3.8.1 |
|
|
3.4.1 |
|
|
ГОСТ 1770-74 |
3.3.1, 3.4.1, 3.5.1, 3.6.1, 3.7.1, 3.8.1, 3.9.1, 3.10.1, 3.12.1, 3.13.1, 3.17.1 |
|
ГОСТ 2517-85 |
3.1.2 |
|
ГОСТ 2715-75 |
3.13.1 |
|
3.3.1, 3.3.4.1, 3.5.1, 3.9.1, 3.10.1, 3.13.1 |
|
|
3.7.1, 3.10.1 |
|
|
3.6.1 |
|
|
3.10.1 |
|
|
3.3.4.1 |
|
|
3.3.1, 3.5.1 |
|
|
3.6.1 |
|
|
3.10.1 |
|
|
3.10.1 |
|
|
3.11.1 |
|
|
3.2.1 |
|
|
3.6.1, 3.9.1 |
|
|
ГОСТ 4212-76 |
3.6.1, 3.7.1, 3.8.1, 3.17.1 |
|
ГОСТ 4216-78 |
3.12.1 |
|
3.9.1 |
|
|
3.4.1, 3.5.1, 3.6.1, 3.13.1 |
|
|
3.9.1 |
|
|
3.12.1 |
|
|
3.4.1, 3.9.1, 3.10.1, 3.12.1 |
|
|
3.12.1 |
|
|
3.7.1 |
|
|
ГОСТ 4517-87 |
3.3.4.1 |
|
3.9.1 |
|
|
3.10.1 |
|
|
ГОСТ 4919.11-77 |
3.3.1 |
|
ГОСТ 5072-79 |
3.5.1, 3.12.1 |
|
3.17.1 |
|
|
ГОСТ 5632-72 |
4.1 |
|
ГОСТ 5850-72 |
3.3.1, 3.6.1 |
|
3.4.1, 3.5.1, 3.6.1, 3.7.1, 3.8.1, 3.9.1, 3.12.1, 3.13.1, 3.15, 3.17.1 |
|
|
ГОСТ 7995-80 |
3.3.4.1 |
|
3.12.1 |
|
|
ГОСТ 9147-80 |
3.12.1 |
|
3.3.4.1 |
|
|
ГОСТ 9557-87 |
4.6 |
|
3.12.1, 3.17.1 |
|
|
3.7.1 |
|
|
ГОСТ 11293-78 |
3.8.1 |
|
ГОСТ 14192-77 |
4.7 |
|
3.6.1 |
|
|
3.12.1 |
|
|
3.3.1, 3.3.4.1, 3.5.1, 3.6.1, 3.12.1 |
|
|
ГОСТ 19433-81 |
4.7 |
|
3.10.1 |
|
|
ГОСТ 19908-80 |
3.12.1 |
|
ГОСТ 20292-74 |
3.3.1, 3.3.4, 3.5.1, 3.6.1, 3.9.1, 3.17.1 |
|
ГОСТ 21650-76 |
4.8 |
|
ГОСТ 21929-76 |
4.8 |
|
ГОСТ 24104-88 |
3.1.4 |
|
ГОСТ 25336-82 |
3.2, 3.3.1, 3.3.4.1, 3.4.1, 3.6.1, 3.7.1, 3.9.1, 3.12.1, 3.15.1 |
|
ГОСТ 25794.1-83 |
3.3.1, 3.3.4.1 |
|
3.10.1 |
|
|
ТУ 6-09-5313-86 |
3.10.1 |
6. Срок действия продлен до 01.01.94* Постановлением Госстандарта СССР от 09.03.88 N 500
_______________
* Ограничение срока действия снято по протоколу N 3-93 Межгосударственного Совета по стандартизации, метрологии и сертификации (ИУС N 5-6, 1993 год).
7. ПЕРЕИЗДАНИЕ (август 1988 г.) с Изменениями N 1, 2, 3, утвержденными в декабре 1982 г., июне 1987 г., марте 1988 г. (ИУС 4-83, 11-87, 5-88).
ВНЕСЕНЫ поправки, опубликованные в ИУС N 11 2004 год, ИУС N 1 2006 год
Настоящий стандарт распространяется на очищенный едкий натр, получаемый электролизом раствора хлористого натрия с применением ртутного катода.
Очищенный едкий натр применяют в производстве химических нитей и волокон, чистых металлов, в целлюлозно-бумажной и в других отраслях промышленности.
Формула: NaOH
Молекулярная масса (по международным атомным массам 1971 г.) - 39,99.
Стандарт соответствует международному стандарту ИСО 3195-75 в части, касающейся отбора образцов, и международному стандарту ИСО 3196-75 в части, касающейся метода определения карбонатов, стандарту ИСО 3697-76 в части, касающейся определения кальция и магния методом атомно-абсорбционной спектроскопии.
1. ТЕХНИЧЕСКИЕ ТРЕБОВАНИЯ
1.1a. В зависимости от области применения очищенный едкий натр выпускают двух марок:
марки А - для производства химических волокон, ионообменных смол, реактивов, медицинской промышленности;
марки Б - для производства непищевой целлюлозной пленки, чистых металлов, в целлюлозно-бумажной промышленности, для производства минеральных удобрений.
(Введен дополнительно, Изм. N 3).
1.1. Очищенный едкий натр должен быть изготовлен в соответствии с требованиями настоящего стандарта по технологическому регламенту, утвержденному в установленном порядке.
1.2. По физико-химическим показателям очищенный едкий натр должен соответствовать нормам, указанным в табл.1.
Таблица 1
Примечания:
1. Нормы массовых долей примесей даны в пересчете на 100%-ный продукт.
2. Для производства ионитов особой чистоты массовая доля хлористого натрия в очищенном едком натре не должна превышать 0,005%.
3. Для производства химических волокон и непищевой целлюлозной пленки массовая доля калия, не более 0,03% в обеих марках.
(Измененная редакция, Изм. N 3).
1.3. Допускается по согласованию с потребителями изготовлять очищенный едкий натр высшего и 1-го сортов с массовой долей калия не более 0,1%.
(Введен дополнительно, Изм. N 2).
2. ПРАВИЛА ПРИЕМКИ
2.1. Очищенный едкий натр принимают партиями. За партию принимают количество продукта массой не более 500 т, однородного по своим качественным показателям и сопровождаемого одним документом о качестве.
Документ должен содержать:
наименование и (или) товарный знак предприятия-изготовителя;
наименование продукта и его марку;
номер партии и дату изготовления;
результаты проведенных анализов или подтверждение о соответствии качества требованиям настоящего стандарта;
обозначение настоящего стандарта.
При транспортировании продукта по трубопроводу партией считают количество едкого натра, транспортируемого по нему за сутки.
Порядок приемки, анализ партии, оформления и выдачи документа о качестве, а также его реквизиты устанавливают по согласованию между изготовителем и потребителем.
2.2. Для контроля качества очищенного едкого натра у изготовителя пробу отбирают:
из товарного резервуара; анализ проводят по всем предусмотренным показателям стандарта;
из каждой цистерны; анализ проводят по показателям: массовая доля едкого натра, массовая доля железа и коэффициент светопропускания; остальные показатели по результатам анализа пробы, отобранной из резервуара;
из 10% бочек и мелкой тары, но не менее чем из трех упаковочных единиц.
2.3. Показатели 5, 6 и 9-17 табл.1 и массовую долю калия (примечание 3 к табл.1) изготовитель определяет периодически не реже одного раза в 6 месяцев.
Разд.2. (Измененная редакция, Изм. N 3).
3. МЕТОДЫ АНАЛИЗА
3.1. Отбор проб
3.1.1. Перед отбором проб продукт должен иметь температуру не ниже плюс 15 °С в резервуаре и должен быть тщательно перемешан.
(Измененная редакция, Изм. N 3).
3.1.2. Пробу из резервуаров и цистерн отбирают пробоотборником по ГОСТ 2517-85 (черт.3, 4 и 6). Пробоотборник, каркас для бутылки и приспособление для опускания пробоотборника должны быть изготовлены из материалов, стойких к едкому натру.
Пробу из контейнеров, бочек и мелкой тары отбирают при помощи трубки (черт.1), изготовленной из стойкого к едкому натру материала.
Черт.1
Допускается отбирать пробы пробоотборниками другой конструкции, изготовленными из стойких к едкому натру материалов и обеспечивающими отбор проб на заданном уровне и отсутствие контакта с воздухом. В случае возникновения разногласий при анализе пробу отбирают пробоотборниками, указанными на черт.1, по ГОСТ 2517-85.
(Измененная редакция, Изм. N 1, 3).
3.1.3. Пробу из резервуаров отбирают с трех уровней.
Объединенную пробу получают смешением одинаковых объемов точечных проб.
Допускается отбирать пробу из резервуаров, оборудованных циркуляционными насосами, с линии нагнетания насоса.
Пробу из цистерн отбирают погружением пробоотборника на дно цистерны.
Объем пробы для анализа должен быть не менее 0,5 дм3.
На банку со средней пробой наклеивают этикетку с указанием наименования продукта, предприятия-изготовителя, номера партии, места отбора пробы, даты отбора пробы и фамилии лица, отобравшего пробу.
(Измененная редакция, Изм. N 3).
3.1.4. Общие указания
Все анализы следует проводить при температуре воздуха (20±5) °С.
При взвешивании применяют лабораторные весы общего назначения по ГОСТ 24104-88 2-го и 4-го классов точности с наибольшими пределами взвешивания 200 и 500 г.
Допускается применение импортной аппаратуры точности не ниже отечественной.
(Введен дополнительно, Изм. N 3).
3.2. Определение внешнего вида
Внешний вид анализируемого очищенного едкого натра определяют визуально. Для этого продукт помещают в пробирку типа П1 или П2-16-15 по ГОСТ 25336-82 и рассматривают в проходящем свете. Жидкость должна быть бесцветной и прозрачной.
3.3. Определение массовой доли едкого натра
3.2, 3.3. (Измененная редакция, Изм. N 3).
3.3.1. Аппаратура, реактивы и растворы
Колбы 1, 2-250 по ГОСТ 1770-74.
Пипетка 2-3-25 по ГОСТ 20292-74.
Бюретки 1, 2, 3, 4, 5-50 по ГОСТ 20292-74.
Колбы Кн 1, 2-250 по ГОСТ 25336-82.
Цилиндры 1, 2, 3-25, 100 по ГОСТ 1770-74.
Капельницы 1, 2, 3-50 по ГОСТ 25336-82.
кислота соляная по ГОСТ 3118-77, х.ч., раствор концентрации c(НСl)=1 моль/дм3; готовят по ГОСТ 25794.1-83.
барий хлористый по ГОСТ 4108-72, х.ч., раствор с массовой долей 10%.
Фенолфталеин по ГОСТ 5850-72, раствор в этиловом спирте с массовой долей 1%; готовят по ГОСТ 4919.1-77.
Спирт этиловый ректификованный технический по ГОСТ 18300-87 высшего сорта.
Вода дистиллированная по ГОСТ 6709-72-->ГОСТ 6709-72.
3.3.2. Проведение анализа
Определение проводят сразу после отбора проб. Перед отбором сливают верхний слой пробы.
25 см3 продукта взвешивают (результат взвешивания записывают с точностью до второго десятичного знака), переносят в мерную колбу вместимостью 250 см3 с притертой пробкой, разбавляют водой до метки и хорошо перемешивают - раствор А. Раствор А готовят из двух навесок. Полученные растворы сразу используют для анализа.
Для определения массовой доли очищенного едкого натра пипеткой в коническую колбу с притертой пробкой вместимостью 250 см3 отбирают 10 см3 раствора, добавляют 25 см3 воды и 10 см3 раствора хлористого бария. Через 15 мин титруют раствором соляной кислоты c(НСl)=1 моль/дм3 в присутствии 4-5 капель фенолфталеина до обесцвечивания индикатора. Отмечают объем V1 раствора соляной кислоты, израсходованный на титрование.
3.3.1-3.3.2. (Измененная редакция, Изм. N 1, 3).
3.3.3. Обработка результатов
Массовую долю едкого натра (X) в процентах вычисляют по формуле
где V1 - объем раствора соляной кислоты концентрации точно c(НСl)=1 моль/дм3, израсходованный на титрование раствора А, см3;
m - масса продукта, взятая для приготовления раствора А, г;
0,04 - масса едкого натра, соответствующая 1 см3 раствора соляной кислоты концентрации точно c(НСl)=1 моль/дм3, г/см3.
За результат анализа принимают среднее арифметическое двух параллельных определений, допускаемые расхождения между которыми не должны превышать 0,1%.
Допускаемая суммарная абсолютная погрешность определения составляет ±0,3% при P=0,95.
Результаты определений округляют до первого десятичного знака.
3.3.4. Определение массовой доли углекислого натрия
3.3.4.1. Аппаратура, реактивы и растворы
кислота соляная по ГОСТ 3118-77, х.ч., раствор с массовой долей 17% и концентрации c(НСl)=0,05 моль/дм3, точную концентрацию устанавливают по ГОСТ 25794.1-83.
Бария гидроокись по ГОСТ 4107-78, ч.д.а., раствор концентрации c(1/2Ba(ОН)2·8H2O)=0,05 моль/дм3; готовят следующим образом: 7,89 г реактива помещают в мерную колбу вместимостью 1000 см3, растворяют в небольшом количестве воды и доводят объем в колбе водой до метки. Через сутки раствор декантируют.
Метиловый оранжевый (индикатор).
Тимолфталеин (индикатор), раствор с массовой долей 0,5% в этиловом спирте.
Спирт этиловый ректификованный технический по ГОСТ 18300-87.
Вода дистиллированная, не содержащая углекислоты; готовят по ГОСТ 4517-87.
Азот газообразный и жидкий по ГОСТ 9293-74.
Воздух для питания пневматических приборов и средств автоматизации.
Прибор для отгонки, поглощения и определения газа (черт.3), состоит из:
Черт.3*
______________________
* Черт.2 исключен.
змеевика длиной не менее 70 мм 2;
поглотителя углекислого газа 3;
бюретки исполнения 1-50-0,1 по ГОСТ 20292-74 4;
холодильника ХШ-1-200-29/32 по ГОСТ 25336-82 5;
колбы КГУ-3.1-500-34 по ГОСТ 25336-82 1;
капельной воронки 6;
крана соединительного трехходового по ГОСТ 7995-80 7;
склянки 8 типа СВТ по ГОСТ 25336-82, содержащей насыщенный раствор гидроокиси бария, и склянок 9, 10, содержащих раствор едкого натра с массовой долей 20%.
Стаканчик для взвешивания СВ по ГОСТ 25336-82.
3.3.4.2. Проведение анализа
В бюксе взвешивают пробу (результат взвешивания записывают с точностью до второго десятичного знака), содержащую 25,0 г едкого натра и вычисленную по формуле
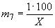
где X - массовая доля едкого натра, определенная по п.3.3, %.
Азот (воздух) пропускают через прибор со скоростью пять пузырьков в секунду в течение 10 мин. Ток газа останавливают и в колбу помещают анализируемую пробу, 150 см3 воды и несколько капель раствора метилового оранжевого. Затем помещают в капельную воронку 100-110 см3 раствора соляной кислоты с массовой долей 17%, в поглотитель - 50 см3 раствора гидроокиси бария и несколько капель раствора тимолфталеина. Присоединяют поглотитель к колбе и осторожно приливают соляную кислоту из капельной воронки в колбу до перехода окраски раствора из желтой в красную и еще 5 см3 избытка, следя за тем, чтобы над краном оставался слой жидкости. Азот (воздух) пропускают со скоростью два пузырька в 1 с в течение 10 мин. Затем, не прекращая тока газа, нагревают содержимое колбы до кипения и кипятят 20 мин. Нагрев прекращают, увеличивают ток газа до пяти пузырьков в секунду и титруют избыток раствора гидроокиси бария раствором соляной кислоты концентрации c(НСl)=0,05 моль/дм3 из бюретки до исчезновения окраски индикатора. Затем проводят контрольный опыт, как описано выше, применяя тот же прибор, но без анализируемой пробы.
3.3.4.3. Обработка результатов
Массовую долю углекислого натрия (X2) в процентах вычисляют по формуле
V2 - объем раствора соляной кислоты концентрации точно c(HCl)=0,05 моль/дм3, израсходованный на титрование контрольного опыта, см3;
V3 - объем раствора соляной кислоты концентрации точно c(HCl)=0,05 моль/дм3, израсходованный на титрование пробы, см3;
0,00265 - масса углекислого натрия, соответствующая 1 см3 раствора соляной кислоты концентрации точно c(НСl)=0,05 моль/дм3, г;
m2 - масса анализируемой пробы, равная 25 г.
За результат анализа принимают среднее арифметическое двух параллельных определений, допускаемые расхождения между которыми не должны превышать 0,01%.
Допускаемая суммарная относительная погрешность определения составляет ±0,02% при P=0,95.
Результаты взвешивания и параллельных определений округляют до второго десятичного знака.
3.4. Определение массовой доли хлористого натрия
3.4.1. Аппаратура, реактивы и растворы
Кислота азотная по ГОСТ 4461-77, х.ч., концентрированная.
Серебро азотнокислое по ГОСТ 1277-75, ч.д.а., раствор концентрации c(AgNO3)=0,1 моль/дм3.
Натрий хлористый по ГОСТ 4233-77, х.ч., перекристаллизованный и прокаленный до постоянной массы при 500-600 °С.
Раствор хлористого натрия образцовый; готовят следующим образом: 1 г хлористого натрия помещают в мерную колбу вместимостью 1000 см3, растворяют в небольшом объеме воды и доводят объем раствора до метки. Рабочий раствор, содержащий 25 мкг хлористого натрия в 1 см3, готовят разбавлением образцового раствора в 40 раз.
Вода дистиллированная по ГОСТ 6709-72-->ГОСТ 6709-72.
Бумага индикаторная универсальная.
Фотоэлектроколориметры типов ФЭК-56, ФЭК-56М или ФЭК-60, или другого типа аналогичной чувствительности.
Колбы мерные 1, 2-25, 250, 1000 по ГОСТ 1770-74.
Стакан В-1-2-250-600 по ГОСТ 25336-82.
3.3.3-3.4.1. (Измененная редакция, Изм. N 3).
3.4.2. Подготовка к анализу
3.4.2.1. Построение градуировочного графика.
В четыре мерные колбы вместимостью 25 см3 помещают по 15 см3 воды, по 2 см3 азотной кислоты, вводят 1,0; 2,0; 4,0-6,0 см3 рабочего раствора, что соответствует 25; 50; 100; 150 мкг хлористого натрия, по 1 см3 раствора азотнокислого серебра, доводят объем до метки и перемешивают.
Одновременно в тех же условиях готовят контрольный раствор, не содержащий хлористого натрия, для этого в мерную колбу вместимостью 50 см3 помещают 30 см3 воды, все реактивы в удвоенном количестве, доводят до метки объем раствора водой и перемешивают. Через 15 мин измеряют оптическую плотность растворов на фотоэлектроколориметре любого типа при длине волны (490±30) нм с толщиной поглощающего свет слоя 50 мм.
Раствор сравнения - контрольный раствор.
По полученным данным строят градуировочный график в координатах: оптическая плотность - масса хлористого натрия в микрограммах.
Градуировочный график проверяют не реже 1 раза в 3 месяца, а также при смене реактивов и прибора.
(Измененная редакция, Изм. N 1, 3).
3.4.3. Проведение анализа
В стакане вместимостью 250 см3 взвешивают пробу (результаты взвешивания записывают с точностью до второго десятичного знака) (m1), содержащую 50 г едкого натра и вычисленную по формуле
где X - массовая доля едкого натра, определенная по п.3.3, %.
Затем приливают 50 см3 воды, осторожно нейтрализуют при охлаждении азотной кислотой по индикаторной бумаге до pH 6-7 и приливают еще 5 см3 кислоты. Раствор переносят в мерную колбу вместимостью 250 см3, разбавляют водой до метки и перемешивают - раствор Б. 5 см3 раствора Б соответствуют 1 г едкого натра.
2,5 см3 раствора Б помещают в мерную колбу вместимостью 25 см3, содержащую 15 см3 воды, добавляют 2 см3 азотной кислоты, 1 мл раствора азотнокислого серебра, доводят объем раствора до метки и далее измеряют оптическую плотность по отношению к контрольному раствору, как описано по п.3.4.2.
Для продукта высшего сорта берут для определения 5 см3 раствора Б.
3.4.4. Обработка результатов
Массовую долю хлористого натрия (X3) в процентах вычисляют по формуле
где m - масса хлористого натрия в пробе, определенная по градуировочному графику, мкг;
m1 - 0,5 и 1,0 - масса едкого натра в 2,5 и 5 см3 раствора Б, г.
За результат анализа принимают среднее арифметическое двух параллельных определений, допускаемые расхождения между которыми не должны превышать 0,001% для марки Б и 0,0007% для марки А.
Допускаемая суммарная абсолютная погрешность определения составляет ±0,0002% при P=0,95.
Результат определения округляют:
для марки А - до третьего десятичного знака;
для марки Б - до второго десятичного знака.
3.5. Определение массовой доли сульфатов
3.5.1. Аппаратура, реактивы и растворы
Колбы мерные 1, 2-100, 250, 500 по ГОСТ 1770-74.
Стаканы В-1, 2-250 по ГОСТ 25336-83.
Пипетки 2, 3-1, 5, 10-0,1; 0,2; 0,05 по ГОСТ 20292-74.
Фотоэлектроколориметр КФК-2 или другого типа, обеспечивающий заданную чувствительность и точность.
Секундомер механический по ГОСТ 5072-79.
Цилиндры 1,3-50 по ГОСТ 1770-74.
кислота соляная по ГОСТ 3118-77, х.ч.
Натрий хлористый по ГОСТ 4233-77, х.ч., раствор с массовой концентрацией 200 г/дм3.
барий хлористый по ГОСТ 4108-72, х.ч., раствор с массовой концентрацией 100 г/дм3; готовят следующим образом: 10 г реактива растворяют в 70 см3 воды, переносят в мерную колбу вместимостью 100 см3 и доводят объем водой до метки.
Спирт этиловый ректификованный технический по ГОСТ 18300-87, высший сорт.
Вода дистиллированная по ГОСТ 6709-72-->ГОСТ 6709-72.
Бумага индикаторная универсальная.
3.5.2. Подготовка к анализу
3.5.2.1. Приготовление водно-спиртового раствора хлористого бария.
10 г хлористого бария растворяют в 60 см3 воды, переносят в мерную колбу вместимостью 100 см3, приливают 25 см3 этилового спирта, разбавляют водой до метки и перемешивают.
3.5.2.2. Приготовление раствора хлористого натрия.
100 г хлористого натрия растворяют в 400 см3 воды, подкисляют соляной кислотой до pH 2-3 по универсальной индикаторной бумаге, нагревают до температуры (90±5) °С и приливают 30 см3 раствора хлористого бария, перемешивают и оставляют на 18-20 ч. Раствор фильтруют в мерную колбу вместимостью 500 см3, разбавляют водой до метки.
3.5.2.3. Приготовление образцового раствора сульфатов.
Образцовый раствор сульфатов готовят по ГОСТ 4212-76. Разбавлением раствора в 10 раз готовят раствор, содержащий 100 мкг сульфатов (SO4) в 1 см3.
3.5.3. Проведение анализа
В стакан вместимостью 100 см3 помещают навеску массой (m1) пробы едкого натра, содержащую 5 г едкого натра марки А или 2 г марки Б, вычисленной по формуле
где m - масса едкого натра, г;
X - массовая доля едкого натра в анализируемой пробе, %.
Результаты взвешивания записывают с точностью до второго десятичного знака.
Приливают (10±5) см3 воды и осторожно нейтрализуют при охлаждении соляной кислотой до pH 2-3 по универсальной индикаторной бумаге. Раствор переносят в мерный цилиндр (для марки Б приливают 20 см3 раствора хлористого натрия), разбавляют водой до метки 40 см3, приливают 1 см3 соляной кислоты, 5 см3 водно-спиртового раствора хлористого бария, разбавляют водой до 50 см3, переносят в коническую колбу вместимостью 100 см3 и перемешивают на магнитной мешалке в течение (60±5) с. Через (30±5) мин снова перемешивают на магнитной мешалке в течение (15±5) с.
Одновременно с пробой готовят раствор сравнения следующим образом: в мерный цилиндр помещают 40 см3 раствора хлористого натрия, 1 см3 образцового раствора сульфатов (100 мкг/см3), 1 см3 соляной кислоты, 5 см3 водно-спиртового раствора хлористого бария и далее поступают, как при выполнении измерения в пробе едкого натра.
Оптические плотности анализируемых растворов и раствора сравнения измеряют на фотозлектроколориметре при длине волны 480-490 нм в кюветах с толщиной поглощающего свет слоя 50 мм по отношению к воде.
Массовая доля сульфатов в анализируемой пробе не превышает 0,002% для марки А и 0,005% для марки Б, если оптическая плотность анализируемых растворов не превышает оптической плотности раствора сравнения.
Допускаемая суммарная абсолютная погрешность составляет ±0,3A при P=0,95, где A - результат определения.
3.6. Определение массовой доли кремниевой кислоты
3.6.1. Аппаратура, реактивы, растворы
Колориметр фотоэлектрический типа КФК-2 или другого типа, обеспечивающий заданную чувствительность и точность.
Секундомер механический по ГОСТ 5072-79.
Платиновая чашка или полиэтиленовый стакан, или стакан из стеклоуглерода вместимостью 100 см3.
Полиэтиленовые флаконы вместимостью 100-200 см3.
Колбы мерные 1, 2-50, 100, 1000 по ГОСТ 1770-74.
Пипетки 1, 5, 6, 7-1, 10, 5 по ГОСТ 20292-74.
Цилиндры 1, 3-50, 100 по ГОСТ 1770-74.
Колба КН-1, 2-250 по ГОСТ 25336-82.
Кислота серная по ГОСТ 4204-77, х.ч., концентрации c(1/2H2SO4)=10 моль/дм3.
кислота соляная по ГОСТ 14261-77, о.с.ч., раствор концентрации c(НСl)=5 моль/дм3.
Аммоний молибденовокислый по ГОСТ 3765-78, х.ч., раствор с массовой долей 5%; раствор хранят в полиэтиленовой посуде; годен в течение 3 дней.
Железо сернокислое закисное по ГОСТ 4148-78, х.ч., с массовой долей 5% или Соль Мора (аммоний-железо II сернокислый) по ГОСТ 4208-78, х.ч., раствор с массовой долей 5% в смеси: 85% воды и 10% серной кислоты; раствор годен в течение 3 дней.
Раствор кремниевой кислоты концентрации 1 мг/см3; готовят по ГОСТ 4212-76; соответствующим разбавлением готовят раствор концентрации 10 мкг/см3.
Спирт этиловый ректификованный технический по ГОСТ 18300-87.
Вода дистиллированная по ГОСТ 6709-72-->ГОСТ 6709-72.
Бумага индикаторная универсальная.
3.6.2. Подготовка к анализу
3.6.2.1. Перекристаллизация молибденовокислого аммония.
Для перекристаллизации 250 г препарата растворяют в 400 см3 воды при 80 °С. Раствор фильтруют через плотный фильтр, охлаждают и приливают, помешивая, 500 см3 этилового спирта. Через час фильтруют на воронке Бюхнера, промывают 2-3 раза спиртом, сушат на воздухе.
3.6.2.2. Приготовление градуировочных растворов и градуировка фотоэлектроколориметра.
В мерные колбы вместимостью 50 см3 помещают 1, 2, 3, 5 см3 раствора кремниевой кислоты концентрации 10 мкг/см3, что соответствует 10, 20, 30, 50 мкг кремниевой кислоты, по 0,4 см3 раствора серной кислоты и 2,5 см3 раствора молибденовокислого аммония. Содержимое колбы перемешивают и оставляют на (5±0,5) мин. Затем прибавляют по 10 см3 раствора серной кислоты, 5 см3 раствора сернокислого железа или соли Мора, доводят до метки водой, перемешивают. Одновременно в тех же условиях готовят контрольный раствор, содержащий все растворы, кроме кремниевой кислоты. Оптическую плотность полученных растворов измеряют относительно контрольного раствора на фотоэлектроколориметре при длине волны 580-750 нм с толщиной поглощающего свет слоя раствора 50 мм. По полученным данным строят градуировочный график, откладывая на оси абсцисс введенную в градуировочные смеси массу кремниевой кислоты в микрограммах, на оси ординат - соответствующую оптическую плотность. Градуировочный график проверяют 1 раз в 3 месяца и при смене реактивов и приборов.
3.6.3. Проведение анализа
В платиновую чашку или полиэтиленовый стакан помещают навеску продукта, содержащую 0,5 г едкого натра марки Б и 1 г марки А.
Массу навески (m1) в граммах вычисляют по формуле
где m - масса 100%-ного едкого натра, г;
X - массовая доля едкого натра в продукте, %.
Результаты взвешивания записывают с точностью до второго десятичного знака.
В чашку прибавляют 5-10 см3 воды и нейтрализуют соляной кислотой до pH 4 по универсальной индикаторной бумаге, раствор количественно переносят в мерную колбу вместимостью 50 см3, прибавляют 0,4 см3 раствора серной кислоты и далее поступают, как указано в п.3.6.2.2.
3.6.4. Обработка результатов
Массовую долю кремниевой кислоты в пересчете на SiO2 (X2) в процентах вычисляют по формуле
где m2 - масса кремниевой кислоты в пробе, найденная по градуировочному графику, мкг;
m - масса едкого натра, г.
За результат принимают среднее арифметическое результатов двух параллельных определений, допускаемые расхождения между которыми не должны превышать 0,0002% при P=0,95.
Допускаемая суммарная абсолютная погрешность определения составляет ±0,0002% при P=0,95.
Результаты определения округляют до третьего десятичного знака.
3.5; 3.6. (Измененная редакция, Изм. N 3).
3.7. Определение массовой доли железа
3.7.1. Аппаратура, растворы, реактивы
Кислота азотная по ГОСТ 4461-77, х.ч. или по ГОСТ 11125-84, о.с.ч.
аммиак водный по ГОСТ 3760-79, ч.д.а.
Раствор образцовый, содержащий железо; готовят по ГОСТ 4212-76. Разбавлением в 100 раз готовят раствор, содержащий 10 мкг железа в 1 см3.
Вода дистиллированная по ГОСТ 6709-72-->ГОСТ 6709-72.
Кислота сульфосалициловая по ГОСТ 4478-78, раствор с массовой долей 10%.
Фотоэлектроколориметр типов ФЭК-56, ФЭК-56М, КФК-2 или другого типа, обеспечивающий заданную чувствительность и точность.
Колбы мерные 1, 2-50 по ГОСТ 1770-74.
Колбы Кн 1, 2-100 по ГОСТ 25336-82.
3.7.1. (Измененная редакция, Изм. N 3).
3.7.2. Подготовка к анализу
3.7.2.1. Построение градуировочного графика
В мерные колбы вместимостью 50 см3 вносят по 30 см3 воды, вводят 0,5; 1,0; 2,0; 4,0; 6,0 см3 разбавленного образцового раствора, что соответствует 5; 10; 20; 40; 60 мкг железа, прибавляют по 2 см3 раствора сульфосалициловой кислоты и перемешивают. Приливают по 5 см3 раствора аммиака, доливают объем водой до метки и вновь перемешивают. Одновременно готовят контрольный раствор, не содержащий железа, для этого в мерную колбу вместимостью 50 см3 помещают 30 см3 воды, 2 см3 раствора сульфосалициловой кислоты и определяют, как описано выше. Оптическую плотность полученных растворов измеряют на фотоэлектроколориметре при длинах волн (430±20) нм при толщине поглощающего свет слоя 50 мм относительно контрольного раствора.
По полученным данным строят график, откладывая на оси абсцисс массу железа в мкг, а на оси ординат - соответствующую оптическую плотность.
Градуировочный график проверяют не реже 1-го раза в квартал, а также при смене растворов, реактивов и приборов.
(Измененная редакция, Изм. N 1, 3).
3.7.3. Проведение анализа
25 см3 раствора Б, полученного по п.3.4.3, помещают в коническую колбу вместимостью 100 см3, приливают 0,5 см3 азотной кислоты и кипятят 5 мин. По охлаждении раствор переносят в мерную колбу вместимостью 50 см3, прибавляют 2 см3 раствора сульфосалициловой кислоты и далее определяют по п.3.7.2.
Допускаемая суммарная абсолютная погрешность определения составляет ±0,3, где - результат определения при P=0,95.
Результаты параллельных определений округляют до четвертого десятичного знака.
(Измененная редакция, Изм. N 3).
3.7.4. Обработка результатов
Массовую долю железа в пересчете на Fe2O3 (X5) в процентах вычисляют по формуле
где m - масса железа, найденная по градуировочному графику, мкг;
1,43 - коэффициент пересчета Fe на Fe2O3;
5 - масса едкого натра в 25 см3 раствора Б, г.
За результат анализа принимают среднее арифметическое двух параллельных определений, допускаемые расхождения между которыми не должны превышать 0,00005%.
3.8. Определение массовой доли алюминия
3.8.1. Аппаратура, реактивы и растворы
Натрий уксуснокислый по ГОСТ 199-78, ч.д.а.; готовят раствор, содержащий 36,5 г CH3COONa·3H2O в 100 см3 раствора.
Кислота уксусная по ГОСТ 61-75, х.ч., раствор концентрации c(CH3COOH)=8,5 моль/дм3.
Раствор образцовый, содержащий алюминий; готовят по ГОСТ 4212-76, разбавлением в 100 раз получают раствор концентрации 10 мкг/см3.
Кислота аскорбиновая, раствор с массовой долей 1%, свежеприготовленный.
желатин пищевой по ГОСТ 11293-78, раствор с массовой долей 1%, свежеприготовленный.
Алюминон (триаммонийная соль ауринтрикарбоновой кислоты), экстра, ч.д.а., раствор с массовой долей 0,1% применяют не менее чем через 1 ч после приготовления; годен 5 суток.
Вода дистиллированная по ГОСТ 6709-72-->ГОСТ 6709-72.
Бумага индикаторная универсальная.
Фотоэлектроколориметры типов ФЭК-56, ФЭК-56М и КФК-2 или другого типа, обеспечивающие заданную чувствительность и точность.
Колба мерная 1, 2-100, 50 по ГОСТ 1770-74.
Чашка платиновая, кварцевая или стеклоуглеродная.
(Измененная редакция, Изм. N 3).
3.8.2. Подготовка к анализу
3.8.2.1. Построение градуировочного графика
В мерные колбы вместимостью 50 см3 помещают по 20 см3 раствора уксуснокислого натрия, 1,0; 2,0; 4,0 и 6,0 см3 разбавленного образцового раствора, что соответствует 10; 20; 40; 60 мкг алюминия, по 0,6 см3 раствора аскорбиновой кислоты и 5 см3 воды. Содержимое колб перемешивают и оставляют на 5 мин. Затем приливают по 2 см3 раствора уксусной кислоты, 2 см3 раствора желатина, 4 см3 раствора алюминона, перемешивают и нагревают на кипящей водяной бане в течение 10 мин. После охлаждения растворов объем доводят водой до метки, перемешивают.
Одновременно в тех же условиях готовят контрольный раствор, не содержащий алюминия. Оптическую плотность полученных растворов измеряют относительно контрольного раствора при длине волны в диапазонах (520±20) нм при толщине поглощающего свет слоя 20 мм.
По полученным данным строят градуировочный график, откладывая на оси абсцисс массу алюминия в мкг, а на оси ординат - соответствующую оптическую плотность.
Градуировочный график проверяют не реже 1 раза в квартал, а также при смене реактивов и приборов.
(Измененная редакция, Изм. N 1, 3).
3.8.3. Проведение анализа
В кварцевую или платиновую чашку вместимостью 100 см3 помещают навеску (m4), содержащую 20 г едкого натра, взвешенную (результат взвешивания записывают с точностью до второго десятичного знака) и вычисленную по формуле
где X - массовая доля едкого натра в продукте, определенная по п.3.3, %.
Затем приливают 25 см3 воды и нейтрализуют концентрированной уксусной кислотой до pH 7-8 по универсальной индикаторной бумаге. Раствор переносят в мерную колбу вместимостью 100 см3, доводят водой до метки и хорошо перемешивают - раствор Г. 5 см3 раствора Г соответствует 1 г едкого натра.
10 см3 раствора Г помещают в мерную колбу вместимостью 50 см3, приливают 0,6 см3 раствора аскорбиновой кислоты, перемешивают, оставляют на 5 мин и затем определяют по п.3.8.2.
3.8.4. Обработка результатов
Массовую долю алюминия в пересчете на Аl2O3 (X6) в процентах вычисляют по формуле
где m - масса алюминия, найденная по градуировочному графику, мкг;
1,89 - коэффициент пересчета Аl на Аl2O3;
2 - масса едкого натра в 10 см3 раствора Г, г.
За результат анализа принимают среднее арифметическое двух параллельных определений, допускаемые расхождения между которыми не должны превышать 0,0003%.
Допускаемая суммарная абсолютная погрешность определения составляет ±0,0005% при P=0,95.
Результаты определения округляют до третьего десятичного знака.
3.8.3, 3.8.4. (Измененная редакция, Изм. N 3).
3.9. Определение массовой доли ртути
3.9.1. Аппаратура, растворы, реактивы
Натрий уксуснокислый по ГОСТ 199-78, х.ч., раствор концентрации c(CH3COONa)=1 моль/дм3.
Кислота уксусная по ГОСТ 61-75, х.ч., раствор концентрации c(CH3COOH)=1 моль/дм3.
Раствор ацетатный буферный с рН 4-5; готовят сливанием равных объемов растворов ацетата натрия и уксусной кислоты.
Хлороформ фармакопейный.
Соль динатриевая этилендиамин-N, N, N' N'-тетрауксусной кислоты, 2-водная (трилон б) по ГОСТ 10652-73, раствор концентрации 0,1 моль/дм3.
Ртути окись (желтая) по ГОСТ 5230-74.
Кислота азотная по ГОСТ 4461-77, х.ч.
Раствор ртути образцовый; готовят по ГОСТ 4212-76 или следующим образом: 0,1079 г окиси ртути растворяют при слабом нагревании в 2-3 см3 азотной кислоты и доводят объем раствора водой до 100 см3.
1 см3 раствора содержит 1 мг ртути. Из образцового раствора готовят раствор, содержащий 10 мкг ртути в 1 см3, для этого 1 см3 образцового раствора помещают в мерную колбу вместимостью 100 см3, добавляют 2-3 см3 азотной кислоты и доводят объем раствора водой до метки.
Дитизон (дифенилтиокарбазон) по ГОСТ 10165-79, ч.д.а. Раствор готовят следующим образом: взвешивают 0,1 г дитизона (результат взвешивания записывают с точностью до четвертого десятичного знака), помещают в сухую мерную колбу вместимостью 100 см3, растворяют в хлороформе и доводят объем раствора до метки. Перемешивают и сохраняют в склянке из темного стекла под слоем раствора серной кислоты с массовой долей 1% - раствор Д. Из раствора Д разбавлением хлороформом готовят рабочий раствор дитизона - раствор Е, оптическая плотность которого, измеренная на приборе типа ФЭК-56 при длине волны 597 нм (светофильтр N 8) или на приборе типа ФЭК-60 при длине волны 590 нм (светофильтр N 5) и толщине поглощающего свет слоя 5 мм, равна 0,75. Раствор сравнения - хлороформ.
Калий марганцовокислый по ГОСТ 20490-75, ч.д.а., раствор концентрации c(1/5KMnO4)=0,2 моль/дм3.
Гидроксиламин солянокислый по ГОСТ 5456-79, раствор с массовой долей 4%, свежеприготовленный.
аммиак водный по ГОСТ 3760-79, х.ч.
Вода дистиллированная по ГОСТ 6709-72-->ГОСТ 6709-72.
Фотоэлектроколориметры типов ФЭК-56, ФЭК-56М и КФК-2 или другого типа, обеспечивающие заданную чувствительность и точность.
Воронка делительная 1, 2-100 по ГОСТ 25336-82.
Пробирки типа П1-16-150 или П2-16-150 по ГОСТ 25336-82.
Пипетки 3-1, 4-2, 6-10, 7-50 по ГОСТ 20292-74.
Колбы мерные 1, 2-100 по ГОСТ 1770-74.
Колбы Кн 1, 2-25 по ГОСТ 25336-82.
(Измененная редакция, Изм. N 1, 3).
3.9.2. Подготовка к анализу
3.9.2.1. Построение градуировочного графика
В делительные воронки вместимостью 100 см3 помещают по 50 см3 воды, 0,5; 1,0; 1,5 и 2,0 см3 разбавленного образцового раствора, что соответствует 5; 10; 15 и 20 мкг ртути, 5 см3 раствора трилона Б, 5 см3 ацетатного буферного раствора и хорошо перемешивают. Ртуть экстрагируют 10 см3 рабочего раствора дитизона в хлороформе (раствор Е), перемешивая 3 мин. Одновременно в тех же условиях готовят контрольный раствор, не содержащий ртути, для этого в делительную воронку вместимостью 100 см3 помещают 50 см3 воды и далее определяют, как описано выше.
После разделения фаз сливают экстракты проб и контрольного раствора в сухие пробирки или стаканчики и измеряют оптическую плотность относительно хлороформа на фотоэлектроколориметре при длине волны (590±10) нм и толщине поглощающего свет слоя 5 мм.
По полученным данным строят градуировочный график, откладывая на оси абсцисс массу ртути в мкг, а на оси ординат - соответствующую оптическую плотность.
Градуировочный график проверяют не реже 1-го раза в квартал, а также при смене растворов, реактивов и приборов.
(Измененная редакция, Изм. N 1, 3).
3.9.3. Проведение анализа
50 см3 раствора Б, полученного по п.3.4.3, помещают в коническую колбу вместимостью 250 см3, добавляют 0,5 см3 раствора перманганата калия и кипятят 3 мин. Если в процессе кипячения раствор обесцвечивается, то добавляют еще раствор перманганата калия. По охлаждении вводят по каплям раствор солянокислого гидроксиламина до обесцвечивания пробы и 1 см3 избытка. Через 10 мин вводят 5 см3 раствора трилона Б, нейтрализуют аммиаком до pH 4, вводят 5 см3 буферного раствора и переносят в делительную воронку. Далее определяют, как описано в п.3.9.2.
3.9.4. Обработка результатов
Массовую долю ртути (X7) в процентах вычисляют по формуле
где m - масса ртути, найденная в пробе, мкг;
10 - масса едкого натра в 50 см3 раствора Б, г.
За результат анализа принимают среднее арифметическое двух параллельных определений, допускаемые расхождения между которыми не должны превышать 0,000009%.
Допускаемая абсолютная суммарная погрешность определения составляет ±0,2A (где A - результат определения). Степени округления результатов определения 0,00001.
(Измененная редакция, Изм. N 3).
3.9а. Определение массовой доли ртути на атомно-абсорбционном спектрофотометре
3.9а.1. Аппаратура, реактивы и материалы
Анализатор типа "Ртуть-101" или аналогичный прибор.
Часы песочные на 5 мин.
Пипетки 1-1, 10 по ГОСТ 20292-74.
Колбы мерные 2-100, 1000 по ГОСТ 1770-74.
Колбы Кн-250 по ГОСТ 25336-82.
Кислота азотная по ГОСТ 4461-77, х.ч.
кислота соляная по ГОСТ 3118-77, х.ч.
Кислота серная по ГОСТ 4204-77, х.ч.
Натрия гидроокись по ГОСТ 4328-87, х.ч.
Ртуть (II), азотнокислая по ГОСТ 4520-87, х.ч.
калий двухромовокислый (бихромат калия) по ГОСТ 4220-75, х.ч.
Раствор массовой концентрации 40 г/дм3; готовят следующим образом: 4 г соли растворяют в 100 см3 дистиллированной воды. Хранят в колбе с притертой пробкой.
Олово двухлористое по ГОСТ 36-78, раствор концентрации 100 г/дм3; готовят следующим образом: 10 г соли растворяют в 25 см3 соляной кислоты при нагревании до полного растворения, охлаждают и добавляют дистиллированную воду до объема 100 см3. Свежеприготовленный раствор очищают от ртути продувкой воздухом или азотом в течение (5±2) мин и используют в день приготовления.
Вода дистиллированная по ГОСТ 6709-72-->ГОСТ 6709-72.
Бумага индикаторная универсальная.
3.9а.2. Подготовка к анализу
3.9а.2.1. Раствор разбавления готовят следующим образом: в мерную колбу вместимостью 1000 см3 помещают 50 см3 азотной кислоты, 5 см3 раствора бихромата калия, доводят дистиллированной водой до метки.
3.9а.2.2. Раствор ртути концентрации 1 мг/см3 (1000 мкг/см3) готовят по ГОСТ 4212-76. Раствор годен в течение года.
Рабочий раствор концентрации 0,01 мкг/см3 (10 мкг/дм3); готовят следующим образом: 10 см3 раствора ртути концентрации 1 мг/см3 помещают в мерную колбу вместимостью 100 см3 и доводят до метки раствором разбавления - раствором А массовой концентрации 100 мкг/см3; раствор годен в течение 3 месяцев.
1 см3 раствора А помещают в мерную колбу вместимостью 100 см3 и доводят до метки раствором разбавления - раствор Б концентрации 1 мкг/см3.
10 см3 раствора Б помещают в мерную колбу вместимостью 1000 см3 и доводят объем до метки раствором разбавления - рабочим раствором концентрации 0,01 мкг/см3. Раствор используют в день приготовления.
3.9а.2.3. Подготовку анализатора к работе и градуировку анализатора проводят по паспорту (техническому описанию и инструкции) к анализатору "Ртуть-101".
3.9а.2.4. Подготовка пробы
В две конические колбы помещают навески пробы массой m, содержание по 10 г едкого натра
где X - массовая доля едкого натра в продукте равная 1%.
В каждую колбу добавляют 50 см3 дистиллированной воды, осторожно нейтрализуют азотной кислотой до pH 1-2 индикаторной бумагой, вводят еще 5 см3 азотной кислоты, 1 см3 раствора бихромата калия и кипятят 5 мин. После охлаждения до комнатной температуры пробы переносят в мерные колбы вместимость 100 см3, ополаскивают конические колбы несколько раз небольшим объемом воды, собирая смывы в мерные колбы. Доводят объемы в мерных колбах до метки - растворы A1 и A2.
Одновременно проводят контрольный опыт, для чего в такую же коническую колбу помещают 50 см3 дистиллированной воды, 1 см3 раствора бихромата калия, такой же объем азотной кислоты, как при подготовке пробы, кипятят 5 мин и далее поступают, как описано выше. Получают раствор A3.
3.9а.3. Проведение анализа
По 10 см3 растворов A1 и A2 помещают в две мерные колбы вместимостью 100 см3, в третью такую же колбу помещают 10 см3 раствора A3. Все растворы доводят до метки раствором разбавления.
Подготовленные таким образом растворы контрольного опыта и проб заливают последовательно в предварительно промытый разбавляющим раствором и водой реактор анализатора и проводят измерения в соответствии с инструкцией к прибору.
За результат измерения принимают среднее арифметическое показаний анализатора для двух параллельных проб, расхождение между которыми не превышает 30.
3.9а.4. Обработка результатов
Массовую долю ртути (X) в процентах вычисляют по формуле
где a - среднее арифметическое показаний анализатора при измерении двух параллельных проб;
в - показания анализатора при измерении контрольной пробы;
- цена деления анализатора, мкг;
10 - масса гидроокиси натрия, взятая на анализ, г.
Результаты измерения округляют до шестого десятичного знака.
Допускаемая абсолютная суммарная погрешность определения составляет ±0,1A (A - результат определения) при P=0,95.
За результат определения принимают среднее арифметическое результатов двух параллельных определений, расхождение между которыми не превышает 0,3
% при доверительной вероятности P=0,95.
При разногласиях в определении массовой доли ртути определения проводят химическим методом.
3.9а. (Введен дополнительно, Изм. N 3).
3.10. Определение массовой доли кальция и бария
3.10.1. Аппаратура, реактивы, растворы
Спектрограф кварцевый типа ИСП-28 или типа ИСП-30 с трехлинзовой системой освещения щели и трехступенчатым ослабителем.
Генератор дуговой ДГ-2, ИВС-21, ИВС-25 или ИВС-26.
Спектропроектор типа ПС-18.
Микрофотометр типа МФ-2, МФ-4 или ИФО-451.
Станок для заточки электродов типа ТВ-16, УЗС-3 или другого типа.
Боксы размером 400400400 мм и приспособления из органического стекла (ступки диаметром (120±5) мм, пестики, шпатели, пинцеты, штативы для электродов) для подготовки проб к спектральному анализу.
Воронки делительные из кварцевого стекла по ГОСТ 19908-80 вместимостью 100 см3.
Лампа инфракрасная типа ЗС-3 или другого типа.
Автотрансформатор лабораторный типа ЛАТР-1.
1-фенил-3-метил-4-бензоилпиразолон-5 (ФМБП).
Готовят раствор в смеси хлороформа с изоамиловым спиртом следующим образом: 4,2 г ФМБП растворяют в 200 см3 хлороформа, прибавляют 100 см3 изоамилового спирта и переносят в делительную воронку вместимостью 500 см3. Приливают 50 см3 раствора соляной кислоты и встряхивают в течение 5 мин. После отстаивания соляную кислоту отбрасывают, а органический слой обрабатывают еще три раза раствором соляной кислоты, затем промывают 50 см3 бидистиллированной воды. Хранят раствор в кварцевой колбе.
Хлороформ фармакопейный.
Спирт изоамиловый по ГОСТ 5830-79, ч.д.а.
кислота соляная по ГОСТ 3118-77, ч.д.а., раствор концентрации c(НСl)=0,1 моль/дм3.
Кислота азотная по ГОСТ 4461-77, х.ч.
аммиак водный по ГОСТ 3760-79, х.ч., промывной раствор готовят разбавлением 6 см3 аммиака водой до 500 см3.
кальций углекислый по ГОСТ 4530-76, х.ч.
барий углекислый по ГОСТ 4158-80, х.ч.
Алюминия окись, х.ч. для спектрального анализа.
Спирт этиловый ректификованный технический по ГОСТ 18300-87, перегнанный в стеклянном приборе.
Угли спектральные и графитовый порошок марки ОС. Ч.
Фотопластинки спектральные, типа I, чувствительность 1-10 единиц.
Метол.
Натрий сернокислый 7-водный по ТУ 6-09-5313-86.
Гидрохинон (парадиоксибензол) по ГОСТ 19627-74.
Натрий углекислый безводный по ГОСТ 83-79.
Калий бромистый по ГОСТ 4160-74, раствор с массовой долей 10%.
натрий серноватистокислый (Тиосульфат натрия) по ГОСТ 27068-86.
Калий сернистокислый пиро.
Аммоний хлористый по ГОСТ 3773-72.
Проявитель, готовят следующим образом: в мензурку вместимостью 1000 см3 помещают 500 см3 воды с температурой 35-40 °С, 2,2 г метола, 192 г кристаллического сернокислого натрия, 17,6 г гидрохинона, 48 г безводного углекислого натрия, 50 см3 раствора бромистого калия и объем раствора доводят водой до 1000 см3.
Закрепитель готовят следующим образом: в мензурку вместимостью 1000 см3 помещают 500 см3 воды, прибавляют 250 г серноватистокислого натрия, 30 г пиросернистокислого калия, 50 г хлористого аммония и доводят объем раствора до 1000 см3.
Вода дистиллированная по ГОСТ 6709-72-->ГОСТ 6709-72, перегнанная в кварцевом приборе.
Мензурка 1000 по ГОСТ 1770-74.
Ступки, стаканы из фторопласта или полиэтилена.
Чашка платиновая.
(Измененная редакция, Изм. N 1, 3).
3.10.2. Подготовка к анализу
3.10.2.1. Приготовление образцов
Основой для приготовления образцов служит графитовый порошок, в спектре которого при условиях, принятых для анализа, не обнаруживаются линии определяемых элементов.
Образец I, содержащий 22,5% кальция и 1,5% бария, готовят следующим образом: во фторопластовую ступку (или в ступку из органического стекла) помещают взвешенные 1,6638 г графитового порошка, 2,2500 г CaCO3 и 0,0862 г BaCO3 (результаты взвешивания записывают с точностью до четвертого десятичного знака), 5 см3 этилового спирта и перемешивают в течение 1 ч. Далее готовят серию последующих образцов смешиванием графитового порошка, 5 см3 этилового спирта и предыдущего образца (например, образец II готовят из образца I; образец III - из образца II и т.д.). Необходимые количества графитового порошка и предыдущего образца приведены в табл.2.
Таблица 2
|
Номер образцов |
Из какого образца готовят |
Масса образца, г |
Масса графитового порошка, г |
|
|
|
Ca |
Ba |
||||
|
II |
I |
0,8000 |
3,2000 |
2250 |
150 |
|
III |
II |
0,8000 |
3,2000 |
450 |
30 |
|
IV |
III |
0,8000 |
3,2000 |
90 |
6 |
|
V |
IV |
2,6667 |
1,3333 |
60 |
4 |
|
VI |
V |
2,0000 |
2,0000 |
30 |
2 |
|
VII |
VI |
2,0000 |
2,0000 |
15 |
1 |
Рабочими образцами являются IV-VII.
Для проверки однородности приготовленных образцов берут по 50 мг рабочих образцов (по три параллельные пробы) и проводят съемку в условиях определения.
(Измененная редакция, Изм. N 3).
3.10.3. Проведение анализа
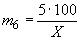
Для анализа берут в полиэтиленовом стакане вместимостью 50-100 см3 взвешенную пробу (m5) (результаты взвешивания записывают с точностью до второго десятичного знака), содержащую 8 г анализируемого продукта, и вычисленную по формуле
где X - массовая доля едкого натра, определенная по п.3.3, %.
Навеску переносят в мерную колбу вместимостью 200 см3 и доводят объем раствора бидистиллированной водой до метки - раствор Ж.
Затем в три кварцевые делительные воронки вместимостью 100 см3 помещают по 50 см3 раствора Ж, 10 см3 раствора ФМБП и энергично встряхивают в течение 30 с (по секундомеру).
После отстаивания органический слой сливают в кварцевые пробирки и повторяют экстракцию 5 см3 раствора ФМБП в течение 30 с. Объединенные экстракты переносят в те же делительные воронки, предварительно промыв их бидистиллированной водой.
К экстрактам прибавляют 25 см3 раствора аммиака и проводят промывку их путем неинтенсивного переворачивания воронок 10 раз. Промытые экстракты переносят в платиновые чашки, содержащие 49 мг графитового порошка, и добавляют по 1 см3 азотной кислоты. Экстракты упаривают досуха под инфракрасной лампой, а затем прокаливают в муфельной печи при 500 °С в течение 10 мин.
Для учета примесей, вносимых с реактивами, проводят контрольный опыт. 15 см3 раствора ФМБП промывают 25 см3 раствора аммиака, сливают органический слой в платиновые чашки, содержащие 49 мг графитового порошка, и добавляют 1 см3 азотной кислоты. Упаривают и прокаливают, как описано выше.
Полученные концентраты проб контрольного опыта и рабочие образцы подвергают спектральному анализу, для этого их помещают в каналы нижних электродов (см. черт.4), канал верхнего плотно заполняют графитовым порошком, содержащим 3% окиси алюминия. Электроды помещают в штативе генератора вертикально, устанавливая между ними расстояние 3 мм. Возбуждение спектров ведут в переменном токе при силе тока 16 А.
Черт.4
На щель спектрографа проектируют центральную часть пламени дуги через трехступенчатый ослабитель. Ширина щели при этом 10 ммк, экспозиция 60 с. Экспонированные фотопластинки проявляют при 18-20 °С в течение 3 мин, промывают и закрепляют в течение 3 мин.
В качестве аналитических линий (нм) используют:
барий - 493,41;
кальций - 317,93.
Градуировочные графики строят, откладывая на оси абсцисс логарифм концентрации элемента в образце в мкг (IgC), а на оси ординат - разность почернения аналитической линии и близлежащего фона (
).
(Измененная редакция, Изм. N 1, 3).
3.10.4. Обработка результатов
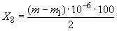
Массовую долю бария (X8) в процентах вычисляют по формуле
где m - масса бария, найденная по градуировочному графику в пробе, мкг;
m1 - масса бария, найденная в контрольной пробе, мкг;
2 - масса едкого натра в 50 см3 раствора Ж, г.
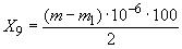
Массовую долю кальция (X9) в процентах вычисляют по формуле
где m - масса кальция, найденная по градуировочному графику в пробе, мкг;
m1 - масса кальция, найденная в контрольной пробе, мкг;
2 - масса едкого натра в 50 см3 раствора Ж, г.
За результат анализа принимают среднее арифметическое трех параллельных определений, допускаемые расхождения между которыми не должны превышать:
для бария - 0,00003%;
для кальция - 0,0006%.
Допустимые значения результатов при контроле кальция у изготовителя (Cдоп) не должны быть более 0,0013%.
(Измененная редакция, Изм. N 1).
3.1.1. Определение массовой доли магния
3.11.1. Аппаратура, реактивы, растворы
Натрия гидроокись, о.с.ч. 18-3, растворы с массовой долей 40 и 50%.
кислота соляная по ГОСТ 3118-77, х.ч., раствор концентрации c(НСl)=2 моль/дм3.
Титановый желтый индикатор, ч., растворы с массовой долей 0,1 и 0,01%.
Натрий хлористый по ГОСТ 4233-77, х.ч., очищенный от магния следующим образом: к 250 см3 раствора хлористого натрия, содержащего 300 г соли в 1 дм3, прибавляют 5 см3 раствора титанового желтого с массовой долей 0,1% и доводят раствором NaOH с массовой долей 5% до pH 10. Затем оставляют на сутки. Осадок отфильтровывают через плотный фильтр и выбрасывают. Фильтрат нейтрализуют соляной кислотой до pH 4 и хранят в плотно закрытой склянке.
Раствор образцовый, содержащий 1 мг магния в миллилитре, готовят по ГОСТ 4212-76. Перед определением разбавлением в 100 раз получают раствор, содержащий 10,0 мкг магния в миллилитре.
натрий азотнокислый по ГОСТ 4197-74, ч.д.а., раствор с массовой долей 10%.
мочевина по ГОСТ 6691-77, раствор; готовят растворением 50 г реактива в 50 см3 горячей воды и охлаждают.
Вода дистиллированная по ГОСТ 6709-72-->ГОСТ 6709-72, перегнанная в стеклянном приборе.
Бумага индикаторная универсальная.
Цилиндр 2-100 по ГОСТ 1770-74.
3.11.2. Проведение анализа
В мерный цилиндр с притертой пробкой вместимостью 100 см3 помещают 50 см3 раствора В, приготовленного по п.3.5.2, доводят до pH 4-5 раствором едкого натра с массовой долей 5%, прибавляют 5 см3 раствора азотистокислого натрия, перемешивают и оставляют на 30 мин. Затем вводят 5 см3 раствора мочевины, перемешивают. Через 5 мин прибавляют 0,8 см3 раствора титанового желтого с массовой долей 0,01%, 0,2 см3 раствора едкого натра с массовой долей 40%, доводят объем пробы до 65 см3 и вновь перемешивают. Окраску сравнивают через 15 мин.
Продукт соответствует требованиям настоящего стандарта, если его окраска не интенсивнее, чем окраска образцового раствора. Его готовят одновременно с анализируемым, для этого в мерный цилиндр с притертой пробкой вместимостью 100 см3 помещают 25 см3 раствора хлористого натрия, 0,5 см3 разбавленного образцового раствора, что соответствует 5 мкг магния; по 5 см3 растворов нитрита натрия и мочевины, по 0,2 см3 раствора титанового желтого с массовой долей 0,01% и раствора едкого натра с массовой долей 40%.
3.11.1, 3.11.2. (Измененная редакция, Изм. N 3).
3.12. Определение массовой доли марганца, меди, никеля, свинца
3.12.1. Аппаратура, реактивы, растворы
Спектрограф кварцевый типа ИСП-28 или ИСП-30 с трехлинзовой системой освещения щели и трехступенчатым ослабителем.
Генератор дуговой типа ДГ-2, ИВС-21, ИВС-25 или ИВС-26.
Спектропроектор типа ПС-18.
Микрофотометр типа МФ-2, МФ-4 или ИФО-451.
Аппарат для встряхивания колб и пробирок.
Станок для заточки угольных электродов типа ТВ-16 или УЗС-3.
Секундомер по ГОСТ 5072-79.
Боксы из органического стекла (400400400 мм).
Приспособления из органического стекла для подготовки проб к спектральному анализу: ступки, пестики, шпатели, пинцеты, штативы для электродов.
Тигли, чашки из кварцевого стекла по ГОСТ 19908-80.
Лампа инфракрасная типа ЗС-3.
Автотрансформатор лабораторный типа ЛАТР-1.
Кислота уксусная по ГОСТ 61-75, перегнанная в кварцевом приборе.
Кислота азотная по ГОСТ 4461-77, х.ч., перегнанная в кварцевом приборе.
Раствор натрия N, N-диэтилдитиокарбамат с массовом долей 2% по ГОСТ 8864-71. Очищается следующим образом: 50 г препарата растворяют в 250 см3 этилового спирта (насыщенный раствор), фильтруют через складчатый беззольный фильтр и при перемешивании вливают в 1,5 дм3 эфира. Прозрачный раствор декантируют, осадок отфильтровывают на воронке Бюхнера, промывают 3-4 раза эфиром (по 40-50 см3) и высушивают на воздухе. Хранят перекристаллизованный натрия N, N-диэтилдитиокарбамат в темной, плотно закрывающейся банке. Применяется свежеприготовленный раствор. Результаты взвешивания записывают с точностью до второго десятичного знака.
Хлороформ фармакопейный, перегнанный в стеклянном приборе.
Спирт изоамиловый по ГОСТ 5830-79, ч.д.а.
Смесь хлороформа с изоамиловым спиртом (4:1).
Соль динатриевая этилендиамин-N, N, N' N'-тетрауксусной кислоты 2-водная (трилон б) по ГОСТ 10652-73.
Эфир диэтиловый, фармакопейный, перегнанный в стеклянном приборе.
Спирт этиловый ректификованный технический по ГОСТ 18300-87, раствор с массовой долей 96%, перегнанный в стеклянном приборе в присутствии трилона Б.
Бумага индикаторная универсальная.
Марганца двуокись по ГОСТ 4470-79, ч.д.а.
Меди окись по ГОСТ 16539-79, ч.д.а.
Никеля окись по ГОСТ 4331-78, ч.д.а.
Свинца двуокись по ГОСТ 4216-78, ч.д.а.
Угли спектральные и графитовый порошок марки ОС. Ч., типа В-3.
Фотопластинки "спектральные" типа I, чувствительностью 4-6 единиц.
Натрий хлористый, спектрально-чистый.
Проявитель и закрепитель готовят по п.3.10.1.
Вода дистиллированная по ГОСТ 6709-72-->ГОСТ 6709-72.
Жидкость промывная; готовят следующим образом: в делительную воронку вместимостью 250 см3 помещают 90 см3 воды, 10 см3 раствора диэтилдитиокарбамата натрия, 15 см3 смеси хлороформа с изоамиловым спиртом и встряхивают в течение 3 мин по песочным часам. После отстоя органический слой отбрасывают. Промывную жидкость применяют свежеприготовленной.
Допускаемая суммарная абсолютная погрешность определения при P=0,95 для марганца и меди составляет ±0,28A, для никеля и свинца - ±0,25A (A - результат определения).
(Измененная редакция, Изм. N1, 3).
3.12.2. Подготовка к анализу
3.12.2.1. Приготовление образцов
Шкалу образцов готовят на основе графитового порошка, в спектре которого в условиях определения не обнаруживаются линии определяемых элементов. Образец 1, содержащий 1% меди, свинца, никеля и марганца, готовят следующим образом: к навеске около 3 г графитового порошка (в ступке из органического стекла) прибавляют взвешенные 0,0501 г окиси меди, 0,0564 г окиси никеля, 0,0636 г перекиси марганца, 0,0462 г двуокиси свинца (результаты взвешивания записывают с точностью до четвертого десятичного знака) и до 4,0000 г графитового порошка. К смеси прибавляют около 5 см3 этилового спирта и растирают не менее 1 ч.
Далее готовят серию последующих образцов смешением графитового порошка, 5 см3 этилового спирта и предыдущего образца (например, образец II готовят из образца I; образец III готовят из образца II и т.д.). Необходимые количества графитового порошка и предыдущего образца приведены в табл.3.
Таблица 3
Рабочими образцами являются IV-VII.
Для проверки однородности приготовленных образцов и наклона градуировочных графиков (который должен быть близким к 45°) берут по 50 мг рабочих образцов (по три параллельные пробы) и проводят съемку в условиях определения.
(Измененная редакция, Изм. N 3).
3.12.3. Проведение анализа
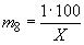
В трех полиэтиленовых сосудах вместимостью 250 см3 каждый берут навески (m6), содержащие по 5 г анализируемого продукта и вычисленные по формуле
где X - массовая доля едкого натра, определенная по п.3.3, %.
Затем доливают по 15 см3 воды, вводят по 0,3 см3 уксусной кислоты и нейтрализуют азотной кислотой до pH 6, добавляют по 2,5 см3 раствора диэтилдитиокарбамата натрия, по 5 см3 смеси хлороформа и изоамиловым спиртом и встряхивают с частотой 100-200 колебаний в 1 мин и амплитудой 10-20 мм в течение 3 мин. В делительные воронки вместимостью 50 см3 предварительно вносят по 10 см3 промывной жидкости, приготовленной по п.3.12.1, и переносят в них пробы.
В водный слой снова добавляют по 5 см3 смеси хлороформа с изоамиловым спиртом и повторяют экстракцию. Органическую фазу отделяют и сливают с первым экстрактом. Содержимое делительной воронки (на 50 см3) взбалтывают 30 с с промывной жидкостью и отстаивают. Затем экстракты сливают в кварцевые тигли или чашки, содержащие по 49 мг графитового порошка, и выпаривают досуха под инфракрасной лампой в боксе из органического стекла, не допуская бурного кипения (накал лампы регулируют автотрансформатором).
Для учета примесей, вносимых с химическими реактивами, проводят контрольный опыт, для этого выпаривают досуха на 49 мг графитового порошка в кварцевых тиглях азотную кислоту в количестве, которое расходуется на нейтрализацию пробы, и 0,3 см3 уксусной кислоты. Затем в три делительные воронки вместимостью 50 см3 помещают по 15 см3 воды, 2,5 см3 раствора диэтилдитиокарбамата натрия с массовой долей 2%; по 10 см3 смеси хлороформа с изоамиловым спиртом и встряхивают в течение 3-х мин. После этого экстракт сливают в тигли, в которых предварительно были выпарены азотная и уксусная кислоты.
Полученные концентраты проб контрольного опыта и по 50 мг рабочих образцов помещают в каналы нижних электродов (см. черт.4). Канал верхнего электрода плотно заполняют угольным порошком, содержащим 8% хлорида натрия. Возбуждение спектров ведут в дуге переменного тока при силе тока 16 А, расстоянии между электродами 3 мм, ширине щели спектрографа 15 ммк и экспозиции 60 с. На щель спектрографа проектируют центральную часть пламени дуги через трехступенчатый ослабитель. Экспонированные фотопластинки проявляют при 18-20 °С в течение 3 мин, промывают и закрепляют в течение 3 мин.
В качестве аналитических линий (нм) используют:
марганец I - 279,48 или 260,5;
свинец I - 283,3;
никель I - 305,08;
медь I - 327,40.
Градунровочные графики строят в координатах: разность почернения аналитической линии и близлежащего фона (
) - логарифм концентрации элемента в эталоне (IgC).
(Измененная редакция, Изм.N 1, 3).
3.12.4. Обработка результатов
Массовую долю каждой примеси (X10) в процентах вычисляют по формуле
где m - масса металла в пробе, мкг;
m1 - масса металла в контрольном опыте, мкг;
5 - масса едкого натра в навеске, г.
За результат анализа принимают среднее арифметическое трех параллельных определений, допускаемые расхождения между которыми не должны превышать:
для марганца - 0,000006%;
для меди - 0,0000025%;
для никеля - 0,000004%;
для свинца - 0,00003%.
(Измененная редакция, Изм. N 1).
3.13. Определение массовой доли хлорноватокислого натрия
3.13.1. Аппаратура, реактивы, растворы
Метиловый оранжевый (индикатор), раствор с массовой долей 0,008%.
Калий хлорноватокислый, х.ч., или соль Бертолетова по ГОСТ 2715-75, 1-го сорта, перекристаллизованная.
Раствор образцовый, готовят следующим образом: взвешивают 0,1468 г хлората калия (результат взвешивания записывают точностью до четвертого десятичного знака), помещают в мерную колбу вместимостью 1000 см3, растворяют в воде и доводят объем раствора водой до метки. Раствор содержит 100 мкг хлоратов в 1 см3. Разбавлением в 100 раз готовят раствор, содержащий 1 мкг хлоратов в 1 см3.
Натрий хлористый по ГОСТ 4233-77, х.ч.; готовят раствор, содержащий 280 г соли в 1000 см. Для удаления восстановителей через раствор пропускают хлор в течение 5-10 мин. Затем раствор кипятят 20-30 мин, добавляя воду по мере выпадения осадка, подкисляют соляной кислотой до pH 1-2 и продолжают кипятить до полного удаления хлора. Раствор считают свободным от хлора, если оптическая плотность 20 см3 раствора хлористого натрия (pH 2) с 0,2 см3 раствора метилового оранжевого не менее оптической плотности 20 см3 дистиллированной воды (pH 2), содержащей 0,2 см3 раствора метилового оранжевого. Измерение оптической плотности производят на приборе типа ФЭК-56 при длине волны 490 нм (светофильтр N 5) или на приборе типа ФЭК-60 при длине волны 520 нм (светофильтр N 4) и толщине поглощающего свет слоя 50 мм.
кислота соляная по ГОСТ 3118-77, х.ч., концентрированная, не содержащая окислителей и восстановителей.
Очистку от восстановителей производят следующим образом: к 500 см3 соляной кислоты прибавляют 3 см3 образцового раствора хлоратов, оставляют стоять 30 мин, после чего кипятят раствор в течение 5 мин. Для проверки кислоты на пригодность для анализа отбирают 7 см3 очищенной кислоты и помещают ее в мерную колбу вместимостью 25 см3, добавляют 0,2 см3 метилового оранжевого и доводят объем водой до метки. Оптическая плотность полученного раствора должна быть не менее оптической плотности 25 см3 воды с pH 2, содержащей 0,2 см3 метилового оранжевого. При получении неудовлетворительных результатов кислоту кипятят в течение 20-30 мин и вновь измеряют оптическую плотность.
Присутствие окислителей определяют следующим образом: в мерную колбу вместимостью 25 см3 помещают 7 см3 соляной кислоты, 0,2 см3 раствора метилового оранжевого и доводят водой до метки. Оптическая плотность полученного раствора, описанного выше, должна быть не менее оптической плотности 25 см3 воды (pH 2), содержащей 0,2 см3 раствора метилового оранжевого; в противном случае кислоту кипятят в течение 20-30 мин и повторяют проверку.
Вода дистиллированная по ГОСТ 6709-72-->ГОСТ 6709-72.
Фотоэлектроколориметры типов ФЭК-56, ФЭК-60, ФЭК-56М или другого типа, обеспечивающие заданную точность.
Колбы 2-25, 100, 1000 по ГОСТ 1770-74.
(Измененная редакция,Изм. N 1, 3).
3.13.2. Подготовка к анализу
3.13.2.1. Построение градуировочного графика.
В мерные колбы вместимостью 25 см3 помещают по 5 см3 раствора хлористого натрия, вводят 0,5; 1,0; 2,0 см3 разбавленного образцового раствора, что соответствует 0,5; 1,0; 2,0 мкг хлоратов, приливают по 0,2 см3 раствора метилового оранжевого и 7 см3 соляной кислоты, перемешивают, доводят объем раствора водой до метки и снова перемешивают. Растворы термостатируют при 40 °С в течение 10 мин. Одновременно в тех же условиях готовят контрольный раствор, не содержащий хлоратов, для этого в мерную колбу вместимостью 25 см3 помещают 5 см3 раствора хлористого натрия и все вышеперечисленные реактивы. Измеряют оптическую плотность полученных растворов относительно воды на приборе типа ФЭК-56 при длине волны 490 нм (светофильтр N 5) или на приборе типа ФЭК-60 при длине волны 520 нм (светофильтр N 4) и толщине поглощающего свет слоя 50 мм.
По полученным данным строят градуировочный график, откладывая на оси абсцисс массу хлоратов в микрограммах, а на оси ординат - соответствующую оптическую плотность.
Градуировочный график проверяют не реже 1-го раза в квартал, а также при смене реактивов и приборов.
(Измененная редакция, Изм. N 1, 3).
3.13.3. Проведение анализа
В мерную колбу вместимостью 25 см3 помещают взвешенную пробу (m7) (результаты взвешивания записывают с точностью до второго десятичного знака), содержащую 1 г едкого натра и вычисленную по формуле
где X - массовая доля едкого натра, определенная по п.3.3, %.
Затем приливают 5 см3 воды и 2 см3 соляной кислоты. После охлаждения прибавляют 0,2 см3 раствора метилового оранжевого и 7 см3 соляной кислоты и далее определяют по п.3.13.2.
(Измененная редакция, Изм. N 3).
3.13.4. Обработка результатов
Массовую долю хлората натрия (X11) в процентах вычисляют по формуле
где m - масса хлоратов в пробе, найденная по градуировочному графику, мкг;
1,27 - коэффициент пересчета СlO3 на NaClO3;
1,0 - масса едкого натра в навеске, г.
За результат анализа принимают среднее арифметическое двух параллельных определений, допускаемые расхождения между которыми не должны превышать 0,00002%.
3.14. Определение массовой доли калия
3.14.1. Аппаратура, реактивы, растворы
Фотометр пламенный или спектрофотометр на основе спектрографа типа ИСП-51 (или универсального монохроматора) с фотоэлектрической приставкой типа ФЭЦ-1 или фотометр пламенный типа ПАЖ, или атомно-абсорбционный спектрофотометр типа "Сатурн" С-112, или другой аналогичный прибор.
Умножитель фотоэлектронный типа ФЭУ-22.
Устройство распылительное и горелка для ацетилено-воздушного пламени или пропан-бутан-воздушную горелку.
Воздух для питания пневматических приборов и средств автоматизации.
Редукторы, игольчатые краны и манометры.
Флаконы из полиэтилена вместимостью 100 см3.
Ацетилен по ГОСТ 5457-75.
Вода дистиллированная по ГОСТ 6709-72-->ГОСТ 6709-72, перегнанная в кварцевом приборе.
Кислота уксусная по ГОСТ 61-75, ледяная, перегнанная в кварцевом приборе.
Раствор калия образцовый; готовят по ГОСТ 4212-76. Разбавлением в 10 раз готовят раствор, содержащий 100 мкг калия в миллилитрах.
Натрий уксуснокислый по ГОСТ 199-78, х.ч., перекристаллизованный, раствор, содержащий 82 г в 1 дм3; при отсутствии уксуснокислого натрия, не содержащего примеси калия, для приготовления растворов сравнения используют препарат с минимальным содержанием калия, определяемым методом добавок.
Все исходные растворы и растворы сравнения, а также воду, применяемую для их приготовления, необходимо хранить в полиэтиленовой или кварцевой посуде.
Колбы 1, 2-100 по ГОСТ 1770-74.
Стаканы полиэтиленовые вместимостью 50 см3.
(Измененная редакция, Изм. N 1, 3).
3.14.2. Подготовка к анализу
3.14.2.1. Приготовление растворов сравнения
В пять мерных колб вместимостью 100 см3 помещают по 25 см3 раствора ацетата натрия, вводят по 1,5 см3 уксусной кислоты и прибавляют указанные в табл.4 количества разбавленного образцового раствора калия. Затем объем раствора доводят до метки, перемешивают и переливают в полиэтиленовые флаконы. При необходимости учитывается содержание примеси калия в образце уксуснокислого натрия, используемого в качестве основы.
Таблица 4
3.14.3. Проведение анализа
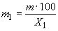
В три полиэтиленовых стакана вместимостью 50 см3 берут навески (m8), содержащие 1 г едкого натра (результат взвешивания записывают с точностью до второго десятичного знака) и вычисленные по формуле
где X - массовая доля едкого натра, определенная по п.3.3, %. Затем приливают 5-10 см3 воды и небольшими порциями при перемешивании 3 см3 уксусной кислоты. Растворы переносят в мерные колбы вместимостью 100 см3, доводят водой до метки, перемешивают и переливают в полиэтиленовые флаконы.
После подготовки прибора в соответствии с прилагаемой к нему инструкцией по эксплуатации проводят фотометрирование растворов сравнения и анализируемых растворов, распыляя после каждого раствора воду. Определение проводят при длине волны 769,9 нм, при применении ПАЖ определение проводят при длине волны (768±5) нм. Также определяют величину фона пламени по обе стороны от линии калия. Среднее из двух значений вычитают из всех отсчетов.
(Измененная редакция, Изм. N 1, 3).
3.14.4. Обработка результатов
По полученным данным для растворов сравнения строят градуировочный график, откладывая значения интенсивности излучения на оси ординат, массовую долю примеси - по оси абсцисс.
Массовую долю калия в пробе находят по графику.
За результат анализа принимают среднее арифметическое двух параллельных определений, допускаемые расхождения между которыми не должны превышать 0,003%.
3.15. Определение коэффициента светопропускания
3.15.1. Аппаратура, реактивы, растворы
Вода дистиллированная по ГОСТ 6709-72-->ГОСТ 6709-72, перегнанная в стеклянном приборе.
Фотоэлектроколориметр-нефелометр типов ФЭК-56, ФЭК-56М или фотоэлектроколориметр типа КФК-2 или другого типа; обеспечивающего заданную точность.
Термостат типа 1ТЖ-0-03 или любого другого типа, обеспечивающего заданный интервал температур.
Колба Кн-1, 2-100-29/32 по ГОСТ 25336-82.
Керн КПО-29/32 по ГОСТ 25336-82.
(Измененная редакция, Изм. N 1, 3).
3.15.2. Проведение анализа
В коническую колбу с предварительно нанесенной меткой на уровне 50 см3 помещают 50 см3 анализируемого раствора едкого натра. Колбу закрывают керном. На трубку керна надевают резиновую трубку длиной 50-70 мм, верхний конец которой закрывают стеклянным шариком. На боковой поверхности трубки делают надрез длиной около 10 мм для выхода паров. Колбу помещают в термостат и, включив вибрацию, нагревают при (70±5) °С в течение (15±5) мин. Допускается вести нагревание на водяной бане, периодически (через 5 мин) взбалтывая содержимое колбы. Затем растворы охлаждают на водяной бане с температурой воды (10±5) °С в течение (10±5) мин и измеряют коэффициент светопропускания на колориметре типа КФК-2 при длине волны 440 нм и толщине поглощающего свет слоя раствора 50 мм (кюветы закрывают покровными стеклами), раствор сравнения - Вода.
Если измерения проводят на приборе типа ФЭК-56 или ФЭК-56М, то из узла светофильтров вынимают любой светофильтр (например, N 1), устанавливают в световые окна кюветного отделения дополнительные нейтральные светофильтры и проводят измерение, как описано в инструкции по эксплуатации, прилагаемой к прибору.
За результат анализа принимают среднее арифметическое результатов двух параллельных определений, расхождение между которыми не превышает 1,0% при P=0,95.
Допускаемая суммарная абсолютная погрешность определения составляет ±1,0% при P=0,95.
Результаты определения округляют до 1%.
(Измененная редакция, Изм. N 3).
3.16. Определение массовой доли кальция, магния и калия методом атомно-абсорбционной спектроскопии
3.16.1. Аппаратура, реактивы, растворы
Атомно-абсорбционный спектрофотометр "Сатурн" или аналогичный прибор.
Лампы с полым катодом ЛСП-1, магний, кальций, хром и олово.
Колбы 1-100 и 2-1000 по ГОСТ 1770-74.
Пипетки 2-5 и 3-10 по ГОСТ 20292-74.
Бюретка 6-2 по ГОСТ 20292-74.
Мензурка 1000 по ГОСТ 1770-74.
Соль динатриевая этилендиамин-N, N, N', N'-тетрауксусной кислоты 2-водная (трилон б) по ГОСТ 10652-73, ч.д.а., насыщенный раствор.
Ацетилен растворенный технический по ГОСТ 5457-75.
Воздух для питания приборов и средств автоматизации.
Вода дистиллированная по ГОСТ 6709-72-->ГОСТ 6709-72, перегнанная в кварцевом приборе.
3.16.2. Приготовление растворов кальция, магния и калия
Растворы кальция, магния и калия концентрации 1 мг/см3 готовят по ГОСТ 4212-76.
Соответствующим разбавлением водой непосредственно перед приготовлением градуировочных растворов готовят рабочие растворы.
Рабочий раствор кальция концентрации 50 мкг/см3 готовят следующим образом: пипеткой отбирают 5 см3 исходного раствора в мерную колбу вместимостью 100 см3, доводят объем водой до метки, перемешивают (раствор А).
Рабочий раствор магния концентрации 5 мг/см3 готовят следующим образом:
пипеткой отбирают 5 см3 исходного раствора магния в мерную колбу вместимостью 100 см3, доводят объем водой до метки и перемешивают. Отбирают пипеткой 10 см3 полученного раствора в мерную колбу вместимостью 100 см3, доводят объем водой до метки и перемешивают (раствор Б).
Рабочий раствор калия концентрации 1 мг/см3, приготовленный по ГОСТ 4212-76 (раствор В).
3.16.3. Приготовление градуировочных растворов
В четыре полиэтиленовых флакона помещают навески анализируемого продукта, массы которых (m) в граммах рассчитывают по формуле
где X - массовая доля едкого натра в продукте.
К полученным массам прибавляют по 20 см3 воды, охлаждают до (20±5) °С и прибавляют по 5 см3 раствора трилона Б. В три флакона приливают указанное в табл.5 количество рабочих растворов кальция, магния и калия (растворы А, Б, В). Затем массы растворов доводят водой до 100 г и перемешивают.
Результаты взвешивания записывают с точностью до второго десятичного знака.
Таблица 5
3.16.4. Проведение анализа
После подготовки прибора к работе согласно требованиям документации по эксплуатации прибора проводят измерение атомного поглощения, возникающего при распылении в пламя воздух-ацетилен градуировочных растворов в порядке возрастания концентраций, а затем в обратном порядке.
Высота центра просвечиваемой зоны над щелью горелки - 5-7 мм.
Аналитические линии: кальция - 422,7 нм, магния - 285,2 нм, калия - 766,5 нм.
Чувствительность прибора регулируют таким образом, чтобы при распылении градуировочного раствора с наибольшей добавкой показания составляли 30-70% шкалы. Режим работы прибора - измерение оптической плотности.
Не выключая прибор, не изменяя положения горелки и расхода газа, проводят измерение неатомного поглощения, возникающего при распылении одного из растворов для кальция на линии хрома (425,4 нм), для магния и на линии олова (284,0 нм).
Измерение атомного излучения калия проводят, повернув горелку перпендикулярно к оптической оси для уменьшения самообращения линии. Величину полученного излучения фона пламени измеряют по обе стороны от линии калия.
3.16.5. Обработка результатов
По полученным данным находят среднее арифметическое атомного поглощения кальция, магния и атомного излучения калия для всех градуировочных растворов за вычетом среднего арифметического неатомного поглощения одного из растворов для калия и магния и фонового излучения для калия.
Строят градуировочные кривые, откладывая на оси ординат вычисленные значения атомного поглощения градуировочных растворов, на оси абсцисс - соответствующие массовые доли измеряемых элементов. Экстраполируя полученные градуировочные кривые до пересечения с осью абсцисс, находят массовые доли измеряемых элементов в анализируемом продукте.
За результат измерения принимают среднее арифметическое результатов двух параллельных определений, расхождения между которыми не превышают для кальция 0,0001%, для магния 0,00001%, для калия 0,002% при доверительной вероятности P=0,95.
Результаты определений округляют для кальция и магния - до четвертого десятичного знака, для калия - до второго десятичного знака.
Допускаемая суммарная погрешность определения для кальция составляет 0,4%A (A - результат определения), для магния 0,3A%, для калия 0,2A% при P=0,95.
При разногласиях в оценке определения массовой доли кальция, магния и калия определение проводят химическими методами. Определение массовых долей кальция (п.3.10), магния (п.3.11) и калия (п.3.14) до 01.01.91.
(Измененная редакция, Изм. N 3).
4. УПАКОВКА, МАРКИРОВКА, ТРАНСПОРТИРОВАНИЕ И ХРАНЕНИЕ
4.1. Очищенный едкий натр заливают в железнодорожные цистерны, контейнеры, бочки или в мелкую тару.
Все средства транспортирования и упаковки должны быть изготовлены из стали марки Х18Н10Т по ГОСТ 5632-72, из обычной стали с гуммированной внутренней поверхностью или из полиэтилена.
4.2. Степень (уровень) заполнения цистерн вычисляют с учетом полного использования их вместимости (грузоподъемности) и объемного расширения продукта при возможном перепаде температур в пути следования. Контейнеры, бочки и мелкую тару заполняют не более чем на 98% их вместимости.
4.3. Наливные люки цистерн, контейнеров, горловины бочек и мелкой тары уплотняют резиновыми прокладками или прокладками из другого стойкого к едким щелочам материала.
4.4. При температуре воздуха ниже 10 °С до выгрузки из цистерн продукт должен быть разогрет.
Во избежание нарушения гуммированного покрытия цистерн и контейнеров температура нагрева продукта и стенок покрытия не должна превышать 70 °С.
4.5. Маркировка транспортной тары с продуктом - по ГОСТ 14192-77 с нанесением основных, дополнительных и информационных надписей и манипуляционного знака "Герметичная упаковка".
На котле цистерны, а также на боковой поверхности контейнеров с обеих сторон должны быть нанесены трафареты "Едкая жидкость" и трафарет приписки.
На днище бочек или боковую поверхность мелкой тары наносят при помощи трафарета следующие данные:
наименование продукта и его марку;
номер партии и дату изготовления;
обозначение настоящего стандарта.
Знак опасности класса 8, подкласса 82, классификационный шифр 8220 по ГОСТ 19433-81.
Указанные данные могут наноситься на ярлык из фанеры или плотного картона, который прикрепляют к горловине мелкой тары или к люкам контейнеров.
4.6. Очищенный едкий натр транспортируют всеми видами транспорта, кроме авиации, в соответствии с правилами перевозки грузов, действующими на данном виде транспорта:
наливом в железнодорожных цистернах в соответствии с правилами перевозки опасных грузов, утвержденными МПС;
в контейнерах, бочках и мелкой таре - автомобильным транспортом;
в контейнерах и бочках - водным транспортом.
При перевозке водным транспортом бочки формируют в пакеты на плоских деревянных поддонах по ГОСТ 9557-87 в соответствии с требованиями ГОСТ 21929-76, ГОСТ 21650-76 и ГОСТ 24597-81. Масса груза пакета не должна превышать грузоподъемности поддона.
4.7. Очищенный едкий натр хранят в закрытых резервуарах, изготовленных из материалов, стойких к едким щелочам.
Разд.4. (Измененная редакция, Изм. N 3).
5. ГАРАНТИИ ИЗГОТОВИТЕЛЯ
5.1. Изготовитель гарантирует соответствие очищенного едкого натра требованиям настоящего стандарта при соблюдении условий транспортирования и хранения.
5.2. Гарантийный срок хранения - три года со дня изготовления.
Разд.5. (Измененная редакция, Изм. N 3).
6. ТРЕБОВАНИЯ БЕЗОПАСНОСТИ
6.1. Очищенный едкий натр представляет собой едкую жидкость без цвета и запаха.
Показатели пожаровзрывоопасности - в соответствии с ГОСТ 12.1.044-84.
При попадании на кожу вызывает химические ожоги, а при длительном воздействии может вызывать язвы и экземы. Сильно действуем на слизистые оболочки. Попадание едкого натра в глаза - ОПАСНО.
Предельно допустимая концентрация (ПДК) аэрозоля едкого натра в воздухе рабочей зоны - 0,5 мг/м3 (2-й класс опасности по ГОСТ 12.1.005-76).
едкий натр не горюч, не взрывоопасен.
(Измененная редакция, Изм. N 3).
6.2-6.4. (Исключены, Изм. N 3).
официальное издание
М.: Издательство стандартов, 1988

