Натрий уксуснокислый 3-водный. Реактивы ГОСТ 199-78
Натрий уксуснокислый 3-водный. Реактивы. Технические условия (с Изменениями N 1, 2) ГОСТ 199-78
ГОСТ 199-78
Группа Л52
ГОСУДАРСТВЕННЫЙ СТАНДАРТ СОЮЗА ССР
Реактивы
Натрий уксуснокислый 3-ВОДНЫЙ
Технические условия
Reagents. Sodium acetate, 3-aqueous.
Specifications
ОКП 26 3421 1290 05
Дата введения 1979-01-01
ИНФОРМАЦИОННЫЕ ДАННЫЕ
1. РАЗРАБОТАН И ВНЕСЕН Министерством химической промышленности СССР
РАЗРАБОТЧИКИ
Г.В.Грязнов; Т.Г.Манова; И.Л.Ротенберг; В.Н.Смородинская; К.П.Лесина; Е.К.Богомолова, Л.В.Кидиярова, С.И.Габриелян; Н.М.Люрмян; М.А.Азаканян; А.А.Григорян
2. УТВЕРЖДЕН И ВВЕДЕН В ДЕЙСТВИЕ Постановлением Государственного комитета стандартов Совета Министров СССР от 9 февраля 1978 г. N 415
3. ВЗАМЕН ГОСТ 199-68
4. ССЫЛОЧНЫЕ НОРМАТИВНО-ТЕХНИЧЕСКИЕ ДОКУМЕНТЫ
|
Обозначение НТД, на который дана ссылка |
Номер пункта, подпункта |
|
3.8.1 |
|
|
ГОСТ 1770-74 |
3.3.1, 3.4.1, 3.6, 3.8.1, 3.11a.1 |
|
3.8.1 |
|
|
3.4.1, 3.9 |
|
|
3.8.1, 3.9 |
|
|
3.8.1 |
|
|
2.1, 3.1, 4.1 |
|
|
ГОСТ 4212-76 |
3.8.1, 3.10.1, 3.11.1, 3.11a.1 |
|
3.4.1, 3.10.1, 3.11.1 |
|
|
ГОСТ 4517-87 |
3.4.1, 3.8.1 |
|
ГОСТ 4919.1-77 |
3.4.1, 3.5 |
|
3.11a.1 |
|
|
3.3.1, 3.10.1, 3.11.1, 3.11a.1 |
|
|
ГОСТ 10485-75 |
3.12 |
|
ГОСТ 10555-75 |
3.9 |
|
ГОСТ 10671.5-74 |
3.5 |
|
ГОСТ 10671.6-74 |
3.6 |
|
ГОСТ 10671.7-74 |
3.7 |
|
ГОСТ 14192-77 |
4.1 |
|
3.11a.1 |
|
|
ГОСТ 17319-76 |
3.13 |
|
ГОСТ 17444-76 |
3.2 |
|
ГОСТ 22001-87 |
3.11а.4, 3.11а.5 |
|
ГОСТ 25336-82 |
3.3.1, 3.4.1, 3.8.1, 3.10.1, 3.11.1 |
|
ГОСТ 25794.1-83 |
3.4.1, 3.10.1 |
|
ГОСТ 27025-86 |
3.2а |
5. Ограничение срока действия снято по решению Межгосударственного Совета по стандартизации, метрологии и сертификации (ИУС 5-6-93)
6. ПЕРЕИЗДАНИЕ (январь 1997 г.) с Изменениями N 1, 2, утвержденными в марте 1988 г., марте 1994 г. (ИУС 6-88, 2-95)
Настоящий стандарт распространяется на 3-водный уксуснокислый натрий, который представляет собой бесцветные прозрачные кристаллы; растворим в воде, выветривается в сухом и расплывается во влажном воздухе.
Формула CH3COONa x 3H2O
Относительная молекулярная масса (по международным атомным массам 1987 г.) - 136,08.
Допускается изготовление 3-водного уксуснокислого натрия по приложению 1 и проведение анализов по приложению 2.
(Измененная редакция, Изм. N 2).
1. ТЕХНИЧЕСКИЕ ТРЕБОВАНИЯ
1.1. 3-водный уксуснокислый натрий должен быть изготовлен в соответствии с требованиями настоящего стандарта по технологическому регламенту, утвержденному в установленном порядке.
1.2. По физико-химическим показателям 3-водный уксуснокислый натрий должен соответствовать нормам, указанным в табл.1.
Таблица 1
(Измененная редакция, Изм. N 1).
2. ПРАВИЛА ПРИЕМКИ
2.1. Правила приемки - по ГОСТ 3885.
2.2. Массовую долю сульфатов, фосфатов, алюминия, кальция, магния, мышьяка и тяжелых металлов изготовитель определяет периодически в каждой 20-партии.
(Введен дополнительно, Изм. N 1).
3. МЕТОДЫ АНАЛИЗА
3.1. Пробы отбирают по ГОСТ 3885. Масса средней пробы должна быть не менее 585 г.
3.2а. Общие указания по проведению анализа - по ГОСТ 27025.
При взвешивании применяют лабораторные весы общего назначения типов ВЛР-200г, ВЛЭ-200г или ВЛКТ-500г-М.
Допускается применение других средств измерения с метрологическими характеристиками и оборудования с техническими характеристиками не хуже, а также реактивов и материалов по качеству не ниже указанных в настоящем стандарте.
3.1, 3.2а. (Измененная редакция, Изм. N 2).
3.2. Определения массовой доли 3-водного уксуснокислого натрия
Определение проводят по ГОСТ 17444. При этом около 0,3000 г препарата помещают в коническую колбу вместимостью 100 см3, растворяют в 25 см3 уксусной кислоты и далее определение проводят методом визуального титрования в неводной среде.
Масса 3-водного уксуснокислого натрия, соответствующая 1 см3 уксуснокислого раствора хлорной кислоты молярной концентрации точно c(HClO4)=0,1 моль/дм3 (0,1 н.), - 0,01361 г.
(Измененная редакция, Изм. N 1, 2).
3.3. Определение массовой доли нерастворимых в воде веществ
3.3.1. Реактивы и посуда
Вода дистиллированная по ГОСТ 6709.
Стакан В(Н)-1-600 ТС по ГОСТ 25336.
Тигель фильтрующий ТФ-ПОР 10(16) ХС по ГОСТ 25336.
Цилиндр 1(2)-500-2 по ГОСТ 1770.
Чашка ЧВК-2-100 по ГОСТ 25336.
3.3.2. Проведение анализа
100,00 г препарата помещают в стакан и растворяют в 400 см3 воды. Стакан накрывают часовым стеклом или чашкой и выдерживают в течение 1 ч на водяной бане.
Затем раствор фильтруют через фильтрующий тигель, предварительно высушенный до постоянной массы и взвешенный, результат взвешивания в граммах записывают с точностью до четвертого десятичного знака. Остаток на фильтре промывают 150 см3 горячей воды и сушат в сушильном шкафу при 105-110 °С до постоянной массы.
Препарат считают соответствующим требованиям настоящего стандарта, если масса остатка после высушивания не будет превышать:
для препарата чистый для анализа - 2 мг,
для препарата чистый - 5 мг.
Допускаемая относительная суммарная погрешность результата анализа ±30% при доверительной вероятности P=0,95.
3.3.1, 3.3.2. (Измененная редакция, Изм. N 1, 2).
3.4. Определение массовой доли кислот в пересчете на уксусную кислоту и массовой доли щелочей в пересчете на гидроокись натрия
(Измененная редакция, Изм. N 1).
3.4.1. Посуда, реактивы и растворы
Бюретка вместимостью 5 см3 и ценой деления 0,02 см3.
Колба Кн-1-100-14/23 по ГОСТ 25336.
Цилиндр 1(3)-50(100)-2 по ГОСТ 1770.
Вода дистиллированная, не содержащая углекислоты; готовят по ГОСТ 4517.
кислота соляная по ГОСТ 3118, раствор молярной концентрации c(HCl)=0,1 моль/дм3 (0,1 н.); готовят по ГОСТ 25794.1.
Натрия гидроокись по ГОСТ 4328, раствор молярной концентрации c(NaOH)=0,1 моль/дм3 (0,1 н.); готовят по ГОСТ 25794.1.
Фенолфталеин (индикатор), спиртовой раствор с массовой долей 1%; готовят по ГОСТ 4919.1.
3.4.2. Проведение анализа
10,00 г препарата помещают в коническую колбу вместимостью 100 см3, растворяют в 50 см3 воды и прибавляют три капли раствора фенолфталеина. Если при этом раствор остается бесцветным, то прибавляют по каплям из бюретки раствор гидроокиси натрия до появления розовой окраски. Если же раствор окрашен в розовый цвет, то прибавляют по каплям из бюретки раствор соляной кислоты до исчезновения розовой окраски.
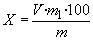
Массовую долю кислот в пересчете на уксусную кислоту (CH3COOH) или массовую долю щелочей в пересчете на гидроокись натрия (NaOH) (X) в процентах вычисляют по формуле
где V - объем раствора гидроокиси натрия молярной концентрации точно 0,1 моль/дм3 или раствора соляной кислоты молярной концентрации точно 0,1 моль/дм3 израсходованный на титрование, см3;
m - масса навески препарата, г;
m1 - масса CH3COOH (0,006) или NaOH (0,004), соответствующая 1 см3 раствора гидроокиси натрия молярной концентрации точно 0,1 моль/дм3 или раствора соляной кислоты молярной концентрации точно 0,1 моль/дм3, г.
За результат анализа принимают среднее арифметическое результатов двух параллельных определений, абсолютное расхождение между которыми не превышает допускаемое расхождение, равное 0,004%.
Допускаемая абсолютная суммарная погрешность результата анализа ±0,002% при доверительной вероятности P=0,95.
3.4.1, 3.4.2. (Измененная редакция, Изм. N 2).
3.5. Определение массовой доли сульфатов
Определение проводят по ГОСТ 10671.5. При этом 2,00 г препарата помещают в коническую колбу вместимостью 50 или 100 см3 (с меткой на 25 см3) и растворяют в 15 см3 воды. Затем прибавляют 0,1 см3 раствора 2,4-динитрофенола с массовой долей 0,1% (готовят по ГОСТ 4919.1) и по каплям, постоянно перемешивая, - раствор соляной кислоты до обесцвечивания раствора. Если раствор мутный, его фильтруют через обеззоленный фильтр "синяя лента", промытый горячей водой. Затем объем раствора доводят водой до 25 см3 и далее определение проводят фототурбидиметрическим или визуально-нефелометрическим (способ 1) методом.
Препарат считают соответствующим требованиям настоящего стандарта, если масса сульфатов не будет превышать:
для препарата чистый для анализа - 0,02 мг,
для препарата чистый - 0,04 мг.
При разногласиях в оценке массовой доли сульфатов анализ проводят фототурбидиметрическим методом.
(Измененная редакция, Изм. N 1).
3.6. Определение массовой доли фосфатов
Определение проводят по ГОСТ 10671.6. При этом 10,00 г препарата помещают в цилиндр с пришлифованной пробкой (ГОСТ 1770) вместимостью 50 см3 и растворяют в 7,5 см3 раствора азотной кислоты с массовой долей 50%. Объем раствора доводят водой до 15 см3 перемешивают и далее определение проводят фотометрически по желтой окраске фосфорнованадиевомолибденового комплекса.
Препарат считают соответствующим требованиям настоящего стандарта, если масса фосфатов не будет превышать:
для препарата чистый для анализа - 0,02 мг,
для препарата чистый - 0,10 мг.
Допускается заканчивать определение визуально с извлечением фосфорнованадиевомолибденового комплекса в слой изоамилового спирта (5 см3).
Одновременно в тех же условиях и с теми же количествами реактивов проводят контрольный опыт. При обнаружении примеси фосфатов в результат анализа вносят поправку.
При разногласиях в оценке массовой доли фосфатов определение заканчивают фотометрически.
3.7. Определение массовой доли хлоридов
Определение проводят по ГОСТ 10671.7. При этом 2,00 г препарата помещают в мерную (при определении фототурбидиметрическим методом) или коническую колбу вместимостью 100 см3 с меткой на 40 см3 (при определении визуально-нефелометрическим методом) и растворяют в 30 см3 воды. Затем прибавляют 3,5 см3 раствора азотной кислоты с массовой долей 25%, нагревают до кипения и охлаждают. Если раствор мутный, его фильтруют через обеззоленный фильтр "синяя лента", предварительно промытый горячим раствором азотной кислоты с массовой долей 1%. Далее определение проводят фототурбидиметрическим или визуально-нефелометрическим методом, не прибавляя раствор азотной кислоты.
Препарат считают соответствующим требованиям настоящего стандарта, если масса хлоридов не будет превышать:
для препарата чистый для анализа - 0,020 мг,
для препарата чистый - 0,020 мг.
Одновременно в тех же условиях и с теми же количествами реактивов проводят контрольный опыт. При обнаружении примеси хлоридов в результат анализа вносят поправку.
При разногласиях в оценке массовой доли хлоридов анализ проводят фототурбидиметрическим методом.
3.6, 3.7 (Измененная редакция, Изм. N 1, 2).
3.8. Определение массовой доли алюминия
3.8.1. Посуда, реактивы и растворы
Колба Кн-2-50-18(22) по ГОСТ 25336
Пипетки вместимостью 1 или 2 см3 и пипетки вместимостью 5 или 10 см3.
Цилиндр 1(3)-25-2 по ГОСТ 1770.
Алюминон, раствор с массовой долей 0,1%; готовят по ГОСТ 4517 не ранее чем за 1 ч до определения (годен в течение 5 сут).
аммиак водный по ГОСТ 3760, раствор с массовой долей 10%, готовят по ГОСТ 4517.
Аммоний углекислый по ГОСТ 3770, х.ч., раствор; готовят следующим образом: к 20 г углекислого аммония прибавляют 20 см3 раствора аммиака, 40 см3 воды, растворяют при слабом нагревании, доводят объем раствора водой до 100 мл и перемешивают.
Аммоний уксуснокислый по ГОСТ 3117, раствор с массовой долей 5%, проверенный на отсутствие алюминия в условиях приготовления раствора сравнения.
Кислота уксусная по ГОСТ 61, х.ч. ледяная.
Раствор, содержащий Аl; готовят по ГОСТ 4212, соответствующим разбавлением готовят раствор массовой концентрации 0,01 мг/см3 Аl.
(Измененная редакция, Изм. N 1, 2).
3.8.2. Проведение анализа
2,00 г препарата помещают в коническую колбу, растворяют 20 см3 воды, прибавляют при перемешивании 0,4 см3 уксусной кислоты, 2 см3 раствора алюминона и перемешивают. Через 5 мин прибавляют 10 см3 раствора углекислого аммония и снова перемешивают.
Препарат считают соответствующим требованиям настоящего стандарта, если наблюдаемая через 10 мин окраска анализируемого раствора не будет интенсивнее окраски раствора, приготовленного одновременно с анализируемым следующим образом: к 5,3 см3 воды, содержащим:
для препарата чистый для анализа - 0,01 мг Аl,
для препарата чистый - 0,02 мг Аl,
прибавляют 15 см3 раствора уксуснокислого аммония, 0,1 см3 уксусной кислоты и 2 см3 раствора алюминона. Через 5 мин прибавляют 10 см3 раствора углекислого аммония и перемешивают.
(Измененная редакция, Изм. N1).
3.9. Определение массовой доли железа
Определение проводят по ГОСТ 10555. При этом 5,00 г препарата помещают в стакан вместимостью 100 см3 и растворяют в 20 см3 воды. Затем прибавляют 6 см3 раствора соляной кислоты с массовой долей 25% (ГОСТ 3118), нагревают до кипения и кипятят 2-3 мин. Раствор охлаждают, осторожно нейтрализуют водным аммиаком (ГОСТ 3760) по универсальной индикаторной бумаге до pH 2, прибавляют 0,1 см3 раствора уксусной кислоты и далее определение проводят 1,10-фенантролиновым методом.
Препарат считают соответствующим требованиям настоящего стандарта, если масса железа не будет превышать:
для препарата чистый для анализа - 0,010 мг,
для препарата чистый - 0,025 мг.
Одновременно в тех же условиях и с теми же количествами реактивов проводят контрольный опыт. При обнаружении примеси железа в результат анализа вносят поправку.
Допускается заканчивать определение визуально.
При разногласиях в оценке массовой доли железа определение заканчивают фотометрически.
3.10. Определение массовой доли кальция (химический метод)
3.9, 3.10 (Измененная редакция, Изм. N 1).
3.10.1. Посуда, реактивы и растворы
Пипетки вместимостью 1 или 2 см и пипетки вместимостью 5 или 10 см3.
Пробирка П4-25-14/23 по ГОСТ 25336.
Мурексид, раствор с массовой долей 0,05% (годен в течение 2 суток).
Натрия гидроокись по ГОСТ 4328, раствор концентрации c(NaOH)=0,5 моль/дм3 (0,5 н.); готовят по ГОСТ 25794.1.
Раствор, содержащий Ca, готовят по ГОСТ 4212, соответствующим разбавлением готовят раствор массовой концентрации 0,01 мг/см3 Ca.
(Измененная редакция, Изм. N 1, 2).
3.10.2. Проведение анализа
0,60 г препарата помещают в пробирку, растворяют в 5 см3 воды, прибавляют 2 см3 раствора гидроокиси натрия и 1 см3 раствора мурексида, тщательно перемешивая раствор после прибавления каждого реактива.
Препарат считают соответствующим требованиям настоящего стандарта, если наблюдаемая через 1-2 мин в проходящем свете на фоне молочного стекла розовато-фиолетовая окраска анализируемого раствора по розовому оттенку не будет интенсивнее окраски раствора, приготовленного одновременно с анализируемым и содержащего в таком же объеме:
для препарата чистый для анализа - 0,009 мг Ca,
для препарата чистый - 0,015 мг Ca,
2 см3 раствора гидроокиси натрия и 1 см3 раствора мурексида.
Окраска раствора устойчива в течение 10 мин.
При разногласиях в оценке массовой доли кальция определение проводят атомно-абсорбционным методом.
(Измененная редакция, Изм. N 1).
3.11. Определение массовой доли магния (химический метод)
(Измененная редакция, Изм. N 1).
3.11.1. Посуда, реактивы и растворы
Пипетки вместимостью 1 и 2 см3 и пипетки вместимостью 5 или 10 см3.
Пробирка П4-25-14/23 ХС по ГОСТ 25336.
Вода дистиллированная по ГОСТ 6709.
Натрия гидроокись по ГОСТ 4328, раствор с массовой долей 30%, готовят по ГОСТ 4517.
Раствор, содержащий Mg; готовят по ГОСТ 4212, соответствующим разбавлением готовят раствор массовой концентрации 0,01 мг/см3 Mg .
Титановый желтый, раствор с массовой долей 0,05%.
(Измененная редакция, Изм. N 1, 2).
3.11.2. Проведение анализа
2,00 г препарата помещают в пробирку, растворяют в 6 см3 воды, доводят объем раствора водой до 8 см3 и перемешивают. Затем прибавляют 0,2 см3 раствора титанового желтого и 2 см3 раствора гидроокиси натрия, тщательно перемешивая раствор после прибавления каждого реактива.
Препарат считают соответствующим требованиям настоящего стандарта, если наблюдаемая через 10 мин по оси пробирки розовая окраска анализируемого раствора не будет интенсивнее окраски раствора, приготовленного одновременно с анализируемым и содержащего в таком же объеме:
для препарата чистый для анализа - 0,005 мг Mg,
для препарата чистый - 0,010 мг Mg,
0,2 см3 раствора титанового желтого и 2 см3 раствора гидроокиси натрия.
При разногласиях в оценке массовой доли магния определение проводят атомно-абсорбционным методом.
(Измененная редакция, Изм. N 1).
3.11а. Определение массовой доли кальция и магния (атомно-абсорбционный метод)
3.11а.1. Аппаратура, посуда, реактивы и растворы
Спектрофотометр "Сатурн" или другой с аналогичными метрологическими характеристиками.
Колбы 2-100-2 по ГОСТ 1770.
Пипетки вместимостью 1 или 2 см3 и пипетки вместимостью 5 или 10 см3
Ацетилен растворенный технический по ГОСТ 5457.
Воздух сжатый для питания контрольно-измерительных приборов.
Вода дистиллированная по ГОСТ 6709, вторично перегнанная в кварцевом дистилляторе или деминерализованная.
кислота соляная особой чистоты по ГОСТ 14261, раствор молярной концентрации c(HCl)=0,001 моль/дм3 (0,001 н).
Раствор, содержащий Ca; готовят по ГОСТ 4212. Соответствующим разбавлением водой готовят раствор, массовой концентрации 0,1 мг/см3 Ca (раствор А).
Раствор, содержащий Mg; готовят по ГОСТ 4212. Соответствующим разбавлением раствором соляной кислоты готовят раствор массовой концентрации 0,01 мг/см3 Mg (раствор Б).
Натрий уксуснокислый 3-водный, не содержащий примесей кальция и магния, или с минимальным их содержанием, определяемым методом добавок и учитываемым при построении градуировочного графика.
(Измененная редакция, Изм.N 2).
3.11а.2. Приготовление анализируемого раствора
5,00 г препарата помещают в мерную колбу, растворяют в воде, доводят объем раствора водой до метки и тщательно перемешивают.
3.11а.3. Приготовление растворов сравнения
Для приготовления каждого раствора сравнения 5,00 г 3-водного уксуснокислого натрия помещают в мерную колбу, растворяют в воде и добавляют указанные в табл.2 объемы растворов А и Б. Объем каждого раствора доводят водой до метки и тщательно перемешивают.
Таблица 2
3.11а.4. Проведение анализа
Массовую долю кальция определяют в режиме эмиссии, используя аналитическую линию 422,7 нм.
Для анализа берут не менее двух навесок препарата.
После подготовки прибора в соответствии с прилагаемой к нему инструкцией по эксплуатации проводят фотометрирование анализируемого раствора и растворов сравнения в порядке возрастания содержания примеси. Затем проводят фотометрирование в обратной последовательности и вычисляют среднее арифметическое показаний для каждого раствора, учитывая в качестве поправки отсчет, полученный при фотометрировании первого раствора сравнения. После каждого измерения распыляют воду.
Массовую долю магния определяют по ГОСТ 22001.
3.11а.5. Обработка результатов
По полученным данным для растворов сравнения строят градуировочный график, откладывая интенсивность излучения на оси ординат, массовую долю примеси кальция в пересчете на препарат на оси абсцисс.
Массовую долю кальция в препарате находят по графику.
За результат анализа принимают среднее арифметическое результатов двух параллельных определений, относительное расхождение между которыми не превышает допускаемое расхождение, равное 20%.
Допускаемая относительная суммарная погрешность результата анализа ±10% при доверительной вероятности P=0,95.
Массовую долю магния в препарате находят по ГОСТ 22001.
3.11а.2-3.11а.5. (Введены дополнительно, Изм. N 1).
3.12. Определение массовой доли мышьяка
Определение проводят по ГОСТ 10485. При этом 2,00 г препарата помещают в колбу прибора для определения мышьяка, растворяют в 30 см3 воды и далее определение проводят методом с применением бромнортутной бумаги в сернокислой среде.
Препарат считают соответствующим требованиям настоящего стандарта, если окраска бромнортутной бумаги при взаимодействии с анализируемым раствором не будет интенсивнее окраски бромнортутной бумаги при взаимодействии с раствором, приготовленным одновременно с анализируемым и содержащим в таком же объеме:
для препарата чистый для анализа - 0,001 мг As,
20 мл раствора серной кислоты, 0,5 мл раствора 2-водного хлорида олова (II) и 5 г цинка.
(Измененная редакция, Изм. N 2).
3.13. Определение массовой доли тяжелых металлов
Определение проводят по ГОСТ 17319. При этом 5,00 г препарата помещают в коническую колбу (с пришлифованной или резиновой пробкой), растворяют в 35 см3 воды и далее определение проводят сероводородным методом, прибавляя 2 см3 уксусной кислоты, 5 см3 сероводородной воды и не прибавляя раствор уксуснокислого аммония.
Препарат считают соответствующим требованиям настоящего стандарта, если наблюдаемая через 10 мин окраска анализируемого раствора не будет интенсивнее окраски раствора, приготовленного одновременно с анализируемым и содержащего в таком же объеме:
для препарата чистый для анализа - 0,025 мг Pb,
для препарата чистый - 0,050 мг Pb,
2 см3 уксусной кислоты и 5 см3 сероводородной воды.
3.12, 3.13. (Измененная редакция, Изм. N 1).
3.13.1-3.14.3. (Исключены, Изм. N 1).
4. УПАКОВКА, МАРКИРОВКА, ТРАНСПОРТИРОВАНИЕ И ХРАНЕНИЕ
4.1. Препарат упаковывают и маркируют в соответствии с ГОСТ 3885.
Вид и тип тары: 2-1, 2-2, 2-4, 2-9.
Группа фасовки: IV, V, VI.
На транспортную тару наносят манипуляционные знаки: "Верх" и "Хрупкое". Осторожно" (для стеклянной потребительской тары) по ГОСТ 14192.
(Измененная редакция, Изм. N 1, 2).
4.2. Препарат перевозят всеми видами транспорта в соответствии с правилами перевозки грузов, действующими на данном виде транспорта.
4.3. Препарат хранят в упаковке изготовителя в крытых складских помещениях.
5. ГАРАНТИИ ИЗГОТОВИТЕЛЯ
5.1. Изготовитель гарантирует соответствие 3-водного уксуснокислого натрия требованиям настоящего стандарта при соблюдении условий транспортирования и хранения.
5.2. Гарантийный срок хранения препарата - три года со дня изготовления.
5.1, 5.2. (Измененная редакция, Изм. N 1).
6. ТРЕБОВАНИЯ БЕЗОПАСНОСТИ
6.1. 3-водный уксуснокислый натрий действует раздражающе на кожные покровы и слизистые оболочки глаз и дыхательных путей.
6.2. При работе с препаратом следует применять средства индивидуальной защиты.
(Измененная редакция, Изм. N 2).
6.3. Помещения, в которых проводятся работы с препаратом, должны быть оборудованы непрерывно действующей приточно-вытяжной вентиляцией.
Анализ препарата следует проводить в вытяжном шкафу лаборатории.
(Измененная редакция, Изм. N 1, 2).
ПРИЛОЖЕНИЕ 1 (обязательное). ИСО 6353-2-82. Реактивы для химического анализа. Часть 2. Технические условия. Первая серия
ПРИЛОЖЕНИЕ 1
Обязательное
Реактивы для химического анализа.
Часть 2. Технические условия. Первая серия
Р29. Натрий уксуснокислый 3-водный CH3COONa*3H2O
Относительная молекулярная масса - 136,08
Р29.1. Технические требования
Р29.2. Приготовление испытуемого раствора
Растворяют 20 г образца в 100 см3 воды и разбавляют до 200 см3.
Р29.3. Проведение анализа
Р29.3.1. Определение массовой доли 3-водного уксуснокислого натрия
Около 0,4 г образца взвешивают с точностью до 0,0001 г и растворяют в 25 см3 уксусной кислоты.
К полученному раствору прибавляют 0,4 см3 уксуснокислого раствора 1-нафтолбензола с массовой долей 0,1% и титруют раствором хлорной кислоты молярной концентрации точно c(HClO4)=0,1 моль/дм3, в присутствии уксусной кислоты до появления зеленой окраски.
1,00 см3 раствора хлорной кислоты молярной концентрации c(HClO4)=0,100 моль/дм3 соответствует 0,01361 г CH3COONa*3H2O.
Р29.3.2. Определение pH раствора с массовой долей 5%.
Определение проводят в соответствии с ОМ 31.1* с использованием стеклянного индикаторного электрода.
__________________
* Общие методы анализа (ОМ) - по ИСО 6353-1-82.
Р29.3.3. Определение массовой доли хлоридов
Берут 20 см3 испытуемого раствора (Р29.2) и анализируют в соответствии с ОМ 2*, используя вместо раствора азотной кислоты с массовой долей 25% 1 см3 азотной кислоты.
__________________
* Общие методы анализа (ОМ) - по ИСО 6353-1-82.
Готовят контрольный раствор, используя 1 см3 хлоридного раствора сравнения II (1 см3 = 0,0005% Cl).
Хлоридный раствор сравнения II готовят непосредственно перед употреблением разбавлением в мерной колбе основного раствора в соотношении 1:100. Основной раствор готовят следующим образом: 1,65 г NaCl растворяют в воде, разбавляют водой до метки в мерной колбе вместимостью 1000 см3 и перемешивают.
Р29.3.4. Определение массовой доли фосфатов
Берут 20 см3 испытуемого раствора (Р29.2), прибавляют 50 см3 воды и анализируют в соответствии с ОМ 4*.
__________________
* Общие методы анализа (ОМ) - по ИСО 6353-1-82.
Готовят контрольный раствор, используя 1,5 см3 фосфатного раствора сравнения II (1,5 см3= 0,0005% PO4).
Фосфатный раствор сравнения II готовят непосредственно перед употреблением разбавлением в мерной колбе основного раствора в соотношении 1:100. Основной раствор готовят следующим образом: 1,43 г KHPO4 растворяют в воде, разбавляют водой до метки в мерной колбе вместимостью 1000 см3 и перемешивают.
Р29.3.5. Определение массовой доли сульфатов
Берут 20 см3 испытуемого раствора (Р29.2) и анализируют в соответствии с ОМ З*.
__________________
* Общие методы анализа (ОМ) - по ИСО 6353-1-82.
Готовят контрольный раствор, используя 4 см3 сульфатного раствора сравнения II (4 см3 = 0,002% SO4).
Сульфатный раствор сравнения II готовят непосредственно перед употреблением разбавлением в мерной колбе основного раствора в соотношении 1:100. Основной раствор готовят следующим образом: 1,81 г KSO4 растворяют в воде, разбавляют водой до метки в мерной колбе вместимостью 1000 см3 и перемешивают.
Р29.3.6. Определение массовой доли алюминия
Берут 15 см3 испытуемого раствора (Р.29.2) и анализируют в соответствии с ОМ 9*.
__________________
* Общие методы анализа (ОМ) - по ИСО 6353-1-82.
Готовят контрольный раствор, используя 5 см3 испытуемого раствора (Р29.2) и 0,5 см алюминий содержащего раствора сравнения II (0,5 см3 = 0,0005% All).
Алюминий содержащий раствор сравнения II готовят непосредственно перед употреблением разбавлением в мерной колбе основного раствора в соотношении 1:100. Основной раствор готовят следующим образом: смесь 17,60 г KAl(SO4)2*12H2O и 10 см3 H2SO4 с массовой долей 25% растворяют в воде, разбавляют водой до метки в мерной колбе вместимостью 1000 см3 и перемешивают.
Р29.3.7. Определение массовой доли кальция
Определение проводят методом атомно-абсорбционной спектроскопии в соответствии с ОМ 29* при следующих условиях:
__________________
* Общие методы анализа (ОМ) - по ИСО 6353-1-82.
Р29.3.8. Определение массовой доли меди и свинца
Определение проводят методом анодной растворяющей вольтамперометрии в соответствии с ОМ 33* при использовании раствора 1 г образца в 25 см раствора серной кислоты с молярной концентрацией точно c(1/2H2SO4)=1 моль/дм3.
__________________
* Общие методы анализа (ОМ) - по ИСО 6353-1-82.
Р29.3.9. Определение массовой доли железа
Берут 25 см3 испытуемого раствора (Р29.2), нейтрализованного раствором соляной кислоты с массовой долей 25%, и анализируют в соответствии в ОМ 8.1*.
__________________
* Общие методы анализа (ОМ) - по ИСО 6353-1-82.
Готовят контрольный раствор, используя 5 см3 испытуемого раствора (Р29.2) и 1 см3 железосодержащего раствора сравнения II (1 см3 = 0,0005% Fe).
Железосодержащий раствор сравнения II готовят непосредственно перед употреблением разбавлением в мерной колбе основного раствора в соотношении 1:100. Основной раствор готовят следующим образом: смесь 8,63 г NH4Fe(SO4)2*12H2O и 10 см3 раствора H2SO4 с массовой долей 25% растворяют в воде, разбавляют водой до метки в мерной колбе вместимостью 1000 см3 и перемешивают.
Р29.3.10. Определение массовой доли калия
Определение проводят методом пламенной фотометрии в соответствии с ОМ 30* при следующих условиях:
__________________
* Общие методы анализа (ОМ) - по ИСО 6353-1-82.
Р 29.3.11. Определение массовой доли веществ, восстанавливающих
Растворяют 10 г образца в 100 см3 воды, прибавляют 1 см3 раствора марганцовокислого калия с молярной концентрацией точно c(1/5KMnO4)=0,1 моль/дм3, кипятят в течение 5 мин и охлаждают.
Розовая окраска раствора не должна исчезнуть полностью. Прибавляют 2 г йодистого калия и 20 см3 раствора серной кислоты с массовой долей 20% и титруют раствором серноватистокислого натрия с молярной концентрацией точно c(Na2S2O3) =0,1 моль/дм3 до обесцвечивания раствора. Одновременно проводят контрольное определение, используя те же количества всех реактивов, кроме раствора серноватистокислого натрия точной концентрации, исключая анализируемый образец.
Объем требуемого титранта, после учета контрольного опыта, не должен превышать 0,25 см3.
ПРИЛОЖЕНИЕ 2 (обязательное). ИСО 6353-1-82. Реактивы для химического анализа. Часть 1. Общие методы испытаний
ПРИЛОЖЕНИЕ 2
Обязательное
ИСО 6353-1-82
Реактивы для химического анализа
Часть 1. Общие методы испытаний
5.2. Определение массовой доли хлоридов (ОМ 2)
Указанный объем испытуемого раствора (Р29.3.3) подкисляют 1 см3 раствора азотной кислоты с массовой долей 25% и добавляют 1 см3 раствора нитрата серебра с массовой долей приблизительно 1,7%.
Через 2 мин сравнивают опалесценцию анализируемого раствора с опалесценцией контрольного раствора.
5.3. Определение массовой доли сульфатов (ОМ 3)
0,25 см3 раствора сульфата калия с массовой долей 0,02% в этаноле с объемной долей 30% смешивают с 1 см3 раствора дигидрата хлорида бария с массовой долей 25% (затравочный раствор). Ровно через 1 мин к этой смеси добавляют указанный объем испытуемого раствора (Р29.3.5), предварительно подкисленный 0,5 см3 раствора соляной кислоты с массовой долей 20%.
Смеси дают стоять 5 мин и сравнивают ее помутнение с помутнением смеси, полученной при аналогичной обработке соответствующего контрольного раствора.
5.4. Определение массовой доли фосфатов (ОМ 4)
5 см3 раствора молибдата аммония с массовой долей 10% добавляют к указанному объему испытуемого раствора (Р29.3.4). Доводят pH раствора до 1,8 и нагревают до кипения. Охлаждают, добавляют 12,5 см3 раствора соляной кислоты с массовой долей 15% и экстрагируют 20 см3 диэтилового эфира. Органический слой промывают раствором соляной кислоты с массовой долей 5% и восстанавливают молибденофосфатный комплекс добавлением 0,2 см3 раствора 2-водного хлорида олова (II) с массовой долей 2% в растворе соляной кислоты. Сравнивают интенсивность окраски полученного органического слоя с интенсивностью окраски органического слоя, полученного при аналогичной обработке соответствующего контрольного раствора.
5.8. Определение массовой доли железа (ОМ 8.1)
Определение проводят с использованием 1,10-фенантролина, следуя указаниям ГОСТ 10555.
5.9. Определение массовой доли алюминия (ОМ 9)
5.9.1. Приготовление реактива алюминон
0,25 г алюминона (аммониевая соль ауринтрикарбоновой кислоты) и 5 г аравийской камеди добавляют к 250 см3 воды и нагревают до растворения. В полученном растворе растворяют 87 г ацетата аммония.
Затем добавляют 145 см3 раствора соляной кислоты с массовой долей 15% и разбавляют водой до объема 500 см3. При необходимости раствор фильтруют. Раствор годен в течение месяца.
5.9.2. Методика анализа
Пробу с указанием объемом испытуемого раствора (Р29.3.6) нейтрализуют по лакмусу, добавляют 1 см3 раствора уксусной кислоты с массовой долей 30% и доводят pH раствора до 4,5 раствором аммиака с массовой долей 10%. Затем к полученному раствору добавляют 0,1 см3 тиоуксусной кислоты и 3 см3 реактива алюминона (п.5.9.1), нагревают при температуре около 100 °С в течение 10 мин и охлаждают.
Сравнивают интенсивность красной окраски с интенсивностью окраски раствора, полученного при аналогичной обработке соответствующего контрольного раствора.
5.29. Атомно-абсорбционная спектроскопия (ОМ 29)
5.29.1. Общие указания
Испытуемый образец или его раствор всасывается в высокотемпературное пламя, создаваемое смесью горючего газа и газа-окислителя, обеспечивающее испарение испытуемого образца и диссоциацию его молекул на атомы. Может быть использован прибор с беспламенным нагревом. Источник излучения, представляющий собой электронную лампу с полым катодом или безэлектродную разрядную трубку, активируемую микроволновым излучением, продуцирует излучение с длиной волны, соответствующей энергии возбуждения атомов испытуемого вещества. Атомы определяемого элемента поглощают определенную долю этого излучения, пропорциональную их количеству в основном (невозбужденном) состоянии, и это поглощение регистрируется подходящим атомно-абсорбционным спектрометром.
5.29.2. Методика анализа
Сущность метода, многообразие существующих приборов, обилие параметров, связанных с испытуемым образцом и с прибором, и множественность влияющих факторов не позволяют дать подробных инструкций.
Выбор методики определяется требуемой степенью точности. Следует принимать во внимание возможность возникновения помех от пламенных и беспламенных источников нагрева. Если прибор укомплектован пламенным источником нагрева, определение проводят, используя водные растворы испытуемых веществ, слегка подкисленные азотной или соляной кислотой.
В целях учета эффектов раствора рекомендуется пользоваться методом добавок. Этот метод состоит в том, что определение осуществляют для серии (размер которой зависит от требуемой точности, но не меньше двух) аликвот испытуемого раствора, к которым добавлены известные количества определяемого вещества.
Длины волн, соответствующего резонансным линиям, и другая специальная информация приводятся в описаниях, относящихся к определенному конкретному реактиву.
5.30. Пламенная фотометрия (ОМ 30)
5.30.1. Общие указания
Этот метод основан на измерении интенсивности светового излучения испускаемого некоторыми атомами при переходе из возбужденного состояния в состояние с более низкой энергией. Атомы переходят в возбужденное состояние в пламени, создаваемом смесью горючего газа и газа-окислителя. Интенсивность испускаемого атомами излучения измеряют с помощью подходящей фотометрической системы с монохроматором или с фильтрами.
Примечание. Могут быть использованы отличные от указанных в описаниях смеси газов для пламени, при этом может возникнуть необходимость соответственно изменить рекомендованные в этих же описаниях концентрации растворов.
5.30.2. Методика анализа
Методика сходна с методикой атомно-абсорбционной спектроскопии. Условия для каждого конкретного анализа можно найти в описаниях, касающихся анализируемого реактива.
5.31.1. Определение рН (ОМ 31.1)
5.31.1.1. Общие положения
Рассмотрим гальванический элемент: электрод сравнения - насыщенный раствор KCl - раствор Rlpt*H2.
Для буферных растворов R1 и R2 с известными значениями pH, соответственно pHR1 и pHR2, измеренные значения разности потенциалов составляют соответственно E1 и E2.
Если раствор в рассматриваемом гальваническом элементе заменить исследуемым раствором с неизвестным pH, то по различию измеренных значений потенциалов можно рассчитать pH исследуемого раствора.
Если все измерения проведены при одной и той же температуре и при неизменной концентрации раствора хлорида калия, pH исследуемого раствора может быть рассчитан по следующим формулам
где Eис - электродвижущая сила гальванического элемента с исследуемым раствором;
S - угловой коэффициент:
5.31.1.2. Аппаратура
pH-метр со стеклянным электродом, соединенным с милливольтметром с большим сопротивлением и со шкалой, откалиброванной в единицах pH. Такой прибор, регистрируя разность потенциалов между pH-чувствительным электродом (стеклянным, сурьмяным) и электродом сравнения, соединенным электролитическим мостиком (например, насыщенный раствор KHl), дает возможность непосредственно считывать со шкалы значения pH.
5.31.1.3. Калибровка
pH-метр калибруют, используя буферные растворы с известной активностью ионов водорода, например:
а) оксалатный буферный раствор;
б) тартратный буферный раствор;
в) фталатный буферный раствор;
г) фосфатный буферный раствор;
д) боратный буферный раствор;
е) буферный раствор гидроксида кальция.
В табл.3 приведены значения pH вышеперечисленных буферных растворов в интервале температур 15-35 °С.
Таблица 3
5.31.1.4. Методика анализа
Готовят анализируемый раствор (кроме тех случаев, когда анализируют непосредственно сам реактив) заданной концентрации, применяя воду, свободную от двуокиси углерода.
Одновременно готовят два буферных раствора, среднее значение pH которых примерно равно предполагаемому значению pH анализируемого pacтвора. Температуру всех трех растворов, а также ячейки прибора устанавливают равной (25±1) °С.
Прибор калибруют с помощью двух буферных растворов, промывая измерительный электрод перед измерением буферным раствором.
После промывания электрода водой и анализируемым раствором измеряют pH анализируемого раствора.
Для получения точных результатов необходимо повторять измерения с различными порциями анализируемого раствора без промывания электрода между последовательными измерениями до тех пор, пока значение pH не будет сохраняться постоянным в течение 1 мин.
5.33. Вольтамперометрия анодного растворения (инверсионная вольтамперометрия) (ОМ 33)
5.33.1. Общие указания
Вольтамперометрия анодного (или катодного) растворения или инверсионная вольтамперометрия применяется для определения следов ионов, в особенности ионов тяжелых металлов. В этом методе используется стационарный электрод, который может представлять собой висящую каплю ртути или твердый электрод, изготовленный, например, из углерода или из платины.
Определяемые вещества сначала осаждают на стационарном электроде из перемешиваемого анализируемого раствора, прикладывая к электроду постоянный потенциал. В случае анализа катионов тяжелых металлов они соответственно восстанавливаются до металла, образуя амальгамы на поверхности висящей ртутной капли. На этой стадии происходит концентрирование определяемых веществ на электроде.
Затем знак потенциала электрода меняют на обратный (для анализа ионов тяжелых металлов с отрицательного на положительный) и постепенно увеличивают по абсолютной величине со временем. По мере перехода металлов в форме ионов с поверхности электрода в раствор снимают график зависимости силы тока от напряжения, пики на котором соответствуют концентрациям анализируемых ионов. Каждый металл характеризуется определенной величиной потенциала, при которой он переходит в виде ионов в раствор, а высота пика пропорциональна концентрации ионов этого металла в растворе (при условии постоянства условий анализа).
5.33.2. Методика анализа
Готовят раствор для анализа, содержащий указанное количество поддерживающего электролита в соответствии с описанием анализа данного конкретного реактива. Полученный раствор помещают в чистый полярографический стакан. В стакан вносят стержень магнитной мешалки и проводят перемешивание с постоянной скоростью. В раствор вводят электроды и пропускают через раствор очищенный азот в течение 5 мин. Устанавливают соответствующую исходную разность потенциалов между рабочим электродом и электродом сравнения и проводят электролиз в течение необходимого времени. Подробности проведения анализа можно найти в описании, относящемся к данному конкретному реактиву.
Приложения 1 и 2 (Введены дополнительно, Изм. N 2).
Текст документа сверен по:
официальное издание
М.: ИПК Издательство стандартов, 1997