Новости Нефтегазовая пром.
Выставки Наука и технология


Натрий тетраборнокислый 10-водный. Реактивы ГОСТ 4199-76

Натрий тетраборнокислый 10-водный. Реактивы. Технические условия (с Изменениями N 1, 2) ГОСТ 4199-76 (СТ СЭВ 1751-79) 


ГОСТ 4199-76
(СТ СЭВ 1751-79)

Группа Л51

ГОСУДАРСТВЕННЫЙ СТАНДАРТ СОЮЗА ССР

Реактивы

Натрий тетраборнокислый 10-ВОДНЫЙ

Технические условия

Reagents. 10-aqueous sodium tetraborate.
Specifications



ОКП 26 2112 0930 08

Срок действия с 01.01.78
до 01.01.95*
_______________________________
* Ограничение срока действия снято
по протоколу N 4-93 Межгосударственного Совета
по стандартизации, метрологии и сертификации
(ИУС N 4, 1994 год).

ИНФОРМАЦИОННЫЕ ДАННЫЕ

1. РАЗРАБОТАН И ВНЕСЕН Министерством химической промышленности СССР

Яковлева Е.Н., Печникова Н.Д., Жарова И.В., Грязнов Г.В., Брудзь В.Г., Ротенберг И.Л.

2. УТВЕРЖДЕН И ВВЕДЕН В ДЕЙСТВИЕ Постановлением Государственного комитета стандартов Совета Министров СССР от 26.10.76 N 2396

3. Периодичность проверки - 5 лет

4. ВЗАМЕН ГОСТ 4199-66

5. Стандарт содержит все требования СТ СЭВ 1751-79.

6. ССЫЛОЧНЫЕ НОРМАТИВНО-ТЕХНИЧЕСКИЕ ДОКУМЕНТЫ

Обозначение НТД, на который дана ссылка

Номер пункта, подпункта

ГОСТ 1277-75

3.3.1

ГОСТ 1770-74

3.2.1, 3.4.1, 3.9.1

ГОСТ 3118-77

3.2.1, 3.3.1, 3.4.1

ГОСТ 3885-73-->ГОСТ 3885-73

2.1, 3.1, 4.1

ГОСТ 4212-76

3.9.1

ГОСТ 4517-87

3.4.1, 3.13

ГОСТ 4919.1-77

3.2.1

ГОСТ 6563-75

3.4.1

ГОСТ 6709-72-->ГОСТ 6709-72

3.2.1, 3.3.1, 3.4.1, 3.9.1, 3.12

ГОСТ 10485-75

3.10.1, 3.10.2, 3.10, 2.2

ГОСТ 10555-75

3.8

ГОСТ 10671.5-74

3.5

ГОСТ 10671.6-74

3.6

ГОСТ 10671.7-74

3.7

ГОСТ 17319-76

3.11

ГОСТ 19908-80

3.9.1

ГОСТ 20292-74

3.2.1, 3.4.1, 3.9.1

ГОСТ 24104-88

3.1а

ГОСТ 25336-82

3.2.1, 3.3.1

ГОСТ 25794.1-83

3.2.1

ГОСТ 27025-86

3.1а

7. Срок действия продлен до 01.01.95. Постановлением Госстандарта СССР от 16.06.87 N 2096.

8. ПЕРЕИЗДАНИЕ (февраль 1990 г.) с Изменениями N 1, 2, утвержденными в июле 1980 г., июне 1987 г. (ИУС 10-80, 9-87)

Настоящий стандарт распространяется на 10-водный тетраборнокислый натрий (бура), который представляет собой прозрачные бесцветные кристаллы или кристаллический порошок; растворим в воде: на воздухе выветривается.

Формула Na2B4O7·10H2O

Молекулярная масса (по международным атомным массам 1971 г.) - 381,36.

(Измененная редакция, Изм. N 1, 2).

1. ТЕХНИЧЕСКИЕ ТРЕБОВАНИЯ

1.1а. 10-водный тетраборнокислый натрий должен быть изготовлен в соответствии с требованиями настоящего стандарта по технологическому регламенту, утвержденному в установленном порядке.

(Введен дополнительно, Изм. N 2).

1.1. По физико-химическим показателям 10-водный тетраборнокислый натрий должен соответствовать требованиям и нормам, указанным в табл.1.

Таблица 1

Наименование показателя

Норма

Химически чистый (х.ч )
ОКП 26 2112
0933 05

Чистый для анализа (ч.д.а.)
ОКП 26 2112
0932 06

Чистый (ч.)
ОКП 26 2112
0931 07

1. Массовая доля 10-водного тетраборнокислого натрия (Na2B4O7·10H2O), %

99,5-100,6

99,5-101,0

99,5-102,5

2. Массовая доля не растворимых в соляной кислоте веществ, %, не более

0,003

0,005

0,020

3. Карбонаты (CO3)

Должен выдерживать испытание по п.3.4

4. Массовая доля сульфатов (SO4), %, не более

0,002

0,005

0,005

5. Массовая доля фосфатов (PO4), %, не более

0,001

0,001

0,010

6. Массовая доля хлоридов (Сl), %, не более

0,0005

0,0010

0,0050

7. Массовая доля железа (Fe), %, не более

0,0003

0,0005

0,0010

8. Массовая доля кальция (Ca), %, не более

0,002

0,005

Не нормируется

9. Массовая доля мышьяка (As), %, не более

0,0001

0,0002

0,0005

10. Массовая доля тяжелых металлов (Pb), %, не более

0,0005

0,0010

0,0020

11. Растворимость в воде

Должен выдерживать испытание по п.3.12

12. pH 4%-ного раствора препарата

9-9,6

9-10

Не нормируется


Примечание. Показатель 1 таблицы определяется на момент приемки у изготовителя.

(Измененная редакция, Изм. N 1, 2).

2а. ТРЕБОВАНИЯ БЕЗОПАСНОСТИ

2а.1. 10-водный тетраборнокислый натрий может вызывать раздражение кожных покровов и слизистых оболочек.

2а.2. При работе с препаратом следует применять индивидуальные средства защиты.

2а.3. Помещения, в которых проводятся работы с препаратом, должны быть оборудованы общей приточно-вытяжной механической вентиляцией. Анализ препарата следует проводить в вытяжном шкафу лаборатории.

Разд. 2а. (Введен дополнительно, Изм. N 2).

2. ПРАВИЛА ПРИЕМКИ

2.1. Правила приемки по ГОСТ 3885-73-->ГОСТ 3885-73.

3. МЕТОДЫ АНАЛИЗА

3.1а. Общие указания по проведению анализа - по ГОСТ 27025-86.

При взвешивании используют лабораторные весы по ГОСТ 24104-88 2-го класса точности с наибольшим пределом взвешивания 200 г и 3-го класса точности с наибольшими пределами взвешивания 500 г и 1 кг.

Допускается применение импортной лабораторной посуды и реактивов по качеству не ниже отечественных.

(Измененная редакция, Изм. N 2).

3.1. Пробы отбирают по ГОСТ 3885-73-->ГОСТ 3885-73. Масса средней пробы должна быть не менее 230 г.

3.2. Определение массовой доли 10-водного тетраборнокислого натрия

3.2.1. Реактивы, растворы и посуда

Вода дистиллированная по ГОСТ 6709-72-->ГОСТ 6709-72.

кислота соляная по ГОСТ 3118-77, раствор концентрации c(НСl)=0,1 моль/дм3 (0,1 н); готовят по ГОСТ 25794.1-83.
Метиловый оранжевый (индикатор), раствор с массовой долей 0,1%; готовят по ГОСТ 4919.1-77.

Бюретка 1-2-50-0,1 по ГОСТ 20292-74.

Колба Кн-1-250-14/23 ТС по ГОСТ 25336-82.

Стаканчик СВ-14/8 по ГОСТ 25336-82.

Цилиндр 1-50 по ГОСТ 1770-74.

3.2, 3.2.1. (Измененная редакция, Изм. N 2).

3.2.2. Проведение анализа

Около 0,5000 г препарата помещают в коническую колбу, растворяют в 50 см3 воды и титруют раствором соляной кислоты в присутствии 1-2 капель метилового оранжевого до перехода желтой окраски раствора в оранжево-розовую.

(Измененная редакция, Изм. N 1, 2).

3.2.3. Обработка результатов

Массовую долю 10-водного тетраборнокислого натрия (X) в процентах вычисляют по формуле где V - объем раствора соляной кислоты концентрации точно 0,1 моль/дм3, израсходованный на титрование, см3;
       m - масса навески препарата, г;

   0,01907 - масса 10-водного тетраборнокислого натрия, соответствующая 1 см3 раствора соляной кислоты концентрации точно 0,1 моль/дм3, г.

За результат анализа принимают среднее арифметическое результатов трех параллельных определений, абсолютное расхождение между которыми не превышает допускаемое расхождение, равное 0,4%, при доверительной вероятности P=0,95.

(Измененная редакция, Изм. N 2).

3.3. Определение массовой доли не растворимых в соляной кислоте веществ

3.3.1. Реактивы, растворы и посуда:

Вода дистиллированная по ГОСТ 6709-72-->ГОСТ 6709-72;

кислота соляная по ГОСТ 3118-77, раствор с массовой долей 25%;

Серебро азотнокислое по ГОСТ 1277-75, раствор с массовой долей 1,7%;

тигель фильтрующий по ГОСТ 25336-82, типа ТФ ПОР10 или ТФ ПОР16;

стакан В-1-600 ТС по ГОСТ 25336-82.

3.3.2. Проведение анализа

30,00 г препарата помещают в стакан и растворяют при нагревании в 450 см3 воды. К раствору прибавляют 25 см3 раствора соляной кислоты, нагревают в течение 1 ч на кипящей водяной бане и фильтруют через фильтрующий тигель, предварительно высушенный до постоянной массы и взвешенный (результат взвешивания записывают с точностью до четвертого десятичного знака).

Остаток на фильтре промывают горячей водой до отрицательной реакции на ион хлора (проба с раствором азотнокислого серебра) и сушат в сушильном шкафу при 105-110 °С до постоянной массы.

3.3-3.3.2. (Измененная редакция, Изм. N 2).

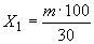
3.3.3. Обработка результатов

Массовую долю не растворимых в соляной кислоте веществ (X1) в процентах вычисляют по формуле где m - масса высушенного остатка, г.
За результат анализа принимают среднее арифметическое результатов двух параллельных определений, допускаемые расхождения между которыми не должны превышать 30% вычисляемой величины.

Допускается проводить определение методом сравнения массы остатка.

При этом препарат считают соответствующим требованиям настоящего стандарта, если масса после высушивания не будет превышать:

для препарата "химически чистый" - 0,9 мг,

для препарата "чистый для анализа" - 1,5 мг,

для препарата "чистый" - 6,0 мг.

При разногласиях в оценке массовых долей не растворимых в воде веществ обработку результатов проводят по формуле.

(Введен дополнительно, Изм. N 1).

3.4. Определение массовой доли карбонатов

3.4.1. Реактивы, растворы и посуда:

Вода дистиллированная по ГОСТ 6709-72-->ГОСТ 6709-72, не содержащая СO2; готовят по ГОСТ 4517-75;

кислота соляная по ГОСТ 3118-77, 25%-ный раствор;

пипетка 6(7)-2-5 по ГОСТ 20292-74;

цилиндр 1-50 по ГОСТ 1770-74;

чашка из платины, изделие N 118-3 по ГОСТ 6563-75.

(Измененная редакция, Изм. N 1, 2).

3.4.2. Проведение анализа

2,00 г препарата помещают в платиновую чашку, растворяют в 30 см3 воды при нагревании и постоянном перемешивании. Затем в горячий раствор осторожно по каплям прибавляют 5 см3 раствора соляной кислоты.

Препарат считают соответствующим требованиям настоящего стандарта, если для препарата "химически чистый" и "чистый для анализа" не будет наблюдаться выделения пузырьков газа; для препарата "чистый" допускается выделение незначительного количества пузырьков газа, но не шипение.

(Измененная редакция, Изм. N 2).

3.5. Определение массовой доли сульфатов

Определение проводят по ГОСТ 10671.5-74. При этом 1,00 г препарата помещают в коническую колбу вместимостью 50 см3 (с меткой на 25 см3), растворяют при нагревании в 20 см3 воды, раствор охлаждают, прибавляют одну каплю 0,2%-ного раствора паранитрофенола, нейтрализуют 10%-ным раствором соляной кислоты до исчезновения окраски раствора (если раствор мутный, его фильтруют через плотный обеззоленный фильтр, предварительно промытый горячей водой), доводят объем раствора водой до метки и далее определение проводят фототурбидиметрическим или визуально-нефелометрическим методом (способ 1).

Препарат считают соответствующим требованиям настоящего стандарта, если масса сульфатов не будет превышать:

для препарата "химически чистый" - 0,02 мг;

для препарата "чистый для анализа" - 0,05 мг;

для препарата "чистый" - 0,05 мг.

При разногласиях в оценке содержания сульфатов определение проводят фототурбидиметрическим методом.

3.6. Определение массовой доли фосфатов

Определение проводят по ГОСТ 10671.6-74. При этом 1,00 г препарата помещают в коническую колбу вместимостью 50 см3 (с меткой на 15 см3) и растворяют в 12 см3 воды при нагревании. Раствор охлаждают, нейтрализуют (по каплям) раствором азотной кислоты по универсальной индикаторной бумаге до pH 7 (проба на вынос), доводят объем раствора водой до метки и далее определение проводят фотометрическим методом по желтой окраске фосфорнованадиевомолибденового комплекса.

Препарат считают соответствующим требованиям настоящего стандарта, если масса фосфатов не будет превышать:

для препарата "химически чистый" - 0,01 мг;

для препарата "чистый для анализа" - 0,01 мг;

для препарата "чистый" - 0,10 мг.

Допускается заканчивать определение визуально.

При разногласиях в оценке содержания фосфатов определение заканчивают фотометрически.

3.7. Определение массовой доли хлоридов

Определение проводят по ГОСТ 10671.7-74. При этом 2,00 г препарата помещают в коническую колбу вместимостью 100 см3 и растворяют при нагревании в 35 см3 воды. Раствор охлаждают, прибавляют 4 см3 25%-ного раствора азотной кислоты. Если раствор мутный, его фильтруют через плотный беззольный фильтр, предварительно промытый горячим 1%-ным раствором азотной кислоты. Далее определение проводят фототурбидиметрическим (в объеме 50 см3) или визуально-нефелометрическим методом (в объеме 40 см3).

Препарат считают соответствующим требованиям настоящего стандарта, если содержание хлоридов не будет превышать:

для препарата "химически чистый" - 0,01 мг;

для препарата "чистый для анализа" - 0,02 мг;

для препарата "чистый" - 0,10 мг.

При разногласиях в оценке массовых долей хлоридов определение проводят фототурбидиметрическим методом.

3.8. Определение массовой доли железа

Определение проводят по ГОСТ 10555-75. При этом 2,00 г препарата помещают в коническую колбу вместимостью 100 см3 (с меткой на 50 см3), растворяют при нагревании в 40 см3 воды, прибавляют 3 см3 25%-ного раствора соляной кислоты и кипятят в течение 2 мин. Раствор охлаждают и далее определение проводят сульфосалициловым методом, не прибавляя раствора соляной кислоты.

Препарат считают соответствующим требованиям настоящего стандарта, если масса железа не будет превышать:

для препарата "чистый для анализа" - 0,010 мг,

для препарата "химически чистый" - 0,006 мг,

для препарата "чистый" - 0,020 мг.

Допускается заканчивать определение визуально.

Допускается проводить определение 2,2'-дипиридиловым методом по ГОСТ 10555-75.

При разногласиях в оценке массовой доли железа определение проводят сульфосалициловым методом и заканчивают его фотометрически.

3.5-3.8. (Измененная редакция, Изм. N 2).

3.9. Определение массовой доли кальция

3.9.1. Аппаратура, посуда, реактивы и растворы:

спектрофотометр для пламени типа "Сатурн" или ИСП-51 с фотоэлектрической приставкой ФЭП-1;

фотоумножители типа ФЭУ-38 или другого типа, чувствительные в видимой области спектра;

ацетилен растворенный и газообразный технический по ГОСТ 5457-75;

воздух сжатый для питания контрольно-измерительных приборов;

горелка;

распылитель;

колба 2-100-2 по ГОСТ 1770-74;

пипетки 6(7)-2-5(10) по ГОСТ 20292-74;

чаша кварцевая 100 по ГОСТ 19908-80;

Натрий тетраборнокислый 10-водный, х.ч., по настоящему стандарту, с установленным методом добавок содержания кальция;

Вода дистиллированная по ГОСТ 6709-72-->ГОСТ 6709-72, вторично перегнанная в кварцевом дистилляторе или Вода деминерализованная;

раствор, содержащий кальций; готовят по ГОСТ 4212-76; соответствующим разбавлением готовят раствор, содержащий 0,1 мг/см3 кальция - раствор А.

Все исходные растворы и растворы сравнения, а также воду, применяемую для их приготовления, хранят в полиэтиленовой или кварцевой посуде.

3.9.2. Приготовление анализируемых растворов

5,00 г препарата помещают в кварцевую чашу, растворяют при слабом нагревании в 60 см3 воды, охлаждают и переносят количественно в мерную колбу вместимостью 100 см3, перемешивают, доводят объем раствора водой до метки и снова тщательно перемешивают.

3.9.3. Приготовление раствора сравнения

В четыре кварцевые чаши помещают по 5,00 г 10-водного тетраборнокислого натрия квалификации х.ч. с установленным содержанием кальция, растворяют при слабом нагревании в 60 см3 воды, охлаждают, количественно переносят в четыре мерные колбы, вводят количества раствора А, указанные в табл.2, перемешивают, доводят объемы растворов водой до метки и снова тщательно перемешивают.

Таблица 2

Номер 
раствора сравнения

Объем раствора, А, см3

Массовая концентрация кальция в растворе сравнения, мг/100 см3

Массовая доля кальция в пересчете на препарат, %

1

-

-

-

2

0,5

0,05

0,001

3

1,5

0,15

0,003

4

2,5

0,25

0,005

3.9.4. Проведение анализа

Для анализа берут не менее двух навесок препарата. Сравнивают интенсивность излучения резонансных линий Ca - 422,7 нм, возбуждаемых в пламени газ-воздух при введении в него растворов сравнения и анализируемых растворов.

После подготовки прибора в соответствии с прилагаемой к нему инструкцией по эксплуатации проводят фотометрирование анализируемых растворов и растворов сравнения в порядке возрастания содержания примеси. Затем проводят фотометрирование в обратной последовательности, начиная с максимального содержания примеси, и вычисляют среднее арифметическое значение показаний для каждого раствора, учитывая в качестве поправки отсчет, полученный при фотометрировании первого раствора сравнения. После каждого измерения распыляют воду.

3.9.5. Обработка результатов

По полученным данным для растворов сравнения строят градуировочный график, откладывая на оси ординат значения интенсивности излучения, на оси абсцисс - массовую долю примеси в пересчете на препарат.

Содержание кальция в препарате находят по графику.

Препарат считают соответствующим требованиям настоящего стандарта, если содержание кальция не будет превышать допускаемой нормы.

За результат анализа принимают среднее арифметическое результатов двух параллельных определений, относительное расхождение между которыми не превышает допускаемое расхождение, равное 20%, при доверительной вероятности P=0,95.

Допускается проводить определение кальция колориметрически с применением мурексида.

При разногласиях в оценке содержания кальция определение проводят пламенно-фотометрическим методом.

3.9-3.9.5. (Измененная редакция, Изм. N 2).

3.10. Определение массовой доли мышьяка

3.10.1. Определение с помощью бромнортутной бумаги проводят по ГОСТ 10485-75. При этом 0,50 г препарата помещают в колбу вместимостью 50 см3 и растворяют при нагревании в 30 см3 воды. Раствор охлаждают, нейтрализуют раствором серной кислоты по универсальной индикаторной бумаге до pH 7 (проба на вынос), переносят в колбу прибора для определения мышьяка и далее определение проводят методом с применением бромнортутной бумаги, в солянокислой или сернокислой среде.

Препарат считают соответствующим требованиям настоящего стандарта, если окраска бромнортутной бумаги от анализируемого раствора не будет интенсивнее окраски бромнортутной бумаги от раствора, приготовленного одновременно с анализируемым и содержащего в таком же объеме:

для препарата "химически чистый" - 0,0005 мг As;

для препарата "чистый для анализа" - 0,0010 мг As;

для препарата "чистый" - 0,0025 мг As и соответствующие количества реактивов по ГОСТ 10485-75.

При разногласиях в оценке массовой доли мышьяка определение проводят в сернокислой среде.

3.10, 3.10.1. (Измененная редакция, Изм. N 2).

3.10.2. Определение с помощью диэтилдитиокарбамата серебра.

3.10.2.1. Применяемые реактивы, растворы и прибор - по ГОСТ 10485-75.

Допускается применять 0,5%-ный раствор диэтилдитиокарбамата серебра в хинолине. Готовят следующим образом: 1,50 г диэтилдитиокарбамата серебра помещают в коническую колбу с притертой пробкой вместимостью 500 см3 и растворяют в 300 см3 хинолина при нагревании на водяной бане. Раствор хранят в темном месте. Срок годности - один месяц.

3.10.2.2. Проведение анализа

2,00 г препарата растворяют при нагревании в 30 см3 воды, охлаждают, нейтрализуют по n-нитрофенолу раствором соляной кислоты и переносят в колбу прибора для определения мышьяка, прибавляют при перемешивании 10 см3 концентрированной соляной кислоты, доливают объем раствора водой до 40 см3 и далее определение проводят по ГОСТ 10485-75.

Масса мышьяка не должна превышать:

для препарата "химически чистый" - 0,002 мг;

для препарата "чистый для анализа" - 0,002 мг;

для препарата "чистый" - 0,01 мг.

При разногласиях в оценке массовой доли мышьяка определение проводят фотометрическим методом.

3.10.2-3.10.2.2. (Измененная редакция, Изм. N 2).

3.11. Определение массовой доли тяжелых металлов

Определение проводят по ГОСТ 17319-76. При этом 2,00 г препарата помещают в колбу вместимостью 100 см3 с притертой или резиновой пробкой (с меткой на 30 см3) и растворяют при нагревании в 25 см3 воды. Раствор охлаждают, прибавляют одну-две капли 0,2%-ного раствора паранитрофенола, нейтрализуют уксусной кислотой, доводят объем раствора водой до метки и далее определение проводят сероводородным методом.

Препарат считают соответствующим требованиям настоящего стандарта, если наблюдаемая окраска анализируемого раствора не будет интенсивнее окраски раствора, приготовленного одновременно с анализируемым и содержащего в таком же объеме:

для препарата "химически чистый"- 0,01 мг Pb;

для препарата "чистый для анализа" - 0,02 мг Pb;

для препарата "чистый" - 0,04 мг Pb,

1 см3 уксусной кислоты, 1 см3 раствора уксуснокислого аммония и 10 см3 сероводородной воды.

3.12. Определение растворимости в воде

1,00 г препарата помещают в колбу вместимостью 50 см3 и растворяют в 20 см3 дистиллированной воды (ГОСТ 6709-72-->ГОСТ 6709-72).

Препарат считают соответствующим требованиям настоящего стандарта, если для препарата химически чистый и чистый для анализа раствор будет прозрачным и бесцветным по сравнению с таким же объемом дистиллированной воды. Для препарата чистый допускается слабая опалесценция.

3.11, 3.12. (Измененная редакция, Изм. N 2).

3.13. Определение pH 4%-ного раствора препарата

4,00 г препарата помещают в коническую колбу вместимостью 250 см3, растворяют в 96 см3 дистиллированной воды, не содержащей углекислоты (готовят по ГОСТ 4517-75) и измеряют pH раствора на универсальном иономере ЭВ-74 или другом приборе с пределом допускаемой основной погрешности ±0,05 pH.

(Измененная редакция, Изм. N 1, 2).

4. УПАКОВКА, МАРКИРОВКА, ТРАНСПОРТИРОВАНИЕ И ХРАНЕНИЕ

4.1. Упаковывают и маркируют препарат в соответствии с требованиями ГОСТ 3885-73-->ГОСТ 3885-73.

Вид и тип тары: 2-1, 2-2, 2-4, 2-9.

Группа фасовки: III, IV, V.

(Измененная редакция, Изм. N 1).

4.2. Препарат перевозят всеми видами транспорта в соответствии с правилами перевозки грузов, действующими на данном виде транспорта.

4.3. Препарат хранят в упаковке изготовителя в крытых складских помещениях.

5. ГАРАНТИИ ИЗГОТОВИТЕЛЯ

5.1. Изготовитель гарантирует соответствие 10-водного тетраборнокислого натрия требованиям настоящего стандарта при соблюдении условий транспортирования и хранения.

5.2. Гарантийный срок хранения препарата - три года со дня изготовления.

5.1, 5.2. (Измененная редакция, Изм. N 2).

Разд.6. (Исключен, Изм. N 2).



Текст документа сверен по:
официальное издание
М.: Издательство стандартов, 1990