Натр едкий технический ГОСТ Р 55064-2012
натр едкий технический. Технические условия ГОСТ Р 55064-2012
НАЦИОНАЛЬНЫЙ СТАНДАРТ РОССИЙСКОЙ ФЕДЕРАЦИИ
натр едкий ТЕХНИЧЕСКИЙ
Технические условия
Sodium hydroxide for industrial use. Specifications
ОКС 71.060.40
ОКП 21 3200
21 3210
21 3220
Дата введения 2013-10-01
Предисловие
Цели и принципы стандартизации в Российской Федерации установлены Федеральным законом от 27 декабря 2002 г. N 184-ФЗ "О техническом регулировании", а правила применения национальных стандартов Российской Федерации - ГОСТ Р 1.0-2004 "Стандартизация в Российской Федерации. Основные положения"
Сведения о стандарте
1 РАЗРАБОТАН Обществом с ограниченной ответственностью "Научно-исследовательский инженерный центр "Синтез" (ООО НИИЦ "Синтез")
2 ВНЕСЕН Техническим комитетом по стандартизации ТК 60 "Химия"
3 УТВЕРЖДЕН И ВВЕДЕН В ДЕЙСТВИЕ Приказом Федерального агентства по техническому регулированию и метрологии от 14 ноября 2012 г. N 762-ст
4 ВВЕДЕН ВПЕРВЫЕ
Информация об изменениях к настоящему стандарту публикуется в ежегодно издаваемом информационном указателе "Национальные стандарты", а текст изменений и поправок - в ежемесячно издаваемом информационном указателе "Национальные стандарты". В случае пересмотра (замены) или отмены настоящего стандарта соответствующее уведомление будет опубликовано в ежемесячно издаваемом информационном указателе "Национальные стандарты". Соответствующая информация, уведомление и тексты размещаются также в информационной системе общего пользования - на официальном сайте Федерального агентства по техническому регулированию и метрологии в сети Интернет
1 Область применения
Настоящий стандарт распространяется на технический едкий натр (Гидроксид натрия, гидроокись натрия, каустическую соду, каустик, едкую щелочь), предназначенный для химической, нефтехимической, нефтеперерабатывающей, целлюлозно-бумажной, горнодобывающей, текстильной, пищевой (для обезжиривания и обработки технологического оборудования и тары) промышленности, цветной металлургии, энергетики, микроэлектроники и других отраслей.
Формула: NaOH
Относительная молекулярная масса (по международным атомным массам 2011 г.) - 39,997.
2 Нормативные ссылки
В настоящем стандарте использованы нормативные ссылки на следующие стандарты:
ГОСТ Р ИСО 5725-6-2002 Точность (правильность и прецизионность) методов и результатов измерений. Часть 6. Использование значений точности на практике
ГОСТ Р 51652-2000 Спирт этиловый ректификованный из пищевого сырья. Технические условия
ГОСТ Р 51659-2000 Вагоны-цистерны магистральных железных дорог колеи 1520 мм. Общие технические условия
ГОСТ Р 53228-2008 Весы неавтоматического действия. Часть 1. Метрологические и технические требования. Испытания
ГОСТ 8.579-2002 Государственная система обеспечения единства измерений. Требования к количеству фасованных товаров в упаковках любого вида при их производстве, расфасовке, продаже и импорте
ГОСТ 12.4.011-89 Система стандартов безопасности труда. Средства защиты работающих. Общие требования и классификация
ГОСТ 12.4.021-75 Система стандартов безопасности труда. Системы вентиляционные. Общие требования
ГОСТ 17.2.3.02-78 Охрана природы. Атмосфера. Правила установления допустимых выбросов вредных веществ промышленными предприятиями
ГОСТ 17.2.4.02-81 Охрана природы. Атмосфера. Общие требования к методам определения загрязняющих веществ
ГОСТ 61-75 Реактивы. Кислота уксусная. Технические условия
ГОСТ OIML R 111-1-2009 Государственная система обеспечения единства измерений. Гири классов E1, E2, F1, F2, M1, M1-2, M2, M2-3 и M3. Часть 1. Метрологические и технические требования
ГОСТ 199-78 Реактивы. Натрий уксуснокислый 3-водный. Технические условия
ГОСТ 804-93 Магний первичный в чушках. Технические условия
ГОСТ 1277-75 Реактивы. Серебро азотнокислое. Технические условия
ГОСТ 1770-74 (ИСО 1042-83, ИСО 4788-80) Посуда мерная лабораторная стеклянная. Цилиндры, мензурки, колбы, пробирки. Общие технические условия
ГОСТ 3118-77 Реактивы. кислота соляная. Технические условия
ГОСТ 3760-79 Реактивы. аммиак водный. Технические условия
ГОСТ 3773-72 Реактивы. Аммоний хлористый. Технические условия
ГОСТ 3885-73-->ГОСТ 3885-73 Реактивы и особо чистые вещества. Правила приемки, отбор проб, фасовка, упаковка, маркировка, транспортирование и хранение
ГОСТ 4108-72 Реактивы. Барий хлорид 2-водный. Технические условия
ГОСТ 4160-74 Реактивы. Калий бромистый. Технические условия
ГОСТ 4204-77 Реактивы. Кислота серная. Технические условия
ГОСТ 4212-76 Реактивы. Методы приготовления растворов для колориметрического и нефелометрического анализа
ГОСТ 4232-74 Реактивы. Калий йодистый. Технические условия
ГОСТ 4233-77 Реактивы. Натрий хлористый. Технические условия
ГОСТ 4328-77 Реактивы. Натрия гидроокись. Технические условия
ГОСТ 4461-77 Реактивы. Кислота азотная. Технические условия
ГОСТ 4478-78 Реактивы. Кислота сульфосалициловая 2-водная. Технические условия
ГОСТ 4517-87 Реактивы. Методы приготовления вспомогательных реактивов и растворов, применяемых при анализе
ГОСТ 4520-78 Реактивы. Ртуть (II) азотнокислая 1-водная. Технические условия
ГОСТ 4919.1-77 Реактивы и особо чистые вещества. Методы приготовления растворов индикаторов
ГОСТ 5044-79 Барабаны стальные тонкостенные для химических продуктов. Технические условия
ГОСТ 5456-79 Реактивы. Гидроксиламина гидрохлорид. Технические условия
ГОСТ 5496-78 Трубки резиновые технические. Технические условия
ГОСТ 5520-79 Прокат листовой из углеродистой, низколегированной и легированной стали для котлов и сосудов, работающих под давлением. Технические условия
ГОСТ 5632-72 Стали высоколегированные и сплавы коррозионно-стойкие, жаростойкие и жаропрочные. Марки
ГОСТ 6247-79 Бочки стальные сварные с обручами катания на корпусе. Технические условия
ГОСТ 6709-72-->ГОСТ 6709-72 Вода дистиллированная. Технические условия
ГОСТ 7338-90 Пластины резиновые и резинотканевые. Технические условия
ГОСТ 7350-77 Сталь толстолистовая коррозионно-стойкая, жаростойкая и жаропрочная. Технические условия
ГОСТ 9147-80 Посуда и оборудование лабораторные фарфоровые. Технические условия
ГОСТ 9285-78 (ИСО 992-75, ИСО 995-75, ИСО 2466-73) Калия гидрат окиси технический. Технические условия
ГОСТ 9557-87 Поддон плоский деревянный размером 800х1200 мм. Технические условия
ГОСТ 10163-76 Реактивы. Крахмал растворимый. Технические условия
ГОСТ 10354-82 Пленка полиэтиленовая. Технические условия
ГОСТ 10398-76 Реактивы и особо чистые вещества. Комплексонометрический метод определения содержания основного вещества
ГОСТ 10555-75 Реактивы и особо чистые вещества. Колориметрические методы определения содержания примеси железа
ГОСТ 10652-73 Реактивы. Соль динатриевая этилендиамин-N, N, N', N'-тетрауксусной кислоты 2-водная (трилон б). Технические условия
ГОСТ 10671.1-74 Реактивы. Метод определения примеси кремнекислоты
ГОСТ 10671.5-74 Реактивы. Методы определения примеси сульфатов
ГОСТ 10885-85 Сталь листовая горячекатаная двухслойная коррозионно-стойкая. Технические условия
ГОСТ 12257-93 Хлорат натрия технический. Технические условия
ГОСТ 13950-91 Бочки стальные сварные и закатные с гофрами на корпусе. Технические условия
ГОСТ 14192-96 Маркировка грузов
ГОСТ 14261-77 кислота соляная особой чистоты. Технические условия
ГОСТ 14919-83 Электроплиты, электроплитки и жарочные шкафы бытовые. Общие технические условия
ГОСТ 15846-2002 Продукция, отправляемая в районы Крайнего Севера и приравненные к ним местности. Упаковка, маркировка, транспортирование и хранение
ГОСТ 17065-94 Барабаны картонные навивные. Технические условия
ГОСТ 17319-76 Реактивы. Методы определения примеси тяжелых металлов
ГОСТ 17366-80 Бочки стальные сварные толстостенные для химических продуктов. Технические условия
ГОСТ 18300-87 Спирт этиловый ректификованный технический. Технические условия
ГОСТ 18573-86 Ящики деревянные для продукции химической промышленности. Технические условия
ГОСТ 19433-88 Грузы опасные. Классификация и маркировка
ГОСТ 19908-90 Тигли, чаши, стаканы, колбы, воронки, пробирки и наконечники из прозрачного кварцевого стекла. Общие технические условия
ГОСТ 20490-75 Реактивы. Калий марганцовокислый. Технические условия
ГОСТ 21140-88 Тара. Система размеров
ГОСТ 21650-76 Средства скрепления тарно-штучных грузов в транспортных пакетах. Общие требования
ГОСТ 22867-77 Реактивы. Аммоний азотнокислый. Технические условия
ГОСТ 24363-80 Реактивы. Калия гидроокись. Технические условия
ГОСТ 25336-82 Посуда и оборудование лабораторные стеклянные. Типы, основные параметры и размеры
ГОСТ 25794.1-83 Реактивы. Методы приготовления титрованных растворов для кислотно-основного титрования
ГОСТ 25794.2-83 Реактивы. Методы приготовления титрованных растворов для окислительно-восстановительного титрования
ГОСТ 25794.3-83 Реактивы. Методы приготовления титрованных растворов для титрования осаждением, неводного титрования и других методов
ГОСТ 26319-84 Грузы опасные. Упаковка
ГОСТ 26381-84 Поддоны плоские одноразового использования. Общие технические условия
ГОСТ 26663-85 Пакеты транспортные. Формирование с применением средств пакетирования. Общие технические требования
ГОСТ 27025-86 Реактивы. Общие указания по проведению испытаний
ГОСТ 27068-86 Реактивы. натрий серноватистокислый (натрия тиосульфат) 5-водный. Технические условия
ГОСТ 29169-91 (ИСО 648-77) Посуда лабораторная стеклянная. Пипетки с одной отметкой
ГОСТ 29227-91 (ИСО 835-1-81) Посуда лабораторная стеклянная. Пипетки градуированные. Часть 1. Общие требования
ГОСТ 29251-91 (ИСО 385-1-84) Посуда лабораторная стеклянная. Бюретки. Часть 1. Общие требования
ГОСТ 29287-92 (ИСО 3195-75) натр едкий технический. Отбор образцов. Образец для испытаний. Приготовление основного раствора для испытаний
ГОСТ 31340-2007 Предупредительная маркировка химической продукции. Общие требования
Примечание - При пользовании настоящим стандартом целесообразно проверить действие ссылочных стандартов в информационной системе общего пользования - на официальном сайте Федерального агентства по техническому регулированию и метрологии в сети Интернет или по ежегодно издаваемому информационному указателю "Национальные стандарты", который опубликован по состоянию на 1 января текущего года, и по выпускам ежемесячно издаваемого информационного указателя "Национальные стандарты" за текущий год. Если ссылочный стандарт заменен (изменен), то при пользовании настоящим стандартом следует руководствоваться заменяющим (измененным) стандартом. Если ссылочный стандарт отменен без замены, то положение, в котором дана ссылка на него, применяется в части, не затрагивающей эту ссылку.
3 Технические требования
3.1 Технический едкий натр должен быть изготовлен в соответствии с требованиями настоящего стандарта и по технологическому регламенту, утвержденному в установленном порядке.
3.2 Характеристики
3.2.1 В соответствии со способами промышленного электролиза раствора хлорида натрия различают три вида производимого технического едкого натра: ртутный (ОКП 21 3211), диафрагменный (ОКП 21 3212) и мембранный (ОКП 21 3213).
3.2.2 Технический едкий натр в зависимости от технологии производства выпускают следующих марок:
- РР - раствор ртутный, получаемый непосредственно на стадии ртутного электролиза;
- ТР - твердый ртутный (чешуированный), получаемый из ртутного раствора едкого натра марки РР упариванием, сушкой и чешуированием;
- РД - раствор диафрагменный, получаемый из первичного диафрагменного раствора едкого натра (12%-15%) упариванием до 44%-50%;
- ТД - твердый диафрагменный (плавленый), получаемый из диафрагменного раствора едкого натра марки РД упариванием;
- РМ-В - раствор мембранный, получаемый непосредственно на стадии мембранного электролиза;
- РМ-Б - раствор мембранный, получаемый из раствора едкого натра марки РМ-В упариванием до 46%-48%;
- РМ-А - раствор мембранный, получаемый упариванием до 48%-52% первичного раствора едкого натра стадии мембранного электролиза со специальной подготовкой исходного раствора хлорида натрия.
3.2.3 По физико-химическим показателям технический едкий натр должен соответствовать требованиям и нормам, указанным в таблице 1.
Таблица 1
|
Наименование показателя |
Норма для марок |
|||||||
|
ТР |
РР |
ТД |
РД |
РМ-А |
РМ-Б |
РМ-В |
||
|
|
|
|
Высший сорт |
Первый сорт |
||||
|
1 Внешний вид |
Чешуированная масса белого цвета. Допускается слабая окраска |
Бесцветная прозрачная жидкость |
Плавленая масса белого цвета. Допускается слабая окраска |
Бесцветная или окрашенная жидкость. Допускается выкристалли- |
Бесцветная прозрачная жидкость |
Бесцветная прозрачная жидкость |
Бесцветная прозрачная жидкость |
|
|
2 Массовая доля гидроксида натрия, %, не менее |
98,5 |
42,0 |
94,0 |
46,0 |
44,0 |
48,0 |
46,0 |
31,0 |
|
3 Массовая доля карбоната натрия, %, не более |
0,8 |
0,5 |
1,0 |
0,6 |
0,8 |
0,10 |
0,20 |
Не нормируется |
|
4 Массовая доля хлорида натрия, %, не более |
0,05 |
0,05 |
3,5 |
3,0 |
3,8 |
0,024 |
0,040 |
Не нормируется |
|
5 Массовая доля железа, %, не более |
0,004 (в пересчете на Оксид железа III-->Оксид железа III) |
0,0015 (в пересчете на Оксид железа III-->Оксид железа III) |
0,03 (в пересчете на Оксид железа III-->Оксид железа III) |
0,007 (в пересчете на Оксид железа III-->Оксид железа III) |
0,02 (в пересчете на Оксид железа III-->Оксид железа III) |
0,0015 |
0,0020 |
Не нормируется |
|
6 Сумма массовых долей оксидов железа и алюминия, %, не более |
0,02 |
0,02 |
Не нормируется |
Не нормируется |
Не нормируется |
Не нормируется |
Не нормируется |
Не нормируется |
|
7 Массовая доля кремниевой кислоты в пересчете на диоксид кремния, %, не более |
0,02 |
0,008 |
Не нормируется |
Не нормируется |
Не нормируется |
Не нормируется |
Не нормируется |
Не нормируется |
|
8 Массовая доля сульфата натрия, %, не более |
0,03 |
0,03 |
0,4 |
Не нормируется |
Не нормируется |
0,012 |
0,012 |
Не нормируется |
|
9 Сумма массовых долей кальция и магния в пересчете на кальций, %, не более |
0,01 |
0,003 |
Не нормируется |
Не нормируется |
Не нормируется |
Не нормируется |
Не нормируется |
Не нормируется |
|
10 Массовая доля хлората натрия, %, не более |
0,01 |
0,01 |
0,06 |
0,25 |
0,3 |
0,0020 |
0,0040 |
Не нормируется |
|
11 Сумма массовых долей тяжелых металлов, осаждаемых сероводородом, в пересчете на свинец, %, не более |
0,01 |
0,003 |
Не нормируется |
Не нормируется |
Не нормируется |
Не нормируется |
Не нормируется |
Не нормируется |
|
12 Массовая доля ртути, %, не более |
0,0005 |
0,0005 |
Не нормируется |
Не нормируется |
Не нормируется |
Не нормируется |
Не нормируется |
Не нормируется |
|
13 Массовая доля никеля, %, не более |
Не нормируется |
Не нормируется |
Не нормируется |
Не нормируется |
Не нормируется |
0,00012 |
0,00012 |
Не нормируется |
|
Примечание - Нормы примесей в настоящей таблице даны в пересчете на Гидроксид натрия с массовой долей 100%. |
||||||||
3.2.4 В твердом продукте, применяемом в производстве металлического натрия, массовая доля кремниевой кислоты в пересчете на диоксид кремния должна быть не более 0,1%, суммы массовых долей кальция и магния в пересчете на кальций - не более 0,03%.
3.2.5 По согласованию с потребителем допускается для продукта марки ТД, упакованного в барабаны, наличие поверхностного слоя толщиной 2-3 мм бурого цвета с массовой долей железа не более 0,3%.
3.3 Маркировка
3.3.1 Транспортная маркировка - по ГОСТ 14192 с нанесением манипуляционного знака "Герметичная упаковка" (только на бочки), а также в соответствии с правилами перевозок опасных грузов, действующими на соответствующем виде транспорта.
3.3.2 Маркировка, характеризующая опасность груза, - по ГОСТ 19433: номер чертежа знака опасности 8, класс 8, подкласс 8.2, классификационный шифр 8212, номера ООН 1823 (для твердого продукта) и 1824 (для жидкого продукта).
3.3.3 Маркировка, характеризующая опасность технического едкого натра, - в соответствии с правилами [1]: знак опасности по чертежу 8, класс опасности 8, для жидкого продукта - транспортное наименование "НАТРИЯ ГИДРОКСИДА РАСТВОР", классификационные шифры 8012 и 8013, номер ООН 1824, аварийная карточка N 809; для твердого продукта - транспортное наименование "НАТРИЯ ГИДРОКСИД ТВЕРДЫЙ", классификационный шифр 8012, номер ООН 1823, аварийная карточка N 808.
3.3.4 Предупредительная маркировка - по ГОСТ 31340.
3.3.5 Маркировка, характеризующая упакованную продукцию, должна содержать:
- наименование предприятия-изготовителя, его товарный знак и юридический адрес;
- наименование продукта, его марку и сорт;
- массы брутто и нетто;
- номер партии и дату изготовления;
- обозначение настоящего стандарта.
3.3.6 Маркировка технического едкого натра, отправляемого в районы Крайнего Севера или приравненные к ним местности, - по ГОСТ 15846 (раздел 4).
3.3.7 Транспортная маркировка должна быть нанесена на каждое грузовое место непосредственно на тару или на картонные, фанерные, металлические и другие ярлыки. Маркировку наносят типографским, литографским способами, окраской по трафарету, штампованием или другим способом по ГОСТ 14192.
3.4 Упаковка
3.4.1 Тара, применяемая для упаковывания технического едкого натра, должна соответствовать требованиям ГОСТ 26319. Упаковка технического едкого натра должна быть сертифицирована на соответствие требованиям международных и национальных регламентов по перевозке опасных грузов в установленном порядке.
3.4.2 Твердый продукт упаковывают: плавленый - в стальные барабаны по ГОСТ 5044 исполнения Б, вместимостью 50-180 дм3 (или другим нормативным или техническим документам); чешуированный - в стальные барабаны по ГОСТ 5044 исполнения Б или В, вместимостью 25-250 дм3, в картонные навивные барабаны по ГОСТ 17065 типа I или II, вместимостью 25-100 дм3, с мешками-вкладышами из полиэтиленовой пленки толщиной 0,1000 мм по ГОСТ 10354, полиэтиленовые бочки вместимостью 48-227 дм3 по [2] или другим нормативным или техническим документам, в контейнеры средней грузоподъемности для массовых грузов: КСГМГ по соглашению [3], КСМ по правилам [4], (инструкция по упаковке IBC08), во влагопрочные полимерные или многослойные бумажные мешки по соглашению [3] и правилам [4] (инструкция по упаковке Р002), допущенные к перевозке на конкретном виде транспорта.
Температура продукта при упаковывании в барабаны с мешками-вкладышами не должна превышать 50 °С.
Наружная поверхность стальных барабанов с продуктом, предназначенным для длительного хранения, должна быть защищена антикоррозионным покрытием.
3.4.3 По требованию потребителя твердый чешуированный продукт упаковывают в соответствии с ГОСТ 3885: потребительская тара вида 2-1, 2-9, 11-1, 11-3, 11-4; группа фасовки VI или VII; транспортная тара - деревянные и фанерные ящики по ГОСТ 18573, навивные картонные барабаны по ГОСТ 17065. Масса нетто продукта в ящиках должна быть не более 20 кг, в барабанах - не более 40 кг.
3.4.4 По требованию потребителя раствор технического едкого натра заливают в стальные сварные бочки по ГОСТ 13950 типа 1А1, вместимостью 85-200, 212-230 дм3; стальные сварные бочки по ГОСТ 6247 типа I или II, вместимостью 100-275 дм3; стальные сварные бочки по ГОСТ 17366 типа I, вместимостью 110-275 дм3; в полиэтиленовые бочки вместимостью 48-227 дм3 по [2] или другим нормативным или техническим документам; в контейнеры средней грузоподъемности для массовых грузов: КСГМГ по соглашению [3], КСМ по правилам [4], (инструкция по упаковке IBC02), допущенные к перевозке на конкретном виде транспорта.
Бочки и контейнеры КСГМГ и КСМ заполняют продуктом не более чем на 98% их вместимости. Расчет степени заполнения в зависимости от температуры заливаемого раствора технического едкого натра проводят по соглашению [3], правилам [4] (глава 4.1).
Перед заполнением продуктом бочки и контейнеры КСГМГ и КСМ должны быть промыты и высушены.
Горловины стальных бочек и наливные люки контейнеров КСГМГ и КСМ уплотняют резиновыми прокладками, изготовленными из кислотощелочестойкой резины средней твердости по ГОСТ 7338 или резиновыми трубками типа 2 по ГОСТ 5496.
3.4.5 Пределы допускаемых отрицательных отклонений массы нетто в упаковке от номинального количества едкого натра должны соответствовать ГОСТ 8.579.
3.4.6 Упаковка продукта, предназначенного для районов Крайнего Севера или приравненных к ним местностей, - по ГОСТ 15846.
4 Требования безопасности
4.1 едкий натр - негорючее, пожаробезопасное, едкое вещество без запаха.
Обладает резко выраженным раздражающим действием. При попадании на кожу вызывает химические ожоги, а при длительном воздействии может вызвать язвы и экзему. Сильно действует на слизистые оболочки. Попадание едкого натра в глаза представляет опасность. При проглатывании возможны тяжелые ожоги ротовой полости, гортани, пищевода и желудка по информационной карте [5].
4.2 Предельно допустимая концентрация (ПДК) едкого натра в воздухе рабочей зоны - 0,5 мг/м3 (едкие щелочи/растворы в пересчете на Гидроксид натрия), 2-й класс опасности в соответствии с гигиеническими нормативами [6]. Для определения и регистрации содержания едкого натра в воздухе производственных помещений используют фотометрический метод, чувствительность - 0,25 мг/м3 по методическим указаниям [7].
4.3 Производственные помещения должны быть оборудованы приточно-вытяжной вентиляцией в соответствии с ГОСТ 12.4.021 и санитарными правилами [8].
4.4 Производственный персонал должен быть обеспечен спецодеждой и средствами защиты в соответствии с ГОСТ 12.4.011, типовыми отраслевыми нормами, техническим регламентом Российской Федерации [9] и техническим регламентом Таможенного союза [10] (костюмами для защиты от кислот и щелочей, кислотощелочестойкими резиновыми сапогами, резиновыми перчатками, защитными очками, фильтрующими промышленными противогазами).
4.5 Меры первой помощи при ингаляционном отравлении едким натром: свежий воздух, покой, тепло, чистая одежда. В нос следует закапать растительное масло по информационной карте [5].
При попадании через рот рекомендуется обильное питье воды или 1-2%-ного раствора винной, молочной и лимонной кислот, разбавленного лимонного сока или столового уксуса (2 столовых ложки на стакан воды). Рвоту вызывать не следует по информационной карте [5].
При попадании продукта на кожные покровы - промыть их струей воды в течение 10 мин, использовать примочки 5%-ным раствором уксусной или лимонной кислоты [5].
При попадании в глаза следует немедленно тщательно промыть глаза струей воды или физиологическим раствором в течение 10-30 мин и обратиться за медицинской помощью [5].
4.6 При разливе продукта место разлива следует засыпать песком, загрязненный песок собрать в тару и отправить на захоронение в соответствии с санитарными правилами и нормами [11], а место разлива обильно полить большим количеством воды.
При рассыпании твердого продукта - собрать его совком, а место рассыпания обильно обмыть большим количеством воды.
4.7 Уборка помещений - влажная.
4.8 Работники, связанные с вредными и опасными условиями труда, должны проходить обязательные предварительные (при приеме на работу) и периодические медицинские осмотры в соответствии с законодательством Российской Федерации.
4.9 При организации грузовых перевозок едкого натра железнодорожным транспортом следует соблюдать санитарные правила [12].
5 Требования охраны окружающей среды
5.1 едкий натр - опасное вещество для окружающей среды, подавляет биохимические процессы, оказывает токсическое действие.
5.2 Защита окружающей среды должна быть обеспечена соблюдением требований технологического регламента, правил перевозки и хранения.
5.3 Предельно допустимая концентрация (ПДК) едкого натра (по катионам натрия) в воде водных объектов хозяйственно-питьевого и культурно-бытового водопользования по гигиеническим нормативам [13] составляет 200 мг/л. Необходим контроль водородного показателя (pH 6,5-8,5) по [5], [13] и [14]. Метод определения едкого натра в воде (по натрию) - атомно-абсорбционный, чувствительность - 0,005 мг/л по информационной карте [5].
Ориентировочный безопасный уровень воздействия (ОБУВ) едкого натра в атмосферном воздухе населенных мест - 0,01 мг/м3 в соответствии с гигиеническими нормативами [15].
5.4 С целью охраны атмосферного воздуха от загрязнения выбросами вредных веществ должен быть организован контроль за содержанием предельно допустимых выбросов. Правила установления допустимых выбросов вредных веществ - по ГОСТ 17.2.3.02, гигиенические требования к обеспечению качества атмосферного воздуха - по санитарным правилам и нормам [16], требования к методам определения загрязняющих веществ - по ГОСТ 17.2.4.02.
5.5 В промышленных сточных водах необходимо контролировать водородный показатель (pH 6,5-8,5) по [5].
5.6 При утечке или рассыпании значительного количества едкий натр нейтрализуют слабым раствором кислоты. Нейтрализованный раствор направляют на обезвреживание и утилизацию.
6 Правила приемки
6.1 Технический едкий натр принимают партиями. Партией считают количество продукта, однородного по показателям качества, сопровождаемого одним документом о качестве. При поставке продукта в железнодорожных или автомобильных цистернах партией считают каждую цистерну.
Документ о качестве должен содержать:
- наименование предприятия-изготовителя, его товарный знак и юридический адрес;
- наименование продукта, его марку и сорт;
- номер партии;
- дату изготовления;
- массы брутто и нетто;
- результаты проведенных анализов или подтверждение о соответствии качества продукта требованиям настоящего стандарта;
- обозначение настоящего стандарта.
6.2 При поставках продукта в контейнерах КСГМГ, КСМ, бочках и барабанах объем выборки должен быть равен 10% упаковочных единиц, но не менее трех упаковочных единиц при малых партиях.
При отгрузке продукта в цистернах проверке подвергают каждую цистерну.
Объем выборки для проверки качества твердого продукта, упакованного в банки, - по ГОСТ 3885.
Допускается у изготовителя проводить отбор проб: жидкого продукта - из емкости для хранения товарного продукта (при условии его однородности); твердого плавленого продукта - при розливе в барабаны; твердого чешуированного продукта - при загрузке в контейнеры, барабаны, мешки или банки.
6.3 Приемо-сдаточные испытания ртутного и диафрагменного едкого натра марок ТР, РР, ТД, РД проводят по показателям качества 1-5 таблицы 1. Приемо-сдаточные испытания едкого натра марок РМ-А, РМ-Б проводят по показателям качества 1-5, 8 и 10 таблицы 1.
6.4 Показатели качества ртутного едкого натра марок ТР, РР 6-12 и диафрагменного едкого натра марки ТД 8 и марок ТД, РД 10 таблицы 1 изготовитель определяет по требованию потребителя.
6.5 Показатель едкого натра марок РМ-А и РМ-Б 13 таблицы 1 изготовитель определяет периодически не реже 1 раза в квартал.
6.6 При получении неудовлетворительных результатов анализа хотя бы по одному из показателей проводят повторный анализ на удвоенной выборке или вновь отобранной пробе из цистерны.
Результаты повторного анализа распространяют на всю партию.
7 Методы анализа
7.1 Отбор проб
7.1.1 Отбор проб - по ГОСТ 29287.
7.1.2 В связи с тем, что технический твердый едкий натр гигроскопичен и способен поглощать углекислый газ из воздуха, при приготовлении средней пробы необходимо, чтобы не было заметного поглощения воды или углекислого газа.
Рекомендуется усреднение точечных проб твердого продукта проводить в боксе, из которого удаляют влагу и углекислый газ не менее чем за 1 ч до начала работы, помещая в него чашки с пентоксидом фосфора (ч.д.а.) по [17] и гидроксидом калия по ГОСТ 24363 или чешуированным гидратом окиси калия высшего сорта по ГОСТ 9285.
При необходимости образец твердого продукта измельчают в ступке как можно быстрее и в максимально сухой атмосфере.
7.2 Общие указания
Общие указания по проведению анализа - по ГОСТ 27025.
Допускается применение других средств измерений с метрологическими характеристиками и оборудования с техническими характеристиками не хуже, а также реактивов по качеству не ниже указанных в настоящем стандарте.
Средства измерений должны быть поверены в установленном порядке, испытательное оборудование аттестовано.
Результаты анализа округляют до того количества значащих цифр, которому соответствует норма по данному показателю в таблице 1.
Диапазоны определения примесей даны в пересчете на Гидроксид натрия с массовой долей 100%.
Приготовление растворов и подготовку проб к анализу проводят при следующих условиях:
- температура воздуха - (25±10) °С;
- атмосферное давление - 84-106 кПа/630-795 мм рт.ст.;
- относительная влажность воздуха - не более 80%;
- напряжение электропитания в сети - (220
) В;
- частота питающей сети - (50±1) Гц.
Контроль точности результатов анализа - по 7.16.
7.3 Приготовление растворов
7.3.1 Приготовление раствора А
Для определения массовых долей хлорида натрия (в едком натре марок ТД, РД), железа (в едком натре марок ТР, РР, ТД, РД) , кремниевой кислоты (в едком натре марок ТР, РР), сульфата натрия (в едком натре марок ТР, РР), хлората натрия (в едком натре марок ТД, РД) и суммы массовых долей тяжелых металлов (в едком натре марок ТР, РР) готовят раствор А, предварительно определив содержание гидроксида натрия в техническом едком натре по 7.5.1.
Для приготовления раствора А необходимо взвесить в стаканчике продукт, содержащий (40,00±0,01) г гидроксида натрия с массовой долей 100% (m).
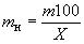
Массу навески продукта (mн), г, содержащую , г, гидроксида натрия, вычисляют по формуле (1)
где m - масса гидроксида натрия с массовой долей 100%, необходимая для приготовления раствора, г;
X - массовая доля гидроксида натрия в продукте, определяемая по 7.5, %.
Перед взятием навески продукта пробу тщательно перемешивают. Навеску количественно дистиллированной водой переносят в мерную колбу вместимостью 1000 см3, разбавляют водой почти до метки, охлаждают до комнатной температуры, доводят объем раствора водой до метки и перемешивают (раствор А).
Допускается использовать мерную колбу вместимостью 500 см3. При этом масса гидроксида натрия, необходимая для приготовления раствора А, должна быть (20,00±0,01) г.
7.3.2 Приготовление раствора Б
Раствор Б готовят следующим образом: 20 см3 раствора А, приготовленного по 7.3.1, помещают пипеткой в мерную колбу вместимостью 500 см3, доводят объем раствора до метки водой и тщательно перемешивают. Раствор хранят в полиэтиленовой посуде.
Раствор Б используют для определения сульфата натрия в едком натре марки ТД.
7.4 Определение внешнего вида
7.4.1 Внешний вид твердого продукта определяют визуально на белом фоне в открытой таре.
7.4.2 Внешний вид жидкого продукта определяют визуально на белом фоне в пробирке типа П1 или П4 по ГОСТ 25336 вместимостью 20-50 см3.
7.5 Определение массовой доли гидроксида натрия и карбоната натрия
7.5.1 Определение массовой доли гидроксида натрия и карбоната натрия в едком натре марок ТР, РР, ТД, РД
7.5.1.1 Сущность метода
Массовую долю гидроксида натрия в диапазоне от 40,0% до 99,5% и массовую долю карбоната натрия в диапазоне от 0,20% до 2,0% определяют титриметрическим методом, основанным на нейтрализации технического едкого натра соляной кислотой в присутствии двух индикаторов - фенолфталеина и метилового оранжевого по [18].
Сначала с фенолфталеином титруют весь Гидроксид натрия до хлорида натрия и Карбонат натрия до гидрокарбоната натрия (переход окраски индикатора от малиновой к бесцветной, интервал перехода 9,8-8,0 pH).
Затем с метиловым оранжевым титруют Гидрокарбонат натрия (переход окраски индикатора от желтой к оранжевой, интервал перехода 4,4-3,2 pH).
7.5.1.2 Аппаратура, посуда, реактивы, растворы
Весы неавтоматического действия с наибольшим пределом взвешивания 500 г по ГОСТ Р 53228.
Набор гирь по ГОСТ OIML R 111-1.
Колбы 1-1000-2 и 1-500-2 по ГОСТ 1770.
Пипетка 2-2-50 по ГОСТ 29227.
Бюретки 1-1-2-25-0,05 и 1-1-2-10-0,02 по ГОСТ 29251.
Цилиндры 1-10-2 и 1-100-2 по ГОСТ 1770.
Стакан В-1-50, В-1-100 ТХС или стаканчики для взвешивания СВ-34/12, СН-60/14 по ГОСТ 25336.
Колбы Кн-1-250-24/29 ТХС или Кн-1-250-29/32 ТХС по ГОСТ 25336.
Капельница 1-50 ХС по ГОСТ 25336.
кислота соляная по ГОСТ 3118, х.ч., раствор молярной концентрации c(HCl)=1 моль/дм3 и раствор молярной концентрации c(HCl)=0,1 моль/дм3; готовят по ГОСТ 25794.1. Срок хранения раствора - 1 мес.
Метиловый оранжевый (индикатор), ч.д.а., по [19], раствор с массовой долей 0,1%; готовят по ГОСТ 4919.1. Раствор хранят в защищенном от света месте. Срок годности - 6 мес.
Фенолфталеин (индикатор), ч.д.а., по [20], раствор с массовой долей 1%; готовят по ГОСТ 4919.1. Раствор хранят в защищенном от света месте. Срок годности - 6 мес.
Вода дистиллированная, не содержащая углекислоту; готовят по ГОСТ 4517.
7.5.1.3 Проведение анализа
7.5.1.3.1 Подготовка пробы
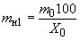
В стаканчике взвешивают с погрешностью не более 0,01 г пробу продукта, содержащую 35-40 г (m0) гидроксида натрия. Массу анализируемой пробы продукта (mн1), г, вычисляют по формуле (2)
где m0 - масса гидроксида натрия в анализируемой пробе, г;
X0 - массовая доля гидроксида натрия, указанная в таблице 1, %.
Перед взятием навески продукта верхний слой удаляют, пробу тщательно перемешивают. Навеску пробы количественно дистиллированной водой переносят в мерную колбу вместимостью 1000 см3, разбавляют водой почти до метки, охлаждают до комнатной температуры, доводят объем раствора водой до метки и перемешивают.
Допускается использовать мерную колбу вместимостью 500 см3. При этом масса гидроксида натрия в навеске пробы должна быть в диапазоне 18-20 г.
7.5.1.3.2 Определение массовой доли гидроксида натрия
50 см3 раствора пробы, приготовленного по 7.5.1.3.1, помещают пипеткой в коническую колбу, приливают цилиндром 50 см3 воды, добавляют из капельницы 5 капель раствора фенолфталеина и титруют из бюретки вместимостью 25 см3 раствором соляной кислоты молярной концентрации c(HCl)=1 моль/дм3 до обесцвечивания раствора и фиксируют объем раствора соляной кислоты, израсходованный на титрование (V1). Проводят два параллельных определения.
7.5.1.3.3 Определение массовой доли карбоната натрия
50 см3 раствора, приготовленного по 7.5.1.3.1, помещают пипеткой в коническую колбу, приливают цилиндром 50 см3 воды, добавляют из капельницы 5 капель раствора фенолфталеина и прибавляют при перемешивании раствор соляной кислоты молярной концентрации c(HCl)=1 моль/дм3 на 0,5-0,3 см3 меньше, чем израсходовано на титрование по 7.5.1.3.1. Затем раствор нейтрализуют раствором соляной кислоты молярной концентрации c(HCl)=0,1 моль/дм3 до обесцвечивания раствора, прибавляют 2-3 капли раствора метилового оранжевого и титруют из бюретки вместимостью 10 см3 раствором соляной кислоты молярной концентрации c(HCl)=0,1 моль/дм3 до перехода желтой окраски раствора в оранжевую. Фиксируют объем раствора соляной кислоты, израсходованный на титрование (V2). Проводят два параллельных определения.
7.5.1.4 Обработка результатов
Массовую долю гидроксида натрия в продукте (X1), %, вычисляют по формуле (3)
Массовую долю карбоната натрия (X2), %, в продукте в пересчете на Гидроксид натрия с массовой долей 100% вычисляют по формуле (4)
где V1 - объем раствора соляной кислоты молярной концентрации точно c(HCl)=1 моль/дм3, израсходованный на титрование по фенолфталеину, см3;
V2 - объем раствора соляной кислоты молярной концентрации точно c(HCl)=0,1 моль/дм3, израсходованный на титрование по метиловому оранжевому, см3;
0,1 - коэффициент пересчета объема раствора соляной кислоты молярной концентрации c(HCl)=0,1 моль/дм3 на объем раствора соляной кислоты молярной концентрации c(HCl)=1 моль/дм3;
40,00 - молярная масса эквивалента гидроксида натрия, г/моль;
1 - точная молярная концентрация раствора соляной кислоты для титрования гидроксида натрия, моль/дм3;
Vk - объем раствора пробы, приготовленный по 7.5.1.3.1, см3;
50 - объем раствора пробы, взятый на анализ, см3;
1/1000 - коэффициент пересчета молярной концентрации раствора соляной кислоты из моль/дм3 в моль/см3;
mн1 - масса пробы, взятая для приготовления раствора пробы по 7.5.1.3.1, г;
2 - коэффициент пересчета объема раствора соляной кислоты, израсходованного на титрование гидрокарбоната натрия, на объем раствора соляной кислоты, израсходованный на суммарное титрование карбоната и гидрокарбоната натрия;
52,99 - молярная масса эквивалента карбоната натрия, г/моль;
0,1 - точная молярная концентрация раствора соляной кислоты, израсходованного на титрование гидрокарбоната натрия, моль/дм3.
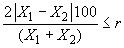
7.5.1.5 Метрологические характеристики
При соблюдении всех регламентированных условий и проведении анализа в точном соответствии с данной методикой значение погрешности измерений (и ее составляющих) не превышает значений, представленных в таблице 2, по [18].
Таблица 2
|
Компонент |
Диапазон измерений массовой доли, % |
Показатель точности (границы относи- |
Показатель повторяе- |
Показатель воспроизво- |
Предел повторяе- |
Критическая разность для результатов анализа, полученных в двух лабора- |
|
От 40,0 до 55,0 включ. |
0,8 |
0,20 |
0,3 |
0,55 |
0,7 |
|
|
Св. 55,0 до 90,0 включ. |
0,5 |
0,15 |
0,2 |
0,4 |
0,5 |
|
|
Св. 90,0 до 99,5 включ. |
0,35 |
0,1 |
0,15 |
0,3 |
0,4 |
|
|
От 0,20 до 0,60 включ. |
18 |
5 |
8 |
14 |
20 |
|
|
|
Св.0,60 до 1,00 включ. |
10 |
3 |
4,5 |
8 |
11 |
|
|
Св. 1,00 до 2,00 включ. |
7 |
2 |
3 |
5,5 |
7 |
7.5.2 Определение массовой доли гидроксида натрия в едком натре марок РМ-А, РМ-Б, РМ-В и карбоната натрия в едком натре марок РМ-А, РМ-Б
7.5.2.1 Сущность метода
Массовую долю гидроксида натрия в диапазоне от 30,0% до 55,0% и массовую долю карбоната натрия в диапазоне от 0,05% до 0,30% определяют титриметрическим методом, основанным на нейтрализации технического едкого натра соляной кислотой в присутствии двух индикаторов - фенолфталеина и метилового оранжевого. При определении гидроксида натрия в продукт добавляют хлорид бария для связывания карбоната в труднорастворимый карбонат бария и титруют соляной кислотой весь Гидроксид натрия в присутствии фенолфталеина в соответствии с [21].
При определении карбоната натрия первоначально с фенолфталеином оттитровывают всю щелочь и половину карбоната натрия (переход окраски индикатора от малиновой к бесцветной, интервал перехода 9,8-8,0 pH), затем с метиловым оранжевым определяют оставшийся Карбонат натрия (переход окраски индикатора от желтой к оранжевой, интервал перехода 4,4-3,2 pH).
7.5.2.2 Аппаратура, посуда, реактивы, растворы
Весы неавтоматического действия с наибольшими пределами взвешивания 200 и 500 г по ГОСТ Р 53228.
Набор гирь по ГОСТ OIML R 111-1.
Пипетки 1-2-5, 2-2-25 по ГОСТ 29169.
Бюретка 1-1-2-50-0,1 или 1-1-2-25-0,05 по ГОСТ 29251.
Колбы 2-250-2, 1-100-2 по ГОСТ 1770.
Цилиндры 1-10-2, 1-25-2, 1-50-2, 1-100-2 по ГОСТ 1770.
Микробюретка вместимостью 5 см3 с ценой деления 0,02 см3, вместимостью 2 см3 с ценой деления 0,01 см3 по [22].
Стакан В-1-50 ТС по ГОСТ 25336.
Колба Кн-1-250-29/32 ТС по ГОСТ 25336.
Секундомер механический по [23].
Барий хлорид 2-водный по ГОСТ 4108, ч.д.а., раствор с массовой долей 10%; готовят растворением навески хлорида бария (10,00±0,01) г в конической колбе в 90 см3 дистиллированной воды. Срок годности раствора - 6 мес.
кислота соляная по ГОСТ 3118, х.ч., растворы молярной концентрации c(HCl)=1 моль/дм3 и c(HCl)=0,05 моль/дм3. Раствор молярной концентрации c(HCl)=1 моль/дм3 готовят по ГОСТ 25794.1. Срок хранения раствора - 1 мес. Раствор соляной кислоты молярной концентрации c(HCl)=0,05 моль/дм3 готовят следующим образом: 50 см3 дистиллированной воды помещают в мерную колбу вместимостью 100 см3, отбирают 5 см3 раствора соляной кислоты молярной концентрации c(HCl)=1 моль/дм3 и количественно переносят при перемешивании в мерную колбу, объем раствора доводят в колбе водой до метки и тщательно перемешивают. Раствор используют свежеприготовленным. Определяют поправочный коэффициент по ГОСТ 25794.1.
Метиловый оранжевый (индикатор), ч.д.а., по [19], раствор с массовой долей 0,1%; готовят по ГОСТ 4919.1. Раствор хранят в защищенном от света месте. Срок годности - 6 мес.
Фенолфталеин (индикатор), ч.д.а., по [20], раствор с массовой долей 1%; готовят по ГОСТ 4919.1. Раствор хранят в защищенном от света месте. Срок годности - 6 мес.
Вода дистиллированная по ГОСТ 6709, не содержащая углекислоту, готовят по ГОСТ 4517 непосредственно перед проведением анализа.
7.5.2.3 Проведение анализа
7.5.2.3.1 Подготовка пробы
Из отобранной средней пробы непосредственно перед анализом сливают верхний слой пробы. (25,0±1,0) см3 раствора едкого натра взвешивают в стакане. Продукт переносят в мерную колбу вместимостью 250 см3 с пришлифованной пробкой. Стакан снова взвешивают и по разности масс определяют массу навески m1 (г), взятую на анализ.
В мерной колбе едкий натр разбавляют дистиллированной водой, не содержащей углекислоту, почти до метки, охлаждают до комнатной температуры, окончательно доводят объем раствора точно до метки и тщательно перемешивают.
7.5.2.3.2 Определение массовой доли гидроксида натрия
В коническую колбу помещают 25 см3 раствора едкого натра, подготовленного по 7.5.2.3.1, добавляют цилиндром 10 см3 раствора хлорида бария и 15 см3 дистиллированной воды. Через 5 мин титруют раствором соляной кислоты молярной концентрации c(HCl)=1 моль/дм3 в присутствии 4-5 капель раствора фенолфталеина до обесцвечивания индикатора. Фиксируют объем раствора соляной кислоты молярной концентрации c(HCl)=1 моль/дм3, израсходованный на титрование (V1). Проводят два параллельных определения.
7.5.2.3.3 Определение массовой доли карбоната натрия
В коническую колбу пипеткой помещают 25 см3 раствора едкого натра, подготовленного по 7.5.2.3.1, добавляют цилиндром 25 см3 воды, не содержащей углекислоту. Затем добавляют 4-5 капель раствора фенолфталеина и приливают при перемешивании объем раствора соляной кислоты молярной концентрации c(HCl)=1 моль/дм3 на 0,3 см3 меньше, чем пошло на титрование по 7.5.2.3.2.
Затем нейтрализуют из микробюретки раствором соляной кислоты молярной концентрации c(HCl)=0,05 моль/дм3 до обесцвечивания фенолфталеина. Далее к раствору прибавляют 4-5 капель раствора метилового оранжевого с массовой долей 0,1% и титруют из микробюретки раствором соляной кислоты с молярной концентрацией c(HCl)=0,05 моль/дм3 до перехода желтой окраски раствора в оранжевую. Фиксируют объем раствора соляной кислоты молярной концентрации c(HCl)=0,05 моль/дм3, израсходованный на титрование в присутствии метилового оранжевого (V2). Проводят два параллельных определения.
7.5.2.3.4 Обработка результатов
Массовую долю гидроксида натрия (X3), %, вычисляют по формуле (5)
Массовую долю карбоната натрия (X4), %, в пересчете на Гидроксид натрия с массовой долей 100% вычисляют по формуле (6)
где V1 - объем раствора соляной кислоты молярной концентрации c(HCl)=1 моль/дм3, израсходованный на титрование гидроксида натрия с добавкой хлорида бария с фенолфталеином, см3;
40,00 - молярная масса эквивалента гидроксида натрия, г/моль;
1 - молярная концентрация соляной кислоты, моль/дм3;
Vk - объем раствора пробы, приготовленный по 7.5.2.3.1, см3;
KHCl(1) - поправочный коэффициент раствора соляной кислоты молярной концентрации 1 моль/дм3 по ГОСТ 25794.1;
25 - объем раствора пробы, взятый на анализ по 7.5.2.3.1, см3;
m1 - масса пробы, взятая для анализа по 7.5.2.3.1, г;
V2 - объем раствора соляной кислоты молярной концентрации c(HCl)=0,05 моль/дм, израсходованный на титрование половины карбоната натрия с метиловым оранжевым, см;
52,99 - молярная масса эквивалента углекислого натрия, г/моль;
0,05 - молярная концентрация соляной кислоты, моль/ дм3;
KHCl(0,5) - поправочный коэффициент раствора соляной кислоты с молярной концентрацией c(HCl)=0,05 моль/дм3 по ГОСТ 25794.1.
7.5.2.3.5 Метрологические характеристики
При соблюдении всех регламентированных условий и проведении анализа в точном соответствии с данной методикой значение погрешности измерений (и ее составляющих) не превышает значений, представленных в таблице 3, по [21].
Таблица 3
|
Наименование компонента |
Диапазон измерений массовой доли, % |
Показатель точности (границы относи- |
Показатель повторяе- |
Показатель воспроизво- |
Предел повторяе- |
Критическая разность для результатов анализа, полученных в двух лабора- |
|
От 30,0 до 55,0 включ. |
0,5 |
0,15 |
0,2 |
0,4 |
0,5 |
|
|
От 0,05 до 0,20 включ. |
28 |
7 |
11 |
19 |
27 |
|
|
|
Св. 0,20 до 0,30 включ. |
20 |
5 |
7,5 |
14 |
18 |
7.6 Определение массовой доли хлорида натрия
7.6.1 Определение массовой доли хлорида натрия в едком натре марок ТР, РР, ТД, РД
7.6.1.1 Сущность метода
Массовую долю хлорида натрия в диапазоне от 0,003% до 5,00% определяют титриметрическим методом, основанным на титровании хлорид-ионов в кислой среде раствором азотнокислой ртути (II) в присутствии дифенилкарбазона. Хлорид-ионы взаимодействуют с образованием слабодиссоциирующего хлорида ртути (II), при этом в конце титрования избыточные ионы ртути (II) с дифенилкарбазоном образуют окрашенное в фиолетовый цвет комплексное соединение, по которому определяют конечную точку титрования, по [24].
7.6.1.2 Аппаратура, посуда, реактивы, растворы
Весы неавтоматического действия с наибольшими пределами взвешивания 200 и 500 г по ГОСТ Р 53228.
Набор гирь по ГОСТ OIML R 111-1.
Бюретки 1-1-2-50-0,1 и 1-1-2-10-0,02 по ГОСТ 29251.
Пипетки 1-2-2-1, 1-2-2-2, 1-2-2-5 и 1-2-2-10 по ГОСТ 29227.
Пипетки 2-2-50 по ГОСТ 29169.
Колбы 2-100-2, 2-500-2, 2-1000-2 по ГОСТ 1770.
Цилиндры 1-50-2, 1-100-2 и 1-250-2 по ГОСТ 1770.
Колба Кн-1-500-29/32 ТХС по ГОСТ 25336.
Капельница 1-50 ХС по ГОСТ 25336.
Стаканчик для взвешивания СВ-34/12, СН-60/14 или стакан В-1-50, В-1-100 ТХС по ГОСТ 25336.
Кислота азотная по ГОСТ 4461, х.ч., концентрированная и раствор с молярной концентрацией c(HNO3)=2 моль/дм3; раствор готовят следующим образом: в мерную колбу вместимостью 1000 см3 приливают мерным цилиндром 250 см3 дистиллированной воды, осторожно при перемешивании и охлаждении прибавляют концентрированную азотную кислоту, охлаждают до комнатной температуры и доводят до метки дистиллированной водой. Объем приливаемой концентрированной азотной кислоты VHNO3, cм3, вычисляют по формуле (7)
где 63,01 - молярная масса эквивалента азотной кислоты, г/моль;
2 - требуемая молярная концентрация раствора азотной кислоты, моль/дм3;
pHNO3 - плотность концентрированной азотной кислоты, г/см3;
CHNO3 - массовая доля основного вещества в концентрированной азотной кислоте, %.
Раствор хранят в темном месте. Раствор годен в течение 1 г.
Натрия гидроокись по ГОСТ 4328, ч., раствор молярной концентрации c(NaOH)=2 моль/дм3; готовят следующим образом: в мерную колбу вместимостью 1000 см3 вносят цилиндром 250 см3 дистиллированной воды, растворяют в ней навеску (80,0±0,1) г гидроокиси натрия, доводят объем раствора в колбе дистиллированной водой до метки и тщательно перемешивают. Раствор хранят в герметично закрытой посуде из полиэтилена. Срок годности раствора - 6 мес.
Вода дистиллированная по ГОСТ 6709.
Ртуть (II) азотнокислая 1-водная по ГОСТ 4520, ч.д.а., растворы молярной концентрации c(1/2Hg(NO3)2·H2O)=0,1 моль/дм3 и c(1/2Hg(NO3)2·H2O)=0,05 моль/дм3. Раствор азотнокислой ртути (II) молярной концентрации c(1/2Hg(NO3)2·H2O)=0,1 моль/дм3 готовят по ГОСТ 25794.3. Раствор азотнокислой ртути (II) молярной концентрации c(1/2Hg(NO3)2·H2O)=0,05 моль/дм3 готовят следующим образом: в мерную колбу вместимостью 100 см3 из бюретки помещают 50 см3 раствора азотнокислой ртути (II) молярной концентрации c(1/2Hg(NO3)2·H2O)=0,1 моль/дм3, объем раствора в колбе доводят дистиллированной водой до метки и тщательно перемешивают. Раствор хранят в темном месте. Срок годности раствора - 1 мес.
Спирт этиловый ректификованный технический по ГОСТ 18300, высший сорт.
Дифенилкарбазон по [25], ч.д.а., спиртовой раствор дифенилкарбазона с массовой долей 1%; готовят по ГОСТ 4919.1. Раствор хранят в склянке из темного стекла при температуре не выше 5 °С. Срок годности раствора - 15 сут.
Бромфеноловый синий по [26], ч.д.а., водно-спиртовой раствор с массовой долей 0,1%; готовят по ГОСТ 4919.1. Раствор хранят в склянке из темного стекла. Срок годности раствора - 15 сут.
7.6.1.3 Проведение анализа
В коническую колбу помещают:
- для марок ТД и РД - 50 см3 раствора А (соответствуют 2,00 г гидроксида натрия) пипеткой вместимостью 50 см3, приливают цилиндром 100 см3 дистиллированной воды, затем осторожно прибавляют цилиндром 25-30 см3 раствора азотной кислоты;
- для марок ТР и РР - навеску пробы, содержащую (20,00±0,01) г гидроксида натрия с массовой долей 100% [массу пробы анализируемого продукта mн вычисляют по формуле (1)], приливают цилиндром 100 см3 дистиллированной воды, затем осторожно при охлаждении прибавляют цилиндром 35-38 см3 концентрированной азотной кислоты.
Приготовленный раствор охлаждают до комнатной температуры. К раствору прибавляют 3 капли раствора бромфенолового синего, добавляют по каплям раствор гидроксида натрия до перехода окраски раствора в голубую, затем добавляют раствор азотной кислоты до перехода окраски раствора снова в желтую и еще 3 капли ее избытка. Доводят объем раствора водой до 200 см3. К полученному раствору прибавляют 5-10 капель раствора дифенилкарбазона и титруют раствором азотнокислой ртути (II) до появления фиолетовой (розовато-лиловой) окраски раствора сравнения. Фиксируют объем раствора азотнокислой ртути (II), израсходованный на титрование анализируемой пробы (V).
Для определения конечной точки титрования одновременно готовят раствор сравнения, для чего в коническую колбу цилиндром вместимостью 250 см3 приливают 200 см3 дистиллированной воды, из капельницы вносят 3 капли раствора бромфенолового синего, пипеткой вместимостью 2 см3 по каплям приливают раствор азотной кислоты до перехода синей окраски раствора в желтую и добавляют еще 3 капли избытка того же раствора.
Затем из капельницы вносят 5-10 капель раствора дифенилкарбазона, перемешивают и титруют раствором азотнокислой ртути (II) молярной концентрации c(1/2Hg(NO3)2·H2O)=0,05 моль/дм3 до перехода желтой окраски раствора в фиолетовую (розовато-лиловую).
Фиксируют объем раствора азотнокислой ртути (II), израсходованный на титрование раствора сравнения (V1).
Проводят два параллельных определения.
7.6.1.4 Обработка результатов измерений
Массовую долю хлорида натрия (X5), (X6), %, в пересчете на Гидроксид натрия с массовой долей 100% вычисляют по формулам:
- для марок ТР и РР (8)![]()
где V - объем раствора азотнокислой ртути (II) молярной концентрации точно c(1/2Hg(NO3)2·H2O)=0,05 моль/дм3, израсходованный на титрование анализируемого раствора, см3;
V1 - объем раствора азотнокислой ртути (II) молярной концентрации точно c(1/2Hg(NO3)2·H2O)=0,05 моль/дм3, израсходованный на титрование раствора сравнения, см3;
58,45 - молярная масса эквивалента хлорида натрия, г/моль;
0,05 - точная молярная концентрация раствора азотнокислой ртути, моль/дм3;
Vk2 - объем раствора А, приготовленного по 7.3.1, см3;
mн - масса пробы, вычисляемая по формуле (1), г;
1/1000 - коэффициент пересчета концентрации раствора азотнокислой ртути (II) из моль/дм3 в моль/см3;
X1 - массовая доля гидроксида натрия, определяемая по 7.5.1, %;
50 - объем раствора А, приготовленного по 7.3.1, см3, взятый для анализа, марок ТД или РД.
7.6.1.5 Метрологические характеристики
При соблюдении всех регламентированных условий и проведении анализа в точном соответствии с данной методикой значение погрешности измерений (и ее составляющих) не превышает значений, представленных в таблице 4, по [24].
Таблица 4
|
Диапазон измерений массовой доли хлорида натрия, % |
Показатель точности (границы относительной погрешности) |
Показатель повторяемости (относительное среднеквад- |
Показатель воспроизво- |
Предел повторяе- |
Критическая разность для результатов анализа, полученных в двух лабораториях, CD0,95, % |
|
От 0,0030 до 0,05 включ. |
30 |
7 |
11 |
19 |
27 |
|
Св.0,05 до 0,50 включ. |
18 |
4 |
6 |
11 |
15 |
|
Св.0,50 до 5,0 включ. |
11 |
2 |
3 |
5,5 |
7 |
7.6.2 Определение массовой доли хлорида натрия в едком натре марок РМ-А, РМ-Б
7.6.2.1 Сущность метода
Массовую долю хлорида натрия в диапазоне от 0,006% до 0,050% определяют турбидиметрическим методом, основанным на измерении ослабления интенсивности светового потока дисперсной фазой (хлоридом серебра), образованной при взаимодействии хлорида натрия с нитратом серебра в кислой среде по [27].
7.6.2.2 Аппаратура, посуда, реактивы, растворы
Фотоколориметр или спектрофотометр, обеспечивающий измерение при длине волны 490 нм.
Весы неавтоматического действия с наибольшими пределами взвешивания 200 и 500 г по ГОСТ Р 53228.
Набор гирь по ГОСТ OIML R 111-1.
Стандартный образец состава раствора хлорид-ионов с массовой концентрацией 1 мг/см(ГСО 7262-96).
Раствор хлорид-ионов с массовой концентрацией 10 мкг/см3. Раствор готовят разбавлением в 100 раз раствора ГСО 7262-96 с массовой концентрацией 1 мг/см3 дистиллированной водой. Для этого пипеткой помещают 1 см3 раствора ГСО 7262-96 в мерную колбу вместимостью 100 см3 и доводят объем раствора в колбе водой до метки. Допускается готовить раствор с массовой концентрацией хлорид-ионов 10 мкг/см3 по ГОСТ 4212 из хлористого натрия по ГОСТ 4233. Раствор используют свежеприготовленным.
Цилиндры 1-10-2 и 1-25-2 по ГОСТ 1770.
Пипетки 1-1-2-1, 1-1-2-2, 1-1-2-5 и 1-1-2-10 по ГОСТ 29227.
Пипетки 1-2-1, 1-2-2, 1-2-5 и 1-2-10 по ГОСТ 29169.
Колбы 1-50-2 и 1-100-2 по ГОСТ 1770.
Бумага индикаторная универсальная.
Стаканы В-1-100 ТС по ГОСТ 25336.
Секундомер механический по [23].
Кислота азотная концентрированная по ГОСТ 4461, х.ч.
Серебро азотнокислое по ГОСТ 1277, ч.д.а., раствор молярной концентрации c(AgNO3)=0,1 моль/дм3; готовят по ГОСТ 25794.3. Срок годности - 1 мес.
Натрий хлористый по ГОСТ 4233, х.ч.
Вода дистиллированная по ГОСТ 6709.
7.6.2.3 Построение градуировочного графика
Готовят градуировочные растворы с содержанием хлорида натрия 16,5; 41,25; 82,5; 165; 330 мкг и контрольный раствор, не содержащий Хлорид натрия. В мерные колбы вместимостью 50 см3 каждая помещают 15 см3 дистиллированной воды, 2 см3 азотной кислоты, 1,0; 2,5; 5,0; 10,0; 20,0 см соответственно раствора хлорид-ионов с массовой концентрацией 10 мкг/см3, 1 см3 раствора азотнокислого серебра. Доводят объем раствора в каждой колбе дистиллированной водой до метки и тщательно перемешивают. Приготовленная серия градуировочных растворов содержит 16,5; 41,25; 82,5; 165; 330 мкг хлорида натрия и контрольный раствор, не содержащий Хлорид натрия. Готовят не менее трех серий градуировочных растворов.
По истечении 15 мин после приготовления каждой серии градуировочных растворов измеряют их оптическую плотность на фотоколориметре или спектрофотометре при длине волны 490 нм и толщине поглощающего свет оптического слоя 50 мм по отношению к контрольному раствору. Рассчитывают средние значения оптической плотности di для растворов с одинаковым содержанием хлорида натрия. По полученным данным строят градуировочный график, откладывая по оси ординат значения оптической плотности di градуировочных растворов, по оси абсцисс - соответствующие им значения массы хлорида натрия Ci (мкг). Допускается не строить градуировочный график, а аппроксимировать градуировочную зависимость линейной функцией вида d=a+bC, с расчетом градуировочных коэффициентов a и b методом наименьших квадратов.
7.6.2.4 Проведение анализа
В стакане взвешивают анализируемую пробу m1 (разность масс пустого стакана и стакана с навеской пробы), результат взвешивания в граммах записывают с точностью до второго десятичного знака. При определении массовой доли хлорида натрия масса гидроксида натрия в анализируемой пробе должна находиться в диапазоне от 0,45 до 0,55 г, для значения m1 должно выполняться неравенство (10)
где X3 - массовая доля гидроксида натрия в анализируемом растворе, определяемая по 7.5.2, %.
В стакан с навеской пробы приливают 10 см3 воды, осторожно нейтрализуют азотной кислотой и доводят pH до 2-3, контролируя его значение по универсальной индикаторной бумаге. Раствор количественно переносят в мерную колбу вместимостью 50 см3, ополаскивая стакан 5 см3 воды. Затем добавляют 2 см3 азотной кислоты, 1 см3 раствора азотнокислого серебра, доводят объем раствора в колбе дистиллированной водой до метки, тщательно перемешивают. По истечении 15 мин измеряют оптическую плотность полученного раствора по отношению к контрольному раствору при длине волны 490 нм и толщине поглощающего свет оптического слоя 50 мм.
Проводят два параллельных определения.
7.6.2.5 Обработка результатов
Массовую долю хлорида натрия (X7), %, в пересчете на Гидроксид натрия с массовой долей 100% вычисляют по формуле (11)
где C - масса хлорида натрия в анализируемой пробе, найденная по градуировочному графику или по коэффициентам градуировочной зависимости, мкг;
m1 - масса раствора едкого натра, взятого для анализа, г;
X3 - массовая доля гидроксида натрия в анализируемой пробе, определяемая по 7.5.2, %.
7.6.2.6 Метрологические характеристики
При соблюдении всех регламентированных условий и проведении анализа в точном соответствии с данной методикой значение погрешности измерений (и ее составляющих) не превышает значений, представленных в таблице 5, по [27].
Таблица 5
|
Диапазон измерений массовой доли хлорида натрия, % |
Показатель точности (границы относительной погрешности) , %, при P=0,95 |
Показатель повторяемости (относительное среднеквад- |
Показатель воспроизво- |
Предел повторяе- |
Критическая разность для результатов анализа, полученных в двух лабораториях, CD0,95, % |
|
От 0,006 до 0,025 включ. |
20 |
5 |
8 |
14 |
20 |
|
Св. 0,025 до 0,050 включ. |
13 |
3 |
4,5 |
8 |
11 |
7.7 Определение массовой доли железа
7.7.1 Определение массовой доли железа в пересчете на Оксид железа (III) в едком натре марок ТР, РР, ТД, РД
Определение массовой доли железа в пересчете на Оксид железа (III) проводят по ГОСТ 10555.
При этом в коническую колбу вместимостью 100 см3 пипеткой помещают:
- 20 см3 раствора А, приготовленного по 7.3.1 (соответствуют 0,80 г NaOH), - для марок ТР, РР, РД (высший сорт);
- 5 см3 раствора А, приготовленного по 7.3.1 (соответствуют 0,20 г NaOH), - для марок ТД, РД (первый сорт).
Если требуется, объем раствора доводят до 20 см3 водой, осторожно нейтрализуют по универсальной индикаторной бумаге 25%-ным раствором соляной кислоты, прибавляют 1 см3 ее избытка и нагревают до кипения. Раствор охлаждают, количественно переносят в мерную колбу вместимостью 50 см3 и далее определение проводят сульфосалициловым методом.
Массовую долю железа в пересчете на Оксид железа (III) (X8), %, вычисляют по формуле (12)
где m1 - масса железа, найденная по градуировочному графику, мг;
1,43 - коэффициент пересчета эквивалентной массы железа на эквивалентную массу оксида железа (III);
m - масса гидроксида натрия в анализируемой пробе, г.
7.7.2 Определение массовой доли железа в едком натре марок РМ-А, РМ-Б
7.7.2.1 Сущность метода
Массовую долю железа в диапазоне от 0,0005% до 0,0025% определяют фотоколориметрическим методом, основанным на образовании окрашенного комплексного соединения ионов железа и сульфосалициловой кислоты в аммиачной среде по [28].
7.7.2.2 Аппаратура, посуда, реактивы, растворы
Фотоколориметр или спектрофотометр любого типа, обеспечивающий измерения при длине волны 440 нм.
Весы неавтоматического действия с наибольшими пределами взвешивания 200 и 500 г по ГОСТ Р 53228.
Набор гирь по ГОСТ OIML R 111-1.
Государственный стандартный образец состава водного раствора ионов железа (III) массовой концентрацией 1 г/дм3(1 мг/см3): ГСО 8032-94 (5-К1) или ГСО 7254-96.
Раствор ионов железа с массовой концентрацией 10 мкг/см3; готовят разбавлением в 100 раз раствора ГСО 8032-94 (5К-1) или ГСО 7254-96 массовой концентрацией 1 г/дм3 дистиллированной водой. Для этого пипеткой помещают 1 см3 раствора ГСО в мерную колбу вместимостью 100 см3, доводят объем раствора в колбе водой до метки и тщательно перемешивают. Раствор используют свежеприготовленным.
Цилиндр 1-50-2 по ГОСТ 1770.
Пипетки 1-1-2-1, 1-1-2-2, 1-1-2-5 и 1-1-2-10 по ГОСТ 29227.
Пипетки 1-2-1, 1-2-2 и 1-2-5 по ГОСТ 29169.
Колбы 1-50-2 и 1-100-2 по ГОСТ 1770.
Бумага индикаторная универсальная.
Стакан В-1-100 по ГОСТ 25336.
Секундомер механический по [23].
Плитка электрическая по ГОСТ 14919.
Кислота азотная концентрированная по ГОСТ 4461, х.ч.
Вода дистиллированная по ГОСТ 6709.
Кислота сульфосалициловая по ГОСТ 4478, ч.д.а., раствор сульфосалициловой кислоты с массовой долей 10%; готовят растворением (10,00±0,01) г сульфосалициловой кислоты в 90,0 см3 дистиллированной воды. Раствор используют свежеприготовленным.
аммиак водный по ГОСТ 3760, ч.д.а.
7.7.2.3 Построение градуировочного графика
Готовят градуировочные растворы с содержанием 10; 20; 30; 40; 65 мкг ионов железа (III) и контрольный раствор, не содержащий ионы железа (III).
В мерные колбы вместимостью 50 см3 каждая помещают 30 см3 дистиллированной воды, 1,0; 2,0; 3,0; 4,0; 6,5 см3 соответственно раствора ионов железа с массовой концентрацией 10 мкг/см3, 2 см3 раствора сульфосалициловой кислоты и перемешивают. Приливают 5 см3 раствора аммиака, доводят объем раствора в колбе водой до метки и тщательно перемешивают. Повторяют операции без исходного раствора. Готовят не менее трех серий градуировочных растворов. Растворы используют свежеприготовленными.
По истечении 15 мин после приготовления каждой серии градуировочных растворов измеряют их оптическую плотность на фотоколориметре или спектрофотометре при длине волны 440 нм в кюветах с толщиной поглощающего свет оптического слоя 50 мм по отношению к контрольному раствору. Рассчитывают средние значения оптической плотности di для растворов с одинаковым содержанием ионов железа (III). По полученным данным строят градуировочный график, откладывая по оси ординат значения оптической плотности di градуировочных растворов, по оси абсцисс - соответствующие им значения массы ионов железа (III) Ci (мкг). Допускается не строить градуировочный график, а аппроксимировать градуировочную зависимость линейной функцией вида d=a+bC с расчетом градуировочных коэффициентов a и b методом наименьших квадратов.
7.7.2.4 Проведение анализа
В стакане взвешивают анализируемую пробу m1 (разность масс пустого стакана и стакана с навеской пробы). Результат взвешивания в граммах записывают с точностью до второго десятичного знака. При определении массовой доли ионов железа (III) масса m гидроксида натрия в анализируемой пробе должна находиться в диапазоне от 2,45 до 2,55 г, для значения m1 должно выполняться неравенство (13)
где X3 - массовая доля гидроксида натрия в анализируемом растворе, определяемая по 7.5.2, %.
В стакан с навеской пробы m1 приливают 15 см3 воды, осторожно нейтрализуют азотной кислотой и доводят pH до 2-3, контролируя его значение по универсальной индикаторной бумаге. Добавляют 0,5 см3 азотной кислоты и кипятят в течение 5 мин. После охлаждения раствор переносят в мерную колбу вместимостью 50 см3, приливают 2 см3 раствора сульфасалициловой кислоты и перемешивают. Приливают 5 см3 раствора аммиака, доводят объем раствора в колбе дистиллированной водой до метки и тщательно перемешивают.
Измеряют оптическую плотность полученного раствора на фотоколориметре или спектрофотометре при длине волны 440 нм и толщине поглощающего свет оптического слоя 50 мм по отношению к контрольному раствору.
По полученному значению оптической плотности, пользуясь градуировочным графиком, находят массу ионов железа (III) в анализируем растворе в микрограммах.
Проводят два параллельных определения.
7.7.2.5 Обработка результатов
Массовую долю железа (III) (X9), %, в пересчете на Гидроксид натрия с массовой долей 100% вычисляют по формуле (14)
где C - масса железа (III) в пробе, найденная по градуировочному графику или по коэффициентам градуировочной зависимости, мкг;
m1 - масса раствора едкого натра, взятая для анализа, г;
X3 - массовая доля гидроксида натрия в анализируемой пробе, определяемая по 7.5.2, %.
7.7.2.6 Метрологические характеристики
При соблюдении всех регламентированных условий и проведении анализа в точном соответствии с данной методикой значение погрешности измерений (и ее составляющих) не превышает значений, представленных в таблице 6, по [28].
Таблица 6
|
Диапазон измерений массовой доли железа, % |
Показатель точности (границы относительной погрешности) |
Показатель повторяемости (относительное среднеквад- |
Показатель воспроизво- |
Предел повторяе- |
Критическая разность для результатов анализа, полученных в двух лабораториях, CD0,95, % |
|
От 0,0005 до 0,0010 включ. |
33 |
8 |
12 |
22 |
29 |
|
Св. 0,0010 до 0,0025 включ. |
22 |
5 |
8 |
14 |
20 |
7.8 Определение суммы массовых долей оксидов железа и алюминия в едком натре марок ТР, РР
7.8.1 Сущность метода
Сумму массовых долей оксидов железа и алюминия в диапазоне от 0,005% до 0,050% определяют гравиметрическим методом, основанным на нейтрализации пробы гидроксида натрия соляной кислотой, выделении железа и алюминия в виде оксидов, прокаливании и озолении осадка по [29].
7.8.2 Аппаратура, посуда, реактивы, растворы
Весы неавтоматического действия с наибольшими пределами взвешивания 200 и 500 г по ГОСТ Р 53228.
Набор гирь по ГОСТ OILM R 111-1.
Цилиндры 1-25-2, 1-50-2, 1-100-2 и 1-250-2 по ГОСТ 1770.
Пипетки 1-2-2-1, 1-2-2-5 и 1-2-2-10 по ГОСТ 29227.
Колбы 1-1000-2, 1-500-2, 1-100-2 по ГОСТ 1770.
Печь муфельная любого типа, обеспечивающая нагрев в интервале температур 950 °С - 1100 °С.
Шкаф сушильный любого типа, обеспечивающий нагрев в интервале температур 105 °С - 110 °С.
Баня водяная и баня песчаная.
Воронка лабораторная В-56-80 ХС по ГОСТ 25336.
Плитка электрическая по ГОСТ 14919.
Секундомер механический по [23].
Стакан В-1-600 ТХС, В-1-800 ТХС по ГОСТ 25336.
Фильтры обеззоленные "красная лента" по [30].
Чашка выпарительная 5 или 6 по ГОСТ 9147.
Чаша кварцевая вместимостью 50 или 100 см3 по ГОСТ 19908.
Тигель фарфоровый 4 или 5 по ГОСТ 9147.
аммиак водный по ГОСТ 3760, ч.д.а., разбавленный 1:1 по объему; готовят следующим образом: 250 см3 раствора аммиака с массовой долей 25% помещают в мерную колбу вместимостью 500 см3 и доводят объем дистиллированной водой до метки. Срок годности раствора - 1 неделя.
Кислота азотная по ГОСТ 4461, х.ч.
Серебро азотнокислое по ГОСТ 1277, х.ч., раствор молярной концентрации c(AgNO3)=0,1 моль/дм3; готовят следующим образом: растворяют (17,00±0,01) г азотнокислого серебра в (300±100) см3 дистиллированной воды, добавляют (5,00±0,01) см3 азотной кислоты, количественно переносят полученный раствор в мерную колбу вместимостью 1000 см3, доводят объем раствора в колбе дистиллированной водой до метки и перемешивают. Раствор хранят в склянке из темного стекла. Срок годности раствора - 6 мес.
Вода дистиллированная по ГОСТ 6709.
Аммоний хлористый по ГОСТ 3773, х.ч., раствор, не содержащий железо; готовят по ГОСТ 4517. Срок годности раствора - 1 мес.
Аммоний азотнокислый по ГОСТ 22867, ч.д.а., раствор с массовой долей 2%; готовят следующим образом: растворяют навеску азотнокислого аммония (2,00±0,01) г в 30 см3 дистиллированной воды и количественно переносят в мерную колбу вместимостью 100 см3. Доводят объем раствора в колбе водой до метки и тщательно перемешивают. Срок годности раствора - 1 мес.
кислота соляная по ГОСТ 3118, х.ч.
Универсальная индикаторная бумага.
7.8.3 Проведение анализа
В выпарительную чашку помещают навеску анализируемой пробы mн содержащую (20,00±0,01) г гидроксида натрия с массовой долей 100%. Массу навески mн в граммах вычисляют по формуле (1).
Отобранную пробу растворяют в 50 см3 дистиллированной воды (для марки ТР) или 25 см3 дистиллированной воды (для марки РР), осторожно нейтрализуют по универсальной индикаторной бумаге 50 см3 соляной кислоты, не допуская разбрызгивания пробы.
Полученный раствор выпаривают досуха на песчаной бане, сушат в течение 1 ч при температуре 105 °С - 110 °С. После сушки осадок смачивают 10 см3 соляной кислоты и через 1-2 мин приливают 100 см3 кипящей дистиллированной воды. Раствор выдерживают 5 мин и горячий раствор фильтруют через фильтр, при этом собирают фильтрат и промывные воды в стакан. Осадок на фильтре промывают горячей дистиллированной водой до отрицательной реакции на ион хлора с азотнокислым серебром.
Фильтрат и промывные воды выпаривают до объема приблизительно 200 см3, добавляют 1 см3 азотной кислоты, нагревают раствор до кипения и кипятят в течение 5 мин.
Затем приливают 10 см3 раствора хлористого аммония, нагревают раствор до кипения и по каплям добавляют раствор аммиака до выпадения осадка и 2-3 капли избытка. Раствор с осадком оставляют на водяной бане на 2-3 мин.
Горячий раствор фильтруют через фильтр "красная лента", осадок на фильтре промывают раствором азотнокислого аммония до отрицательной реакции на ион хлора с азотнокислым серебром.
Фильтр с осадком помещают в прокаленную до постоянной массы кварцевую чашу или тигель, высушивают, озоляют и прокаливают до постоянной массы при температуре 950 °С - 1100 °С.
Проводят два параллельных определения.
7.8.4 Обработка результатов
Сумму массовых долей оксидов железа и алюминия (X10), %, в пересчете на Гидроксид натрия с массовой долей 100% вычисляют по формуле (15)
где m1 - масса прокаленного остатка, г;
mн - масса пробы, взятая для анализа, вычисляемая по формуле (1), г;
X1 - массовая доля гидроксида натрия в анализируемом продукте, определяемая по 7.5.1, %.
7.8.5 Метрологические характеристики
При соблюдении всех регламентированных условий и проведении анализа в точном соответствии с данной методикой значение погрешности измерений (и ее составляющих) не превышает значений, представленных в таблице 7, по [29].
Таблица 7
|
Диапазон |
Показатель точности (границы относительной погрешности) |
Показатель повторяемости (относительное среднеквад- |
Показатель воспроизво- |
Предел повторяе- |
Критическая разность для результатов анализа, полученных в двух лабораториях, CD0,95, % |
|
От 0,005 до 0,010 включ. |
50 |
14 |
21 |
39 |
51 |
|
Св. 0,010 до 0,050 включ. |
25 |
7 |
11 |
19 |
27 |
7.9 Определение массовой доли кремниевой кислоты в пересчете на диоксид кремния
Определение проводят по ГОСТ 10671.1. При этом 5 см3 раствора А, приготовленного по 7.3.1 (соответствуют 0,20 г NaOH), для марок ТР и РР помещают в мерную колбу вместимостью 50 см3 с меткой на 20 см3, нейтрализуют раствором серной кислоты по ГОСТ 4204 с массовой долей 20% в присутствии 1-2 капель раствора п-нитрофенола, приготовленного по ГОСТ 4919.1, при необходимости доводят объем раствора водой до 20 см3. Далее определение проводят по способу 1, приведенному в ГОСТ 10671.1.
7.10 Определение массовой доли сульфата натрия
7.10.1 Определение массовой доли сульфата натрия в едком натре марок ТР, РР, ТД
7.10.1.1 Проведение анализа
Определение проводят по ГОСТ 10671.5. При этом 5 см3 раствора А, приготовленного по 7.3.1 (соответствуют 0,20 г NaOH), для марок ТР и РР и 20 см3 раствора Б, приготовленного по 7.3.2 (соответствуют 0,032 г NаOH), для марки ТД нейтрализуют раствором соляной кислоты по ГОСТ 3118 с массовой долей 25% в присутствии 1-2 капель раствора п-нитрофенола, приготовленного по ГОСТ 4919.1, доводят объем раствора водой до 25 см3 и далее определение проводят фототурбидиметрическим методом, допускается заканчивать определение визуально-нефелометрическим методом.
7.10.1.2 Обработка результатов
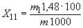
Массовую долю сульфата натрия (X11), %, вычисляют по формуле (16)
где m1 - масса сульфатов, найденная по градуировочному графику, мг;
1,48 - коэффициент пересчета эквивалентной массы сульфатов на эквивалентную массу сульфата натрия;
m - масса гидроксида натрия в анализируемой пробе, г.
При разногласиях в оценке массовой доли сульфата натрия анализ заканчивают фототурбидиметрическим методом.
7.10.2 Определение массовой доли сульфата натрия в едком натре марок РМ-А, РМ-Б
7.10.2.1 Сущность метода
Массовую долю сульфата натрия в диапазоне от 0,0020% до 0,016% определяют турбидиметрическим методом, основанным на измерении ослабления интенсивности светового потока дисперсной фазой (сульфатом бария), образованного при взаимодействии сульфата натрия с хлоридом бария в кислой среде, по [31].
7.10.2.2 Аппаратура, посуда, реактивы, растворы
Фотоколориметр или спектрофотометр любого типа, обеспечивающий измерения при длине волны 490 нм.
Весы неавтоматического действия с наибольшими пределами взвешивания 200 и 500 г по ГОСТ Р 53228.
Набор гирь по ГОСТ OIML R 111-1.
Колбы 1-100-2 и 1-500-2 по ГОСТ 1770.
Пипетки 1-1-2-1, 1-1-2-2, 1-1-2-5 и 1-1-2-10 по ГОСТ 29227.
Пипетки 1-2-1 и 1-2-5 по ГОСТ 29169.
Цилиндры 1-25-2, 1-50-2, 1-100-2 и 1-500-2 по ГОСТ 1770.
Секундомер механический по [23].
Стандартный образец состава раствора сульфат-ионов массовой концентрацией 1 мг/см3 (ГСО 7253-96).
Стаканы В-1-100 ТС и В-1-500 ТС по ГОСТ 25336.
Бумага индикаторная универсальная.
Колба Кн-1-100-14/23 по ГОСТ 25336.
Фильтр обеззоленный "синяя лента" по [30].
Мешалка магнитная лабораторная типа М901 или любая другая.
кислота соляная по ГОСТ 3118, х.ч.
Спирт этиловый ректификованный технический по ГОСТ 18300, высший cорт или спирт этиловый ректификованный из пищевого сырья по ГОСТ Р 51652.
Вода дистиллированная по ГОСТ 6709.
Бария хлорид 2-водный по ГОСТ 4108, ч.д.а., водный раствор с массовой долей 10% и водно-спиртовой раствор с массовой долей 10%. Растворы готовят следующим образом: водный раствор хлорида бария с массовой долей 10% готовят растворением навески (10,00±0,05) г хлорида бария в 90 см3 дистиллированной воды. Срок годности - 1 мес; водно-спиртовой раствор хлорида бария готовят растворением навески (10,00±0,05) г хлорида бария в 60 см3 дистиллированной воды, затем водный раствор переносят в мерную колбу вместимостью 100 см3, приливают 25 см3 этилового спирта, разбавляют дистиллированной водой до метки и перемешивают. Срок годности - 1 мес.
Натрия хлорид по ГОСТ 4233, х.ч., раствор готовят следующим образом: навеску (100±0,5) г хлорида натрия растворяют в 400 см3 воды в стакане вместимостью 500 см3, подкисляют соляной кислотой до pH 2-3, контролируя значение pH по универсальной индикаторной бумаге, нагревают до температуры (90±5) °С и приливают 30 см3 водного раствора хлорида бария, перемешивают и оставляют на 18-20 ч. Раствор фильтруют через обеззоленный фильтр "синяя лента" в мерную колбу вместимостью 500 см3 и разбавляют водой до метки. Срок годности раствора - 1 мес.
7.10.2.3 Построение градуировочного графика
Готовят градуировочные растворы с массовой долей сульфата натрия 0,0083; 0,0062; 0,0041; 0,0021 и 0,0010%.
В мерные колбы вместимостью 100 см3 каждая пипеткой вместимостью 10 см3 помещают 5,6; 4,2; 2,8; 1,4; 0,7 см3 соответственно раствора стандартного образца состава сульфат-иона, доводят объем раствора дистиллированной водой до метки и тщательно перемешивают.
В мерные цилиндры вместимостью 50 см3 помещают 30 см3 раствора хлорида натрия, добавляют по 3 см3 приготовленного раствора сульфат-иона, 1 см3 соляной кислоты, 5 см3 водно-спиртового раствора хлорида бария. Доводят объем раствора в цилиндре до 50 см3, переносят в коническую колбу, перемешивают на магнитной мешалке в течение (60±5) с. Через (30±5) мин снова перемешивают на магнитной мешалке в течение (15±5) с.
Вычисляют точные значения массовых долей сульфата натрия (Ci), %, в градуировочных растворах по формуле (17)
где Vi - объем раствора ГСО сульфат-иона, взятый для приготовления i-го градуировочного раствора, м3;
X(ГСО) - фактическое значение аттестованной характеристики образца ГСО (содержание сульфат-иона), использованного для приготовления i-го градуировочного раствора, мг/см3;
1,48 - коэффициент пересчета массовой доли сульфат-иона в массовую долю сульфата натрия;
10-3 - коэффициент пересчета в процентную концентрацию, 1/г.
Одновременно готовят контрольный раствор.
Готовят не менее трех серий градуировочных растворов.
Градуировочные растворы используют свежеприготовленными.
Измеряют оптическую плотность градуировочных растворов на фотоколориметре или спектрофотометре при длине волны 490 нм и толщине поглощающего свет оптического слоя 50 мм по отношению к контрольному раствору.
Рассчитывают средние значения оптической плотности di для растворов с одинаковым содержанием сульфата натрия.
По полученным данным строят градуировочный график, откладывая по оси ординат значения оптической плотности градуировочных растворов di, по оси абцисс - соответствующие им значения массовой доли сульфата натрия Ci (%).
Допускается, не строя градуировочный график, аппроксимировать градуировочную зависимость линейной функцией вида d=a+bC, с расчетом градуировочных коэффициентов a и b методом наименьших квадратов.
7.10.2.4 Проведение анализа
В стакане взвешивают навеску (3,00±0,05) г анализируемого раствора (результат взвешивания в граммах записывают с точностью до второго десятичного знака). Приливают 10 см3 воды и осторожно нейтрализуют при охлаждении соляной кислотой до pH 2-3 по универсальной индикаторной бумаге. Раствор количественно переносят в мерный цилиндр вместимостью 50 см3, ополаскивая стакан 5 см3 воды. Затем приливают 20 см3 раствора хлорида натрия, разбавляют водой до метки 40 см3, приливают 1 см3 соляной кислоты, 5 см3 водно-спиртового раствора хлорида бария, разбавляют водой до 50 см3, переносят в коническую колбу, перемешивают на магнитной мешалке в течение (60±5) с и через (30±5) мин снова перемешивают на магнитной мешалке в течение (15±5) с.
Измеряют оптическую плотность полученного раствора пробы на фотоколориметре или спектрофотометре при длине волны 490 нм и толщине поглощающего свет оптического слоя 50 мм по отношению к контрольному раствору.
Проводят два параллельных измерения.
7.10.2.5 Обработка результатов
Массовую долю сульфата натрия (X12), %, в пересчете на Гидроксид натрия с массовой долей 100% вычисляют по формуле (18)
где C - массовая доля сульфата натрия в пробе, найденная по градуировочному графику или коэффициентам градуировочной зависимости, %;
X3 - массовая доля гидроксида натрия в анализируемой пробе, определяемая по 7.5.2, %.
7.10.2.6 Метрологические характеристики
При соблюдении всех регламентированных условий и проведении анализа в точном соответствии с данной методикой значение погрешности измерений (и ее составляющих) не превышает значений, представленных в таблице 8, по [31].
Таблица 8
|
Диапазон измерений массовой доли сульфата натрия, % |
Показатель точности (границы относительной погрешности) |
Показатель повторяемости (относительное среднеквад- |
Показатель воспроизво- |
Предел повторяе- |
Критическая разность для результатов анализа, полученных в двух лабораториях, CD0,95, % |
|
От 0,0020 до 0,005 включ. |
40 |
8 |
12 |
22 |
29 |
|
Св. 0,005 до 0,008 включ. |
30 |
6 |
9 |
17 |
22 |
|
Св. 0,008 до 0,016 включ. |
20 |
4 |
6 |
11 |
15 |
7.11 Определение суммы массовых долей кальция и магния в пересчете на кальций
7.11.1 Сущность метода
Сумму массовых долей кальция и магния в пересчете на кальций в диапазоне от 0,002% до 0,020% определяют титриметрическим методом, основанным на нейтрализации гидроксида натрия соляной кислотой и титровании в щелочной среде ионов кальция и магния трилоном Б в присутствии индикатора эриохрома черного Т по [32].
7.11.2 Аппаратура, посуда, реактивы, растворы
Весы неавтоматического действия с наибольшими пределами взвешивания 200 и 500 г по ГОСТ Р 53228.
Набор гирь по ГОСТ OIML R 111-1.
Колбы 1-100-2, 1-1000-2 по ГОСТ 1770.
Цилиндры 1-50-2, 1-100-2, 1-250-2 по ГОСТ 1770.
Пипетка 1-2-2-5 по ГОСТ 29227.
Бюретки 1-1-2-10-0,02 и 1-1-2-25-0,05 по ГОСТ 29251.
Бумага индикаторная универсальная.
Колбы Кн-1-250-29/32, Кн-1-500-29/32 ТХС по ГОСТ 25336.
Стаканы В-1-100(150) ТХС, Н-1-100(150) ТХС по ГОСТ 25336.
кислота соляная по ГОСТ 3118, х.ч., раствор с массовой долей 25%; готовят следующим образом: в коническую колбу вместимостью 250 см3 наливают 50 см3 дистиллированной воды, осторожно порциями при перемешивании и охлаждении вливают концентрированную соляную кислоту. Объем приливаемой концентрированной соляной кислоты VHCl, см3, вычисляют по формуле (19)
где 50 - объем дистиллировавнной воды, взятый для приготовления раствора соляной кислоты, см3;
pв - плотность дистиллированной воды, г/см3(pв=1 г/см3);
25 - массовая доля основного вещества в приготовляемом растворе соляной кислоты, %;
pHCl - плотность концентрированной соляной кислоты, г/см;
CHCl - массовая доля основного вещества в концентрированной соляной кислоте, %.
Раствор хранят в герметично закрытой стеклянной посуде. Срок годности раствора - 6 мес.
Спирт этиловый ректификованный технический по ГОСТ 18300, высший сорт.
Соль динатриевая этилендиамин-N, N, N', N'-тетрауксусной кислоты 2-водная (трилон б) по ГОСТ 10652, х.ч., растворы молярной концентрации c(ди-Nа-ЭДТА)=0,05 моль/дм3 и c(ди-Nа-ЭДТА)=0,01 моль/дм3. Раствор трилона Б молярной концентрации c(ди-Nа-ЭДТА)=0,05 моль/дм3 готовят по ГОСТ 10398. Для приготовления раствора трилона Б молярной концентрации c(ди-Nа-ЭДТА)=0,01 моль/дм3 в мерную колбу вместимостью 100 см3 из бюретки приливают 20 см3 раствора трилона Б молярной концентрации c(ди-Nа-ЭДТА)=0,05 моль/дм3, объем раствора в колбе доводят дистиллированной водой до метки и тщательно перемешивают. Раствор используют свежеприготовленным.
Магний по ГОСТ 804 марки Мг 98, раствор молярной концентрации ионов магния c(Mg2+)=0,01 моль/дм3; готовят следующим образом: навеску магния (0,2431±0,0001) г, промытого этиловым спиртом и высушенного, помещают в стакан вместимостью 100 см3, добавляют по каплям раствор соляной кислоты до полного растворения металла. Затем раствор количественно переносят в мерную колбу вместимостью 1000 см3, доводят объем раствора дистиллированной водой до метки и тщательно перемешивают. Раствор хранят в герметично закрытой стеклянной посуде. Срок годности раствора - 1 мес.
Буферный раствор с pH 9,5-10,0 готовят по ГОСТ 10398. Раствор хранят в защищенном от света месте. Срок годности раствора - 6 мес.
Вода дистиллированная по ГОСТ 6709.
Эриохром черный Т, индикаторная смесь, готовят по ГОСТ 4919.1.
7.11.3 Подготовка к анализу
7.11.3.1 Приготовление контрольного раствора
В коническую колбу вместимостью 500 см3 вносят 200 см3 дистиллированной воды, добавляют 5,0 см буферного раствора, 5,0 см3 раствора хлорида магния с молярной концентрацией ионов магния c(Mg2+)=0,01 моль/дм3, 0,1 г индикаторной смеси и перемешивают.
7.11.3.2 Подготовка пробы
В стакан помещают навеску пробы, содержащую (20,00±0,01) г гидроксида натрия с массовой долей 100%. Массу навески анализируемой пробы mн в граммах рассчитывают по формуле (1).
Навеску растворяют в 50 см3 дистиллированной воды, затем нейтрализуют раствором соляной кислоты, контролируя нейтрализацию по универсальной индикаторной бумаге, количественно переносят содержимое стакана в коническую колбу вместимостью 500 см3, добавляют дистиллированной воды до объема 200 см3 и перемешивают.
7.11.4 Проведение анализа
В подготовленную пробу добавляют 5,0 см3 буферного раствора, 5,0 см3 раствора магния с молярной концентрацией ионов магния с(Mg2+)=0,01 моль/дм3, 0,1 г индикаторной смеси и титруют раствором трилона Б молярной концентрации с(ди-Nа-ЭДТА)=0,01 моль/дм3 до перехода фиолетовой окраски раствора в синюю. Фиксируют объем раствора трилона Б молярной концентрации с(ди-Nа-ЭДТА)=0,01 моль/дм3, израсходованный на титрование анализируемого раствора (V).
Одновременно титруют контрольный раствор, содержащий в таком же объеме 5,0 см3 буферного раствора, 5,0 см3 раствора хлорида магния с молярной концентрацией ионов магния c(Mg2+)=0,01 моль/дм3, 0,1 г индикаторной смеси. Фиксируют объем раствора трилона Б молярной концентрации c(ди-Nа-ЭДТА)=0,01 моль/дм3, израсходованный на титрование (V1).
Проводят два параллельных определения.
7.11.5 Обработка результатов
Сумму массовых долей кальция и магния в пересчете на кальций (X13), %, вычисляют по формуле (20)
где V - объем раствора трилона Б молярной концентрации точно c(ди-Nа-ЭДТА)=0,01 моль/дм3, израсходованный на титрование анализируемого раствора, см3;
V1 - объем раствора трилона Б молярной концентрации точно c(ди-Nа-ЭДТА)=0,01 моль/дм3, израсходованный на титрование контрольного раствора, см3;
40,08 - молярная масса эквивалента кальция, г/моль;
0,01 - молярная концентрация раствора трилона Б, моль/дм3;
mн - масса навески пробы, взятая для анализа, г;
1000 - коэффициент пересчета концентрации титранта из моль/дм3 в моль/см3;
X1 - массовая доля гидроксида натрия в анализируемом продукте, определяемая по 7.5.1, %.
7.11.6 Метрологические характеристики
При соблюдении всех регламентированных условий и проведении анализа в точном соответствии с данной методикой значение погрешности измерений (и ее составляющих) не превышает значений, представленных в таблице 9, по [32].
Таблица 9
|
Диапазон измерений суммы массовых долей кальция и магния, % |
Показатель точности (границы относительной погрешности) |
Показатель повторяемости (относительное среднеквад- |
Показатель воспроизво- |
Предел повторяе- |
Критическая разность для результатов анализа, полученных в двух лабораториях, CD0,95, % |
|
От 0,002 до 0,004 включ. |
45 |
12 |
18 |
33 |
44 |
|
Св. 0,004 до 0,020 включ. |
25 |
6 |
9 |
17 |
22 |
7.12 Определение массовой доли хлората натрия
7.12.1 Определение массовой доли хлората натрия в едком натре марок ТР, РР, ТД, РД
7.12.1.1 Сущность метода
Массовую долю хлората натрия в диапазоне от 0,001% до 0,50% определяют методом йодометрического титрования. Метод определения основан на последовательном выделении свободного брома из бромида калия при реакции его с окислителем хлоратом натрия, а затем на выделении йода из йодистого калия при реакции его с бромом в солянокислой среде. Выделившийся йод оттитровывают раствором серноватистокислого натрия в присутствии крахмала по [33].
7.12.1.2 Аппаратура, посуда, реактивы, растворы
Весы неавтоматического действия с наибольшим пределом взвешивания 500 г по ГОСТ Р 53228.
Набор гирь по ГОСТ OIML R 111-1.
Бюретка 1-1-2-10-0,02 по ГОСТ 29251.
Пипетка 1-2-2-25 по ГОСТ 29227.
Колба 2-100-2 по ГОСТ 1770.
Цилиндры 1-5-2, 1-10-2, 1-25-2, 1-100-2 и 1-250-2 по ГОСТ 1770.
Колбы Кн-1-250-29/32 ТХС и Кн-1-500-29/32 ТХС по ГОСТ 25336 с пришлифованными пробками.
Бумага индикаторная универсальная.
натрий серноватистокислый (натрия тиосульфат) 5-водный по ГОСТ 27068, ч., растворы молярной концентрации c(Na2S2O3·5H2O)=0,1 моль/дм3 и c(Na2S2O3·5H2O)=0,01 моль/дм3. Раствор молярной концентрации c(Na2S2O3·5H2O)=0,1 моль/дм3 готовят по ГОСТ 25794.2. Раствор хранят в склянке из темного стекла. Срок годности - 1 мес. Раствор молярной концентрации c(Na2S2O3·5H2O)=0,01 моль/дм3 готовят следующим образом: в мерную колбу вместимостью 100 см3 из бюретки вносят 10 см3 раствора тиосульфата натрия молярной концентрации c(Na2S2O3·5H2O)=0,1 моль/дм3. Объем раствора доводят дистиллированной водой до метки и тщательно перемешивают. Раствор используют свежеприготовленным.
Калий бромистый по ГОСТ 4160, х.ч., раствор с массовой долей 10%; готовят следующим образом: навеску бромистого калия (10,00±0,01) г количественно переносят в коническую колбу вместимостью 250 см3 и растворяют в 90 см3 дистиллированной воды. Раствор используют свежеприготовленным.
Калий йодистый по ГОСТ 4232, х.ч., раствор с массовой долей 10%; готовят по ГОСТ 4517. Раствор используют свежеприготовленным.
Вода дистиллированная по ГОСТ 6709.
кислота соляная по ГОСТ 3118, х.ч.
Крахмал растворимый по ГОСТ 10163, ч.д.а., раствор крахмала с массовой долей 1%; готовят по ГОСТ 4517. Раствор используют свежеприготовленным.
Секундомер механический по [23].
7.12.1.3 Проведение анализа
В коническую колбу вместимостью 500 см3 с пришлифованной пробкой отбирают для марок РР и ТР навеску пробы, содержащую (4,00±0,01) г гидроксида натрия с массовой долей 100% [массу навески пробы продукта mн в граммах вычисляют по формуле (1)] и растворяют в 20 см3 дистиллированной воды, а для марок ТД и РД отбирают пипеткой 25 см3 раствора А, приготовленного по 7.3.1 (что соответствует 1,00 г гидроксида натрия).
Анализируемый раствор нейтрализуют соляной кислотой, контролируя процесс нейтрализации по универсальной индикаторной бумаге. Затем в анализируемый раствор прибавляют цилиндром 10 см3 раствора бромистого калия, 30 см3 соляной кислоты, закрывают колбу пробкой и выдерживают 5 мин в темноте. Затем приливают цилиндром 10 см3 раствора йодистого калия, 100 см3 дистиллированной воды и титруют выделившийся йод раствором тиосульфата натрия молярной концентрации с(Na2S2O3·5H2O)=0,01 моль/дм3 (при анализе едкого натра марок ТР, РР и ТД) и с(Na2S2O3·5H2O)=0,1 моль/дм3 (при анализе едкого натра марки РД) до слабо-желтой окраски, после чего приливают цилиндром 2 см3 раствора крахмала и титруют до обесцвечивания раствора. Фиксируют объем раствора тиосульфата натрия, израсходованный на титрование (V).
Одновременно в тех же условиях и с теми же количествами реактивов титруют контрольный раствор, содержащий 25 см3 дистиллированной воды, 10 см3 раствора бромистого калия, 30 см3 соляной кислоты, 10 см3 раствора йодистого калия, 100 см3 дистиллированной воды и 2 см3 раствора крахмала. Фиксируют объем раствора тиосульфата натрия, израсходованный на титрование (V1).
7.12.1.4 Обработка результатов
Массовую долю хлората натрия (X14), (X15), % , в пересчете на Гидроксид натрия с массовой долей 100% вычисляют по формулам:
- для марок ТР и РР (21)![]()
где V - объем раствора тиосульфата натрия молярной концентрации точно c(Na2S2O3·5H2O)=0,1 (0,01) моль/дм3, израсходованный на титрование анализируемой пробы, см3;
V1 - объем раствора тиосульфата натрия молярной концентрации точно c(Na2S2O3·5H2O)=0,1 (0,01) моль/дм3, израсходованный на титрование контрольного раствора, см3;
17,74 - молярная масса эквивалента хлората натрия, г/моль;
c - молярная концентрация раствора тиосульфата натрия (0,1 или 0,01), моль/дм3;
Vk2 - объем раствора А, приготовленный по 7.3.1, см3;
mн - масса навески пробы, вычисляемая по формуле (1), г;
1/1000 - коэффициент пересчета молярной концентрации тиосульфата натрия из моль/дм3 в моль/см3;
25 - объем раствора А, взятый на анализ едкого натра марок ТД и РД, см3;
X1 - массовая доля гидроксида натрия, определяемая по 7.5.1, %.
7.12.1.5 Метрологические характеристики
При соблюдении всех регламентированных условий и проведении анализа в точном соответствии с данной методикой значение погрешности измерений (и ее составляющих) не превышает значений, представленных в таблице 10, по [33].
Таблица 10
|
Диапазон |
Показатель точности (границы относительной погрешности) |
Показатель повторяемости (относительное среднеквад- |
Показатель воспроизво- |
Предел повторяе- |
Критическая разность для результатов анализа, полученных в двух лабораториях, CD0,95, % |
|
От 0,001 до 0,01 включ. |
50 |
14 |
21 |
39 |
51 |
|
Св. 0,01 до 0,50 включ. |
25 |
7 |
11 |
19 |
27 |
7.12.2 Определение массовой доли хлората натрия в едком натре марок РМ-А, РМ-Б
7.12.2.1 Сущность метода
Массовую долю хлората натрия в диапазоне от 0,0002% до 0,0050% определяют фотоколориметрическим методом, основанным на нейтрализации едкого натра соляной кислотой, введении в растворы метилового оранжевого и измерении оптической плотности полученных растворов при длине волны 490 нм и толщине поглощающего свет оптического слоя 10 мм по [34].
7.12.2.2 Аппаратура, посуда, реактивы, растворы
Фотоколориметр или спектрофотометр любого типа, обеспечивающий измерения при длине волны 490 нм.
Весы неавтоматического действия с наибольшим пределом взвешивания 200 г по ГОСТ Р 53228.
Набор гирь по ГОСТ OIML R 111-1.
Колбы 1-25-2, 1-100-2, 1-500-2 и 1-1000-2 по ГОСТ 1770.
Пипетки 1-1-2-1, 1-1-2-2 и 1-1-2-10 по ГОСТ 29227.
Пипетки 1-2-0,5; 1-2-1; 1-2-2 и 1-2-10 по ГОСТ 29169.
Цилиндр 1-25-2 по ГОСТ 1770.
Секундомер механический по [23].
Чашка кристаллизационная цилиндрическая по ГОСТ 25336.
Натрия хлорат по ГОСТ 12257 с массовой долей основного вещества не менее 99,5% или калия хлорат с массовой долей основного вещества не менее 99,0%. Исходный раствор с массовой концентрацией хлорат-ионов 10 мкг/см3 готовят следующим образом: (1,2760±0,0002) г хлората натрия или (1,4680±0,0002) г хлората калия помещают в мерную колбу вместимостью 1000 см, растворяют в воде и доводят объем раствора водой до метки. Раствор содержит 1000 мкг хлорат-ионов (ClO3-) в 1 см3. 1 см3 полученного раствора помещают пипеткой в мерную колбу вместимостью 100 см3, доводят объем раствора дистиллированной водой до метки и тщательно перемешивают. Раствор используют свежеприготовленным.
Баня водяная лабораторная типа ВТ18-3.
Метиловый оранжевый (индикатор) по [19], водный раствор с массовой долей 0,016%; готовят следующим образом: (0,0800±0,0002) г индикатора растворяют в небольшом количестве дистиллированной воды, количественно переносят в мерную колбу вместимостью 500 см3, доводят объем раствора водой до метки и тщательно перемешивают. Срок годности раствора - 1 мес.
кислота соляная по ГОСТ 14261, о.с.ч., марки "20-4" или "26-4" с массовой долей основного вещества не менее 38,0% или по ГОСТ 3118, х.ч., с массовой долей основного вещества не менее 35,0%.
Вода дистиллированная по ГОСТ 6709.
7.12.2.3 Построение градуировочного графика
В мерные колбы вместимостью 25 см3 вносят 0,2; 0,5; 1,0; 1,5; 2,0 см3 раствора, с массовой концентрацией хлорат-ионов 10 мкг/см3, приливают из пипетки дистиллированную воду до объема 10 см3, затем прибавляют 1 см3 раствора метилового оранжевого и 10 см3 соляной кислоты. Растворы перемешивают после прибавления каждого реактива, а также в ходе прибавления соляной кислоты.
Колбу с раствором выдерживают на кипящей водяной бане в течение 10 мин.
По окончании выдержки раствор охлаждают до комнатной температуры, используя кристаллизационную чашку или стеклянный стакан с холодной водой, доводят объемы раствора дистиллированной водой до метки и тщательно перемешивают.
Приготовленная серия градуировочных растворов содержит 2; 5; 10; 15; 20 мкг хлорат-ионов.
Готовят не менее трех серий градуировочных растворов.
Готовят контрольный раствор, не содержащий хлорат-ионы.
Растворы используют свежеприготовленными.
Измеряют оптическую плотность приготовленных растворов на фотоколориметре или спектрофотометре относительно дистиллированной воды при длине волны 490 нм и толщине поглощающего свет оптического слоя 10 мм.
Рассчитывают средние значения оптической плотности di для растворов с одинаковым содержанием хлорат-ионов.
Из среднего значения оптической плотности контрольного раствора, не содержащего хлораты, вычитают оптическую плотность каждого градуировочного раствора и получают значения оптической плотности (di), используемые для установления градуировочного графика и соответствующие уменьшению оптической плотности раствора с метиловым оранжевым, связанному с присутствием хлоратов.
По полученным данным строят градуировочный график, откладывая по оси ординат значения оптической плотности градуировочных растворов di, по оси абсцисс - соответствующие им значения массовой доли хлорат-ионов Ci (мкг).
Допускается, не строя градуировочный график, аппроксимировать градуировочную зависимость линейной функцией вида d=a+bC, с расчетом градуировочных коэффициентов a и b методом наименьших квадратов.
7.12.2.4 Проведение анализа
В мерной колбе вместимостью 25 см3 взвешивают анализируемую пробу m1, г (разность масс пустой колбы и колбы с навеской раствора едкого натра), записывая результат взвешивания с точностью до второго десятичного знака.
При определении массовой доли хлората в едком натре марки РМ-А масса гидроксида натрия в анализируемой пробе должна находиться в диапазоне от 0,95 до 1,05 г, для значения навески m1 должно выполняться неравенство (23)
где X3 - массовая доля гидроксида натрия в анализируемом растворе, определяемая по 7.5.2, %.
Для марки РМ-Б масса гидроксида натрия в анализируемой пробе должна находиться в диапазоне от 0,45 до 0,55 г, для значения навески m1 должно выполняться неравенство(24)
В колбу с навеской анализируемой пробы приливают 5 см3 дистиллированной воды, 1 см3 раствора метилового оранжевого и 12 см3 соляной кислоты. Раствор перемешивают после прибавления метилового оранжевого, а также в ходе прибавления соляной кислоты.
Одновременно в тех же условиях готовят контрольный раствор, содержащий 5 см3 дистиллированной воды, 1 см3 раствора метилового оранжевого и 10 см3 соляной кислоты.
Колбы с растворами выдерживают при комнатной температуре в течение 10 мин. Затем доводят объемы растворов дистиллированной водой до метки и перемешивают до растворения выпавшего осадка хлорида натрия.
Измеряют оптическую плотность на фотоколориметре или спектрофотометре полученных растворов относительно дистиллированной воды при длине волны 490 нм и толщине поглощающего свет оптического слоя 10 мм.
Из оптической плотности контрольного раствора вычитают оптическую плотность анализируемого раствора и по градуировочному графику по полученному значению оптической плотности (di) находят массу хлорат-иона (Ci) в микрограммах.
Проводят два параллельных определения.
7.12.2.5 Обработка результатов
Массовую долю хлората натрия (X16), %, в пересчете на Гидроксид натрия с массовой долей 100% вычисляют по формуле (25)
где C - масса хлорат-ионов в пробе, определяемая по градуировочному графику или по коэффициентам градуировочной зависимости, мкг;
1,27 - коэффициент пересчета хлорат-ионов на Хлорат натрия;
m1 - масса анализируемой пробы, взятая для анализа, г;
X3 - массовая доля гидроксида натрия в анализируемой пробе, определяемая по 7.5.2, %.
7.12.2.6 Метрологические характеристики
При соблюдении всех регламентированных условий и проведении анализа в точном соответствии с данной методикой значение погрешности измерений (и ее составляющих) не превышает значений, представленных в таблице 11, по [34].
Таблица 11
|
Диапазон |
Показатель точности (границы относительной погрешности) |
Показатель повторяемости (относительное среднеквад- |
Показатель воспроизво- |
Предел повторяе- |
Критическая разность для результатов анализа, полученных в двух лабораториях, CD0,95, % |
|
От 0,0002 до 0,0010 включ. |
36 |
10 |
15 |
28 |
37 |
|
Св. 0,0010 до 0,0025 включ. |
26 |
8 |
12 |
22 |
29 |
|
Св. 0,0025 до 0,0050 включ. |
17 |
5 |
8 |
14 |
20 |
7.13 Определение суммы массовых долей тяжелых металлов, осаждаемых сероводородом, в пересчете на свинец
Определение проводят по ГОСТ 17319. При этом 10 см3 раствора А, приготовленного по 7.3.1 (соответствуют 0,40 г NaOH), для марки ТР и 25 см3 раствора А, приготовленного по 7.3.1 (соответствуют 1,00 г NaOH), для марки РР помещают пипеткой в коническую колбу вместимостью 100 см3 (с меткой на 30 см3). Раствор осторожно при перемешивании нейтрализуют раствором соляной кислоты (по ГОСТ 3118) с массовой долей 25% в присутствии 1-2 капель спиртового раствора фенолфталеина с массовой долей 1%, приготовленного по ГОСТ 4919.1, охлаждают, доводят объем раствора водой до метки и перемешивают. Далее определение проводят сероводородным методом.
Продукт считают соответствующим требованиям настоящего стандарта, если наблюдаемая окраска анализируемого раствора не будет интенсивнее окраски раствора, приготовленного одновременно с анализируемым и содержащего в таком же объеме:
- для марки ТР - 0,04 мг Pb;
- для марки РР - 0,3 мг Pb,
1 см3 уксусной кислоты, 1 см3 раствора уксуснокислого аммония и 10 см3 сероводородной воды.
7.14 Определение массовой доли ртути
7.14.1 Сущность метода
Массовую долю ртути в диапазоне от 0,00010% до 0,0010% определяют фотоколориметрическим методом, основанным на взаимодействии ионов ртути (II) в кислой среде с раствором дитизона в хлороформе с образованием комплекса, имеющего желто-оранжевую окраску, при длине волны (597±10) нм и толщине поглощающего свет оптического слоя 5 мм по [35].
7.14.2 Аппаратура, посуда, реактивы, растворы
Фотоколориметр или спектрофотометр любого типа, обеспечивающий измерение при длине волны (597±10) нм.
Весы неавтоматического действия с наибольшими пределами взвешивания 200 и 500 г по ГОСТ Р 53228.
Набор гирь по ГОСТ OIML R 111-1.
Колбы 1-50-2, 1-100-2 и 1-1000-2 по ГОСТ 1770.
Пипетки 1-1-1-1, 1-1-1-2, 1-2-1-5 и 1-2-1-10 по ГОСТ 29227.
Цилиндр 1-50-2 по ГОСТ 1770.
Государственный стандартный образец состава раствора ионов ртути (II) массовой концентрацией 1 мг/см3 (ГСО 7343-96). При отсутствии стандартных образцов допускается использование растворов ионов ртути (II), приготовленных по ГОСТ 4212.
Делительная воронка ВД-1-250 ХС или ВД-3-250 ХС по ГОСТ 25336.
Стаканчик для взвешивания СВ-34/12 по ГОСТ 25336.
Колба Кн-1-250-29/32 по ГОСТ 25336.
Секундомер механический по [23].
Кислота азотная по ГОСТ 4461, концентрированная, х.ч., раствор, разбавленный по объему 1:1; готовят следующим образом: в коническую колбу помещают 50 см3 дистиллированной воды, приливают осторожно порциями при перемешивании 50 см3 концентрированной азотной кислоты и охлаждают. Раствор хранят в темном месте. Срок годности - 1 год.
Натрий уксуснокислый 3-водный по ГОСТ 199, ч.д.а., раствор молярной концентрации c(CH3COONa)=1 моль/дм3; готовят следующим образом: навеску (13,61±0,01) г уксуснокислого натрия дистиллированной водой количественно переносят в мерную колбу вместимостью 100 см3, растворяют в дистиллированной воде, доводят объем раствора в колбе до метки и тщательно перемешивают. Срок хранения раствора - 1 мес.
Кислота уксусная по ГОСТ 61, х.ч., раствор молярной концентрации c(CH3COOH)=1 моль/дм3; готовят следующим образом: навеску (6,00±0,01) г уксусной кислоты дистиллированной водой количественно переносят в мерную колбу вместимостью 100 см3, растворяют в дистиллированной воде, доводят объем раствора в колбе водой до метки и тщательно перемешивают. Раствор хранят в темном месте. Срок хранения раствора - 1 мес.
Раствор ацетатный буферный с pH 4-5; готовят смешением в конической колбе равных объемов приготовленных растворов уксуснокислого натрия и уксусной кислоты. Раствор хранят в темном месте. Срок хранения раствора - 1 мес.
Кислота серная по ГОСТ 4204, х.ч., раствор с массовой долей 1%; готовят следующим образом: навеску серной кислоты (1,02±0,01) г количественно переносят в мерную колбу вместимостью 100 см3, наполовину заполненную дистиллированной водой, доводят объем раствора в колбе до метки и перемешивают. Срок хранения раствора - 3 мес.
Хлороформ по [36], х.ч., или хлороформ фармокопейный.
Соль динатриевая этилендиамин-N, N, N', N'-тетрауксусной кислоты 2-водная (трилон б) по ГОСТ 10652, х.ч., раствор молярной концентрации c(ди-Nа-ЭДТА)=0,05 моль/дм3; готовят по ГОСТ 10398. Раствор хранят при комнатной температуре. Срок годности раствора - 1 мес.
Ртуть (II) азотнокислая 1-водная по ГОСТ 4520, ч.д.а.
Дитизон по [37], ч.д.а., раствор; готовят следующим образом: навеску (0,10±0,01) г дитизона помещают в сухую мерную колбу вместимостью 100 см3, растворяют в хлороформе, доводят объем раствора хлороформом до метки и перемешивают. Хранят в склянке из темного стекла под слоем раствора серной кислоты с массовой долей 1% при температуре 5 °С - 10 °С. Срок годности раствора - 1 мес.
Раствор-экстрагент (раствор К); готовят дальнейшим разбавлением хлороформом раствора дитизона, оптическая плотность раствора-экстрагента по отношению к чистому хлороформу, измеренная на фотоколориметре или спектрофотометре при длине волны (597±10) нм и толщине поглощающего свет оптического слоя 5 мм, должна быть равна 0,75.
аммиак водный по ГОСТ 3760, ч.д.а.
Калий марганцовокислый по ГОСТ 20490, ч.д.а., раствор молярной концентрации c(1/5KMnO4)=0,1 моль/дм3; готовят по ГОСТ 25794.2. Раствор хранят в течение 3 мес в склянке из темного стекла.
Гидроксиламина гидрохлорид (NH2OH·HCl) по ГОСТ 5456, ч.д.а., раствор с массовой долей 4%; готовят следующим образом: (4,00±0,01) г гидроксиламина гидрохлорида количественно переносят в мерную колбу вместимостью 100 см3, наполовину заполненную водой, доводят объем раствора в колбе водой до метки и тщательно перемешивают. Раствор используют свежеприготовленным.
Бумага индикаторная универсальная.
Вода дистиллированная по ГОСТ 6709.
7.14.3 Построение градуировочного графика
Готовят градуировочные растворы.
В мерную колбу вместимостью 100 см3 последовательно вносят 25-30 см3 дистиллированной воды, 2-3 см3 концентрированной азотной кислоты, (1,00±0,01) см3 раствора ГСО ионов ртути (II) массовой концентрацией 1 мг/см3 (допускается использовать раствор массовой концентрацией 1 мг/см3, приготовленный по ГОСТ 4212 из азотнокислой ртути (II), ч.д.а.) и доводят объем раствора в колбе дистиллированной водой до метки. Получают раствор ионов ртути (II) массовой концентрацией 10 мг/дм3 (10 мкг/см3).
В делительные воронки вместимостью 250 см3 помещают по 50 см3 воды, 0,5; 1,0; 1,5; 2,0; 3,0 и 5,0 см3 раствора ионов ртути (II) массовой концентрацией 10 мг/дм3 (10 мкг/см3), что соответствует 5, 10, 15, 20, 30 и 50 мкг ртути, 5 см3 раствора трилона Б, 5 см3 ацетатного буферного раствора и тщательно перемешивают.
Добавляют в делительные воронки по 10 см3 раствора К, извлекают ртуть, перемешивая 3 мин, и после расслоения фаз сливают хлороформные экстракты в сухие стаканчики для взвешивания.
Одновременно в тех же условиях с теми же количествами реактивов готовят контрольный раствор, не содержащий ртуть.
Последовательно измеряют оптическую плотность на фотоколориметре или спектрофотометре каждого из градуировочных растворов относительно хлороформа при длине волны (597±10) нм и толщине поглощающего свет оптического слоя 5 мм.
Повторяют операции для трех-пяти серий градуировочных растворов.
По полученным данным строят градуировочный график, откладывая по оси ординат значения оптической плотности di, по оси абсцисс - соответствующие им значения массы ионов ртути mi (мкг).
Допускается, не строя градуировочный график, аппроксимировать градуировочную зависимость линейной функцией вида d=a+bm, с расчетом градуировочных коэффициентов a и b методом наименьших квадратов.
7.14.4 Проведение анализа
В коническую колбу вместимостью 250 см3 помещают навеску анализируемой пробы, содержащую (5,00±0,01) г гидроксида натрия с массовой долей 100%. Массу навески пробы mн в граммах вычисляют по формуле (1).
К пробе приливают 50 см3 дистиллированной воды и тщательно перемешивают. Полученный раствор нейтрализуют разбавленным раствором азотной кислоты до pH 4-5, контролируя значение pH по универсальной индикаторной бумаге и приливают 1 см3 ее избытка. К полученному раствору прибавляют 1,0 см3 раствора марганцовокислого калия и кипятят 3 мин. Если во время кипячения проба обесцвечивается, то добавляют еще 1-2 капли раствора марганцовокислого калия.
Раствор охлаждают и прибавляют по каплям раствор гидроксиламина гидрохлорида до обесцвечивания пробы и 1 см3 ее избытка. Через 10 мин вносят 5 см3 раствора трилона Б, нейтрализуют раствором аммиака до pH 4, контролируя значение pH по универсальной индикаторной бумаге, вносят 5 см3 буферного раствора и переносят в делительную воронку вместимостью 250 см3.
Экстрагируют ртуть из подготовленного для анализа образца, добавляя в делительную воронку 10 см3 раствора К, перемешивают в течение 3 мин и сливают хлороформные экстракты в сухие стаканчики для взвешивания.
Измеряют на фотоколориметре или спектрофотометре оптическую плотность экстракта (по отношению к контрольному раствору) при длине волны (597±10) нм и толщине поглощающего свет оптического слоя 5 мм.
По градуировочному графику (либо используя градуировочные коэффициенты) по полученному значению оптической плотности экстракта анализируемой пробы находят соответствующие значения массы ртути в анализируемой пробе m (мкг).
Проводят два параллельных определения.
7.14.5 Обработка результатов
Массовую долю ртути (X17), %, в пересчете на Гидроксид натрия с массовой долей 100% вычисляют по формуле (26)
где m - масса ионов ртути (II), определяемая по градуировочному графику (либо рассчитанная с использованием градуировочных коэффициентов), мкг;
mн - масса пробы технического едкого натра, взятая для анализа, вычисляемая по формуле (1), г;
106 - коэффициент пересчета г в мкг;
X1 - массовая доля гидроксида натрия в анализируемой пробе, определяемая по 7.5.1, %.
7.14.6 Метрологические характеристики
При соблюдении всех регламентированных условий и проведении анализа в точном соответствии с данной методикой значение погрешности измерений (и ее составляющих) не превышает значений, представленных в таблице 12, по [35].
Таблица 12
|
Диапазон измерений массовой доли ртути, % |
Показатель точности (границы относительной погрешности) |
Показатель повторяемости (относительное среднеквад- |
Показатель воспроизво- |
Предел повторяе- |
Критическая разность для результатов анализа, полученных в двух лабораториях, CD0,95, % |
|
От 0,0001 до 0,0005 включ. |
20 |
5 |
8 |
14 |
20 |
|
Св. 0,00050 до 0,0010 включ. |
16 |
3 |
4,5 |
8 |
11 |
7.15 Определение массовой доли никеля
7.15.1 Сущность метода
Массовую долю никеля в диапазоне от 0,00002% до 0,00016% определяют методом атомно-эмиссионной спектрометрии, основанным на регистрации и измерении интенсивности специфичного для никеля эмиссионного излучения, возникающего при возбуждении компонента раствора в индуктивно связанной плазме, по [38].
7.15.2 Аппаратура, посуда, реактивы, растворы
Оптический эмиссионный спектрометр типа SPECTRO CIROS VISION с источником возбуждения в виде индуктивно связанной плазмы:
- диапазон длин волн - 120-800 нм;
- относительное среднеквадратическое отклонение случайной составляющей погрешности измерений выходного (аналитического) сигнала - не более 2,0% отн.;
- нестабильность (за 8 ч непрерывной работы) выходного сигнала - не более 2,5% отн. Или аналогичный по техническим характеристикам.
Весы неавтоматического действия с наибольшим пределом взвешивания 200 г по ГОСТ Р 53228.
Набор гирь по ГОСТ OIML R 111-1.
Пипетки 1-1-2-1 и 1-1-2-2 по ГОСТ 29227.
Пипетка 1-2-1 по ГОСТ 29169.
Цилиндр 1-100-2 по ГОСТ 1770.
Колба 1-100-2 по ГОСТ 1770.
Стаканы В-1-100, В-1-250 и В-1-600 по ГОСТ 25336.
Колба Кн-1-100-29/32 по ГОСТ 25336.
Бумага индикаторная универсальная.
Аргон по [39], ос.ч., с объемной долей аргона не менее 99,996%.
кислота соляная по ГОСТ 14261, ос.ч., марки "20-4" или "26-4".
Вода бидистиллированная с удельной электропроводностью не более 2,0·10-6 См/см* при температуре 25 °С.
________________
* Текст документа соответствует оригиналу. - Примечание изготовителя базы данных.
Натрия гидроксид с массовой долей основного вещества не менее 98,0%, раствор для градуировки (раствор 1); готовят следующим образом: навеску гидроксида натрия (50,0±0,1) г помещают в стакан вместимостью 600 см3, добавляют (150±0,1) г воды, после охлаждения нейтрализуют полученный раствор, добавляя по каплям (134,0±0,1) г соляной кислоты, контролируя pH по универсальной индикаторной бумаге. Значение pH по окончании нейтрализации должно находиться в диапазоне 1-2 ед. pH. Раствор используют в течение суток.
Стандартный образец состава раствора ионов никеля с массовой концентрацией 1 мг/см3 (ГСО 7265-96), раствор массовой концентрацией ионов никеля 0,01 мг/см3 (раствор 2); готовят следующим образом: в мерную колбу вместимостью 100 см3 вносят 20 см3 бидистиллированной воды, добавляют 1 см3 раствора стандартного образца ионов никеля, доводят объем раствора до метки бидистиллированной водой. Раствор готовят непосредственно перед измерением и используют не позднее 8 ч с момента приготовления.
7.15.3 Подготовка к анализу
7.15.3.1 Приготовление градуировочных растворов
Градуировочные растворы готовят следующим образом: в предварительно взвешенные с точностью до второго десятичного знака конические колбы приливают по 20 см3 раствора 1, вносят в каждую колбу последовательно 0,15; 0,5; 0,75; 1,0; 1,25 см3 раствора 2. Массу раствора в каждой колбе доводят до (50,00±0,10) г раствором 1.
Получают серию градуировочных растворов с массовой долей ионов никеля соответственно 0,03; 0,10; 0,15; 0,20; 0,25 мг/кг.
Одновременно готовят раствор, не содержащий ионов никеля, добавляя в коническую колбу 50 г раствора 1.
7.15.3.2 Градуировка спектрометра
Градуировку спектрометра выполняют в соответствии с руководством по эксплуатации спектрометра и руководством пользователя программного обеспечения спектрометра SPECTRO CIROS vision.
В режиме градуировки ("Анализ - измерение метода - калибровочный стандарт") последовательно не менее трех раз измеряют значения эмиссионного излучения ионов никеля каждого градуировочного раствора в порядке возрастания, начиная с раствора, не содержащего ионы никеля.
Вычисленное программным обеспечением относительное среднеквадратическое отклонение (rsd) не должно превышать 2,0%.
По результатам измерений устанавливают градуировочную зависимость среднего значения эмиссионного излучения никеля с учетом среднего значения эмиссионного излучения раствора, не содержащего ионы никеля, от массовой концентрации никеля в анализируемом градуировочном растворе.
По окончании градуировки спектрометр переводят в режим измерения.
7.15.3.3 Подготовка пробы
В стакан вместимостью 250 см3 помещают навеску пробы (m1), г, вычисленную по формуле (27)
где X3 - массовая доля гидроксида натрия, определяемая по 7.5.2, %.
Приливают дистиллированную воду (m2), г, вычисленную по формуле (28)
Полученный раствор после охлаждения нейтрализуют, добавляя по каплям (26,8±0,1) г соляной кислоты, контролируя pH по универсальной индикаторной бумаге. Значение pH по окончании нейтрализации должно находиться в диапазоне 1-2 ед. pH.
Общая масса полученного раствора (m3) равна 66,8 г.
Раствор готовят непосредственно перед измерением и используют не позднее 8 ч с момента приготовления.
7.15.4 Проведение анализа
Подают на вход спектрометра подготовленную пробу раствора едкого натра не менее 3 раз, получают значения массовых долей никеля в пробе CNi (мг/кг).
Проводят два параллельных определения.
7.15.5 Обработка результатов
Массовую долю никеля (X18), %, в пересчете на Гидроксид натрия с массовой долей 100% вычисляют по формуле (29)
где CNi - массовая доля никеля в растворе пробы, установленная спектрометрически, мг/кг;
10-3 - коэффициент перевода мг в г;
10-1 - коэффициент перевода кг в 100 г;
m3 - общая масса раствора пробы, взятая для анализа (66,8), г;
m1 - масса раствора едкого натра, взятая для анализа, г;
X3 - массовая доля гидроксида натрия в анализируемой пробе, определяемая по 7.5.2, %.
7.15.6 Метрологические характеристики
При соблюдении всех регламентированных условий и проведении анализа в точном соответствии с данной методикой значение погрешности измерений (и ее составляющих) не превышает значений, представленных в таблице 13, по [38].
Таблица 13
|
Диапазон измерений никеля, % |
Показатель точности (границы относительной погрешности) |
Показатель повторяемости (относительное среднеквад- |
Показатель воспроизво- |
Предел повторяе- |
Критическая разность для результатов анализа, полученных в двух лабораториях, CD0,95, % |
|
От 0,00002 до 0,00008 включ. |
27 |
7 |
10,5 |
19 |
26 |
|
Св. 0,00008 до 0,00016 включ. |
23 |
6 |
9 |
17 |
22 |
7.16 Оценка точности результатов анализов (по 7.5; 7.6; 7.7.2; 7.8; 7.10-7.12; 7.14; 7.15)
7.16.1 Контроль точности
7.16.1.1 За результат анализа принимают среднеарифметическое значение результатов двух параллельных определений, если выполняется условие приемлемости (30)
где X1, X2 - результаты двух параллельных определений, %;
r - значение предела повторяемости, % (таблицы метрологических характеристик).
7.16.1.2 Если условие (30) не выполняется, получают еще два результата в полном соответствии с методикой. За результат анализа принимают среднеарифметическое значение результатов четырех параллельных определений, если выполняется условие (31)
где Xmax, Xmin - максимальное и минимальное значения из полученных четырех результатов параллельных определений массовой доли определяемого компонента;
- значение критического диапазона для уровня доверительной вероятности P=0,95 и n результатов определений, рассчитанное по формуле (32)
где f(n) - коэффициент критического диапазона, для =4 =3,6;
or - показатель повторяемости, % (таблица метрологических характеристик).
7.16.1.3 Если условие (31) не выполняется, выясняют причины превышения критического диапазона, устраняют их и повторяют выполнение измерений в резервной пробе в соответствии с требованиями методики измерений.
7.16.1.4 Результат анализа представляют в виде
при P=0,95, (33)
где
- среднеарифметическое значение результатов определений, признанных приемлемыми по 7.16.2, %;
- границы относительной погрешности измерений, % (таблица метрологических характеристик).
7.16.2 Проверка приемлемости результатов измерений в условиях воспроизводимости
7.16.2.1 Проверку приемлемости результатов измерений в условиях воспроизводимости проводят:
а) при возникновении спорных ситуаций между двумя лабораториями;
б) при проверке совместимости результатов измерений, полученных при сравнительных испытаниях (при проведении аккредитации лабораторий и инспекционного контроля).
7.16.2.2 Для проведения проверки приемлемости результатов анализов в условиях воспроизводимости каждая лаборатория использует пробы, оставленные на хранение.
7.16.2.3 Приемлемость результатов измерений, полученных в двух лабораториях, оценивают сравнением разности этих результатов с критической разностью CD0,95 по формуле (34)
где Xср1, Xср2 - средние значения массовой доли определяемого компонента, полученные в условиях внутрилабораторной воспроизводимости в первой и второй лабораториях, %;
CD0,95 - значение критической разности, % (таблица метрологических характеристик).
Если критическая разность не превышена, то приемлемы оба результата измерений, проводимых двумя лабораториями, и в качестве окончательного результата используют их среднеарифметическое значение. Если критическая разность превышена, то выполняют процедуры, изложенные в ГОСТ Р ИСО 5725-6 (пункт 5.3.3).
При разногласиях руководствуются ГОСТ Р ИСО 5725-6 (пункт 5.3.4).
7.16.3 Контроль качества результатов измерений в лаборатории при реализации методики осуществляют по ГОСТ Р ИСО 5725-6, используя контроль стабильности среднеквадратического (стандартного) отклонения промежуточной прецизионности по ГОСТ Р ИСО 5725-6 (пункт 6.2.3) и показателя правильности по ГОСТ Р ИСО 5725-6 (пункт 6.2.4). Проверку стабильности осуществляют с применением контрольных карт Шухарта.
Рекомендуется устанавливать контролируемый период так, чтобы количество результатов контрольных измерений было от 20 до 30.
При неудовлетворительных результатах контроля, например при превышении предела действия или регулярном превышении предела предупреждения, выясняют причины этих отклонений, в том числе проводят смену реактивов и проверяют работу оператора.
8 Транспортирование и хранение
8.1 Технический едкий натр транспортируют железнодорожным, автомобильным, водным транспортом в крытых транспортных средствах в упаковке и наливом в железнодорожных и автомобильных цистернах, специализированных контейнерах-цистернах в соответствии с правилами перевозок опасных грузов, действующими на данном виде транспорта [1], [4], [40]-[42].
8.2 Железнодорожным транспортом продукт в бочках, барабанах, ящиках транспортируют повагонно в крытых вагонах в пакетированном виде по ГОСТ 26663, ГОСТ 21650, ГОСТ 21140 на поддонах по ГОСТ 9557 и ГОСТ 26381 или в собственных (или арендованных) универсальных контейнерах грузоотправителя (грузополучателя) при условии надлежащего закрепления грузовых мест в соответствии с [43].
Допускается перевозка упакованного твердого технического едкого натра по железной дороге мелкими отправками по правилам [1].
8.3 При транспортировании раствора технического едкого натра по железной дороге наливом его заливают в специальные вагоны-цистерны, изготовленные по ГОСТ Р 51659 из углеродистой, низколегированной, легированной сталей по ГОСТ 5520, коррозионно-стойкой стали по ГОСТ 5632, ГОСТ 7350 или двухслойных сталей по ГОСТ 10885, а также специализированные контейнеры-цистерны, сертифицированные в установленном порядке и имеющие заключение компетентного органа о соответствии и пригодности типа контейнера-цистерны для перевозки технического едкого натра по правилам [1].
Код цистерн для перевозки раствора технического едкого натра - L4BN по правилам [4].
Цистерны заполняют раствором технического едкого натра до полной вместимости с учетом объемного расширения продукта при возможном перепаде температур в пути следования.
Перед заливом цистерн с остатком раствора технического едкого натра должен быть проведен анализ остатка на соответствие требованиям настоящего стандарта. Если анализ остатка соответствует требованиям настоящего стандарта, то цистерну заполняют продуктом; если анализ остатка не соответствует требованиям настоящего стандарта, то остаток удаляют, а цистерну промывают.
Раствор технического едкого натра, предназначенный для медицинской промышленности и производства искусственного волокна, по требованию потребителя транспортируют в железнодорожных цистернах с котлами из нержавеющей стали или гуммированными, принадлежащих потребителю или изготовителю.
8.4 Раствор технического едкого натра хранят в закрытых емкостях из материала, стойкого к щелочам.
Упакованный продукт хранят в складских неотапливаемых помещениях.
8.5 При температуре воздуха ниже 10 °С при сливоналивных операциях раствор технического едкого натра должен быть разогрет.
8.6 Транспортирование и хранение технического едкого натра в районах Крайнего Севера и приравненных к ним местностях - по ГОСТ 15846.
9 Гарантии изготовителя
9.1 Изготовитель гарантирует соответствие продукта требованиям настоящего стандарта при соблюдении условий транспортирования и хранения.
9.2 Гарантийный срок хранения технического едкого натра - один год со дня изготовления.
Библиография
|
[1] |
Правила перевозок опасных грузов по железным дорогам. Утверждены Советом по железнодорожному транспорту государств - участников Содружества, протокол от 05.04.96 г. N 15 |
||
|
[2] |
ТУ 2297-001-54011141-01* |
Бочки полиэтиленовые |
|
|
[3] |
Европейское соглашение о международной дорожной перевозке опасных грузов(ДОПОГ/ARD) 2011 г. Приложения А и В |
||
|
[4] |
Правила перевозок опасных грузов. Приложение 2 к Соглашению о международном железнодорожном грузовом сообщении (СМГС) |
||
|
[5] |
Информационная карта потенциально опасного химического и биологического вещества. Натрий гидроксид*. Свидетельство о государственной регистрации. Серия АТ N 000137 от 14.11.1994 |
||
|
|
|||
|
[6] |
Гигиенические нормативы |
Предельно допустимые концентрации (ПДК) вредных веществ в воздухе рабочей зоны |
|
|
[7] |
Методические указания |
Методические указания по измерению концентрации вредных веществ в воздухе рабочей зоны. М., 1988. - Вып.10 |
|
|
[8] |
Санитарно-эпидемиологические правила СП 2.2.2.1327-03 |
Гигиенические требования к организации технологических процессов, производственному оборудованию и рабочему инструменту |
|
|
[9] |
Технический регламент |
О безопасности средств индивидуальной защиты, утвержденный постановлением Правительства Российской Федерации от 24 декабря 2009 г. N 1213 (в редакции постановления Правительства Российской Федерации от 8 декабря 2010 г. N 1002, от 20 декабря 2010 г. N 1073) |
|
|
[10] |
Технический регламент Таможенного союза |
О безопасности средств индивидуальной защиты, утвержденный решением Комиссии Таможенного союза от 9 декабря 2011 г. N 878 |
|
|
[11] |
Санитарно-эпидемиологические правила и нормативы |
Гигиенические требования к размещению и обезвреживанию отходов производства и потребления |
|
|
[12] |
Санитарные правила |
Санитарные правила по организации грузовых перевозок на железнодорожном транспорте |
|
|
[13] |
Гигиенические нормативы |
Предельно допустимые концентрации (ПДК) химических веществ в воде водных объектов хозяйственно-питьевого и культурно-бытового водопользования |
|
|
[14] |
Санитарные правила и нормы СанПиН 2.1.5.980-00 |
Водоотведение населенных мест, санитарная охрана водных объектов. Гигиенические требования к охране поверхностных вод |
|
|
[15] |
Гигиенические нормативы |
Ориентировочные безопасные уровни воздействия (ОБУВ) загрязняющих веществ в атмосферном воздухе населенных мест |
|
|
[16] |
Санитарно-эпидемиологические правила и нормативы |
Гигиенические требования к обеспечению качества атмосферного воздуха населенных мест |
|
|
[17] |
ТУ 6-09-4173-85 |
Фосфор (V) оксид (фосфорный ангидрид) химически чистый, чистый для анализа, чистый |
|
|
[18] |
Свидетельство об аттестации методики измерений |
Методика измерения массовой доли гидроксида натрия и карбоната натрия в натре едком ртутном и диафрагменном титриметрическим методом*. ФГУП ВНИИМС. 25.06.2012 |
|
|
[19] |
ТУ 6-09-5171-84 |
Метиловый оранжевый, индикатор, чистый для анализа |
|
|
[20] |
ТУ 6-09-5360-88 |
Фенолфталеин, индикатор |
|
|
[21] |
Свидетельство об аттестации методики измерения |
Методика измерения массовой доли гидроксида натрия и карбоната натрия в растворе мембранного натра едкого титриметрическим методом*. ФГУП ВНИИМС. 19.06.2012 |
|
|
[22] |
ТУ 64-2-403-89 |
Микробюретки |
|
|
[23] |
ТУ 25-1894.003-90 |
Секундомеры механические |
|
|
[24] |
Свидетельство об аттестации методики измерений |
Методика измерения массовой доли хлорида натрия в натре едком ртутном и диафрагменном титриметрическим методом*. ФГУП ВНИИМС. 25.06.2012 |
|
|
[25] |
ТУ 6-09-5215-85 |
Дифенилкарбазон |
|
|
[26] |
ТУ 6-09-4530-77 |
Бромфеноловый синий, индикатор, чистый для анализа |
|
|
[27] |
Свидетельство об аттестации методики измерений |
Методика измерения массовой доли хлорида натрия в растворе мембранного натра едкого турбидиметрическим методом*. ФГУП ВНИИМС. 19.06.2012 |
|
|
[28] |
Свидетельство об аттестации методики измерений |
Методика измерения массовой доли железа в растворе мембранного натра едкого фотоколориметрическим методом*. ФГУП ВНИИМС. 21.06.2012 |
|
|
[29] |
Свидетельство об аттестации методики измерений |
Методика измерения суммы массовых долей оксидов железа алюминия в натре едком ртутном гравиметрическим методом*. ФГУП ВНИИМС. 25.06.2012 |
|
|
[30] |
ТУ 6-09-1678-95 |
Фильтры обеззоленные (белая, красная, синяя ленты) |
|
|
[31] |
Свидетельство об аттестации методики измерений |
Методика измерения массовой доли сульфата натрия в растворе мембранного натра едкого фотоколориметрическим методом*. ФГУП ВНИИМС. 21.06.2012 |
|
|
[32] |
Свидетельство об аттестации методики измерений |
Методика измерения суммы массовых долей кальция и магния в натре едком ртутном титриметрическим методом*. ФГУП ВНИИМС. 25.06.2012 |
|
|
[33] |
Свидетельство об аттестации методики измерений |
Методика измерения массовой доли хлората натрия в натре едком ртутном и диафрагменном титриметрическим методом*. ФГУП ВНИИМС. 25.06.2012 |
|
|
[34] |
Свидетельство об аттестации методики измерений |
Методика измерения массовой доли хлората натрия в растворе мембранного натра едкого фотоколориметрическим методом*. ФГУП ВНИИМС. 21.06.2012 |
|
|
[35] |
Свидетельство об аттестации методики измерений |
Методика измерения массовой доли ртути в натре едком ртутном фотоколориметрическим методом*. ФГУП ВНИИМС. 25.06.2012 |
|
|
[36] |
ТУ 2631-066-44493179-01 |
Тихлорметан (хлороформ), "чистый", "химически чистый" |
|
|
[37] |
ТУ 6-09-07-1684-89 |
Дитизон (1,5-дифенилкарбазон) чистый для анализа, чистый |
|
|
[38] |
Свидетельство об аттестации методики измерений |
Методика измерения массовой доли никеля в растворе мембранного натра едкого методом атомно-эмиссионной спектрометрии*. ФГУП ВНИИМС. 21.06.2012 |
|
|
[39] |
ТУ 2114-005-00204760-99 |
Аргон газообразный высокой чистоты |
|
|
[40] |
Правила перевозок грузоавтомобильным транспортом. Утверждены постановлением Правительства Российской Федерации от 15 апреля 2011 г. N 272 |
||
|
[41] |
Правила морской перевозки опасных грузов (Правила МОПОГ). РД 31.15.01-89. Утверждены приказом министра морского флота СССР от 03.05.89 г. N 56 |
||
|
[42] |
Правила перевозок жидких грузов наливом в вагонах-цистернах и вагонах бункерного типа для перевозки нефтебитума. Утверждены Советом по железнодорожному транспорту государств - участников Содружества. Протокол от 22 мая 2009 г. N 50 |
||
|
[43] |
Технические условия размещения и крепления грузов в вагонах и контейнерах, утвержденные МПС РФ 27.05.2003 N ЦМ-943 |
||
официальное издание
М.: Стандартинформ, 2013