Новости Нефтегазовая пром.
Выставки Наука и технология


Трикрезилфосфат технический ГОСТ 5728-76

Трикрезилфосфат технический. Технические условия (с Изменениями N 1, 2, 3, 4) ГОСТ 5728-76


ГОСТ 5728-76*

Группа Л27

     
     
ГОСУДАРСТВЕННЫЙ СТАНДАРТ СОЮЗА ССР

     
ТРИКРЕЗИЛФОСФАТ ТЕХНИЧЕСКИЙ

Технические условия

Three-cresyl phosphate for industrial use. Specifications

ОКП 24 9332

Дата введения 1977-01-01


Постановлением Государственного комитета стандартов Совета Министров СССР от 20.01.76 N 144 дата введения установлена с 01.01.77

Ограничение срока действия снято по протоколу N 5-94 Межгосударственного Совета по стандартизации, метрологии и сертификации (ИУС 11-12-94)

ВЗАМЕН ГОСТ 5728-51

* ПЕРЕИЗДАНИЕ (июнь 1998 г.) с Изменениями N 1, 2, 3, 4, утвержденными в октябре 1978 г., июне 1983 г., июне 1985 г., июне 1990 г. (ИУС 10-78, 9-83, 10-85, 10-90)

Настоящий стандарт распространяется на технический трикрезилфосфат, представляющий собой сложный эфир ортофосфорной кислоты и трикрезола или дикрезола.

Технический трикрезилфосфат применяется в качестве пластификатора при получении кабельного пластиката, липкой ленты, нитроленолеума, в производстве лаков и красок.

1. ТЕХНИЧЕСКИЕ ТРЕБОВАНИЯ

1.1. Технический трикрезилфосфат должен изготавливаться в соответствии с требованиями настоящего стандарта по технологическому регламенту, утвержденному в установленном порядке.

1.2. Технический трикрезилфосфат должен соответствовать нормам, указанным в таблице.

Наименование показателя

Норма

Метод испытания

1. Внешний вид

Прозрачная однородная маслянистая жидкость без видимых механических примесей

По п.3.3

2. Цветность по платино-кобальтовой шкале, ед.

По ГОСТ 18522-93и п.3.4 настоящего стандарта

Хазена, не более:

высший сорт

100

первый сорт

350

3. Плотность, г/см3

1,174-1,195

По ГОСТ 18329-73и п.3.5 настоящего стандарта

4. Кислотное число, мг КОН/г, не более

0,08

По п.3.6

5. Массовая доля летучих веществ, %, не более

0,1

По п.3.7

6. Температура вспышки, °С, не менее

228

По ГОСТ 12.1.044-89 
или ГОСТ 4333-87 

7. Массовая доля золы, %, не более

0,1

По п.3.8

8. Массовая доля свободного трикрезола, %, не более

0,08

По пп.3.9 и 3.10

9. Удельное объемное электрическое сопротивление, Ом·см, не менее

1·108

По ГОСТ 6581-75


Примечания:

1. Удельное объемное электрическое сопротивление определяют только для трикрезилфосфата, предназначенного для кабельного пластиката.

2. Норма цветности по платиново-кобальтовой шкале для трикрезилфосфата 1-го сорта с 1 января 1988 г. должна быть не более 250 ед. Хазена.


Код по Общесоюзному классификатору промышленной и сельскохозяйственной продукции трикрезилфосфата высшего сорта - ОКП 24 9332 0101, первого сорта - ОКП 24 9332 0102. 

(Измененная редакция, Изм. N 1, 2, 3, 4). 

1.3. Пример условного обозначения трикрезилфосфата технического:

Трикрезилфосфат технический ГОСТ 5728-76


(Введен дополнительно, Изм. N 2).

2. ПРАВИЛА ПРИЕМКИ

2.1. Технический трикрезилфосфат должен предъявляться к приемке партиями. За партию принимают количество однородного по качеству трикрезилфосфата, сопровождаемое одним документом о качестве.

Документ о качестве должен содержать:

- наименование предприятия-изготовителя и его товарный знак;

- наименование продукта;

- массу нетто;

- количество упаковочных единиц;

- дату изготовления;

- номер партии;

- результаты проведенных испытаний или подтверждение о соответствии требованиям настоящего стандарта;

- обозначение настоящего стандарта.

При отгрузке технического трикрезилфосфата в железнодорожных цистернах каждую цистерну считают партией. Масса партии должна быть не более 60 т. 

(Измененная редакция, Изм. N 2).

2.2. Для проверки качества технического трикрезилфосфата пробу отбирают от каждой цистерны.

Для проверки технического трикрезилфосфата в бочках отбирают 10% бочек партии, но не менее чем три.

2.3. При получении неудовлетворительных результатов испытаний хотя бы по одному показателю по нему должны проводиться повторные испытания удвоенного количества проб, взятых от 20% бочек партии или от одной цистерны. Результаты повторных испытаний распространяют на всю партию.

3. МЕТОДЫ ИСПЫТАНИЙ

3.1. Точечную пробу из цистерны отбирают пробоотборником равными частями сверху, из середины и снизу цистерны. Из бочек пробу отбирают чистой стеклянной трубкой диаметром 10-12 мм, погружая ее до дна бочки (трубку опускают в жидкость при открытом верхнем конце).

(Измененная редакция, Изм. N 2).

3.2. Отобранные точечные пробы соединяют вместе, тщательно перемешивают и не менее 0,5 дм3 объединенной пробы помещают в чистую сухую банку с герметично закрывающейся крышкой. На банку наклеивают этикетку с обозначением наименования продукта, номера партии и даты отбора проб.

(Измененная редакция, Изм. N 2, 3).

3.3. Внешний вид трикрезилфосфата определяют визуальным просмотром испытуемой пробы в пробирке типа П 125-200ХУ-1 (ГОСТ 25336-82) в проходящем свете при (20±2) °С.

3.4. Цветность по платино-кобальтовой шкале определяют по ГОСТ 18522-93. При фотометрическом методе определения испытуемую пробу наливают в стеклянную кювету слоем толщиной 50 мм и измеряют оптическую плотность относительно дистиллированной воды при длине волны 460 нм. Срок годности градуировочного графика 6 мес. 

(Измененная редакция, Изм. N 2).

3.5. Плотность определяют денсиметром по ГОСТ 18329-73.

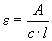
3.6. Определение кислотного числа

Сущность определения заключается в титровании спиртового раствора испытуемого продукта раствором гидроксида калия в присутствии индикатора фенолового красного. 

(Измененная редакция, Изм. N 2).

3.6.1. Применяемые реактивы и посуда

Спирт этиловый ректификованный технический по ГОСТ 10300-80, сорт высший или первый.

Натрия гидроксид по ГОСТ 4328-77, х.ч. или ч.д.а., 0,1 н. раствор.

Калия гидроксид по ГОСТ 24363-80, х.ч. или ч.д.а., 0,1 н. раствор.

Феноловый красный по ГОСТ 4599-73, раствор в этиловом спирте 0,2 г/дм. Готовят следующим образом: в 2,85 см3 0,05 н. раствора гидроксида натрия и 5 см3 95% (по объему) этилового спирта помещают 50 мг фенолового красного, нагревают до растворения и разбавляют 20%-ным (по объему) этиловым спиртом до 250 см3.

Колба Кн-1-250-19/29 ТС по ГОСТ 25336-82.

Бюретка 1-2-10-0,05.

Весы лабораторные общего назначения по ГОСТ 24104-88*, 2-го класса точности с наибольшим пределом взвешивания 200 г или любые другие с соответствующими метрологическими характеристиками.
______________
* На территории Российской Федерации действует ГОСТ 24104-2001, здесь и далее по тексту. - Примечание изготовителя базы данных.


(Измененная редакция, Изм. N 2, 3, 4).

3.6.2. Проведение испытания

100 г трикрезилфосфата взвешивают в конической колбе, приливают 50 см3 этилового спирта, предварительно нейтрализованного 0,1 н. раствором гидроксида калия по феноловому красному. Полученный раствор титруют из бюретки 0,1 н. раствором гидроксида калия в присутствии 0,5 см3 раствора фенолового красного до изменения цвета.

(Измененная редакция, Изм. N 2).

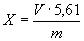
3.6.3. Обработка результатов

Кислотное число (X) в мг KОН/г вычисляют по формуле где V - объем 0,1 н. раствора гидрооксида натрия*, израсходованный на титрование пробы, см3
5,61 - эквивалентная масса гидроксида калия; 

m - масса пробы, взятая для анализа, г.
_______________
* Текст соответствует оригиналу. См. ярлык "Примечания". - Примечание изготовителя базы данных.

За результат анализа принимают среднее арифметическое результатов двух параллельных определений, расхождение между которыми не превышает 0,003 мг KОН/г вещества.

Результат анализа округляют до второго десятичного знака.

Допускаемая относительная суммарная погрешность результата анализа составляет ±4% при доверительной вероятности P=0,95.

(Измененная редакция, Изм. N 2, 3, 4).

3.7. Определение массовой доли летучих веществ

3.7.1. Определение массовой доли летучих веществ основано на потере массы трикрезилфосфата при нагревании его в течение 2 ч при 140 °С.

3.7.2. Аппаратура, посуда и реактивы

Термошкаф с терморегулятором или любой другой сушильный шкаф, обеспечивающий нагрев до (140±5) °С.

Термометр с диапазоном измерения 0-200 °С по ГОСТ 28498-90 или термометр, обеспечивающий измерение температуры в заданном интервале с погрешностью ±1 °С.

Стаканчик СВ 24/10 по ГОСТ 25336-82.

Эксикатор 2-180 или 2-136 по ГОСТ 25336-82.

Весы лабораторные общего назначения по ГОСТ 24104-88, 2-го класса точности с наибольшим пределом взвешивания 200 г или другие с соответствующими метрологическими характеристиками.

Асбестовый картон по ГОСТ 2850-95.

кальций хлористый прокаленный.

Секундомер.

3.7.3. Проведение анализа

(10,000±1,000) г трикрезилфосфата взвешивают в стаканчике и ставят на асбестовый картон в термошкаф, сняв крышку. Навеску выдерживают в термошкафу при температуре (140±5) °С в течение 2 ч. Термометр устанавливают в термошкаф так, чтобы ртутный шарик касался асбестового картона. Затем стаканчик вынимают и, закрыв крышкой, помещают в эксикатор с прокаленным хлористым кальцием и охлаждают не менее 30 мин. Охлажденный стаканчик взвешивают.

3.7.4. Обработка результатов

Массовую долю летучих веществ (X1) в процентах вычисляют по формуле где m1 - масса стаканчика с пробой трикрезилфосфата до прогрева, г; 
m2 - масса стаканчика с пробой трикрезилфосфата после прогрева, г; 

m0 - масса пробы трикрезилфосфата, г.

За результат анализа принимают среднее арифметическое результатов двух определений, абсолютное допускаемое расхождение между которыми не превышает 0,005%.

Результат округляют до второго десятичного знака.

Допускаемая относительная суммарная погрешность результата анализа ±5% при доверительной вероятности P=0,95.

3.8. Определение массовой доли золы

3.8.1. Аппаратура, посуда и реактивы

Тигель из прозрачного кварцевого стекла по ГОСТ 19908-90 типа ТК ПВ вместимостью от 20 до 40 см3.
Аммоний азотнокислый по ГОСТ 22867-77.

Весы лабораторные общего назначения по ГОСТ 24104-88, 2-го класса точности с наибольшим пределом взвешивания 200 г или другие с соответствующими метрологическими характеристиками.

Асбестовый картон по ГОСТ 2850-95.

Электрическая плитка с закрытым обогревом.

кальций хлористый прокаленный.

Печь муфельная типа СНОЛ.

3.8.2. Проведение анализа

(10,000±1,000) г трикрезилфосфата взвешивают в кварцевом тигле и осторожно упаривают на песочной бане или на электрической плитке, покрытой асбестовым картоном. После прекращения выделения паров трикрезилфосфата тигель ставят в муфель, предварительно нагретый до 800-900 °С. Содержимое тигля доводят до полного озоления. В случае неполного сгорания в предварительно охлажденный тигель добавляют небольшое количество кристаллов азотнокислого аммония и вновь прокаливают.

Прокаливание продолжают до постоянной массы. Выпаривание и озоление ведут в вытяжном шкафу.

3.8.3. Обработка результатов

Массовую долю золы (X2) в процентах вычисляют по формуле где m1 - масса тигля с золой после прокаливания, г; 
m2 - масса пустого тигля после прокаливания, г; 

m - масса пробы трикрезилфосфата, г.

За результат анализа принимают среднее арифметическое результатов двух определений, абсолютное допускаемое расхождение между которыми не превышает 0,007%.

Допускаемая относительная суммарная погрешность результата анализа ±6% при доверительной вероятности P=0,95.

3.9. Определение массовой доли свободного трикрезола бромид-броматным методом

3.9.1. Приборы, посуда, реактивы и растворы

Термометр по ГОСТ 28498-90.

Колба Кн-250-19/26 по ГОСТ 25336-82. 

Стаканчик СВ 34/12 по ГОСТ 25336-82. 

Пипетка 2-2-100 по ГОСТ 29227-91. 

Цилиндр 1-50 по ГОСТ 1770-74.

Весы лабораторные общего назначения по ГОСТ 24104-88, 2-го класса точности с наибольшим пределом взвешивания 200 г или другие с соответствующими метрологическими характеристиками. 

кислота соляная по ГОСТ 3118-77

Вода дистиллированная по ГОСТ 6709-72-->ГОСТ 6709-72

Калий бромистый по ГОСТ 4160-74

Калий бромноватокислый по ГОСТ 4457-74.

Натрия гидроксид по ГОСТ 4328-77, раствор с массовой долей 2,5%. 

натрий серноватистокислый (Тиосульфат натрия).

Раствор концентрации с(Na2S2O3·5H2O)=0,1 моль/дм3 (0,1 н.) по ГОСТ 244-76
Калий йодистый по ГОСТ 4232-74, раствор с массовой долей 10%. 

Крахмал растворимый по ГОСТ 10163-76, раствор с массовой долей 1%.

3.9.2. Подготовка к анализу

Бромид-броматный раствор готовят следующим образом: около 2,78 г бромноватокислого калия и 10 г бромистого калия растворяют в мерной колбе вместимостью 1000 см3 в дистиллированной воде. Раствор доводят до метки и тщательно перемешивают.

3.9.3. Проведение анализа

Около 20,000 г трикрезилфосфата взвешивают в конической колбе и приливают 50 см3 раствора с массовой долей 2,5% гидроокиси натрия при (65±1) °С и умеренно перемешивают в течение 3 мин.

Затем содержимое колбы охлаждают до 20 °С, количественно переносят в мерную колбу вместимостью 250 см3 и доводят объем дистиллированной водой до метки. 100 смполученного раствора пипеткой переносят в коническую колбу, прибавляют 25 смбромидброматного раствора, 5 см3 соляной кислоты, встряхивают и оставляют в покое на 15 мин. После этого прибавляют 10 см3 раствора йодистого калия, колбу ставят на выдержку в темное место на 5 мин и оттитровывают выделившийся йод раствором серноватистокислого натрия.

Одновременно в тех же условиях с теми же реактивами, но без пробы трикрезилфосфата проводят контрольный опыт.

3.9.4. Обработка результатов

Массовую долю свободного трикрезола (X3) в процентах вычисляют по формуле где V1 - объем раствора серноватистокислого натрия концентрации 0,1 моль/дм3 (0,1 н.), израсходованный в контрольном опыте, см3

V2 - объем раствора серноватистокислого натрия концентрации 0,1 моль/дм3 (0,1 н.), израсходованный на титрование пробы трикрезилфосфата, см3

0,00181 - масса трикрезола, соответствующая 1 см3 раствора серноватистокислого натрия концентрации точно 1 моль/дм3 (0,1 н.), г; 

p - плотность трикрезилфосфата, г/см3

m - масса пробы трикрезилфосфата, г.

За результат анализа принимают среднее арифметическое результатов двух определений, абсолютное допускаемое расхождение между которыми не превышает 0,005%.

Допускаемая относительная суммарная погрешность результата анализа ±10% при доверительной вероятности P=0,95.

3.7-3.9.4. (Измененная редакция, Изм. N 4).

3.10. Определение массовой доли свободного трикрезола методом УФ-спектроскопии

3.10.1. Применяемые приборы, посуда и реактивы 

Спектрофотометр СФ-26 или другого аналогичного типа. 

Колбы 2-25-2, 2-500-2 по ГОСТ 1770-74. 

Воронки ВД1-100ХС-1 по ГОСТ 25336-82. 

Пипетки 6-1-10, 7-1-10.

Натрия гидроксид (натр едкий) по ГОСТ 4328-77, 0,5%-ный раствор, предварительно отфильтрованный.

Вода дистиллированная по ГОСТ 6709-72-->ГОСТ 6709-72.

Углерод четыреххлористый по ГОСТ 20288-74.

п-крезол реактивный.

Стандартный раствор, содержащий 0,1 мг п-крезола в 1 см3 четыреххлористого углерода. Готовят следующим образом: растворяют примерно 0,0500 п-крезола в 25 смчетыреххлористого углерода в мерной колбе. Рассчитывают содержание п-крезола в 1 смраствора. Соответствующим разбавлением полученного раствора четыреххлористым углеродом в мерной колбе готовят рабочий стандартный раствор, содержащий 0,1 мг п-крезола в 1 смраствора.

3.10.2. Проведение испытания

Пробу трикрезилфосфата от 0,5 до 2 г (в зависимости от содержания трикрезола), взвешенную с погрешностью не более 0,0005 г, помещают в делительную воронку и растворяют в 10 см четыреххлористого углерода.

Добавляют 10 см3 0,5%-ного раствора гидроксида натрия и экстрагируют 2 мин круговыми движениями. После расслаивания нижний (органический) слой сливают в другую делительную воронку для повторной экстракции, верхний (водно-щелочной) слой сливают в мерную колбу вместимостью 25 см3.

После повторной экстракции органический слой отбрасывают, а водно-щелочной слой переливают в ту же мерную колбу, соединяя оба слоя вместе. Доливают до метки 0,5%-ным раствором гидроксида натрия и перемешивают. Затем раствор фильтруют через плотный фильтр "синяя лента", отбрасывая первые 2-3 см3 фильтрата. Остальную часть фильтрата помещают в кювету спектрофотометра слоем толщиной 1 см. Определяют оптическую плотность раствора относительно 0,5%-ного раствора гидроксида натрия при длине волны 293 нм.

3.10-3.10.2. (Измененная редакция, Изм. N 2).

3.10.3. Построение градуировочного графика

Для построения градуировочного графика готовят стандартные растворы в четыреххлористом углероде из исходного стандартного раствора, содержащего 0,1 мг/см3 п-крезола в 1 см3 раствора.

В делительные воронки наливают пипеткой поочередно 1, 2, 3, 4, 5, 6, 7, 8 см3 стандартного раствора, соответствующие 0,1; 0,2; 0,3; 0,4; 0,5; 0,6; 0,7; 0,8 мг п-крезола. Добавляют четыреххлористый углерод до 10 см3 и далее поступают, как указано в п.3.10.2, последовательно определяя оптическую плотность каждого из полученных водно-щелочных экстрактов.

Градуировочный график строят, откладывая по оси абсцисс значения концентраций от 0,1 до 0,8 мг (с интервалом 0,1 мг) в 25 см3 щелочного экстракта, а по оси ординат - соответствующие им значения оптических плотностей.

Допускаемая относительная суммарная погрешность градуировочного графика не должна превышать допускаемой погрешности, равной ±5%.

(Измененная редакция, Изм. N 2, 4).

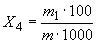
3.10.4. Обработка результатов

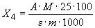
Массовую долю свободного трикрезола (X4) в процентах вычисляют: 

а) пользуясь градуировочным графиком, по формуле где m1 - масса п-крезола, найденная по графику, мг;
m - масса пробы трикрезилфосфата, г; 

б) пользуясь величиной  по формуле где A - оптическая плотность анализируемого щелочного экстракта при 293 нм; 
M - молекулярная масса определяемого крезола, равная 108; 

m - масса пробы трикрезилфосфата, г; 

 - молярный коэффициент поглощения п-крезола, равный 2260 при длине волны 293 нм.

Величину  для каждого лабораторного прибора вычисляют по формуле где A - оптическая плотность стандартных растворов п-крезола по градуировочному графику; 
c - концентрация стандартных растворов, найденная по градуировочному графику, моль/дм3;

l - толщина слоя раствора, см.

За результат испытания принимают среднее арифметическое двух параллельных определений, допускаемое расхождение между которыми не должно превышать 10% относительно среднего значения.

Допускаемая относительная суммарная погрешность не должна превышать ±10% при доверительной вероятности P=0,95.

(Измененная редакция, Изм. N 2, 3, 4).

3.10.5. При возникновении разногласий в оценке массовой доли свободного трикрезола определение проводят методом УФ-спектроскопии. 

(Измененная редакция, Изм. N 2).

4. УПАКОВКА, МАРКИРОВКА, ТРАНСПОРТИРОВАНИЕ И ХРАНЕНИЕ

4.1. Трикрезилфосфат загружают в цистерны по ГОСТ 10674-82, в стальные бочки типа I по ГОСТ 13950-91, вместимостью 100-200 дм3.

Степень (уровня) заполнения цистерн (бочек) следует рассчитывать с учетом полного использования вместимости (грузоподъемности) цистерн (бочек) и объемного расширения продукта при возможном перепаде температур в пути следования.

Допускаемое предельное отклонение по массе нетто в бочках не должно превышать ±2%.

4.2. На каждое грузовое место наносится транспортная маркировка по ГОСТ 14192-96 с нанесением знака опасности по ГОСТ 19433-88 (класс 9, подкласс 9.1, классификационный шифр 9153).

Дополнительно наносят следующие данные:

- наименование предприятия-изготовителя и его товарный знак;

- наименование продукта;

- номер партии;

- массу нетто и брутто;

- дату изготовления;

- обозначения настоящего стандарта.

4.1-4.2. (Измененная редакция, Изм. N 3, 4).

4.3. (Исключен, Изм. N 2).

4.4. Технический трикрезилфосфат перевозят любым видом транспорта в крытых транспортных средствах и в цистернах в соответствии с правилами перевозки грузов, действующими на транспорте данного вида. При транспортировании по железной дороге трикрезилфосфат перевозят в бочках (мелкими отправками и повагонно). Бочки вместимостью 0,2 м3 пакетированию не подлежат.

Трикрезилфосфат, упакованный в бочки, транспортируют пакетами. 

(Измененная редакция, Изм. N 2, 3).

4.5. Технический трикрезилфосфат должен храниться в упакованном виде в крытом складском помещении.

5. ГАРАНТИИ ИЗГОТОВИТЕЛЯ

5.1. Изготовитель должен гарантировать соответствие технического трикрезилфосфата требованиям настоящего стандарта при соблюдении потребителем условий хранения.

(Измененная редакция, Изм. N 3).

5.2. Гарантийный срок хранения - шесть месяцев со дня изготовления и год - при изменении цвета не более чем до 500 ед. Хазена.

По истечении гарантийного срока хранения трикрезилфосфат перед применением должен быть проверен на соответствие требованиям настоящего стандарта. 

(Измененная редакция, Изм. N 2).

6. ТРЕБОВАНИЯ БЕЗОПАСНОСТИ

6.1. Технический трикрезилфосфат представляет собой маслянистую, нелетучую, трудновоспламеняющуюся, невзрывоопасную жидкость.

Температура кипения технического трикрезилфосфата (280-290) °С при 666,4 Па (5 мм рт.ст.); температура вспышки 228 °С; температура воспламенения 249 °С, температура самовоспламенения 369 °С.

При загорании трикрезилфосфата тушить тонкораспыленной водой, пеной.

Трикрезилфосфат по воздействию на организм человека согласно классификации ГОСТ 12.1.007-76 относится к 2 классу опасности (высокоопасные вещества).

(Измененная редакция, Изм. N 2).

6.2. Предельно допустимая концентрация трикрезилфосфата 0,1 мг/м3.

6.3. При переработке трикрезилфосфата наиболее высокая температура 160 °С; при этом не происходит разложения трикрезилфосфата.

При температуре 250 °С возможно незначительное разложение продукта с выделением паров фенола и паров изомеров крезола.

Предельно допустимая концентрация паров фенола и крезола в воздухе производственных помещений составляет 0,3 и 0,5 мг/м3 соответственно.

(Измененная редакция, Изм. N 2).

6.4. При работе с трикрезилфосфатом емкости с нагретым трикрезилфосфатом, аппаратуру и коммуникации необходимо держать закрытыми во избежание попадания паров в помещение.

Производственные помещения должны быть оборудованы приточно-вытяжной вентиляцией, а места возможного выделения трикрезилфосфата должны быть оборудованы местными отсосами.

6.5. Для защиты от статического электричества в производстве трикрезилфосфата необходимо ограничить скорость движения трикрезилфосфата до 5 м/с.

6.6. При работе с трикрезилфосфатом необходимо использовать индивидуальные средства защиты, предохраняющие от вдыхания паров трикрезилфосфата, попадания вещества на кожные покровы и слизистые оболочки (респираторы, защитные очки, резиновые перчатки, нарукавники, спецодежду из плотной ткани).

При попадании трикрезилфосфата на кожу или одежду необходимо сменить одежду и обмыть пораженные места теплой водой с мылом.

6.7. Производство должно быть обеспечено техническими средствами контроля состояния воздушной среды.



официальное издание
М.: ИПК Издательство стандартов, 1998