Новости Нефтегазовая пром.
Выставки Наука и технология


Натрия тиосульфат кристаллический ГОСТ 244-76

Натрия тиосульфат кристаллический. Технические условия (с Изменениями N 1, 2, 3, 4) ГОСТ 244-76


ГОСТ 244-76

Группа Л14

МЕЖГОСУДАРСТВЕННЫЙ СТАНДАРТ

НАТРИЯ ТИОСУЛЬФАТ КРИСТАЛЛИЧЕСКИЙ

Технические условия

Crystalline sodium thiosuphate.Specifications

ОКП 21 4240

Дата введения 1978-01-01

ИНФОРМАЦИОННЫЕ ДАННЫЕ

1. РАЗРАБОТАН И ВНЕСЕН Министерством химической промышленности СССР

РАЗРАБОТЧИКИ

Н.И.Баянова, А.Я.Телепнева, В.М.Масалович (руководители темы), Р.Г.Сырова, В.А. Атемова, Г.Н.Шарапова

2. УТВЕРЖДЕН И ВВЕДЕН В ДЕЙСТВИЕ Постановлением Государственного комитета стандартов Совета Министров СССР от 28.10.76 N 2445

Изменение N 4 принято Межгосударственным Советом по стандартизации, метрологии и сертификации (протокол N 10 от 04.10.96)

Зарегистрировано Техническим секретариатом МГС N 2221

За принятие проголосовали:

Наименование государства

Наименование национального органа по стандартизации

Азербайджанская Республика

Азгосстандарт

Республика Армения

Армгосстандарт

Республика Беларусь

Госстандарт Беларуси

Республика Казахстан

Госстандарт Республики Казахстан

Республика Молдова

Молдовастандарт

Российская Федерация

Госстандарт России

Республика Таджикистан

Таджикгосстандарт

Туркменистан

Главная государственная инспекция Туркменистана

Украина

Госстандарт Украины

3. Стандарт соответствует международному стандарту ИСО 419-72 в части технических требований

4. ВЗАМЕН ГОСТ 5.1189-72, ГОСТ 244-68

5. ССЫЛОЧНЫЕ НОРМАТИВНО-ТЕХНИЧЕСКИЕ ДОКУМЕНТЫ

Обозначение НТД, на который дана ссылка

Номер пункта, подпункта

ГОСТ 12.1.005-88

1а.2, 1а.3

ГОСТ 12.1.016-79

1а.3

ГОСТ 12.4.016-83

1а.4

ГОСТ 12.4.021-75

1а.3

ГОСТ 12.4.028-76

1а.4

ГОСТ 17.2.3.02-78

1а.5

ГОСТ 199-78

3.4.1

ГОСТ 1027-67

3.6.1

ГОСТ 1770-74

3.3.1; 3.4.1; 3.5.1; 3.6.1; 3.7.1; 3.8.1; 3.9.1; 3.10.1

ГОСТ 2053-77

3.6.1

ГОСТ 2226-88

4.1

ГОСТ 3118-77

3.4.1

ГОСТ 3760-79

3.4.1; 3.8.1

ГОСТ 3885-73-->ГОСТ 3885-73

3.1.2; 4.1

ГОСТ 3956-76

3.5.1; 3.8.1

ГОСТ 4159-79

3.3.1; 3.5.1

ГОСТ 4204-77

3.4.1

ГОСТ 4212-76

3.4.1; 3.7.1

ГОСТ 4328-77

3.6.1; 3.7.1

ГОСТ 4461-77

3.4.1

ГОСТ 4517-87

3.9.1

ГОСТ 4919.1-77

3.3.1; 3.5.1

ГОСТ 5456-79

3.4.1

ГОСТ 5712-78

3.8.1

ГОСТ 5845-79

3.7.1

ГОСТ 5959-80

4.1

ГОСТ 6709-72-->ГОСТ 6709-72

3.3.1; 3.4.1; 3.5.1; 3.6.1; 3.7.1; 3.8.1; 3.9.1; 3.10.1

ГОСТ 7328-82

3.3.1; 3.4.1; 3.5.1; 3.8.1; 3.9.1; 3.10.1

ГОСТ 8777-80

4.1

ГОСТ 9147-80

3.8.1

ГОСТ 10163-76

3.3.1; 3.5.1

ГОСТ 10651-75

3.8.1

ГОСТ 12026-76

3.10.1

ГОСТ 13515-91

4.1

ГОСТ 13516-86

4.1

ГОСТ 13841-95

4.1

ГОСТ 14192-96

4.2; 4.3

ГОСТ 21650-76

4.5

ГОСТ 24104-88

3.3.1; 3.4.1; 3.5.1; 3.6.1; 3.7.1; 3.8.1; 3.9.1; 3.10.1

ГОСТ 24597-81

4.5

ГОСТ 25336-82

3.3.1; 3.4.1; 3.5.1; 3.6.1; 3.7.1; 3.8.1; 3.9.1; 3.10.1

ГОСТ 25794.1-83

3.4.1

ГОСТ 25794.2-83

3.3.1; 3.5.1

ГОСТ 30090-93

4.1

6. Ограничение срока действия снято по протоколу N 2-92 Межгосударственного Совета по стандартизации, метрологии и сертификации (ИУС 2-93)

7. ПЕРЕИЗДАНИЕ (июнь 1999 г.) с Изменениями N 1, 2, 3, 4, утвержденными в октябре 1981 г., апреле 1987 г., декабре 1989 г., апреле 1997 г. (ИУС 1-82, 7-87, 4-90, 7-97)


Настоящий стандарт распространяется на кристаллический Тиосульфат натрия, предназначенный для фото-, кинопромышленности, кожевенной, меховой, целлюлозно-бумажной, химической и других отраслей промышленности.

Формула: Na2S2O3·5H2O.

Молекулярная масса (по международным атомным массам 1971 г.) - 248,174.

(Измененная редакция, Изм. N 3).

1. ТЕХНИЧЕСКИЕ ТРЕБОВАНИЯ

1.1a. Тиосульфат натрия должен быть изготовлен в соответствии с требованиями настоящего стандарта по технологическому регламенту, утвержденному в установленном порядке.

(Введен дополнительно, Изм. N 1).

1.1. По физико-химическим показателям Тиосульфат натрия должен соответствовать нормам, указанным в табл.1.

Таблица 1

Наименование показателя

Норма

Фотографический

Технический

Высший сорт

1-й сорт

1. Внешний вид

Неслеживающиеся бесцветные кристаллы. Допускается беловатый оттенок

Неслеживающиеся бесцветные кристаллы, гранулы. Допускается желтоватый или слабо-розовый оттенок

2. Массовая доля тиосульфата натрия в пересчете на Na2S2O3·5H2O, %, не менее

99,0

98,5

98,0

3. Массовая доля железа (Fe), %, не более

0,001

0,002

0,003

4. Массовая доля нерастворимых в воде веществ, %, не более

0,01

0,03

0,03

5. Массовая доля сернистого натрия (Na2S), %, не более

0,001

0,001

0,001

6. Массовая доля тяжелых металлов (Pb), %, не более

0,001

Не нормируется

7. Массовая доля кальция, магния и веществ, нерастворимых в аммониевых растворах, %, не более

0,02

Не нормируется

8. pH водного раствора при 20 °С

6,5-9,5

Не нормируется

9. Внешний вид водного раствора

Бесцветный прозрачный

Не нормируется


Примечания:

1. По согласованию с потребителем в техническом тиосульфате натрия, получаемом при очистке камерного сланцевого газа от сероводорода, допускается массовая доля сернистого натрия не более 0,01%.

2. (Исключено, Изм. N 2).


(Измененная редакция, Изм. N 1, 2, 3).

1.2. Коды ОКП натрия тиосульфата кристаллического приведены в табл.2.

Таблица 2

Наименование продукта

Код ОКП

Натрия тиосульфат фотографический

21 4241 0100

технический:

21 4242 0100

высший сорт

21 4242 0120

1-й сорт

21 4242 0130



(Измененная редакция, Изм. N 3).

1a. ТРЕБОВАНИЯ БЕЗОПАСНОСТИ

1a.1. Тиосульфат натрия пожаро- и взрывобезопасен.

1a.1. (Введен дополнительно, Изм. N 2).

1а.2. При действии кислот Тиосульфат натрия разлагается с выделением сернистого ангидрида. Предельно допустимая концентрация SO2 в воздухе рабочей зоны производственных помещений - 10 мг/м3 по ГОСТ 12.1.005.

Сернистый ангидрид (SO2) - бесцветный газ с острым запахом, действует раздражающе на слизистые оболочки. Длительное воздействие вызывает острое воспаление слизистых оболочек и бронхов, кашель, боль в горле и груди, слезотечение.

Токсичной является пыль тиосульфата натрия. При попадании внутрь организма человека она может вызывать рвоту, вялость, расстройство кровообращения, сердцебиение.

1а.3. Производственные помещения и лаборатории, в которых проводят работы с тиосульфатом натрия, должны быть обеспечены приточно-вытяжной вентиляцией по ГОСТ 12.4.021 и санитарно-бытовыми помещениями.

Производственное оборудование и коммуникации в местах возможного образования газов должны быть снабжены местными отсосами, обеспечивающими состояние воздуха рабочей зоны в соответствии с требованиями ГОСТ 12.1.005.

Контроль за концентрацией вредных веществ проводят по методикам, разработанным в соответствии с ГОСТ 12.1.016.

1а.4. Работающие с тиосульфатом натрия должны быть обеспечены специальной одеждой в соответствии с ГОСТ 12.4.016 и нормами, утвержденными в установленном порядке, а также средствами индивидуальной защиты органов дыхания - респираторами типа У-2К, ШБ-1 "Лепесток" по ГОСТ 12.4.028.

1а.2-1а.4. (Измененная редакция, Изм. N 2, 4).

1а.5. При производстве, применении, транспортировании и хранении тиосульфата натрия необходимо соблюдать требования ГОСТ 17.2.3.02 и правил безопасности для производств основной химической промышленности.

1а.6. Утилизация отходов осуществляется в соответствии с санитарными правилами накопления, транспортирования, обезвреживания и захоронения промышленных отходов.

1а.5, 1а.6. (Введены дополнительно, Изм. N 4).

2. ПРАВИЛА ПРИЕМКИ

2.1. Тиосульфат натрия принимают партиями. Партией считают продукт, однородный по своим качественным показателям, массой не более 60 т, сопровождаемый одним документом о качестве, содержащим:

наименование предприятия-изготовителя и его товарный знак;

наименование, марку и сорт продукта;

номер партии;

дату изготовления;

массу нетто;

количество мест в партии;

результаты проведенных анализов или подтверждение соответствия качества продукта требованиям настоящего стандарта;

обозначение настоящего стандарта.

(Измененная редакция, Изм. N 2).

2.2. Для контроля качества тиосульфата натрия отбирают 5% единиц продукции, но не менее двух единиц продукции при партиях менее 50 единиц.

Для проверки качества тиосульфата натрия, упакованного в контейнеры, пробы отбирают от каждого контейнера.

(Измененная редакция, Изм. N 1).

2.3. Для контроля качества тиосульфата натрия, находящегося в движении, пробы отбирают механизированным или ручным способом в местах перепада потока с периодом отбора, обеспечивающим получение точечной пробы массой 0,5 кг от 400 кг продукта.

2.4. При получении неудовлетворительных результатов анализа хотя бы по одному показателю по нему проводят повторный анализ на удвоенном количестве единиц продукции той же партии. Результаты повторного анализа распространяются на всю партию.

3. МЕТОДЫ АНАЛИЗА

3.1. Отбор проб

3.1.1. Точечные пробы тиосульфата натрия отбирают алюминиевым щупом или щупом из нержавеющей стали, погружая его не менее чем на 3/4 глубины мешка (бочки, контейнера) по вертикальной оси. Из контейнера пробы отбирают в пяти точках. Точечные пробы продукта, находящегося в движении, отбирают механическим или автоматическим пробоотборником или ручным способом. Масса точечной пробы должна быть не менее 0,2 кг.

(Измененная редакция, Изм. N 4).

3.1.2. Точечные пробы тиосульфата натрия, предназначенного для розничной торговли, отбирают по ГОСТ 3885.

(Измененная редакция, Изм. N 2, 4).

3.1.3. Отобранные точечные пробы соединяют вместе в объединенную пробу, перемешивают и сокращают методом квартования или на делителе до получения средней пробы массой не менее 0,5 кг, делят ее на две равные части по 0,25 кг - лабораторную и контрольную, помещают в чистые сухие банки с крышками или двойные полиэтиленовые мешки, которые плотно завязывают.

3.1.4. Пробу маркируют, указывая наименование предприятия-изготовителя, наименование продукта, номер партии, марку, сорт, обозначение настоящего стандарта, дату отбора пробы.

3.1.3, 3.1.4. (Измененная редакция, Изм. N 4).

3.2. Внешний вид продукта определяют визуально

3.3. Определение массовой доли тиосульфата натрия в пересчете на Na2S2O3·5H2O

3.3.1. Аппаратура, реактивы и растворы

Весы лабораторные общего назначения по ГОСТ 24104* 2-го класса точности с наибольшим пределом взвешивания 200 г; допускается применение других весов с аналогичными метрологическими характеристиками.
__________________
* На территории Российской Федерации действует ГОСТ 24104-2001, здесь и далее по тексту. - Примечание изготовителя базы данных.

Набор гирь 2-го класса точности по ГОСТ 7328*.
__________________
* На территории Российской Федерации действует ГОСТ 7328-2001, здесь и далее по тексту. - Примечание изготовителя базы данных.


Стаканчики для взвешивания по ГОСТ 25336.

Бюретка вместимостью 25 см3.

Колбы конические Кн-1-500 ТХС по ГОСТ 25336.

Цилиндры 1-5-2 и 1(3)-50-2 по ГОСТ 1770.

Допускается применение импортной посуды, по классу точности не ниже отечественной.

Вода дистиллированная по ГОСТ 6709.

Йод по ГОСТ 4159, раствор концентрации c(1/2J2)=0,1 моль/дм3 (0,1 н.); готовят по ГОСТ 25794.2.

Крахмал растворимый по ГОСТ 10163, раствор с массовой долей крахмала 0,5%; готовят по ГОСТ 4919.1.

3.3.2. Проведение анализа

Около 1,0000 г тиосульфата натрия взвешивают в стаканчике для взвешивания. Навеску помещают в коническую колбу вместимостью 250 см3, растворяют в 50 см3 воды, прибавляют 1 см3 раствора крахмала и титруют раствором йода до появления синей окраски.

3.3.3. Обработка результатов

Массовую долю тиосульфата натрия (X) в пересчете на Na2S2O3·5H2O в процентах вычисляют по формуле где - объем раствора йода концентрации точно 0,1 моль/дм3, израсходованный на титрование, см3;
      0,0248 - количество тиосульфата натрия Na2S2O3·5H2O, соответствующее 1 см3 раствора йода концентрации точно 0,1 моль/см3, см3;

      m - масса навески, г.

За результат анализа принимают среднее арифметическое результатов двух параллельных определений, абсолютное расхождение между которыми не превышает допускаемое расхождение, равное 0,3%.

Допускаемая абсолютная суммарная погрешность результата анализа ±0,6% при доверительной вероятности P=0,95.

3.3.1-3.3.3. (Измененная редакция, Изм. N 1, 2, 4).

3.4. Определение массовой доли железа

3.4.1. Аппаратура, реактивы и растворы

Весы лабораторные общего назначения по ГОСТ 24104 2-го класса точности с наибольшим пределом взвешивания 200 г; допускается применение других весов с аналогичными метрологическими характеристиками.

Набор гирь 2-го класса точности по ГОСТ 7328.

Часы бытовые.

Стаканчики для взвешивания по ГОСТ 25336.

Мерные колбы 2-50-2 и 2-200-2 по ГОСТ 1770.

Стаканы по ГОСТ 25336 вместимостью 400 см3.

Пипетки вместимостью 5 и 10 см3.

Цилиндры мерные 1(3)-25-2 и 1(3)-50-2 по ГОСТ 1770.

Воронки по ГОСТ 25336.

Бумажный обеззоленный фильтр "белая лента".

Бумага "конго" красная.

Фотоэлектроколориметры типов ФЭК-52, КФК-2 или аналогичного типа.

Допускается применение импортной посуды, по классу точности не ниже отечественной.

аммиак водный по ГОСТ 3760, раствор, разбавленный 1:1.

Вода дистиллированная по ГОСТ 6709.

Гидроксиламина гидрохлорид по ГОСТ 5456, раствор с массовой долей гидроксиламина гидрохлорида 10%.

2,2'-дипиридил, раствор с массовой долей 2,2'-дипиридила 0,5%; готовят следующим образом: 0,5 г препарата растворяют в 95 см3 горячей воды с добавлением 5 см3 раствора соляной кислоты концентрации c(HCl)=0,01 моль/дм3 (0,01 н.).

Квасцы железоаммонийные, раствор, содержащий 1 мг железа (Fe3+) в 1 см3; готовят по ГОСТ 4212.

5 см3 приготовленного раствора подкисляют 10 см3 раствора соляной кислоты концентрации 1 моль/дм3 и разбавляют водой до 1 дм3; 1 см3 полученного раствора соответствует 0,005 мг железа - раствор А; раствор А применяют в день приготовления.

Кислота азотная по ГОСТ 4461, х.ч.

кислота соляная по ГОСТ 3118, раствор, разбавленный 1:1, и растворы концентрации c(HCl)=0,01 моль/дм3 (0,01 н.) и c(HCl)=1 моль/дм3 (1 н.); готовят по ГОСТ 25794.1.

Кислота серная по ГОСТ 4204, раствор, разбавленный 1:1.

Натрий уксуснокислый 3-водный по ГОСТ 199, раствор с массовой долей 20%.

O-фенантролин; готовят следующим образом: 0,5 г препарата растворяют в 250 см3 воды; раствор хранят в склянке из оранжевого стекла.

3.4.2. Построение градуировочного графика

Для построения градуировочного графика готовят растворы сравнения: в мерные колбы вместимостью 50 см3 отбирают из бюретки соответственно 0,5; 1,0; 1,5; 2,0; 2,5; 3,0; 3,5 см3 раствора А, что соответствует 0,0025; 0,005; 0,0075; 0,01; 0,0125; 0,015; 0,0175 мг Fe3+. Объемы растворов доводят водой до 25 см3. В каждую колбу последовательно приливают 3 см3 раствора гидроксиламина гидрохлорида, 3 см3 уксуснокислого натрия, 3 см3 раствора o-фенантролина или 2,2'-дипиридила, доводят объем раствора водой до метки. После добавления каждого реактива содержимое колб тщательно перемешивают. Одновременно готовят контрольный раствор, в который приливают все те же реактивы, кроме раствора А.

Через 10 мин измеряют оптическую плотность растворов сравнения на фотоэлектроколориметре (на левом барабане) по отношению к контрольному раствору в кювете с толщиной поглощающего свет слоя раствора 50 мм, пользуясь зеленым светофильтром (490-540 нм). По полученным данным строят градуировочный график, откладывая по оси абсцисс содержащиеся в растворах сравнения количества железа в миллиграммах, а по оси ординат - соответствующие им значения оптической плотности растворов.

3.4.1, 3.4.2. (Измененная редакция, Изм. N 2, 4).

3.4.3. Проведение анализа

Около 10,000 г тиосульфата натрия взвешивают в стаканчике для взвешивания. Навеску помещают в стакан вместимостью 400 см3, растворяют в 100-150 см3 воды, приливают 6 см3 раствора серной кислоты и нагревают раствор до начала удаления паров серной кислоты. После охлаждения к содержимому стакана приливают 10 см3 азотной кислоты и кипятят до просветления раствора; при этом сера собирается в комки. Содержимое стакана охлаждают и фильтруют через бумажный фильтр "белая лента" в мерную колбу вместимостью 200 см3, остаток на фильтре промывают небольшими порциями горячей воды (общий объем 100-120 см3). Промывные воды собирают в эту же мерную колбу. После охлаждения объем раствора доводят водой до метки и перемешивают.

10 см3 полученного раствора переносят в мерную колбу вместимостью 50 см3, избыток кислоты нейтрализуют раствором аммиака по бумаге конго красной (кусочек которой опускают в раствор) до появления фиолетового цвета бумаги и прибавляют 2-3 капли раствора соляной кислоты, разбавленной 1:1. К раствору последовательно приливают 3 см3 раствора гидроксиламина гидрохлорида, 3 см3 уксуснокислого натрия, 3 см3o-фенантролина или 2,2'-дипиридила и доводят объем раствора водой до метки. После добавления каждого реактива содержимое колб тщательно перемешивают. Одновременно через все стадии анализа проводят контрольный опыт с теми же количествами реактивов, но без анализируемого раствора. Через 10 мин измеряют оптическую плотность анализируемого раствора по п.3.4.2.

Массовую долю железа в анализируемом растворе находят по градуировочному графику.

(Измененная редакция, Изм. N 1,2, 4).

3.4.4. Обработка результатов

Массовую долю железа (X1) в процентах вычисляют по формуле где m1 - масса железа, найденная по градуировочному графику, мг;
      m - масса навески, г.

За результат анализа принимают среднее арифметическое результатов двух параллельных определений, абсолютное расхождение между которыми не превышает допускаемое расхождение, равное 0,0001%.

Допускаемая абсолютная суммарная погрешность результата анализа ±0,0002% при доверительной вероятности P=0,95.

(Измененная редакция, Изм. N 2, 4).

3.5. Определение массовой доли нерастворимых в воде веществ

3.5.1. Аппаратура, реактивы и растворы

Весы лабораторные общего назначении по ГОСТ 24104 2-го класса точности с наибольшим пределом взвешивания 200 г; допускается применение других весов, с аналогичными метрологическими характеристиками.

Набор гирь 2-го класса точности по ГОСТ 7328.

Шкаф сушильный с погрешностью регулирования температуры ±2,5 °С.

Эксикатор по ГОСТ 25336 с герметично пришлифованной крышкой, заполненный силикагелем по ГОСТ 3956, или оксидом алюминия, или хлористым кальцием, предварительно прокаленным при температуре 250-300 °С в течение 1-2 ч.

Стаканчики для взвешивания по ГОСТ 25336.

Колбы конические Кн по ГОСТ 25336 вместимостью 250, 500 см3.

Цилиндр 1(3)-500-2 по ГОСТ 1770.

Тигель ТФ ПОР 10ХС или ТФ ПОР 16ХС по ГОСТ 25336. Для удаления растворяющихся участков новой фильтрующей пластинки, искажающих получаемый результат, новые фильтры следует дважды промыть теплой (55±5) °С дистиллированной водой и высушить.

Допускается применение импортной посуды, по классу точности не ниже отечественной.

Вода дистиллированная по ГОСТ 6709.

Йод по ГОСТ 4159, раствор концентрации c(1/2J2)=0,1 моль/дм3; готовят по ГОСТ 25794.2.

Крахмал растворимый по ГОСТ 10163, раствор с массовой долей крахмала 0,5%; готовят по ГОСТ 4919.1.

Фенолфталеин (индикатор).

3.5.2. Проведение анализа

Около 20,00 г тиосульфата натрия взвешивают в стаканчике для взвешивания. Навеску растворяют в 200 см3 теплой воды. Раствор фильтруют через высушенный до постоянной массы при температуре 105-110 °С стеклянный фильтрующий тигель. Остаток на фильтре промывают теплой водой до отрицательной реакции на Тиосульфат натрия (проба с раствором йода в присутствии крахмала) и сушат при температуре 105-110 °С до постоянной массы.

3.5.1, 3.5.2. (Измененная редакция, Изм. N 4).

3.5.3. Обработка результатов

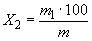
Массовую долю нерастворимых в воде веществ (X2) в процентах вычисляют по формуле где m1 - масса высушенного осадка, г;
       m - масса навески, г.

За результат анализа принимают среднее арифметическое результатов двух параллельных определений, абсолютное расхождение между которыми не превышает допускаемое расхождение, равное 0,003%.

Допускаемая абсолютная суммарная погрешность результата анализа ±0,006% при доверительной вероятности 0,95.

(Измененная редакция, Изм. N 2, 4).

3.6. Определение массовой доли сернистого натрия

3.6.1. Аппаратура, реактивы и растворы

Весы лабораторные общего назначения по ГОСТ 24104 2-го класса точности с наибольшим пределом взвешивания 200 г; допускается применение других весов с аналогичными метрологическими характеристиками.

Стаканчики для взвешивания по ГОСТ 25336.

Колба мерная 2-200-2 по ГОСТ 1770.

Цилиндр 2(4)-100 по ГОСТ 1770.

Пипетка вместимостью 20 см3.

Секундомер механический.

Допускается применение импортной посуды, по классу точности не ниже отечественной.

Вода дистиллированная по ГОСТ 6709.

Натрия гидроокись по ГОСТ 4328, раствор с массовой долей гидроокиси натрия 10%.

натрий сернистый по ГОСТ 2053, раствор, содержащий 1 мг сернистого натрия в 1 см3 раствора; готовят и анализируют по ГОСТ 2053: 5 см3 свежеприготовленного раствора разбавляют водой до 1 дм3; 1 см3 полученного раствора соответствует 0,005 мг сернистого натрия.

Свинец уксуснокислый по ГОСТ 1027, раствор с массовой долей уксуснокислого свинца 10%.

Щелочной раствор уксуснокислого свинца готовят добавлением раствора гидроокиси натрия к раствору уксуснокислого свинца в количестве, достаточном для растворения осадка и обеспечения небольшого избытка гидроокиси натрия.

(Измененная редакция, Изм. N 2, 4).

3.6.2. Проведение анализа

Около 20,0 г тиосульфата натрия взвешивают в стаканчике для взвешивания. Навеску помещают в мерную колбу вместимостью 200 см3, растворяют в воде, доводят объем раствора до метки и тщательно перемешивают - раствор А.

20 см3 раствора А (для фотографического продукта) или 2 см3 раствора А и 18 см3 воды (для технического продукта по применению) помещают в цилиндр для колориметрирования с притертой пробкой вместимостью 100 см3, добавляют 0,5 см3 щелочного раствора уксуснокислого свинца, разбавляют до 50 см3 водой и тщательно перемешивают. Продукт считают соответствующим требованиям настоящего стандарта, если наблюдаемая через 2 мин окраска или помутнение анализируемого раствора не будет интенсивнее окраски или помутнения раствора, приготовленного одновременно с анализируемым и содержащего в таком же объеме:

0,5 см3 щелочного раствора уксуснокислого свинца и 0,02 мг сернистого натрия - для технического продукта.

(Измененная редакция, Изм. N 1, 2, 4).

3.7. Определение массовой доли тяжелых металлов

3.7.1. Аппаратура, реактивы и растворы

Весы лабораторные общего назначения по ГОСТ 24104 2-го класса точности с наибольшим пределом взвешивания 200 г; допускается применение других весов с аналогичными метрологическими характеристиками.

Стаканчики для взвешивания по ГОСТ 25336.

Колбы конические Кн-1-50(100) ТХС по ГОСТ 25336.

Колба мерная 2-100-2 по ГОСТ 1770.

Цилиндры 1(3)-25-2 и 1(3)-50-2 по ГОСТ 1770.

Пипетки вместимостью 5 и 10 см3.

Допускается применение импортной посуды, по классу точности не ниже отечественной.

Вода дистиллированная по ГОСТ 6709.

Калий-Натрий виннокислый по ГОСТ 5845, ч.д.а., раствор с массовой долей виннокислого калия-натрия 20%.

Натрия гидроокись по ГОСТ 4328, раствор с массовой долей гидроокиси натрия 10%.

Раствор, содержащий 1 мг свинца в 1 см3 раствора; готовят по ГОСТ 4212.

1 см3 приготовленного раствора разбавляют водой в мерной колбе вместимостью 100 см3, доводят объем раствора водой до метки и тщательно перемешивают. 1 см3 полученного раствора соответствует 0,01 мг свинца - раствор А.

Тиоацетамид, раствор с массовой долей тиоацетамида 2%, годен в течение 3 сут.

(Измененная редакция, Изм. N 2, 4).

3.7.2. Проведение анализа

Около 2,00 г тиосульфата натрия взвешивают в стаканчике для взвешивания. Навеску растворяют в 30 см3 воды, прибавляют 1 см3 раствора виннокислого калия-натрия, 2 см3 раствора гидроокиси натрия, раствор нагревают до кипения, прибавляют 1,5 см3 раствора тиоацетамида и перемешивают.

Продукт считают соответствующим требованиям настоящего стандарта, если наблюдаемая через 10 мин на фоне молочного стекла окраска анализируемого раствора не будет интенсивнее окраски раствора, приготовленного одновременно с анализируемым и содержащего в таком же объеме 2 см3 раствора А, 1 см3 виннокислого калия-натрия, 2 см3 раствора гидроокиси натрия и 1,5 см3 раствора тиоацетамида.

(Измененная редакция, Изм. N 1, 2, 4).

3.8. Определение массовой доли кальция, магния и веществ, не растворимых в аммониевых растворах

3.8.1. Аппаратура, реактивы и растворы

Весы лабораторные общего назначения по ГОСТ 24104 2-го класса точности с наибольшим пределом взвешивания 200 г; допускается применение других весов с аналогичными метрологическими характеристиками.

Набор гирь 2-го класса точности по ГОСТ 7328.

Часы бытовые.

Стаканчики для взвешивания по ГОСТ 25336.

Колбы Кн по ГОСТ 25336 вместимостью 100, 250 см3.

Эксикатор по ГОСТ 25336 с герметично пришлифованной крышкой, заполненный силикагелем по ГОСТ 3956 или оксидом алюминия, или хлористым кальцием, предварительно прокаленным при температуре 250-300 °С в течение 1-2 ч.

Цилиндры мерные 1(3)25-2 и 1(3)50-2 по ГОСТ 1770.

Воронки по ГОСТ 25336.

Тигли фарфоровые по ГОСТ 9147.

Фильтр бумажный обеззоленный "синяя лента".

Допускается применение импортной посуды, по классу точности не ниже отечественной.

аммиак водный по ГОСТ 3760, растворы, разбавленные 1:9 и 1:39.

Аммоний фосфорнокислый трехзамещенный по ГОСТ 10651, раствор с массовой долей фосфорнокислого аммония 10%.

Аммоний щавелевокислый по ГОСТ 5712, раствор с массовой долей щавелевокислого аммония 4%.

Вода дистиллированная по ГОСТ 6709.

(Измененная редакция, Изм. N 2, 4).

3.8.2. Проведение анализа

Около 10,00 г тиосульфата натрия взвешивают в стаканчике для взвешивания. Навеску растворяют в 75 см3 воды, прибавляют 5 см3 раствора щавелевокислого аммония, 2 см3 раствора фосфорнокислого аммония и 10 см3 разбавленного раствора аммиака (1:9).

Через 8 ч раствор фильтруют через бумажный фильтр "синяя лента", осадок на фильтре промывают разбавленным аммиаком (1:39) (общий объем промывных вод 300-350 см3). Фильтр с осадком помещают в прокаленный до постоянной массы фарфоровый тигель, подсушивают, осторожно озоляют и прокаливают остаток при 600 °С до постоянной массы.

Одновременно через все стадии анализа проводят контрольный опыт с теми же количествами реактивов, но без анализируемой пробы.

(Измененная редакция, Изм. N 1, 2, 4).

3.8.3. Обработка результатов

Массовую долю кальция, магния и веществ, не растворимых в аммониевых растворах (X3), в процентах, вычисляют по формуле где m1 - масса прокаленного остатка, г;
       m2 - масса прокаленного остатка контрольного опыта, г;

       m - масса навески, г.

За результат анализа принимают среднее арифметическое результатов двух параллельных определений, абсолютное расхождение между которыми не превышает допускаемое расхождение, равное 0,007%.

Допускаемая абсолютная суммарная погрешность результата анализа ±0,01% при доверительной вероятности P=0,95.

(Измененная редакция, Изм. N 2, 4).

3.9. Определение величины pH водного раствора

3.9.1. Аппаратура и реактивы

Весы лабораторные общего назначения по ГОСТ 24104 2-го класса точности с наибольшим пределом взвешивания 200 г; допускается применение других весов с аналогичными метрологическими характеристиками.

Набор гирь 4-го класса точности по ГОСТ 7328.

pH-метр.

Стаканчики для взвешивания по ГОСТ 25336.

Колбы конические Кн 1(2)-100(250) ТХС по ГОСТ 25336.

Термометр жидкостный стеклянный.

Цилиндры мерные 1-100-2 по ГОСТ 1770.

Вода дистиллированная по ГОСТ 6709, не содержащая углекислоты; готовят по ГОСТ 4517.

3.9.2. Проведение анализа

Около 20,0 г тиосульфата натрия взвешивают в стаканчике для взвешивания. Навеску растворяют в 80 см3 дистиллированной воды, не содержащей углекислоты, объем раствора доводят до 100 см3 и тщательно перемешивают.
pH полученного раствора измеряют при комнатной температуре на pH-метре.

3.9-3.9.2. (Измененная редакция, Изм. N 4).

3.10. Определение внешнего вида раствора

3.10.1. Аппаратура и растворы

Весы лабораторные общего назначения по ГОСТ 24104 4-го класса точности с наибольшим пределом взвешивания 500 г. Допускается применение других весов с аналогичными метрологическими характеристиками.

Набор гирь 4-го класса точности по ГОСТ 7328.

Воронки В-56-80 ХС по ГОСТ 25336.

Колбы мерные 2-100-2 по ГОСТ 1770.

Цилиндры 3-100-2 по ГОСТ 1770.

Фильтровальная лабораторная бумага ФС по ГОСТ 12026.

Допускается применение импортной посуды, по классу точности не ниже отечественной.

Вода дистиллированная по ГОСТ 6709.

(Измененная редакция, Изм. N 4).

3.10.2. Проведение анализа

25,0 г тиосульфата натрия взвешивают (результаты взвешивания записывают до первого десятичного знака). Навеску помещают в мерную колбу вместимостью 100 см3, добавляют около 80 см3 воды, нагретой до 30-40 °С, охлаждают до 20 °С и доводят объем раствора водой до метки. Полученный раствор перемешивают и фильтруют через один слой фильтровальной бумаги.

Образец считают выдержавшим испытания на прозрачность, если через слой фильтрата толщиной 150 мм, помещенного в цилиндр, можно прочесть наименование стандарта "Натрия тиосульфат кристаллический", приложив дно цилиндра к титульному листу стандарта.

Образец считают выдержавшим испытания на цветность, если фильтрат в цилиндре на фоне белой бумаги, помещенной за боковую стенку цилиндра, окажется бесцветным.

3.10-3.10.2. (Введены дополнительно, Изм. N 3).

4. УПАКОВКА, МАРКИРОВКА, ТРАНСПОРТИРОВАНИЕ И ХРАНЕНИЕ

4.1. Тиосульфат натрия кристаллический упаковывают в четырех-, пяти-, шестислойные бумажные мешки марок ВМ, ПМ, ВМП по ГОСТ 2226 или в полиэтиленовые мешки-вкладыши, вложенные в четырех-, пяти-, шестислойные бумажные мешки марки НМ по ГОСТ 2226, или в льно-джуто-кенафные мешки, или деревянные сухотарные бочки по ГОСТ 8777 вместимостью до 100 дм3. Масса продукции в мешке - в соответствии с ГОСТ 2226, допускаемое отклонение ±1 кг.

Полиэтиленовые мешки-вкладыши заваривают или завязывают, бумажные и льно-джуто-кенафные прошивают машинным способом.

Допускается одновременно прошивать полиэтиленовый и бумажный или льно-джуто-кенафный мешки.

Тиосульфат натрия упаковывают в специализированные мягкие контейнеры для сыпучих продуктов типа МРК-1,0М или типа МКО-0,5С, МКО-1,0С, МК-0,5Л, МК-1,0Л.

Тиосульфат натрия для розничной продажи упаковывают в соответствии с ГОСТ 3885.

Вид и тип тары: 6-1.

Группа фасовки: IV, V.

Продукт, упакованный по ГОСТ 3885, помещают в фанерные ящики по ГОСТ 5959 или картонные ящики по ГОСТ 13515, ящики из гофрированного картона по ГОСТ 13841 или по ГОСТ 13516.

При транспортировании продукта мелкими отправками его упаковывают в полиэтиленовые мешки-вкладыши, вложенные в фанерные ящики по ГОСТ 5959 или деревянные сухотарные бочки по ГОСТ 8777.

В районы Крайнего Севера и труднодоступные районы Тиосульфат натрия транспортируют упакованным в полиэтиленовые мешки-вкладыши, вложенные в четырех-, пяти-, шестислойные бумажные мешки по ГОСТ 2226 и затем - в льно-джуто-кенафные мешки по ГОСТ 30090, а также в мягких специализированных контейнерах для сыпучих продуктов.

(Измененная редакция, Изм. N 2, 3, 4).

4.2. Транспортная маркировка - по ГОСТ 14192 с нанесением манипуляционных знаков "Беречь от нагрева" и "Беречь от влаги".

Кроме того, на транспортную тару наносится маркировка, содержащая следующие данные, характеризующие продукцию:

наименование продукта, марку и сорт;

номер партии и дату изготовления;

обозначение настоящего стандарта.

На бумажные мешки маркировку наносят печатным способом или приклеивают ярлык, или маркировку производят при помощи этикетки с защитной пленкой, вшитой в верхний шов мешка. На контейнеры маркировку наносят печатным способом или вкладывают этикетку в карман контейнера.

(Измененная редакция, Изм. N 1, 2, 4).

4.3. Каждую единицу потребительской тары маркируют с указанием:

наименования предприятия-изготовителя и его товарного знака;

наименования продукта и его эмпирической формулы;

обозначения соответствующего нормативно-технического документа на продукт;

срока годности (квартал, год);

манипуляционных знаков "Беречь от нагрева" и "Беречь от влаги" по ГОСТ 14192;

массы нетто.

Этикетка должна быть красочно оформлена.

(Измененная редакция, Изм. N 4).

4.4. (Исключен, Изм. N 2).

4.5. Упакованный Тиосульфат натрия транспортируют в крытых транспортных средствах всеми видами транспорта в соответствии с правилами перевозки грузов, действующими на данном виде транспорта.

По железной дороге продукт транспортируют повагонными или мелкими отправками с погрузкой и выгрузкой на подъездных путях грузоотправителя (грузополучателя) в соответствии с техническими условиями погрузки и крепления грузов, утвержденными МПС. Контейнеры типов МКР-1, ОМ транспортируют без перевалок.

Упакованный продукт транспортируют пакетами в соответствии с правилами перевозки грузов, утвержденными соответствующими ведомствами. Основные параметры и размеры пакетов - в соответствии с ГОСТ 24597. Выбор средств скрепления пакетов - по ГОСТ 21650.

Допускается транспортировать продукт в непакетированном виде по согласованию с потребителем.

Транспортирование специализированных мягких контейнеров осуществляют открытым подвижным составом в соответствии с правилами перевозки грузов и условиями погрузки и крепления грузов, утвержденными Министерством путей сообщения СССР.

(Измененная редакция, Изм. N 2, 4).

4.6. Тиосульфат натрия кристаллический хранят в закрытых складских помещениях в неповрежденной упаковке. Контейнеры хранят на контейнерных площадках.

(Введен дополнительно, Изм. N 3).

5. ГАРАНТИИ ИЗГОТОВИТЕЛЯ

5.1. Изготовитель гарантирует соответствие кристаллического тиосульфата натрия требованиям настоящего стандарта при соблюдении условий транспортирования и хранения.

5.2. Гарантийный срок хранения кристаллического тиосульфата натрия - 12 мес со дня изготовления.

Разд.5. (Измененная редакция, Изм. N 2).

Разд.6. (Исключен, Изм. N 2).



официальное издание
М.: ИПК Издательство стандартов, 1999