Новости Нефтегазовая пром.
Выставки Наука и технология


Нитрил акриловой кислоты технический ГОСТ 11097-86

Нитрил акриловой кислоты технический. Технические условия (с Изменением N 1) ГОСТ 11097-86


ГОСТ 11097-86

Группа Л21

ГОСУДАРСТВЕННЫЙ СТАНДАРТ СОЮЗА ССР

НИТРИЛ АКРИЛОВОЙ КИСЛОТЫ ТЕХНИЧЕСКИЙ 

Технические условия 

Technical acrylonitrile. Specifications



ОКП 24 3311 0100

Срок действия с 01.01.88
до 01.01.93*
_______________________________
* Ограничение срока действия снято 
постановлением Госстандарта России от 24.09.1992 N 1257 
(ИУС N 12, 1992 год). - Примечание изготовителя базы данных.



РАЗРАБОТАН Министерством химической промышленности

ИСПОЛНИТЕЛИ

А.А.Хоркин, А.Г.Овчаров, С.Е.Михайлова, В.И.Назарова, Л.В.Решетникова, С.В.Караваева, Л.В.Айзенберг

ВНЕСЕН Министерством химической промышленности

Зам. министра В.М.Романов

УТВЕРЖДЕН И ВВЕДЕН В ДЕЙСТВИЕ Постановлением Государственного комитета СССР по стандартам от 8 октября 1986 г. N 3023

ВЗАМЕН ГОСТ 11097-73

ВНЕСЕНО Изменение N 1, утвержденное и введенное в действие с 01.03.88 Постановлением Госстандарта СССР от 23.10.87 N 3991

Изменение N 1 внесено изготовителем базы данных по тексту ИУС N 1, 1988 год

Настоящий стандарт распространяется на технический нитрил акриловой кислоты (акрилонитрил), получаемый окислительным аммонолизом пропилена, стабилизированный аммиаком или гидрохиноном, или -метоксифенолом, изготовляемый для нужд народного хозяйства и для поставки на экспорт.

По согласованию с потребителем акрилонитрил может изготавливаться без добавления стабилизатора.

Акрилонитрил - легкоподвижная жидкость с характерным запахом. Растворимость в воде - 7,3% по массе. Хорошо растворяется в органических растворителях, легко полимеризуется.

Формулы:

 эмпирическая C3H3N

структурная CH2=CH-CN

Молекулярная масса (по международным атомным массам 1971 г.) - 53,06.

Показатели технического уровня, установленные настоящим стандартом, предусмотрены для высшей и первой категорий качества.

1. ТЕХНИЧЕСКИЕ ТРЕБОВАНИЯ

1.1. Акрилонитрил должен быть изготовлен в соответствии с требованиями настоящего стандарта по технологическому регламенту, утвержденному в установленном порядке.

1.2. По физико-химическим показателям акрилонитрил должен соответствовать требованиям и нормам, указанным в таблице.

Наименование показателя

Норма

Метод анализа

Высшая категория качества

Первая категория качества

Высший сорт
ОКП 24 3311 
0120 02

1-й сорт
ОКП 24 3311 
0130 00

1. Внешний вид

Прозрачная жидкость, не содержащая механических примесей

По п.4.2

2. Цветность, единицы Хазена, не более

5

5

По ГОСТ 18522-73* и п.4.3 настоящего стандарта

______________
* На территории Российской Федерации действует ГОСТ 18522-93, здесь и далее по тексту. - Примечание изготовителя базы данных.

3. Плотность при 20 °С, г/см3

0,800-0,806

0,800-0,806

По ГОСТ 18995.1-73

4. Показатель преломления при 20 °С

1,3910-1,3920

1,3910-1,3920

По ГОСТ 18995.2-73

5. Массовая доля кислот в пересчете на уксусную кислоту, %, не более

0,0020

0,0035

По п.4.4

6. Массовая доля воды, %, не более

0,45

0,45

По ГОСТ 24629-81

7. Массовая доля синильной кислоты, %, не более

0,0005

0,0005

По п.4.5

8. Массовая доля железа, %, не более

0,00001

0,00002

По п.4.6

9. Массовая доля меди, %, не более

0,00001

0,00001

По п.4.7

10. Массовая доля акролеина, %, не более

0,0005

0,0010

По п.4.8

11. Массовая доля ацетона, %, не более

0,01

0,02

По п.4.8

12. Массовая доля ацетонитрила, %, не более

0,005

0,005

По п.4.8

13. Массовая доля альдегидов в пересчете на ацетальдегид, %, не более

0,003

0,003

По п.4.9

14. Массовая доля перекисей в пересчете на перекись водорода, %, не более

0,00002

0,00002

По п.4.10

15. Массовая доля стабилизатора, %, в том числе:

аммиака

0,008-0,012

0,008-0,012

По п.4.11

гидрохинона

0,01-0,10

0,01-0,10

По п.4.12

n-метоксифенола

0,0035-0,0050

0,0035-0,0050

По п.4.13

16. Пределы кипения, °С, при давлении 760 мм рт.ст.:

По ГОСТ 18995.7-73

начало кипения, не ниже

74,5

-

конец кипения, не выше

79,0

-

в указанных пределах должно перегоняться по объему, %, не менее

98

-

17. pH водного раствора акрилонитрила с массовой долей 5%

6-9

-

По п.4.14

18. Число титрования, см3, не более

2

-

По п.4.14


Примечания:

1. Норма по показателю "массовая доля кислот в пересчете на уксусную кислоту" является факультативной до 01.07.88. Определение обязательно для набора данных.

2. При использовании в качестве стабилизатора гидрохинона показатель цветности не нормируется.

3. Нормы по показателям "пределы кипения", "pH 5%-ного водного раствора" и "число титрования" определяют только в продукте, предназначенном для экспорта, при этом показатель "массовая доля кислот в пересчете на уксусную кислоту" не определяют.

1.3. В акрилонитриле, предназначенном для экспорта, стабилизатор и его норму устанавливают по заказу-наряду внешнеторговой организации.

2. ТРЕБОВАНИЯ БЕЗОПАСНОСТИ

2.1. Акрилонитрил - легковоспламеняющаяся токсичная жидкость с характерным запахом. Акрилонитрил обладает общетоксичным, а также раздражающим действием при попадании на кожу и слизистые оболочки.

Акрилонитрил относится ко 2-му классу опасности (высокоопасное) в соответствии с ГОСТ 12.1.007-76.

Пожаро-взрывоопасные свойства акрилонитрила:

температура вспышки 0 °С;

температура самовоспламенения 370 °С;

пределы воспламенения смеси акрилонитрила с воздухом: нижний - 3,05% (по объему), верхний - 17,5% (по объему).

Категория и группа взрывоопасной смеси - 11В-Т2 в соответствии с ГОСТ 12.1.011-78*.
______________
* На территории Российской Федерации действуют ГОСТ Р 51330.11-99, ГОСТ Р 51330.2-99, ГОСТ Р 51330.5-99 и ГОСТ Р 51330.19-99. - Примечание изготовителя базы данных.

2.2. Акрилонитрил хорошо всасывается через кожу, обладает кумулятивным действием.

2.3. Предельно допустимая концентрация (ПДК) акрилонитрила в воздухе рабочей зоны - 0,5 мг/м3 (ГОСТ 12.1.005-76*), в атмосферном воздухе населенных пунктов (среднесуточная) - 0,03 мг/м3, в воде водоемов хозяйственно-питьевого и культурно-бытового водопользования - 2 мг/дм3.
______________
* На территории Российской Федерации действует ГОСТ 12.1.005-88. - Примечание изготовителя базы данных.

2.4. Для предотвращения электростатического искрообразования при производстве акрилонитрила должны выполняться требования ГОСТ 12.1.018-79.

2.5. Работающие с акрилонитрилом должны быть обеспечены специальными средствами защиты кожных покровов и органов дыхания. Анализ акрилонитрила проводят в вытяжном шкафу.

2.6. Для тушения акрилонитрила необходимо применять установки газового (углекислотного) и водяного (дренчерного) пожаротушения, углекислотные огнетушители.

Пролитый акрилонитрил дегазируют обработкой раствором гидроокиси натрия с массовой долей 10% и раствором железного купороса с массовой долей 10%.

Все операции по дегазации и уборке проводят в противогазе при включенной вытяжной вентиляции.

2.7. Газовые выбросы подвергают каталитическому сжиганию. Технологические сточные воды сжигают в специальной печи.

3. ПРАВИЛА ПРИЕМКИ

3.1. Акрилонитрил принимают партиями. Партией считают любое количество продукта, однородного по своим показателям качества, в бочках или цистернах, залитых из одного резервуара, и сопровождаемое одним документом о качестве.

Документ о качестве должен содержать:

наименование предприятия-изготовителя и его товарный знак;

наименование продукта и его сорт;

номер партии;

количество мест в партии;

дату изготовления продукта; 

обозначение настоящего стандарта;

результаты проведенных анализов.

При поставке акрилонитрила на экспорт форма документа должна соответствовать заказу-наряду внешнеторговой организации.

3.2. Объем выборки для проверки качества акрилонитрила, залитого в бочки, должен составлять 10%, но не менее трех бочек при малых партиях, акрилонитрила, залитого в цистерны, - каждая цистерна.

3.3. При получении неудовлетворительных результатов анализа хотя бы по одному из показателей проводят повторный анализ пробы, отобранной от удвоенной выборки той же партии, или вновь отобранной пробы из цистерн.

Результаты повторного анализа распространяются на всю партию.

4. МЕТОДЫ АНАЛИЗА

4.1. Отбор проб

4.1.1. Из железнодорожных цистерн точечную пробу акрилонитрила отбирают стационарным, установленным на цистерне пробоотборником, трубка которого должна быть опущена до середины. Перед отбором пробы трубка должна быть промыта не менее чем 0,5 дм3 акрилонитрила.

Точечную пробу акрилонитрила из железнодорожных цистерн, не снабженных стационарным пробоотборником, из автоцистерн и резервуаров отбирают по ГОСТ 2517-85, из бочек - стеклянной трубкой, опуская ее конец до дна бочки.

(Измененная редакция, Изм. N 1).

4.1.2. Отобранные точечные пробы в равных объемах соединяют вместе, тщательно перемешивают и получают объединенную пробу, от которой отбирают 1 дм3 акрилонитрила и помещают в чистую сухую склянку и плотно закрывают. На склянку наклеивают этикетку с наименованием продукта, номером партии, датой и местом отбора пробы.

Перед каждым анализом объединенную пробу перемешивают.

4.1а. Допускается применение импортной лабораторной посуды по классу точности и реактивов по качеству не ниже отечественных.

(Введен дополнительно, Изм. N 1).

4.2. Внешний вид акрилонитрила определяют просмотром в проходящем свете пробы, налитой в пробирку П-1-14-120 ХС по ГОСТ 25336-82 (высота слоя должна составлять не менее половины пробирки).

4.3. Определение цветности проводят по ГОСТ 18522-73 визуальным методом. При этом разбавлением основного раствора готовят серию растворов сравнения: для этого 1; 3; 5; 7 смосновного раствора помещают в мерные колбы 2-500-2 по ГОСТ 1770-74 и доводят до метки дистиллированной водой. Цветность полученных растворов соответствует 1; 3; 5; 7 единицам Хазена.

Для растворов сравнения и анализируемого акрилонитрила следует применять колориметрические пробирки из бесцветного стекла типа XV по ГОСТ 21400-75 высотой 320-350 мм. Высота слоя жидкости - не менее 300 мм.

Продукт соответствует требованиям настоящего стандарта, если его цветность не интенсивнее цветности раствора сравнения, соответствующей 5 единицам Хазена.

(Измененная редакция, Изм. N 1).

4.4. Определение массовой доли кислот в пересчете на уксусную кислоту

Метод основан на титровании суммы кислот спиртовым раствором щелочи в присутствии тимолового синего в условиях, исключающих контакт пробы с двуокисью углерода.

4.4.1. Аппаратура, реактивы, растворы и посуда 

Секундомер механический по ГОСТ 5072-79. 

Натрия гидроокись по ГОСТ 4328-77, х.ч., спиртовой раствор концентрации c(NaOH)=0,01 моль/дм3 (0,01 н.), готовят следующим образом: насыщенный раствор гидроокиси натрия в изопропиловом спирте отстаивают 3-4 дня для осаждения карбонатов, затем отбирают верхний прозрачный слой, устанавливают его концентрацию титрованием раствором серной кислоты в присутствии тимолового синего и соответствующим разбавлением изопропиловым спиртом готовят раствор концентрации 0,01 моль/дм3. Раствор хранят в плотно закупоренной склянке.

Спирт изопропиловый по ГОСТ 9805-84, абсолютированный, продутый в течение 10-15 мин азотом, предварительно очищенным от двуокиси углерода натронной известью, в зоне, свободной от источников пламени и искр.

Кислота серная по ГОСТ 4204-77, х.ч., раствор концентрации c(1/2H2SO4)=0,1 моль/дм3.

Тимоловый синий (индикатор), раствор с массовой долей 0,1%, готовят по ГОСТ 4919.1-77, при этом вместо этилового спирта используют изопропиловый спирт.

Цилиндр 1-100 по ГОСТ 1770-74.

Бюретка 6-2-5 по ГОСТ 20292-74*.
________________
* На территории Российской Федерации действуют ГОСТ 29169-91, ГОСТ 29227-91-ГОСТ 29229-91, ГОСТ 29251-91-ГОСТ 29253-91, здесь и далее по тексту. - Примечание изготовителя базы данных.


Колба Кн-2-250-34 по ГОСТ 25336-82.

Капельница по ГОСТ 25336-82.

4.4.2. Проведение анализа

75 см3 акрилонитрила помещают в коническую колбу, прибавляют 5 капель раствора тимолового синего, перемешивают, колбу закрывают пробкой, в отверстие которой вставляют бюретку. Конец бюретки должен выходить за пробку. Затем содержимое колбы титруют раствором гидроокиси натрия до появления синей окраски, не исчезающей в течение 30 с.

4.4.3. Обработка результатов

Массовую долю кислот в пересчете на уксусную кислоту (X) в процентах вычисляют по формуле где V - объем раствора гидроокиси натрия концентрации точно 0,01 моль/дм3, израсходованный на титрование, см3

0,0006 - масса уксусной кислоты, соответствующая 1 см3 раствора гидроокиси натрия концентрации точно 0,01 моль/дм3, г;

75 - объем акрилонитрила, взятый для анализа, см3;

p - плотность акрилонитрила, г/см3.

За результат анализа принимают среднее арифметическое результатов двух параллельных определений, расхождение между которыми не превышает значения допустимого расхождения, равного 0,00003%.

Пределы допускаемого значения относительной суммарной погрешности результата анализа ±2% при доверительной вероятности P=0,95.

4.5. Определение массовой доли синильной кислоты

Метод основан на экстракции синильной кислоты из акрилонитрила щелочным раствором йодистого калия с последующим титрованием раствором азотнокислого серебра.

Перед проведением анализа акрилонитрил, стабилизированный гидрохиноном, перегоняют при атмосферном давлении.

4.5.1. Аппаратура, реактивы, растворы и посуда

Весы лабораторные 2-го класса точности по ГОСТ 24104-80 с наибольшим пределом взвешивания 200 г.


Секундомер механический по ГОСТ 5072-79.

Натрия гидроокись по ГОСТ 4328-77, х.ч.

аммиак водный по ГОСТ 3760-79, ч.д.а.

Калий йодистый по ГОСТ 4232-74, х.ч., щелочной раствор, готовят следующим образом: 44,1 г гидроокиси натрия и 3,6 г йодистого калия растворяют в мерной колбе вместимостью 1000 смв 700 см3 дистиллированной воды, добавляют 180 см3 аммиака и доводят объем водой до метки.

Серебро азотнокислое по ГОСТ 1277-75, х.ч., раствор концентрации c(AgNO3)=0,01 моль/дм3, готовят по ГОСТ 25794.3-83.

Бюретка 6-2-1 по ГОСТ 20292-74.

Цилиндр 1-100 по ГОСТ 1770-74.

Колба 2-100-2, 2-1000-2 по ГОСТ 1770-74.

Воронка ВД-1-250ХС по ГОСТ 25336-82.

Колба Кн-1-250-24/29 ТС по ГОСТ 25336-82.

Установка для перегонки акрилонитрила (черт.1):

Черт.1. УСТАНОВКА ДЛЯ ПЕРЕГОНКИ АКРИЛОНИТРИЛА

УСТАНОВКА ДЛЯ ПЕРЕГОНКИ АКРИЛОНИТРИЛА


1 - электроплитка, 2 - баня глицериновая, 3 - термометр контактный, 4 - колба, 5 - колонка, 6 - насадка, 7 - термометр, 8 - холодильник, 9 - алонж, 10 - цилиндр

Черт.1



колба 0-100-14/23 ТС по ГОСТ 25336-82;

колонка - стеклянная трубка диаметром 14 мм, длиной 500 мм с взаимозаменяемым конусом керна 14/23 (ГОСТ 8682-70*);
______________
* На территории Российской Федерации действует ГОСТ 8682-93. - Примечание изготовителя базы данных.

насадка Н1-14/23-14/23-14/23 по ГОСТ 25336-82;

холодильник ХПТ-1-300-14/23 ХС по ГОСТ 25336-82;

алонж АИ-14/23-60 ТС по ГОСТ 25336-82;

цилиндр 1-100 по ГОСТ 1770-74;

термометр КШ 14/23+65+100/0,1-60 по ГОСТ 16590-71;

термометр ТПК-4П-203 по ГОСТ 9871-75;

баня глицериновая;

электроплитка по ГОСТ 14919-83.

4.5.2. Подготовка к анализу

Перегонку стабилизированного гидрохиноном акрилонитрила проводят следующим образом: 100 см продукта помещают в перегонную колбу, добавляют около 1 г фарфоровой крошки. Колбу подсоединяют к колонке установки (см. черт.1) и перегоняют акрилонитрил при температуре глицериновой бани 115-125 °С, собирая дистиллят в цилиндр. Температуру бани регулируют с помощью контактного термометра. На время перегонки отверстие цилиндра прикрывают ватным тампоном. Отгоняют 90 см3 акрилонитрила.

4.5.3. Проведение анализа

90 см3 перегнанного акрилонитрила или 100 см3 акрилонитрила, стабилизированного аммиаком или -метоксифенолом, или нестабилизированного помещают в делительную воронку, добавляют 100 см3 щелочного раствора йодистого калия, встряхивают в течение 3 мин. После расслоения жидкостей водный слой сливают в коническую колбу и титруют раствором азотнокислого серебра до появления опалесценции, сохраняющейся в течение 30 с. Одновременно в тех же условиях проводят титрование контрольной пробы: 100 см3 щелочного раствора йодистого калия.

4.5.4. Обработка результатов

Массовую долю синильной кислоты (X1) в процентах вычисляют по формуле где V - объем раствора азотнокислого серебра концентрации точно 0,01 моль/дм3, израсходованный на титрование анализируемой пробы, см3;

V1 - объем раствора азотнокислого серебра концентрации точно 0,01 моль/дм3, израсходованный на титрование контрольной пробы, см3;

0,00054 - масса синильной кислоты, соответствующая 1 см3 раствора азотнокислого серебра концентрации точно 0,01 моль/дм3, г; 

100 - объем акрилонитрила, взятый для анализа, см3;

p - плотность акрилонитрила, г/см3.

За результат анализа принимают среднее арифметическое результатов двух параллельных определений, расхождение между которыми не превышает значения допустимого расхождения, равного 0,00004% при анализе акрилонитрила, стабилизированного аммиаком или n-метоксифенолом или нестабилизированного, и 0,00008% - при анализе акрилонитрила, стабилизированного гидрохиноном.

Пределы допускаемого значения относительной суммарной погрешности результата анализа акрилонитрила, стабилизированного аммиаком или -метоксифенолом или нестабилизированного, ±12% и акрилонитрила, стабилизированного гидрохиноном, ±21% при доверительной вероятности P=0,95.

4.6. Определение массовой доли железа 

Метод основан на образовании комплексного соединения железа Fe (II) с о-фенантролином, окрашенного в оранжевый цвет. Предварительное восстановление железа проводят гидрохлоридом гидроксиламина.

4.6.1. Аппаратура, реактивы, растворы и посуда

Весы лабораторные 2-го класса точности по ГОСТ 24104-80 с наибольшим пределом взвешивания 200 г.

Спектрофотометр или фотоэлектроколориметр любого типа.

Секундомер механический по ГОСТ 5072-79.

Баня водяная.

Электроплитка закрытого типа по ГОСТ 14919-83.

Кислота хлорная, х.ч., раствор с массовой долей 57%.

Кислота серная по ГОСТ 4204-77, х.ч., концентрированная и раствор концентрации c(1/2H2SO4)=0,01 моль/дм3.

Кислота азотная по ГОСТ 4461-77, х.ч., раствор с массовой долей 56%.

Смесь концентрированных серной и азотной кислот в соотношении 5:2.

аммиак водный по ГОСТ 3760-79, ч.д.а.

Гидроксиламина гидрохлорид по ГОСТ 5456-79, х.ч., раствор с массовой долей 10%.

о-фенантролин (индикатор), ч.д.а., раствор с массовой долей 0,1%, готовят по ГОСТ 4919.1-77.

Бумага индикаторная "конго".

Бумага фильтровальная лабораторная по ГОСТ 12026-76.

Раствор железа массовой концентрации 0,001 мг/см3, готовят следующим образом: по ГОСТ 4212-76 готовят раствор железа массовой концентрации 1 мг/см3. Затем 1 см3 полученного раствора помещают в мерную колбу вместимостью 1000 см3 и доводят объем раствора до метки раствором серной кислоты концентрации 0,01 моль/дм3.

Раствор готовят в день проведения анализа.

Вода дистиллированная по ГОСТ 6709-72-->ГОСТ 6709-72.

Колбы 2-50-2, 2-1000-2 по ГОСТ 1770-74.

Бюретка 3-2-50-0,1 по ГОСТ 20292-74.

Пипетки 4-2-1, 6-2-10 по ГОСТ 20292-74.

Чашка фарфоровая по ГОСТ 9147-80 или кварцевая по ГОСТ 19908-80*.
______________
* На территории Российской Федерации действует ГОСТ 19908-90, здесь и далее по тексту. - Примечание изготовителя базы данных.

Стакан В-1-250 ТС по ГОСТ 25336-82.

(Измененная редакция, Изм. N 1).

4.6.2. Построение градуировочного графика

5, 10, 15, 20, 25 см3 раствора железа массовой концентрации 0,001 мг/см3, что соответствует 0,005; 0,010; 0,015; 0,020; 0,025 мг железа, помещают в мерные колбы вместимостью 50 см3. Объемы в колбах доводят водой до 25 см3. Для контрольного раствора в мерную колбу вместимостью 50 см3 помещают 25 см3 дистиллированной воды. В каждую колбу добавляют по 1 см3 смеси кислот и 1 см3 раствора гидрохлорида гидроксиламина. Затем растворы нейтрализуют аммиаком по индикаторной бумаге "конго" (до окрашивания бумаги в красный цвет) и добавляют 10 см3 раствора о-фенантролина. Объемы растворов в колбах доводят водой до метки и перемешивают. Через 15 мин измеряют оптическую плотность по отношению к контрольному раствору на спектрофотометре при длине волны 508 нм в кюветах с толщиной поглощающего свет слоя 10 мм. При использовании фотоэлектроколориметра применяют светофильтр, имеющий длину волны 500-540 нм, и кюветы с толщиной поглощающего свет слоя 30 мм.

По полученным результатам строят градуировочный график, откладывая по оси абсцисс массу железа в граммах, а по оси ординат - соответствующие значения оптических плотностей.

Построение градуировочного графика проводят ежеквартально.

4.6.3. Проведение анализа

125 см3 акрилонитрила помещают в чашку или стакан и выпаривают досуха на водяной бане или на электроплитке.

После охлаждения к остатку добавляют 3 см3 смеси кислот, доводят до кипения на электроплитке, охлаждают до комнатной температуры и осторожно добавляют 0,2 см3 хлорной кислоты. Снова выпаривают досуха. Если полученный остаток окрашен, то его после охлаждения вновь обрабатывают 3 см3 смеси кислот, доводят до кипения на электроплитке, охлаждают, добавляют 0,2 см3 хлорной кислоты и выпаривают досуха.

Остаток смывают 10 см3 дистиллированной воды и переносят в мерную колбу вместимостью 50 см3. Затем к раствору добавляют 1 см3 раствора гидрохлорида гидроксиламина, нейтрализуют аммиаком по индикаторной бумаге "конго", добавляют 10 см3 раствора о-фенантролина, доводят объем до метки дистиллированной водой и перемешивают.

Одновременно готовят контрольный раствор без добавления акрилонитрила. Для этого 3 см3 смеси кислот помещают в чашку, доводят до кипения на электроплитке, охлаждают, добавляют 0,2 см3 хлорной кислоты и выпаривают досуха. Далее проводят анализ, как описано выше.

Оптическую плотность измеряют на спектрофотометре или фотоэлектроколориметре так же, как при построении градуировочного графика.

По величине оптической плотности по градуировочному графику находят массу железа в граммах.

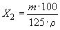
4.6.4. Обработка результатов

Массовую долю железа (X2) в процентах вычисляют по формуле где m - масса железа, найденная по градуировочному графику, г;

125 - объем акрилонитрила, взятый для анализа, см3;

p - плотность акрилонитрила, г/см3.

За результат анализа принимают среднее арифметическое результатов двух параллельных определений, расхождение между которыми не превышает значения допустимого расхождения, равного 0,000003%.

Пределы допускаемого значения относительной суммарной погрешности результата анализа ±20% при доверительной вероятности P=0,95.

4.7. Определение массовой доли меди

Метод основан на образовании комплексного соединения меди с диэтилдитиокарбаматом натрия, окрашенного в желтый цвет.

4.7.1. Аппаратура, реактивы, растворы и посуда

Весы лабораторные по ГОСТ 24104-80 2-го класса точности с наибольшим пределом взвешивания 200 г.

Спектрофотометр или фотоэлектроколориметр любого типа.

pH-метр типа pH 121 или аналогичный.

Баня водяная.

Электроплитка закрытого типа по ГОСТ 14919-83.

Бумага фильтровальная лабораторная по ГОСТ 12026-76.

Кислота хлорная, х.ч., раствор с массовой долей 57%.

Кислота серная по ГОСТ 4204-77, х.ч., концентрированная и раствор концентрации c(1/2H2SO4)=0,001 моль/дм3.

Кислота азотная по ГОСТ 4461-77, х.ч., концентрированная.

Смесь концентрированных серной и азотной кислот в соотношении 5:2.

аммиак водный по ГОСТ 3760-79, ч.д.а.

Натрия диэтилдитиокарбамат по ГОСТ 8864-71, ч.д.а., раствор с массовой долей 0,1%.

Аммоний лимоннокислый по ГОСТ 9264-79, ч.д.а., раствор с массовой долей 20%.

Раствор меди с массовой концентрацией 0,005 мг/см3, готовят следующим образом: по ГОСТ 4212-76 готовят раствор меди массовой концентрации 1 мг/см3. Затем 0,5 смполученного раствора помещают в мерную колбу вместимостью 100 см3 и доводят объем раствора до метки раствором серной кислоты концентрации 0,001 моль/дм3.

Раствор готовят в день проведения анализа.

Вода дистиллированная по ГОСТ 6709-72-->ГОСТ 6709-72.

Стаканы В-1-50, В-1-250 по ГОСТ 25336-82.

Пипетки 4-2-1, 6-2-5, 6-2-10 по ГОСТ 20292-74.

Колбы 2-25-2, 2-100-2 по ГОСТ 1770-74.

Цилиндр 1-250 по ГОСТ 1770-74.

Чашка фарфоровая по ГОСТ 9147-80 или кварцевая по ГОСТ 19908-80.

4.7.2. Построение градуировочного графика

1, 2, 3, 4, 5 см3 раствора меди массовой концентрации 0,005 мг/см3, что соответствует 0,005; 0,010; 0,015; 0,020; 0,025 мг меди, помещают в стаканы вместимостью 50 см3, добавляют дистиллированной воды до объема 10 см3. Для контрольного раствора в стакан помещают 10 см3 дистиллированной воды. Затем в каждый стакан добавляют по 5 см3 раствора лимоннокислого аммония. Растворы перемешивают и нейтрализуют аммиаком до pH (9,1±0,1) по pH-метру.

Растворы переносят в мерные колбы вместимостью 25 см3, добавляют по 1 см3 раствора диэтилдитиокарбамата натрия. Объемы растворов доводят до метки дистиллированной водой, перемешивают и сразу же измеряют оптическую плотность полученных растворов по отношению к контрольному раствору на спектрофотометре при длине волны 448 нм в кюветах с толщиной поглощающего свет слоя 10 мм. При использовании фотоэлектроколориметра применяют светофильтр, имеющий максимальную длину волны, наиболее близкую к указанному значению, и кюветы с толщиной поглощающего свет слоя 50 мм.

По полученным результатам строят градуировочный график, откладывая по оси абсцисс массу меди в граммах, а по оси ординат - соответствующие значения оптических плотностей.

Построение градуировочного графика проводят ежеквартально.

4.7.3. Проведение анализа

125 см3 акрилонитрила помещают в чашку или стакан и выпаривают досуха на водяной бане или на электроплитке.

После охлаждения к остатку добавляют 3 см3 смеси кислот, доводят до кипения на электроплитке, охлаждают до комнатной температуры и осторожно добавляют 0,2 см3 хлорной кислоты. Снова выпаривают досуха. Если полученный остаток окрашен, то его после охлаждения вновь обрабатывают 3 см3 смеси кислот, доводят до кипения на электроплитке, охлаждают, добавляют 0,2 см3 хлорной кислоты и выпаривают досуха.

Остаток смывают 10 см3 дистиллированной воды и переносят в стакан. Затем к раствору добавляют 5 см3 раствора лимоннокислого аммония и нейтрализуют аммиаком до pH (9,1±0,1). Полученный раствор переносят в мерную колбу вместимостью 25 см3, добавляют 1 смраствора диэтилдитиокарбамата натрия, доводят до метки водой и перемешивают.

Одновременно готовят контрольный раствор без добавления акрилонитрила. Для этого 3 см3 смеси кислот помещают в чашку, доводят до кипения на электроплитке, охлаждают, добавляют 0,2 см3 хлорной кислоты и выпаривают досуха. Далее проводят анализ как описано выше.

Измеряют оптическую плотность на спектрофотометре или фотоэлектроколориметре так же, как при построении градуировочного графика.

По величине оптической плотности по градуировочному графику находят массу меди в граммах.

4.7.4. Обработка результатов

Массовую долю меди (X3) в процентах вычисляют по формуле, где 

m - масса меди, найденная по градуировочному графику, г;

125 - объем акрилонитрила, взятый для анализа, см3;

p - плотность акрилонитрила, г/см3.

За результат анализа принимают среднее арифметическое результатов двух параллельных определений, расхождение между которыми не превышает значения допустимого расхождения, равного 0,000002%.

Пределы допускаемого значения относительной суммарной погрешности результата анализа ±16% при доверительной вероятности P=0,95.

4.8. Определение массовых долей акролеина, ацетона, ацетонитрила

Метод основан на прямом газохроматографическом определении примесей на приборе с пламенно-ионизационным детектором. Количественное определение примесей проводят методом "внутреннего эталона" с учетом градуировочных коэффициентов.

4.8.1. Аппаратура, реактивы, растворы и посуда

Весы лабораторные по ГОСТ 24104-80 2-го класса точности с наибольшим пределом взвешивания 200 г.

Хроматограф газовый с пламенно-ионизационным детектором с порогом чувствительности, не превышающим 2,5·10-8 мг/с по пропану, при использовании азота в качестве газа-носителя.

Колонка хроматографическая из нержавеющей стали длиной 3 м, внутренним диаметром 3 мм.

Микрошприц типа МШ-10.

Секундомер механический по ГОСТ 5072-79.

Шкаф сушильный, обеспечивающий температуру нагрева (80±2) °С.

Баня водяная.

Лупа измерительная по ГОСТ 25706-83.

Линейка измерительная металлическая по ГОСТ 427-75.

Газ-носитель - азот газообразный по ГОСТ 9293-74 или гелий газообразный.

Воздух сжатый для питания приборов.

Водород по ГОСТ 3022-80 марки А.

Носитель твердый - полисорб-1 с частицами размером 0,200-0,315 мм, прокаленный при температуре 160 °С в токе азота в течение 3-4 ч.

Фаза жидкая - диглицерин, ч.

Спирт этиловый ректификованный технический по ГОСТ 18300-72*.
______________
* На территории Российской Федерации действует ГОСТ 18300-87, здесь и далее по тексту. - Примечание изготовителя базы данных.


Эталон внутренний - метанол хроматографически чистый, раствор с массовой долей 10% в акрилонитриле, не содержащем примесей.

Акролеин.

Ацетон хроматографически чистый.

Ацетонитрил хроматографически чистый.

Акрилонитрил, не содержащий примесей (готовят, как указано в п.4.8.2), или акрилонитрил с известным минимальным их содержанием.

Акриламид кристаллический.

Ангидрид фосфорный, х.ч.

Порошок медный по ГОСТ 4960-75* любой марки.
______________
* На территории Российской Федерации с 01.07.2010 г. действует ГОСТ 4960-2009. - Примечание изготовителя базы данных.

Хлороформ по ГОСТ 20015-74*, 1-го сорта.
______________
* На территории Российской Федерации действует ГОСТ 20015-88. - Примечание изготовителя базы данных.

Фильтры бумажные диаметром 10 см. 

Колба К-1- 250-29/32 ТС по ГОСТ 25336-82. 

Цилиндр 1-50 по ГОСТ 1770-74.

Пипетка 4-2-1 по ГОСТ 20292-74.

Чашка фарфоровая по ГОСТ 9147-80 вместимостью 100 см3.

Стакан В-1-500 ТС по ГОСТ 25336-82.

Воронка ВФ-1-40-ПОР 160 ТХС по ГОСТ 25336-82, помещенная в воронку для горячего фильтрования.

Воронка Бюхнера 3 по ГОСТ 9147-80.

Насос водоструйный по ГОСТ 25336-82.

Склянка 3-050 по ГОСТ 25336-82.

Склянка медицинская вместимостью 50 см3 с резиновой пробкой и с завинчивающейся крышкой с отверстием.

Установка для перегонки (черт.2):

колба К-1-250-29/32 ТС по ГОСТ 25336-82;

дефлегматор 200-14/23 (или 19/26)-29/32 по ГОСТ 25336-82;

насадка H1-14/23 (или 19/26)-14/23-14/23 ТС по ГОСТ 25336-82;

холодильник ХПТ-1-300-14/23 ХС по ГОСТ 25336-82; 

алонж АИ-14/23-60 ТС по ГОСТ 25336-82;

колба Кн-2-100-18 ТХС по ГОСТ 25336-82;

термометр КШ 14/23+65+100/0,1-60 по ГОСТ 16590-71;

термометр ТЛ-2 по ГОСТ 215-73 с пределами измерения от 0 до 250 °С;

баня песчаная;

электроплитка по ГОСТ 14919-83.

(Измененная редакция, Изм. N 1). 


4.8.2. Получение акрилонитрила, не содержащего примесей

Черт.2. УСТАНОВКА ДЛЯ ПЕРЕГОНКИ


УСТАНОВКА ДЛЯ ПЕРЕГОНКИ


1 - электроплитка, 2 - баня песчаная, 3 - колба К-1, 4 - дефлегматор, 5 - термометр, 6 - насадка, 7 - термометр, 8 - холодильник, 9 - алонж, 10 - колба Кн-2

Черт.2

50 г акриламида растворяют в 250 см3 хлороформа при нагревании на водяной бане при температуре (80±2) °С и раствор фильтруют через воронку для горячего фильтрования. Стакан с профильтрованным раствором сразу помещают в ледяную воду и перекристаллизованный акриламид отфильтровывают на воронке Бюхнера с помощью водоструйного насоса. Акриламид сушат на фильтровальной бумаге и снова растворяют в 250 см3 хлороформа. Перекристаллизацию повторяют шесть раз.

20 г перекристаллизованного акриламида, 40 г фосфорного ангидрида, 6 г порошка меди помещают в круглодонную колбу (см. черт.2) и проводят перегонку на песчаной бане при температуре (150±2) °С, собирая акрилонитрил в приемник.

4.8.3. Приготовление сорбента и заполнение колонки

1,5 г диглицерина взвешивают в круглодонной колбе (результат в граммах записывают с точностью до второго десятичного знака), добавляют 50 см3 этилового спирта и перемешивают до полного растворения диглицерина.

В раствор вносят 6,1 г полисорба-1 и перемешивают в течение 1 ч. Затем смесь переносят в фарфоровую чашку и нагревают на водяной бане при температуре 60-80 °С до исчезновения запаха этилового спирта. Полученный сорбент сушат в сушильном шкафу при температуре 60-80 °С в течение 3-4 ч.

Приготовленным сорбентом заполняют колонку хроматографа с помощью вакуума. После заполнения колонки сорбент сверху закрывают тампоном из стекловаты или стеклоткани высотой 8-10 мм.

Колонку устанавливают в термостат и, не подсоединяя к детектору, продувают азотом при температуре 90 °С в течение 3-4 ч.

4.8.4. Условия градуировки прибора и проведения анализа:

температура термостата - 70 °С;

температура испарителя - 150 °С; 

объемный расход газа-носителя - 75 см3/мин; 

объемный расход водорода - 30 см3/мин; 

объемный расход воздуха - 300 см3/мин; 

скорость движения диаграммной ленты - 200 мм/ч; 

пределы измерения и шкала регистратора - 20х10-12 А, 50х10-12 А;

объем вводимой пробы - 2-3 мм3

Допускается использовать другие сорбенты и изменять условия хроматографического анализа. При этом необходимо обеспечить степень газохроматографического разделения, определяемую по ГОСТ 17567-81; акролеин-Ацетон - не ниже 0,8; Ацетон-ацетонитрил - не ниже 1,0; ацетонитрил-акрилонитрил - не ниже 1,0.

(Измененная редакция, Изм. N 1).

4.8.5. Градуировка хроматографа

Для определения градуировочных коэффициентов готовят 4-5 искусственных смесей, близких по составу к анализируемому акрилонитрилу. Для этого во взвешенную склянку помещают 50 см3 акрилонитрила, не содержащего примесей (или с известным их содержанием), пипеткой вместимостью 1 см3 поочередно добавляют 0,2-0,5 см3 ацетонитрила, 0,02-0,10 см3 акролеина, 0,3-1,3 см3 ацетона, взвешивая смесь после каждого добавления (результат в граммах записывают с точностью до четвертого десятичного знака).

Полученную смесь разбавляют следующим образом: 50 см3 акрилонитрила, не содержащего примесей (или с известным их содержанием), взвешивают в склянке, добавляют 0,5 см3 приготовленной искусственной смеси и снова взвешивают (результат в граммах записывают с точностью до четвертого десятичного знака). Затем через пробку при помощи шприца вводят 10 мм3 (0,0008 г) раствора метанола ("внутреннего эталона"), перемешивают. Вычисляют массу каждого компонента. Каждую смесь хроматографируют 3-5 раз и вычисляют площади пика каждого компонента и внутреннего эталона.

Градуировочный коэффициент для каждого компонента (Ki) вычисляют по формуле где Sэт - площадь пика эталона, мм2;


Mэт - масштаб шкалы самописца при записи пика эталона;

mi - масса компонента в искусственной смеси, г; 

mпр - масса примеси, содержащаяся в акрилонитриле, используемом для приготовления искусственных смесей, г;

Si - площадь пика компонента, мм2;

Mi - масштаб шкалы самописца при записи пика определяемого компонента; 

mэт - масса эталона, г.

Площадь пика (S) в квадратных миллиметрах вычисляют по формуле где h - высота пика, мм; 

b - ширина пика, измеренная на половине его высоты, мм.

За градуировочный коэффициент для каждой примеси принимают среднее арифметическое результатов 3-5 параллельных определений, полученных при анализе каждой из 4-5 смесей.

Градуировочные коэффициенты вычисляют ежеквартально и после смены сорбента.

4.8.6. Проведение анализа

50 см3 акрилонитрила взвешивают в медицинской склянке (результат в граммах записывают с точностью до четвертого десятичного знака). Затем через пробку при помощи шприца вводят 10 мм3 (0,0008 г) раствора метанола. Смесь перемешивают и хроматографируют.

Порядок выхода компонентов указан на черт.3.

Черт.3. ТИПОВАЯ ХРОМАТОГРАММА АКРИЛОНИТРИЛА


ТИПОВАЯ ХРОМАТОГРАММА АКРИЛОНИТРИЛА


1 - метанол, 2 - акролеин, 3 - Ацетон, 4 - ацетонитрил, 5 - акрилонитрил

Черт.3

4.8.7. Обработка результатов

Массовую долю акролеина, ацетона, ацетонитрила (X4) в процентах вычисляют по формуле где Si - площадь пика определяемого компонента, мм2;


Mi - масштаб шкалы самописца при записи пика определяемого компонента;

Ki - градуировочный коэффициент определяемого компонента;

mэт - масса эталона, г; 

Sэт - площадь пика эталона, мм2

Mэт - масштаб шкалы самописца при записи пика эталона;

m - масса акрилонитрила, взятая для анализа, г. 

3а результат анализа принимают среднее арифметическое результатов двух параллельных определений, расхождения между которыми не превышают значения допустимого расхождения, равного 0,00009% для акролеина, 0,001% - для ацетона и 0,0005% - для ацетонитрила.

Пределы допускаемого значения относительной суммарной погрешности результата анализа акролеина ±12%, ацетона ±8%, ацетонитрила ±10% при доверительной вероятности P=0,95.

4.9. Определение массовой доли альдегидов в пересчете на ацетальдегид

Метод основан на образовании окрашенного соединения альдегидов с 3-метил-бензотиазол-2-он-гидразон-гидрохлоридом. 

4.9.1. Аппаратура, реактивы, растворы и посуда 

Весы лабораторные по ГОСТ 24104-80 2-го класса точности с наибольшим пределом взвешивания 200 г.

Спектрофотометр или фотоэлектроколориметр любого типа. 

Секундомер механический по ГОСТ 5072-79. 

Вода дистиллированная по ГОСТ 6709-72-->ГОСТ 6709-72.

3-метил-бензотиазол-2-он-гидразон-гидрохлорид, раствор готовят следующим образом: 0,08 г препарата растворяют в дистиллированной воде в мерной колбе вместимостью 1000 см3. Затем доводят объем до метки дистиллированной водой и хранят в темной склянке. 

Железо треххлористое по ГОСТ 4147-74, х.ч. 

-Метоксифенол, раствор с массовой долей 0,004%. 

Кислота сульфаминовая.

Реактив окисляющий готовят следующим образом: 8,33 г треххлористого железа и 8,00 г сульфаминовой кислоты растворяют в дистиллированной воде, доводят объем раствора водой до 1000 см3 и хранят в темной склянке.

Реактив пригоден в течение месяца.

Натрия гидроокись по ГОСТ 4328-77, х.ч., раствор концентрации c(NaOH)=5 моль/дм3.

Натрий сернокислый безводный по ГОСТ 4166-76, х.ч. 

Акрилонитрил, не содержащий альдегидов, готовят следующим образом: 100 смакрилонитрила помещают в делительную воронку, добавляют 90 см3 дистиллированной воды, 10 см3 раствора гидроокиси натрия и встряхивают в течение 1 мин. После расслаивания нижний слой сливают, в воронку добавляют 10 г сернокислого натрия и содержимое воронки встряхивают. Затем акрилонитрил сливают и перегоняют (по ГОСТ 18995.7-73), отбирая фракцию, кипящую при температуре 75,5-79,5 °С.

Ацетальдегид, ч., раствор с массовой долей 0,01% в акрилонитриле, готовят следующим образом: 50 см3 охлажденного акрилонитрила, не содержащего альдегидов, помещают во взвешенную склянку с пенициллиновой пробкой и взвешивают. Затем при помощи охлажденной пипетки осторожно вводят 2-3 капли ацетальдегида и снова взвешивают (результаты в граммах записывают с точностью до четвертого десятичного знака). Вычисляют массовую долю ацетальдегида в растворе. Полученный раствор разбавляют акрилонитрилом, не содержащим альдегидов. 

Воронка ВД-1-250 по ГОСТ 25336-82. 

Колбы 2-50-2; 2-1000-2 по ГОСТ 1770-74. 

Пипетки 4-2-2; 6-2-5; 6-2-10; 6-2-25 по ГОСТ 20292-74.

(Измененная редакция, Изм. N 1).

4.9.2. Построение градуировочного графика

5,0; 10,0; 15,0; 20,0; 25,0 см3 раствора ацетальдегида с массовой долей 0,01% помещают в мерные колбы вместимостью 50 см3 и доводят объем раствора до метки акрилонитрилом, не содержащим альдегидов. Получают растворы с массовой долей ацетальдегида 0,0010; 0,0020; 0,0030; 0,0040; 0,0050%. В пять мерных колб вместимостью 50 см3 помещают по 1 смприготовленных растворов. Одновременно готовят контрольный раствор с 1 см3 акрилонитрила, не содержащего альдегидов. Во все колбы добавляют по 25 см3 раствора 3-метил-бензотиазол-2-он-гидразон-гидрохлорида. При анализе акрилонитрила, стабилизированного n-метоксифенолом, перед введением 3-метил-бензотиазол-2-он-гидразон-гидрохлорида добавляют во все колбы по 1 см3 раствора n-метоксифенола. Растворы выдерживают в течение 45 мин, добавляют по 2 см3 окисляющего реактива и доводят до метки дистиллированной водой. Через 20 мин измеряют оптическую плотность растворов по отношению к контрольному раствору на спектрофотометре при длине волны 628 нм в кюветах с толщиной поглощающего свет слоя 10 мм. При использовании фотоэлектроколориметра применяют светофильтр, имеющий максимальную длину волны, наиболее близкую к указанному значению, и кюветы с толщиной поглощающего свет слоя 10 мм.

По полученным результатам строят градуировочный график, откладывая по оси абсцисс массовую долю ацетальдегида в процентах, а по оси ординат - соответствующие значения оптических плотностей.

Построение градуировочного графика проводят ежеквартально.

4.9.3. Проведение анализа

1 см3 анализируемого акрилонитрила помещают в мерную колбу вместимостью 50 см3, добавляют 25 см3 раствора 3-метил-бензотиазол-2-он-гидразон-гидрохлорида, выдерживают 45 мин. При анализе акрилонитрила, стабилизированного n-метоксифенолом, в контрольный раствор перед введением 3-метил-бензотиазол-2-он-гидразон-гидрохлорида добавляют 1 см3 раствора n-метоксифенола. Затем добавляют 2 см3 окисляющего реактива и доводят объем до метки дистиллированной водой. Измеряют оптическую плотность по отношению к контрольному раствору так же, как при построении градуировочного графика. По значению оптической плотности по градуировочному графику находят массовую долю ацетальдегида в процентах.

За результат анализа принимают среднее арифметическое результатов двух параллельных определений, расхождение между которыми не превышает значения допустимого расхождения, равного 0,00008%.

Пределы допускаемого значения относительной суммарной погрешности результата анализа ±12% при доверительной вероятности P=0,95.

4.10. Определение массовой доли перекисей в пересчете на перекись водорода

Метод основан на взаимодействии перекисей с йодистым калием. Интенсивность окраски выделенного свободного йода определяют фотометрически.

4.10.1. Аппаратура, реактивы, растворы и посуда

Спектрофотометр или фотоэлектроколориметр любого типа.

Секундомер механический по ГОСТ 5072-79.

Калий йодистый по ГОСТ 4232-74, х.ч.

кальций хлористый.

Ангидрид уксусный по ГОСТ 5815-77, ч.д.а., перегнанный, срок хранения не более 10 сут.

Натрия гидроокись по ГОСТ 4328-77, х.ч., раствор с массовой долей 1%.

Кислота серная по ГОСТ 4204-77, х.ч., раствор 1:4.

Калий марганцовокислый по ГОСТ 20490-75, х.ч., раствор концентрации c(1/5KMnO4)=0,1 моль/дм3 0,1 н. готовят по ГОСТ 25794.2-83.

Вода дистиллированная по ГОСТ 6709-72-->ГОСТ 6709-72.

Акрилонитрил, не содержащий перекисей, готовят следующим образом: 500 смакрилонитрила помещают в делительную воронку, добавляют 1000 см3 раствора гидроокиси натрия и встряхивают в течение 5 мин. После отстаивания акрилонитрил сливают, добавляют 50 г хлористого кальция и выдерживают 8-10 ч. Затем акрилонитрил перегоняют (по ГОСТ 18995.7-73), отбирая фракцию, кипящую при температуре 75,5-79,5 °С.

Водорода перекись по ГОСТ 10929-76, х.ч., раствор массовой концентрации 0,006 мг/см3, готовят следующим образом: 5 см3 перекиси водорода помещают в мерную колбу вместимостью 100 см3 и доводят объем до метки дистиллированной водой. Определяют массовую концентрацию перекиси водорода в растворе, для чего к 2 см3 полученного раствора добавляют 10 см3 раствора серной кислоты и титруют раствором марганцовокислого калия до появления розовой окраски, не исчезающей в течение 1 мин.

Из раствора перекиси водорода известной концентрации разбавлением дистиллированной водой готовят раствор массовой концентрации 0,15 мг/см3. Затем 2 см3 полученного раствора помещают в мерную колбу вместимостью 50 см3 и доводят до метки акрилонитрилом, не содержащим перекисей.

Колбы 2-50-2, 2-100-2 по ГОСТ 1770-74.

Пипетки 4-2-2, 6-2-10, 6-2-25 по ГОСТ 20292-74.

Бюретка 1, 3-2-25-0,1 по ГОСТ 20292-74.

Цилиндры 1-500, 1-1000 по ГОСТ 1770-74.

Колба Кн-1-100-14/23 по ГОСТ 25336-82.

Воронка ВД-3-2000 по ГОСТ 25336-82.

(Измененная редакция, Изм. N 1). 

4.10.2. Построение градуировочного графика

0,5; 1,0; 1,5; 2,0; 2,5 см3 раствора перекиси водорода массовой концентрации 0,006 мг/смпомещают в мерные колбы вместимостью 50 см3, доводят объемы до метки акрилонитрилом, не содержащим перекисей, и перемешивают.

25 см3 каждого раствора с массой перекиси водорода соответственно 0,0015; 0,0030; 0,0045; 0,0060; 0,0075 мг помещают в конические колбы.

Одновременно готовят контрольный раствор с 25 см3 акрилонитрила, не содержащего перекисей.

Затем в каждую колбу с интервалами 2 мин добавляют по 5 см3 уксусного ангидрида и около 0,5 г йодистого калия. Колбы закрывают пробками, перемешивают круговыми движениями в течение 1 мин. Точно через 20 мин после добавления йодистого калия измеряют оптическую плотность полученных растворов по отношению к контрольному раствору на спектрофотометре при длине волны 365 нм в кюветах с толщиной поглощающего свет слоя 10 мм. При использовании фотоэлектроколориметра применяют светофильтр, имеющий максимальную длину волны, наиболее близкую к указанному значению, и кюветы с толщиной поглощающего свет слоя 30 мм.

По полученным результатам строят градуировочный график, откладывая по оси абсцисс массу перекиси водорода в граммах, а по оси ординат - соответствующие значения оптических плотностей.

Построение градуировочного графика проводят ежеквартально.

4.10.3. Проведение анализа

25 см3 анализируемого акрилонитрила помещают в коническую колбу. В другую такую же колбу помещают 25 см3 акрилонитрила, не содержащего перекисей (контрольная проба). В обе колбы добавляют по 5 см3 уксусного ангидрида, по 0,5 г йодистого калия, закрывают пробками, перемешивают в течение 1 мин и точно через 20 мин измеряют оптическую плотность по отношению к контрольной пробе так же, как при построении градуировочного графика.

По величине оптической плотности, вычитая из нее поправку - дополнительную оптическую плотность, обусловленную наличием других примесей в акрилонитриле, по градуировочному графику находят массу перекисей в граммах.

Значение поправки устанавливают, измеряя оптическую плотность анализируемого акрилонитрила (без введения реактивов) по отношению к акрилонитрилу, не содержащему перекисей, так же, как при построении градуировочного графика.

4.10.4. Обработка результатов

Массовую долю перекисей в пересчете на перекись водорода (X5) в процентах вычисляют по формуле где m - масса перекисей, найденная по градуировочному графику, г;

25 - объем акрилонитрила, взятый для анализа, см3;

p - плотность акрилонитрила, г/см3.

За результат анализа принимают среднее арифметическое результатов двух параллельных определений, расхождение между которыми не превышает значения допустимого расхождения, равного 0,000005%.

Пределы допускаемого значения относительной суммарной погрешности результата анализа ±17% при доверительной вероятности P=0,95.

4.11. Определение массовой доли аммиака

Метод основан на титровании аммиака соляной кислотой в присутствии смешанного индикатора.

4.11.1. Реактивы, растворы и посуда

кислота соляная по ГОСТ 3118-77, х.ч., раствор концентрации c(НСl)=0,01 моль/дм3.

Метиловый красный (индикатор).

Метиленовый голубой (индикатор).

Индикатор смешанный, готовят следующим образом: 0,085 г метиленового голубого и 0,125 г метилового красного растворяют в 100 см3 этилового спирта.

Спирт этиловый ректификованный технический по ГОСТ 18300-87.

Вода дистиллированная по ГОСТ 6709-72-->ГОСТ 6709-72.

Бюретка 6-2-5 по ГОСТ 20292-74.

Пипетки 4-2-1, 2-2-20 по ГОСТ 20292-74.

Колба Кн-1-100-14/23 по ГОСТ 25336-82.

Капельница по ГОСТ 25336-82.

(Измененная редакция, Изм. N 1).

4.11.2. Проведение анализа

1 см3 акрилонитрила помещают в коническую колбу, добавляют 20 см3 дистиллированной воды, закрывают пробкой, перемешивают. Добавляют 2-3 капли раствора смешанного индикатора и титруют раствором соляной кислоты до изменения окраски от зеленой до ярко-фиолетовой. Одновременно в тех же условиях проводят титрование контрольной пробы: 20 смдистиллированной воды.

4.11.3. Обработка результатов

Массовую долю аммиака (X6) в процентах вычисляют по формуле где V - объем раствора соляной кислоты концентрации точно 0,01 моль/дм3, израсходованный на титрование анализируемой пробы, см3;

V1 - объем раствора соляной кислоты концентрации точно 0,01 моль/дм3, израсходованный на титрование контрольной пробы, см3;

0,00017 - масса аммиака, соответствующая 1 см3 раствора соляной кислоты концентрации точно 0,01 моль/дм3, г;

1 - объем акрилонитрила, взятый для анализа, см3;

p - плотность акрилонитрила, г/см3.

За результат анализа принимают среднее арифметическое результатов двух параллельных определений, расхождение между которыми не превышает значения допустимого расхождения, равного 0,001%.

Пределы допускаемого значения относительной суммарной погрешности результата анализа ±15% при доверительной вероятности P=0,95.

4.12. Определение массовой доли гидрохинона

Метод основан на реакции окисления гидрохинона в хинон при титровании раствором сернокислого церия в присутствии дифениламина.

4.12.1. Реактивы, растворы и посуда

Натрия гидроокись по ГОСТ 4328-77, х.ч., раствор с массовой долей 10%.

Кислота серная по ГОСТ 4204-77, х.ч., концентрированная, раствор 1:1.

Дифениламин по ГОСТ 5825-70, раствор с массовой долей 1% в концентрированной серной кислоте.

Церий сернокислый кристаллический, раствор концентрации c(Се(SO4)2·4H2O)=0,01 моль/дм3, готовят по ГОСТ 25794.2-83 или аммоний-церий сернокислый, раствор концентрации c[(NH4)4Ce(SO4)2]=0,01 моль/дм3.

Вода дистиллированная по ГОСТ 6709-72-->ГОСТ 6709-72.

Пипетки 2-2-5, 2-2-50 по ГОСТ 20292-74. 

Бюретка 7-2-10 по ГОСТ 20292-74.

Колба Кн-1-100-14/23 по ГОСТ 25336-82.

Капельница по ГОСТ 25336-82.

4.12.2. Проведение анализа

5 см3 акрилонитрила помещают в коническую колбу, прибавляют 50 см3 дистиллированной воды, 5 см3 раствора серной кислоты 1:1, три капли дифениламина и титруют раствором сернокислого церия или сернокислого церия-аммония до сиренево-фиолетовой окраски.

4.12.3. Обработка результатов

Массовую долю гидрохинона (X7) в процентах вычисляют по формуле где V - объем раствора сернокислого церия или сернокислого церия-аммония концентрации точно 0,01 моль/дм3, израсходованный на титрование, см3;

0,000555 - масса гидрохинона, соответствующая 1 см3 раствора сернокислого церия или сернокислого аммония-церия концентрации точно 0,01 моль/дм3, г; 

5 - объем акрилонитрила, взятый для анализа, см3

p - плотность акрилонитрила, г/см3.

За результат анализа принимают среднее арифметическое результатов двух параллельных определений, расхождение между которыми не превышает значения допустимого расхождения, равного 0,002%.

Пределы допускаемого значения относительной суммарной погрешности результата анализа ±4% при доверительной вероятности P=0,95.

4.13. Определение массовой доли n-метоксифенола

Метод основан на прямом спектрофотометрировании в ультрафиолетовой области спектра.

4.13.1. Аппаратура, реактивы, растворы и посуда

Весы лабораторные по ГОСТ 24104-80 2-го класса точности с наибольшим пределом взвешивания 200 г.

Спектрофотометр любого типа.

Секундомер механический по ГОСТ 5072-79.

Натрия гидроокись по ГОСТ 4328-77, х.ч., раствор с массовой долей 5%.

Акрилонитрил, не содержащий -метоксифенол, готовят следующим образом: 50 смакрилонитрила и 100 см3 раствора гидроокиси натрия помещают в делительную воронку и встряхивают 2 мин. После расслоения акрилонитрил сливают и перегоняют (по ГОСТ 18995.7-73), отбирая фракцию, кипящую при температуре 75,5-79,5 °С.

n-Метоксифенол, перекристаллизованный из этилового эфира.

Эфир этиловый по ГОСТ 6265-74.

Раствор n-метоксифенола с массовой долей 0,025% в акрилонитриле, не содержащем n-метоксифенол, готовят следующим образом: 0,2 г n-метоксифенола (результат взвешивания записывают с точностью до четвертого десятичного знака) растворяют в акрилонитриле, не содержащем -метоксифенол, в мерной колбе вместимостью 50 см3.

5 см3 полученного раствора помещают в мерную колбу вместимостью 100 см3 и доводят до метки акрилонитрилом, не содержащим n-метоксифенол.

Колбы 2-25-2, 2-50-2, 2-100-2 по ГОСТ 1770-74.

Пипетки 4-2-2, 6-2-5, 6-2-10 по ГОСТ 20292-74.

4.13.2. Построение градуировочного графика

1; 2; 3; 4; 5; 6 см3 раствора n-метоксифенола помещают в мерные колбы вместимостью 25 см3 и доводят до метки акрилонитрилом, не содержащим n-метоксифенол. Получают растворы с массовой долей n-метоксифенола 0,001; 0,002; 0,003; 0,004; 0,005; 0,006%.

Измеряют оптическую плотность полученных растворов по отношению к акрилонитрилу, не содержащему n-метоксифенол, на спектрофотометре при длине волны 295 нм в кюветах с толщиной поглощающего свет слоя 10 мм.

По полученным результатам строят градуировочный график, откладывая по оси абсцисс массовую долю n-метоксифенола в процентах, а по оси ординат - соответствующие значения оптических плотностей.

Построение градуировочного графика проводят ежеквартально.

4.13.3. Проведение анализа

Анализируемый акрилонитрил помещают в кювету с толщиной поглощающего свет слоя 10 мм и измеряют оптическую плотность так же, как при построении градуировочного графика.

По значению оптической плотности по градуировочному графику находят массовую долю n-метоксифенола в процентах.

За результат анализа принимают среднее арифметическое результатов двух параллельных определений, расхождение между которыми не превышает значения допустимого расхождения, равного 0,00006%.

Пределы допускаемого значения относительной суммарной погрешности результата анализа ±1,4% при доверительной вероятности P=0,95.

4.14. Определение показателя активности водородных ионов водного раствора акрилонитрила с массовой долей 5% и числа титрования

4.14.1. Аппаратура, реактивы, растворы и посуда

pH-метр любого типа.

Электроды стеклянные.

Мешалка магнитная.

Кислота серная по ГОСТ 4204-77, х.ч., раствор в воде, не содержащей двуокиси углерода, концентрации c(1/2H2SO4)=0,1 моль/дм3.

Аскарит.

Вода дистиллированная, не содержащая двуокиси углерода, готовят по ГОСТ 4517-75. Показатель активности водородных ионов приготовленной воды должен быть в пределах 6,9-7,1, число титрования 0,22-0,28 см3 раствора серной кислоты концентрации 0,1 моль/дм3 (760 см3 дистиллированной воды титруют раствором серной кислоты до показателя активности водородных ионов, равного 5). При хранении дистиллированной воды в пробку вставляется предохранительная воронка, заполненная аскаритом. Допускается перед проведением анализа доведение показателя активности водородных ионов дистиллированной водой до 6,9-7,1 раствором гидроокиси натрия концентрации 0,01 моль/дм3.

Колба Кн-1-1000-29/32 ТС по ГОСТ 25336-82.

Стакан В-1-1000 по ГОСТ 25336-82.

Цилиндр 1-50, 1-1000 по ГОСТ 1770-74.

Бюретка 7-2-3 по ГОСТ 20292-74.

Воронка предохранительная ВПр-2 ХС по ГОСТ 25336-82.

(Измененная редакция, Изм. N 1).

4.14.2. Проведение анализа

Раствор акрилонитрила с массовой долей 5% готовят следующим образом: 50 смакрилонитрила помещают в коническую колбу, добавляют 760 см3 дистиллированной воды, не содержащей двуокиси углерода, перемешивают. Полученный раствор переливают в стакан. Стакан закрывают крышкой с отверстиями для предохранительной воронки, заполненной аскаритом, для носика бюретки, электродов pH-метра и с помощью pH-метра определяют показатель активности водородных ионов.

Затем определяют число титрования, для чего включают магнитную мешалку и титруют раствором серной кислоты до показателя активности водородных ионов анализируемого раствора, равного 5, отмечая его после каждых 0,5 см3 добавляемого раствора серной кислоты. Бюретку сверху закрывают пробкой с предохранительной воронкой, заполненной аскаритом.

Число титрования равно объему раствора серной кислоты концентрации 0,1 моль/дм3 в кубических сантиметрах, израсходованного на титрование раствора акрилонитрила с массовой долей 5% для доведения его показателя активности водородных ионов до 5.

За результат анализа принимают среднее арифметическое результатов двух параллельных определений, расхождение между которыми не превышает значения допустимого расхождения, равного 0,1 pH и 0,05 см3 числа титрования.

Пределы допускаемого значения относительной суммарной погрешности результата анализа показателя активности водородных ионов ±1,2% и числа титрования ±3,8% при доверительной вероятности P=0,95.

5. УПАКОВКА, МАРКИРОВКА, ТРАНСПОРТИРОВАНИЕ И ХРАНЕНИЕ

5.1. Акрилонитрил заливают в стальные бочки по ГОСТ 6247-79 типа 1 вместимостью 200 дм3, по ГОСТ 13950-84* типа 1 вместимостью 200 дм3, по ГОСТ 17366-80 типа 1 вместимостью 275 дм3, а также в специально предназначенные для данного продукта железнодорожные и автомобильные цистерны.
______________
* На территории Российской Федерации действует ГОСТ 13950-91. - Примечание изготовителя базы данных.

Перед заполнением тара и цистерны должны быть полностью освобождены от продукта.

Железнодорожные цистерны промывают после их ремонта.

5.2. Степень заполнения цистерн и тары акрилонитрилом вычисляют с учетом максимального использования их вместимости и коэффициента объемного расширения продукта при возможном перепаде температур в пути следования.

Наливные люки автоцистерн и горловины бочек должны быть герметизированы прокладками из паронита.

5.3. Транспортная маркировка бочек с продуктом - по ГОСТ 14192-77* с нанесением основных, дополнительных, информационных надписей и манипуляционного знака "Боится нагрева".
_______________
* На территории Российской Федерации действует ГОСТ 14192-96, здесь и далее по тексту. - Примечание изготовителя базы данных.

На бочках и автоцистернах с акрилонитрилом должен быть нанесен классификационный шифр 6122, знак опасности по ГОСТ 19433-81* с изображением черного черепа и двух скрещенных костей и предупредительная надпись "Огнеопасно".
_______________
* На территории Российской Федерации действует ГОСТ 19433-88. - Примечание изготовителя базы данных.

5.4. Каждую бочку или автоцистерну снабжают ярлыком, на котором указывают следующие дополнительные данные:

наименование предприятия-изготовителя и его товарный знак;

наименование продукта;

номер партии;

массу нетто;

дату изготовления;

обозначение настоящего стандарта.

5.5. На железнодорожную цистерну наносят предупредительные надписи: "Акрилонитрил", "Огнеопасно", "Яд" и трафарет приписки.

5.6. Маркировка акрилонитрила, предназначенного для экспорта, - по ГОСТ 14192-77 и заказу-наряду внешнеторгового объединения.

5.7. Акрилонитрил транспортируют в железнодорожных цистернах, автоцистернах, а упакованный в бочки - в крытых железнодорожных вагонах повагонными отправками в соответствии с правилами перевозки грузов, действующими на данном виде транспорта.

Акрилонитрил, упакованный в бочки, транспортируют пакетами в соответствии с ГОСТ 21929-76, ГОСТ 24597-81, ГОСТ 21650-76.

5.8. Акрилонитрил хранят в специальных резервуарах, а упакованный в бочки - в крытых складских помещениях, предназначенных для хранения ядовитых и легковоспламеняющихся жидкостей, или под навесом. Температура акрилонитрила при хранении не должна превышать 30 °С.

6. ГАРАНТИИ ИЗГОТОВИТЕЛЯ

6.1. Изготовитель гарантирует соответствие акрилонитрила требованиям настоящего стандарта при соблюдении условий транспортирования и хранения.

6.2. Гарантийный срок хранения стабилизированного акрилонитрила - 3 мес со дня изготовления.



официальное издание
М.: Издательство стандартов, 1987