Ангидрид уксусный. Реактивы ГОСТ 5815-77
Ангидрид уксусный. Реактивы. Технические условия (с Изменением N 1) ГОСТ 5815-77
ГОСТ 5815-77
Группа Л52
ГОСУДАРСТВЕННЫЙ СТАНДАРТ СОЮЗА ССР
Реактивы
АНГИДРИД УКСУСНЫЙ
Технические условия
Reagents. Acetic anhydride. Specifications
ОКП 26 3491 0190 03
Дата введения 1979-01-01
ИНФОРМАЦИОННЫЕ ДАННЫЕ
1. РАЗРАБОТАН И ВНЕСЕН Министерством химической промышленности
РАЗРАБОТЧИКИ
З.М.Ривина, З.М.Сульман, Л.В.Кидиярова, И.В.Жарова, Л.Х.Беспрозванная, Г.А.Иванова, Г.И.Дубровина, В.А.Голубева, А.П.Леньшин
2. УТВЕРЖДЕН И ВВЕДЕН В ДЕЙСТВИЕ Постановлением Государственного комитета стандартов Совета Министров СССР от 21.12.77 N 2971
3. ВЗАМЕН ГОСТ 5815-69
4. ССЫЛОЧНЫЕ НОРМАТИВНО-ТЕХНИЧЕСКИЕ ДОКУМЕНТЫ
|
Обозначение НТД, на который дана ссылка |
Номер пункта |
|
ГОСТ 1770-74 |
3.2; 3.3.1; 3.7; 3.8; 3.9; 3.11.1 |
|
2.1; 3.1; 4.1 |
|
|
3.11.1 |
|
|
3.11.1 |
|
|
ГОСТ 4517-87 |
3.3.1 |
|
ГОСТ 5319-78 |
3.3.1 |
|
ГОСТ 6563-75 |
3.5 |
|
3.2; 3.3.1; 3.11.1 |
|
|
3.11.1 |
|
|
ГОСТ 10555-75 |
3.9 |
|
ГОСТ 10671.5-74 |
3.6 |
|
ГОСТ 10671.6-74 |
3.7 |
|
ГОСТ 10671.7-74 |
3.8 |
|
3.3.1 |
|
|
ГОСТ 17319-76 |
3.10 |
|
3.3.1 |
|
|
ГОСТ 18995.1-73 |
3.4 |
|
ГОСТ 19433-88 |
4.1 |
|
ГОСТ 19908-90 |
3.5 |
|
3.11.1 |
|
|
ГОСТ 24104-88 |
3.1а |
|
ГОСТ 25336-82 |
3.3.1; 3.6; 3.10; 3.11.1 |
|
ГОСТ 27025-86 |
3.1а |
|
ГОСТ 27026-86 |
3.5 |
|
3.11.1 |
|
|
ГОСТ 29227-91 |
3.3.1; 3.6; 3.8; 3.9; 3.10; 3.11.1 |
|
ГОСТ 29251-91 |
3.3.1 |
5. Срок действия продлен до 01.01.97 Постановлением Госстандарта от 25.11.87 N 4244*
________________
* Ограничение срока действия снято по протоколу N 7-95 Межгосударственного совета по стандартизации, метрологии и сертификации (ИУС 11-95). - Примечание изготовителя базы данных.
6. ПЕРЕИЗДАНИЕ (октябрь 1993 г.) с Изменением N 1, утвержденным в ноябре 1987 г. (ИУС 2-88)
Настоящий стандарт распространяется на реактив - уксусный ангидрид, который представляет собой бесцветную, прозрачную жидкость с резким запахом; в водных растворах быстро гидролизуется, образуя уксусную кислоту; смешивается со спиртом, эфиром, хлороформом и бензолом; температура кипения 139,6 °С.
Формулы: эмпирическая C2H6O3
структурная 
Молекулярная масса (по международным атомным массам 1971 г.) - 102,09.
(Измененная редакция, Изм. N 1).
1. ТЕХНИЧЕСКИЕ ТРЕБОВАНИЯ
1.1. Уксусный ангидрид должен быть изготовлен в соответствии с требованиями настоящего стандарта по технологическому регламенту, утвержденному в установленном порядке.
1.2. По физико-химическим показателям уксусный ангидрид должен соответствовать значениям, указанным в таблице.
(Измененная редакция, Изм. N 1).
2. ПРАВИЛА ПРИЕМКИ
2.1. Правила приемки - по ГОСТ 3885-73-->ГОСТ 3885-73.
2.2. Плотность и массовую долю фосфатов изготовитель определяет в каждой 10-й партии.
(Введен дополнительно, Изм. N 1).
3. МЕТОДЫ АНАЛИЗА
3.1а. Общие указания по проведению анализа - по ГОСТ 27025-86.
При взвешивании применяют лабораторные весы по ГОСТ 24104-88, 2-го класса точности с наибольшим пределом взвешивания 200 г.
________________
* Действует ГОСТ 24104-2001.
Допускается применение импортной посуды по классу точности и реактивов по качеству не ниже отечественных аналогов.
(Введен дополнительно, Изм. N 1).
3.1. Пробы отбирают по ГОСТ 3885-73-->ГОСТ 3885-73. Масса средней пробы должна быть не менее 1300 г. Количество уксусного ангидрида и его раствора, необходимого для анализа, отбирают пипеткой с резиновой грушей или цилиндром с погрешностью не более 1%.
3.2. Приготовление раствора анализируемого препарата
46,3 см3 (50 г) препарата прибавляют небольшими порциями к 50 см3 дистиллированной воды (ГОСТ 6709-72-->ГОСТ 6709-72), нагретой до 40-50 °С, перемешивая после добавления каждой порции до полного растворения препарата. После охлаждения раствор количественно переносят в мерную колбу 2-100-2 (ГОСТ 1770-74), доводят объем раствора водой до метки и перемешивают.
1 см3 приготовленного раствора содержит 0,5 г уксусного ангидрида.
3.1; 3.2. (Измененная редакция, Изм. N 1).
3.3. Определение массовой доли уксусного ангидрида
3.3.1. Аппаратура, реактивы и растворы
Бюретка 1-2-50-0,1 по ГОСТ 29251-91;
капельница 2-50 ХС по ГОСТ 25336-82;
колба Кн-1-250-29/32 ТХС по ГОСТ 25336-82;
пипетка 6(7)-2-10 по ГОСТ 29227-91;
цилиндр 1-100 по ГОСТ 1770-74;
анилин по ГОСТ 5819-78, свежеперегнанный, раствор с массовой долей 3%, свежеприготовленный;
Вода дистиллированная по ГОСТ 6709-72-->ГОСТ 6709-72;
натрия гидроокись, не содержащая карбонатов; готовят по ГОСТ 4517-87, раствор концентрации c(NaOH) - 0,5 моль/дм3 (0,5 н.);
пиридин по ГОСТ 13647-78, свежеприготовленный;
спирт этиловый ректификованный технический по ГОСТ 18300-87, высшего сорта;
фенолфталеин, спиртовой раствор с массовой долей 1%.
3.3.2. Проведение анализа
5-10 см3 уксусного ангидрида помещают в капельницу так, чтобы смоченной была только самая нижняя (оттянутая) часть пипетки, и взвешивают (результат взвешивания в граммах записывают с точностью до четвертого десятичного знака). Затем около 1 см3 препарата с помощью пипетки (с меткой на 1 см3) переносят в колбу, предварительно поместив в нее 100 см3 воды и 0,5 см3 пиридина. При этом шлиф капельницы должен оставаться сухим.
Капельницу с пипеткой снова взвешивают и по разности масс вычисляют взятую навеску препарата. Содержимое колбы тщательно перемешивают до полного растворения препарата и через 5 мин титруют раствором гидроокиси натрия в присутствии фенолфталеина.
Для взятия навески уксусного ангидрида можно пользоваться также специальной пипеткой для взвешивания и ампулами. При пользовании ампулами титрование ведут в толстостенной банке с притертой пробкой. Ампулу разбивают под слоем жидкости.
В другую колбу помещают 100 см3 анилина и вносят указанным выше способом 2 см3 уксусного ангидрида. Колбу закрывают, содержимое колбы тщательно перемешивают (при этом выпадает белый осадок ацетанилида) и титруют раствором гидроокиси натрия в присутствии фенолфталеина.
3.3.3. Обработка результатов
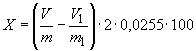
Массовую долю уксусного ангидрида (X) в процентах вычисляют по формуле
где V - объем раствора гидроокиси натрия концентрации точно 0,5 моль/дм3, израсходованный на первое титрование, см3;
m - масса навески уксусного ангидрида, взятая для первого титрования, г;
V1 - объем раствора гидроокиси натрия концентрации точно 0,5 моль/дм3, израсходованный на второе титрование, см3;
m - масса навески уксусного ангидрида, взятая для второго титрования, г;
0,0255 - масса уксусного ангидрида, соответствующая 1 см3 раствора гидроокиси натрия концентрации точно 0,5 моль/дм3, г.
За результат анализа принимают среднее арифметическое результатов двух параллельных определений, абсолютное значение расхождения между которыми не превышает значения допускаемого расхождения, равного 0,2%.
Пределы допускаемого значения абсолютной суммарной погрешности результата анализа ±0,4% при доверительной вероятности P=0,95.
3.3.1-3.3.3. (Измененная редакция, Изм. N 1).
3.4. Определение плотности проводят по ГОСТ 18995.1-73 денсиметром.
3.5. Определение массовой доли нелетучего остатка
Определение проводят по ГОСТ 27026-86 в платиновой чашке 115 (118)-3 (ГОСТ 6563-75) или кварцевой чаше 100 (ГОСТ 19908-90) из навески 50,00 г (46,3 см3).
3.6. Определение массовой доли сульфатов
Определение проводят по ГОСТ 10671.5-74.
При этом 20 см3 раствора, приготовленного по п.3.2 (соответствуют 10 г препарата), с помощью пипетки 2-2-20 (ГОСТ 29227-91) помещают в колбу Кн-2-50(100)-22 ТХС (ГОСТ 25336-82), прибавляют 5 см3 воды и далее определение проводят фототурбидиметрическим или визуально-нефелометрическим методом (способ 1).
Препарат считают соответствующим требованиям настоящего стандарта, если масса сульфатов не будет превышать:
для препарата чистый для анализа - 0,05 мг,
для препарата чистый - 0,10 мг.
При разногласиях в оценке массовой доли сульфатов анализ проводят фототурбидиметрическим методом.
3.7. Определение массовой доли фосфатов
Определение проводят по ГОСТ 10671.6-74.
При этом 10 см3 (для препарата ч.д.а.) или 4 см3 (для препарата ч.) раствора, приготовленного по п.3.2 (что соответствует навеске 5,00 и 2,00 г соответственно), помещают с помощью пипетки 6(7)-2-10 (ГОСТ 29227-91) в мерную колбу 2-25-2 (ГОСТ 1770-74), с помощью цилиндра 1-25 (ГОСТ 1770-74) доводят водой объем раствора до 20 см3 и далее определение проводят фотометрическим методом по окраске молибденовой сини с восстановлением аскорбиновой кислотой.
Допускается измерение оптической плотности на спектрофотометре проводить в кюветах с толщиной поглощающего свет слоя 20 мм.
Препарат считают соответствующим требованиям настоящего стандарта, если масса фосфатов не будет превышать:
При разногласиях в оценке массовой доли фосфатов анализ заканчивают фотометрически.
3.8. Определение массовой доли хлоридов
Определение проводят по ГОСТ 10671.7-74.
При этом 20 см3 раствора, приготовленного по п.3.2 (соответствуют 10 г препарата), с помощью пипетки 2-2-20 (ГОСТ 29227-91) помещают в мерную колбу 2-50-2 (ГОСТ 1770-74), прибавляют цилиндром 1-25 (ГОСТ 1770-74) 20 см3 воды и далее определение проводят фототурбидиметрическим методом в объеме 50 см3.
Препарат считают соответствующим требованиям настоящего стандарта, если масса хлоридов не будет превышать:
3.9. Определение массовой доли железа
Определение проводят по ГОСТ 10555-75.
При этом 10 см3 раствора, приготовленного по п.3.2 (соответствуют 5 г препарата), с помощью пипетки 2-2-10 (ГОСТ 29227-91) помещают в мерную колбу 2-50-2 (ГОСТ 1770-74), прибавляют цилиндром 1-25 (ГОСТ 1770-74) 10 см3 воды и далее определение проводят роданидным методом с предварительным окислением железа надсернокислым аммонием.
Препарат считают соответствующим требованиям настоящего стандарта, если масса железа не будет превышать:
Допускается заканчивать определение визуально.
При разногласиях в оценке массовой доли железа анализ заканчивают фотометрически.
3.10. Определение массовой доли тяжелых металлов
Определение проводят по ГОСТ 17319-76.
При этом 20 см3 раствора, приготовленного по п.3.2 (соответствуют 10 г препарата), помещают с помощью пипетки 2-2-20 (ГОСТ 29227-91) в колбу Кн-1-100-14/23 (ГОСТ 25336-82) с меткой на 30 см3, нейтрализуют раствором аммиака с массовой долей 25%, доводят объем раствора до 30 см3 и далее определение проводят сероводородным методом, не прибавляя 1 см3 раствора уксуснокислого аммония.
Препарат считают соответствующим требованиям настоящего стандарта, если окраска анализируемого раствора не будет интенсивнее окраски раствора, приготовленного одновременно с анализируемым и содержащего в таком же объеме:
1 см3 уксусной кислоты, 1 см3 раствора уксуснокислого аммония, 10 см3 сероводородной воды.
3.5-3.10. (Измененная редакция, Изм. N 1).
3.11. Определение массовой доли веществ, восстанавливающих KMnO4 (в пересчете на О)
3.11.1. Аппаратура, реактивы и растворы
Колба Кн-1-250-29/32 ТХС по ГОСТ 25336-82;
пипетки 4(5)-2-2, 6(7)-2-25, 2-2-25 и 6(7)-2-10 по ГОСТ 29227-91;
цилиндр 1-100 по ГОСТ 1770-74;
Вода дистиллированная по ГОСТ 6709-72-->ГОСТ 6709-72;
Калий йодистый по ГОСТ 4232-74;
Калий марганцовокислый по ГОСТ 20490-75, раствор концентрации c(1/5KMnO4)=0,01 моль/дм3 (0,01 н.), свежеприготовленный;
крахмал растворимый по ГОСТ 10163-76, раствор с массовой долей 1%;
кислота серная по ГОСТ 4204-77, раствор с массовой долей 16%;
натрий серноватистокислый (натрия тиосульфат) 5-водный по ГОСТ 27068-86, раствор концентрации c(Na2S2O3·5H2O)=0,01 моль/дм3 (0,01 н.), свежеприготовленный.
3.11.2. Проведение анализа
7,4 см3 (8 г) препарата с помощью пипетки помещают в колбу, прибавляют цилиндром 100 см3 воды и оставляют в покое до полного растворения препарата. Затем прибавляют 15 см3 раствора серной кислоты, с помощью пипетки 2-2-25 25 см3 раствора марганцовокислого калия и выдерживают в течение 15 мин в термостате при 80 °С. Затем раствор охлаждают в течение 10 мин под струей воды, прибавляют 2 г йодистого калия и оставляют в покое на 2 мин. По окончании выдержки выделившийся йод титруют раствором серноватистокислого натрия, прибавляя в конце титрования 2 см3 раствора крахмала в качестве индикатора.
Одновременно проводят контрольный опыт с применяемыми количествами реактивов в тех же условиях и в результат анализа вносят соответствующую поправку.
3.11.3. Обработка результатов
Массовую долю веществ, восстанавливающих KMnO4 (в пересчете на О) в процентах (X1) вычисляют по формуле
где V - объем раствора 5-водного серноватисто-кислого натрия концентрации точно 0,01 моль/дм3, израсходованный на титрование контрольного раствора, см3;
V1 - объем раствора 5-водного серноватисто-кислого натрия концентрации точно 0,01 моль/дм3, израсходованный на титрование анализируемого раствора, см3;
m - масса навески препарата, г;
0,00008 - масса кислорода (О), соответствующая 1 см3 раствора 5-водного серноватисто-кислого натрия концентрации точно 0,01 моль/дм3, г.
За результат анализа принимают среднее арифметическое результатов двух параллельных определений, абсолютное значение расхождения между которыми не превышает значения допускаемого расхождения, равного 0,001%.
Пределы допускаемого значения абсолютной суммарной погрешности результата анализа ±5·10% при доверительной вероятности P=0,95.
3.11.1-3.11.3. (Измененная редакция, Изм. N 1).
4. УПАКОВКА, МАРКИРОВКА, ТРАНСПОРТИРОВАНИЕ И ХРАНЕНИЕ
4.1. Препарат упаковывают и маркируют в соответствии с ГОСТ 3885-73-->ГОСТ 3885-73.
Виды и типы тары: 3-1, 3-5, 8-1, 8-2.
Группы фасовки: IV, V, VI, VII.
На этикетке должно быть обозначено: "Огнеопасно", "Берегись ожога".
На тару наносят знаки опасности по ГОСТ 19433-88 (класс 8, подкласс 8.1 и класс 3). Классификационный шифр 8142.
(Измененная редакция, Изм. N 1).
4.2. Препарат перевозят всеми видами транспорта в соответствии с правилами перевозки грузов, действующими на данном виде транспорта.
4.3. Препарат хранят в упаковке изготовителя в крытых вентилируемых складских помещениях.
5. ГАРАНТИИ ИЗГОТОВИТЕЛЯ
5.1. Изготовитель гарантирует соответствие уксусного ангидрида требованиям настоящего стандарта при соблюдении условий транспортирования и хранения.
5.2. Гарантийный срок хранения препарата - три года со дня изготовления.
Разд.5. (Измененная редакция, Изм. N 1).
6. ТРЕБОВАНИЯ БЕЗОПАСНОСТИ
6.1. Уксусный ангидрид - бесцветная легковоспламеняющаяся жидкость, с резким запахом. Температура вспышки 40 °С, температура самовоспламенения 360 °С, область воспламенения в объемных долях 1,21-9,9%. Температурные пределы воспламенения: нижний - 37 °С, верхний - 75 °С. Тушить тонкораспыленной водой, пеной, газовыми и порошковыми составами.
6.2. Предельно допустимая концентрация (ПДК) паров уксусного ангидрида в воздухе рабочей зоны 5 мг/м в пересчете на уксусную кислоту. При превышении ПДК пары уксусного ангидрида раздражают слизистые оболочки дыхательных путей и глаз, вызывают светобоязнь, желудочно-кишечные расстройства, на кожу действуют прижигающе.
(Измененная редакция, Изм. N 1).
6.3. При работе с уксусным ангидридом необходимо применять индивидуальные средства защиты (фильтрующие противогазы марок В, БКФ, спецодежда, резиновые перчатки, резиновые сапоги, фартук и защитные очки), а также соблюдать меры личной гигиены.
6.4. Помещения, в которых проводятся работы с препаратом, должны быть оборудованы эффективной общей и местной приточно-вытяжной механической вентиляцией, обеспечивающей концентрацию паров уксусного ангидрида не выше предельно допустимой.
6.5. Меры первой помощи при попадании уксусного ангидрида на кожу и слизистую оболочку глаз - обильное промывание водой.
официальное издание
М.: Издательство стандартов, 1994
, г/см3