Криптон и криптоноксеноновая смесь ГОСТ 10218-77
Криптон и криптоноксеноновая смесь. Технические условия (с Изменениями N 1, 2, 3) ГОСТ 10218-77
ГОСТ 10218-77
Группа Л11
ГОСУДАРСТВЕННЫЙ СТАНДАРТ СОЮЗА ССР
КРИПТОН И КРИПТОНОКСЕНОНОВАЯ СМЕСЬ
Технические условия
Krypton and krypton-xenon mixture.
Specifications
ОКП 21 1472
Дата введения 1979-01-01
ИНФОРМАЦИОННЫЕ ДАННЫЕ
1. РАЗРАБОТАН И ВНЕСЕН Министерством химической промышленности
РАЗРАБОТЧИКИ
К.Н.Иванов, Л.К.Холопов, Н.М.Дыхно, канд. хим. наук; Л.Д.Масумова
2. УТВЕРЖДЕН И ВВЕДЕН В ДЕЙСТВИЕ Постановлением Государственного комитета СССР по стандартам от 26 августа 1977 г. N 2082
3. Периодичность проверки - 5 лет
4. ВЗАМЕН ГОСТ 10218-67
5. ССЫЛОЧНЫЕ НОРМАТИВНО-ТЕХНИЧЕСКИЕ ДОКУМЕНТЫ
|
Обозначение НТД на который дана ссылка |
Номер пункта, подпункта, перечисления, приложения |
|
3.5.1 |
|
|
ГОСТ 427-75 |
3.3.1 |
|
ГОСТ 17433-80 |
3.7a.1 |
|
ГОСТ 1770-74 |
3.5.1 |
|
ГОСТ 2405-88 |
4.1 |
|
3.9.1 |
|
|
3.7a.1 |
|
|
3.5.1 |
|
|
3.5.1 |
|
|
ГОСТ 3956-76 |
3.7a.1 |
|
3.7a.1 |
|
|
3.5.1 |
|
|
3.5.1 |
|
|
3.5.1 |
|
|
3.9.1 |
|
|
3.5.1 |
|
|
3.7a.1, 3.9.1 |
|
|
3.3.1, 3.7a.1, 3.9.1 |
|
|
3.3.1, 3.5.1 |
|
|
3.5.1 |
|
|
3.3.1, 3.9.1 |
|
|
3.7a.1 |
|
|
3.8.1, 3.9.1 |
|
|
ГОСТ 25336-82 |
3.5.1 |
|
ГОСТ 26460-85 |
4.1 |
|
3.5.1 |
6. Ограничение срока действия снято по Протоколу N 3-93 Межгосударственного Совета по стандартизации, метрологии и сертификации (ИУС 5-6-93)
7. ПЕРЕИЗДАНИЕ (июль 1993 г.) с Изменениями N 1, 2, 3, утвержденными в июле 1983 г., августе 1987 г., марте 1993 г. (ИУС 11-83, 12-87, 8-93)
Настоящий стандарт распространяется на газообразные продукты - криптон и криптоноксеноновую смесь, которую получают из атмосферного воздуха способом низкотемпературной ректификации с промежуточной очисткой от углеводородов и продуктов их окисления. Криптон получают из криптоноксеноновой смеси низкотемпературной ректификацией или другими методами.
Криптоноксеноновая смесь используется для производства криптона и ксенона, применяемых в электротехнической промышленности.
Настоящий стандарт устанавливает требования к криптону, изготовляемому для нужд народного хозяйства и экспорта.
Формула криптона: Kr
Атомная масса криптона (по международным атомным массам 1985 г.) - 83,80.
(Измененная редакция, Изм. N 1, 3).
1. ТЕХНИЧЕСКИЕ ТРЕБОВАНИЯ
1.1. Криптон и криптоноксеноновая смесь должны быть изготовлены в соответствии с требованиями настоящего стандарта по технологическому регламенту, утвержденному в установленном порядке.
1.2. По физико-химическим показателям криптон и криптоноксеноновая смесь должны соответствовать нормам, указанным в табл.1.
Таблица 1
|
Наименование показателя |
Норма |
|
|
Криптон высокой чистоты |
Криптоноксеноновая смесь |
|
|
ОКП 21 1472 0100 |
ОКП 21 1492 0100 |
|
|
1. Объемная доля криптона, %, не менее |
99,99 |
99,5 |
|
2. Объемная доля ксенона, % |
Не более 0,005 |
Не менее 5,0 |
|
3. Объемная доля азота, %, не более |
0,002 |
0,4 |
|
4. Объемная доля кислорода, %, не более |
0,0002 |
0,05 |
|
5. Объемная доля метана, %, не более |
0,0001 |
0,01 |
|
6. Объемная доля двуокиси углерода, %, не более |
0,0001 |
0,01 |
|
7. Объемная доля водяного пара, %, не более, |
0,0005 |
0,010 |
|
что соответствует температуре насыщения криптона и криптоноксеноновой смеси водяными парами при давлении 101,3 кПа (760 мм рт.ст.), °С, не выше |
Минус 65 |
Минус 42 |
Примечания:
1. (Исключен, Изм. N 1).
2. Объемную долю ксенона, азота, кислорода, метана, двуокиси углерода и водяного пара в криптоне и криптоноксеноновой смеси можно выражать в миллионных долях (млн-1). Объемная доля, равная 1%, соответствует 1·104 млн-1.
(Измененная редакция, Изм. N 1, 2, 3).
2. ПРАВИЛА ПРИЕМКИ
2.1. Криптон и криптоноксеноновую смесь принимают партиями. За партию принимают каждый баллон.
Каждый баллон, наполненный криптоном или криптоноксеноновой смесью, должен сопровождаться документом о качестве.
Документ о качестве должен содержать:
наименование предприятия-изготовителя и его товарный знак;
наименование продукта;
номер баллона;
дату изготовления;
давление газа;
количество газа в баллоне (см. приложение 2);
массу баллона с вентилем до наполнения криптоном;
результаты проведенных анализов или подтверждение о соответствии продукта требованиям настоящего стандарта;
обозначение настоящего стандарта.
(Измененная редакция, Изм. N 1, 3).
2.2. Для проверки качества криптона и криптоноксеноновой смеси пробы отбирают от каждого баллона.
2.3. При получении неудовлетворительных результатов анализа хотя бы по одному из показателей должен проводиться повторный анализ по этому показателю на двух вновь отобранных из того же баллона пробах. Результаты повторных анализов являются окончательными.
3. МЕТОДЫ АНАЛИЗА
3.1. Отбор проб
3.1.1. Пробу криптона и криптоноксеноновой смеси отбирают из наполненного баллона при давлении не ниже 9,0 МПа (приблизительно 90 кгс/см2) в прибор для анализа с помощью редуктора или вентиля тонкой регулировки и стальной или медной соединительной трубки от места отбора пробы до прибора. Редуктор или вентиль промывают анализируемым газом путем двукратного подъема и сброса давления; соединительную трубку продувают не менее чем десятикратным объемом анализируемого газа. Для определения концентрации водяных паров пробу газа отбирают через трубку из коррозионностойкой стали, предварительно высушенную в сушильном шкафу или отожженную.
3.2. Определение объемной доли криптона
3.2.1. Объемную долю криптона (X) в процентах вычисляют по разности между 100 и суммой объемных долей примесей по формуле
где X1- объемная доля ксенона, %;
X2 - объемная доля азота, %;
X3 - объемная доля кислорода, %;
X4 - объемная доля метана, %;
X5 - объемная доля двуокиси углерода, %;
X6 - объемная доля водяного пара, %.
(Измененная редакция, Изм. N 1).
3.2.2. Объемную долю криптона в сумме с ксеноном в криптоноксеноновой смеси вычисляют по разности между 100 и суммой объемных долей в процентах всех примесей, кроме ксенона.
3.3. Определение объемной доли ксенона и азота
3.3.1. Аппаратура, материалы и реактивы:
Хроматограф с детектором по теплопроводности с порогом чувствительности по пропану при газе-носителе гелии не выше 2·10-5 мг/см3 и газохроматографической колонкой длиной 4,0-5,0 м, диаметром 3-4 мм, наполненной цеолитом синтетическим.
Вспомогательное оборудование для хроматографического анализа:
лупа измерительная 16 увеличением с ценой деления 0,1 мм,
секундомер механический,
линейка металлическая по ГОСТ 427,
печь муфельная электрическая, обеспечивающая нагрев до 500 °С,
набор сит "Физприбор".
Аргон газообразный по ГОСТ 10157, высшего сорта.
Азот газообразный технический по ГОСТ 9293, 1-го сорта.
Гелий газообразный очищенный с объемной долей азота не более 0,0005% при анализе криптона.
Ксенон по ГОСТ 10219, высокой чистоты.
Цеолит синтетический NaX или CaX, фракция с частицами размером 0,3-0,4 мм.
Смеси градуировочные ксенона и азота с криптоном в диапазоне объемных долей:
от 0,001 до 0,1% ксенона,
от 1 до 5% ксенона;
от 0,001 до 0,4% азота.
Не менее трех смесей каждого вида. Способ приготовления смесей дан в приложении 1.
(Измененная редакция, Изм. N 1, 3).
3.3.2. Подготовка к анализу
3.3.2.1. Подготовка газохроматографической колонки
Таблетки цеолита синтетического NaX или СаХ предварительно измельчают в фарфоровой ступке, отсеивают фракцию с размером частиц 0,3-0,4 мм, прокаливают ее в муфельной печи при 280 °С в токе аргона или другого сухого инертного газа в течение 6 ч, охлаждают в эксикаторе и быстро наполняют колонку. Укрепив колонку в хроматографе, дополнительно обезвоживают адсорбент нагреванием при рабочей температуре в токе газа-носителя в течение 24 ч.
Разделяющую способность цеолита необходимо проверить: на хроматограмме пробы криптона или криптоноксеноновой смеси должно быть полное разделение пиков криптона и азота; при отсутствии полного разделения адсорбент заменяют.
3.3.2.2. Градуировка хроматографа
Объемную долю ксенона и азота определяют методом абсолютной градуировки, используя для этого градуировочные смеси, которые вводят в хроматограф с помощью дозатора. По хроматограммам градуировочных смесей строят градуировочные графики зависимости высоты или площади пиков ксенона и азота в миллиметрах или квадратных миллиметрах, приведенных к чувствительности регистратора (масштабу) M1, от объемной доли ксенона и азота в градуировочной смеси в процентах. Градуировочный график строят по средним значениям высоты или площади пиков определяемых компонентов, рассчитанным по результатам не менее трех параллельных определений. Градуировку повторяют один раз в три месяца. Один раз в сутки проверяют градуировочную характеристику хроматографа по одной градуировочной смеси для каждой примеси.
При линейной градуировочной характеристике хроматографа по результатам градуировки могут быть рассчитаны градуировочные коэффициенты K (см3/мм) или K` (см3/мм) по формуле
или 
где Cст - объемная доля определяемого компонента в градуировочной смеси, %;
Dст- доза градуировочной смеси, см3;
hст - высота пика определяемого компонента на хроматограмме градуировочной смеси, мм;
Sст - площадь пика определяемого компонента на хроматограмме градуировочной смеси, мм2;
Mст - чувствительность регистратора при записи пика определяемого компонента.
При этом площадь пика (S) вычисляют по формуле
где
h - высота пика, мм;
b - ширина пика, замеренная на половине его высоты, мм.
Условия градуировки. Температура газохроматографической колонки 60-80 °С; расход: газа-носителя гелия - 1,5 дм3/ч, аргона - 4,6 дм3/ч; доза градуировочной смеси - 1-2 см3.
Градуировку хроматографа допускается производить методом экспоненциального разбавления (см. приложение 3).
Ток питания детектора и чувствительность регистратора устанавливают опытным путем в зависимости от состава градуировочной смеси и типа хроматографа.
(Измененная редакция, Изм. N 1).
3.3.3. Проведение анализа
Пробу анализируемого газа вводят в хроматограф с помощью дозатора. В качестве газа-носителя используют при анализе криптона - гелий, при анализе криптоноксеноновой смеси - аргон. Записывают хроматограмму газа в условиях, идентичных принятым при градуировке прибора. Диапазон шкалы регистратора выбирают таким, чтобы пики определяемых компонентов были максимальными в пределах диаграммной ленты регистратора.
3.3.4. Обработка результатов
Объемную долю ксенона (X1) и азота (X2) в процентах определяют по градуировочным графикам по высоте или площади пиков ксенона и азота, приведенных к чувствительности регистратора M1, или вычисляют по формуле
или 
где X - объемная доля ксенона (X1) или азота (X2);
K - градуировочный коэффициент, вычисленный по высоте пика определяемого компонента, см3/мм;
K` - градуировочный коэффициент, вычисленный по площади пика определяемого компонента, см3/мм2;
h - высота пика определяемого компонента на хроматограмме анализируемого газа, мм;
S - площадь пика определяемого компонента на хроматограмме анализируемого газа, мм2;
M - чувствительность регистратора при записи пика определяемого компонента;
D - доза анализируемого газа, см3.
Примечание. При равенстве доз градуировочной смеси и анализируемого газа из формул для расчета K, K` и X1 величины D и Dст исключаются.
За результат анализа принимают среднее арифметическое результатов двух параллельных определений, относительное расхождение между которыми не превышает допускаемое расхождение, равное 15%.
Допускаемая относительная суммарная погрешность результата анализа ±20% при доверительной вероятности P=0,95.
(Измененная редакция,Изм. N 1, 3).
3.4-3.4.3. (Исключены, Изм. N 3).
3.5. Определение объемной доли кислорода (при содержании кислорода свыше 0,01%)
3.5.1. Реактивы, растворы и аппаратура
Колба Кн-1(2)-1000 по ГОСТ 25336.
Цилиндр 1-250 по ГОСТ 1770 или других типов вместимостью 250 см3.
Пипетка вместимостью 25 см3.
Пипетка вместимостью 2 см3.
Бюретки вместимостью 1 и 5 см3.
Весы лабораторные общего назначения 2-го класса точности с наибольшим пределом взвешивания 200 г.
аммиак водный по ГОСТ 3760, растворы с массовой долей 26 и 4%.
Аммоний хлористый по ГОСТ 3773.
Аргон газообразный по ГОСТ 10157, высшего сорта.
Вода дистиллированная по ГОСТ 6709.
Калий йодистый по ГОСТ 4232, раствор с массовой долей 10%.
Кислота уксусная по ГОСТ 61, х.ч., ледяная.
Крахмал растворимый по ГОСТ 10163, раствор с массовой долей 1%.
натрий серноватистокислый (натрия тиосульфат) 5-водный по ГОСТ 27068, раствор концентрации 0,05 моль/дм3.
Проволока медная круглая электротехническая типа ММ, диаметром 0,8 мм.
Медь однохлористая по ГОСТ 4164.
Смазка УН (вазелин технический).
Раствор однохлористой меди аммиачный, готовят из расчета 12 г однохлористой меди, 36 г хлористого аммония, 145 см3 раствора аммиака с массовой долей 26% на 1 дм3 воды. Раствор готовят в бутыли вместимостью 5-10 дм3, заполненной спиралями из медной проволоки, с сифоном или сливной трубкой для отбора поглотительного раствора. В бутыль наливают воду и раствор аммиака, затем вносят навески хлористого аммония и однохлористой меди. Бутыль закрывают пробкой с двумя отводными трубками, одна из которых доходит до дна бутыли, вторая - короткая, не погружена в раствор. Раствор продувают через длинную трубку аргоном до полного растворения солей и обесцвечивания раствора. После этого раствор защищают от доступа воздуха.
Медь сернокислая по ГОСТ 4165, раствор концентрации 0,05 моль/дм3 готовят следующим образом: 12,484 г свежеперекристаллизованной сернокислой меди взвешивают с погрешностью не более 0,0002 г и растворяют в воде в колбе вместимостью 1 дм3. Титр раствора определяют йодометрическим методом: йод, выделившийся при добавлении к 25 см3 анализируемого раствора 10 см3 раствора йодистого калия и 2-3 см3 уксусной кислоты, оттитровывают раствором тиосульфата натрия в присутствии крахмала. Вычисляют поправочный коэффициент (K2) для раствора сернокислой меди как частное от деления расхода раствора тиосульфата натрия на 25.
Образцовые растворы колориметрической шкалы готовят в пробирках вместимостью 25 см3 из бесцветного стекла внутренним диаметром 25±0,25 см3 с толщиной стенок 1,25±0,25 см3. В каждую пробирку наливают раствор сернокислой меди в количествах, указанных в табл.4, и затем доводят объем раствора до 25 см3 раствором аммиака с массовой долей 4%.
Таблица 4*
________________
* Табл.2, 3. (Исключены, Изм. N 3).
|
Характеристика раствора |
Номер образцового раствора |
|||||||||
|
1 |
2 |
3 |
4 |
5 |
6 |
7 |
8 |
9 |
10 |
|
|
Объем точно 0,05 М раствора сернокислой меди, см3 |
0,05 |
0,10 |
0,15 |
0,20 |
0,25 |
0,35 |
0,45 |
0,65 |
0,85 |
1,00 |
|
Объем кислорода в пробе, соответствующий окраске раствора, см3 |
0,015 |
0,030 |
0,045 |
0,060 |
0,075 |
0,105 |
0,135 |
0,195 |
0,255 |
0,300 |
Примечание. Объем кислорода, эквивалентный 1 см3 0,05 М раствора сернокислой меди, равен
см3 при 20 °С и 101,3 кПа (760 мм рт.ст.). Если концентрация раствора сернокислой меди не точно 0,05 М, то значения, приведенные во второй строке табл.4, умножают на коэффициент K2.
Срок годности образцовых растворов - шесть месяцев.
Установка для определения кислорода. Установка состоит из сосуда для анализа, бутыли с поглотительным раствором и пробирок с образцовыми растворами.
Сосуд для анализа типа СВ 7631М (черт.1) имеет два сосуда А и Б, разделенные двухходовым краном 2, снабженные отростком для присоединения к месту отбора пробы, и краном 1 для введения в сосуд поглотительного раствора. Вместимость сосуда А около 250 см3, сосуда Б - около 25 см3. Вместимость сосуда А определяют с погрешностью не более 0,1 см3 по объему воды или ее массе.
1 - одноходовой кран; 2 - двухходовой кран
Черт.1
3.5.2. Проведение анализа
Сосуд для анализа обезжиривают хромовой смесью, промывают водой и высушивают в токе сухого азота.
Открывают краны 1 и 2 и присоединяют сосуд для анализа к месту отбора пробы. Сосуд продувают десятикратным объемом анализируемого газа. Уменьшив поток газа, закрывают кран 1, затем кран 2 и отсоединяют сосуд от места отбора пробы. Давление газа в сосуде выравнивают с атмосферным быстрым поворотом крана 2, кончик которого предварительно погружают в воду. Отмечают барометрическое давление и температуру помещения.
Сосуд Б заполняют поглотительным раствором. Для этого через отверстие крана 1 вводят в сосуд Б хлорвиниловую трубку длиной около 100 мм, соединенную со сливной трубкой бутыли с поглотительным раствором. Раствор сливают через кран 1 до обесцвечивания, затем быстро вынимают трубку из заполненного сосуда Б и закрывают кран 1.
Подбирают образцовый раствор окраски, одинаковой с окраской раствора в сосуде Б.
Поглотительный раствор переливают в сосуд А. Затем энергично встряхивают сосуд до полного поглощения раствором кислорода из анализируемого газа. При этом поглотительный раствор окрашивается в голубой цвет.
Поглотительный раствор возвращают в сосуд Б и подбирают образцовый раствор окраски, одинаковой с окраской раствора в сосуде Б.
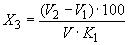
3.5.3. Объемную долю кислорода (X3) в процентах вычисляют по формуле
где
V2 - объем кислорода, соответствующий выбранному образцовому раствору после поглощения кислорода, см3;
V1 - объем кислорода, соответствующий выбранному образцовому раствору до поглощения кислорода, см3;
V - объем пробы газа, равный вместимости сосуда А, см3;
K1 - коэффициент для приведения объема сухого газа к 20 °С и 101,3 кПа (760 мм рт.ст.), указанный в табл.5.
Таблица 5
|
Температура, °С |
Показание барометра, кПа (мм рт.ст.) |
|||||||
|
93,3 (700) |
94,6 (710) |
96,0 (720) |
97,2 (730) |
98,6 (740) |
100,0 (75,0) |
101,3 (760) |
102,6 (770) |
|
|
Коэффициент K1 |
||||||||
|
10 |
0,953 |
0,967 |
0,980 |
0,993 |
1,007 |
1,021 |
1,035 |
1,049 |
|
12 |
0,946 |
0,960 |
0,974 |
0,985 |
1,000 |
1,014 |
1,028 |
1,042 |
|
14 |
0,940 |
0,954 |
0,967 |
0,979 |
0,993 |
1,007 |
1,021 |
1,035 |
|
16 |
0,934 |
0,947 |
0,960 |
0,972 |
0,986 |
1,000 |
1,014 |
1,028 |
|
18 |
0,927 |
0,940 |
0,954 |
0,966 |
0,979 |
0,993 |
1,007 |
1,021 |
|
20 |
0,921 |
0,934 |
0,947 |
0,959 |
0,973 |
0,987 |
1,000 |
1,014 |
|
22 |
0,915 |
0,928 |
0,941 |
0,952 |
0,966 |
0,980 |
0,993 |
1,007 |
|
24 |
0,908 |
0,921 |
0,934 |
0,946 |
0,960 |
0,973 |
0,986 |
1,000 |
|
26 |
0,903 |
0,915 |
0,928 |
0,940 |
0,953 |
0,966 |
0,979 |
0,993 |
|
28 |
0,896 |
0,909 |
0,922 |
0,933 |
0,947 |
0,960 |
0,973 |
0,987 |
|
30 |
0,890 |
0,903 |
0,916 |
0,927 |
0,941 |
0,954 |
0,967 |
0,980 |
|
32 |
0,885 |
0,897 |
0,910 |
0,921 |
0,934 |
0,947 |
0,961 |
0,974 |
|
34 |
0,879 |
0,891 |
0,904 |
0,915 |
0,928 |
0,941 |
0,954 |
0,967 |
|
35 |
0,876 |
0,889 |
0,901 |
0,912 |
0,925 |
0,938 |
0,951 |
0,964 |
За результат анализа принимают среднее арифметическое результатов двух параллельных определений, относительное расхождение между которыми не превышает допускаемое расхождение, равное 15%.
Допускаемая относительная суммарная погрешность результата анализа ±30% при доверительной вероятности P=0,95.
При определении объемной доли кислорода допускается применение метода газо-адсорбционной хроматографии по п.3.3 с использованием аргона в качестве газа-носителя. При этом для градуировки хроматографа используют градуировочные смеси кислорода от 0,01 до 0,05%, не менее трех смесей.
3.5-3.5.3. (Измененная редакция, Изм. N 3).
3.6-3.6.4. (Исключены, Изм. N 3).
3.7-3.7.4. (Исключены, Изм. N 1).
3.7а. Определение объемной доли метана и двуокиси углерода
3.7а.1. Аппаратура, материалы и реактивы
Хроматограф с пламенно-ионизационным детектором, с порогом чувствительности по пропану не выше 2,5-10-8 мг/с.
Реактор-трубка из нержавеющей стали диаметром от 3 до 10 мм, длиной 200-300 мм, наполненная катализатором, помещенная в печь, рассчитанную на нагревание до температуры 500 °С.
Вспомогательное оборудование для хроматографического анализа по п.3.3.1.
Азот газообразный по ГОСТ 9293, особой чистоты, дополнительно очищенный от двуокиси углерода и углеводородов до объемной доли не более 0,00005% по каждой примеси.
Гелий газообразный очищенный с объемной долей двуокиси углерода и углеводородов не более 0,00005% по каждой примеси.
Водород технический по ГОСТ 3022, марок А или Б, дополнительно очищенный от двуокиси углерода и углеводородов до объемной доли не более 0,00005% по каждой примеси (по п.3.9.2).
Воздух сжатый по ГОСТ 17433, класс загрязненности не выше 2-го.
Метан газообразный чистый с объемной долей основного вещества не менее 99,6%.
Двуокись углерода газообразная по ГОСТ 8050.
Полисорб-1, порапак Q или хромосорб - 102.
Никель азотнокислый по ГОСТ 4055, раствор с массовой долей 5-10%.
силикагель технический по ГОСТ 3956, марки КСМ, фракция с размером частиц 0,5-1 мм.
Ангидрон.
Меди (II) окись по ГОСТ 16539.
Смеси градуировочные метана и двуокиси углерода с криптоном с объемной долей метана или двуокиси углерода от 0,00005 до 0,01%, не менее трех смесей для каждой примеси.
3.7а.2. Подготовка к анализу
3.7а.2.1. Для наполнения газохроматографической колонки высушивают наполнители (полисорб-1, порапак Q, хромосорб-102) при 150 °С в течение 10 ч в токе сухого инертного газа, охлаждают в эксикаторе и быстро наполняют колонку.
Катализатор для наполнения реактора готовят следующим образом: высушивают силикагель при 150-180 °С в течение 4-х ч в сушильном шкафу, помещают в фарфоровую чашку и заливают раствором азотнокислого никеля в соотношении 3 объема раствора на 1 объем силикагеля. Избыток раствора выпаривают. Массу прокаливают при 800 °С до прекращения выделения окислов азота, затем охлаждают, наполняют реактор, присоединяют его к хроматографу и восстанавливают азотнокислый никель до металлического никеля в токе водорода (расход 60 см/мин) при 500 °С в течение 4-х ч.
Дополнительная очистка гелия - по п.3.9.2. Тем же способом производится очистка водорода. Дополнительная очистка азота - окисью меди при 700-750 °С с последующим удалением влаги и двуокиси углерода в двух колонках, первая из которых наполнена ангидроном, вторая - синтетическими цеолитами.
3.7а.2.2. Градуировка хроматографа
Градуировку хроматографической установки (черт.2а) производят методом абсолютной градуировки, используя для этого градуировочные смеси. В реакторе, присоединенном с помощью тройника к газохроматографической колонке (на выходе газа), двуокись углерода гидрируется водородом при 450-500 °С до метана; пик метана фиксируется пламенно-ионизационным детектором.
1 - баллон с анализируемым газом; 2 - баллон с газом-носителем; 3 - редуктор баллона; 4 - вентиль тонкой регулировки; 5 - дозатор; 6 - газохроматографическая колонка; 7 - реактор; 8 - детектор пламенно-ионизационный; 9 - измерительный прибор
Черт.2а*
________________
* Черт 2, 3, 4 - исключены.
По хроматограммам градуировочных смесей строят градуировочные графики зависимости высоты или площади пика примеси, приведенных к чувствительности регистратора M1, в миллиметрах или квадратных миллиметрах, от объемной доли примеси в процентах. По результатам градуировки вычисляют градуировочный коэффициент K по формуле, указанной в п.3.3.2.2.
Условия градуировки. Температура газохроматографической колонки 40 °С; расход: газа-носителя гелия 20 см3/мин, азота 60-70 см3/мин, водорода 30-40 см3/мин, воздуха 150-200 см3/мин; доза градуировочной смеси 1-2 см3. Чувствительность регистратора устанавливают опытным путем в зависимости от состава градуировочной смеси и типа хроматографа.
Градуировку хроматографа допускается производить методом экспоненциального разбавления (см. приложение 3).
3.7а-3.7а.2.2. (Измененная редакция, Изм. N 1, 3).
3.7а.3. Проведение анализа
Пробу анализируемого газа вводят в хроматограф с помощью дозатора. Температура газохроматографической колонки и реактора, расходы газов-носителей, водорода и воздуха, доза анализируемого газа должны быть идентичны принятым при градуировке прибора. Чувствительность регистратора выбирают такой, чтобы пики определяемых примесей были максимальными в пределах диаграммной ленты регистратора.
3.7а.4. Обработка результатов
Объемную долю метана (X4) и двуокиси углерода (X5) в процентах определяют по градуировочному графику по высоте пиков метана, присутствующего в анализируемом газе и образующегося при гидрировании двуокиси углерода, приведенных к чувствительности регистратора M1 или вычисляют по формуле, приведенной в п.3.3.4.
За результат анализа принимают среднее арифметическое результатов двух параллельных определений, относительное расхождение между которыми не превышает допускаемое расхождение, равное 15%.
Допускаемая относительная суммарная погрешность результата анализа ±30% при доверительной вероятности P=0,95.
(Измененная редакция, Изм. N 1, 3).
3.8-3.8.3. (Исключены, Изм. N 3).
3.9. Определение объемной доли ксенона, азота, кислорода, метана и двуокиси углерода
Объемную долю ксенона, азота, кислорода, метана и двуокиси углерода определяют газо-адсорбционным хроматографическим методом с применением хроматографа с высокочувствительным детектором с порогом чувствительности по каждой определяемой примеси не выше 1·10-5% (объемн.).
3.9.1. Аппаратура, материалы и реактивы
Хроматограф с высокочувствительным детектором - гелиевым ионизационным, аргоновым разрядным или детектором по теплопроводности.
Вспомогательное оборудование по п.3.3.1.
Азот газообразный и жидкий по ГОСТ 9293.
Ангидрон.
Ацетон по ГОСТ 2603.
Гелий газообразный, с объемной долей гелия не менее 99,995%.
Полисорб-1 или порапак Q.
Цеолиты синтетические CaA, фракция с частицами размером 0,25-0,35 мм.
Спирт этиловый ректификованный технический по ГОСТ 18300.
Двуокись углерода газообразная по ГОСТ 8050.
Смеси градуировочные метана, двуокиси углерода, ксенона, азота и кислорода с криптоном в диапазоне объемных долей:
метана - от 0,00005 до 0,01%;
двуокиси углерода - от 0,00005 до 0,01%;
ксенона - от 0,001 до 0,005%, от 1 до 10%;
азота - от 0,001 до 0,4%;
кислорода - от 0,0001 до 0,05%,
не менее трех смесей каждого вида.
Кислород газообразный технический по ГОСТ 5583.
Ксенон по ГОСТ 10219.
Метан газообразный чистый с объемной долей основного вещества не менее 99,6%.
Аргон газообразный с объемной долей аргона не менее 99,9995%.
3.9.2. Подготовка к анализу
Хроматографические колонки промывают последовательно ацетоном и спиртом и сушат в течение 4 ч при 120 °С в токе гелия.
Отсеивают фракцию цеолита синтетического размером 0,25-0,35 мм, освобождают ее от пыли отдувкой гелием в течение 4 ч, сушат при 300 °С в течение 6 ч под вакуумом, затем прокаливают при 460 °С в течение 24 ч в токе гелия при расходе 60 см3/мин. Не прекращая тока гелия, охлаждают адсорбент в течение 8 ч и наполняют им хроматографическую колонку. Укрепляют колонку в хроматографе и дополнительно прокаливают адсорбент в токе гелия при 400 °С в течение 24 ч. Полисорб-1 (или порапак) просушивают при 180 °С в течение 10 ч в токе гелия (расход 60 см3/мин) после наполнения в колонку.
При использовании хроматографа с гелиевым ионизационным детектором или детектором по теплопроводности применяют в качестве газа-носителя гелий, дополнительно очищенный в двух колонках, первая из которых наполнена ангидроном, вторая - высушенным и прокаленным синтетическим цеолитом. Вторая колонка охлаждается жидким азотом. При использовании хроматографа с аргоновым разрядным детектором применяют в качестве газа-носителя аргон с объемной долей аргона не менее 99,9995%.
Градуировку хроматографа проводят методом абсолютной градуировки согласно инструкции по эксплуатации прибора, используя для этого градуировочные смеси.
Градуировку хроматографа допускается проводить методом экспоненциального разбавления с помощью колбы-мешалки, в которую вводят дозу газа-примеси и газ-разбавитель (см. приложение 3).
Из колбы-мешалки смесь поступает в дозатор хроматографа. Записывают хроматограмму градуировочной смеси при расходе газа-носителя 50-60 см3/мин и комнатной температуре. Строят градуировочный график зависимости высоты или площади пика примеси, приведенной к масштабу М1, в миллиметрах или квадратных миллиметрах, от ее объемной доли в процентах.
3.9-3.9.2. (Измененная редакция, Изм. N 1, 3).
3.9.3. Проведение анализа
Пробу анализируемого газа вводят в хроматограф с помощью дозатора. Записывают хроматограмму в условиях, идентичных принятым при градуировке. На колонке, наполненной цеолитами синтетическими, разделяются Кислород, азот, криптон, ксенон, метан; на колонке, наполненной полисорбом-1, - двуокись углерода, ксенон, метан.
3.9.4. Обработка результатов
Объемную долю ксенона, азота, кислорода, метана и двуокиси углерода определяют по градуировочным графикам по высоте или площади пиков указанных компонентов на хроматограмме анализируемого газа, приведенных к масштабу М1.
За результат анализа принимают среднее арифметическое результатов двух параллельных определений, относительное расхождение между которыми не превышает допускаемое расхождение, равное 15%.
Допускаемая относительная суммарная погрешность результата анализа ±25% при доверительной вероятности P=0,95.
(Измененная редакция, Изм. N 1, 3).
3.10. Определение объемной доли водяного пара
3.10.1. Аппаратура
Влагомеры газов кулонометрические, рассчитанные на измерение микроконцентраций водяного пара с относительной погрешностью не выше 10% в области измерений от 0 до 20 млн-1 (ppm) и не выше 5% при более высоких концентрациях.
3.10.2. Проведение анализа
Кулонометрический метод основан на непрерывном количественном извлечении водяного пара из испытуемого газа гигроскопичным веществом и одновременном электролитическом разложении извлекаемой воды на водород и Кислород, при этом ток электролиза является мерой концентрации водяного пара.
Прибор соединяют с точкой отбора трубкой из нержавеющей стали.
Расход газа устанавливают (50±1) см3/мин. Переключатель диапазонов измерения устанавливают так, чтобы показания прибора были в пределах второй трети измерительной шкалы, градуированной в миллионных долях (ppm). Ток электролиза измеряется микроамперметром.
Температура баллона с анализируемым газом должна быть не ниже 15 °С. Анализ проводят по инструкции, прилагаемой к прибору.
3.10.3. Обработка результатов
Объемную долю водяного пара (X3), млн-1, определяют в соответствии с установившимися показаниями прибора.
(Измененная редакция, Изм. N 3).
3.11. При определении объемной доли ксенона, азота, кислорода, метана и двуокиси углерода допускается применение других хроматографов с высокочувствительными детекторами и других методик, обеспечивающих метрологические характеристики, приведенные в пп.3.3, 3.7а, 3.9.
(Введен дополнительно, Изм. N 3).
4. УПАКОВКА, МАРКИРОВКА, ТРАНСПОРТИРОВАНИЕ И ХРАНЕНИЕ
4.1. Упаковка, маркировка, транспортирование и хранение криптона и криптоноксеноновой смеси - по ГОСТ 26460, при этом:
номинальное давление криптона при 20 °С - не менее 9,8 МПа (100 кгс/см2): давление измеряют манометром по ГОСТ 2405 класса не ниже 1,5;
баллоны, наполняемые криптоном и криптоноксеноновой смесью, должны быть снабжены мембранными вентилями типа КВ-1М или КВБ-53 с латунными или стальными заглушками.
(Измененная редакция, Изм. N 3).
5. ГАРАНТИИ ИЗГОТОВИТЕЛЯ
5.1. Изготовитель гарантирует соответствие качества криптона и криптоноксеноновой смеси требованиям настоящего стандарта при соблюдении потребителем условий хранения и транспортирования.
(Измененная редакция, Изм. N 3).
5.2. Гарантийный срок хранения криптона и криптоноксеноновой смеси - 18 мес со дня изготовления продукта.
(Измененная редакция, Изм. N 1).
6. ТРЕБОВАНИЯ БЕЗОПАСНОСТИ
6.1. Криптон и криптоноксеноновая смесь нетоксичны и невзрывоопасны.
6.2. Криптон и криптоноксеноновая смесь тяжелее воздуха примерно в 3 раза. Накопление этих тяжелых инертных газов в слабопроветриваемых помещениях у пола и в приямках может вызвать явления кислородной недостаточности. В местах возможного накопления криптона и криптоноксеноновой смеси необходимо контролировать объемную долю кислорода, которая не должна быть ниже 19%.
6.3. Условия производства и потребления криптона и криптоноксеноновой смеси должны соответствовать правилам безопасности при производстве и потреблении продуктов разделения воздуха ПБПРВ-88, утвержденным Госгортехнадзором.
(Измененная редакция, Изм. N 3).
ПРИЛОЖЕНИЕ 1 (справочное). ПРИГОТОВЛЕНИЕ ГРАДУИРОВОЧНЫХ ГАЗОВЫХ СМЕСЕЙ
ПРИЛОЖЕНИЕ 1
Справочное
Образцовые смеси криптона с ксеноном, азотом, кислородом, метаном, двуокисью углерода готовят объемно-манометрическим способом, при этом смеси с меньшей концентрацией готовят путем последовательного разведения более концентрированной исходной смеси. Для приготовления градуировочных смесей используют криптон высокой чистоты с объемной долей дозируемой примеси, не превышающей 0,1 от абсолютной величины, нормируемой стандартом.
Установка для приготовления смеси дана на черт.1. Основные части установки - откалиброванная пипетка 7 вместимостью 1-2 мл с двумя трехходовыми кранами, предназначенная для отбора определенного объема газа-примеси, мерный сосуд 11 вместимостью около 1 л для смеси и ртутный манометр 5 для измерения давления смеси в сосуде 11. Ловушка 13, наполненная активированным углем, погружена в сосуд Дьюара с жидким азотом и используется для вакуумирования установки. Вместо ловушки может использоваться вакуумный насос, обеспечивающий разрежение до 0,01 мм рт.ст.
1 - баллон с газом-примесью; 2, 4 - редуцирующие вентили; 3 - баллон с газом-основой; 5 - ртутный манометр;
6 - тройник; 7 - откалиброванная пипетка вместимостью 1-2 см3 с двумя трехходовыми кранами;
8 - кран одноходовой; 9 - стакан с водой; 10, 12 - трехходовые краны; 11 - мерный сосуд для смеси
вместимостью около 1 л; 13 - ловушка с активированным углем; 14 - сосуд Дьюара с жидким азотом
Черт.1
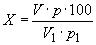
Вакуумируют установку при закрытых вентилях 2 и 4 до остаточного давления, равного нулю по показаниям ртутного манометра, путем адсорбции газов активированным углем при температуре жидкого азота.
Вводят в установку газ-основу до атмосферного давления и вновь вакуумируют установку.
Заполняют пипетку газом-примесью до атмосферного давления, затем засасывают газ из пипетки в вакуумированный мерный сосуд для смеси. Остаток газа-примеси вымывают из пипетки и коммуникаций и перемещают в сосуд потоком газа-основы, который вводят в сосуд до давления 1200-1250 мм рт.ст. Измеряют давление газа в сосуде ртутным манометром.
Объемную долю газа-примеси в исходной смеси (X) в процентах вычисляют по формуле
где V - объем пипетки, см3;
p - давление газа-примеси в пипетке, равное атмосферному давлению, мм рт.ст.;
V1 - вместимость мерного сосуда, см3;
p1 - давление смеси в мерном сосуде, мм рт.ст.
Смесь выдерживают в сосуде в течение 20-25 мин для выравнивания состава, затем отбирают в хроматограф для градуировки.
Последовательным разведением исходной смеси готовят 5-6 смесей с меньшей концентрацией газа-примеси. Для этого после отбора смеси из мерного сосуда в хроматограф сбрасывают избыточное давление в сосуде до атмосферного и вновь вводят газ-основу до давления 1200-1250 мм рт.ст.
Объемную долю газа-примеси в разбавленных смесях (Xn) в процентах вычисляют по формуле
где n - порядковый номер смеси;
Xn-1 - объемная доля газа-примеси в разбавляемой смеси, %;
pn-1 - давление смеси в мерном сосуде до разбавления, равное атмосферному давлению, мм рт.ст.;
pn - давление смеси в мерном сосуде после разбавления, мм рт.ст.
ПРИЛОЖЕНИЕ 1. (Измененная редакция, Изм. N 1, 3).
ПРИЛОЖЕНИЕ 2 (справочное). РАСЧЕТ КОЛИЧЕСТВА ГАЗА В БАЛЛОНЕ
ПРИЛОЖЕНИЕ 2
Справочное
Количество в баллоне криптона и криптоноксеноновой смеси определяют взвешиванием баллона до и после наполнения с погрешностью ±0,05% (для баллонов малой вместимости) и ±0,1% (для баллонов средней вместимости) с последующим пересчетом массового количества газа в м3 при нормальных условиях (20 °С и 101,3 кПа) по формуле
где Vn - объем газа при нормальных условиях, м3;
m, m1 - масса баллона до и после наполнения, кг;
p - плотность газа при 20 °С и 101,3 кПа, кг/м3.
Плотность криптоноксеноновой смеси вычисляют по формуле
где X1 - объемная доля криптона, %;
X2 - объемная доля ксенона, %;
3,49 и 5,49 - плотности криптона и ксенона при 20 °С и 101,3 кПа, кг/м3.
ПРИЛОЖЕНИЕ 3 (справочное). ГРАДУИРОВКА ХРОМАТОГРАФА МЕТОДОМ ЭКСПОНЕНЦИАЛЬНОГО РАЗБАВЛЕНИЯ
ПРИЛОЖЕНИЕ 3
Справочное
Метод градуировки основан на применении специального смесительного сосуда: колбы-мешалки. В сосуд вводят известный объем газа-примеси и затем продувают его с постоянной скоростью газом-разбавителем - основным компонентом смеси. Объемная доля примеси в смеси, отбираемой из сосуда, может быть рассчитана как функция времени по формуле (1)
или 
где C - объемная доля примеси в сосуде в момент времени t, % (или млн-1);
C0 - объемная доля примеси в сосуде в начальный момент времени, %, (или млн-1);
U - расход газа через смесительный сосуд, см3/мин;
t - время отбора пробы из сосуда, мин;
V - объем газа в смесительном сосуде, см3, приведенный к атмосферному давлению по формуле
где V0 - вместимость смесительного сосуда, см3;
P1 - атмосферное давление, кПа;
P2 - избыточное давление в смесительном сосуде и кране-дозаторе хроматографа, кПа.
Объемную долю примеси (C0) в процентах рассчитывают по формуле (2)
или в млн-1 по формуле
,
где v - объем газа-примеси, введенный в смесительный сосуд, см3.
2. Установка для приготовления смеси (черт.1).
1 - баллон с газом-носителем; 2 - редуктор; 3 - ловушки для дополнительной очистки газа-носителя;
4 - кран-дозатор хроматографа; 5 - газохроматографическая колонка; 6 - детектор;
7 - смесительный сосуд; 8 - баллон с газом-разбавителем; A - линия ввода газа-примеси
Черт.1
Газ-разбавитель из баллона через вентиль тонкой регулировки подается в смесительный сосуд, куда вводится с помощью шприца газ-примесь. Из смесительного сосуда смесь поступает в кран-дозатор хроматографа, откуда вводится в газохроматографическую колонку; выходные сигналы детектора регистрируются потенциометром.
Смесительный сосуд представляет собой стеклянную колбу вместимостью 300-400 см3, во внутреннем объеме которой размещена мешалка, приводимая в движение с помощью вращающегося магнита. Вместимость сосуда определяется взвешиванием с водой с точностью до 0,1 г.
Газ-примесь вводится через резиновую мембрану, укрепленную на специальном отростке в верхней части колбы. Газ-разбавитель подается в колбу с рекомендуемым расходом от 20 до 80 см3/мин. Газовая смесь отводится из нижней части колбы.
3. Градуировка хроматографа
Присоединяют смесительный сосуд к хроматографу и продувают его газом-разбавителем до постоянной величины пиков примесей на хроматограмме газа.
Устанавливают постоянный расход газа-разбавителя и измеряют его не менее пяти раз.
Вводят в сосуд 1-2 см3 газа-примеси и одновременно включают секундомер.
Через определенные промежутки времени смесь из сосуда вводят в хроматограф до постоянной величины пика примеси на хроматограмме смеси.
Вновь измеряют не менее пяти раз расход газа-разбавителя и вычисляют среднее значение расхода газа-разбавителя из замеров, выполненных до и после градуировки.
Измеряют высоту (площадь) пиков газа-примеси на полученных хроматограммах. Вычисляют объемные доли примеси в пробах смеси, соответствующих каждому пику, по формулам 1 и 2, используя в расчетах среднее значение расхода градуировочной смеси.
Полученные данные используют для построения градуировочного графика - зависимости высоты (площади) пика примеси от ее объемной доли в градуировочной смеси. При построении графика учитывают высоту (площадь) пика примеси в газе-разбавителе.
ПРИЛОЖЕНИЕ 3. (Введено дополнительно, Изм. N 1).
официальное издание
М.: ИПК Издательство стандартов, 1997