Новости Нефтегазовая пром.
Выставки Наука и технология


Эфир метиловый метакриловой кислоты ГОСТ 20370-74

Эфир метиловый метакриловой кислоты. Технические условия (с Изменениями N 1, 2, 3, с Поправкой) ГОСТ 20370-74


ГОСТ 20370-74

Группа Л21

ГОСУДАРСТВЕННЫЙ СТАНДАРТ СОЮЗА ССР

ЭФИР МЕТИЛОВЫЙ МЕТАКРИЛОВОЙ КИСЛОТЫ

Технические условия

Methyl methacrylate. Specifications

ОКП 24 3513 0100 04

Срок действия с 01.07.76
до 01.01.95*
_______________________________
* Ограничение срока действия снято
по протоколу N 4-93 Межгосударственного Совета 
по стандартизации, метрологии и сертификации 
(ИУС N 4, 1994 год). - Примечание изготовителя базы данных.

ИНФОРМАЦИОННЫЕ ДАННЫЕ

1. РАЗРАБОТАН И ВНЕСЕН Министерством химической промышленности СССР

ИСПОЛНИТЕЛИ

Н.Н.Трофимов, В.В.Лепилина, В.И.Афанасьева, Т.В.Вихрова, А.Н.Костюченко

2. УТВЕРЖДЕН И ВВЕДЕН В ДЕЙСТВИЕ Постановлением Государственного комитета СССР по стандартам от 19.12.74 N 2759

3. ВЗАМЕН ГОСТ 16505-70 и ГОСТ 5.713-70

4. ССЫЛОЧНЫЕ НОРМАТИВНО-ТЕХНИЧЕСКИЕ ДОКУМЕНТЫ

Обозначение НТД, на который дана ссылка

Номер пункта, приложения

ГОСТ 12.1.007-76

2.1

ГОСТ 61-75

Приложение

ГОСТ 83-79

Приложение

ГОСТ 427-75

3.10.1

ГОСТ 1770-74

Приложение

ГОСТ 2603-79

3.10.1

ГОСТ 3022-80

3.10.1

ГОСТ 4197-74

Приложение

ГОСТ 4204-77

Приложение

ГОСТ 4328-77

Приложение

ГОСТ 4919.1-77

3.9.1

ГОСТ 5072-79

3.10.1

ГОСТ 5825-70

Приложение

ГОСТ 6552-80

3.10.1

ГОСТ 6709-72-->ГОСТ 6709-72

Приложение

ГОСТ 6995-77

7.10.1

ГОСТ 9293-74

3.10.1

ГОСТ 12138-76

Приложение

ГОСТ 14192-77

4.2, 4.3, 4.5

ГОСТ 14871-76

3.4.1

ГОСТ 17366-80

4.1

ГОСТ 17433-80

3.10.1

ГОСТ 18300-87

3.9.1

ГОСТ 19433-88

4.4

ГОСТ 20015-88

3.10.1

ГОСТ 20292-74

3.9.1

ГОСТ 20370-74

3.10.1

ГОСТ 21029-75

4.1

ГОСТ 24104-88

3.10.1

ГОСТ 24363-80

3.9.1

ГОСТ 25336-82

3.9.1

ГОСТ 26319-84

4.1

ГОСТ 49191-77

3.9.1

ГОСТ 12.1.007-76

2а.2

ГОСТ 18995.1-73

2.1

5. СРОК ДЕЙСТВИЯ ПРОДЛЕН ДО 01.01.95 Постановлением Госстандарта СССР от 27.06.89 N 2085

6. ПЕРЕИЗДАНИЕ (июнь 1989 г.) с Изменениями N 1, 2, 3, утвержденными в январе 1985 г., феврале 1986 г., июне 1989 г. (ИУС 3-85, 6-86, 11-89)

ВНЕСЕНА поправка, опубликованная в ИУС N 11, 2004 год

Поправка внесена изготовителем базы данных

Настоящий стандарт распространяется на метиловый эфир метакриловой кислоты (метилметакрилат), представляющий собой бесцветную прозрачную жидкость с характерным эфирным запахом. Метилметакрилат предназначен для применения в производстве органического стекла, синтетических смол, латексов, эмульсий и других продуктов.

Настоящий стандарт устанавливает требования к метилметакрилату, изготовленному для нужд народного хозяйства и для поставки на экспорт.

Формулы: эмпирическая  C5H8O2

                            


Молекулярная масса (по международным атомным массам 1969 г.) - 100,11.

(Измененная редакция, Изм. N 1, 3).

1. ТЕХНИЧЕСКИЕ ТРЕБОВАНИЯ

1.1а. Технический метилметакрилат должен быть изготовлен в соответствии с требованиями настоящего стандарта по технологическому регламенту, утвержденному в установленном порядке.

(Введен дополнительно, Изм. N 1).

1.1. По физико-химическим показателям метилметакрилат должен соответствовать требованиям и нормам, указанным в табл.1.

Таблица 1

Наименование показателя

Норма

1. Внешний вид

Бесцветная прозрачная жидкость

2. Цветность, не более

5

3. Массовая доля основного вещества, %, не менее

99,8

4. Массовая доля воды, %, не более

0,04

5. Плотность при 20 °С, г/см3

0,942±0,003

6. Показатель преломления при 20 °С

1,414±0,001

7. Массовая доля свободных кислот в пересчете на метакриловую кислоту

0,004

8. Массовая доля примесей (ацетона, метанола, метилакрилата, метилизобутирата, этилметакрилата, метил--оксиизобутирата, метилацетата), %, не более

0,15

9. Содержание полимера

Отсутствие помутнения


Примечание. Показатели по подпунктам 5 и 6 таблицы определяют для продукта, поставляемого для производства акриловых смол.

(Измененная редакция, Изм. N 1, 2, 3).

1.2. Метилметакрилат выпускают с ингибитором. Ингибитор указывают при заказе. В качестве ингибиторов применяют 0,0003-0,0005% дифенилолпропана или 0,05-0,07% гидрохинона. Допускается по соглашению с потребителем в качестве ингибитора применять 0,002% параметоксифенола.

Методы определения массовой доли ингибиторов указаны в рекомендуемом приложении.

Метилметакрилат, ингибированный дифенилолпропаном или параметоксифенолом, должен быть проверен на отсутствие гидрохинона по п.2 приложения настоящего стандарта.

(Измененная редакция, Изм. N 1, 3).

2а. ТРЕБОВАНИЯ БЕЗОПАСНОСТИ

2а.1. Метилметакрилат - легко воспламеняющаяся жидкость.

Температура кипения 100,6-101,1 °С.

Температура вспышки в закрытом тигле 8 °С.

Температура самовоспламенения 460 °С.

Пары эфира с воздухом образуют взрывоопасные смеси (категория взрывоопасной смеси I, группа Б). Область воспламенения паров в воздухе 1,5-11,6% (по объему).

Температурные пределы воспламенения паров в воздухе: нижний 2 °С, верхний 43 °С.

2а.2. Метилметакрилат может вызывать острое профессиональное отравление и хроническую профессиональную интоксикацию. Предельно допускаемая концентрация (ПДК) паров метилметакрилата в воздухе рабочей зоны составляет 10 мг/м3.

По степени воздействия на организм метилметакрилат отнесен к третьему классу опасности по ГОСТ 12.1.007-76.

2а.1, 2а.2. (Введены дополнительно, Изм. N 1).

2а.3. Все работы, связанные с производством и переработкой метилметакрилата, проводят в производственных помещениях с общеобменной приточно-вытяжной вентиляцией. Технологическое оборудование, которое может выделять вредные вещества, оборудуют местными вытяжными системами.

Все работающие с метилметакрилатом должны быть обеспечены специальной одеждой и фильтрующим противогазом марки БКФ.

2а.4. При возникновении пожара необходимо использовать огнетушители ОП-5, ОВП-100, кошму, песок, асбестовое полотно. Метилметакрилат, разлитый на твердый грунт, следует засыпать песком.

2а.3, 2а.4. (Измененная редакция, Изм. N 3).

2. ПРАВИЛА ПРИЕМКИ

2.1. Метилметакрилат принимают партиями. Партией считают количество однородного по своим качественным показателям метилметакрилата, но не более 5 т, сопровождаемое одним документом о качестве.

При отгрузке метилметакрилата в цистернах каждую цистерну считают партией.

(Измененная редакция, Изм. N 1).

2.2. В документе о качестве должно быть указано:

наименование предприятия-изготовителя и его товарный знак;

наименование продукта и ингибитора;

номер партии;

количество мест в партии;

дата изготовления продукта;

масса нетто партии;

результаты проведенного анализа;

обозначение настоящего стандарта.

(Измененная редакция, Изм. N 1, 3).

2.3. Для проверки качества продукта пробы отбирают в равных количествах от 30% единиц упаковки, но не менее чем от трех, если партия состоит менее чем из 10 упаковочных единиц.

При отгрузке продукта в цистернах пробы отбирают от каждой цистерны.

(Измененная редакция, Изм. N 2).

2.4. При получении неудовлетворительных результатов анализа хотя бы по одному из показателей проводят повторный анализ удвоенного количества проб, взятых от той же партии. Результаты повторного анализа распространяются на всю партию.

3. МЕТОДЫ АНАЛИЗА

3.1. Точечные пробы отбирают при помощи открытого стеклянного дрота, медленно опуская его до дна бочки. Из цистерн точечные пробы отбирают при помощи пробоотборника из нержавеющей стали или алюминия равными частями сверху, из середины и снизу цистерны.

3.2. Отобранные точечные пробы соединяют вместе, полученную объединенную пробу тщательно перемешивают и не менее 0,5 дм3 средней пробы помещают в чистую сухую склянку с притертой пробкой. На склянку наклеивают этикетку с обозначениями: наименования продукта, даты изготовления, номера партии, даты и места отбора пробы.

Перед каждым анализом среднюю пробу тщательно перемешивают.

3.3. Внешний вид определяют визуально. Для этого анализируемый метилметакрилат наливают в пробирку П1-14-120 ХС ГОСТ 25336-82. Высота слоя продукта должна быть 50-60 мм. Продукт просматривают в проходящем свете на молочном фоне перпендикулярно продольной оси пробирки. Расстояние между фоном и пробиркой должно быть 20-25 мм.

Продукт соответствует требованиям настоящего стандарта, если при визуальном осмотре невооруженным глазом не наблюдается наличие взвешенных частиц (кроме единичных волокон).

(Измененная редакция, Изм. N 1).

3.4. Определение цветности

3.4.1. Определение проводят по платинокобальтовой шкале фотометрированием (ГОСТ 14871-76).

Оптическую плотность раствора сравнения по отношению к дистиллированной воде измеряют на фотоэлектроколориметре в кюветах с толщиной поглощающего свет слоя 50 мм при длине волны 364 нм.

По полученным данным строят график, откладывая по оси абсцисс показатели цветности растворов сравнения, а по оси ординат - соответствующие им значения оптической плотности.

3.4.2. Оптическую плотность анализируемого метилметакрилата измеряют при тех же условиях, при этом анализируемый продукт помещают в сухую кювету.

Пользуясь графиком, определяют показатель цветности анализируемого метилметакрилата.

3.5. Определение массовой доли основного вещества

Массовую долю основного вещества (X) в процентах вычисляют по формуле где Xв - массовая доля воды, определяемая по п.3.6, %;
X1 - массовая доля свободных кислот в пересчете на метакриловую кислоту, определяемая по п.3.9, %;

X2 - массовая доля суммы примесей, определяемых по п.3.10, %.

(Измененная редакция, Изм. N 3).

3.6. Массовую долю воды определяют по ГОСТ 14870-77 электрометрическим титрованием

3.7. Плотность определяют по ГОСТ 18995.1-73, разд.1.

3.8. Показатель преломления определяют по ГОСТ 18995.2-73

3.9. Определение массовой доли свободных кислот в пересчете на метакриловую кислоту

3.9.1. Реактивы, растворы и посуда

Калия гидроокись по ГОСТ 24363-80, х.ч. или ч.д.а., спиртовой раствор концентрации c(KOH)=0,05 моль/дм3 (0,05 н).
Спирт этиловый ректификованный технический по ГОСТ 18300-87 высшего сорта.

Бромтимоловый синий (индикатор), спиртовой раствор с массовой долей 0,1%, готовят по ГОСТ 4919.1-77.

Бюретка 6-2-2, 6-2-5 или 7-2-3 по ГОСТ 20292-74*.
________________
* На территории Российской Федерации действуют ГОСТ 29169-91, ГОСТ 29227-91-ГОСТ 29229-91, ГОСТ 29251-91-ГОСТ 29253-91, здесь и далее по тексту. - Примечание изготовителя базы данных.


Пипетка 2-2-50 по ГОСТ 20292-74.

Колба Кн-2-250-34 ТХС по ГОСТ 25336-82.

Капельница 2-50ХС по ГОСТ 25336-82:

3.9.2. Проведение анализа

В коническую колбу пипеткой приливают 50 см3 метилметакрилата, прибавляют из капельницы 2-6 капель спиртового раствора индикатора бромтимолового синего и титруют из бюретки спиртовым раствором гидроокиси калия до серо-зеленой окраски.

3.9.3. Обработка результатов

Массовую долю свободных кислот в пересчете на метакриловую кислоту (X1) в процентах вычисляют по формуле где V - объем раствора гидроокиси калия концентрации точно 0,05 моль/дм3, израсходованный на титрование, см3;
p - плотность анализируемого метилметакрилата, г/см3;

0,0043 - масса метакриловой кислоты, соответствующая 1 см3 раствора гидроокиси калия концентрации точно 0,05 моль/дм3, г.

За результат анализа принимают среднее арифметическое результатов двух параллельных определений, допускаемое расхождение между которыми при доверительной вероятности P=0,95 не должно превышать 0,0005%.

Допускаемая абсолютная суммарная погрешность результата анализа ±0,0004% при доверительной вероятности P=0,95.

Результаты параллельных определений округляют до десятитысячных долей процента, результаты анализа округляют до тысячных долей процента.

Допускается проводить процесс титрования с помощью автоматических титрометров, применяя в качестве рабочего электрода стеклянный электрод.

3.10. Определение массовой доли примесей (метанола, ацетона+метилацетата, метилакрилата, метилизобутирата, метилметакрилата, этилметакрилата, метил--оксиизобутирата)

3.10.1. Аппаратура, материалы, реактивы

Хроматограф газовый серии "Цвет 100" с пламенно-ионизационным детектором.

Колонка разделительная из нержавеющей стали или стекла диаметром 3-4 мм и длиной до 2 м (из комплекта хроматографа).

Весы лабораторные общего назначения по ГОСТ 24104-88* 2-го класса точности с наибольшим пределом взвешивания 200 г.
______________
* На территории Российской Федерации действует ГОСТ Р 53228-2008, здесь и далее по тексту. - Примечание изготовителя базы данных.


Секундомер СОП пр-2а-3-221 по ГОСТ 5072-79.

Микрошприц 10 мкл.

Линейка длиной 300 мм по ГОСТ 427-75.

Спирт этиловый ректификованный по ГОСТ 18300-87 высшего сорта.

Шприц медицинский типа "Рекорд" вместимостью 1-2 см3.

Колба мерная 2-50-2 по ГОСТ 1770-74.

Флакон пенициллиновый вместимостью до 20 см3.

Пробка резиновая для флакона.

Электропечь муфельная лабораторная типа МП-2У.

Неподвижная фаза-диоктилсебацинат (октойль), ч.

Твердый носитель хроматон N-AW с размерами зерен 0,16-0,20 мм или другой носитель, обеспечивающий определение примесей с величиной допускаемого расхождения, указанной в п.3.10.4.

Метилакрилат.

Этилметакрилат.

Метил-a-оксиизобутират.

Винилацетат, ч.

Ацетон по ГОСТ 2603-79, ч.д.а.

Хлороформ по ГОСТ 20015-88.

метанол по ГОСТ 6995-77, х.ч.

Метилацетат, ч., для хроматографии х.ч.

Метилизобутират, х.ч.

Кислота ортофосфорная по ГОСТ 6552-80, х.ч.

Азот газообразный по ГОСТ 9293-74.

Водород технический по ГОСТ 3022-80, марка А.

Воздух сжатый для питания контрольно-измерительных приборов, класс загрязненности по ГОСТ 17433-80.

Допускается применение аппаратуры и посуды с метрологическими характеристиками не ниже указанных в настоящем стандарте.

3.10.2. Подготовка к анализу

Приготовление сорбента

Хроматон-N-AW прокаливают при 1050-1100 °С в муфельной печи в течение 4 ч. Фосфорную кислоту (0,8% от массы хроматона) растворяют в метаноле и полученным раствором заливают носитель. метанол медленно выпаривают любым способом при осторожном перемешивании.

На обработанный ортофосфорной кислотой хроматон-N-AW наносят подобным образом 20%-ный диоктилсебацинат из раствора хлороформа. метанол и хлороформ берут в объемах, равных 1,5 объема носителя.

Приготовление колонки

Приготовленным сорбентом заполняют колонку и устанавливают в хроматограф, не присоединяя к детектору. Затем колонку кондиционируют при температуре 100 °С не менее 8 ч при расходе азота 20 см3/мин.

Включение и подготовку хроматографа к испытанию проводят согласно инструкции по эксплуатации прибора.

Определение относительных коэффициентов чувствительности

Коэффициенты чувствительности определяют методом добавок с введением внутреннего эталона.

В мерную колбу вместимостью 50 см3 помещают 47 г метилметакрилата и закрывают колбу силиконовой пробкой (от испарителя хроматографа). Добавляют шприцем "внутренний эталон" (винилацетат) в количестве 0,03-0,1% от навески метилметакрилата, прокалывая пробку. Хорошо перемешивают и снимают не менее двух хроматограмм.

Колбу после этого взвешивают и добавляют (не открывая колбы) все анализируемые компоненты в таких количествах, чтобы высоты пиков увеличились в 2-3 раза по сравнению с их высотами до добавки.

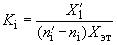
Коэффициент чувствительности (Ki) вычисляют по формуле где n`i - отношение высоты пика определяемой примеси к высоте пика "внутреннего эталона" после введения добавки;
ni - отношение высоты пика определяемой примеси к высоте пика "внутреннего эталона" до введения добавки;

Xэт - массовая доля "внутреннего эталона", %;

X`i - массовая доля добавки определяемой примеси, %.

За коэффициент чувствительности для каждой примеси принимают среднее арифметическое результатов двух определений, допускаемое относительное расхождение между которыми не превышает 10%.

Проверку относительных коэффициентов чувствительности проводят один раз в месяц по двум компонентам (метилизобутирату и метил--оксиизобутирату) и по всем компонентам после смены сорбента.

3.10.3. Проведение анализа

В пенициллиновый флакон с самоуплотняющейся пробкой помещают 8-10 г метилметакрилата и, проколов пробку, добавляют "внутренний эталон" в количестве 0,03-0,1% от массы метилметакрилата.

Допускается применение другой посуды с самоуплотняющейся пробкой и взятие навесок до 50 г. После перемешивания 0,4-0,6 мкл вводят в испаритель хроматографа и хроматографируют при следующих условиях:

температура колонки

80-90 °С;

температура испарителя

140-160 °С;

расход газа-носителя азота

30-35 см3/мин;

шкала прибора по току

50-100·10А;

скорость диаграммной ленты

200-600 мм/ч;


расход водорода и воздуха в соответствии с инструкцией к прибору.

Допускается проводить испытания с другим газом-носителем и другим расходом, не меняющим точность определения.

Типовая хроматограмма органических примесей в метилметакрилате приведена на чертеже.

Типовая хроматограмма примесей в метилметакрилате


1 - метанол; 2 - Ацетон+метилацетат; 3 - винилацетат ("внутренний эталон"); 4 - метилакрилат; 5 - метилизобутират; 6 - метилметакрилат; 7 - этилметакрилат; 8 - метил-a-оксиизобутират

3.10.4. Обработка результатов

Измеряют линейкой высоты пиков анализируемых компонентов и "внутреннего эталона".

Массовую долю каждой примеси (Xi) вычисляют по формуле где hi - высота пика определяемой примеси, мм;
hэт - высота пика "внутреннего эталона", мм;

Ki - коэффициент чувствительности определяемой примеси;

Xэт - массовая доля "внутреннего эталона", %.

Массовую долю суммы примесей в процентах вычисляют по формуле где Xi - массовая доля каждой примеси, %.
За результат анализа принимают среднее арифметическое результатов двух параллельных определений, относительное расхождение между которыми не превышает 15%.

Вычисление проводят с точностью до третьего десятичного знака, результат анализа округляют до второго десятичного знака.

Допускаемая относительная суммарная погрешность результата анализа ±7% при доверительной вероятности P=0,95.

3.9-3.10.4. (Измененная редакция, Изм. N 3).

3.11. Определение содержания полимера

3.11.1. Применяемые реактивы и растворы:

метанол-яд по ГОСТ 6995-77, 75%-ный водный раствор;

Вода дистиллированная по ГОСТ 6709-72-->ГОСТ 6709-72.

3.11.2. Проведение анализа

В сухую колбу вместимостью 100 см3 помещают 25 см3 анализируемого метилметакрилата, прибавляют 25 см3 раствора метанола и перемешивают, при этом не должно наблюдаться появления мути.

4. УПАКОВКА, МАРКИРОВКА, ТРАНСПОРТИРОВАНИЕ И ХРАНЕНИЕ

4.1. Метилметакрилат заливают в стальные бочки типа I по ГОСТ 17366-80 вместимостью 275 дм3, алюминиевые бочки БА1 275 по ГОСТ 21029-75 и автоцистерны с верхним сливом (грузоотправителя-грузополучателя).

Под пробку бочек и крышки люков цистерн ставят прокладки из паронита и герметично закрывают.

Коэффициент заполнения бочек - 0,9.

Цистерны и бочки с метилметакрилатом должны быть опломбированы пломбой изготовителя.

Упаковка для продукта, предназначенного для экспорта, должна соответствовать требованиям ГОСТ 26319-84.

4.2. Транспортная маркировка - по ГОСТ 14192-77* с нанесением манипуляционного знака "Боится нагрева", с обозначением знаков опасности груза по ГОСТ 19433-88 (класс 3, подкласс 3.2, черт.3, классификационный шифр 3252), надписи "Метилметакрилат ингибированный" и серийного номера ООН-1247.
_______________
* На территории Российской Федерации действует ГОСТ 14192-96, здесь и далее по тексту. - Примечание изготовителя базы данных. 

Маркировка продукции, упакованной в бочки, должна содержать:

товарный знак и (или) наименование предприятия-изготовителя или его условное обозначение;

наименование продукта;

номер партии;

массу нетто и брутто;

дату изготовления;

обозначение настоящего стандарта.

4.3. Транспортная маркировка метилметакрилата, предназначенного для экспорта, осуществляется в соответствии с требованиями ГОСТ 14192-77.

4.4. Метилметакрилат транспортируют автомобильным и железнодорожным транспортом в крытых транспортных средствах в соответствии с правилами перевозки грузов, действующими на данном виде транспорта.

Продукт наливом в железнодорожных цистернах с верхним сливом (потребителя-изготовителя) транспортируют в соответствии с правилами перевозки грузов по железным дорогам СССР.

Расчет степени (уровня) заполнения цистерн проводят с учетом полного использования их вместимости (грузоподъемности) и объемного расширения продукта при возможном перепаде температуры в пути следования.

По железной дороге метилметакрилат в бочках транспортируют повагонными отправками.

4.5. Метилметакрилат хранят в герметично закрываемой алюминиевой и стальной таре, защищенной от воздействия солнечных лучей и атмосферных осадков, в огнебезопасных помещениях при температуре не выше 25 °С. С повышением температуры повышается вероятность полимеризации продукта.

Разд.4. (Измененная редакция, Изм. N 3).

5. ГАРАНТИИ ИЗГОТОВИТЕЛЯ

5.1. Изготовитель гарантирует соответствие метилметакрилата требованиям настоящего стандарта при соблюдении условий транспортирования и хранения.

(Измененная редакция, Изм. N 1).

5.2. Гарантийный срок хранения метилметакрилата, ингибированного дифенилолпропаном, - два месяца, ингибированного гидрохиноном и параметоксифенолом - три месяца со дня изготовления.

(Измененная редакция, Изм. N 1, 3).

Разд.6. (Исключен, Изм. N 1).

ПРИЛОЖЕНИЕ (рекомендуемое). МЕТОДЫ ОПРЕДЕЛЕНИЯ МАССОВОЙ ДОЛИ ИНГИБИТОРОВ

ПРИЛОЖЕНИЕ
Рекомендуемое

1. Определение массовой доли дифенилолпропана

1.1. Применяемые реактивы, растворы, приборы и посуда:

Натрий азотистокислый по ГОСТ 4197-74, х.ч. или ч.д.а., раствор, содержащий 7,5 г азотистокислого натрия в 1 дм3 раствора;

Натрий углекислый по ГОСТ 83-79, х.ч. или ч.д.а., 15%-ный раствор;

натрия гидроокись по ГОСТ 4328-77, х.ч. или ч.д.а., 1%-ный раствор;

кислота серная по ГОСТ 4204-77, х.ч. или ч.д.а., плотностью 1,830-1,835 г/см3; 5 и 20%-ный растворы;

метилметакрилат, не содержащий ингибитора;

дифенилолпропан технический по ГОСТ 12138-76*, 1-й сорт, раствор с концентрацией 0,1 мг/см3 дифенилолпропана готовят следующим образом: 0,5 г дифенилолпропана взвешивают с погрешностью не более 0,0002 г, растворяют в метилметакрилате в мерной колбе вместимостью 100 см3, доводят объем раствора в колбе метилметакрилатом до метки и тщательно перемешивают. Полученный раствор точно разбавляют метилметакрилатом в 50 раз;
______________
* На территории Российской Федерации действует ГОСТ 12138-86. - Примечание изготовителя базы данных.

4-нитроанилин технический, марка А; раствор готовят следующим образом: 0,69 г 4-нитроанилина растворяют в 155 см3 5%-ного раствора серной кислоты в мерной колбе вместимостью 1 дм3, затем разбавляют водой до 900 см3, прибавляют 10 см3 серной кислоты плотностью 1,830-1,835 г/см3 и доводят объем раствора водой до метки;

раствор соли диазония, готовят следующим образом: к 25 см3 раствора 4-нитроанилина прибавляют 5 см3 раствора азотистокислого натрия (раствор готовят непосредственно перед использованием);

фотоэлектроколориметр;

воронка ВД-1-100 ХС по ГОСТ 25336-82;

пипетки 1-2-2, 2-2-2, 2-2-25, 6-2-5, 6-2-25 по ГОСТ 20292-74;

колбы 1-50-2, 1-100-2, 1-1000-2 по ГОСТ 1770-74.

1.2. Подготовка к анализу

Готовят растворы сравнения. Для этого в мерные колбы вместимостью 50 см3 помещают пипеткой 0,5; 1,0; 1,5; 2,0; 2,5 и 3,5 см3 раствора с концентрацией 0,1 мг/см3 дифенилолпропана, доводят объем раствора в каждой колбе до метки метилметакрилатом и тщательно перемешивают. Концентрация дифенилолпропана в колбах будет равна соответственно 0,001; 0,002; 0,003; 0,004; 0,005 и 0,007 мг/см3.

В делительные воронки вместимостью 50 см3 помещают по 25 см3 приготовленных растворов, затем в каждую воронку прибавляют 5 см3 раствора гидроокиси натрия, закрывают пробкой и содержимое каждой воронки сильно встряхивают в течение 2-3 мин для извлечения дифенилолпропана. Содержимое воронок оставляют в покое, и когда нижний слой станет совершенно прозрачным, его осторожно сливают в мерные колбы вместимостью 50 см3. Экстрагирование повторяют четыре раза, собирая экстракт в те же мерные колбы.

Полученный щелочный раствор в каждой колбе нейтрализуют 20%-ным раствором серной кислоты до pH 6-8 по универсальной индикаторной бумаге. После этого в каждую колбу прибавляют 2 см3 раствора соли диазония, 2 см3 раствора углекислого натрия, объем раствора доводят до метки водой и тщательно перемешивают.

Через 10 мин после прибавления раствора углекислого натрия измеряют оптическую плотность приготовленных растворов по отношению к контрольному раствору на фотоэлектроколориметре в кюветах с толщиной поглощающего свет слоя 30 мм при длине волны 400 нм.

Контрольный раствор готовят смешиванием 2 см3 раствора углекислого натрия, 2 см3 раствора соли диазония и 46 см3 воды.

Строят градуировочный график, откладывая по оси абсцисс количество дифенилолпропана в миллиграммах, содержащееся в 25 см3 раствора сравнения, а по оси ординат - соответствующее им значение оптической плотности.

1.3. Проведение анализа

15-25 см3 (в зависимости от массовой доли дифенилолпропана) анализируемого метилметакрилата помещают в делительную воронку вместимостью 50 см3, прибавляют 5 смраствора гидроокиси натрия, закрывают пробкой и содержимое воронки сильно встряхивают в течение 2-3 мин для извлечения дифенилолпропана. Содержимое воронки оставляют в покое, и когда нижний слой станет совершенно прозрачным, его осторожно сливают в мерные колбы вместимостью 50 см3. Экстрагирование повторяют четыре раза, собирая экстракт в ту же мерную колбу. Далее определение проводят, как указано в п.1.2.

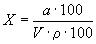
1.4. Обработка результатов

Массовую долю дифенилолпропана (X) в процентах вычисляют по формуле где a - масса дифенилолпропана, найденная по градуировочному графику, мг;
V - объем метилметакрилата, взятый для анализа, см3;

p - плотность анализируемого метилметакрилата, определяемая по ГОСТ 18995.1-73, разд.1, г/см3.

За результат анализа принимают среднее арифметическое двух параллельных определений, допускаемые расхождения между которыми при доверительной вероятности P=0,95 не должны превышать 0,00008%.

2. Определение массовой доли гидрохинона

2.1. Реактивы, растворы, посуда

натрия гидроокись по ГОСТ 4328-77, х.ч., 10%-ный раствор;

кислота серная по ГОСТ 4204-77, ч.д.а., плотностью 1,830-1,835 г/см3 и раствор в соотношении 1:1;

дифениламин по ГОСТ 5825-70, 1%-ный раствор в серной кислоте, плотностью 1,830-1,835 г/см3;

церий сернокислый окисный раствор концентрации c[Ce(SO4)2·4H2O]=0,01 моль/дм3 (0,01 н.), готовят по ГОСТ 25794.2-83 или церий-Аммоний сернокислый раствор концентрации c[Се(SO4)2·(NH4)2SO4]=0,01 моль/дм3 (0,01 н.), готовят следующим образом: 4,2 г сернокислого окисного церия или 6,5 г сернокислого церия-аммония взвешивают с погрешностью не более 0,01 г, растворяют в 1 дм3 воды, содержащей 30 см3 серной кислоты плотностью 1,830-1,835 г/см3, и тщательно перемешивают;

Вода дистиллированная по ГОСТ 6709-72-->ГОСТ 6709-72;

бюретка 3-2-50 по ГОСТ 20292-74;

пипетка 2-2-5 по ГОСТ 20292-74.

2.2. Качественное определение гидрохинона

В колбу вместимостью 50 см3 помещают 20 см3 анализируемого метилметакрилата, прибавляют 2 см3 раствора гидроокиси натрия и содержимое колбы перемешивают. После отстаивания нижний водный слой должен иметь буровато-красную окраску, при отсутствии гидрохинона должен оставаться бесцветным, при наличии следов гидрохинона должен быть слабо окрашен в желтоватый цвет.

2.3. Количественное определение гидрохинона

В коническую колбу вместимостью 150 см3 помещают 5 см3 анализируемого метилметакрилата, прибавляют 50 см3 воды, 5 см3 раствора серной кислоты, 3 капли раствора дифениламина и содержимое колбы титруют раствором окисного сернокислого церия или сернокислого церия-аммония до сиренево-фиолетовой окраски.

Массовую долю гидрохинона (X1) в процентах вычисляют по формуле где V - объем раствора окисного сернокислого церия концентрации точно c 0,01 моль/дм3 или раствора сернокислого церия-аммония концентрации точно 0,01 моль/дм3, израсходованный на титрование, см3;
p - плотность анализируемого метилметакрилата, определяемая по ГОСТ 18995.1-73, разд.1, г/см3;

0,00055 - масса гидрохинона, соответствующая 1 см3, раствора окисного сернокислого церия концентрации точно c 0,01 моль/дм3 или раствора сернокислого церия-аммония концентрации точно 0,01 моль/дм3, г.

За результат анализа принимают среднее арифметическое двух параллельных определений, допускаемые расхождения между которыми при доверительной вероятности P=0,95 не должны превышать 0,001%.

3. Определение массовой доли параметоксифенола

3.1. Применяемые реактивы, растворы и приборы:

Натрий азотистокислый по ГОСТ 4197-74, насыщенный раствор;

кислота уксусная по ГОСТ 61-75, х.ч., ледяная;

метилметакрилат, не содержащий ингибитора;

параметоксифенол с температурой плавления не выше 52 °С, 20%-ный раствор в метилметакрилате;

Вода дистиллированная по ГОСТ 6709-72-->ГОСТ 6709-72;

фотоэлектроколориметр типа ФЭК-56 М;

колбы 1-100-2 по ГОСТ 1770-74;

колбы Кн-1-100-29/32 ТХС по ГОСТ 25336-82;

пипетки 2-2-5, 2-2-10, 2-2-20 по ГОСТ 20292-74.

3.2. Подготовка к анализу

В мерную колбу помещают 0,1000 г параметоксифенола, добавляют до метки метилметакрилат, не содержащий ингибитора и тщательно перемешивают (раствор А), 10 см3 раствора А помещают в мерную колбу и добавляют до метки метилметакрилат, не содержащий ингибитора (раствор Б).

В четыре мерные колбы пипетками помещают 5, 10, 20 и 30 см3 раствора Б и добавляют до метки метилметакрилат. Получают растворы сравнения с массовой долей параметоксифенола 0,00047; 0,00094; 0,00188 и 0,00282%.

В каждую из четырех конических колб помещают 15 см3 одного из растворов сравнения, добавляют 15 см3 уксусной кислоты, 3 капли раствора азотистокислого натрия, взбалтывают, выдерживают 15 мин и измеряют оптическую плотность по отношению к дистиллированной воде на фотоэлектроколориметре в кюветах с толщиной поглощающего свет слоя 20 мм при длине волны 420 нм. По полученным данным строят градуировочный график, откладывая на оси абсцисс массовую долю параметоксифенола в процентах, а по оси ординат - соответствующее ей значение оптической плотности.

3.3. Проведение анализа

В коническую колбу помещают 15 см3 анализируемого метилметакрилата, 15 см3 уксусной кислоты и 3 капли раствора азотистокислого натрия, взбалтывают, выдерживают 15 мин и измеряют оптическую плотность по отношению к дистиллированной воде на фотоэлектроколориметре в кюветах с толщиной поглощающего свет слоя 20 мм при длине волны 420 нм.

По полученной оптической плотности, пользуясь градуировочным графиком, определяют массовую долю параметоксифенола.

За результат анализа принимают среднее арифметическое двух параллельных определений, допускаемые расхождения между которыми при доверительной вероятности P=0,95 не должны превышать 0,0005%.



официальное издание
М.: Издательство стандартов, 1989