Новости Нефтегазовая пром.
Выставки Наука и технология


Дифенилолпропан технический ГОСТ 12138-86

Дифенилолпропан технический. Технические условия (с Изменением N 1) ГОСТ 12138-86


ГОСТ 12138-86

Группа Л21

     
     
МЕЖГОСУДАРСТВЕННЫЙ СТАНДАРТ

     
     
ДИФЕНИЛОЛПРОПАН ТЕХНИЧЕСКИЙ

     
Технические условия

     
Diphenylolpropane for industrial use. Specifications



OКП 24 2351

Дата введения 1988-01-01

     
     
ИНФОРМАЦИОННЫЕ ДАННЫЕ

1. РАЗРАБОТАН И ВНЕСЕН Министерством нефтеперерабатывающей и нефтехимической промышленности СССР

РАЗРАБОТЧИКИ

Х.Е.Хчеян, П.С.Чекрий, Л.С.Советова, З.Н.Верховская, Н.Ф.Егорова, И.Ф.Даровских, А.Д.Романова

2. УТВЕРЖДЕН И ВВЕДЕН В ДЕЙСТВИЕ Постановлением Государственного комитета СССР по стандартам от 19.12.86 N 4122

3. ВЗАМЕН ГОСТ 12138-76

4. ССЫЛОЧНЫЕ НОРМАТИВНО-ТЕХНИЧЕСКИЕ ДОКУМЕНТЫ

Обозначение НТД, на который дана ссылка

Номер пункта, подпункта

ГОСТ 12.1.007-76

2.1

ГОСТ 12.4.011-89

2.2

ГОСТ 166-89

4.7.1

ГОСТ 199-78

4.6.1

ГОСТ 427-75

4.7.1

ГОСТ 450-77

4.5.1, 4.6.1

ГОСТ 1770-74

4.6.1

ГОСТ 2226-88

5.1

ГОСТ 2517-85

3.2, 4.1

ГОСТ 2603-79

4.7.1

ГОСТ 3022-80

4.7.1

ГОСТ 3118-77

4.6.1, 4.7.1

ГОСТ 3760-79

4.6.1

ГОСТ 4212-76

4.6.1

ГОСТ 4233-77

4.7.1

ГОСТ 4478-78

4.6.1

ГОСТ 5456-79

4.6.1

ГОСТ 6563-75

4.5.1, 4.6.1

ГОСТ 6709-72-->ГОСТ 6709-72

4.6.1

ГОСТ 8682-93

4.4.1

ГОСТ 9147-80

4.5.1, 4.6.1, 4.7.1

ГОСТ 9293-74

4.7.1

ГОСТ 9557-87

5.5

ГОСТ 10354-82

5.1

ГОСТ 10587-93

1.1

ГОСТ 14192-96

5.3

ГОСТ 14870-77

4.8

ГОСТ 14871-76

4.4

ГОСТ 16337-77

5.1

ГОСТ 17811-78

5.1

ГОСТ 18300-87

4.4.1, 4.6.1, 4.7.1

ГОСТ 18995.5-73

4.3

ГОСТ 19360-74

5.1

ГОСТ 19433-88

5.2, 5.3

ГОСТ 19668-74

5.1

ГОСТ 19908-90

4.5.1, 4.6.1

ГОСТ 21650-76

5.5

ГОСТ 23519-93

4.7.1

ГОСТ 25336-82

4.4.1, 4.5.1, 4.6.1, 4.7.1

ГОСТ 25951-83

5.1

ГОСТ 25706-83

4.7.1

ГОСТ 26380-84

5.1

ГОСТ 26381-84

5.5

ГОСТ 28498-90

4.5.1, 4.6.1

ТУ 3-3.1766-82

4.6.1

ТУ 3-3.1860-85

4.6.1

ТУ 3-3.2164-89

4.6.1

ТУ 16-87ИФМР.675000.006

4.6.1

5. Ограничение срока действия снято по протоколу N 4-93 Межгосударственного Совета по стандартизации, метрологии и сертификации (ИУС 4-94)

6. ПЕРЕИЗДАНИЕ (январь 1999 г.) с Изменением N 1, утвержденным в июне 1989 г. (ИУС 9-89)

Настоящий стандарт распространяется на технический дифенилолпропан, получаемый методом конденсации фенола с ацетоном в присутствии различных катализаторов, предназначенный для производства поликарбонатов, полисульфонов, эпоксидных смол, лаков, клеев и других продуктов.

Формулы:

эмпирическая   C15H16O2

структурная

Молекулярная масса (по международным атомным массам 1971 г.) - 228,29.

(Измененная редакция, Изм. N 1).

1. ТЕХНИЧЕСКИЕ ТРЕБОВАНИЯ

1.1. Технический дифенилолпропан выпускают трех марок: А, Б и В.

А - предназначается для получения поликарбонатов и полисульфонов и эпоксидных смол высшего сорта;

Б - для эпоксидных смол и лаков;

В 1-го сорта - для эпоксидных смол, лаков, клеев и других продуктов;

В 2-го сорта - для эпоксидных смол (кроме смол по ГОСТ 10587*) клеев и других продуктов.
______________
* На территории Российской Федерации действует ГОСТ 10587-84 (указатель "Национальные стандарты", 2007 год), здесь и далее по тексту.


(Измененная редакция, Изм. N 1).

1.2. Дефенилолпропан должен быть изготовлен в соответствии с требованиями настоящего стандарта по технологическому регламенту, утвержденному в установленном порядке.

1.3. По химическим и физико-химическим показателям технический дифенилолпропан должен соответствовать требованиям и нормам, указанным в таблице.

Наименование показателя

Норма для марки

Метод анализа

А

Б

В

ОКП 24
2351 0130

ОКП 24
2351 0140

1-й сорт

2-й сорт

ОКП 24
2351 0153

ОКП 24
2351 0154

1. Внешний вид

Сыпучий продукт в виде кристаллов, чешуек 
или гранул

По п.4.2

2.Температура кристаллизации, °С, не ниже

156,5

156,4

155,0

154,0

По п.4.3

3. Цветность расплава, единицы платиново-кобальтовой шкалы, не более

40

Не определяют

По п.4.4

4. Цветность раствора в этиловом спирте, единицы платиново-кобальтовой шкалы, не более

30

60

50

100

По п.4.4

5. Массовая доля остатка после прокаливания, %, не более

0,002

0,005

0,005

0,005

По п.4.5

6. Массовая доля железа, %, не более

0,0001

0,0005

0,0002

0,0005

По п.4.6

7. Массовая доля фенола, %, не более

0,02

0,05

0,06

0,25

По п.4.7

8. Массовая доля воды, %, не более

0,2

0,2

0,2

0,3

По п.4.8


Примечание. До 01.07.88 в продукте марки В температура кристаллизации допускается не ниже 154,5 °С, массовая доля фенола - не более 0,1%.

(Измененная редакция, Изм. N 1).

2. ТРЕБОВАНИЯ БЕЗОПАСНОСТИ

2.1. Дифенилолпропан по степени воздействия на организм относится к веществам 3-го класса опасности (умеренно опасные вещества) по ГОСТ 12.1.007.

Предельно допустимая концентрация (ПДК) дифенилолпропана в воздухе рабочей зоны - 5 мг/м3.

При превышении ПДК дифенилолпропан вызывает раздражение слизистых оболочек глаз, верхних дыхательных путей, при попадании на кожу и длительном воздействии - дерматиты.

Расплавленный дифенилолпропан при попадании на кожу или слизистую оболочку вызывает ожоги.

2.2. При работе с дифенилолпропаном применяемые средства индивидуальной защиты должны соответствовать требованиям ГОСТ 12.4.011.

2.3. Дифенилолпропан горюч. Температура плавления 157 °С, температура кипения 190 °С при давлении 133,322 Па (1 мм рт.ст.); при температуре 360 °С и давлении 101325 Па (760 мм рт.ст.) кипит с разложением.

Температура вспышки в открытом тигле 217 °С, температура воспламенения 242 °С, температура самовоспламенения 507 °С.

Взвешенная в воздухе пыль взрывоопасна. Осевшая пыль пожароопасна.

2.4. Помещения, в которых проводят работы с дифенилолпропаном, должны быть оборудованы приточно-вытяжной вентиляцией. В производственных условиях должна быть предусмотрена герметизация производственных процессов. Электрооборудование и освещение должны быть во взрывобезопасном исполнении.

При упаковывании и транспортировании, при загрузке продукта в реакторы необходимо соблюдать правила защиты от статического электричества в химической, нефтехимической и нефтеперерабатывающей промышленности.

2.5. Средства пожаротушения: распыленная Вода со смачивателем, углекислый газ, воздушно-механическая пена на основе пенообразователей ПО-1Д, ПО-ЗАИ, "САМПО" с оптимальной интенсивностью подачи пены 0,3 дм3·м-2·с-1, а также песок, кошма и другие.

2.6. Контроль воздушной среды производственных помещений осуществляют с помощью газоанализаторов. Определение дифенилолпропана основано на получении азокрасителя при реакции с диазотированной сульфаниловой кислотой в щелочной среде. Чувствительность метода - 2 мкг в пробе.

3. ПРАВИЛА ПРИЕМКИ

3.1. Дифенилолпропан принимают партиями. Партией считают любое количество продукта, но не более суточной выработки, однородного по показателям качества и сопровождаемого документом о качестве.

Документ должен содержать:

наименование предприятия-изготовителя или его товарный знак;

наименование продукта и марку;

номер партии и количество мест в партии;

дату изготовления;

массу нетто и брутто;

результаты анализов;

обозначение настоящего стандарта.

3.2. Объем выборки для проверки качества дифенилолпропана - по ГОСТ 2517. Допускается у изготовителя отбирать пробы от продукта, находящегося в движении до упаковывания, не менее двух раз в смену.

(Измененная редакция, Изм. N 1).

3.2а. Массовую долю остатка после прокаливания и массовую долю железа определяют по требованию потребителя, при этом массовую долю остатка после прокаливания - не реже одного раза в 3 мес; массовую долю железа - не реже одного раза в месяц. В дифенилолпропане марки А, предназначенном для поликарбонатов, массовую долю остатка после прокаливания и массовую долю железа определяют в каждой партии.

(Введен дополнительно, Изм. N 1).

3.3. При получении неудовлетворительных результатов анализа хотя бы по одному из показателей по нему проводят повторный анализ пробы, вновь отобранной от удвоенного количества упаковочных единиц.

Результаты повторного анализа распространяются на всю партию.

4. МЕТОДЫ АНАЛИЗА

4.1. Отбор проб

Пробы отбирают по ГОСТ 2517 от упакованного продукта - щупом любой конструкции, а от продукта, находящегося в движении до упаковывания, - пробоотборником типа совка или черпака. Пробоотборники должны быть изготовлены из коррозионностойкого материала.

Масса объединенной пробы должна быть не менее 1 кг. Пробу помещают в полиэтиленовый мешок или стеклянную банку с крышкой.

(Измененная редакция, Изм. N 1).

4.1а. При проведении контроля качества дифенилолпропана допускается использовать посуду, приборы, аппаратуру с аналогичными техническими и метрологическими характеристиками, обеспечивающими указанную точность измерения, а также применять реактивы, выпускаемые по другой нормативно-технической документации, по качеству не ниже указанных в настоящем стандарте.

(Введен дополнительно, Изм. N 1).

4.2. Определение внешнего вида

Внешний вид продукта определяют визуально.

4.3. Определение температуры кристаллизации

Температуру кристаллизации дифенилолпропана определяют по ГОСТ 18995.5 в приборе, состоящем из двух пробирок. При этом допускается применять прибор с наружной пробиркой диаметром до (40±2) мм, пробу расплавлять непосредственно во внутренней пробирке. Температура кристаллизации зависит от наличия высококипящих примесей (см. приложение) и фенола.

Для измерения температуры кристаллизации применяют термометры с укороченной шкалой с пределами измерения 155,5-157 °С и ценой деления 0,05 °С или термометры типа ТЛ-28 с пределами измерения 125-160 °С и ценой деления 0,1 °С, или типа ТЛ-42 с пределами измерения 151-171 °С и ценой деления 0,1 °С.

Перед проведением анализа пробу дифенилолпропана (15-20 г) тщательно измельчают и высушивают в слое толщиной не более 10 мм при температуре (115±3) °С в течение 4 ч.

В качестве бани для теплоносителя используют стеклянный стакан диаметром не менее 75 мм, высотой (140±10) мм с крышкой. Для определения температуры бани применяют термометры любого типа, позволяющие измерять температуру до 200 °С с ценой деления 1-2 °С.

Допускается применять прибор, схема которого изображена на черт.1а.

Черт.1а. Схема прибора для определения температуры кристаллизации

Схема прибора для определения температуры кристаллизации 


1 - термометр; 2 - впаянная пробирка диаметром (40±2) мм и длиной (120±5) мм (воздушная баня); 
3 - внутренняя пробирка диаметром (21±1) мм, длиной (150±10) мм; 4 - термометр; 5 - мешалка; 
6 - пробки; 7 - стеклянный стакан; 8 - мешалка

Черт.1а



Расплавленную пробу, нагретую на 5-10 °С выше ожидаемой температуры кристаллизации, заливают во внутреннюю пробирку прибора, помещенного в баню с теплоносителем, нагретым на (15±2) °С выше ожидаемой температуры кристаллизации и, поддерживая температуру бани постоянной, перемешивают дифенилолпропан мешалкой до получения однородного расплава. После этого нагревание прекращают, продолжая перемешивать пробу, и наблюдают за изменением температуры. Для этого рекомендуется использовать лупу.

За температуру кристаллизации принимают высшую точность подъема температуры. При применении термометра типа ТЛ-28 обработку результатов проводят по ГОСТ 18995.5.

За результат анализа принимают среднее арифметическое результатов двух параллельных определений, допускаемые расхождения между которыми не должны превышать 0,1 °С при доверительной вероятности P=0,95.

(Измененная редакция, Изм. N 1).

4.4. Определение цветности расплава и раствора дифенилолпропана в этиловом спирте

Определение цветности расплава и раствора дифенилолпропана в этиловом спирте по платиново-кобальтовой шкале проводят по ГОСТ 14871 методом цветовой шкалы визуально.

4.4.1. Приборы, реактивы и посуда

Весы лабораторные технические любого типа с ценой деления не более 0,01 г с наибольшим пределом взвешивания 500 или 1000 г.

Плитка электрическая закрытого типа или глицериновая баня.

Колба коническая из термостойкого стекла по ГОСТ 25336 вместимостью 250 см3.

Колба коническая по ГОСТ 25336 вместимостью 100 см3.

Пробирки П4-50-29/32 ТХС или ХС по ГОСТ 25336. Допускается использовать пробирки, изготовленные из шлифмуфт по ГОСТ 8682.

Спирт этиловый ректификованный технический по ГОСТ 18300.

4.4.2. Подготовка к анализу

Растворы сравнения (цветовую шкалу) наливают в пробирки до уровня 50 мм от основания (соответствует приблизительно 35 см3). Для определения цветности расплав или раствор дифенилолпропана наливают в такую же пробирку до того же уровня, при этом для определения цветности расплава применяют пробирки, изготовленные из термически и химически стойкого стекла (ТХС).

4.4.1, 4.4.2. (Измененная редакция, Изм. N 1).

4.4.3. Проведение анализа

Для определения цветности расплава 50-60 г дифенилолпропана расплавляют в течение 5-10 мин в колбе вместимостью 250 см3 на нагретой электроплитке или глицериновой бане при температуре 170-175 °С, наливают в предварительно нагретую пробирку и немедленно определяют цветность.

Для определения цветности раствора дифенилолпропана в этиловом спирте 25 г дифенилолпропана взвешивают в сухой колбе вместимостью 100 см3 (результаты взвешивания в граммах записывают с точностью до второго десятичного знака) и растворяют в 35 см3 этилового спирта при комнатной температуре, после чего определяют цветность раствора.

4.5. Определение массовой доли остатка после прокаливания

4.5.1. Приборы, реактивы и посуда

Весы лабораторные равноплечие ВЛР-200 или весы аналитические другого типа не ниже 2-го класса точности с ценой деления не более 0,0001 г с наибольшим пределом взвешивания 200 г.

Весы лабораторные технические любого типа с ценой деления не более 0,01 г с наибольшим пределом взвешивания 500 или 1000 г.

Термометр ТЛ-3 1А 6 или ТЛ-3 1А 7 по ГОСТ 28498.

Лампа накаливания электрическая инфракрасная зеркальная типа ИКЗ 127-500 или ИКЗ 220-500.

Плитка электрическая закрытого типа.

Печь муфельная, обеспечивающая нагрев до 600-700 °С.

кальций хлористый по ГОСТ 450, прокаленный.

Эксикатор по ГОСТ 25336, заполненный прокаленным хлористым кальцием или другим осушителем.

Тигель фарфоровый N 5 по ГОСТ 9147 или тигель кварцевый Н-100, или чаша 100, 160 или 200 по ГОСТ 19908, или чашка из платины N 115-5 или N 115-6, или N 117-5, или N 117-6, или N 118-4, или N 118-5 по ГОСТ 6563.

(Измененная редакция, Изм. N 1).

4.5.2. Проведение анализа

50 г дифенилолпропана марки А (или 25 г марок Б, В) помещают в тигель (или платиновую чашку), предварительно доведенный до постоянной массы прокаливанием. При взвешивании тигля результаты взвешивания в граммах записывают с точностью до четвертого десятичного знака, при взвешивании пробы - с точностью до второго десятичного знака. Навеску дифенилолпропана равномерно распределяют по основанию тигля и осторожно озоляют в вытяжном шкафу на электроплитке под электрической инфракрасной зеркальной лампой, помещенной над тиглем на расстоянии 13-15 см. При этом температура, показываемая термометром, укрепленным в непосредственной близости от тигля так, чтобы его ртутный резервуар находился на расстоянии примерно 0,5 см от дна тигля, должна быть не выше 220 °С. После озоления тигель с сухой золой прокаливают в муфельной печи при температуре 550-600 °С до постоянной массы (допускается помещать тигель в муфельную печь при температуре 300-350 °С, которую затем нагревают до температуры 550-600 °С). Перед каждым взвешиванием тигель с остатком охлаждают в эксикаторе. Первое взвешивание проводят после 2-2,5 ч прокаливания в муфельной печи. Результаты взвешивания в граммах записывают с точностью до четвертого десятичного знака.

4.5.3. Обработка результатов

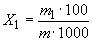
Массовую долю остатка после прокаливания (X) в процентах вычисляют по формуле где m1 - масса остатка после прокаливания, г;

m - масса навески дифенилолпропана, взятая для определения, г.

За результат анализа принимают среднее арифметическое результатов двух параллельных определений, допускаемые расхождения между которыми не должны превышать 50% для марки А и 30% для марок Б и В относительно среднего значения при доверительной вероятности P=0,95.

4.6. Определение массовой доли железа

4.6.1. Приборы, реактивы, растворы, посуда

Колориметр фотоэлектрический типа ФЭК-56М по ТУ 3-3.1766, ТУ 3-3.1860, ТУ 3-3.2164 или КФК или другой марки со светофильтрами, имеющими максимум пропускания при длине волны в диапазоне =410-434 нм и =490-540 нм и кюветами с толщиной поглощающего свет слоя 50 мм.
Весы лабораторные технические любого типа с ценой деления не более 0,01 г с наибольшим пределом взвешивания 500 или 1000 г.

Весы лабораторные равноплечие ВЛР-200 или весы аналитические другого типа не ниже 2-го класса точности с ценой деления не более 0,0001 г с наибольшим пределом взвешивания 200 г.

Печь муфельная, обеспечивающая нагрев до 550-600 °С.

Термометр ТЛ-3 1А 6 или ТЛ-3 1А 7 по ГОСТ 28498.

Лампа накаливания электрическая инфракрасная зеркальная типа ИКЗ 127-500 или ИКЗ 220-500 по ТУ 16-87 ИФМР.675000.006.

Плитка электрическая закрытого типа.

кислота соляная по ГОСТ 3118, х.ч.

Кислота сульфосалициловая по ГОСТ 4478, водный раствор с массовой долей 10%.

2,2'-Дипиридил, спиртовой раствор с массовой долей 0,5%.

Спирт этиловый ректификованный технический по ГОСТ 18300, первый сорт.

Гидроксиламина гидрохлорид по ГОСТ 5456, раствор с массовой долей 10%.

аммиак водный по ГОСТ 3760.

Раствор железа (Fe, III) готовят по ГОСТ 4212. Из этого раствора соответствующим разбавлением готовят раствор А концентрации 0,005 мг железа в 1 см3 (раствор А применяют свежеприготовленным).

Вода дистиллированная по ГОСТ 6709.

кальций хлористый технический по ГОСТ 450, прокаленный.

Натрий уксуснокислый 3-водный по ГОСТ 199, раствор с массовой долей 30%.

Бумага индикаторная.

Тигель фарфоровый N 5 по ГОСТ 9147, тигель кварцевый Н-100 или чаша 100, 160 или 200 по ГОСТ 19908, или тигель высокий из платины N 100-12 по ГОСТ 6563.

Эксикатор по ГОСТ 25336, заполненный прокаленным хлористым кальцием или другим осушителем.

Колбы 1-50-2 или 2-50-2 по ГОСТ 1770.

Пипетки 6-1-5 (или 6-2-5), 2-1-25 (или 2-2-25), 1-1-1 (или 1-2-1), 1-1-2 (или 1-2-2) или 4-1-1 (4-2-1), 5-1-1 (5-2-1), 4-1-2 (4-2-2), 5-1-2 (5-2-2), 6-1-10 (6-2-10), 2-1-10 (2-2-10) по НТД.

Воронки стеклянные В ХС по ГОСТ 25336.

Цилиндр 1 (3)-25 по ГОСТ 1770.

4.6.2. Проведение анализа

25-30 г дифенилолпропана марки А (или 5-7 г марки Б или 10-15 г марки В) помещают во взвешенный тигель, равномерно распределяют его по основанию тигля и снова взвешивают. Результаты взвешивания в граммах записывают с точностью до второго десятичного знака. Затем в вытяжном шкафу дифенилолпропан озоляют, как указано в п.4.5.2. После озоления тигель с сухой золой прокаливают в муфельной печи при температуре 550-600 °С в течение 2,5-3,0 ч. Для определения массовой доли железа допускается использовать остаток после прокаливания, полученный по п.4.5.2. Золу тщательно растворяют при нагревании до кипения в 12 см3 концентрированной соляной кислоты, добавляя ее в три приема порциями по 4 см3. Стенки тигля каждый раз омывают кипящей кислотой с помощью стеклянной палочки. Растворы переносят в мерную колбу вместимостью 50 см3. Тигель несколько раз промывают водой при нагревании. Промывные воды собирают в ту же колбу. Общий объем раствора (раствор Б) должен быть не более 26 см3. Затем в растворе Б определяют массовую долю железа сульфосалициловым или 2,2'-дипиридиловым методом. При возникновении разногласий в оценке массовой доли железа определение проводят сульфосалициловым методом.

При использовании остатка после прокаливания (см. п.4.5.2) объем раствора в мерной колбе доводят до метки дистиллированной водой и для определения массовой доли железа отбирают 25 см3 полученного раствора дифенилолпропана марки А или В (или 10-15 см3 для марки Б).

Оптическая плотность окрашенных растворов во всех случаях не должна превышать 0,5.

4.6.1, 4.6.2. (Измененная редакция, Изм. N 1).

4.6.2.1. Сульфосалициловый метод

4.6.2.1.1. Построение градуировочного графика

В мерные колбы помещают 1, 2, 4, 6, 8, 10 см3 раствора А, добавляют по 12 см3 соляной кислоты, доводят объемы растворов водой до 26 см3 и перемешивают. В каждый раствор прибавляют по 5 см3 раствора сульфосалициловой кислоты и по каплям водного аммиака до появления устойчивой желтой окраски. Одновременно в тех же условиях и в той же последовательности готовят контрольный раствор, не содержащий железа. К растворам приливают воду до метки и через 10 мин измеряют оптическую плотность полученных растворов сравнения по отношению к контрольному раствору при длине волны от 410 до 434 нм.

По полученным данным строят градуировочный график.

4.6.2.1.2. Проведение анализа

В колбу с раствором Б помещают 5 см3 раствора сульфосалициловой кислоты и перемешивают. Затем по каплям добавляют водный аммиак до появления желтой окраски, доводят объем раствора водой до метки, снова перемешивают и через 10 мин измеряют оптическую плотность окрашенного раствора по отношению к контрольному раствору. Определив значение оптической плотности, находят массу железа в анализируемой пробе дифенилолпропана по градуировочному графику.

4.6.2.2. 2,2'-Дипиридиловый метод

4.6.2.2.1. Построение градуировочного графика

В мерные колбы помещают 1, 2, 4, 6, 8, 10 см3 раствора А, добавляют по 12 см3 соляной кислоты, доводят объемы растворов водой до 26 см3 и перемешивают. В каждый раствор добавляют по каплям водный аммиак до значения pH2. Затем добавляют 5 см3 раствора гидрохлорида гидроксиламина, перемешивают, через 2 мин прибавляют 5 см3 раствора 2,2'-дипиридила и по каплям раствор уксуснокислого натрия до значения pH от 3 до 4. Одновременно, в тех же условиях, готовят контрольный раствор, не содержащий железа. Растворы доводят водой до метки, перемешивают. Через 30 мин измеряют оптическую плотность растворов сравнения по отношению к контрольному раствору при длине волны от 490 до 540 нм. По полученным данным строят градуировочный график.

(Измененная редакция, Изм. N 1).

4.6.2.2.2. Проведение анализа

В колбу с раствором Б прибавляют по каплям водный аммиак до значения pH2. Затем добавляют 5 см3 раствора гидрохлорида гидроксиламина, перемешивают, через 2 мин прибавляют 5 см3 раствора 2,2'-дипиридила и по каплям раствор уксуснокислого натрия до значения pH от 3 до 4. Объем раствора доводят водой до метки, перемешивают и через 30 мин измеряют оптическую плотность по отношению к контрольному раствору. Массу железа в анализируемой пробе находят по градуировочному графику.

4.6.3. Обработка результатов

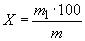
Массовую долю железа (X1) в процентах вычисляют по формуле где m1 - масса железа, найденная по градуировочному графику, мг;

m - масса навески дифенилолпропана, г.

Массовую долю железа (X1) в процентах при использовании для анализа остатка после прокаливания (п.4.5.2) вычисляют по формуле где m1 - масса железа, найденная по градуировочному графику, мг;

m - масса навески дифенилолпропана, г;

V - объем раствора, отобранный на анализ из мерной колбы (п.4.6.2), см3.

За результат анализа принимают среднее арифметическое результатов двух параллельных определений, допускаемые расхождения между которыми не должны превышать 50% для марок А и В и 20% для марки Б относительно среднего значения при доверительной вероятности P=0,95.

4.7. Определение массовой доли фенола

4.7.1. Приборы, посуда и реактивы

Хроматограф с пламенно-ионизационным детектором ЛХМ-80 или аналогичного типа.

Колонка хроматографическая из нержавеющей стали длиной 2 м и внутренним диаметром 3-4 мм.

Микрошприц типа МШ-10.

Штангенциркуль по ГОСТ 166.

Весы лабораторные равноплечие ВЛР-200 или весы аналитические другого типа не ниже 2-го класса точности с ценой деления не более 0,0001 г с наибольшим пределом взвешивания 200 г.

Весы лабораторные технические любого типа с ценой деления не более 0,01 г с наибольшим пределом взвешивания 500 или 1000 г.

Линейка измерительная металлическая по ГОСТ 427 с ценой деления 0,5 мм.

Лупа измерительная по ГОСТ 25706.

Термометры ртутные стеклянные лабораторные.

Сита с отверстиями размером 1 и 2 мм.

Чашка фарфоровая по ГОСТ 9147.

Колбы Кн-1-25, Кл-1-50, Кн-2-50 по ГОСТ 25336.

Стакан вместимостью 50 см3 по ГОСТ 25336.


Колба круглодонная вместимостью 100 см3 по ГОСТ 25336.

Холодильник типа ХПТ-1 по ГОСТ 25336.

Водород технический по ГОСТ 3022 марки А и Б.

Азот газообразный технический по ГОСТ 9293 (газ-носитель).

Полиэтиленгликольадипинат для газовой хроматографии (жидкая фаза).

Смазка ВНИИ НП-300, ВНИИ НП-300А или апиезон L (жидкая фаза).

Смола полифенольная, готовят следующим образом: в круглодонной колбе вместимостью 100 см3 растворяют 10 г дифенилолпропана в 10 г ацетона при нагревании на водяной бане и к полученному раствору прибавляют 12 г концентрированной соляной кислоты. Смесь кипятят с обратным холодильником 30 мин при температуре 65 °С и затем отгоняют соляную кислоту и Ацетон с водяным паром до отсутствия в отгоне ионов хлора (проба с азотнокислым серебром). Затем от полученной смолы отгоняют летучие компоненты, нагревая ее при температуре 200 °С в течение 1 ч.

Натрий хлористый, ос.ч. 6-4 или по ГОСТ 4233, х.ч.; носитель с частицами размером 1-2 мм готовят следующим образом: приблизительно 50 г хлористого натрия помещают в фарфоровую чашку, растворяют в дистиллированной воде, выпаривают досуха и затем прокаливают при температуре 800-1000 °С. Образовавшуюся пористую кусковую соль осторожно дробят в фарфоровой ступке, просеивают через сита с отверстиями размером 1 и 2 мм, отбирая частицы, оставшиеся на сите 1 мм.

Носитель диатомитовый типа сферохром-2 с частицами размером 0,16-0,32 мм.

Спирт этиловый ректификованный технический по ГОСТ 18300.

н-Гексан для хроматографии.

Ацетон по ГОСТ 2603.

Тридекан для хроматографии ("внутренний эталон"); в качестве "внутреннего эталона" допускается применять додекан или тетрадекан.

Фенол по ГОСТ 23519.

Дифенилолпропан хроматографически чистый получают двойной перекристаллизацией одной части (по массе) технического дифенилолпропана из смеси толуола с водой (5:0,5 по массе).

кислота соляная по ГОСТ 3118.

Вата стеклянная или стеклоткань.

(Измененная редакция, Изм. N 1).

4.7.2. Подготовка к анализу

4.7.2.1. Приготовление наполнителей для колонки

Наполнитель 1

В фарфоровую чашку помещают 0,18 г смазки, подогревают на водяной бане до температуры 80 °С, растворяют в 40 см3 гексана. При постоянном перемешивании вносят 9 г носителя (хлористого натрия) и удаляют растворитель. Затем в отдельной колбе взвешивают 0,45 г полифенольной смолы, растворяют ее в 20 см3 ацетона и этот раствор приливают к хлористому натрию, обработанному смазкой. Колбу споласкивают дополнительно 20 смацетона и присоединяют этот раствор к раствору смолы. Ацетон удаляют при постоянном перемешивании наполнителя на водяной бане.

Наполнитель 2

В фарфоровую чашку помещают 1 г смазки, нагревают на водяной бане до температуры 80 °С и растворяют в 40 см3 гексана. В раствор вносят 20 г сферохрома и при постоянном перемешивании удаляют растворитель.

0,4 г полиэтиленгликольадипината, взвешенного в стеклянном стакане или колбе, растворяют в 30 см3 ацетона и приливают этот раствор к обработанному смазкой сферохрому. Стакан смывают 10 см3 ацетона.

Растворители полностью удаляют при постоянном перемешивании наполнителя на водяной бане.

4.7.2.2. Заполнение колонки

Первые 5 см колонки (по ходу тока газа-носителя) должны быть заполнены рыхлым слоем стеклянной ваты или стеклоткани. Затем следует слой наполнителя 1 длиной 40 см, последние 155 см колонки - слой наполнителя 2.

Заполнять колонку рекомендуется в обратной последовательности, т.е. начиная с наполнителя 2.

Длину слоев контролируют вводом в колонку проволоки диаметром 1-2 мм по мере ее заполнения.

4.7.2.3. Подготовка хроматографа к анализу

Подготовку хроматографа к анализу и вывод его на рабочий режим осуществляют в соответствии с инструкцией к прибору. После присоединения колонки к хроматографу ее прогревают в токе азота в течение 8-10 ч при температуре 150-160 °С, не соединяя с детектором.

4.7.2.4. Градуировка хроматографа

Для определения градуировочного коэффициента проводят анализ не менее пяти искусственных смесей, близких по содержанию фенола к анализируемым образцам и содержащих фенол и "внутренний эталон" в различных соотношениях (примерно от 1:1 до 1:3). Для приготовления искусственных смесей в коническую колбу с притертой пробкой вместимостью 50 см3 помещают 5-20 мг фенола. Прибавляют при перемешивании 3-15 г раствора точно известной концентрации "внутреннего эталона" в этиловом спирте (примерная концентрация 2 мг/г) и взвешивают. Затем к этому раствору прибавляют 10 г дифенилолпропана, не содержащего фенола, предварительно взвешенного в отдельном стеклянном стакане. Смесь тщательно перемешивают, слегка подогревают и прибавляют Этиловый спирт до полного растворения дифенилолпропана. Каждую смесь три-четыре раза анализируют на хроматографе.

Градуировочный коэффициент (K) вычисляют по формуле где m1 - масса навески фенола, взятая для приготовления искусственной смеси, г;

Sэт - площадь пика "внутреннего эталона", мм2;

mэт - масса навески "внутреннего эталона", взятая для приготовления искусственной смеси, г;

S1 - площадь пика фенола, мм2.

За градуировочный коэффициент принимают среднее арифметическое значение результатов всех определений.

4.7.3. Проведение анализа

В конической колбе с притертой пробкой вместимостью 10 или 25 см3 взвешивают 1-2 г дифенилолпропана, прибавляют 0,5-1,0 см2 раствора "внутреннего эталона", колбу взвешивают, прибавляют еще несколько капель этилового спирта и слегка подогревают до полного растворения дифенилолпропана. Приготовленную для анализа смесь тщательно перемешивают.

Результаты всех взвешиваний при градуировке и выполнении анализа в граммах записывают с точностью до четвертого десятичного знака.

В микрошприц отбирают 1-5 мм3 раствора дифенилолпропана и вводят в испаритель хроматографа через резиновую мембрану следующим образом: резиновую мембрану прокалывают иглой, быстро и полностью вводят иглу в испаритель, в течение 1 с опускают поршень шприца до упора, держат иглу в испарителе 10-12 с и быстро вынимают иглу. Сразу же промывают шприц этиловым спиртом.

4.7.2.4, 4.7.3 (Измененная редакция, Изм. N 1).

4.7.3.1. Условия проведения анализа

4.7.3.1.1. Режим работы хроматографа

Температура термостата, °С

135-140

Температура испарителя, °С

175-250

Скорость тока газа-носителя (азота), см3/мин

30-40

Скорость движения диаграммной ленты, мм/ч

200-240

Объем вводимой пробы, мм3

1-5

4.7.3.1.2. Масштаб записи хроматограмм выбирают таким, чтобы при массовой доле фенола 0,05% высота пика фенола была не менее 10 мм.

Допускается проводить анализ при другом режиме работы хроматографа на хроматографических колонках из стекла и меньшей длины, а также с применением других жидких фаз и носителей при условии выполнения требований пп.4.7.3.1.2 и 4.7.4.2.

Хроматограмма дифенилолпропана приведена на черт.1.

(Измененная редакция, Изм. N 1).

Черт.1. Хроматограмма дифенилолпропана с массовой долей фенола 0,04% (хроматограф ЛХМ-80, модель 6)

Хроматограмма дифенилолпропана с массовой долей фенола 0,04% (хроматограф ЛХМ-80, модель 6)


1 - Этиловый спирт, 2 - фенол, 3 - тридекан

Черт.1

4.7.4. Обработка результатов

4.7.4.1. Массовую долю фенола (X2) в процентах вычисляют по формуле где K  - градуировочный коэффициент;

mэт - масса навески "внутреннего эталона", г;

m - масса навески дифенилолпропана, г;

Sф - площадь пика фенола, мм2;

Sэт - площадь пика "внутреннего эталона", мм2.

Площадь пика вычисляют как произведение его высоты на ширину, измеренную на середине высоты.

Высоту пика измеряют линейкой, ширину - лупой.

(Измененная редакция, Изм. N 1).

4.7.4.2. За результат анализа принимают среднее арифметическое результатов двух определений, допускаемые расхождения между которыми не должны превышать 20% относительно средней величины при доверительной вероятности P=0,95.

4.8. Определение массовой доли воды

Массовую долю воды определяют по ГОСТ 14870 методом Фишера. В качестве растворителя применяют 10 см3 метанола или пиридина. Для анализа берут 2-5 г пробы.

5. УПАКОВКА, МАРКИРОВКА, ТРАНСПОРТИРОВАНИЕ И ХРАНЕНИЕ

5.1. Дифенилолпропан упаковывают в многослойные бумажные мешки по ГОСТ 2226 марок ПМ и ВМП с открытой или закрытой (с клапаном) горловиной или марок НМ и ВМ с открытой горловиной и полиэтиленовым мешком-вкладышем по ГОСТ 19360, а также полиэтиленовые клапанные мешки по ГОСТ 17811 или мешки из полиэтиленового рукава по ГОСТ 10354.

По согласованию с потребителем допускается упаковывать дифенилолпропан в специализированные металлические контейнеры типа СК-1-5 по ГОСТ 19668 (продукт предварительно упаковывают в полиэтиленовую термоусадочную пленку по ГОСТ 25951), или контейнеры-цистерны по ГОСТ 26380, или другие контейнеры по нормативно-технической документации, утвержденной в установленном порядке.

Мешки по ГОСТ 10354 изготовляют из гранулированного полиэтилена по ГОСТ 16337 марок 10204-003 или 15003-002, или 15105-002. Размер мешков - 510-550 мм на 650-700 мм при толщине пленки 0,18-0,28 мм.

Полиэтиленовые мешки (кроме клапанных), мешки-вкладыши заваривают, а открытые бумажные мешки - прошивают машинным способом или завязывают вручную.

Масса брутто каждого мешка - (15,0±0,5) кг.

Допускается по согласованию с потребителем массу брутто каждого мешка увеличить до (25,0±0,5) кг.

Допускается по согласованию с потребителем упаковывать дифенилолпропан марки В в многослойные бумажные мешки по ГОСТ 2226 марки ВМ без полиэтиленовых мешков-вкладышей.

(Измененная редакция, Изм. N 1).

5.2. Дифенилолпропан в соответствии с классификацией опасных грузов по ГОСТ 19433 относится к классу 9, подклассу 9.2. Знак опасности - черный восклицательный знак на белом фоне.

5.3. Транспортная маркировка - по ГОСТ 14192 с указанием манипуляционного знака "Беречь от влаги" и знака опасности груза по ГОСТ 19433.

Кроме того, к каждому мешку прикрепляют ярлык или на каждый мешок наносят штамп, на котором указывают:

наименование предприятия-изготовителя или его товарный знак;

наименование продукта, марку;

номер партии и места (при автоматической фасовке и маркировке номер места не указывают);

номер упаковщика;

массу нетто и брутто;

дату изготовления;

обозначение настоящего стандарта.

(Измененная редакция, Изм. N 1).

5.4. Упакованный дифенилолпропан транспортируют железнодорожным и автомобильным транспортом в крытых транспортных средствах в соответствии с правилами перевозки грузов, действующими на данном виде транспорта.

5.5. Мешки с дифенилолпропаном должны транспортироваться по железной дороге повагонными отправками пакетами в соответствии с правилами перевозки грузов. Средства пакетирования - поддоны плоские по ГОСТ 9557 или по ГОСТ 26381. Пакеты формируют с помощью штабелеукладочной машины взрывобезопасного исполнения.

Допускается применение ручного способа пакетирования.

Средства скрепления груза - по ГОСТ 21650.

Погрузка и выгрузка мягких специализированных контейнеров должна осуществляться на подъездных путях предприятий.

Контейнеры транспортируют на открытом подвижном составе.

5.6. Размещение и крепление грузов, транспортируемых по железной дороге - в соответствии с техническими условиями погрузки и крепления грузов, утвержденными Министерством путей сообщения СССР.

5.7. Мешки с дифенилолпропаном хранят в сухих крытых складских помещениях вдали от источников открытого огня.

6. ГАРАНТИИ ИЗГОТОВИТЕЛЯ

6.1. Изготовитель гарантирует соответствие технического дифенилолпропана требованиям настоящего стандарта при соблюдении условий транспортирования и хранения.

6.2. Гарантийный срок хранения - 6 мес со дня изготовления для дифенилолпропана марки А и 3 мес - для дифенилолпропана марок Б и В.

ПРИЛОЖЕНИЕ (справочное). МАССОВАЯ ДОЛЯ ОСНОВНЫХ ВЫСОКОКИПЯЩИХ ПРИМЕСЕЙ В ДИФЕНИЛОЛПРОПАНЕ МАРКИ А

ПРИЛОЖЕНИЕ
Справочное

Наименование примеси

Массовая доля, %

о, n-Изомер дифенилолпропана

0,1-0,25

Соединение Дианина или 2,2,4-триметил-4-(4'-окси-фенил)-хроман

0,02-0,1

Трис-фенолы

0,025-0,1



Температура кристаллизации дифенилолпропана зависит от суммарной массовой доли высококипящих примесей и массовой доли фенола.


официальное издание

М.: ИПК Издательство стандартов, 1999