Новости Нефтегазовая пром.
Выставки Наука и технология


Этил хлористый технический ГОСТ 2769-92

Этил хлористый технический. Технические условия ГОСТ 2769-92


ГОСТ 2769-92

Группа Л21

     
     
ГОСУДАРСТВЕННЫЙ СТАНДАРТ СОЮЗА ССР

ЭТИЛ ХЛОРИСТЫЙ ТЕХНИЧЕСКИЙ

Технические условия

Ethyl chloride for industrial use. Specifications


ОКП 24 1221 0100

Дата введения 1993-07-01

     
     
ИНФОРМАЦИОННЫЕ ДАННЫЕ

1. РАЗРАБОТАН И ВНЕСЕН ТК 89 "Хлорсодержащие и органические продукты, щелочи"

РАЗРАБОТЧИКИ:

A.Ф.Мазанко, д-р техн. наук; 3.М.Ривина, канд. хим. наук; B.С.Чурилин, канд. хим. наук; И.Н.Кожухова, канд. хим. наук; Т.В.Авгуль, Л.И.Барышева, О.С.Токарева

2. УТВЕРЖДЕН И ВВЕДЕН В ДЕЙСТВИЕ Постановлением Госстандарта России от 30.03.92 N 329

3. Срок первой проверки - 1997 г.

Периодичность проверки - 5 лет

4. ВЗАМЕН ГОСТ 2769-78

5. ССЫЛОЧНЫЕ НОРМАТИВНО-ТЕХНИЧЕСКИЕ ДОКУМЕНТЫ 

Обозначение НТД, на который дана ссылка

Номер пункта, подпункта, приложения

ГОСТ 4-84 

4.3.1.1

ГОСТ 427-75 

4.3.1.1

ГОСТ 1770-74

4.3.1.1; 4.4.1; 4.6.1; 4.8.1; приложение (п.1)

ГОСТ 1942-86 

4.3.1.1

ГОСТ 2405-88 

4.3.1.1

ГОСТ 2603-79 

4.3.1.1

ГОСТ 3022-80 

4.3.1.1

ГОСТ 3118-77 

4.3.1.1

ГОСТ 3760-79 

4.8.1

ГОСТ 4165-78 

4.8.1

ГОСТ 4204-77 

4.7.1

ГОСТ 4461-77 

4.3.1.1

ГОСТ 4919.1-77

4.6.1; приложение (п.1)

ГОСТ 5230-74 

4.7.1

ГОСТ 5456-79 

4.8.1

ГОСТ 6563-75 

4.4.1

ГОСТ 6709-72-->ГОСТ 6709-72

4.2.1; 4.3.1.1; 4.6.1; 4.7.1; 4.8.1; приложение (п.1)

ГОСТ 9147-80

4.3.1.1

ГОСТ 9293-74 

4.3.1.1; 5.4

ГОСТ 10157-79 

5.4

ГОСТ 11293-89 

4.8.1

ГОСТ 14870-77 

4.5

ГОСТ 14921-78 

4.1.1

ГОСТ 18300-87

4.3.1.1; 4.6.1; 4.8.1

ГОСТ 18481-81 

4.2.1

ГОСТ 19433-88 

3.1; 5.2

ГОСТ 19908-90 

4.4.1

ГОСТ 20015-88 

4.3.2.1

ГОСТ 20292-74

4.6.1; 4.8.1; приложение (п.1)

ГОСТ 22967-90 

4.3.1.1

ГОСТ 24104-88 

4.3.1.1

ГОСТ 24614-81 

4.5

ГОСТ 25336-82

4.2.1; 4.3.1.1; 4.6.1; 4.7.1; 4.8.1; приложение (п.1)

ГОСТ 25706-83 

4.3.1.1

ГОСТ 25794.1-83

4.6.1; приложение (п.1)

ГОСТ 25794.3-83

4.3.1.1

ГОСТ 27025-86

разд.4

ГОСТ 27026-86

4.4.1

ГОСТ 12.1.004-85

2.3

ГОСТ 12.1.005-88

2.2

ГОСТ 12.1.010-76

2.3

ГОСТ 12.4.026-76

2.3

ГОСТ 12.4.121-83

2.4

ТУ 2.833.106*

4.3.1.1

ТУ 6-01-14-90

4.3.1.1

ТУ 6-09-05-447-76

4.3.2.1

ТУ 6-09-07-1615-87

4.3.1.1

ТУ 6-09-15-669-85

4.3.1.1

ТУ 6-09-17-48-82

4.3.2.1

ТУ 6-09-659-77

4.3.2.1

ТУ 6-09-3827-74

4.3.2.1

ТУ 6-09-4457-77

4.3.1.1

ТУ 25-1819.0021-90

4.3.1.1

ТУ 25-1894.003-90

4.3.1.1

ТУ 25-2021.003-88

приложение (п.1)

ТУ 113-04-312-89

4.3.1.1

ТУ 51-940-80

4.3.1.1

ТУ 7506804-97-90

4.3.1.1


Настоящий стандарт распространяется на технический хлористый этил (сжиженный газ), используемый в производстве тетраэтилсвинца, кремнийорганических соединений, синтетических каучуков, полупродуктов, красителей и в других областях.

Формула C2H5Cl

Относительная молекулярная масса (по международным относительным атомным массам 1987 г.) - 64,515.

Требования настоящего стандарта, кроме требований пп.7 и 8 табл.1, являются обязательными.

1. ТЕХНИЧЕСКИЕ ТРЕБОВАНИЯ

1.1. Хлористый этил должен быть изготовлен в соответствии с требованиями настоящего стандарта по технологическому регламенту, утвержденному в установленном порядке.

1.2. По физико-химическим показателям хлористый этил должен соответствовать требованиям и нормам, указанным в табл.1.

Таблица 1

Наименование показателя

Норма

Высший сорт ОКП 24 1221 0120

Первый сорт ОКП 24 1221 0130

1. Внешний вид

Бесцветная прозрачная жидкость

Прозрачная, слегка окрашенная жидкость

2. Массовая доля хлористого этила, %, не менее

99,3

99,0

3. Массовая доля хлористого винила, %, не более

0,001

0,1

4. Массовая доля нелетучего остатка, %, не более

0,001

0,005

5. Массовая доля воды, %, не более

0,003

0,03

6. Массовая доля кислот в пересчете на соляную кислоту НСl, %, не более

0,0005

0,006

7. Проба на содержание непредельных соединений

Выдерживает испытание по п.4.7

-

8. Проба на содержание ацетилена и его производных

Выдерживает испытание по п.4.8

-

2. ТРЕБОВАНИЯ БЕЗОПАСНОСТИ

2.1. Хлористый этил - сжиженный газ, горюч, взрыво- и пожароопасен. Температура кипения 12,2°С, температура плавления минус 138,3°С, температура вспышки минус 50°С, температура самовоспламенения 510°С, концентрационные пределы распространения пламени в воздухе 3,45 17,55% (об.), температурные пределы распространения пламени от минус 52 до минус 28°С.

2.2. Хлористый этил оказывает общетоксическое и слабовыраженное наркотическое действие. В организм человека поступает через дыхательные пути, кумулятивным эффектом не обладает.

Предельно допустимая концентрация (ПДК) хлористого этила в воздухе рабочей зоны - 50 мг/м3 (определение методом газожидкостной хроматографии или фотометрически по хлорид-иону по методикам, утвержденным Минздравом СССР). По степени воздействия на организм человека хлористый этил относится к вредным веществам 4-го класса опасности (ГОСТ 12.1.005).

2.3. Производственные помещения, в которых проводят работы с хлористым этилом, должны быть оборудованы приточно-вытяжной вентиляцией. Оборудование и коммуникации должны быть герметизированы.

В помещении на видном месте должны быть помещены знаки со смысловым значением "Осторожно! Легковоспламеняющееся вещество" и "Запрещается пользоваться открытым огнем" по ГОСТ 12.4.026.

При работе с хлористым этилом следует соблюдать требования ГОСТ 12.1.004 по обеспечению пожарной безопасности и ГОСТ 12.1.010 по обеспечению взрывобезопасности.

2.4. Производственный персонал должен быть обеспечен средствами индивидуальной защиты: специальной одеждой согласно типовым отраслевым нормам, промышленным фильтрующим противогазом марки А или БКФ по ГОСТ 12.4.121.

2.5. При загорании для тушения огня следует применять объемное тушение.

2.6. Отходы производства хлористого этила подвергают термическому обезвреживанию, сточные воды нейтрализуют.

3. ПРАВИЛА ПРИЕМКИ

3.1. Хлористый этил принимают партиями. Партией считают любое количество продукта, однородного по показателям качества, сопровождаемое одним документом о качестве. Каждую цистерну считают партией.

Документ о качестве должен содержать:

наименование предприятия-изготовителя и его товарный знак;

наименование продукта и его сорт;

классификационный шифр по ГОСТ 19433;

номер партии и дату изготовления;

массу нетто и брутто;

результаты проведенных анализов и (или) подтверждение соответствия качества продукта требованиям настоящего стандарта;

обозначение настоящего стандарта.

3.2. Для определения показателей качества хлористого этила отбирают пробу от каждой цистерны.

При получении неудовлетворительных результатов анализа хотя бы по одному из показателей проводят повторный анализ пробы, взятой от той же партии. Результаты повторного анализа распространяются на всю партию.

4. МЕТОДЫ АНАЛИЗА


Общие указания по проведению анализа - по ГОСТ 27025.

Допускается применение других средств измерений с метрологическими характеристиками и оборудования с техническими характеристиками не хуже, а также реактивов по качеству не ниже указанных в настоящем стандарте.

Для приготовления градуировочных смесей допускается применение веществ, соответствующих определяемым компонентам, с массовой долей основного вещества не менее 95%.

Округление результатов анализа до того десятичного знака, который указан в табл.1.

4.1. Отбор проб

4.1.1. Пробы отбирают по ГОСТ 14921 пробоотборником типа ПГО-400 или при помощи любого пробоотборника, исключающего контакт продукта с атмосферой и отвечающего условиям хранения сжиженного хлористого этила. Объем пробы должен быть не менее 1 дм3.

4.2. Определение внешнего вида

4.2.1. Внешний вид хлористого этила определяют визуально сравнением одинаковых объемов анализируемого продукта при 0°С и дистиллированной воды (ГОСТ 6709), помещенных в пробирки (ГОСТ 25336) из бесцветного стекла диаметром 25-30 мм на белом фоне. Допускается использовать цилиндры для ареометров по ГОСТ 18481.

4.3. Определение массовых долей хлористого этила и хлористого винила

Массовую долю хлористого этила определяют расчетным методом, вычитая из 100% массовую долю воды и сумму массовых долей органических примесей.

Массовую долю органических примесей определяют методом газовой хроматографии по одной из двух методик.

Методика 1 предусматривает использование двух хроматографических колонок (колонки 1 и 2) в изотермическом температурном режиме. Определение проводят методом абсолютной градуировки (колонка 1) и методом "внутреннего эталона" (колонка 2).

Методика 2 предусматривает использование одной хроматографической колонки (колонка 3) в режиме линейного программирования температуры. Определение проводят методом "внутреннега эталона".

4.3.1. Методика 1

4.3.1.1. Аппаратура и реактивы

Хроматограф аналитический газовый лабораторный с пламенно-ионизационным детектором.

Колонки газохроматографические стальные внутренним диаметром 3 мм, длиной 6 м (колонка 1) и 5 м (колонка 2).

Весы лабораторные 2-го и 3-го класса точности по ГОСТ 24104 с наибольшими пределами взвешивания 200 и 500 г соответственно.

Линейка измерительная металлическая по ГОСТ 427 с ценой деления 1 мм.

Лупа типа ЛИ по ГОСТ 25706.

Интегратор электронный.

Манометр, вакуумметр или мановакуумметр по ГОСТ 2405, класс точности 0,6.

Микрошприц МШ-10 по ТУ 2.833.106.

Печь муфельная, обеспечивающая нагрев до температуры не менее 1100°С.

Посуда лабораторная стеклянная по ГОСТ 25336.

Секундомер по ТУ 25-1819.0021 и ТУ 25-1894.003.

Термометр любого типа, обеспечивающий измерение температуры в интервале от 30 до 70°С и от 190 до 260°С.

Термопара любого типа, обеспечивающая измерение температуры в интервале от 1000 до 1200°С.

Цилиндр по ГОСТ 1770 вместимостью 10 см3.

Чашка выпарительная по ГОСТ 9147.

Шкаф сушильный, обеспечивающий нагрев до температуры не менее 260°С.

Шприц медицинский стеклянный по ГОСТ 22967.

Ацетон по ГОСТ 2603.

Бутан ГСО N 3347-85.

Винил хлористый по ТУ 6-01-14.

Вода дистиллированная по ГОСТ 6709.

Водород технический марки А и Б по ГОСТ 3022 или водород электролизный от генератора водорода СГС-2.

Воздух сжатый для питания контрольно-измерительных приборов.

Газ-носитель: азот газообразный по ГОСТ 9293 или гелий газообразный очищенный марки А по ТУ 51-940.

2,2- Дихлорпропан по ТУ 6-09-15-669.

1,2- Дихлорэтан по ГОСТ 1942.

Изопропил хлористый (2-хлорпропан) по ТУ 6-09-07-1615.

Кислота азотная по ГОСТ 4461, раствор с массовой долей 25%.

кислота соляная по ГОСТ 3118, разбавленная 1:1.

Металлилхлорид по ТУ 113-04-312.

Носитель твердый: кирпич диатомитовый, хроматон N-AW-HMDS с размером частиц 0,2-0,25 мм или любой другой носитель, обеспечивающий разделение и определение массовых долей компонентов с погрешностью не более чем на указанных твердых носителях.

н-Пентан ГСО N 2582-83.

Серебро азотнокислое, раствор молярной концентрации 0,05 моль/дм3, готовят по ГОСТ 25794.3.

Серебро азотнокислое, раствор, подкисленный азотной кислотой. Готовят следующим образом: смешивают раствор азотнокислого серебра и раствор азотной кислоты в соотношении 1:1 по объему.

Спирт этиловый ректификованный технический по ГОСТ 18300.

Углерод четыреххлористый по ГОСТ 4.

Фаза неподвижная: масло нефтяное ВМ-4 для форвакуумных насосов, эфир масляной кислоты и триэтиленгликоля (триэтиленгликольдибутират) по ТУ 6-09-4457.

Эфир этиловый по ТУ 7506804-97.

4.3.1.2. Подготовка к анализу

4.3.1.2.1. Приготовление насадок и заполнение колонок

Насадку для колонки 1 готовят следующим образом. Триэтиленгликольдибутират, взятый в количестве 20% от массы хроматона N-AW-HMDS, и хроматон N-AW-HMDS, взвешивают. Результаты взвешиваний записывают в граммах до второго десятичного знака. Триэтиленгликольдибутират растворяют в ацетоне. Приготовленный раствор при непрерывном перемешивании приливают к хроматону N-AW-HMDS, помещенному в выпарительную чашку. Количество раствора должно быть таким, чтобы хроматон был полностью смочен раствором. Растворитель удаляют при непрерывном перемешивании на воздухе, а затем в сушильном шкафу при температуре (60±5)°С в течение 1 ч.

Насадку для колонки 2 готовят следующим образом. Диатомитовый кирпич кипятят в растворе соляной кислоты в течение 5-6 ч в конической колбе с обратным холодильником, отмывают водой до отсутствия хлор-иона (проба с подкисленным раствором азотнокислого серебра). Обработанный носитель сушат при температуре (200±10)°С в течение 2-3 ч, затем прокаливают при температуре (1100±20) °С в течение 4-5 ч, охлаждают в эксикаторе, отсеивают, отбирают фракцию частиц размером 0,16-0,315 мм. Масло нефтяное ВМ-4, взятое в количестве 20% от массы обработанного диатомитового кирпича, и диатомитовый кирпич взвешивают. Результаты взвешиваний записывают в граммах до второго десятичного знака. Масло нефтяное растворяют в этиловом эфире. Приготовленный раствор при непрерывном перемешивании приливают к диатомитовому кирпичу, помещенному в выпарительную чашку. Количество раствора должно быть таким, чтобы диатомитовый кирпич был полностью смочен раствором. Выпарительную чашку помещают на водяную баню, нагретую до (30±5)°С, и, непрерывно перемешивая ее содержимое, испаряют растворитель до исчезновения запаха.

Колонку последовательно промывают водой, ацетоном, и сушат в токе воздуха при комнатной температуре.

Затем в колонку небольшими порциями вносят насадку, уплотняя ее постукиванием или с помощью вибратора с применением вакуумирования (подсоединив противоположный от ввода сорбента конец колонки к водоструйному или вакуумному насосу). Концы заполненной колонки закрывают стеклотканью или стекловатой. Колонку устанавливают в термостате хроматографа и, не присоединяя к детектору, продувают газом-носителем в течение 6 ч при температуре 60°С (колонку 1) и 100°С (колонку 2). После этого колонку присоединяют к детектору.

Монтаж, наладку и вывод хроматографа на рабочий режим проводят в соответствии с инструкцией, прилагаемой к прибору.

4.3.1.2.2. Режим градуирования и работы хроматографа 

Градуирование хроматографа и анализ проводят, соблюдая условия, указанные в табл.2.

Таблица 2

Параметр опыта

Колонка 1

Колонка 2

Объемный расход газа-носителя, см3/мин

25

25

Объемный расход водорода, см3/мин

25

25

Объемный расход воздуха, см3/мин

250

250

Температура термостата колонок, °С

30±5

50

Температура испарителя, °С

100

100

Скорость движения диаграммной ленты, мм/ч

240

240

Объем вводимой пробы: газовой, см3

3

3

жидкой, мм3

2

2

Шкала записи хроматограммы, А

2·10-10- 50·10-12

2·10-10- 50·10-12

Ом

2·108- 4·109

2·108- 4·109


В зависимости от модели применяемого хроматографа, типа насадки и состава анализируемого продукта в условия градуирования и работы хроматографа могут быть внесены изменения для достижения полного разделения компонентов и определения с приведенной погрешностью результата определения.

4.3.1.2.3. Градуирование хроматографа

Градуирование хроматографа проводят по 4-5 градуировочным смесям, содержащим определяемые компоненты (примеси) в концентрациях, близких к их концентрациям в продукте. Градуировочные смеси с массовой долей определяемого компонента менее 0,1%, готовят в две стадии, применяя метод разбавления.

Градуировочные смеси для колонки 1 готовят в стеклянных сосудах вместимостью 1-5 дм3, снабженных эластичной прокладкой и двухходовым краном. Вместимость сосуда определяют измерением объема воды, наполняющей сосуд, при помощи цилиндра соответствующей вместимости. Сосуды помещают в защитный чехол.

Сосуд предварительно продувают воздухом, затем вакуумируют до остаточного давления 2,50-4,00 кПа (0,025-0,040 кгс/см2).

Газообразные компоненты объемом 1-10 см3 вводят в сосуд медицинским шприцем, при этом относительная погрешность измерения объема не должна превышать 7%.

Сосуд с введенными в него компонентами заполняют разбавителем (воздухом или инертным газом, или азотом, или хлористым этилом хроматографической чистоты) до давления 98-147 кПа (1,00-1,50 кгс/см2).

Полученную смесь выдерживают в течение 30-45 мин.

Разбавление смеси проводят во втором сосуде аналогичным образом.

Погрешность приготовления градуировочной смеси заданной концентрации компонента не должна превышать 10% относительно заданных концентраций.

Из градуировочной смеси отбирают необходимый объем и вводят в хроматограф не менее 4-5 раз.

Градуировочный коэффициент каждого компонента (Li), %xсм3/мм2, вычисляют по формуле где Ci - массовая доля определяемого компонента, %;
Si - площадь пика определяемого компонента, мм2;

M1 - молярная масса разбавителя, г/моль;

M2 - молярная масса хлористого этила, г/моль;

V1 - объем пробы градуировочной смеси, введенный в хроматограф, см3.

Массовую долю компонента (Ci) в процентах вычисляют по формуле где V2 - объем компонента, введенного в сосуд 1, дм3;
V4 - объем сосуда 1, см3;

V3 - объем смеси из сосуда 1, введенный в сосуд 2, см3;

V5 - объем сосуда 2, см3;

P - атмосферное давление, кПа (кгс/см2);

P1 - давление в сосуде 1, кПа (кгс/см2);

P2 - давление в сосуде 2, кПа (кгс/см2).

Площадь пика вычисляют как произведение высоты пика на его ширину, измеренную на середине высоты. Допускается определять площадь пика с помощью электронного интегратора.

Градуировочный коэффициент компонента определяют как среднее арифметическое результатов всех определений, вычисленных с точностью до второго десятичного знака.

Градуировочные смеси для колонки 2 готовят в стеклянных сосудах вместимостью 15-50 см3, снабженных прокладкой, устойчивой к агрессивной среде. Если сосуд не имеет навинчивающейся крышки, прокладку укрепляют с помощью зажимного устройства, которое не должно препятствовать вводу иглы микрошприца в сосуд. В сосуд последовательно помещают 10-40 г растворителя, определяемые компоненты и "внутренний эталон", взятый в количестве 0,01-0,20% от массы растворителя.

В качестве "внутреннего эталона" используют металлилхлорид или любое другое вещество, проявляющееся на хроматограмме в месте, свободном от наложения пиков определяемых компонентов. Погрешность приготовления градуировочной смеси с заданной концентрацией компонента ("внутреннего эталона") не должна превышать 3% относительно заданной концентрации.

Из градуировочной смеси охлажденным микрошприцем отбирают необходимый объем и вводят в хроматограф 4-5 раз.

Градуировочный коэффициент компонента (Ki) вычисляют по формуле где mэт, mi - массы "внутреннего эталона" и определяемого компонента соответственно, введенные в градуировочную смесь, г;
т, Si - площадь пиков "внутреннего эталона" и определяемого компонента соответственно, мм2.

Площадь пика вычисляют как произведение высоты пика на его ширину, измеренную на середине высоты. Допускается определять площадь пика с помощью электронного интегратора.

Градуировочный коэффициент компонента определяют как среднее арифметическое результатов всех определений, вычисленных с точностью до второго десятичного знака.

Градуировочные коэффициенты 1-хлорпропана и 2-хлорпропана принимают равными градуировочному коэффициенту 2-хлорпропана, градуировочный коэффициент 1,2-дихлорпропана - градуировочному коэффициенту 2,2-дихлорпропана, градуировочные коэффициенты 1,1-дихлорэтана, цис-1,2-дихлорэтилена и транс-1,2-дихлорэтилена - градуировочному коэффициенту 1,2-дихлорэтана.

Градуирование хроматографа проводят при смене сорбента в колонке и изменении условий хроматографического определения.

Типовые хроматограммы хлористого технического этила приведены на черт.1 и 2.

1 - бутан; 2 - пентан; 3 - хлористый винил; 4 - неидентифицированная примесь


Черт.1

1 - хлористый винил+примеси, определяемые на колонке 1; 2 - хлористый этил; 3 - 2-хлорпропен; 4- 2-хлорпропан; 5 - 1-хлорпропан; 6 - 1,2-дихлорэтилен (транс) +1,1-дихлорэтан; 7- 1,2-дихлорэтилен (цис); 8 - 2,2-дихлорпропан; 9 - металлилхлорид; 10 - 1,2-дихлорэтан; 11 - четыреххлористый углерод; 12 - 1,2-дихлорпропан

Черт.2

4.3.1.3. Проведение анализа

Для анализа на колонке 1 пробу анализируемого продукта вводят в хроматограф без предварительной подготовки.

Для анализа на колонке 2 помещают 30-40 г хлористого этила в толстостенную колбу вместимостью 100 см3, закрытую резиновой пробкой. Колбу с хлористым этилом охлаждают до температуры минус 10 - минус 20°С и в охлажденную пробу добавляют из капельницы 1-2 капли "внутреннего эталона", массу которого определяют взвешиванием по разности масс капельницы. Результаты взвешиваний записывают в граммах до четвертого десятичного знака. Приготовленную смесь перемешивают и вводят в хроматограф.

4.3.1.4. Обработка результатов

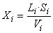
Массовую долю органической примеси (Xi), определяемой на колонке 1, в процентах вычисляют по формулегде Li - градуировочный коэффициент определяемой примеси, %, см3/мм2;
Si - площадь пика определяемой примеси, мм2;

Vi - объем анализируемой пробы, введенный в хроматограф, см3.

Массовую долю органической примеси (Xi), определяемой на колонке 2, в процентах вычисляют по формуле где Ki - градуировочный коэффициент определяемой примеси;
Si - площадь пика определяемой примеси, мм2;

mэт - масса "внутреннего эталона", введенная в анализируемый продукт, г;

Sэт - площадь пика "внутреннего эталона", мм2

m - масса анализируемого хлористого этила, г.

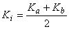
Градуировочный коэффициент (Ki) неидентифицированной примеси вычисляют по формуле где Ka - градуировочный коэффициент примеси, выходящей до неидентифицированной примеси;
Kb - градуировочный коэффициент примеси, выходящей после неидентифицированной примеси.

Массовую долю суммы органических примесей вычисляют суммированием массовых долей всех органических примесей.

За результат анализа принимают среднее арифметическое результатов двух параллельных определений, абсолютное расхождение между которыми не превышает допускаемое расхождение, равное при определении хлористого винила 0,0003 и 0,03%, и суммы примесей 0,07 и 0,08% для продуктов высшего и 1-го сортов соответственно при доверительной вероятности P=0,95.

Массовую долю хлористого этила (X) в процентах вычисляют по формуле где  - массовая доля суммы органических примесей в хлористом этиле, %;

X2 - массовая доля воды, определяемая по п.4.5, %. 

Допускаемая абсолютная суммарная погрешность результата анализа при определении хлористого винила ±0,00024 и ±0,024% и хлористого этила ±0,07 и ±0,08% Для продуктов высшего и 1-го сортов соответственно при доверительной вероятности P=0,95.

4.3.2. Методика 2

4.3.2.1. Аппаратура и реактивы

Аппаратура и реактивы по п.4.3.1.1 со следующими дополнениями:

Декан для хроматографии по ТУ 6-09-659.

При этом используют колонку длиной 3 м (колонка 3), в качестве фазы неподвижной и носителя твердого используют 1,2,3-трис(B-цианэтокси) пропан по ТУ 6-09-05-447 и силохром С-80 по ТУ 6-09-17-48 соответственно.

Вместо металлилхлорида используют хлористый аллил по ТУ 6-09-3827, вместо этилового эфира - хлороформ по ГОСТ 20015.

4.3.2.2. Подготовка к анализу

4.3.2.2.1. Приготовление насадки и заполнение колонки

Насадку для колонки 3 готовят следующим образом. Непосредственно перед нанесением неподвижной фазы силохром С-80 дважды отсеивают, отбирая фракцию частиц размером 0,2-0,25 мм, сушат в сушильном шкафу при температуре (250±10)°С в течение 3 ч и охлаждают в эксикаторе.

1,2,3-Трис(B-цианэтокси) пропан, взятый в количестве 20% от массы силохрома С-80, и силохром С-80 взвешивают. Результаты взвешиваний записывают в граммах до второго десятичного знака. 1,2,3-Трис(B-цианэтокси) пропан растворяют в хлороформе.

Приготовленный раствор при непрерывном перемешивании приливают к силохрому, помещенному в выпарительную чашку. Количество раствора должно быть таким, чтобы силохром был полностью смочен раствором. Выпарительную чашку помещают на водяную баню, нагретую до температуры (50±5)°С, и, непрерывно перемешивая ее содержимое, испаряют растворитель до сыпучего состояния насадки. Насадку досушивают в сушильном шкафу при температуре (60±5)°С в течение 1 ч.

Подготовку колонки и ее заполнение насадкой проводят в соответствии с п.4.3.1.2.1.

Колонку устанавливают в термостате хроматографа и, не присоединяя к детектору, продувают газом-носителем в течение 6 ч, поднимая температуру равномерно от 50 до 120°С, и далее в течение 10 ч при температуре 120°С. После этого колонку присоединяют к детектору.

Монтаж, наладку и вывод хроматографа на рабочий режим проводят в соответствии с инструкцией, прилагаемой к прибору.

4.3.2.2.2. Режим градуирования и работы хроматографа

Градуирование хроматографа и анализ проводят, соблюдая условия, указанные в табл.3.

Таблица 3

Режим

Колонка 3

Объемный расход газа-носителя, см3/мин

30

Объемный расход водорода, см3/мин

30

Объемный расход воздуха, см3/мин

300

Температура термостата колонок

45°С (6 мин) - 100°С (8 мин)

Скорость линейного нагрева термостата колонок, °С/мин

5

Температура испарителя, °С

100

Скорость движения диаграммной ленты, мм/ч

240

Шкала записи хроматограммы, А

2·10-10- 50·10-12

Ом

32·108- 4·109

Объем вводимой пробы, мм3

2


Допускается изменение указанных условий работы хроматографа (см. п.4.3.1.2.2).

4.3.2.2.3. Градуирование хроматографа

Градуирование хроматографа проводят по 4-5 градуировочным смесям, содержащим определяемые компоненты (примеси) в концентрациях, близких к их концентрациям в продукте. Градуировочные смеси с массовой долей определяемого компонента менее 0,1% готовят в две стадии, применяя метод разбавления.

Градуировочные смеси для колонки 3 из газообразных компонентов готовят в стеклянных сосудах вместимостью 1-5 дм3. Требования к сосудам и их предварительная подготовка - в соответствии с п.4.3.1.2.3. Газообразные компоненты объемом 1-10 см3 вводят в сосуд медицинским шприцем, при этом относительная погрешность измерения объема не должна превышать 7%. Хлористый аллил ("внутренний эталон") массой около 0,01 г вводят в сосуд микрошприцем. Массу хлористого аллила определяют взвешиванием по разности масс микрошприца. При взвешивании игла микрошприца должна быть заколота в прокладку, применяемую для уплотнения в испарителе хроматографа. Результаты взвешиваний в граммах записывают до четвертого десятичного знака.

Заполнение сосуда разбавителем, разбавление смеси во втором сосуде проводят по п.4.3.1.2.3.

Погрешность приготовления градуировочной смеси - по п.4.3.1.2.3 (как для колонки 1).

Массу газообразного компонента, введенного в сосуд, (mi) в граммах вычисляют по формуле где pi - плотность компонента при 20°С, г/см3;
V2 - объем компонента, введенного в сосуд, см3.

Градуировочные смеси для колонки 3 из жидких компонентов готовят по п.4.3.1.2.3 (как для колонки 2). При этом в качестве растворителя используют декан, в качестве "внутреннего эталона" - хлористый аллил, или любое другое вещество, проявляющееся на хроматограмме в месте, свободном от наложения пиков определяемых компонентов.

Погрешность приготовления градуировочной смеси - по п.4.3.1.2.3 (как для колонки 2).

Из градуировочной смеси отбирают необходимый объем и вводят в хроматограф 4-5 раз.

Градуировочный коэффициент компонента (Ki) вычисляют по формуле где mэт, mi - массы "внутреннего эталона" и определяемого компонента соответственно, введенные в градуировочную смесь, г;
Sэт, Si - площади пиков "внутреннего эталона" и определяемого компонента соответственно, мм2.

Площадь пика вычисляют как произведение высоты пика на его ширину, измеренную на середине высоты. Допускается определять площадь пика с помощью электронного интегратора.

Градуировочный коэффициент компонента определяют как среднее арифметическое результатов всех определений, вычисленных с точностью до второго десятичного знака.

Градуировочные коэффициенты 1-хлорпропана и 2-хлорпропана принимают равными градуировочному коэффициенту 2-хлорпропана, градуировочный коэффициент, 1,2-дихлорпропана - градуировочному коэффициенту 2,2-дихлорпропана, градуировочные коэффициенты 1,1-дихлорэтана, цис-1,2-дихлорэтилена и транс-1,2-дихлорэтилена - градуировочному коэффициенту 1,2-дихлорэтана.

Градуирование хроматографа проводят при смене сорбента в колонке и изменении условий хроматографического определения.

Типовая хроматограмма хлористого технического этила приведена на черт.3.

4.3.2.3. Проведение анализа

Анализ проводят по п.4.3.1.3 (как для колонки 2).

4.3.2.4. Обработка результатов

Обработку результатов проводят в соответствии с п.4.3.1.4 (как для колонки 2).

Массовую долю хлористого этила вычисляют по п. 4.3.1.4.

Допускаемое расхождение результатов двух параллельных определений и допускаемая абсолютная суммарная погрешность результата анализа - по п.4.3.1.4.

Типовая хроматограмма хлористого этила, полученная на 1,2,3-трис-(B-цианэтокси)пропане

1 - неидентифицированная примесь; 2 - бутан; 3 - винил хлористый; 4 - пентан; 5 - этил хлористый; 6 - 2-хлорпропен; 7 - 2-хлорпропан; 8 -транс-1,2-дихлорэтилен; 9 - аллил хлористый; 10 - четыреххлористый углерод; 11 - 1-хлорпропан; 12 - 1,1-дихлорэтан; 13 - 2-дихлорпропан; 14 - цис-1,2-дихлорэтилен; 15 - 1,2-дихлорэтан; 16 - 1,2-дихлорпропан


Черт.3


При разногласиях в оценке массовой доли хлористого этила определение проводят по методике 1.

4.4. Определение массовой доли нелетучего остатка

4.4.1. Массовую долю нелетучего остатка определяют по ГОСТ 27026, используя платиновую чашку по ГОСТ 6563 или кварцевую чашку по ГОСТ 19908.

При этом объем анализируемой пробы составляет 300 см3 для продукта высшего сорта или 100 см3 для продукта первого сорта.

В охлажденную до 0°С чашу вносят охлажденным цилиндром вместимостью 100 см3 (ГОСТ 1770) пробу хлористого этила, помещают чашу на водяную баню комнатной температуры и испаряют в вытяжном шкафу.

4.4.2. Обработка результатов

Массовую долю нелетучего остатка (X1) в процентах вычисляют по формуле где m - масса нелетучего остатка, г;
0,92 - плотность хлористого этила при 0°С, г/см3;

V - объем анализируемой пробы, см3.

За результат анализа принимают среднее арифметическое результатов двух параллельных определений, абсолютное расхождение между которыми не превышает допускаемое расхождение, равное 0,0002% для продукта высшего сорта и 0,001% для продукта первого сорта, при доверительной вероятности P=0,95.

Допускаемая абсолютная суммарная погрешность результата определения ±0,00032% для продукта высшего сорта и ±0,0008% для продукта первого сорта при доверительной вероятности P=0,95.

4.5. Определение массовой доли воды

Массовую долю воды определяют по ГОСТ 14870 реактивом Фишера или по ГОСТ 24614.

При разногласиях в оценке массовой доли воды определение проводят по ГОСТ 14870 электрометрическим титрованием.

4.6. Определение массовой доли кислот в пересчете на соляную кислоту (НСl)

4.6.1. Аппаратура, реактивы, растворы

Цилиндр по ГОСТ 1770 вместимостью 100 см3.

Бюретки по ГОСТ 20292 вместимостью 5 и 25 см3.

Посуда лабораторная стеклянная по ГОСТ 25336.

Вода дистиллированная по ГОСТ 6709.

Индикатор нейтральный красный, водно-спиртовой раствор, готовят по ГОСТ 4919.1.

Натрия гидроокись, раствор молярной концентрации c(NaOH) = 0,01 моль/дм3, готовят и устанавливают коэффициент поправки по ГОСТ 25794.1.

Спирт этиловый ректификованный технический по ГОСТ 18300 высшего сорта.

4.6.2. Проведение анализа

В охлажденную делительную воронку из толстого стекла вместимостью 500 см3 цилиндром наливают 100 см3 хлористого этила, охлажденного до 0°С, и 100 см3 охлажденной воды, плотно закрывают пробкой, заворачивают в полотенце и интенсивно взбалтывают 2 мин, после чего дают жидкости отстояться в течение 1 мин и водный слой сливают.

Промывание повторяют еще два раза. Промывные воды собирают в коническую колбу вместимостью 500 см3, прибавляют 3-4 капли раствора индикатора и титруют раствором гидроокиси натрия до перехода красной окраски в желтую.

Одновременно в тех же условиях и с теми же реактивами проводят контрольный опыт.

4.6.3. Обработка результатов

Массовую долю кислот в пересчете на соляную кислоту (НСl) (X3) в процентах вычисляют по формуле где V1 - объем раствора гидроокиси натрия концентрации точно 0,01 моль/дм3, израсходованный на титрование анализируемой пробы, см3;

V - объем раствора гидроокиси натрия концентрации точно 0,01 моль/дм3, израсходованный на контрольное титрование, см3;

0,0003646 - масса соляной кислоты, соответствующая 1 см3 раствора гидроокиси натрия концентрации точно 0,01 моль/дм3, г;

0,92 - плотность хлористого этила при 0°С, г/см3;

100 - объем анализируемой пробы, см3.

За результат анализа принимают среднее арифметическое результатов двух параллельных определений, абсолютное расхождение между которыми не превышает допускаемое расхождение, равное 0,0001% для продукта высшего сорта и 0,0003% для продукта первого сорта, при доверительной вероятности P=0,95.

Допускаемая абсолютная суммарная погрешность результата определения ±0,0001% при доверительной вероятности P=0,95.

Допускается определять массовую долю кислот по методике, приведенной в приложении.

При разногласиях в оценке массовой доли кислот анализ проводят в соответствии с п.4.6.

4.7. Проба на содержание непредельных соединений

4.7.1. Аппаратура, реактивы, растворы

Склянка для промывания газов по ГОСТ 25336 типа СВТ или пробирка с барботером.

Вода дистиллированная по ГОСТ 6709.

Кислота серная по ГОСТ 4204.

Ртути окись желтая по ГОСТ 5230.

Ртуть сернокислая, раствор готовят следующим образом: 5 г жёлтой окиси ртути растворяют в 20 см3 серной кислоты и разбавляют водой до 100 см3.

4.7.2. Проведение анализа

В склянку для промывания газов помещают 10 см3 раствора сернокислой ртути и через него медленно в течение 30 мин пропускают пары, образующиеся при испарении 10 см3 хлористого этила, отобранного в ампулу или в пробирку.

Продукт соответствует требованиям настоящего стандарта, если при этом раствор сернокислой ртути остается прозрачным и бесцветным.

4.8. Проба на содержание ацетилена и его производных

4.8.1. Аппаратура, реактивы, растворы

Склянка для промывания газов по ГОСТ 25336 типа СВТ или пробирка с барботером.

аммиак водный по ГОСТ 3760.

Вода дистиллированная по ГОСТ 6709.

Гидроксиламина гидрохлорид по ГОСТ 5456.

Медь (II) сернокислая 5-водная по ГОСТ 4165.

Спирт этиловый ректификованный технический по ГОСТ 18300 высшего сорта.

Реактив Илосвайя, готовят следующим образом:

0,5 г 5-водной сернокислой меди помещают в мерную колбу по ГОСТ 1770 вместимостью 100 см3, растворяют в 20 см3 воды и прибавляют пипеткой по ГОСТ 20292 раствор аммиака в количестве, соответствующем 0,53 г NH3. Затем в колбу вводят раствор 2,5 г гидрохлорида гидроксиламина в 38 см3 воды, 4,5 см3 раствора желатина и 3,3 см3 этилового спирта, доводят объем раствора водой до метки и перемешивают. Реактив годен до тех пор, пока он бесцветен.

желатин пищевой по ГОСТ 11293, водный раствор с массовой долей 2%.

4.8.2. Проведение анализа

В склянку для промывания газов помещают 10 см3 реактива Илосвайя и пропускают через него пары, образующиеся при испарении 10 см3 хлористого этила, отобранного в ампулу или в пробирку.

Продукт соответствует требованиям настоящего стандарта, если после полного испарения хлористого этила реактив Илосвайя останется бесцветным.

5. ТРАНСПОРТИРОВАНИЕ И ХРАНЕНИЕ

5.1. Технический хлористый этил транспортируют железнодорожным транспортом в специальных цистернах грузоотправителя (грузополучателя), рассчитанных на давление в соответствии с "Правилами перевозок грузов", разд.41.

Цистерны должны быть рассчитаны на давление не менее 0,3 МПа (3 кгс/см2).

5.2. Специальные трафареты на цистерне и знаки опасности - в соответствии с разделом 41 "Правил перевозок грузов". Классификационный шифр 2313 по ГОСТ 19433. Серийный номер ООН 1037.

5.3. Перед заполнением осуществляют внешний осмотр цистерн, проверяют наличие остаточного давления.

Цистерны, возвращаемые для повторного наполнения, должны иметь остаточное давление продукта или инертного газа не менее 50 кПа (0,5 кгс/см2). При отсутствии остаточного давления или при плановом освидетельствовании удаляют остаток хлористого этила, цистерну продувают азотом или аргоном, затем пропаривают, промывают и высушивают.

На каждый кубический дециметр емкости цистерны допускается наполнение не более 0,8 кг хлористого этила.

Запорную арматуру цистерн после заполнения хлористым этилом закрывают предохранительным колпаком и пломбируют.

5.4. Технический хлористый этил хранят у изготовителя (потребителя) при температуре от минус 5 до минус 15°С в специальных емкостях под подушкой инертного газа: азота 1-го сорта (ГОСТ 9293) или аргона 1-го сорта (ГОСТ 10157). Емкости должны быть оборудованы системой улавливания паров продукта с избыточным давлением на выходе не менее 53,3 кПа.

6. ГАРАНТИИ ИЗГОТОВИТЕЛЯ

6.1. Изготовитель гарантирует соответствие качества хлористого этила требованиям настоящего стандарта при соблюдении условий хранения и транспортирования.

6.2. Гарантийный срок хранения хлористого этила высшего сорта - 1 мес, 1-го сорта - 3 мес с момента изготовления.

 

ПРИЛОЖЕНИЕ (рекомендации). Определение массовой доли кислот в пересчете на соляную кислоту (НСl)

ПРИЛОЖЕНИЕ
Рекомендуемое

1. Аппаратура, реактивы, растворы

Бюретка по ГОСТ 20292 исполнения 1 или 2 вместимостью 25 см3 с ценой деления 0,05 см3.

Посуда лабораторная стеклянная по ГОСТ 25336.

Термометр по ТУ 25-2021.003 любого типа с диапазоном измерения температур 0-100°С.

Цилиндр по ГОСТ 1770 вместимостью 100 см3.

Вода дистиллированная по ГОСТ 6709, нейтрализованная по смешанному индикатору (к 100 см3 воды добавляют 1 см3 раствора смешанного индикатора).

Натрия гидроокись, раствор молярной концентрации c(NaOH)=0,01 моль/дм3 готовят и устанавливают коэффициент поправки по ГОСТ 25794.1.

Смешанный индикатор (бромкрезоловый зеленый и метиловый красный), готовят по ГОСТ 4919.1.

2. Проведение анализа

Собирают установку, состоящую из испарителя - колбы КП вместимостью не менее 250 см3 и двух поглотителей - склянок для промывания газов, соединенных встык резиновыми трубками между собой и с отводом колбы. В каждый поглотитель наливают 100 см3 воды.

Охлажденным цилиндром в испаритель вносят 100 см3 анализируемого продукта, горловину колбы закрывают пришлифованной пробкой. Продукт испаряют в свободном режиме, пропуская пары его через поглотители. В конце испарения колбу подогревают на горячей водяной бане, испаряя продукт досуха.

Содержимое поглотителей количественно переносят в коническую колбу и титруют раствором гидроокиси натрия до перехода розовой окраски раствора в зеленую.

3. Обработка результатов

Массовую долю кислот в пересчете на соляную кислоту (НСl) (X4) в процентах вычисляют по формуле где V - объем раствора гидроокиси натрия концентрации точно 0,01 моль/дм3, израсходованный на титрование анализируемой пробы, см3;
0,0003646 - масса соляной кислоты, соответствующая 1 см3 раствора гидроокиси натрия концентрации точно 0,01 моль/дм3, г;

0,92 - плотность хлористого этила при 0°С, г/см3;

100 - объем анализируемой пробы, см3.

За результат анализа принимают среднее арифметическое результатов двух параллельных определений, абсолютное расхождение между которыми не превышает допускаемое расхождение, равное 0,0001% для продукта высшего сорта и 0,001% для продукта первого сорта, при доверительной вероятности P=0,95.

Допускаемая абсолютная суммарная погрешность результата определения ±0,00007% для продукта высшего сорта и ± 0,0007% для продукта первого сорта при доверительной вероятности P=0,95. 




официальное издание
М.:ИПК Издательство стандартов, 1992