Новости Нефтегазовая пром.
Выставки Наука и технология


Уксусная кислота лесохимическая ГОСТ 6968-76

Уксусная кислота лесохимическая. Технические условия (с Изменениями N 1, 2, 3, 4, 5) ГОСТ 6968-76


ГОСТ 6968-76

Группа Л42

МЕЖГОСУДАРСТВЕННЫЙ СТАНДАРТ

КИСЛОТА УКСУСНАЯ ЛЕСОХИМИЧЕСКАЯ

Технические условия

Acetic acid by wood distillation. Specifications

ОКП 24 3112 1000

Дата введения 1978-01-01

ИНФОРМАЦИОННЫЕ ДАННЫЕ

1. РАЗРАБОТАН И ВНЕСЕН Министерством лесной, целлюлозно-бумажной и деревообрабатывающей промышленности СССР

2. УТВЕРЖДЕН И ВВЕДЕН В ДЕЙСТВИЕ Постановлением Государственного комитета стандартов Совета Министров СССР от 11.11.76 N 2537

3. ВЗАМЕН ГОСТ 6968-66

4. ССЫЛОЧНЫЕ НОРМАТИВНО-ТЕХНИЧЕСКИЕ ДОКУМЕНТЫ

Обозначение НТД, на который дана ссылка

Номер пункта, подпункта

ГОСТ 12.1.005-88

6.2

ГОСТ 12.1.044-89

6.1

ГОСТ 83-79

3.7.1

ГОСТ 199-78

3.16.1

ГОСТ 200-76

3.12.2.1

ГОСТ 1341-97

4.2

ГОСТ 1760-86

4.2

ГОСТ 1770-74

3.2.1; 3.4.1; 3.5.1; 3.6.1; 3.7.1; 3.9.1; 3.10.2.1; 3.11.1; 3.11.2.1; 3.13.1; 3.14.1; 3.15.1; 3.17.1

ГОСТ 2239-79

3.4.1

ГОСТ 2991-85

4.4; 4.5

ГОСТ 3118-77

3.7.1; 3.12.2.1; 3.16.1

ГОСТ 3760-79

3.10.2.1

ГОСТ 4108-72

3.7.1

ГОСТ 4159-79

3.17.1

ГОСТ 4197-74

3.16.1

ГОСТ 4204-77

3.9.2.1; 3.13.1; 3.14.1; 3.15.1; 3.17.1

ГОСТ 4208-72

3.14.1

ГОСТ 4212-76

3.8; 3.10.1; 3.10.2.1; 3.11.2.1

ГОСТ 4220-75

3.16.1

ГОСТ 4232-74

3.15.1

ГОСТ 4236-77

3.9.1

ГОСТ 4328-77

3.3.1; 3.5.1; 3.15.1; 3.17.1

ГОСТ 4517-87

3.7.1; 3.9.2.1; 3.15.1

ГОСТ 4919.1-77

3.3.1; 3.5.1; 3.15.1; 3.17.1

ГОСТ 5100-85

3.14.1

ГОСТ 5445-79

2.1; 3.1

ГОСТ 5632-72

4.8; 4.12

ГОСТ 6344-73

3.16.1

ГОСТ 6709-72-->ГОСТ 6709-72

3.2.1; 3.3.1; 3.4.1; 3.5.1; 3.7.1; 3.10.2.1; 3.14.1; 3.16.1; 3.17.1

ГОСТ 9147-80

3.6.1; 3.7.1; 3.9.1; 3.10.2.1; 3.12.2.1

ГОСТ 10163-76

3.7.1; 3.15.1; 3.17.1

ГОСТ 10485-75

1.2; 3.12.1; 3.12.2.2

ГОСТ 10554-74

1.2; 3.10.1; 3.10.2.2

ГОСТ 10555-75

1.2; 3.11.1; 3.11.2.2

ГОСТ 10671.7-74

1.2; 3.8

ГОСТ 13516-86

4.4

ГОСТ 14192-96

4.6

ГОСТ 15846-79

4.5

ГОСТ 17299-78

3.3.1; 3.5.1; 3.9.2.1

ГОСТ 17319-76

1.2; 3.9.1; 3.9.2.2

ГОСТ 18300-87

3.11.2.1

ГОСТ 18481-81

3.6.1; 3.15.1; 3.17.1

ГОСТ 18573-86

4.3; 4.4

ГОСТ 19433-88

4.6

ГОСТ 20490-75

3.13.1; 3.14.1; 3.15.1

ГОСТ 24363-80

3.3.1; 3.5.1; 3.15.1

ГОСТ 25336-82

3.3.1; 3.5.1; 3.6.1; 3.7.1; 3.8; 3.9.1; 3.9.2.1; 3.11.2.1; 3.12.2.1; 3.13.1; 3.14.1; 3.15.1; 3.16.1; 3.17.1

ГОСТ 25794.1-83

3.5.1; 3.15.1; 3.17.1

ГОСТ 25794.2-83

3.13.1; 3.14.1; 3.15.1; 3.16.1; 3.17.1

ГОСТ 27068-86

3.15.1; 3.17.1

ГОСТ 28670-90

4.1; 4.6; 4.8

5. Ограничение срока действия снято Постановлением Госстандарта СССР от 20.12.91 N 2020

6. ИЗДАНИЕ (октябрь 2001 г.) с Изменениями N 1, 2, 3, 4, 5, утвержденными в марте 1980 г., октябре 1982 г., апреле 1987 г., декабре 1990 г., декабре 1991 г. (ИУС 4-80, 8-82, 7-87, 3-91, 4-92)

Настоящий стандарт распространяется на лесохимическую уксусную кислоту, получаемую из продуктов пиролиза древесины.

Формула: CH3COOH

Относительная молекулярная масса (по международным атомным массам 1985 г.) - 60,05.

Требования настоящего стандарта, кроме требований пп.6, 7, 9 и 10 табл.1, являются обязательными.

Стандарт пригоден для целей сертификации по показателям безопасности для жизни и здоровья населения, охраны окружающей среды. Требования к качеству продукции, обеспечивающие безопасность для жизни и здоровья населения, охрану окружающей среды, изложены в табл.1, пп.8 и 11.

(Измененная редакция, Изм. N 5).

1. МАРКИ И ТЕХНИЧЕСКИЕ ТРЕБОВАНИЯ

1.1. Лесохимическую уксусную кислоту изготовляют марок, сортов и концентраций, указанных в табл.1а.

Таблица 1а

Марка, сорт, концентрация

Код ОКП

Область применения

1. Пищевая (эссенция):

24 3112 1300

Для консервирования плодов, овощей, рыбных продуктов, для приготовления майонезов и других пищевых продуктов

высший сорт

24 3112 1320

70%-ная

24 3112 1323

80%-ная

24 3112 1324

1-й сорт

24 3112 1330

70%-ная

24 3112 1333

80%-ная

24 3112 1334

2. Техническая:

24 3112 1400

Для производства пищевой уксусной кислоты и сложных эфиров

1-й сорт

24 3112 1430

2-й сорт

24 3112 1440


(Измененная редакция, Изм. N 3).

1.2. По физико-химическим показателям лесохимическая Уксусная кислота должна соответствовать требованиям и нормам, указанным в табл.1.

Таблица 1

Наименование показателя

Норма для марки

Метод анализа

пищевой

технической

Высший сорт

1-й сорт

1-й сорт

2-й сорт

1. Внешний вид

Прозрачная бесцветная жидкость без механических примесей

Прозрачная бесцветная или бледно-желтая жидкость без механических примесей

По п.3.2

2. Запах

Не должна иметь дегтярного запаха и запаха гари

Не нормируется

По п.3.3

3. Растворимость в дистиллированной воде

Не должно быть помутнения и опалесценции в течение 30 мин

Не нормируется

По п.3.4

4. Массовая доля уксусной кислоты, %

70±1

80±1

70±1

80±1

Не менее 96

Не менее 93

По п.3.5

5. Массовая доля нелетучего остатка, %, не более

0,008

0,008

0,03

0,05

По п.3.6

6. Массовая доля сульфатов, %, не более

0,0002

0,0002

Не нормируется

По п.3.7

7. Массовая доля хлоридов, %, не более

0,0001

0,0001

Не нормируется

По ГОСТ 10671.7 и п.3.8 настоящего стандарта

8. Массовая доля тяжелых металлов (Pb), %, не более

0,00008

0,00008

Не нормируется

По ГОСТ 17319 и п.3.9 настоящего стандарта

9. Массовая доля меди, %, не более

0,0005

0,0005

Не нормируется

По ГОСТ 10554 и п.3.10 настоящего стандарта

10. Массовая доля железа, %, не более

0,0001

0,0001

Не нормируется

По ГОСТ 10555 и п.3.11 настоящего стандарта

11. Массовая доля мышьяка, %, не более

0,0001

0,0001

Не нормируется

По ГОСТ 10485 и п.3.12 настоящего стандарта

12. Устойчивость к раствору марганцовокислого калия концентрации c(1/5KMnO4)=0,1 моль/дм3 (0,1 н.), мин, не менее

60

30

Не нормируется

По п.3.13

13. Массовая доля органических веществ в пересчете на муравьиную кислоту, %, не более

0,1

0,4

-

-

По п.3.14

-

-

2,5

5,7

По п.3.15

14. Массовая доля вещества с карбонильной группой, %, не более

Не темнее окраски раствора двухромовокислого калия концентрации c(1/2K2Cr2O7)=0,5 моль/дм3 (0,5 н.)

-

-

По п.3.16

-

-

0,3

0,6

По п.3.17


Примечания:

1. (Исключено, Изм. N 3).

2. Показатели 13 и 14 таблицы для технической уксусной кислоты, предназначенной для производства сложных эфиров, не нормируются.

3. Пищевая лесохимическая Уксусная кислота, предназначенная для консервирования продуктов на предприятиях пищевой промышленности Госагропрома СССР и транспортируемая в железнодорожных цистернах, должна иметь концентрацию не менее 80%.

(Измененная редакция, Изм. N 1, 3, 4).

2. ПРАВИЛА ПРИЕМКИ

2.1. Правила приемки уксусной кислоты - по ГОСТ 5445 со следующими дополнениями: в документе о качестве должна быть указана концентрация продукта для пищевой кислоты; при отправке продукта в цистернах партией считают каждую цистерну.

(Измененная редакция, Изм. N 2).

2.2. Массовую долю сульфатов, хлоридов, меди, железа определяют по требованию потребителя.

(Измененная редакция, Изм. N 5).

2.3. (Исключен, Изм. N 2).

3. МЕТОДЫ АНАЛИЗА

3.1. Методы отбора проб - по ГОСТ 5445. Объем средней пробы должен быть не менее 500 см3.

(Измененная редакция, Изм. N 5).

3.2а. Допускается применять другие средства измерения с метрологическими характеристиками и оборудование с техническими характеристиками не хуже, а также реактивы по качеству не ниже указанных в настоящем стандарте.

(Введен дополнительно, Изм. N 5).

3.2. Определение внешнего вида

3.2.1. Посуда и реактивы:

цилиндр по ГОСТ 1770 вместимостью 50 см3;

Вода дистиллированная по ГОСТ 6709.

(Измененная редакция, Изм. N 3).

3.2.2. Проведение анализа

В цилиндр наливают 25 см3 анализируемого продукта, в другой такой же цилиндр - 25 см3 дистиллированной воды и жидкости сравнивают между собой, смотря сверху по оси цилиндров. Продукт должен быть прозрачным и бесцветным. Для технической кислоты допускается бледно-желтая окраска.

3.3. Определение запаха

3.3.1. Посуда и реактивы:

пипетка вместимостью 5 см3;

колба типа Кн по ГОСТ 25336, вместимостью 50 см3;

калия гидроокись по ГОСТ 24363 или

натрия гидроокись по ГОСТ 4328, раствор концентрации cKОН) или c(NaOH)=2 моль/дм(2 н.);

фенолфталеин (индикатор), спиртовой раствор с массовой долей фенолфталеина 1%; готовят по ГОСТ 4919.1;

спирт этиловый технический по ГОСТ 17299;

Вода дистиллированная по ГОСТ 6709.

(Измененная редакция, Изм. N 1, 3, 5).

3.3.2. Проведение анализа

5 см3 анализируемого продукта вносят в колбу пипеткой, нейтрализуют раствором гидроокиси натрия или гидроокиси калия в присутствии 2-3 капель раствора фенолфталеина и нагревают на плитке до начала кипения. Продукт считают соответствующим требованиям настоящего стандарта, если при этом не появится дегтярный запах или запах гари.

Допускается проводить определение запаха уксусной кислоты при разбавлении дистиллированной водой 1:20.

При этом разбавленная кислота не должна иметь дегтярного запаха или запаха гари. При разногласиях в оценке запаха определение проводят при нейтрализации кислоты раствором гидроокиси натрия или гидроокиси калия.

(Измененная редакция, Изм. N 5).

3.4. Определение растворимости в дистиллированной воде

3.4.1. Аппаратура, посуда и реактивы:

лампа типа В220-230-25 или В220-230-15 по ГОСТ 2239;

цилиндр по ГОСТ 1770 вместимостью 100 см3;

Вода дистиллированная по ГОСТ 6709.

3.4.2. Проведение анализа

В цилиндр наливают 25 см3 анализируемого продукта, 25 см3 дистиллированной воды и перемешивают. В другой такой же цилиндр наливают 50 см3 дистиллированной воды. Цилиндры ставят на подставку черного цвета на расстоянии 25-30 см от источника света, который помещают на уровне середины столба жидкости.

Сверху источник света должен быть защищен экраном. Через 30 мин жидкости в цилиндрах сравнивают, смотрят сверху по оси цилиндров. Продукт считают соответствующим требованиям настоящего стандарта, если не появилось помутнения или опалесценции.

3.4.1, 3.4.2. (Измененная редакция, Изм. N 2, 3).

3.5. Определение массовой доли уксусной кислоты

3.5.1. Приборы, посуда и реактивы:

весы лабораторные с наибольшим пределом взвешивания 200 г;

колба типа Кн по ГОСТ 25336 вместимостью 100 см3;

бюретка типа 1 вместимостью 25 см3;

пипетки вместимостью 1 и 5 см;

цилиндр исполнений 1, 3 по ГОСТ 1770 вместимостью 25 см3;

калия гидроокись по ГОСТ 24363, раствор молярной концентрации c(KОН)=1 моль/дм3 или натрия гидроокись по ГОСТ 4328, раствор молярной концентрации c(NaOH)=1 моль/дм3; готовят по ГОСТ 25794.1;

фенолфталеин (индикатор), спиртовой раствор с массовой долей фенолфталеина 1%; готовят по ГОСТ 4919.1;

спирт этиловый технический по ГОСТ 17299;

Вода дистиллированная по ГОСТ 6709.

(Измененная редакция, Изм. N 3, 5).

3.5.2. Проведение анализа

5 см3 дистиллированной воды вносят в колбу пипеткой и взвешивают, затем добавляют 1 см3 анализируемого продукта и снова взвешивают. Результаты взвешивания записывают с точностью до четвертого десятичного знака.

По разности результатов взвешивания определяют навеску анализируемого продукта, затем в колбу наливают цилиндром 20 см3 дистиллированной воды и титруют содержимое раствором гидроокиси калия или натрия в присутствии 2-3 капель раствора фенолфталеина.

(Измененная редакция, Изм. N 3).

3.5.3. Обработка результатов

Массовую долю уксусной кислоты (X) в процентах вычисляют по формуле где V - объем раствора гидроокиси калия или гидроокиси натрия молярной концентрации точно c(KОН) или c(NaOH)=1 моль/дм3 (1 н.), израсходованный на титрование, см3;

0?06005 - масса уксусной кислоты, соответствующая 1 см3 раствора гидроокиси калия или гидроокиси натрия молярной концентрации точно c(KОН) или c(NaOH)=1 моль/дм3 (1 н.).

За результат анализа принимают среднее арифметическое двух параллельных определений, абсолютное допускаемое расхождение между которыми при доверительной вероятности P=0,95 не должно превышать 0,6%.

(Измененная редакция, Изм. N 3, 5).

3.6. Определение массовой доли нелетучего остатка

3.6.1. Аппаратура и посуда:

весы лабораторные с наибольшим пределом взвешивания 200 г;

лампа накаливания зеркальная типа ИКЗ 215-225-500 или баня водяная;

чашки фарфоровые выпарительные по ГОСТ 9147 вместимостью 50 и 100 см3;

эксикатор по ГОСТ 25336;

цилиндры исполнений 1, 3 по ГОСТ 1770 вместимостью 50 и 100 см3;

ареометр по ГОСТ 18481.

(Измененная редакция, Изм. N 3, 4, 5).

3.6.2. Проведение анализа

100 см3 пищевой уксусной кислоты или 50 см3 технической уксусной кислоты наливают по частям в чашку, доведенную до постоянной массы и взвешенную. Содержимое чашки выпаривают под инфракрасной лампой или на водяной бане. При этом чашку помещают под лампу на расстоянии 20 см. Чашку с остатком помещают в сушильный шкаф и сушат при (105±3) °С в течение 30 мин, затем охлаждают в эксикаторе и взвешивают. Результаты взвешиваний записывают с точностью до четвертого десятичного знака.

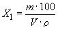
3.6.3. Обработка результатов

Массовую долю нелетучего остатка (X1) в процентах вычисляют по формуле где V - объем уксусной кислоты, взятый для анализа, см;

- плотность кислоты, определенная ареометром, г/см;

m - масса остатка, г.

За результат анализа принимают среднее арифметическое двух параллельных определений, абсолютное допускаемое расхождение между которыми при доверительной вероятности P=0,95 не должно превышать для пищевой уксусной кислоты 0,001%, для технической уксусной кислоты - 0,005%.

3.6.2, 3.6.3. (Измененная редакция, Изм. N 3, 5).

3.7. Определение массовой доли сульфатов

(Измененная редакция, Изм. N 4).

3.7.1. Приборы, посуда, реактивы:

лампа накаливания зеркальная типа ИКЗ 215-225-500 или водяная баня;

колбы конические по ГОСТ 25336 вместимостью 50 или 100 см3;

колба мерная по ГОСТ 1770 вместимостью 100 см3;

пипетки вместимостью 1,5; 20 см3;

чашка фарфоровая выпарительная по ГОСТ 9147 вместимостью 100 см3;

цилиндр по ГОСТ 1770 вместимостью 50 или 100 см3;

барий хлористый 2-водный по ГОСТ 4108, раствор с массовой долей 20%, готовят по ГОСТ 4517;

Натрий углекислый по ГОСТ 83, ч.д.а. или х.ч., раствор с массовой долей 1%;

кислота соляная по ГОСТ 3118, х.ч. или ч.д.а, раствор с массовой долей 10%; готовят по ГОСТ 4517;

крахмал растворимый по ГОСТ 10163, ч. или ч.д.а., раствор с массовой долей 1%; готовят по ГОСТ 4517;

Вода дистиллированная по ГОСТ 6709.

(Измененная редакция, Изм. N 5).

3.7.2. Подготовка к анализу

Всю посуду обрабатывают соляной кислотой, разбавленной водой в соотношении 1:1, затем промывают водопроводной, потом дистиллированной водой.

Основной раствор А, содержащий 1 мг/см3 сульфатов, готовят по ГОСТ 4212.

Раствор Б, содержащий 0,01 мг/см3 сульфатов, готовят разбавлением основного раствора в 100 раз и применяют для анализа свежеприготовленным.

3.7.3. Проведение анализа

В чашку наливают 20 см3 анализируемого продукта, 1 см3 раствора углекислого натрия и выпаривают досуха под инфракрасной лампой или на водяной бане. Остаток количественно переносят в коническую колбу, ополаскивая стенки чашки небольшими порциями дистиллированной воды. Общий объем добавленной дистиллированной воды 25 см3. Затем добавляют 1 см3 соляной кислоты и 3 см3 раствора крахмала. Температура полученной смеси должна быть не менее 25 °С. При необходимости смесь следует подогреть на водяной бане. Затем прибавляют по каплям 3 см3 раствора хлористого бария при тщательном перемешивании.

Одновременно таким же образом готовят раствор сравнения, содержащий 0,04 мг сульфатов, что соответствует норме 0,0002% в анализируемом продукте. Для этого в коническую колбу вносят те же количества реактивов, кроме раствора углекислого натрия, а вместо анализируемого продукта берут 4 см3 раствора Б и 21 см3 дистиллированной воды.

Продукт считают соответствующим требованиям настоящего стандарта, если наблюдаемая через 30 мин на темном фоне опалесценция анализируемого продукта не будет интенсивнее опалесценции раствора сравнения.

3.7.1-3.7.3. (Введены дополнительно, Изм. N 4).

3.8. Массовую долю хлоридов определяют по ГОСТ 10671.7 визуально-нефелометрическим (способ 1) методом со следующими дополнениями:

для анализа берут 5 см3 уксусной кислоты;

определение проводят в пробирках типа П1 или П2 по ГОСТ 25336 вместимостью от 40 до 75 см3;

раствор сравнения, содержащий 0,001 мг/см3 Cl, готовят разбавлением в 1000 раз основного раствора, приготовленного по ГОСТ 4212.

Продукт считают соответствующим требованиям настоящего стандарта, если масса хлоридов не будет превышать 0,005 мг.

(Измененная редакция, Изм. N 2, 5).

3.9. Определение массовой доли тяжелых металлов (Pb)

3.9.1. Массовую долю тяжелых металлов определяют по ГОСТ 17319 тиоацетамидным визуально-колориметрическим методом со следующими дополнениями:

определение проводят в пробирках типа П1 или П2 по ГОСТ 25336 вместимостью от 40 до 75 см3;

основной раствор сравнения готовят следующим образом: 0,1300 г азотнокислого свинца по ГОСТ 4236 (соответствует 0,08 г Pb) взвешивают (результаты взвешивания записывают с точностью до четвертого десятичного знака), количественно переносят в мерную колбу (ГОСТ 1770) вместимостью 1 дм3 и доводят объем до метки дистиллированной водой. Раствор сравнения, содержащий 0,0008 мг/см Pb, готовят разбавлением в 100 раз основного раствора сравнения;

пробу для анализа готовят следующим образом: 10 см3 анализируемого продукта вносят пипеткой в фарфоровую чашку (ГОСТ 9147) вместимостью 25 см3. В другую такую же чашку вносят 10 см3 раствора сравнения. Содержимое чашек упаривают под инфракрасной лампой типа ИКЗ 215-225-500 или на водяной бане до 1 см3, охлаждают и нейтрализуют раствором гидроокиси натрия до pH 7 по универсальной индикаторной бумаге. Содержимое чашек количественно переносят в пробирки, ополаскивая стенки чашек небольшими порциями дистиллированной воды и добавляют в каждую из них 1 см3 раствора винно-кислого калия-натрия, 2 см3 раствора гидроокиси натрия, 1 см3 раствора тиоацетамида и доводят объемы растворов в каждой пробирке до 10 см3.

Окраски растворов в пробирках сравнивают, как указано в ГОСТ 17319.

Продукт считают соответствующим требованиям настоящего стандарта, если масса тяжелых металлов (Pb) не будет превышать 0,008 мг.

Допускается проводить определение с серной кислотой.

(Измененная редакция, Изм. N 3, 4, 5).

3.9.2. Определение массовой доли тяжелых металлов (Pb) серной кислотой

3.9.2.1. Посуда и реактивы:

пробирки типа П1 и П2 по ГОСТ 25336 вместимостью от 40 до 75 см3;

пипетка вместимостью 5 см3;

спирт этиловый технический по ГОСТ 17299.

кислота серная по ГОСТ 4204, х.ч., раствор с массовой долей серной кислоты 10%; готовят по ГОСТ 4517.

(Измененная редакция, Изм. N 3, 5).

3.9.2.2. Проведение анализа

В пробирку вносят пипеткой 3 см3 анализируемого продукта, 5 см3 этилового спирта и 5-7 капель раствора серной кислоты.

Продукт считают соответствующим требованиям настоящего стандарта, если при этом не появляется помутнение.

При разногласиях в оценке массовой доли тяжелых металлов анализ проводят по ГОСТ 17319.

3.10. Определение массовой доли меди

3.10.1. Массовую долю меди определяют по ГОСТ 10554 методом с применением диэтилдитиокарбамата свинца (визуально-колориметрическое определение) со следующими дополнениями:

для анализа берут 5 см3 уксусной кислоты и добавляют 20 см3 дистиллированной воды;

раствор сравнения, содержащий 0,005 мг/см3 Cu, готовят разбавлением в 200 раз основного раствора, приготовленного по ГОСТ 4212.

Продукт считают соответствующим требованиям настоящего стандарта, если масса меди не будет превышать 0,025 мг.

Допускается проводить определение с аммиаком.

(Измененная редакция, Изм. N 2, 5).

3.10.2. Определение массовой доли меди аммиаком

3.10.2.1. Аппаратура, посуда и реактивы:

лампа накаливания зеркальная типа ИКЗ 215-225-500 или баня водяная;

чашка фарфоровая выпарительная по ГОСТ 9147 вместимостью 50 см3;

колба мерная по ГОСТ 1770 вместимостью 1 дм3;

цилиндры по ГОСТ 1770 вместимостью 10 и 50 см3;

аммиак водный по ГОСТ 3760;

раствор сравнения, содержащий 0,005 мг/см3 Cu, готовят разбавлением в 200 раз основного раствора, приготовленного по ГОСТ 4212;

Вода дистиллированная по ГОСТ 6709.

(Измененная редакция, Изм. N 3, 4).

3.10.2.2. Проведение анализа

В чашку наливают по частям 50 см3 анализируемого продукта, в другую такую же чашку - 50 см3 раствора сравнения. Содержимое чашек упаривают под инфракрасной лампой или на водяной бане до 2 см3. Затем в каждую чашку прибавляют по 8 см3 аммиака.

Продукт считают соответствующим требованиям настоящего стандарта, если окраска анализируемого раствора не будет интенсивнее окраски раствора сравнения.

При разногласиях в оценке массовой доли меди анализ проводят по ГОСТ 10554.

(Измененная редакция, Изм. N 5).

3.11. Определение массовой доли железа

3.11.1. Массовую долю железа определяют по ГОСТ 10555 2,2'-дипиридиловым методом с предварительным восстановлением аскорбиновой кислотой со следующими изменениями:

для анализа берут 10 см3 уксусной кислоты и раствор аммиака с массовой долей 25%;

определение проводят в мерных колбах по ГОСТ 1770 вместимостью 50 см3.

Продукт считают соответствующим требованиям настоящего стандарта, если масса железа не будет превышать 0,01 мг.

Допускается проводить определение визуальным методом.

(Измененная редакция, Изм. N 3).

3.11.2. Определение массовой доли железа визуальным методом

3.11.2.1. Посуда, реактивы и растворы:

пробирки типа П1 или П2 по ГОСТ 25336 вместимостью от 40 до 75 см3;

пипетки вместимостью 2 см3;

колбы мерные по ГОСТ 1770 вместимостью 100 и 1000 см3;

кислота аскорбиновая, раствор с массовой долей аскорбиновой кислоты 5%;

2,2'-дипиридил, раствор с массовой долей 2,2'-дипиридила 0,5%; готовят следующим образом: 0,5 г 2,2'-дипиридила растворяют в 20 см3 этилового спирта в мерной колбе вместимостью 100 см3 и доводят объем до метки дистиллированной водой;

раствор сравнения, содержащий 0,001 мг/см3 Fe, готовят разбавлением в 1000 раз основного раствора, приготовленного по ГОСТ 4212;

спирт этиловый ректификованный технический по ГОСТ 18300.

(Измененная редакция, Изм. N 1, 3).

3.11.2.2. Проведение анализа

2 см3 анализируемого продукта вносят в пробирку пипеткой, в другую такую же пробирку вносят 2 см3 раствора сравнения. В каждую пробирку добавляют 2 см3 раствора аскорбиновой кислоты, 2 смраствора 2,2'-дипиридила, перемешивают и оставляют в покое на 20 мин.

Продукт считают соответствующим требованиям настоящего стандарта, если окраска анализируемого раствора не будет интенсивнее окраски раствора сравнения.

При разногласиях в оценке массовой доли железа анализ проводят по ГОСТ 10555.

3.12. Определение массовой доли мышьяка

3.12.1. Массовую долю мышьяка определяют по ГОСТ 10485 с применением бромно-ртутной бумаги со следующим дополнением:

для анализа берут 2 см3 уксусной кислоты.

Продукт считают соответствующим требованиям настоящего стандарта, если масса мышьяка не будет превышать 0,002 мг.

Допускается проводить определение гипофосфитным методом.

3.12.2. Определение массовой доли мышьяка гипофосфитным методом

3.12.2.1. Аппаратура, посуда и реактивы:

лампа накаливания зеркальная типа ИКЗ 215-225-500 или баня водяная;

стакан В-1-250 по ГОСТ 25336;

пробирки типа П1 или П2 по ГОСТ 25336 вместимостью от 15 до 25 см3;

пипетки вместимостью 5 и 20 см3;

чашка фарфоровая выпарительная по ГОСТ 9147 вместимостью 25 см3;

Натрий фосфорноватистокислый 1-водный по ГОСТ 200;

кислота соляная по ГОСТ 3118, ч.д.а.;

реактив для определения массовой доли мышьяка, готовят следующим образом: 20 г 1-водного фосфорноватистокислого натрия взвешивают (результат записывают с точностью до первого десятичного знака), растворяют в 40 см3 дистиллированной воды и полученный раствор переносят в стакан, в который предварительно наливают 180 см3 соляной кислоты. После отстаивания в течение суток раствор отделяют деконтацией от выделившихся кристаллов хлористого натрия.

(Измененная редакция, Изм. N 3, 4, 5).

3.12.2.2. Проведение анализа

20 см3 анализируемого продукта вносят пипеткой в чашку и выпаривают под лампой или на водяной бане до 1 см3.

Содержимое чашки количественно переносят в пробирку, ополаскивая стенки чашки небольшими порциями дистиллированной воды, и добавляют 3 см3 реактива для определения мышьяка. В другую такую же пробирку вносят пипеткой 3 см3 реактива для определения мышьяка и доводят объемы растворов в обеих пробирках дистиллированной водой до 6 см3. Содержимое пробирок нагревают 15 мин на кипящей водяной бане.

Продукт считают соответствующим требованиям настоящего стандарта, если анализируемый раствор не окрасится и не помутнеет при сравнении с контрольным раствором.

При разногласиях в оценке массовой доли мышьяка анализ проводят по ГОСТ 10485.

3.13. Определение устойчивости к раствору марганцовокислого калия концентрации c(1/5KMnO4)=0,1 моль/дм3 (0,1 н.).

3.13.1. Посуда и реактивы:

колба типа Кн по ГОСТ 25336 вместимостью 100 см3;

пипетки вместимостью 1 и 2 см3;

цилиндр по ГОСТ 1770 вместимостью 25 см3;

кислота серная по ГОСТ 4204, х.ч.;

Калий марганцовокислый по ГОСТ 20490, раствор молярной концентрации c(1/5KMnO4)=0,1 моль/дм3 (0,1 н.); готовят по ГОСТ 25794.2.

(Измененная редакция, Изм. N 3, 5).

3.13.2. Проведение анализа

1 см3 анализируемого продукта вносят в колбу пипеткой, затем добавляют 25 смдистиллированной воды, 2 см3 серной кислоты и 0,5 см3 раствора марганцовокислого калия и определяют время в минутах по часам, в течение которого розовая окраска раствора не исчезает и не переходит в коричневую.

(Измененная редакция, Изм. N 5).

3.14. Определение массовой доли органических веществ в пересчете на муравьиную кислоту в пищевой уксусной кислоте

3.14.1. Аппаратура, посуда и реактивы:

весы лабораторные с наибольшим пределом взвешивания 200 г;

часы песочные на 3 мин;

баня водяная;

бюретки типов I и II вместимостью 50 см3;

стаканчик СВ 14/8 по ГОСТ 25336;

колба типа Кн по ГОСТ 25336 вместимостью 250 см3;

колба мерная по ГОСТ 1770 вместимостью 1 дм3;

цилиндр по ГОСТ 1770 вместимостью 100 см3;

сода кальцинированная техническая по ГОСТ 5100, раствор с массовой долей 5%;

Калий марганцовокислый по ГОСТ 20490, раствор молярной концентрации c(1/5KMnO4)=0,1 моль/дм3 (0,1 н.); готовят по ГОСТ 25794.2;

кислота серная по ГОСТ 4204;

соль закиси железа и аммония двойная сернокислая (Соль Мора) по ГОСТ 4208, раствор готовят следующим образом: 50 г соли Мора взвешивают, результат записывают с точностью до первого десятичного знака, помещают в мерную колбу вместимостью 1 дм3, добавляют 100 смсерной кислоты и доводят объем до метки дистиллированной водой;

Вода дистиллированная по ГОСТ 6709.

3.14.2. Проведение анализа

Около 2 г анализируемого продукта взвешивают в стаканчике для взвешивания (результат взвешивания записывают с точностью до четвертого десятичного знака), количественно переносят в колбу, ополаскивая стенки стаканчика для взвешивания 15-20 смдистиллированной воды. В колбу цилиндром наливают 60 см3 раствора кальцинированной соды и добавляют из бюретки 50 см3 раствора марганцовокислого калия. Содержимое колбы нагревают на кипящей водяной бане 3 мин. После быстрого охлаждения колбы под струей воды добавляют из бюретки 50 см3 раствора соли Мора. Полученный раствор титруют раствором марганцовокислого калия до перехода светло-желтой окраски в бледно-розовую. Параллельно проводят контрольный опыт при тех же условиях, но без анализируемого продукта.

3.14.1, 3.14.2. (Измененная редакция, Изм. N 5).

3.14.3. Обработка результатов

Массовую долю органических веществ в пересчете на муравьиную кислоту (X2) в процентах вычисляют по формуле где V1 - объем раствора марганцовокислого калия молярной концентрации точно 0,1 моль/дм3, израсходованный на титрование анализируемого раствора, см3;

V2 - объем раствора марганцовокислого калия молярной концентрации точно 0,1 моль/дм3, израсходованный на титрование контрольного раствора, см3;

m - масса навески уксусной кислоты, г;

0,0023 - масса муравьиной кислоты, соответствующая 1 см3 раствора марганцовокислого калия молярной концентрации точно 0,1 моль/дм3, г.

За результат анализа принимают среднее арифметическое двух параллельных определений, абсолютное допускаемое расхождение между которыми при доверительной вероятности P=0,95 не должно превышать 0,05%.

(Измененная редакция, Изм. N 3,5).

3.15. Определение массовой доли органических веществ в пересчете на муравьиную кислоту в технической уксусной кислоте

3.15.1. Аппаратура, посуда и реактивы:

баня водяная;

колба типа Кн по ГОСТ 25336 вместимостью 500 см3;

бюретки типов I и III вместимостью 50 см3;

пипетка вместимостью 1 см3;

цилиндры исполнений 1, 3 по ГОСТ 1770 вместимостью 50 см3;

Калий марганцовокислый по ГОСТ 20490, раствор молярной концентрации c(1/5KMnO4)=0,1 моль/дм3 (0,1 н.); готовят по ГОСТ 25794.2;

Калий йодистый по ГОСТ 4232, раствор с массовой долей йодистого калия 10%;

калия гидроокись по ГОСТ 24363, раствор молярной концентрации c(KOH)=1 моль/дм3;

натрия гидроокись по ГОСТ 4328, раствор молярной концентрации c(NaOH)=1 моль/дм3; готовят по ГОСТ 25794.1;

кислота серная по ГОСТ 4204, раствор с массовой долей 10%; готовят по ГОСТ 4517;

натрий серноватистокислый (натрия тиосульфат) 5-водный по ГОСТ 27068; раствор молярной концентрации c(Na2S2O3·5H2O)=0,1 моль/дм3 (0,1 н.);

крахмал растворимый по ГОСТ 10163, раствор с массовой долей крахмала 0,5%;

готовят по ГОСТ 4919.1;

ареометр по ГОСТ 18481.

(Измененная редакция, Изм. N 3, 5).

3.15.2. Проведение анализа

1 см3 анализируемого продукта вносят в колбу пипеткой, добавляют из бюретки 18 смраствора гидроокиси натрия или гидроокиси калия и 50 см3 раствора марганцовокислого калия. Колбу накрывают часовым стеклом, нагревают на кипящей водяной бане 30 мин и после охлаждения цилиндром наливают 50 см3 раствора серной кислоты и 30 см3 раствора йодистого калия. Колбу с содержимым выдерживают в темном месте 20 мин и выделившийся йод оттитровывают раствором тиосульфата натрия в присутствии 5-7 капель раствора крахмала. Параллельно проводят контрольный опыт при тех же условиях, но без анализируемого продукта.

(Измененная редакция, Изм. N 5).

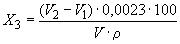
3.15.3. Обработка результатов

Массовую долю органических веществ в пересчете на муравьиную кислоту (X3) в процентах вычисляют по формуле где V  - объем уксусной кислоты, взятый для анализа, см3;

V1 - объем раствора тиосульфата натрия молярной концентрации точно 0,1 моль/дм3, израсходованный на титрование анализируемого раствора, см3;

V2 - объем раствора тиосульфата натрия молярной концентрации точно 0,1 моль/дм3, израсходованный на титрование контрольного раствора, см3;

0,0023 - масса муравьиной кислоты, соответствующая 1 см3 раствора марганцовокислого калия молярной концентрации точно 0,1 моль/дм3, г;

p - плотность уксусной кислоты, определенная ареометром, г/см3.

За результат анализа принимают среднее арифметическое двух параллельных определений, абсолютное расхождение между которыми при доверительной вероятности P=0,95 не должно превышать 0,2%.

(Измененная редакция, Изм. N3, 5).

3.16. Определение веществ с карбонильной группой в пищевой уксусной кислоте

3.16.1. Аппаратура, посуда и реактивы:

компаратор (см. чертеж) с диаметром смотровых отверстий 10 мм и диаметром отверстий для пробирок 18 мм;

пробирки типа П1 или П2 по ГОСТ 25336 диаметром 16 мм;

пипетки вместимостью 1 и 2 см3;

кислота антраниловая, раствор в разбавленной соляной кислоте с массовой долей 1,5%;

кислота соляная по ГОСТ 3118, разбавленная 1:20;

Натрий азотистокислый по ГОСТ 4197, раствор с массовой долей 10%;

калия гидроокись, раствор с массовой долей 50%;

Натрий уксуснокислый 3-водный по ГОСТ 199, раствор с массовой долей 50%;

смесь щелочная, приготовленная из равных объемов растворов гидроокиси калия и уксуснокислого натрия;

калий двухромовокислый по ГОСТ 4220, раствор молярной концентрации c(1/6K2Cr2O7)=0,5 моль/дм3 (0,5 н.); готовят по ГОСТ 25794.2;

тиомочевина по ГОСТ 6344, раствор с массовой долей 10%;

Вода дистиллированная по ГОСТ 6709.


1 - отверстия для пробирок; 2 - матовое стекло; 3 - смотровые отверстия

3.16.2. Проведение анализа

Из анализируемого продукта готовят раствор с массовой долей уксусной кислоты 30%, в пробирку вносят пипеткой 1 см3 полученного раствора и строго последовательно 0,5 смраствора антраниловой кислоты, 0,1 см3 раствора азотистокислого натрия, 2 см3 щелочной смеси, перемешивают и добавляют 1 см3 раствора тиомочевины. В другую такую же пробирку помещают раствор двухромовокислого калия. Обе пробирки ставят в компаратор и сравнивают между собой окраски их содержимого. Продукт считают соответствующим требованиям настоящего стандарта, если окраска анализируемого продукта не будет темнее окраски раствора двухромовокислого калия.

3.16.1, 3.16.2. (Измененная редакция, Изм. N 3, 5).

3.17. Определение массовой доли веществ с карбонильной группой в технической уксусной кислоте

3.17.1. Посуда и реактивы:

колба типа Кн по ГОСТ 25336 вместимостью 250 см3;

колба мерная по ГОСТ 1770 вместимостью 100 см3;

пипетки вместимостью 5 и 10 см3;

бюретка вместимостью 25 см3;

йод по ГОСТ 4159, раствор молярной концентрации c(1/2J2)=0,1 моль/дм3 (0,1 н.); готовят по ГОСТ 25794.2;

натрия гидроокись по ГОСТ 4328, раствор молярной концентрации c(NaOH)=1 моль/дм3 (1 н.); готовят по ГОСТ 25794.1;

натрий серноватистокислый (натрия тиосульфат) 5-водный по ГОСТ 27068, раствор молярной концентрации c(Na2S2O3x5H2O)=0,1 моль/дм3 (0,1 н.); готовят по ГОСТ 25794.2;

кислота серная по ГОСТ 4204, раствор массовой концентрации c(1/2H2SO4)=1 моль/дм3 (1 н.);

крахмал растворимый по ГОСТ 10163, раствор с массовой долей крахмала 0,5%; готовят по ГОСТ 4919.1;

Вода дистиллированная по ГОСТ 6709;

ареометр по ГОСТ 18481.

(Измененная редакция, Изм. N 2, 3, 5).

3.17.2. Проведение анализа

10 см3 анализируемого продукта вносят пипеткой в мерную колбу и доводят объем до метки дистиллированной водой, 5 см3 полученного раствора (соответствует 0,5 см3 анализируемого продукта) вносят в коническую колбу, добавляют из бюретки 20 см3 раствора щелочи. Содержимое колбы перемешивают, пипеткой приливают 10 см3 раствора йода и выдерживают в темном месте 10 мин. Добавляют 21 см3 раствора серной кислоты и избыток йода оттитровывают раствором тиосульфата натрия в присутствии 5-7 капель раствора крахмала. Параллельно проводят контрольный опыт при тех же условиях, но без анализируемого продукта.

3.17.3. Обработка результатов

Массовую долю веществ с карбонильной группой (X4) в процентах вычисляют по формуле где V1 - объем раствора тиосульфата натрия молярной концентрации точно 0,1 моль/дм3, израсходованный на титрование анализируемого раствора, см3;

V2 - объем раствора тиосульфата натрия молярной концентрации точно 0,1 моль/дм3, израсходованный на титрование контрольного раствора, см3;

0,0014 - масса карбонильных групп (СО), соответствующая 1 см3 раствора молярной концентрации точно 0,1 моль/дм3, г;

0,5 - объем уксусной кислоты, взятый для анализа, см3;

p - плотность уксусной кислоты, определенная ареометром, г/см3.

За результат анализа принимают среднее арифметическое двух параллельных определений, абсолютное допускаемое расхождение между которыми при доверительной вероятности P=0,95 не должно превышать 0,05%.

(Измененная редакция, Изм. N 3, 5).

4. УПАКОВКА, МАРКИРОВКА, ТРАНСПОРТИРОВАНИЕ И ХРАНЕНИЕ

4.1. Упаковка по ГОСТ 28670.

Вместимость стеклянных бутылей, применяемых для упаковки пищевой уксусной кислоты, - 10 и 20 дм3; степень заполнения бутылей - 95%. Допускаемое отклонение для массы уксусной кислоты 10,0 и 20,0 кг в бутыли ±3%.

Пищевую уксусную кислоту, предназначенную для торговой сети, разливают по 150, 170 или 200 г в стеклянные специализированные бутылки. Допускаемое отклонение массы уксусной кислоты в бутылке ±1 г.

Для предприятий, оснащенных автоматическими линиями типа "Виталакт Б2-ОДК", допускается отклонение ±6 г для массы уксусной кислоты 200 г.

4.2. Бутыли с пищевой уксусной кислотой укупоривают стеклянными притертыми или корковыми пробками, не бывшими в употреблении, полиэтиленовыми завинчивающимися крышками и пробками, изготовленными из древесины липы или березы.

Деревянные пробки предварительно обертывают пергаментом (ГОСТ 1341) или подпергаментом (ГОСТ 1760).

Горловины бутылей должны быть опечатаны или опломбированы предприятием-изготовителем. Бутылки с пищевой уксусной кислотой укупоривают корковыми или полиэтиленовыми пробками. Корковые пробки покрывают слоем сургучной смолки.

4.3. Бутылки с пищевой уксусной кислотой помещают в открытые деревянные ящики по ГОСТ 18573 N 1-1, 1-2, 1-3 (для бутылей вместимостью 10 дм3) и N 3-1, 3-2, 3-4 (для бутылей вместимостью 20 дм3).

Бутыли уплотняют снизу и с боков мягким уплотнительным материалом (древесной стружкой и др.). Уплотнительные материалы, применяемые для упаковывания бутылей с 80%-ной кислотой, должны быть подвергнуты огнезащитной обработке.

4.4. Бутылки с пищевой уксусной кислотой помещают в деревянные ящики N 11-1 и 22-1 по ГОСТ 18573, ящики типов II-1 и III-1 по ГОСТ 2991, картонные ящики N 30, 40, 55, 64, 83, 90 по ГОСТ 13841 и N 36, 65, 72 по ГОСТ 13516.

Масса брутто для ящиков не более 30 кг.

При упаковывании в деревянные ящики бутылки с кислотой завертывают в бумагу или устанавливают в перегородки-ячейки, стенки и дно ящиков выстилают, сверху бутылки покрывают мягким уплотнительным материалом (древесной стружкой, соломой, гофркартоном и др.).

При упаковывании бутылок с кислотой в картонные ящики применяют продольные и поперечные перегородки (решетки), горизонтальные прокладки.

4.1-4.4. (Измененная редакция, Изм. N 3, 5).

4.5. Пищевую уксусную кислоту, предназначенную для районов Крайнего Севера и отдаленных районов, упаковывают в соответствии с требованиями ГОСТ 15846*.
_______________
* На территории Российской Федерации действует ГОСТ 15846-2002. - Примечание изготовителя базы данных.


Бутылки с пищевой уксусной кислотой помещают в деревянные ящики типов II-1 по ГОСТ 2991, бутылки с пищевой уксусной кислотой помещают в деревянные ящики типов II-1 и III-1 по ГОСТ 2991. Индивидуальная упаковка бутылок с уксусной кислотой - перегородки-ячейки из гофрированного картона.

(Измененная редакция, Изм. N 3, 4).

4.6. Маркировка - по ГОСТ 28670.

На ящики с уксусной кислотой наносят манипуляционные знаки по ГОСТ 14192: "Хрупкое. Осторожно", "Беречь от влаги" (для картонных ящиков), "Верх" (для закрытых ящиков).

В соответствии с ГОСТ 19433 Уксусная кислота классифицируется следующим образом:

Уксусная кислота, раствор с массовой долей кислоты более 80% - класс 8, подкласс 8.1, классификационный шифр 8142;

Уксусная кислота, раствор с массовой долей кислоты более 10%, но не более 80% - класс 8, подкласс 8.1, классификационный шифр 8112.

В соответствии с ГОСТ 19433 на тару и (или) транспортный пакет с 70 и 80%-ной пищевой уксусной кислотой наносят знак опасности (черт.8), транспортное наименование груза, классификационный шифр 8112, серийный номер ООН-2790.

На железнодорожном транспортном средстве с 80%-ной кислотой наносят знак опасности по ГОСТ 19433 (черт.8), серийный номер ООН 2790, номер аварийной карты 105 при транспортировании в пределах страны.

На железнодорожном транспортном средстве с уксусной кислотой концентрации более 80% наносят знаки опасности по ГОСТ 19433 (черт.8 - основной, черт.3 - дополнительный), серийный номер ООН 2789, номер аварийной карты 105 при транспортировании в пределах страны.

(Измененная редакция, Изм. N 5).

4.7. (Исключен, Изм. N 5).

4.8. Транспортирование - по ГОСТ 28670.

Ящики с пищевой уксусной кислотой транспортируют по железной дороге только повагонными отправками.

Уксусную кислоту транспортируют в специальных железнодорожных цистернах грузоотправителя или грузополучателя в соответствии с правилами перевозок грузов. Для пищевой уксусной кислоты котел цистерны должен быть изготовлен из стали марок 12Х18Н10Т, 10Х17Н13М3Т, 12Х21Н5Т, 10Х17Н13М2Т по ГОСТ 5632.

(Измененная редакция, Изм. N 5).

4.9. 4.10. (Исключены, Изм. N 5).

4.11. (Исключен, Изм. N 3).

4.12. Пищевую уксусную кислоту хранят в упаковке предприятия-изготовителя или в герметических емкостях, изготовленных из стали марок 12Х18Н10Т, 12Х21Н5Т, 10Х17Н13М3Т, 10Х17Н13М2Т (ГОСТ 5632) в закрытых складских помещениях или под навесом.

Техническую уксусную кислоту хранят в герметических алюминиевых емкостях.

Не допускается совместное хранение уксусной кислоты с сильными окислителями (Азотная кислота, Серная кислота, перманганат калия и др.).

(Измененная редакция, Изм. N 2).

5. ГАРАНТИИ ИЗГОТОВИТЕЛЯ

5.1. Изготовитель гарантирует соответствие всего выпускаемого продукта требованиям настоящего стандарта при соблюдении условий транспортирования и хранения.

(Измененная редакция, Изм. N 3).

5.2. Гарантийный срок хранения лесохимической уксусной кислоты - два года со дня изготовления.

(Измененная редакция, Изм. N 2).

6. ТРЕБОВАНИЯ БЕЗОПАСНОСТИ

6.1. Лесохимическая Уксусная кислота - легковоспламеняющаяся органическая жидкость.

Область воспламенения паров уксусной кислоты в смеси с воздухом 3,3-22% (объемная доля).

Температура вспышки, воспламенения, самовоспламенения, нижнего предела воспламенения водных растворов уксусной кислоты марок "Пищевая" и "Техническая", определенные по ГОСТ 12.1.044, приведены в табл.2.

Таблица 2

Массовая доля уксусной кислоты, %

Температура, °С, не менее

вспышки в открытом тигле

воспламенения в открытом тигле

самовос-
пламенения

нижнего температурного предела воспламенения

Пищевая (высший и 1-й сорт):

70±1

90

Нет

545

Нет

80±1

Техническая:

2-й сорт

67

98

533

59

не менее 93

1-й сорт

62

84

522

54

не менее 96

48

72

498

43



Уксусная кислота является взрывоопасной и относится к 1-й категории группы Т1 взрывоопасных смесей. Тушить - распыленной водой, пенами из пенообразователей ПО-1Д, ПО-3АИ, "САМПО".

При высоких температурах Уксусная кислота разлагается с выделением двуокиси и окиси углерода.

(Измененная редакция, Изм. N 3).

6.2. Пары уксусной кислоты раздражают слизистые оболочки главным образом верхних дыхательных путей. Уксусная кислота вызывает ожоги кожи и глаз.

Предельно допускаемая концентрация паров уксусной кислоты в воздухе рабочей зоны 5 мг/м3, класс опасности 3 по ГОСТ 12.1.005.

(Измененная редакция, Изм. N 5).

6.3. При работе с кислотой должны применяться герметические аппараты, оборудование.

Помещения, в которых производятся работы с уксусной кислотой, должны быть оборудованы приточно-вытяжной вентиляцией.

Оборудование, в котором Уксусная кислота имеет открытый контакт с атмосферой, должно быть снабжено местными отсосами.

При работе с кислотой необходимо пользоваться индивидуальными защитными средствами. Средство защиты органов дыхания - фильтрующий промышленный противогаз марки В с коробкой.

Меры первой помощи при ожогах - обильное обмывание водой.

(Измененная редакция, Изм. N 3).




официальное издание
М.: ИПК Издательство стандартов, 2001