Спирты синтетические жирные первичные фракции С(16)-С(21) ГОСТ 23783-79
спирты синтетические жирные первичные фракции С(16)-С(21). Технические условия (с Изменениями N 1, 2, 3) ГОСТ 23783-79
ГОСТ 23783-79
Группа Л25*
______________________________
* Измененная редакция, Изм. N 2.
ГОСУДАРСТВЕННЫЙ СТАНДАРТ СОЮЗА ССР
спирты СИНТЕТИЧЕСКИЕ ЖИРНЫЕ ПЕРВИЧНЫЕ ФРАКЦИИ
Технические условия
Synthetic primary fatty alcohols C16-C21 fractions
Specifications
ОКП 24 2275 0200*
___________________
* Измененная редакция, Изм. N 2.
Срок действия с 01.07.1980
до 01.07.1985*
______________________________
* Ограничение срока действия снято
постановлением Госстандарта СССР от 16.04.91 N 511
(ИУС N 7, 1991 год).
РАЗРАБОТАН Министерством нефтеперерабатывающей и нефтехимической промышленности СССР
ИСПОЛНИТЕЛИ
В.И.Бавика, Л.В.Макарова, С.В.Макаров, Л.Г.Линчевская
ВНЕСЕН Министерством нефтеперерабатывающей и нефтехимической промышленности СССР
Заместитель министра В.М.Соболев
УТВЕРЖДЕН И ВВЕДЕН В ДЕЙСТВИЕ Постановлением Государственного Комитета СССР по стандартам от 14 августа 1979 г. N 3113
ВНЕСЕНЫ: Изменение N 1, введенное в действие Постановлением Государственного комитета СССР по стандартам от 09.03.83 N 1126 с 01.07.83, Изменение N 2, утвержденное и введенное в действие Постановлением Государственного комитета СССР по стандартам от 20.12.86 N 4290 с 01.06.87, Изменение N 3, утвержденное и введенное в действие Постановлением Государственного комитета СССР по управлению качеством продукции и стандартам от 16.04.91 N 511 с 01.10.91
Изменения N 1, 2, 3 внесены по тексту ИУС N 6 1983 год, ИУС N 4 1987 год, ИУС N 7 1991 год
Настоящий стандарт распространяется на синтетические первичные жирные спирты фракции C16-C21, получаемые каталитическим восстановлением метиловых эфиров синтетических жирных кислот и используемые в производстве поверхностно-активных веществ.
Требования настоящего стандарта, кроме требований к внешнему виду, эфирному числу, йодному числу и карбонильному числу, являются обязательными.
(Измененная редакция, Изм. N 2, 3).
1. ТЕХНИЧЕСКИЕ ТРЕБОВАНИЯ
1.1. спирты должны изготовляться в соответствии с требованиями настоящего стандарта по технологическому регламенту, утвержденному в установленном порядке.
(Измененная редакция, Изм. N 1).
1.2. По физико-химическим показателям спирты должны соответствовать требованиям и нормам, указанным в табл.1.
Таблица 1
|
Наименование показателя |
Норма |
Метод испытания |
|
1. Внешний вид при 20 °С |
Твердая масса от белого до желтого цвета |
По п.4.2 |
|
2. Кислотное число, мг КОН на 1 г, не более |
0,3 |
По ГОСТ 22386-77 |
|
3. Эфирное число, мг КОН на 1 г, не более |
2,5 |
По ГОСТ 26549-85 |
|
4. Гидроксильное число, мг КОН на 1 г |
200-225 |
По ГОСТ 23018-78 |
|
5. Массовая доля углеводородов, %, не более |
4,0 |
По п.4.4 |
|
6. Массовая доля воды, %, не более |
0,3 |
По ГОСТ 2477-65 |
|
7. Фракционный состав, %, не более |
По ГОСТ 24006-80 |
|
|
массовая доля спиртов до C16 |
10 |
|
|
массовая доля спиртов свыше C21 |
9 |
|
|
8. Йодное число, г йода на 100 г, не более |
1,5 |
По п.4.6 |
|
9. Карбонильное число, мг КОН на 1 г, не более |
2,5 |
По ГОСТ 26592-85 |
(Измененная редакция, Изм. N 1, 2).
2. ТРЕБОВАНИЯ БЕЗОПАСНОСТИ
2.1. спирты фракции C16-C21 относятся к горючим продуктам и имеют следующие параметры пожароопасности:
При взаимодействии с водой и кислородом воздуха спирты не горят и не воспламеняются.
2.2. Основными средствами пожаротушения являются:
пенные или углекислотные огнетушители - при загорании небольшого количества продукта;
тонкораспыленная Вода, воздушно-механическая пена - при разливе и загорании на значительной площади.
При производстве спиртов запрещается применять открытый огонь.
2.3. спирты не являются токсичными.
В случае аварийного разлива спиртов следует применять противогазы марки А или БКФ. Для исключения попадания паров продукта в воздух производственного помещения емкости, оборудование, коммуникации и средства отбора проб должны быть герметичными.
Предельно допустимая концентрация (ПДК) паров спиртов в воздухе рабочей зоны в пересчете на бутиловый спирт 0,2 мг/дм3.
Помещения, в которых проводятся работы с продуктом, должны быть оборудованы общей приточно-вытяжной механической вентиляцией.
(Измененная редакция, Изм. N 2).
3. ПРАВИЛА ПРИЕМКИ
3.1. спирты принимают партиями. Партией считают любое количество спиртов, однородное по показателям качества и оформленное одним документом о качестве, имеющим следующие данные:
наименование предприятия-изготовителя и его товарный знак;
наименование продукта;
номер партии;
дату изготовления;
результаты проведенных анализов;
обозначение настоящего стандарта.
(Измененная редакция, Изм. N 2).
3.2. Объем выборок - по ГОСТ 2517-85.
(Измененная редакция, Изм. N 1, 3).
3.3. При получении неудовлетворительных результатов анализа хотя бы по одному из показателей по нему проводят повторные анализы на удвоенной выборке. Результаты повторных анализов распространяются на всю партию.
(Измененная редакция, Изм. N 2).
4. МЕТОДЫ АНАЛИЗА
4.1a. Общие указания по проведению анализа - по ГОСТ 27025-86.
Допускается применение других средств измерения с метрологическими характеристиками и оборудования с техническими характеристиками не хуже, а также реактивов по качеству не ниже указанных в настоящем стандарте.
(Введен дополнительно, Изм. N 3).
4.1. Отбор проб - по ГОСТ 2517-85.
(Измененная редакция, Изм. N 1, 3).
4.2. Определение внешнего вида
В пробирку из бесцветного стекла по ГОСТ 25336-82 наливают анализируемые жирные спирты и просматривают их в проходящем свете.
(Измененная редакция, Изм. N 2).
4.3, 4.3.1-4.3.3. (Исключены, Изм. N 2).
4.4. Определение массовой доли углеводородов
4.4.1. Материалы, реактивы и аппаратура
силикагель марки АСК по ГОСТ 3956-76, прокаленный в тонком слое в течение 1 ч при 550 °С.
Эфир этиловый технический по ГОСТ 6265-74.
Эфир петролейный марки 40-70.
Колонка газохроматографическая - стеклянная трубка диаметром 15-16 мм, высотой 680-700 мм.
Колба КН-2-250 или П-2-250 ТХС по ГОСТ 25336-82.
Стакан Н-1-50 ТС по ГОСТ 25336-82.
Воронка ВД-1,2,3-100 ХС-1 по ГОСТ 25336-82.
Весы лабораторные общего назначения 2-го класса точности по ГОСТ 21104-88 с наибольшим пределом взвешивания 200 г.
Баня водная.
(Измененная редакция, Изм. N 2, 3).
4.4.2. Проведение анализа
В нижнюю часть колонки помещают кусочек гигроскопической ваты, понемногу засыпают силикагель и плотно утрамбовывают, уплотняя слой легким постукиванием по колонке стеклянной палочкой, защищенной резиновой трубкой, до постоянного уровня. Смачивают силикагель 10 см3 петролейного эфира.
3-5 г спиртов взвешивают в стаканчике и растворяют в 10-15 см3 петролейного эфира. Полученный раствор заливают каплями в колонку. Ополаскивают стаканчик в 15-20 см3 петролейного эфира и содержимое также вливают в колонку. Затем из делительной воронки приливают по капле в колонку еще 100-150 см3 петролейного эфира в течение 2 ч. Общий объем петролейного эфира должен быть 150-200 см3. Элюат углеводородов собирают в колбу, предварительно взвешенную (результат взвешивания записывают в граммах с точностью до четвертого десятичного знака).
Отгоняют растворитель из колбы на водяной бане. Оставшиеся следы растворителя удаляют струей воздуха при комнатной температуре с помощью резиновой груши или высушиванием в сушильном шкафу при 60-70 °С.
Первое взвешивание производят через 1,5 ч, последующие - через каждые 30 мин до изменения массы колбы не более 0,001 г.
(Измененная редакция, Изм. N 1, 2).
4.4.3. Обработка результатов
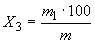
Массовую долю углеводородов (X3) в процентах вычисляют по формуле
где m1 - масса выделенных углеводородов, г;
m - масса навески продукта, г.
За результат анализа принимают среднее арифметическое значение результатов двух параллельных определений, допускаемые расхождения между которыми не должны превышать 0,2%, при доверительной вероятности P=0,95.
(Измененная редакция, Изм. N 2).
4.4.4. Регенерация силикагеля
Отработанный силикагель высыпают из колонки в стеклянную емкость, заливают этиловым эфиром, промывают три раза при перемешивании.
Высушивают силикагель до полного удаления следов этилового эфира и прокаливают в муфельной печи при 500-550 °С до первоначального цвета. Перед применением силикагель необходимо прокалить повторно.
4.5, 4.5.1-4.5.4. (Исключены, Изм. N 1).
4.6. Определение йодного числа
4.6.1. Аппаратура и реактивы
Весы лабораторные общего назначения 2-го класса точности по ГОСТ 21104-88 с наибольшим пределом взвешивания 200 г.
Колба 2-1000-2 по ГОСТ 1770-74.
Колба КН-2-250 ТХС по ГОСТ 25336-82.
натрий серноватистокислый (натрия триосульфат) 5-водный по ГОСТ 27068-86; раствор концентрации c(Na2S2O3·5H2O)=0,1 моль/дм3 (0,1 н.); готовят по ГОСТ 25794.2-83.
Калий йодистый по ГОСТ 4232-74, водный раствор с массовой долей 10%.
Хлороформ по ГОСТ 20015-88.
Крахмал растворимый по ГОСТ 10163-76, водный раствор с массовой долей 1%, приготовленный по ГОСТ 4517-87.
калий йодноватокислый по ГОСТ 4202-75 и водный раствор с массовой долей 1%.
кислота соляная по ГОСТ 3118-77.
Вода дистиллированная по ГОСТ 6709-72-->ГОСТ 6709-72.
Йод хлористый, солянокислый раствор концентрации точно 0,2 моль/дм3 (0,2 н.), готовят следующим образцом. В мерную колбу помещают 11,1 г йодистого калия, 7 г йодноватокислого калия, взвешенные на весах (результат взвешивания записывают в граммах с точностью до четвертого десятичного знака), 50 см3 воды, 50 см3 соляной кислоты и взбалтывают до полного растворения йода. Добавляют в раствор 20 см3 хлороформа и при энергичном взбалтывании по каплям раствор йодноватокислого калия до обесцвечивания фиолетовой окраски хлороформного слоя. Объем раствора доводят до 1 дм3 водой и отделяют раствор хлористого йода от хлороформа.
4.6.2. Проведение анализа
3-5 г испытуемых спиртов взвешивают в колбе, записывая результаты взвешивания в граммах с точностью до четвертого десятичного знака, и растворяют в 10 см3 хлороформа.
К содержимому колбы приливают из бюретки 15 см3 раствора хлористого йода, тщательно перемешивают, плотно закрывают и оставляют на 15 мин в затемненном месте. Затем в колбу приливают 10 см3 раствора йодистого калия, 50 см3 воды и титруют выделившийся йод раствором серноватистокислого натрия, применяя в качестве индикатора раствор крахмала.
Одновременно в тех условиях и с теми же количествами реактива проводят контрольный опыт.
4.6.3. Обработка результатов
Йодное число спиртов (X5) в г йода на 100 г продукта вычисляют по формуле
где V1 - объем раствора серноватистокислого натрия концентрации точно 0,1 моль/дм3 (0,1 н.), израсходованный на титрование анализируемой пробы, см3;
V2 - объем раствора серноватистокислого натрия концентрации точно 0,1 моль/дм3 (0,1 н.), израсходованный на титрование контрольной пробы, см3;
0,01269 - масса йода, соответствующая 1 см3 раствора серноватистокислого натрия концентрации точно 0,1 моль/дм3 (0,1 н.), г;
m - масса навески продукта, г.
За результат анализа принимают среднее арифметическое результатов двух параллельных определений, расхождение между которыми не превышает допускаемое расхождение, равное 0,1 г/100 г, при доверительной вероятности P=0,95.
4.6.1-4.6.3. (Измененная редакция, Изм. N 1, 2, 3).
5. УПАКОВКА, МАРКИРОВКА, ТРАНСПОРТИРОВАНИЕ И ХРАНЕНИЕ
Упаковка, маркировка, транспортирование и хранение спиртов - по ГОСТ 1510-84.
(Измененная редакция, Изм. N 2).
6. ГАРАНТИИ ИЗГОТОВИТЕЛЯ
6.1. Изготовитель гарантирует соответствие спиртов требованиям настоящего стандарта при соблюдении условий транспортирования и хранения.
6.2. Гарантийный срок хранения - один год со дня изготовления.
6.1, 6.2. (Измененная редакция, Изм. N 1).
ПРИЛОЖЕНИЕ 1 (справочное). ТИПОВАЯ ХРОМАТОГРАММА СИНТЕТИЧЕСКИХ ЖИРНЫХ ПЕРВИЧНЫХ СПИРТОВ ФРАКЦИИ С(16)-С(21)
ПРИЛОЖЕНИЕ 1
Справочное
Условия анализа: колонка длиной 1 м, заполненная хроматоном N-AW-HMDC с 5% силикона SE-30; температура анализа 120-250 °С; скорость измерения температуры 8 °С/мин, хроматограф "Вырухром" с пламенно-ионизационным детектором.
Обозначения пиков спиртов:
1 - дециловый; 2 - ундециловый; 3 - додециловый; 4 - тридециловый; 5 - тетрадециловый; 5 - пентадециловый;
7 - гексадециловый; 8 - гептадециловый; 9 - октадециловый; 10 - нонадециловый; 11 - эйкозиловый;
12 - генэйкозиловый; 13 - докозиловый; 14 - трикозиловый;
15 - тетракозиловый; 16 - пентакозиловый
ПРИЛОЖЕНИЕ 2 (справочное). Таблица калибровочных коэффициентов
ПРИЛОЖЕНИЕ 2
Справочное
официальное издание
М.: Издательство стандартов, 1979
текст документа внесены: Изменение N 1,
принятое Постановлением
Госстандарта СССР от 09.03.83 N 1126,
Изменение N 2, утвержденное Постановлением
Госстандарта СССР от 20.12.86 N 4290,
Изменение N 3, утвержденное Постановлением
Госстандарта СССР от 16.04.91 N 511
