Растворители марок 645, 646, 647, 648 для лакокрасочных материалов ГОСТ 18188-72
Растворители марок 645, 646, 647, 648 для лакокрасочных материалов. Технические условия (с Изменениями N 3-7) ГОСТ 18188-72
ГОСТ 18188-72
Группа Л25
ГОСУДАРСТВЕННЫЙ СТАНДАРТ СОЮЗА ССР
РАСТВОРИТЕЛИ МАРОК 645, 646, 647,
648 ДЛЯ ЛАКОКРАСОЧНЫХ МАТЕРИАЛОВ
Технические условия
Solvents of grades 645, 646, 647, 648 for paint materials. Specifications*
______________
* Наименование стандарта. Измененная редакция, Изм. N 7.
ОКП 23 1913, 23 8892*
________________________
* Измененная редакция, Изм. N 6.
Срок действия с 01.01.74
до 01.01.94*
_______________________________
* Ограничение срока действия снято
по протоколу N 3-93 Межгосударственного Совета
по стандартизации, метрологии и сертификации.
(ИУС N 5-6, 1993 год). - Примечание изготовителя базы данных.
ИНФОРМАЦИОННЫЕ ДАННЫЕ
1. РАЗРАБОТАН И ВНЕСЕН
РАЗРАБОТЧИКИ
М.А.Чупеев; И.М.Федотова (руководитель темы); Л.Б.Ольховатова
2. УТВЕРЖДЕН И ВВЕДЕН В ДЕЙСТВИЕ Постановлением Государственного комитета стандартов Совета Министров СССР от 24.10.72 N 1955
3. ПЕРИОДИЧНОСТЬ ПРОВЕРКИ - 5 лет
4. ВЗАМЕН ГОСТ 4399-48, ГОСТ 5630-51, ГОСТ 4005-48, ГОСТ 4006-48
5. ССЫЛОЧНЫЕ НОРМАТИВНО-ТЕХНИЧЕСКИЕ ДОКУМЕНТЫ
|
Обозначение НТД, на который дана ссылка |
Номер пункта, подпункта |
|
ГОСТ 12.1.004-91 |
6.2 |
|
ГОСТ 12.1.005-88 |
6.1, 6.4 |
|
ГОСТ 12.1.016-79 |
6.1 |
|
ГОСТ 12.1.044-89 |
1.2 |
|
ГОСТ 12.3.002-75 |
6.2 |
|
ГОСТ 12.3.005-75 |
6.2 |
|
ГОСТ 12.4.011-89 |
6.4 |
|
ГОСТ 12.4.021-75 |
6.5 |
|
ГОСТ 12.4.068-79 |
6.4 |
|
ГОСТ 17.2.3.02-78 |
6.2а |
|
ГОСТ 427-75 |
Приложение 1 |
|
ГОСТ 1770-74 |
3.2.1, 3.6.1 |
|
Приложение 1 |
|
|
3.2.1 |
|
|
ГОСТ 4919.1-77 |
3.5.1 |
|
ГОСТ 5105-82 |
4.1 |
|
ГОСТ 5406-84 |
3.7.1 |
|
ГОСТ 5799-78 |
4.1 |
|
ГОСТ 6128-81 |
4.1 |
|
ГОСТ 6247-79 |
4.1 |
|
ГОСТ 6613-86 |
3.7.1, 3.8.1 |
|
Приложение 1 |
|
|
ГОСТ 7930-73 |
3.7.1 |
|
ГОСТ 8832-76 |
3.7.1 |
|
ГОСТ 9198-83 |
3.7.1, 3.8.1 |
|
Приложение 1 |
|
|
ГОСТ 9980.1-86 |
2.1 |
|
ГОСТ 9980.2-86 |
3.1 |
|
ГОСТ 9980.3-86 |
4.1 |
|
ГОСТ 9980.4-2002 |
4.2 |
|
ГОСТ 9980.5-86 |
4.3 |
|
ГОСТ 10054-82 |
3.8.1 |
|
ГОСТ 10727-91 |
Приложение 1 |
|
ГОСТ 13950-91 |
4.1 |
|
ГОСТ 14192-96 |
4.2 |
|
ГОСТ 14870-77 |
3.3.1.1, 3.3.1.2 |
|
ГОСТ 16523-97 |
3.7.1 |
|
Приложение 2 |
|
|
3.5.1 |
|
|
ГОСТ 19433-88 |
4.2 |
|
Приложение 1 |
|
|
ГОСТ 21029-75 |
4.1 |
|
ГОСТ 23955-80 |
1.2, 3.5 |
|
ГОСТ 24104-2001 |
3.6.1, приложение 1 |
|
3.5.1 |
|
|
ГОСТ 25336-82 |
3.4.1, 3.5.1, 3.6.1, приложение 1 |
|
ГОСТ 26319-84 |
4.1 |
|
ГОСТ 28498-90 |
3.4.1 |
|
ГОСТ 29227-91 |
3.4.1, 3.5.1 |
|
ГОСТ 29251-91 |
3.6.1 |
|
ГОСТ 30765-2001 |
4.1 |
|
ГОСТ 30766-2001 |
4.1 |
|
ГОСТ 31089-2003 |
1.2 |
(Измененная редакция, Изм. N 7).
6. СРОК ДЕЙСТВИЯ ПРОДЛЕН до 01.01.94 Постановлением Госстандарта от 22.03.88 N 654
7. ПЕРЕИЗДАНИЕ (март 1991 г.) с Изменениями N 3, 4, 5, утвержденными в августе 1978 г., январе 1983 г., марте 1988 г. (ИУС 9-78, 5-83, 6-88)
ВНЕСЕНЫ: Изменение N 6, принятое Межгосударственным Советом по стандартизации, метрологии и сертификации (протокол N 23 от 22.05.2003). Государство-разработчик Россия. Постановлением Госстандарта России от 19.11.2003 N 323-ст введено в действие на территории РФ с 01.03.2004 и опубликовано в ИУС N 2, 2004 год, Изменение N 7, принятое Межгосударственным Советом по стандартизации, метрологии и сертификации (протокол N 33 от 06.06.2008). Государство-разработчик Россия. Приказом Федерального агентства по техническому регулированию и метрологии от 16.10.2008 N 264-ст введено в действие на территории РФ с 01.02.2009
Изменения N 6, 7 внесены изготовителем базы данных по тексту ИУС N 2, 2004 год, ИУС N 1, 2009 год
Настоящий стандарт распространяется на растворители марок 645, 646, 647, 648, представляющие собой смеси летучих органических жидкостей: ароматических углеводородов, кетонов, спиртов и эфиров.
Растворители предназначаются для разбавления нитроцеллюлозных и других лакокрасочных материалов.
(Измененная редакция, Изм. N 4, 6, 7).
1. МАРКИ И ТЕХНИЧЕСКИЕ ТРЕБОВАНИЯ
1.1. Марки растворителей, их назначение и коды ОКП должны соответствовать указанным в табл.1.
Таблица 1
(Измененная редакция, Изм. N 4).
1.2. По физико-химическим показателям растворители должны соответствовать требованиям и нормам, указанным в табл.2.
Таблица 2
|
Наименование показателя |
Норма |
Метод испытания |
|||
|
645 |
646 |
647 |
648 |
||
|
1. Цвет и внешний вид |
Бесцветная или слегка желтоватая однородная прозрачная жидкость без мути, расслаивания и взвешенных частиц |
По п.3.2 |
|||
|
2. Массовая доля воды по Фишеру, %, не более |
1,0 |
2,0 |
0,6 |
1,0 |
По 3.3 |
|
3. Летучесть по этиловому эфиру |
8-12 |
8-15 |
8-12 |
11-18 |
По п.3.4 |
|
4. Кислотное число, мг КОН/г, не более |
0,06 |
0,06 |
0,06 |
0,06 |
По ГОСТ 23955-80 и п.3.5 настоящего стандарта |
|
5. Число коагуляции, %, не менее |
50 |
35 |
60 |
100 |
По п.3.6 |
|
6. Разбавляющее действие |
Не должно наблюдаться свертывания и расслаивания ЛКМ. |
- |
По п.3.7 |
||
|
7. Растворяющее действие |
- |
- |
- |
После высыхания не должно быть побеления пленки на поверхности, штрихи и царапины от шлифования должны быть сглажены |
По п.3.8 |
|
8. Температура вспышки в закрытом тигле, °С, не ниже |
2 |
Минус 1 |
4 |
11 |
По ГОСТ 12.1.044 |
Растворители марок 645, 646, 647 и 648 должны изготовляться в соответствии с требованиями настоящего стандарта по рецептуре и технологическому регламенту, утвержденным в установленном порядке.
Растворители должны соответствовать требованиям ГОСТ 31089 и настоящего стандарта и изготавливаться по рецептуре и технологическому регламенту, утвержденным в установленном порядке.
(Измененная редакция, Изм. N 3, 4, 5, 6, 7).
2. ПРАВИЛА ПРИЕМКИ
2.1. Правила приемки - по ГОСТ 9980.1-86.
Показатель 8 изготовитель определяет периодически не реже одного раза в течение одного года.
(Измененная редакция, Изм. N 5, 7).
2.2, 2.3. (Исключены, Изм. N 4).
3. МЕТОДЫ ИСПЫТАНИЙ
3.1. Отбор проб - по ГОСТ 9980.2-86.
(Измененная редакция, Изм. N 5).
3.2. Определение цвета и внешнего вида
(Измененная редакция, Изм. N 6).
3.2.1. Применяемые посуда и реактивы:
цилиндр 1-100-2 по ГОСТ 1770-74;
калий двухромовокислый по ГОСТ 4220, раствор с массовой долей 0,002%.
3.2.2. Проведение испытания
Внешний вид растворителя определяют визуально. Испытуемый растворитель наливают в мерный цилиндр и рассматривают его в проходящем свете, отмечая отсутствие мути, расслаивания и взвешенных частиц.
Цвет растворителя, помещенного в цилиндр, определяют в проходящем свете на фоне белой бумаги. Цвет должен быть не темнее раствора двухромовокислого калия с массовой долей 0,002%, помещенного в такой же цилиндр.
3.2.1, 3.2.2. (Измененная редакция, Изм. N 6, 7).
3.3. Определение массовой доли воды
(Измененная редакция, Изм. N 6).
3.3.1. Определение массовой доли воды проводят:
а) методом визуального титрования;
б) методом электрометрического титрования;
в) газохроматографическим методом.
(Введен дополнительно, Изм. N 6).
3.3.1.1. Определение массовой доли воды методом визуального титрования проводят реактивом Фишера по ГОСТ 14870-77 (разд.2, способ 3), при этом берут навеску испытуемого растворителя в количестве 1,50-2,50 г (результат взвешивания в граммах записывают с точностью до четвертого десятичного знака).
3.3.1.2. Определение массовой доли воды методом электрометрического титрования проводят реактивом Фишера по ГОСТ 14870-77 (разд.2), при этом берут навеску испытуемого растворителя в количестве 1,50-2,50 г (результат взвешивания в граммах записывают с точностью до четвертого десятичного знака).
3.3.1.1, 3.3.1.2. (Введены дополнительно, Изм. N 6. Измененная редакция, Изм. N 7).
3.3.1.3. Определение массовой доли воды газохроматографическим методом проводят по методике, приведенной в приложении 1.
3.3.1.4. За результат испытаний в указанных методах принимают среднее арифметическое двух параллельных определений, относительное расхождение между которыми не превышает допускаемое расхождение, равное 15%.
3.3.1.5. При разногласиях в оценке массовой доли воды определения проводят методом электрометрического титрования".
3.3.1.3-3.3.1.5. (Введены дополнительно, Изм. N 6).
3.4. Определение летучести по этиловому эфиру
3.4.1. Аппаратура, реактивы, посуда:
деревянный шкаф (см. чертеж);
секундомер;
пипетка 1-2-2-10 или 1-2-2-25 по ГОСТ 29227 или капельница 2-50 ХС по ГОСТ 25336;
термометр стеклянный по ГОСТ 28498;
фильтр обеззоленный;
этоксиэтан по технической документации.
(Измененная редакция, Изм. N 6, 7).
3.4.2. Проведение испытания
Летучесть растворителя определяют в специальном деревянном шкафу, который имеет два отверстия; одно в верхней, а другое в боковой стенке. В передней и задней стенках расположены смотровые стекла. В верхнем отверстии шкафа укрепляют пипетку, снабженную в верхней части небольшим кусочком резинового шланга с бусинкой, а в боковом - свободно вращается деревянный зажим для закрепления беззольного фильтра. Беззольный фильтр зажимом устанавливают в горизонтальном положении: на фильтр из пипетки спускают каплю этилового эфира и включают секундомер. Затем фильтр устанавливают поворотом зажима в вертикальном положении между смотровыми стеклами и по секундомеру определяют момент исчезновения пятна этилового эфира на фильтре, наблюдая через смотровые стекла.
Деревянный шкаф
1 - пипетка;
2 - смотровое стекло; 3 - отверстие для зажима
Летучесть определяют при температуре (20±2) °С и влажности воздуха (65±5)%. После этого пипетку промывают и наполняют испытуемым растворителем. Время испарения его определяют так же, как и для этилового эфира.
Одинаковая скорость истечения капли эфира и испытуемого растворителя обеспечивается одинаковой высотой жидкости в пипетке и одинаковым расстоянием кончика пипетки от фильтра.
(Измененная редакция, Изм. N 3, 5, 6).
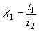
3.4.3. Обработка результатов
Летучесть (X1) вычисляют по формуле
где t1 - продолжительность испарения испытуемого растворителя, с;
t2 - продолжительность испарения этилового эфира, с.
3.5. Определение кислотного числа
Определение кислотного числа проводят по ГОСТ 23955-80, разд.3.
(Измененная редакция, Изм. N 6).
3.5.1. Аппаратура, реактивы, посуда:
пипетка 1-1a-2-25, 1-2a-2-25 по ГОСТ 29227-91;
колба коническая Кн-1-250-ТС по ГОСТ 25336;
холодильник ХШ-1-300 29/32ХС или ХПТ-2-400 29/32ХС по ГОСТ 25336-82;
калия гидроокись по ГОСТ 24363, х.ч., спиртовой раствор молярной концентрации c(KОН)=0,05 моль/дм3;
фенолфталеин (индикатор), спиртовой раствор с массовой долей индикатора 1% (приготовленный по ГОСТ 4919.1-77);
спирт этиловый ректификованный технический по ГОСТ 18300.
(Введен дополнительно, Изм. N 6. Измененная редакция, Изм. N 7).
3.5.2. Подготовка к испытанию
Определение кислотного числа проводят при температуре (20±2) °С.
При определении кислотного числа растворителей, находящихся в хранилищах (складах), где в качестве инертного газа применяется углекислый газ (CO2), отобранную пробу предварительно нагревают в конической колбе на кипящей водяной бане до температуры (20±2) °С в течение 30 мин с применением холодильника для удаления растворенных газов.
(Введен дополнительно, Изм. N 6).
3.5.3. Проведение испытания
В коническую колбу вместимостью 250 см3 пипеткой отмеряют 50 см3 испытуемого растворителя и титруют раствором гидроокиси калия молярной концентрации c(KОН) = 0,05 моль/дм3 в присутствии фенолфталеина.
3.5.4. Обработка результатов
Кислотное число (X2) в мг КОН/г растворителя вычисляют по формуле
где 2,8 - титр раствора гидроокиси калия молярной концентрации точно c(KОН)=0,05 моль/дм3;
V - объем 0,05 моль/дм3 спиртового раствора гидрата окиси калия, израсходованного на титрование, см3;
50 - объем растворителя, взятый для испытания, см3;
p - плотность растворителя, г/см3.
3.5.3, 3.5.4. (Введены дополнительно, Изм. N 6. Измененная редакция, Изм. N 7).
3.5.5. За результат испытания принимают среднее арифметическое трех параллельных определений, допускаемые расхождения между которыми не должны превышать значений, указанных в ГОСТ 23955-80 (табл.2).
(Введен дополнительно, Изм. N 6).
3.6. Определение числа коагуляции
3.6.1. Аппаратура, реактивы, посуда:
весы лабораторные среднего класса точности по ГОСТ 24104;
бюретка 1-2-2-100-0,20 или 1-2-2-50-0,10 по ГОСТ 29251-91;
колба коническая Кн-1-250-ТС по ГОСТ 25336;
коллоксилин лаковый ВВ, высушенный до динамической вязкости 8,5-10,6 сП (8,5-10,6 мПа·с);
нефрас С2-80/120.
(Измененная редакция, Изм. N 6, 7).
3.6.2. Проведение испытания
В коническую колбу вместимостью 250 см3 помещают 1,20 г сухого коллоксилина и приливают 38,80 г испытуемого растворителя. Колбу плотно закрывают и оставляют до полного растворения. После получения однородного раствора к нему добавляют из бюретки при постоянном взбалтывании нефрас С2-80/120 до появления мути, неисчезающей при взбалтывании, или осадка коллоксилина на стенках колбы, в случае если не возникает неисчезающая муть. Определение проводят при (20±2) °С.
Для ускорения анализа допускается растворять коллоксилин круговым вращением колбы рукой или механическим вращением в течение 1 ч.
(Измененная редакция, Изм. N 3, 4, 5, 6).
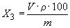
3.6.3. Обработка результатов
Число коагуляции (X3) в процентах вычисляют по формуле
где V - объем нефраса С2-80/120, добавленный к раствору коллоксилина, см3;
p - плотность нефраса С2-80/120 при температуре определения, г/см3;
m - масса навески раствора коллоксилина (коллоксилин и растворитель), г.
(Измененная редакция, Изм. N 5, 6).
3.7. Пригодность к разбавлению нитроэмалей
3.7.1. Разбавляющее действие
Для определения разбавляющего действия растворителя марки 645 применяют нитроэмаль НЦ-25 черного или синего цвета по ГОСТ 5406-84.
Для растворителя марки 646 применяют нитроэмаль НЦ-1125 различных цветов по ГОСТ 7930-73 или эмаль НЦ-25 черного, синего, белого цветов по ГОСТ 5406-84.
Допускается применение других марок нитроэмалей, для разбавления которых применяют растворитель 646.
Для растворителя марки 647 - нитроэмаль НЦ-11 черного или синего цвета по ГОСТ 9198-83.
Перед испытанием нитроэмали разбавляют испытуемыми растворителями до рабочей вязкости, указанной в стандарте на соответствующую нитроэмаль. Разбавленные нитроэмали фильтруют через сито с сеткой нормальной точности N 025 по ГОСТ 6613.
Определение проводят на пластинках из стали марок 08кп и 08 пс размером 150х70 мм по ГОСТ 16523-89 или на пластинках из черной жести размером 150х70 мм, подготовленных по ГОСТ 8832-76.
(Измененная редакция, Изм. N 3, 4, 5, 6, 7).
3.7.2. Проведение испытания
Приготовленные эмали наносят при помощи краскораспылителя или кистью до укрытия окрашиваемой поверхности на пластинки, указанные выше.
Во время высыхания покрытия при температуре (20±2) °С и относительной влажности воздуха (65±5)% наблюдают за характером изменения поверхности покрытия.
(Измененная редакция, Изм. N 5, 6, 7).
3.8. Растворяющее действие
3.8.1. Подготовка к испытанию
Для определения растворяющего действия растворителя марки 648 применяют нитроэмаль марки НЦ-11 черного или синего цвета по ГОСТ 9198-83.
Нитроэмаль, разбавленную растворителем до рабочей вязкости, указанной в стандарте на нитроэмаль, фильтруют через сито с сеткой нормальной точности N 025 по ГОСТ 6613 и наносят краскораспылителем тремя слоями на загрунтованную и прошпатлеванную по ГОСТ 9198-76пластинку, указанную в п.3.7.
После нанесения каждого слоя покрытие сушат при температуре (20±2) °С в течение 10 мин.
После сушки всего покрытия в течение 20 мин при температуре (60±2) °С и охлаждения на воздухе не менее 15 мин поверхность шлифуют водостойкой шкуркой зернистостью М40 по ГОСТ 10054-82.
(Измененная редакция, Изм. N 3, 4, 5, 6, 7).
3.8.2. Проведение испытания
Отшлифованную поверхность опрыскивают из краскораспылителя испытуемым растворителем марки 648 и ведут наблюдение за характером изменения поверхности покрытия вплоть до полного испарения растворителя при температуре (20±2) °С. Испытание проводят при относительной влажности воздуха (65±5)%.
(Измененная редакция, Изм. N 6).
4. УПАКОВКА, МАРКИРОВКА, ТРАНСПОРТИРОВАНИЕ И ХРАНЕНИЕ
4.1. Упаковка - по ГОСТ 9980.3 (группа 16) и ГОСТ 26319.
Растворители упаковывают в узкогорлую металлическую тару (канистры, фляги, бочки, барабаны) по ГОСТ 5105, ГОСТ 5799, ГОСТ 13950, ГОСТ 6247, ГОСТ 30765, ГОСТ 21029 и другой технической документации.
Растворители, предназначенные для розничной торговли, упаковывают в металлические канистры вместимостью до 10 дм3 по ГОСТ 5105, металлические банки по ГОСТ 30766 и ГОСТ 6128, в стеклянную тару для бытовой химии по нормативной документации, в полимерную потребительскую тару из полиэтилентерефталата по нормативной документации.
Потребительская тара с растворителями должна быть упакована в транспортную тару в соответствии с ГОСТ 9980.3.
Укупорочные средства тары должны обеспечивать герметичность упаковки и быть стойкими к воздействию растворителей. Требования к укупорочным средствам должны быть указаны в нормативном документе на конкретный вид тары или на конкретный вид укупорочного средства.
4.2. Маркировка - по ГОСТ 9980.4.
Транспортная маркировка - по ГОСТ 14192 с нанесением манипуляционных знаков "Беречь от солнечных лучей", "Верх", "Герметичная упаковка" и знака опасности по ГОСТ 19433, класс 3, черт.3, классификационный шифр 3212. Номер ООН 1263.
4.3. Транспортирование и хранение - по ГОСТ 9980.5.
Растворители железнодорожным транспортом транспортируют в собственных цистернах грузополучателя (грузоотправителя) или арендованных в соответствии с Правилами перевозок железнодорожным транспортом грузов наливом в вагонах-цистернах и в вагонах бункерного типа для перевозок нефтебитума, а также в специализированных контейнерах-цистернах, предназначенных для перевозки жидких опасных грузов класса 3, в соответствии с Правилами перевозок опасных грузов по железным дорогам.
Растворители, упакованные в транспортную тару, транспортируют в крытых грузовых вагонах и в универсальных контейнерах в соответствии с Правилами перевозок опасных грузов по железным дорогам и Техническими условиями размещения и крепления грузов в вагонах и контейнерах.
Раздел 4. (Измененная редакция, Изм. N 7).
5. ГАРАНТИИ ИЗГОТОВИТЕЛЯ
5.1. Изготовитель гарантирует соответствие растворителей требованиям настоящего стандарта при соблюдении условий транспортирования и хранения.
(Измененная редакция, Изм. N 5).
5.2. Гарантийный срок растворителей - не менее одного года с даты изготовления.
(Измененная редакция, Изм. N 7).
6. ТРЕБОВАНИЯ БЕЗОПАСНОСТИ
6.1. Растворители марок 645, 646, 647, 648 представляют собой легковоспламеняющиеся жидкости с характерным запахом, оказывающие сильное раздражающее действие на кожу, слизистую оболочку глаз и верхних дыхательных путей.
Возможные пути поступления вредных веществ в организм: ингаляционный и через кожные покровы.
Контроль за содержанием вредных веществ в воздушной среде на рабочем месте - по ГОСТ 12.1.005.
Содержание вредных веществ в воздухе рабочей зоны определяют по методикам, разработанным по ГОСТ 12.1.005 и ГОСТ 12.1.016 и утвержденным органами здравоохранения.
Работы, связанные с изготовлением и применением растворителей, должны соответствовать действующим санитарным правилам и нормам*.
________________
* Перечень нормативных документов, действующих в Российской Федерации, представлен в приложении 3.
6.2. Производство, испытания и применение растворителей должно соответствовать требованиям ГОСТ 12.1.004, ГОСТ 12.3.002 и ГОСТ 12.3.005.
6.3. Основные характеристики пожароопасности растворителей марок 645, 646, 647, 648 приведены в табл.3.
Таблица 3
|
Марка растворителя |
Температура, °С |
Температурные пределы распространения пламени, °С |
|||
|
вспышки в открытом тигле |
воспламенения |
самовоспламенения |
Нижний |
Верхний |
|
|
645 |
13 |
13 |
428 |
1 |
18 |
|
646 |
6 |
6 |
428 |
Минус 2 |
11 |
|
647 |
9 |
9 |
470 |
4 |
33 |
|
648 |
21 |
21 |
403 |
10 |
40 |
Основные характеристики пожароопасности и токсичности растворителей, входящих в состав растворителей марок 645, 646, 647, 648, представлены в табл.4.
Таблица 4
|
Наименование растворителя |
Класс опас- |
Предельно допустимая концентрация (ПДК) паров в воздухе рабочей зоны производственных помещений, мг/м3 |
Температура, °С |
Температурные пределы распростра- |
||||
|
вспышки в зак- |
вспышки в откры- |
воспла- |
само- |
Ниж- |
Верх- |
|||
|
IV |
200 |
Минус |
Минус |
Минус |
535 |
Минус 20 |
6 |
|
|
III |
50 |
4 |
5 |
- |
536 |
6 |
37 |
|
|
Ксилол |
III |
50 |
29 |
- |
- |
590 |
24 |
50 |
|
Бутил-ацетат |
IV |
50 |
29 |
35 |
35 |
330 |
22 |
61 |
|
Этил-ацетат |
IV |
50 |
Минус |
Минус |
6 |
446 |
Минус 6 |
28 |
|
Спирт бутиловый |
III |
10 |
34 |
41 |
43 |
340 |
34 |
67 |
|
Спирт изобутиловый |
III |
10 |
28 |
39 |
39 |
390 |
26 |
60 |
|
III |
10 |
40 |
52 |
52 |
235 |
39 |
81 |
|
|
Спирт этиловый |
IV |
1000 |
13 |
16 |
18 |
400 |
11 |
41 |
|
Циклогексанон технический |
III |
10 |
40 |
44 |
- |
420 |
40 |
81 |
6.4. Лица, связанные с изготовлением и применением растворителей, должны быть обеспечены специальной одеждой и средствами индивидуальной защиты по ГОСТ 12.4.011 и ГОСТ 12.4.068.
6.5. Изготовление и применение растворителей проводят в помещениях, снабженных местной и общей приточно-вытяжной вентиляцией по ГОСТ 12.4.021.
6.6. При загорании растворителей применяют средства огнетушения: кошму, песок, пенные огнетушители, пенные установки, тонкораспыленную воду, углекислый газ.
Раздел 6. (Измененная редакция, Изм. N 7).
6а. ТРЕБОВАНИЯ ОХРАНЫ ОКРУЖАЮЩЕЙ СРЕДЫ
6.1а. При производстве растворителей образуются жидкие или газообразные отходы, которые могут вызвать загрязнение атмосферного воздуха и воды.
6.2а. С целью охраны атмосферного воздуха от загрязнений осуществляют контроль за соблюдением предельно допустимых выбросов (ПДВ) по ГОСТ 17.2.3.02 в порядке, установленном соответствующим органом исполнительной власти.
6.3а. С целью охраны окружающей среды от загрязнений сточными водами организуют контроль за соблюдением предельно допустимых концентраций и ориентировочных безопасных уровней воздействия вредных веществ для воды рыбохозяйственных водоемов.
6.4а. Все жидкие отходы в виде загрязненных растворителей возвращают на производство или направляют на очистные сооружения.
6.5а. Обезвреживание отходов растворителей проводят путем их сбора и последующей переработки для повторного использования.
Раздел 6а. (Введен дополнительно, Изм. N 7).
7. УКАЗАНИЕ ПО ПРИМЕНЕНИЮ
7.1. Растворители добавляют небольшими порциями при перемешивании до получения нужной консистенции.
7.2. Работу с растворителями проводят в резиновых перчатках в хорошо проветриваемом помещении.
При попадании растворителя на кожу его смывают большим количеством воды с мылом.
Раздел 7. (Введен дополнительно, Изм. N 6).
ПРИЛОЖЕНИЕ 1 (обязательное). МЕТОДИКА ОПРЕДЕЛЕНИЯ МАССОВОЙ ДОЛИ ВОДЫ ГАЗОХРОМАТОГРАФИЧЕСКИМ МЕТОДОМ
ПРИЛОЖЕНИЕ 1
Обязательное
Определение массовой доли воды проводят методом абсолютной градуировки.
1. Аппаратура, средства измерения, реактивы
Хроматограф аналитический, газовый с детектором по теплопроводности, предел обнаружения объемной доли пропана детектором по теплопроводности не превышает 5·10-4% по объему при использовании гелия в качестве газа-носителя (типа ЛХМ-80).
Колонки хроматографические насадочные из стекла или стальные длиной 1 м с внутренним диаметром 3 мм.
Микрошприц для газовой хроматографии вместимостью 1·10-2 см3 (типа МШ-10).
Весы лабораторные среднего класса точности по ГОСТ 24104.
Линейка измерительная металлическая по ГОСТ 427-75 с ценой наименьшего деления 1 мм.
Лупа измерительная с десятикратным увеличением.
Термометр стеклянный.
Шкаф сушильный электрический с диапазоном регулирования температуры от 40 до 200 °С и точностью поддержания температуры ±5 °С (типа СНОЛ 3.5/3.5/3.5).
Стаканчик СВ-14/8 по ГОСТ 25336.
Колба круглодонная К-1-250-29/32 ТС по ГОСТ 25336-82.
Баня водяная.
Стеклоткань по ГОСТ 10727-91.
Газ-носитель: гелий технический или водород технический марки А или Б, высший или первый сорт по ГОСТ 3022-80.
Сорбент - полисорб-1, размер зерен 0,10-0,25 мм.
полиэтиленгликоль молекулярной массы 1400-1600 для хроматографии (ПЭГ1400-1600).
Хлороформ по ГОСТ 20015.
Инертный газ - азот газообразный по ГОСТ 9293-74.
Вода дистиллированная по ГОСТ 6709-72-->ГОСТ 6709-72.
Допускается применять другие средства измерения с метрологическими характеристиками и оборудование с техническими характеристиками, а также реактивы по качеству не ниже указанных.
(Измененная редакция, Изм. N 7).
2. Проведение испытания
2.1. Приготовление насадки
Необходимое для заполнения колонки количество твердого носителя 5-6 г взвешивают с погрешностью не более 0,001 г, результат взвешивания в граммах записывают с точностью до третьего десятичного знака и помещают в круглодонную колбу.
ПЭГ1400-1600 берут в количестве 5% от общей массы твердого носителя, взвешивают с погрешностью не более 0,001 г, результат взвешивания в граммах записывают с точностью до третьего десятичного знака и растворяют в хлороформе, объем которого должен превышать объем взятого твердого носителя.
Раствор ПЭГ1400-1600 в хлороформе вносят в круглодонную колбу с твердым носителем. Затем хлороформ удаляют выпариванием на водяной бане, нагретой до температуры (60±10) °С в течение 25-30 мин при постоянном перемешивании. Приготовленную таким образом насадку сушат в сушильном шкафу при температуре (110±10) °С в течение 2-3 ч.
(Измененная редакция, Изм. N 7).
2.2. Заполнение хроматографических колонок
Хроматографические колонки тщательно промывают органическими растворителями в соответствии с инструкцией по эксплуатации, после чего высушивают продувкой сухим воздухом или азотом и заполняют через воронку приготовленной насадкой, уплотняя ее с помощью вакуум-насоса и постукиванием. Концы колонки после заполнения закрывают тампонами из стеклоткани.
Заполненную колонку закрепляют в термостате хроматографа и, не присоединяя к детектору, продувают газом-носителем при температуре 215-220 °С в течение 20-30 ч.
2.3. Подготовка хроматографа
Подготовку хроматографа проводят в соответствии с инструкцией по эксплуатации.
Устанавливают необходимый режим работы хроматографа.
2.4. Условия проведения испытания
Режим снятия хроматограммы приведен в таблице.
2.5. Построение градуировочных графиков
Для построения градуировочного графика готовят не менее шести градуировочных растворов с точно известной массовой долей воды. Массовую долю воды изменяют в пределах 0,025-2,3% массы пробы.
В качестве исходного растворителя для приготовления градуировочных растворов используют растворитель с наименьшим содержанием воды, для этого его предварительно проверяют на содержание в нем остаточной воды. При наличии воды проводят дополнительную осушку растворителя силикагелем.
Градуировочные растворы готовят в стаканчиках СВ-14/8 по ГОСТ 25336. Пустой стаканчик с крышкой взвешивают (результат взвешивания в граммах записывают с точностью до четвертого десятичного знака), помещают в него микрошприцем или микропипеткой рассчитанное количество (1,25-270 мм3) воды, взвешивают, добавляют пипеткой 5 см3 исходного растворителя и снова взвешивают (результаты взвешивания в граммах записывают с точностью до четвертого десятичного знака).
Затем исходный растворитель и градуировочные растворы хроматографируют пять раз в условиях проведения анализа (п.2.4 настоящего приложения).
Типовые хроматограммы растворителей марок 645, 646, 647, 648 приведены на черт.1-4.
Черт.1 Типовая хроматограмма растворителя марки 645
Типовая хроматограмма растворителя марки 645
1 - Вода,
2 - Ацетон + изопропиловый спирт; 3 - эталацетат; 4 - бутиловый спирт; 5 - Толуол + бутилацетат
Черт.1
Черт.2 Типовая хроматограмма растворителя марки 646
Типовая хроматограмма растворителя марки 646
1 - Вода;
2 - Ацетон; 3 - изопропиловый спирт; 4 - бутиловый спирт; 5 - этилцеллозольв; 6 - Толуол
Черт.2
Черт.3 Типовая хроматограмма растворителя марки 647
Типовая хроматограмма растворителя марки 647
1 - Вода;
2 - Этилацетат; 3 - бутиловый спирт; 4 - Толуол;
5 - бутилацетат
Черт.3
Черт.4 Типовая хроматограмма растворителя марки 648
Типовая хроматограмма растворителя марки 648
1 - Вода;
2 - изопропиловый спирт; 3 - бутиловый спирт;
4 - Толуол; 5 - бутилацетат
Черт.4
На всех хроматограммах измеряют высоту пиков воды (мм) при помощи линейки и лупы. Находят среднее арифметическое значение высоты пика воды в исходном растворителе и градуировочных растворах.
Строят градуировочный график, откладывая по оси ординат среднее значение высот пиков (мм), полученных из разности высот градуировочных растворов и исходного растворителя, а по оси абсцисс - массовую долю воды (%), добавленную в градуировочные растворы.
Линейность градуировочного графика проверяют при замене хроматографических колонок, но не реже одного раза в два месяца.
2.6. Выполнение измерений
Снимают две хроматограммы испытуемого растворителя. Условия анализа испытуемого растворителя должны соответствовать условиям, приведенным в п.2.4 настоящего приложения.
2.7. Обработка результатов
Массовую долю воды (X), в процентах, в испытуемом смесевом растворителе вычисляют по градуировочному графику, измерив высоту пика воды, аналогично п.2.5 настоящего приложения.
Вычисление проводят до третьего десятичного знака, окончательный результат округляют до второго десятичного знака.
За результат анализа принимают среднее арифметическое результатов двух параллельных определений, относительные расхождения между которыми при доверительной вероятности P=0,95 не должны превышать 15%.
2.4-2.7. (Измененная редакция, Изм. N 7).
ПРИЛОЖЕНИЕ 1. (Введено дополнительно, Изм. N 6).
ПРИЛОЖЕНИЕ 2 (рекомендуемое). ТЕКСТ ЭТИКЕТКИ
ПРИЛОЖЕНИЕ 2
Рекомендуемое
ТЕКСТ ЭТИКЕТКИ
Наименование растворителя
Назначение: в соответствии с п.1.1 табл.1 ГОСТ 18188-72.
Способ применения
Растворитель добавляют небольшими порциями при перемешивании до получения нужной консистенции.
Растворитель хранят вдали от приборов отопления и электрических устройств; в местах, недоступных для детей.
Беречь от огня!
ВНИМАНИЕ!!!
Работу с растворителем проводят в резиновых перчатках в хорошо проветриваемом помещении.
При попадании растворителя на кожу, его смывают большим количеством воды с мылом.
При розливе растворителя на поверхность его собирают тряпками, затем промывают большим количеством воды.
Наименование предприятия-изготовителя, его товарный знак.
Юридический адрес.
Страна.
ПРИЛОЖЕНИЕ 2. (Введено дополнительно, Изм. N 6).
ПРИЛОЖЕНИЕ 3 (справочное). Нормативные документы, действующие в Российской Федерации
ПРИЛОЖЕНИЕ 3
Справочное
ПРИЛОЖЕНИЕ 3. (Введено дополнительно, Изм. N 6. Измененная редакция, Изм. N 7).
официальное издание
М.: Издательство стандартов, 1991



