Новости Нефтегазовая пром.
Выставки Наука и технология


Перекись водорода ГОСТ 177-88

Перекись водорода. Технические условия (с Изменением N 1, с Поправкой) ГОСТ 177-88


ГОСТ 177-88

Группа Л17


МЕЖГОСУДАРСТВЕННЫЙ СТАНДАРТ

     

ПЕРЕКИСЬ ВОДОРОДА

     
Технические условия

Hydrogen peroxide. Specifications


МКС 71.060.20*
ОКП 21 2352
_______________
* Поправка, ИУС N 12-2014.


Дата введения 1989-07-01

     
ИНФОРМАЦИОННЫЕ ДАННЫЕ

1. РАЗРАБОТАН И ВНЕСЕН Министерством химической промышленности СССР

2. УТВЕРЖДЕН И ВВЕДЕН В ДЕЙСТВИЕ Постановлением Государственного комитета СССР по стандартам от 29.06.88 N 2417

3. ВЗАМЕН ГОСТ 177-77

4. ССЫЛОЧНЫЕ НОРМАТИВНО-ТЕХНИЧЕСКИЕ ДОКУМЕНТЫ

Обозначение НТД, на который дана ссылка

Номер пункта, подпункта

ГОСТ 12.1.005-88

1.4.6, 1.4.7

ГОСТ 12.1.007-76

1.4.3

ГОСТ 12.4.021-75

1.4.6

ГОСТ 200-76

3.6.1

ГОСТ 245-76

1.3.3

ГОСТ 342-77

1.3.3

ГОСТ 1770-74

3.2, 3.3.1, 3.4.1, 3.5.1, 3.6.1

ГОСТ 3118-77

3.6.1

ГОСТ 3956-76

3.5.1

ГОСТ 4204-77

3.3.1, 3.4.1, 3.6.1

ГОСТ 4328-77

3.4.1

ГОСТ 4784-97

1.7.1

ГОСТ 6563-75

3.5.1

ГОСТ 6709-72-->ГОСТ 6709-72

3.3.1, 3.4.1, 3.5.1. 3.6.1

ГОСТ 9570-84

4.1

ГОСТ 11069-2001

1.7.1

ГОСТ 14192-96

1.6.1, 1.6.3

ГОСТ 14919-83

3.5.1, 3.6.1

ГОСТ 16337-77

1.7.1

ГОСТ 16338-85

1.7.1

ГОСТ 18300-87

3.4.1

ГОСТ 18573-86

1.7.6

ГОСТ 19433-88

1.6.1, 1.6.3

ГОСТ 20490-75

3.3.1

ГОСТ 21650-76

4.1

ГОСТ 22867-77

1.3.5

ГОСТ 24104-88

3.3.1, 3.4.1, 3.5.1, 3.6.1

ГОСТ 24597-81

4.1

ГОСТ 25336-82

3.2, 3.3.1, 3.4.1, 3.5.1, 3.6.1

ГОСТ 25794.1-83

3.4.1, 3.4.2.2

ГОСТ 25794.2-83

3.3.1, 3.3.2

ГОСТ 26319-84

1.7.1

ГОСТ 26663-85

4.1

ГОСТ 29227-91

3.4.1, 3.5,1, 3.6,1

ГОСТ 29251-91

3.3.1, 3.4.1

ОСТ 6-09-108-85

1.7.1, 1.7.6

5. Ограничение срока действия снято Постановлением Госстандарта СССР от 29.04.91 N 610

6. ИЗДАНИЕ (август 2006 г.) с Изменением N 1, утвержденным в апреле 1991 г. (ИУС 8-91)


ВНЕСЕНА поправка, опубликованная в ИУС N 12, 2014 год 


Поправка внесена изготовителем базы данных.

Настоящий стандарт распространяется на водные растворы перекиси водорода, получаемые электрохимическим* методом через надсерную кислоту (медицинская и техническая марки А) и органическим методом, основанным на жидкофазном окислении изопропилового спирта (техническая марки Б).

Настоящий стандарт устанавливает требования к перекиси водорода, изготовляемой для потребностей экономики страны и экспорта.

Перекись водорода применяется в химической, целлюлозно-бумажной, текстильной, медицинской и других отраслях промышленности.

Формула: H2O2

Молекулярная масса (по международным атомным массам) 1985 г. - 34,0158.

Требования настоящего стандарта являются обязательными.

(Измененная редакция, Изм. N 1). 

_______________
* Поправка, ИУС N 12-2014. 

1. ТЕХНИЧЕСКИЕ ТРЕБОВАНИЯ

1.1. Перекись водорода должна быть изготовлена в соответствии с требованиями настоящего стандарта по технологическому регламенту, утвержденному в установленном порядке.

1.2. В зависимости от назначения и способов получения изготовляют медицинскую и техническую перекись водорода двух марок: А и Б.

1.3. Характеристики

1.3.1. По физико-химическим показателям перекись водорода должна соответствовать требованиям и нормам, указанным в таблице.


Наименование показателя

Норма

Медицинская

техническая

А

Б

Высший сорт

Первый сорт

ОКП 21 2352 0600

ОКП 21 2352 0100

ОКП 21 2352 0220

ОКП 21 2352 0230

1. Внешний вид

Бесцветная прозрачная жидкость

2. Массовая доля перекиси водорода, %

30-40

35-40

35-40

30-40

3. Массовая концентрация серной кислоты, г/дм3
не более

0,30

0,35

-

-

4. Массовая концентрация уксусной кислоты, г/дм3
не более

-

-

6

8

5. Массовая концентрация нелетучего остатка, г/дм3, не более

0,6

0,7

0,7

0,7

6. Содержание мышьяка

Должна выдерживать испытания по п.3.6

-

-

-


Примечание. Допускается снижение массовой доли перекиси водорода в течение гарантийного срока хранения в растворе медицинской перекиси водорода - 1,5%, технической - 2,5%.

1.3.2. Допускается по согласованию с потребителем изготовлять перекись водорода марки А и медицинскую с массовой долей 27% - 40%.

1.3.3. Перекись водорода марки А и медицинскую стабилизируют не более чем 0,6 г/дм3 пирофосфорнокислого натрия по ГОСТ 342 или однозамещенного фосфорнокислого натрия по ГОСТ 245, марки Б - не более 0,5 г/дм3 однозамещенного фосфорнокислого натрия.

1.3.4. Температура замерзания водных растворов перекиси водорода приведена в приложении.

1.3.5. Для обеспечения сохранности при хранении и транспортировании перекиси водорода в алюминиевых емкостях вносят (0,20±0,05) г/дм3 ингибитора коррозии - азотно-кислого аммония по ГОСТ 22867.

1.4. Требования безопасности

1.4.1. Перекись водорода - негорючая, пожаровзрывоопасная жидкость, является сильным окислителем, способна самопроизвольно разлагаться на воду и Кислород, смешивается в любых соотношениях с водой.

Средство тушения перекиси водорода: обильная струя воды.

1.4.2. Не допускается контакт перекиси водорода с железом, хромом, свинцом, серебром, марганцем и их солями.

Хранить растворы перекиси водорода следует в темном прохладном месте.

Во избежание разложения перекиси водорода не допускается загрязнение ее растворов посторонними примесями, а также применение при работе с ними аппаратуры и тары из нелегированных и низколегированных сталей, чугуна, меди, латуни, бронзы и материалов, являющихся катализаторами разложения перекиси водорода.

1.4.3. Предельно допустимая концентрация паров перекиси водорода в воздухе рабочей зоны - 0,3 мг/м3.

Класс опасности - 2 по ГОСТ 12.1.007.

1.4.4. Растворы перекиси водорода могут вызывать ожоги кожи и глаз, пары перекиси водорода - раздражение слизистых оболочек.

1.4.5. При работе с перекисью водорода обслуживающий персонал должен быть обеспечен специальной одеждой, специальной обувью и индивидуальными средствами защиты по действующим нормам.

1.4.6. Производственные и лабораторные помещения, в которых проводят работы с перекисью водорода, должны быть снабжены приточно-вытяжной вентиляцией и местной вентиляцией по ГОСТ 12.4.021, обеспечивающей состояние воздушной среды в соответствии с требованиями ГОСТ 12.1.005.

1.4.7. Контроль воздуха рабочей зоны должен осуществляться по методикам, утвержденным Минздравом СССР.

Периодичность санитарно-химического контроля воздуха рабочей зоны устанавливается органами санитарно-эпидемиологической службы и осуществляется промсанлабораторией по ГОСТ 12.1.005.

1.5. Охрана природы

Защита окружающей среды от вредных воздействий продуктов, применяемых в процессе получения перекиси водорода, должна быть обеспечена тщательной герметизацией технологического оборудования.

Очистку сточных вод от перекиси водорода осуществляют любым методом, обеспечивающим ее разложение.

1.6. Маркировка

1.6.1. Транспортная маркировка - в соответствии с ГОСТ 14192 с нанесением основных, дополнительных, информационных надписей, обозначением знака опасности по ГОСТ 19433(класс 5, подкласс 5.1, шифр группы 5152, черт.5 и 8, серийный номер ООН 2014).

Дополнительно на бутыли и бочки с перекисью водорода наклеивают этикетки или прикрепляют к горловине бутылей, бочек или люков алюминиевых сосудов и контейнеров с продуктом картонные или из плотной бумаги ярлыки в полиэтиленовых мешочках, на которых указывают:

наименование предприятия-изготовителя или его товарный знак;

наименование продукта, его марку и сорт;

номер партии;

массу нетто;

дату изготовления;

предупредительную надпись "Берегись ожога";

обозначение настоящего стандарта.

1.6.2. Специальные трафареты на цистерну и знаки опасности наносят в соответствии с правилами перевозки грузов по железным дорогам СССР.

1.6.3. Маркировка перекиси водорода, предназначенной для экспорта, - по ГОСТ 14192 и заказу-наряду внешнеторгового объединения, а также ГОСТ 19433.

1.6.1-1.6.3. (Измененная редакция, Изм. N 1).

1.7. Упаковка

1.7.1. Перекись водорода заливают: в стеклянные бутыли по ОСТ 6-09-108 вместимостью 20 дм3, бочки для химических продуктов вместимостью от 20 до 60 дм3 из полиэтилена высокого давления нестабилизированного и неокрашенного по ГОСТ 16337 или из полиэтилена низкого давления (рецептура 901 по ГОСТ 16338), сосуды ВЭЭ-1,6-1 М-01 (кроме медицинской перекиси водорода) вместимостью 1,6 м3 из алюминия АД0 по ГОСТ 4784 (допускается алюминий АД1 по ГОСТ 4784 А-5 по ГОСТ 11069).

Применение алюминиевых контейнеров (кроме медицинской перекиси водорода) вместимостью 1,33 м3 из алюминия марок АД, АД1 по ГОСТ 4784 или марок АО, А-5 по ГОСТ 11069 допускалось до 01.01.92.

Упаковка перекиси водорода, предназначенной для экспорта, должна соответствовать ГОСТ 26319. Коэффициент заполнения тары (бочек, бутылей, сосудов, контейнеров) - не более 0,92.

(Измененная редакция, Изм. N 1).

1.7.2. При заполнении продуктом бутылей, бочек и цистерн допускается отклонение ±1,5% от объема, при заполнении сосудов и контейнеров - ±3% от объема.

1.7.3. Бутыли закрывают стеклянными пробками или завинчивающимися полиэтиленовыми крышками, обеспечивающими свободный выход газа. Полиэтиленовые бочки должны быть закрыты пробками, имеющими отверстия для выхода газа.

1.7.4. Горловины бутылей и бочек обертывают эластичной пленкой и обвязывают шпагатом или полипропиленовой лентой, концы которых заклеивают под этикетку или бумажный ярлык с маркой предприятия-изготовителя (товарный знак).

Допускается горловины бутылей и бочек не обвязывать, а продевать шпагат в отверстие на крышке, завязывать и концы заклеивать под этикетку или бумажный ярлык.

1.7.5. Люки сосудов и контейнеров закрывают крышками с прокладками из поливинилхлоридного пластика толщиной не менее 2 мм или других прокладочных материалов, стойких к перекиси водорода (типа ФУМ-0 или фторопласт-4).

1.7.6. Стеклянные бутыли по ОСТ 6-09-108 вместимостью 20 дм3 помещают в деревянные ящики по ГОСТ 18573 номер 3-1 типа II-1, номер 3-2 типа V-1 или номер 3-3 типа VI или полиэтиленовые барабаны.

1.7.7. Ящики должны быть выложены внутри деревянной стружкой, пропитанной растворами хлористого кальция, хлористого магния, диаммонийфосфата или сернокислого аммония, или негорючим уплотняющим материалом (например, шлаковатой).

1.7.8. Тара перед заполнением перекисью водорода должна быть промыта, осмотрена и проверена на отсутствие загрязнений.

Всю новую алюминиевую тару подвергают пассивации, а возвратную при необходимости подвергают частичной обработке. Алюминиевые емкости для очистки внутренней поверхности подвергают пассивации в соответствии с правилами химической обработки алюминиевой тары под перекись водорода. Не допускается емкости, предназначенные для хранения и транспортирования перекиси водорода, использовать для других целей.

1.7.9. Перекись водорода, предназначенную для экспорта, упаковывают, маркируют и транспортируют в соответствии с требованиями договора между предприятием и внешнеэкономической организацией.

(Измененная редакция, Изм. N 1).

2. ПРИЕМКА

2.1. Перекись водорода принимают партиями. Партией считают любое количество продукта массой не более 50 т однородного по своим показателям качества, сопровождаемое одним документом о качестве.

Документ о качестве должен содержать:

наименование предприятия-изготовителя или его товарный знак;

наименование, марку и сорт продукта;

номер партии;

дату изготовления;

массу нетто;

результаты проведенных анализов или подтверждение о соответствии качества продукта требованиям настоящего стандарта;

обозначение настоящего стандарта.

2.2. Для контроля качества перекиси водорода отбирают: при транспортировании в стеклянной или полиэтиленовой таре - 5% бутылей или бочек, но не менее чем 5 бутылей или бочек при партии, состоящей менее чем из 100 бутылей или бочек; при транспортировании в сосудах и контейнерах - 20% сосудов и контейнеров, но не менее чем 2 сосуда и контейнера при партии, состоящей менее чем из 10 сосудов и контейнеров; при транспортировании в железнодорожных цистернах пробу отбирают от каждой цистерны.

Допускается для перекиси водорода марки Б показатель массовой доли нелетучего остатка в партии определять из резервуара с готовым продуктом.

2.3. При получении неудовлетворительных результатов анализа хотя бы по одному показателю проводят повторный анализ пробы, отобранной от удвоенной выборки, взятой от той же партии, или вновь отобранной пробы из цистерны.

Результаты повторного анализа распространяются на всю партию.

3. МЕТОДЫ АНАЛИЗА

3.1. Пробы отбирают сухим чистым пробоотборником из материала, не вызывающего разложение перекиси водорода, пассивированным в соответствии с правилами химической обработки тары под перекись водорода.

Отобранные точечные пробы соединяют вместе, тщательно перемешивают и получают объединенную пробу, от которой отбирают не менее 0,5 дм3 перекиси водорода и помещают в чистую склянку. Склянку предварительно ополаскивают перекисью водорода и закрывают пробкой, обеспечивающей выход газов. Пробку и горловину склянки обертывают полихлорвиниловой или полиэтиленовой пленкой. На склянку наклеивают этикетку с наименованием продукта, номером партии и датой отбора проб.

3.2. Определение внешнего вида

Анализируемую перекись водорода объемом (15±0,5) см3 и дистиллированную воду объемом (15±0,5) см3, отмеренные цилиндром 2-50 по ГОСТ 1770, помещают в одинаковые пробирки П1-14-120 ХС или П1-16-120 ХС по ГОСТ 25336 и сравнивают в проходящем свете.

Продукт соответствует требованиям настоящего стандарта, если он не отличается от дистиллированной воды.

3.3. Определение массовой доли перекиси водорода

 3.3.1. Аппаратура, материалы и реактивы

Весы лабораторные общего назначения 2-го класса точности по ГОСТ 24104* с наибольшим пределом взвешивания 200 г.
__________________
* С 1 июля 2002 г. введен в действие ГОСТ 24104-2001 (здесь и далее). 

Секундомер механический или часы песочные. 

Колба Кн-1-250-24/29 ТС, Кн-2-250-34 ТХС по ГОСТ 25336.

Цилиндр 1-50 или 3-50 по ГОСТ 1770.

Бюретка 1-2-50-0,1, 2-2-50-0,1 или 3-2-50-0,1 по ГОСТ 29251.

Стаканчик СВ-14/8 по ГОСТ 25336.

Калий марганцовокислый по ГОСТ 20490, х.ч., ч.д.а., раствор концентрации с(1/5KMnO4)=0,1 моль/дм3 (0,1 н.); готовят по ГОСТ 25794.2.

Кислота серная по ГОСТ 4204, х.ч., ч.д.а., ч., разбавленная 1:4 (по объему).

Вода дистиллированная по ГОСТ 6709.

3.3.2. Подготовка к проведению анализа

Установку титра (поправочного коэффициента) раствора марганцовокислого калия концентрации с(1/5KMnO4)=0,1 моль/дм3 проводят по ГОСТ 25794.2.

3.3.3. Проведение анализа

0,1500-0,2000 г перекиси водорода помещают в коническую колбу вместимостью 250 см3, содержащую 25 см3 воды, 20 см3 раствора серной кислоты, перемешивают и титруют раствором марганцовокислого калия до розовой окраски, не исчезающей в течение минуты. Одновременно проводят контрольный опыт в тех же условиях и с тем же количеством реактивов, но без добавления перекиси водорода.

3.3.4 Обработка результатов

Массовую долю перекиси водорода (X) в процентах вычисляют по формуле где V - объем раствора марганцовокислого калия концентрации с(1/5KMnO4)=0,1 моль/дм3, израсходованный на титрование анализируемого раствора, см3;

V1 - объем раствора марганцовокислого калия концентрации с(1/5KMnO4)=0,1 моль/дм3, израсходованный на титрование контрольного опыта, см3;

0,0017 - масса перекиси водорода, соответствующая 1 см3 раствора марганцовокислого калия концентрации точно с(1/5KMnO4)=1 моль/ дм3, г/см3;

K - титр (поправочный коэффициент) раствора марганцовокислого калия концентрации с(1/5KMnO4)=0,1 моль/ дм3 (0,1 н.);

m - масса пробы, г.

За результат анализа принимают среднее арифметическое результатов двух параллельных определений, абсолютное расхождение между которыми не превышает допускаемое расхождение, равное 0,10%.

Допускаемая абсолютная суммарная погрешность результата анализа ±0,15% при доверительной вероятности P=0,95.

3.4. Определение массовой доли кислот

3.4.1. Аппаратура, материалы и реактивы

Весы лабораторные общего назначения по ГОСТ 24104 2-го класса точности с наибольшим пределом взвешивания 200 г.

Колбы Кн-1-100-14/23 ТС, Кн-1-250-24/29 ТС по ГОСТ 25336.

Цилиндр 1-100 или 3-100 по ГОСТ 1770.

Бюретка 1-2-25-0,1; 1-2-10-0,05; 2-2-25-0,1; 3-2-25-0,1 или 4-2-25-0,1 по ГОСТ 29251.

Пипетки 2-2-10 или 3-2-10 по ГОСТ 29227.

Вода дистиллированная по ГОСТ 6709.

Кислота серная по ГОСТ 4204, х.ч., раствор концентрации c(1/2H2SO4)=0,01 моль/дм(0,01 н.) и c(1/2H2SO4)=0,1 моль/дм3 (0,1 н.) или стандарт-титр (фиксанал) концентрации c(1/2H2SO4)=0,01 моль/дм3 (0,01 н.) и c(1/2H2SO4)=0,1 моль/дм3 (0,1 н.), приготовленный по ГОСТ 25794.1.

Натрия гидроокись по ГОСТ 4328, х.ч., раствор концентрации c(NaOH)=0,01 моль/дм3 и c(NaOH)=0,1 моль/ дм3.

Метиловый красный (водорастворимый индикатор).

Метиленовый голубой (индикатор).

Спирт этиловый ректификованный технический по ГОСТ 18300.

3.4.2. Подготовка к анализу

3.4.2.1. Приготовление смешанного индикатора

0,10 г метиленового голубого помещают в колбу и растворяют в 100 см3 этилового спирта. Отдельно растворяют 0,20 г метилового красного в 100 см3 этилового спирта. Оба раствора смешивают. Кислой реакции соответствует фиолетовая окраска, щелочной - зеленая, нейтральной - зеленовато-синяя.

3.4.2.2. Приготовление раствора и определение титра (поправочного коэффициента) растворов гидроокиси натрия концентрации c(NaOH)=0,01 моль/дм3 и  c(NaOH)=0,1 моль/дм3 проводят по ГОСТ 25794.1.

3.4.3. Проведение анализа

В коническую колбу вместимостью 250 смпомещают 100 см3 дистиллированной воды и 2-3 капли смешанного индикатора. Вода должна иметь нейтральную реакцию, в противном случае ее нейтрализуют, осторожно добавляя раствор гидроокиси натрия или раствор серной кислоты. Затем в колбу вносят 10 см3 перекиси водорода и титруют из бюретки раствором гидроокиси натрия концентрации c(NaOH)=0,01 моль/дм3 (0,01 н.) при электрохимическом методе получения или c(NaOH)=0,1 моль/дм3 (0,1 н.) при органическом методе получения до перехода фиолетовой окраски в зеленую (в присутствии контрольной пробы на цвет).

3.4.4. Обработка результатов

3.4.4.1. Массовую концентрацию серной кислоты (X1), г/дм3, вычисляют по формуле где V - объем раствора гидроокиси натрия концентрации c(NaOH)=0,01 моль/дм3 (0,01 н.), израсходованного на титрование 10 см3 анализируемой пробы, см3;

0,00049 - масса серной кислоты, соответствующая 1 см3 раствора гидроокиси натрия концентрации точно c(NaOH)=0,01 моль/дм3, г/см3;

K - титр (поправочный коэффициент) раствора гидроокиси натрия концентрации c(NaOH)=0,01 моль/дм3 (0,01 н.);

10 - объем анализируемой пробы, см3.

За результат анализа принимают среднее арифметическое результатов двух параллельных определений, расхождение между которыми не превышает допускаемое расхождение, равное 0,003 г/дм3.

Допускаемая суммарная погрешность результата анализа ±0,009 г/дм3 при доверительной вероятности P=0,95.

3.4.4.2. Массовую концентрацию уксусной кислоты (X2), г/дм3, вычисляют по формуле где V - объем раствора гидроокиси натрия концентрации c(NaOH)=0,1 моль/дм3 (0,1 н.), израсходованного на титрование 10 см3 анализируемой пробы, см3;

0,006 - масса уксусной кислоты, соответствующая 1 см3 раствора гидроокиси натрия концентрации точно c(NaOH)=0,1 моль/дм3, г/см3;

K - титр (поправочный коэффициент) раствора гидроокиси натрия концентрации c(NaOH)=0,1 моль/дм3 (0,1 н.);

10 - объем анализируемой пробы, см3.

За результат анализа принимают среднее арифметическое результатов двух параллельных определений, расхождение между которыми не превышает допускаемое расхождение, равное 0,02 г/дм3.

Допускаемая суммарная погрешность результата анализа ±0,4 г/дм3 при доверительной вероятности P=0,95.

3.5. Определение массовой концентрации нелетучего остатка

3.5.1. Аппаратура, материалы и реактивы

Весы лабораторные общего назначения 2-го класса точности по ГОСТ 24104 с наибольшим пределом взвешивания 200 г.

Электроплитка по ГОСТ 14919.

Цилиндр 1-50 или 3-50 по ГОСТ 1770.

Чашка платиновая по ГОСТ 6563, изделие 115-4 или 115-5, 118-4 или 118-5 вместимостью от 100 до 200 см3.

Шкаф сушильный СНОЛ 25.2,5.2,5/2М или любой другой, обеспечивающий температуру нагрева (105±5) °С.

Пипетки 2-2-10, 3-2-10 по ГОСТ 29227.

кальций хлористый, прокаленный.

силикагель по ГОСТ 3956.

Баня водяная.

Эксикатор по ГОСТ 25336.

Вода дистиллированная по ГОСТ 6709.

3.5.2. Проведение анализа

В платиновую чашку, доведенную до постоянной массы, помещают цилиндром 50 см3 воды и пипеткой добавляют 10 см3 перекиси водорода. Разложение перекиси водорода ведут при комнатной температуре. После окончания интенсивного разложения перекиси водорода чашку помещают на кипящую водяную баню и выпаривают досуха. Остаток высушивают в сушильном шкафу при температуре 105-110 °С до постоянной массы, охлаждают в эксикаторе и взвешивают. Результат взвешивания записывают с точностью до четвертого десятичного знака.

3.5.3. Обработка результатов

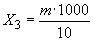
Массовую концентрацию нелетучего остатка (X3), г/дм3, вычисляют по формуле где m - масса остатка после высушивания, г;

10 - объем анализируемой пробы, см3.

За результат анализа принимают среднее арифметическое результатов двух параллельных определений, расхождение между которыми не превышает допускаемое расхождение, равное 0,06 г/дм3.

Допускаемая суммарная погрешность результата анализа ±0,03 г/дм3 при доверительной вероятности P=0,95.

3.6. Определение содержания мышьяка

3.6.1. Аппаратура, материалы и реактивы

Натрий фосфорноватистокислый (Гипофосфит натрия) по ГОСТ 200.

кислота соляная по ГОСТ 3118, х.ч.

Кислота серная по ГОСТ 4204, х.ч., раствор с массовой долей 20%.

Вода дистиллированная по ГОСТ 6709.

Секундомер механический 2-го класса точности с диапазоном измерения от 0 до 30 мин и погрешностью не более ±0,6 с.

Весы лабораторные общего назначения по ГОСТ 24104 2-го класса точности с наибольшим пределом взвешивания 200 г.

Колбы Кн-1-500-24/29, Кн-2-500-24 по ГОСТ 25336.

Стаканы В-1-100 или Н-2-100 по ГОСТ 25336.

Электроплитка по ГОСТ 14919.

Пробирки П-1-10-0,1 ХС по ГОСТ 1770.

Пипетки 4-2-2 или 5-2-2; 6-1-5 или 7-1-5 по ГОСТ 29227.

Цилиндры 1-50 или 3-50; 2-250 или 3-250 по ГОСТ 1770.

Баня водяная.

3.6.2. Подготовка к проведению анализа

3.6.2.1. Приготовление реактива на мышьяк

20,00 г фосфорноватистокислого натрия помещают в колбу и растворяют в 40 см3 воды. К раствору добавляют 180 см3 соляной кислоты и оставляют стоять в течение суток. При осаждении выделившихся кристаллов хлористого натрия жидкость сливают, оставляя осадок. Раствор должен быть бесцветным и храниться в склянке с притертой пробкой.

3.6.3. Проведение анализа

В стакан вместимостью 100 см3 вносят 5 см3 перекиси водорода, добавляют 2 смраствора серной кислоты, перемешивают и выпаривают на плитке при слабом нагревании до появления паров серной кислоты. Затем нагревание прекращают, охлаждают до комнатной температуры, стенки стакана ополаскивают небольшим количеством воды, перемешивают и выпаривание повторяют.

После охлаждения содержимое стакана переносят в пробирку, стакан ополаскивают 2 смводы, сливая воду в ту же пробирку, и добавляют 5 см3 реактива на мышьяк. Пробирки помещают в кипящую водяную баню и нагревают в течение 15 мин.

Перекись водорода считают соответствующей требованиям настоящего стандарта, если в течение 15 мин содержимое пробирки не окрасится в бурый цвет или не выпадет осадок бурого цвета.

3.7. Допускается применение других средств измерения (приборов, мерной посуды) с метрологическими характеристиками и оборудования с техническими характеристиками не ниже указанных.

4. ТРАНСПОРТИРОВАНИЕ И ХРАНЕНИЕ

4.1. Перекись водорода транспортируют железнодорожным и автомобильным транспортом в соответствии с правилами перевозки грузов, действующими на данном виде транспорта.

Железнодорожным транспортом перекись водорода транспортируют повагонно в крытых железнодорожных вагонах, в алюминиевых сосудах и контейнерах - на платформах в соответствии с техническими условиями погрузки и крепления грузов, утвержденными Министерством путей сообщения СССР, в специальных алюминиевых цистернах отправителя - в соответствии с правилами перевозок грузов Министерства путей сообщения СССР.

Грузовые места в железнодорожных вагонах следует размещать и крепить в соответствии с техническими условиями погрузки и крепления грузов, утвержденными Министерством путей сообщения СССР.

Перекись водорода, упакованную в бутыли и бочки, транспортируют пакетами в соответствии с требованиями ГОСТ 9570, ГОСТ 21650, ГОСТ 24597, ГОСТ 26663.

Допускается транспортировать продукт в непакетированном виде по согласованию с потребителем при условии погрузки и выгрузки груза на подъездных путях предприятия.

Температура окружающей среды при транспортировании перекиси водорода не ограничивается.

(Измененная редакция, Изм. N 1).

4.2. Перекись водорода хранят в складских помещениях, обеспечивающих защиту от воздействия солнечных лучей, при температуре не выше 30 °С.

Допускается хранение перекиси водорода на открытых площадках, снабженных навесом, исключающим попадание прямых солнечных лучей, в складских емкостях с изотермическим устройством, обеспечивающим температуру продукта не выше 30 °С и не ниже минус 30 °С.

5. ГАРАНТИИ ИЗГОТОВИТЕЛЯ

5.1. Изготовитель гарантирует соответствие перекиси водорода требованиям настоящего стандарта при соблюдении условий транспортирования и хранения.

5.2. Гарантийный срок хранения перекиси водорода - шесть месяцев со дня изготовления.

ПРИЛОЖЕНИЕ (справочное). Температура замерзания водных растворов перекиси водорода

ПРИЛОЖЕНИЕ
Справочное 

Массовая доля перекиси водорода,%

Температура замерзания, °С

20

-14,6

30

-25,7

35

-33,0

40

-41,4




официальное издание
М.: Стандартинформ, 2006