Полиэтилен высокого давления ГОСТ 16337-77
Полиэтилен высокого давления. Технические условия (с Изменениями N 1, 2, 3) ГОСТ 16337-77
ГОСТ 16337-77
Группа Л27
МЕЖГОСУДАРСТВЕННЫЙ СТАНДАРТ
ПОЛИЭТИЛЕН ВЫСОКОГО ДАВЛЕНИЯ
Технические условия
High-pressure polyethylene. Specifications
МКС 83.080.20
ОКП 22 1111
Дата введения 1979-01-01
ИНФОРМАЦИОННЫЕ ДАННЫЕ
1. РАЗРАБОТАН И ВНЕСЕН Министерством химической промышленности СССР
2. УТВЕРЖДЕН И ВВЕДЕН В ДЕЙСТВИЕ Постановлением Государственного комитета стандартов Совета Министров СССР от 11.10.77 N 2425
3. ВЗАМЕН ГОСТ 16337-70, ГОСТ 5.1308-72
4. ССЫЛОЧНЫЕ НОРМАТИВНО-ТЕХНИЧЕСКИЕ ДОКУМЕНТЫ
|
Обозначение НТД, на который дана ссылка |
Номер пункта, подпункта |
|
ГОСТ 12.1.007-76 |
6.3 |
|
ГОСТ 618-73 |
3.7 |
|
3.23 |
|
|
Приложение 3 |
|
|
ГОСТ 2226-88 |
4.1; 4.2 |
|
Приложение 3 |
|
|
Приложение 3 |
|
|
Приложение 3 |
|
|
ГОСТ 6433.1-71 |
3.7 |
|
ГОСТ 6433.3-71 |
1.9; 3.23 |
|
ГОСТ 7436-74 |
Приложение 3 |
|
ГОСТ 7730-89 |
3.7 |
|
Приложение 3 |
|
|
3.11 |
|
|
Приложение 3 |
|
|
Приложение 3 |
|
|
ГОСТ 11262-80 |
1.8; 3.17 |
|
ГОСТ 11645-73 |
1.8; 3.12 |
|
ГОСТ 12019-66 |
3.7 |
|
ГОСТ 12423-66 |
3.7 |
|
ГОСТ 13518-68 |
1.8; 3.16 |
|
ГОСТ 14192-96 |
4.3 |
|
ГОСТ 14919-83 |
3.20.2 |
|
ГОСТ 15139-69 |
1.8; 3.11 |
|
ГОСТ 16782-92 |
3.20.1 |
|
ГОСТ 17711-93 |
3.23 |
|
ГОСТ 17811-78 |
4.1; 4.2 |
|
3.11 |
|
|
ГОСТ 21650-76 |
4.4 |
|
ГОСТ 22372-77 |
1.9; 3.22 |
|
ГОСТ 22648-77 |
3.24 |
|
ГОСТ 24597-81 |
4.4 |
|
ГОСТ 25336-82 |
3.11 |
|
ГОСТ 25706-83 |
3.14 |
|
ГОСТ 26311-84 |
3.20.4 |
|
ГОСТ 26359-84 |
3.21 |
|
ГОСТ 26380-84 |
4.4 |
|
ГОСТ 26393-84 |
3.18 |
|
ТУ 2-034-225-87 |
3.19 |
5. Ограничение срока действия снято по протоколу N 3-93 Межгосударственного совета по стандартизации, метрологии и сертификации (ИУС 5-6-93)
6. ИЗДАНИЕ (август 2005 г.) с Изменениями N 1, 2, 3, утвержденными в мае 1979 г., декабре 1983 г., июне 1988 г. (ИУС 7-79, 4-84, 10-88), Поправками (ИУС 5-89, 1-99)
Настоящий стандарт распространяется на полиэтилен высокого давления (низкой плотности), получаемый полимеризацией этилена при высоком давлении в трубчатых реакторах и реакторах с перемешивающим устройством с применением инициаторов радикального типа, и устанавливает требования к полиэтилену высокого давления, изготовляемому для нужд народного хозяйства и экспорта.
Стандарт не распространяется на композиции полиэтилена для кабельной промышленности.
1. МАРКИ И ТЕХНИЧЕСКИЕ ТРЕБОВАНИЯ
1.1. Полиэтилен выпускают без добавок - базовые марки и в виде композиций на их основе со стабилизаторами и другими добавками в окрашенном и неокрашенном виде.
1.2. В зависимости от свойств и назначения установлены базовые марки полиэтилена, указанные в табл.1.
Таблица 1
(Измененная редакция, Изм. N 2, 3).
1.3. Базовую марку выбирают в соответствии с приложениями 1 и 2.
1.4. Композиции выпускают на основе базовых марок полиэтилена с различными добавками в соответствии с табл.2 и приложением 3. Марку композиции выбирают в соответствии с табл.2 и приложениями 1, 2 и 3.
Таблица 2
|
Номер рецептуры |
Базовая марка полиэтилена |
Вид добавки |
Свойство композиции |
Рекомендуемое назначение |
|
01 |
Любая, рекомендуемая для данного назначения |
Термостабилизатор |
Стойкая к термоокислительному старению, не рекомендуется к окрашиванию |
Для неокрашиваемых технических изделий, в том числе электротехнических изделий |
|
02 |
То же |
То же |
Стойкая к термоокислительному старению |
Для окрашиваемых и неокрашиваемых технических изделий, в том числе электротехнических изделий |
|
03 |
" |
" |
То же |
Для окрашиваемых и неокрашиваемых технических изделий и изделий, предназначенных для контакта с пищевыми продуктами, для игрушек |
|
04 |
" |
" |
" |
Для окрашиваемых и неокрашиваемых технических изделий, в том числе электротехнических изделий |
|
06 |
" |
Термо- и светостабилизатор |
Стойкая к фотоокислительному и термоокислительному старению |
Для сельскохозяйственной пленки, неокрашиваемых и окрашиваемых технических изделий |
|
07 |
" |
То же |
То же |
Для окрашиваемых и неокрашиваемых технических изделий, а также изделий, предназначенных для контакта с пищевыми продуктами, игрушек, для сельскохозяйственной пленки |
|
08 |
" |
Светостабилизатор |
Стойкая к фотоокислительному старению |
То же |
|
09 |
" |
Термо- и светостабилизатор |
Стойкая к термоокислительному и фотоокислительному старению, черного цвета |
Для технических изделий, в том числе электротехнических изделий |
|
10 |
" |
То же |
Стойкая к термоокислительному и фотоокислительному старению при эксплуатации на открытом воздухе, черного цвета |
То же |
|
12 |
" |
" |
Стойкая к термоокислительному и фотоокислительному старению в атмосферных условиях для ответственных целей, черного цвета |
Для технических изделий |
|
14 |
" |
Светостабилизатор |
Стойкая к фотоокислительному старению, черного цвета |
Для технических изделий, в том числе труб холодного хозяйственного водоснабжения, пленок |
|
79 |
10803-020 |
Скользящая добавка |
Пониженный коэффициент трения |
Для пленок, предназначенных для упаковки промышленных товаров |
|
93 |
Любая, рекомендуемая для данного назначения |
Термостабилизатор |
Стойкая к термоокислительному старению |
Для окрашиваемых и неокрашиваемых технических изделий, в том числе электротехнических изделий |
|
94 |
Любая, рекомендуемая для данного назначения |
Термостабилизатор |
Стойкая к термоокислительному старению |
Для окрашиваемых и неокрашиваемых технических изделий, в том числе электротехнических изделий |
|
95 |
То же |
То же |
То же |
То же |
|
96 |
" |
Термо- и светостабилизатор |
Стойкая к термоокислительному и фотоокислительному старению, черного цвета |
Для технических изделий, в том числе и электротехнических изделий |
|
97 |
" |
То же |
Стойкая к термоокислительному и фотоокислительному старению при эксплуатации на открытом воздухе, черного цвета |
То же |
|
98 |
" |
" |
То же |
Для технических изделий, в том числе труб холодного хозяйственно-питьевого водоснабжения |
|
99 |
" |
" |
Стойкая к термоокислительному и фотоокислительному старению, черного цвета |
Для технических изделий, в том числе и электротехнических изделий |
|
100 |
" |
" |
Стойкая к термоокислительному и фотоокислительному старению при эксплуатации на открытом воздухе, черного цвета |
То же |
Примечание. Для изготовления тонких и термоусадочных пленок, а также пленок специального назначения предназначен полиэтилен высшего сорта, а для изготовления напорных труб предназначены композиции 102-14, 102-98, 153-14, 153-98 высшего и 1-го сортов. Для экспорта предназначен полиэтилен высшего и 1-го сортов.
(Измененная редакция, Изм. N 3).
1.5. Базовые марки полиэтилена и композиции на их основе выпускают высшего, 1-го и 2-го сортов.
1.6. Полиэтилен должен выпускаться в виде гранул одинаковой геометрической формы в пределах одной партии, размер их в любом направлении должен быть 2-5 мм. Для базовых марок и композиций полиэтилена допускаются гранулы размером свыше 5 до 8 мм, массовая доля которых не должна превышать 0,25%, и гранулы размером свыше 1 до 2 мм, массовая доля которых не должна превышать 0,5%, а для полиэтилена, предназначенного для изготовления пленок специального назначения, - 0,25%. Для полиэтилена 2-го сорта допускаются серые и окисленные гранулы, массовая доля которых не должна превышать 0,1%. В окрашенном и неокрашенном полиэтилене не допускаются гранулы другого цвета, кроме полиэтилена 2-го сорта, в котором массовая доля гранул другого цвета не должна превышать 0,04%.
1.7. Цвет окрашенного полиэтилена должен соответствовать образцу цвета, утвержденному в установленном порядке.
(Измененная редакция, Изм. N 2).
1.8. Показатели базовых марок и композиций с добавками рецептур 01-04, 06-10, 12, 14, 79, 93-100 и композиций с добавками для окраски должны соответствовать требованиям, указанным в табл.3-5, а композиций, содержащих только добавки для окраски, - требованиям, указанным в табл.3 и 5, как для негомогенизированного, так и гомогенизированного полиэтилена.
Таблица 3
|
Наименование показателя |
Норма для марки |
|||||
|
10204-003 |
10604-007 |
|||||
|
Высший сорт ОКП 22 1111 0101 |
Первый сорт ОКП 22 1111 0102 |
Второй сорт ОКП 22 1111 0103 |
Высший сорт ОКП 22 1111 0301 |
Первый сорт ОКП 22 1111 0302 |
Второй сорт ОКП 22 1111 0303 |
|
|
1. Плотность, г/см3 |
0,9230±0,001 |
0,9235±0,0015 |
||||
|
2. Показатель текучести расплава (номинальное значение) с допуском, %, г/10 мин |
0,3±15 |
0,3±20 |
0,7±20 |
|||
|
3. Разброс показателей текучести расплава в пределах партии, %, не более |
±5 |
±8 |
±10 |
±5 |
±10 |
±10 |
|
4. Количество включений, шт., не более |
2 |
5 |
10 |
2 |
5 |
12 |
|
5. Технологическая проба на внешний вид пленки |
По табл.5 |
В |
В |
С |
||
|
6. Стойкость к растрескиванию, ч, не менее |
По табл.5 |
По табл.5 |
||||
Продолжение табл.3
|
Наименование показателя |
Норма для марки |
|||||
|
10703-020 |
10803-020 |
|||||
|
Высший сорт ОКП 22 1111 0501 |
Первый сорт ОКП 22 1111 0502 |
Второй сорт ОКП 22 1111 0503 |
Высший сорт ОКП 22 1111 0601 |
Первый сорт ОКП 22 1111 0602 |
Второй сорт ОКП 22 1111 0603 |
|
|
1. Плотность, г/см3 |
0,9185±0,0015 |
0,9185±0,0015 |
||||
|
2. Показатель текучести расплава (номинальное значение) с допуском, %, г/10 мин |
2,0±10 |
2,0±15 |
2,0±10 |
2,0±15 |
||
|
3. Разброс показателей текучести расплава в пределах партии, %, не более |
±5 |
±8 |
±12 |
±5 |
±8 |
±12 |
|
4. Количество включений, шт., не более |
2 |
5 |
15 |
2 |
5 |
15 |
|
5. Технологическая проба на внешний вид пленки |
- |
По табл.5 |
||||
|
6. Стойкость к растрескиванию, ч, не менее |
2,5 |
По табл.5 |
||||
Продолжение табл.3
|
Наименование показателя |
Норма для марки |
|||||
|
11304-040 |
11503-070 |
|||||
|
Высший сорт ОКП 22 1111 1001 |
Первый сорт ОКП 22 1111 1002 |
Второй сорт ОКП 22 1111 1003 |
Высший сорт ОКП 22 1111 1101 |
Первый сорт ОКП 22 1111 1102 |
Второй сорт ОКП 22 1111 1103 |
|
|
1. Плотность, г/см3 |
0,9240±0,001 |
0,9180±0,001 |
||||
|
2. Показатель текучести расплава (номинальное значение) с допуском, %, г/10 мин |
4,0±15 |
7,0±15 |
||||
|
3. Разброс показателей текучести расплава в пределах партии, %, не более |
±5 |
±10 |
±12 |
±5 |
±10 |
±12 |
|
4. Количество включений, шт., не более |
2 |
5 |
10 |
2 |
5 |
10 |
|
5. Технологическая проба на внешний вид пленки |
- |
По табл.5 |
||||
|
6. Стойкость к растрескиванию, ч, не менее |
- |
- |
||||
Продолжение табл.3
|
Наименование показателя |
Норма для марки |
|||||
|
12003-200 |
12103-200 |
|||||
|
Высший сорт ОКП 22 1111 1401 |
Первый сорт ОКП 22 1111 1402 |
Второй сорт ОКП 22 1111 1403 |
Высший сорт ОКП 22 1111 1501 |
Первый сорт ОКП 22 1111 1502 |
Второй сорт ОКП 22 1111 1503 |
|
|
1. Плотность, г/см3 |
0,9170±0,001 |
0,9210±0,001 |
||||
|
2. Показатель текучести расплава (номинальное значение) с допуском, %, г/10 мин |
20,0±15 |
20,0±15 |
||||
|
3. Разброс показателей текучести расплава в пределах партии, %, не более |
±5 |
±12 |
±12 |
±5 |
±12 |
±12 |
|
4. Количество включений, шт., не более |
2 |
5 |
10 |
2 |
5 |
10 |
|
5. Технологическая проба на внешний вид пленки |
- |
- |
||||
|
6. Стойкость к растрескиванию, ч, не менее |
- |
- |
||||
Продолжение табл.3
|
Наименование показателя |
Норма для марки |
|||||
|
15003-002 |
15303-003 |
|||||
|
Высший сорт ОКП 22 1111 1801 |
Первый сорт ОКП 22 1111 1802 |
Второй сорт ОКП 22 1111 1803 |
Высший сорт ОКП 22 1111 2001 |
Первый сорт ОКП 22 1111 2002 |
Второй сорт ОКП 22 1111 2003 |
|
|
1. Плотность, г/см3 |
0,9190±0,0015 |
0,9205±0,0015 |
||||
|
2. Показатель текучести расплава (номинальное значение) с допуском, %, г/10 мин |
0,2±30 |
0,3±30 |
||||
|
3. Разброс показателей текучести расплава в пределах партии, %, не более |
±6 |
±12 |
±15 |
±6 |
±12 |
±15 |
|
4. Количество включений, шт., не более |
2 |
8 |
30 |
2 |
8 |
30 |
|
5. Технологическая проба на внешний вид пленки |
- |
По табл.5 |
||||
|
6. Стойкость к растрескиванию, ч, не менее |
По табл.5 |
По табл.5 |
||||
Продолжение табл.3
|
Наименование показателя |
Норма для марки |
||||||||
|
15503-004 |
16305-005 |
17603-006 |
|||||||
|
Высший сорт ОКП 22 1111 2301 |
Первый сорт ОКП 22 1111 2302 |
Второй сорт ОКП 22 1111 2303 |
Высший сорт ОКП 22 1111 2401 |
Первый сорт ОКП 22 1111 2402 |
Второй сорт ОКП 22 1111 2403 |
Высший сорт ОКП 22 1111 2501 |
Первый сорт ОКП 22 1111 2502 |
Второй сорт ОКП 22 1111 2503 |
|
|
1. Плотность, г/см3 |
0,9190±0,0015 |
0,9285±0,002 |
0,9190±0,002 |
||||||
|
2. Показатель текучести расплава (номинальное значение) с допуском, %, г/10 мин |
0,4±25 |
0,5±25 |
0,6±25 |
||||||
|
3. Разброс показателей текучести расплава в пределах партии, %, не более |
±6 |
±12 |
±15 |
±6 |
±12 |
±15 |
±6 |
±12 |
±15 |
|
4. Количество включений, шт., не более |
2 |
8 |
30 |
2 |
8 |
30 |
2 |
8 |
30 |
|
5. Технологическая проба на внешний вид пленки |
В |
В |
С |
- |
- |
||||
|
6. Стойкость к растрескиванию, ч, не менее |
По табл.5 |
По табл.5 |
По табл.5 |
||||||
Продолжение табл.3
|
Наименование показателя |
Норма для марки |
||||||||
|
17504-006 |
16005-008 |
17703-010 |
|||||||
|
Высший сорт ОКП 22 1111 2601 |
Первый сорт ОКП 22 1111 2602 |
Второй сорт ОКП 22 1111 2603 |
Высший сорт ОКП 22 1111 2701 |
Первый сорт ОКП 22 1111 2702 |
Второй сорт ОКП 22 1111 2703 |
Высший сорт ОКП 22 1111 2801 |
Первый сорт ОКП 22 1111 2802 |
Второй сорт ОКП 22 1111 2803 |
|
|
1. Плотность, г/см3 |
0,9250±0,002 |
0,9270±0,002 |
0,9190±0,002 |
||||||
|
2. Показатель текучести расплава (номинальное значение) с допуском, %, г/10 мин |
0,6±25 |
0,8±25 |
1,0±20 |
||||||
|
3. Разброс показателей текучести расплава в пределах партии, %, не более |
±6 |
±12 |
±15 |
±6 |
±12 |
±15 |
±8 |
±12 |
±15 |
|
4. Количество включений, шт., не более |
2 |
8 |
30 |
2 |
8 |
30 |
5 |
8 |
30 |
|
5. Технологическая проба на внешний вид пленки |
По табл.5 |
В |
В |
С |
В |
В |
С |
||
|
6. Стойкость к растрескиванию, ч, не менее |
По табл.5 |
- |
|||||||
Продолжение табл.3
|
Наименование показателя |
Норма для марки |
|||||||||
|
16603-011 |
17803-015 |
15803-020 |
||||||||
|
Высший сорт ОКП 22 1111 2901 |
Первый сорт ОКП 22 1111 2902 |
Второй сорт ОКП 22 1111 2903 |
Высший сорт ОКП 22 1111 3001 |
Первый сорт ОКП 22 1111 3002 |
Второй сорт ОКП 22 1111 3003 |
Высший сорт ОКП 22 1111 3201 |
Первый сорт ОКП 22 1111 3202 |
Второй сорт ОКП 22 1111 3203 |
||
|
1. Плотность, г/см3 |
0,9190±0,0015 |
0,9190±0,002 |
0,9190±0,002 |
|||||||
|
2. Показатель текучести расплава (номинальное значение) с допуском, %, г/10 мин |
1,1±25 |
1,5±25 |
2,0±25 |
|||||||
|
3. Разброс показателей текучести расплава в пределах партии, %, не более |
±6 |
±12 |
±15 |
±6 |
±12 |
±15 |
±6 |
±12 |
±15 |
|
|
4. Количество включений, шт., не более |
2 |
8 |
30 |
2 |
8 |
30 |
2 |
8 |
30 |
|
|
5. Технологическая проба на внешний вид пленки |
- |
По табл.5 |
||||||||
|
6. Стойкость к растрескиванию, ч, не менее |
По табл.5 |
2,5 |
- |
|||||||
Продолжение табл.3
|
Наименование показателя |
Норма для марки |
||||||||
|
16204-020 |
16405-020 |
18003-030 |
|||||||
|
Высший сорт ОКП 22 1111 3401 |
Первый сорт ОКП 22 1111 3402 |
Второй сорт ОКП 22 1111 3403 |
Высший сорт ОКП 22 1111 3501 |
Первый сорт ОКП 22 1111 3502 |
Второй сорт ОКП 22 1111 3503 |
Высший сорт ОКП 22 1111 3601 |
Первый сорт ОКП 22 1111 3602 |
Второй сорт ОКП 22 1111 3603 |
|
|
1. Плотность, г/см3 |
0,9230±0,002 |
0,9270±0,002 |
0,9180±0,002 |
||||||
|
2. Показатель текучести расплава (номинальное значение) с допуском, %, г/10 мин |
2,0±25 |
2,0±25 |
3,0±30 |
||||||
|
3. Разброс показателей текучести расплава в пределах партии, %, не более |
±6 |
±12 |
±15 |
±6 |
±12 |
±15 |
±8 |
±12 |
±15 |
|
4. Количество включений, шт., не более |
2 |
8 |
30 |
2 |
8 |
30 |
5 |
10 |
30 |
|
5. Технологическая проба на внешний вид пленки |
По табл.5 |
А |
В |
С |
- |
||||
|
6. Стойкость к растрескиванию, ч, не менее |
- |
- |
1,5 |
||||||
Продолжение табл.3
|
Наименование показателя |
Норма для марки |
||||||||
|
18103-035 |
16904-040 |
18203-055 |
|||||||
|
Высший сорт ОКП 22 1111 3701 |
Первый сорт ОКП 22 1111 3702 |
Второй сорт ОКП 22 1111 3703 |
Высший сорт ОКП 22 1111 3801 |
Первый сорт ОКП 22 1111 3802 |
Второй сорт ОКП 22 1111 3803 |
Высший сорт ОКП 22 1111 4001 |
Первый сорт ОКП 22 1111 4002 |
Второй сорт ОКП 22 1111 4003 |
|
|
1. Плотность, г/см3 |
0,9185±0,0015 |
0,9240±0,0015 |
0,9180±0,001 |
||||||
|
2. Показатель текучести расплава (номинальное значение) с допуском, %, г/10 мин |
3,5±30 |
4,0±25 |
5,5±25 |
||||||
|
3. Разброс показателей текучести расплава в пределах партии, %, не более |
±8 |
±12 |
±15 |
±6 |
±12 |
±15 |
±8 |
±12 |
±15 |
|
4. Количество включений, шт., не более |
5 |
10 |
30 |
2 |
8 |
30 |
5 |
10 |
30 |
|
5. Технологическая проба на внешний вид пленки |
- |
В |
В |
С |
- |
||||
|
6. Стойкость к растрескиванию, ч, не менее |
- |
- |
- |
||||||
Продолжение табл.3
|
Наименование показателя |
Норма для марки |
||||||
|
16803-070 |
18303-120 |
||||||
|
Высший сорт ОКП 22 1111 4101 |
Первый сорт ОКП 22 1111 4102 |
Второй сорт ОКП 22 1111 4103 |
Высший сорт ОКП 22 1111 4401 |
Первый сорт ОКП 22 1111 4402 |
Второй сорт ОКП 22 1111 4403 |
||
|
1. Плотность, г/см3 |
0,9185±0,0015 |
0,9170±0,001 |
|||||
|
2. Показатель текучести расплава (номинальное значение) с допуском, %, г/10 мин |
7,0±25 |
12,0±25 |
|||||
|
3. Разброс показателей текучести расплава в пределах партии, %, не более |
±6 |
±10 |
±15 |
±8 |
±12 |
±15 |
|
|
4. Количество включений, шт., не более |
2 |
8 |
30 |
5 |
10 |
30 |
|
|
5. Технологическая проба на внешний вид пленки |
- |
- |
|||||
|
6. Стойкость к растрескиванию, ч, не менее |
- |
- |
|||||
Продолжение табл.3
|
Наименование показателя |
Норма для марки |
Метод испытаний |
|||||||
|
17403-200 |
18404-200 |
||||||||
|
Высший сорт ОКП 22 1111 4501 |
Первый сорт ОКП 22 1111 4502 |
Второй сорт ОКП 22 1111 4503 |
Высший сорт ОКП 22 1111 4601 |
Первый сорт ОКП 22 1111 4602 |
Второй сорт ОКП 22 1111 4603 |
||||
|
1. Плотность, г/см3 |
0,9190±0,0015 |
0,9230±0,002 |
По ГОСТ 15139 и п.3.11 настоящего стандарта |
||||||
|
2. Показатель текучести расплава (номинальное значение) с допуском, %, г/10 мин |
20,0±20 |
20,0±20 |
По ГОСТ 11645 и п.3.12 настоящего стандарта |
||||||
|
3. Разброс показателей текучести расплава в пределах партии, %, не более |
±6 |
±12 |
±15 |
±6 |
±12 |
±15 |
По п.3.13 |
||
|
4. Количество включений, шт., не более |
2 |
8 |
30 |
2 |
8 |
30 |
По п.3.14 |
||
|
5. Технологическая проба на внешний вид пленки |
- |
- |
По п.3.15 |
||||||
|
6. Стойкость к растрескиванию, ч, не менее |
- |
- |
По ГОСТ 13518 и п.3.16 настоящего стандарта |
||||||
Примечания:
1. Показатель по подпункту 1 для композиций полиэтилена на основе рецептур 08, 09, 10, 12, 14, 96-100 и окрашенных композиций не нормируют.
2. Показатель по подпункту 4 для композиций на основе рецептур 09, 10, 12, 14, 96-100 и для окрашенных композиций по рецептурам 101, 405, 504, 701, 703, 901 приложения 2 не нормируют.
3. По соглашению с потребителем допускается увеличение нормы по подпункту 4 для полиэтилена 2-го сорта до 40 шт.
4. Показатель по подпункту 6 для композиций полиэтилена на основе рецептур 06-08 не нормируют.
5. (Исключен, Изм. N 2).
6. Допускается выпуск полиэтилена (Казанского ПО "Оргсинтез" и Северодонецкого ПО "Азот") плотностью (0,9200±0,0020) г/см3 - для марки 15803-020 и (0,9210±0,0020) г/см3 - для марки 16803-070.
7. Показатель 5 для композиций на основе рецептур 09, 10, 12, 14, 96-100 и 901 не нормируют; показатель 5 нормируют для базовых марок, используемых для изготовления указанных композиций, предназначенных для пленок.
8. Не допускается смешение полиэтилена, отличающегося по показателям 1 и 2 более, чем это предусмотрено допуском на эти показатели, и показателем 3 (суммарно) при формировании партии полиэтилена, получаемого в реакторах с перемешивающим устройством.
Таблица 4
|
Наименование показателя |
Норма для рецептуры |
||||||||||
|
01 |
02 |
03 |
04 |
06 |
07 |
08 |
09 |
10 |
12 |
14 |
|
|
1 Стойкость к термоокислительному старению, ч, не менее |
8 |
8 |
6 |
8 |
4 |
6 |
- |
8 |
8 |
8 |
- |
|
2. Стойкость к фотоокислительному старению: |
|||||||||||
|
методом облучения ч, не менее: |
- |
- |
- |
- |
- |
- |
- |
240 |
500 |
500 |
500 |
|
по массовой доле сажи, % |
|||||||||||
|
марки К-354 |
- |
- |
- |
- |
- |
- |
- |
0,50±0,05 |
2,0±0,2 |
2,5±0,25 |
2,0±0,25 |
|
марки П-234 |
- |
- |
- |
- |
- |
- |
- |
0,50±0,05 |
2,5±0,25 |
3,0±0,3 |
2,5±0,25 |
|
по равномерности распределения сажи |
- |
- |
- |
- |
- |
- |
- |
- |
- |
- |
Тип I или тип II |
|
3. Массовая доля летучих веществ, %, не более: |
|||||||||||
|
для высшего сорта |
- |
- |
- |
- |
- |
- |
- |
0,07 |
0,07 |
0,07 |
0,07 |
|
для 1-го сорта |
- |
- |
- |
- |
- |
- |
- |
0,1 |
0,1 |
0,1 |
0,1 |
|
для 2-го сорта |
- |
- |
- |
- |
- |
- |
- |
- |
- |
- |
- |
Продолжение табл.4
|
Наименование показателя |
Норма для рецептуры |
Метод испытания |
|||||||
|
93 |
94 |
95 |
96 |
97 |
98 |
99 |
100 |
||
|
1. Стойкость к термоокислительному старению, ч, не менее |
8 |
8 |
8 |
8 |
8 |
6 |
8 |
8 |
По п.3.19 |
|
2. Стойкость к фотоокислительному старению: |
По п.3.20 |
||||||||
|
методом облучения, ч, не менее: |
- |
- |
- |
240 |
500 |
500 |
240 |
500 |
|
|
по массовой доле сажи, % |
|||||||||
|
марки К-354 |
- |
- |
- |
0,50±0,05 |
2,0±0,2 |
2,0±0,2 |
0,50±0,05 |
2,0±0,2 |
|
|
марки П-234 |
- |
- |
- |
0,50±0,05 |
2,5±0,25 |
2,5±0,25 |
0,50±0,05 |
2,5±0,25 |
|
|
по равномерности распределения сажи |
- |
- |
- |
- |
- |
- |
- |
- |
|
|
3. Массовая доля летучих веществ, %, не более: |
По п.3.21 |
||||||||
|
для высшего сорта |
- |
- |
- |
0,07 |
0,07 |
0,07 |
0,07 |
0,07 |
|
|
для 1-го сорта |
- |
- |
- |
0,1 |
0,1 |
0,1 |
0,1 |
0,1 |
|
|
для 2-го сорта |
- |
- |
- |
- |
- |
- |
- |
- |
|
Примечание. Показатель 2 по равномерности распределения сажи нормируют только для рецептуры пленочного назначения.
Таблица 5
|
Наименование показателя |
Норма для марки |
|||
|
10204-003 |
10604-007 |
10703-020 |
10803-020 |
|
|
1. Предел текучести при растяжении, Па (кгс/см2), не менее |
113·10 (115) |
108·10 (110) |
93·10 (95) |
93·10 (95) |
|
2. Прочность при разрыве, Па (кгс/см2), не менее |
147·10 (150) |
142·10 (145) |
122·10 (125) |
122·10 (125) |
|
3. Относительное удлинение при разрыве, %, не менее |
600 |
550 |
550 |
550 |
|
4. Стойкость к растрескиванию, ч, не менее |
500 |
5 |
По табл.3 |
2 |
|
5. Массовая доля экстрагируемых веществ, %, не более: |
||||
|
высшего сорта |
1,4 |
1,4 |
0,9 |
0,9 |
|
1-го и 2-го сорта |
1,7 |
1,7 |
1,1 |
1,1 |
|
6. Технологическая проба на внешний вид пленки: |
||||
|
высшего сорта |
С |
По табл.3 |
- |
В |
|
1-го сорта |
С |
По табл.3 |
- |
В |
|
2-го сорта |
С |
По табл.3 |
- |
С |
|
7. Запах и привкус водных вытяжек, балл, не выше |
1 |
1 |
1 |
1 |
Продолжение табл.5
|
Наименование показателя |
Норма для марки |
|||
|
11304-040 |
11503-070 |
12003-200 |
12103-200 |
|
|
1. Предел текучести при растяжении, Па (кгс/см2), не менее |
|
93·10 (95) |
|
|
|
2. Прочность при разрыве, Па (кгс/см2), не менее |
- |
98·10 (100) |
- |
- |
|
3. Относительное удлинение при разрыве, %, не менее |
- |
450 |
- |
- |
|
4. Стойкость к растрескиванию, ч, не менее |
- |
- |
- |
- |
|
5. Массовая доля экстрагируемых веществ, %, не более: |
||||
|
высшего сорта |
0,9 |
1,2 |
1,2 |
1,4 |
|
1-го и 2-го сорта |
1,2 |
1,2 |
1,2 |
1,7 |
|
6. Технологическая проба на внешний вид пленки: |
||||
|
высшего сорта |
- |
В |
- |
- |
|
1-го сорта |
- |
В |
- |
- |
|
2-го сорта |
- |
С |
- |
- |
|
7. Запах и привкус водных вытяжек, балл, не выше |
- |
1 |
- |
- |
Продолжение табл.5
Продолжение табл.5
|
Наименование показателя |
Норма для марки |
|||||
|
18003-030 |
18103-035 |
16904-040 |
18203-055 |
16803-070 |
18303-120 |
|
|
1. Предел текучести при растяжении, Па (кгс/см2), не менее |
93·10 (95) |
- |
108·10 (110) |
- |
88·10 (90) |
- |
|
2. Прочность при разрыве, Па (кгс/см2), не менее |
108·10 (110) |
- |
103·10 (105) |
- |
88·10 (90) |
- |
|
3. Относительное удлинение при разрыве, %, не менее |
600 |
- |
500 |
- |
450 |
- |
|
4. Стойкость к растрескиванию, ч, не менее |
По табл.3 |
- |
- |
- |
- |
- |
|
5. Массовая доля экстрагируемых веществ, %, не более: |
||||||
|
высшего сорта |
0,5 |
0,5 |
0,4 |
0,5 |
0,55 |
0,5 |
|
1-го и 2-го сорта |
0,6 |
0,6 |
0,4 |
0,6 |
0,6 |
0,6 |
|
6. Технологическая проба на внешний вид пленки: |
||||||
|
высшего сорта |
- |
- |
По табл.3 |
- |
- |
- |
|
1-го сорта |
- |
- |
По табл.3 |
- |
- |
- |
|
2-го сорта |
- |
- |
По табл.3 |
- |
- |
- |
|
7. Запах и привкус водных вытяжек, балл, не выше |
- |
1 |
1 |
- |
1 |
1 |
Продолжение табл.5
|
Наименование показателя |
Норма для марки |
||||||
|
16005-008 |
17703-010 |
16603-011 |
17803-015 |
15803-020 |
16204-020 |
16405-020 |
|
|
1. Предел текучести при растяжении, Па (кгс/см2), не менее |
127·10 (130) |
98·10 (100) |
93·10 (95) |
93·10 (95) |
93·10 (95) |
108·10 (110) |
127·10 (130) |
|
2. Прочность при разрыве, Па (кгс/см2), не менее |
127·10 (130) |
122·10 (125) |
122·10 (125) |
118·10 (120) |
113·10 (115) |
113·10 (115) |
113·10 (115) |
|
3. Относительное удлинение при разрыве, %, не менее |
600 |
600 |
600 |
600 |
600 |
600 |
600 |
|
4. Стойкость к растрескиванию, ч, не менее |
1,0 |
- |
2,5 |
По табл.3 |
- |
- |
- |
|
5. Массовая доля экстрагируемых веществ, %, не более: |
|||||||
|
высшего сорта |
0,4 |
0,5 |
0,4 |
0,4 |
0,4 |
0,4 |
0,4 |
|
1-го и 2-го сорта |
0,4 |
0,6 |
0,4 |
0,6 |
0,6 |
0,4 |
0,4 |
|
6. Технологическая проба на внешний вид пленки: |
|||||||
|
высшего сорта |
По табл.3 |
- |
В |
А или В |
В |
По табл.3 |
|
|
1-го сорта |
По табл.3 |
- |
В |
В |
В |
По табл.3 |
|
|
2-го сорта |
По табл.3 |
- |
С |
С |
С |
По табл.3 |
|
|
7. Запах и привкус водных вытяжек, балл, не выше |
- |
1 |
- |
1 |
1 |
- |
|
Продолжение табл.5
Примечания:
1. Для композиций рецептур 09, 10, 12, 14, 96-100, 901 допускается снижение разрушающего напряжения при растяжении на 10% от установленной нормы, относительного удлинения при разрыве на 10% для композиций с показателем текучести расплава менее 2 г/10 мин и на 20% для композиций с показателем текучести расплава 2 г/10 мин и выше установленной нормы.
2. Для композиций полиэтилена показатель по подпункту 5 не нормируют.
3. (Исключен, Изм. N 2).
4. Для полиэтилена 2-го сорта показатель по подпункту 7 не нормируют.
5. По показателю подпункта 6 полиэтилен марки 15303-003 и 15803-020, предназначенный для изготовления пленки специального назначения, должен соответствовать виду А.
(Измененная редакция, Изм. N 2, 3; Поправка, ИУС 1-99).
1.9. По электрическим показателям композиции полиэтилена должны соответствовать требованиям, указанным в табл.6.
Таблица 6
|
Наименование показателя |
Норма для рецептуры |
Методы испытаний |
||
|
01, 02, 93, 94, 95 |
04 |
09, 96, 99 |
||
|
1. Тангенс угла диэлектрических потерь при частоте 106Гц, не более |
3·10 |
5·10 |
6·10 |
По ГОСТ 22372 и п.3.2.2 настоящего стандарта |
|
2. Диэлектрическая проницаемость при частоте 106Гц, не более |
2,3 |
2,3 |
2,4 |
То же |
|
3. Электрическая проницаемость (при толщине образца 1 мм) при переменном напряжении частоты 50 Гц, кВ/ мм, не менее |
40 |
40 |
40 |
По ГОСТ 6433.3 и п.3.23 настоящего стандарта |
(Измененная редакция, Изм. N 3).
1.10. По технологической пробе на внешний вид пленки (вид А, В, С) полиэтилен должен соответствовать требованиям табл.7, при этом сорт пленочных марок определяют показателями качества и видом технологической пробы.
Таблица 7
|
Наименование показателя |
Норма на 1 м пленки вида |
||||
|
А |
В |
С |
|||
|
для полиэтилена, полученного в реакторах |
|||||
|
с переме- шивающим устройством |
трубчатого типа |
с переме- шивающим устройством |
трубчатого типа |
||
|
1. Гели, шт., не более |
|||||
|
размером от 0,5 до 1,0 мм включ. |
6 |
15 |
15 |
40 |
40 |
|
размером св. 1,0 до 2,0 мм включ. |
Не допускаются |
5 |
5 |
10 |
10 |
|
2. Ворсинки размером, шт., не более |
|||||
|
от 0,5 до 2,0 мм включ. |
12 |
20 |
20 |
Не нормируют |
|
|
св. 2,0 до 3,0 мм |
Не допускаются |
2 |
3 |
Не нормируют |
|
|
3. Посторонние включения размером от 0,2 до 0,5 мм, шт., не более |
Не допускаются |
3 |
5 |
Не нормируют |
|
Примечания:
1. "Гели" - круглые и овальные включения полиэтилена на пленке, имеющие сплавленные грани.
2. "Ворсинки" - вытянутые гелеобразные включения на пленке, в основе которых лежат нитевидные вещества минерального, органического или полимерного происхождения.
3. Не допускаются металлические включения, скопления гелей и непроплавы, а также гели, ворсинки и посторонние включения размером более указанных.
4. Для изготовления спецпленки допускается по соглашению с потребителем увеличение норм для вида А по подпункту 1 размером от 0,5 до 1,0 мм до 8 шт., по подпункту 2 размером от 0,5 до 2,0 мм до 15 шт., по подпункту 3 размером 0,2-0,5 мм до 2 шт., при 100%-ном соответствии всех разовых проб этим нормам.
В случае несоответствия полиэтилена виду технологической пробы на внешний вид пленки, предусмотренной в табл.7, он может быть использован для других назначений, при этом сорт определяют показателями качества.
1.11. Базовые марки, рецептуры добавок и окраски, разрешенные Министерством здравоохранения для изготовления изделий, контактирующих с пищевыми продуктами, игрушек, для водоснабжения, использования в медицине, указаны в приложении 1.
Для этого используют базовые марки полиэтилена высшего и 1-го сортов, запах и привкус которых должны соответствовать требованиям табл.5.
При несоответствии полиэтилена требованиям табл.5 по запаху и привкусу он должен быть использован в соответствии с приложением 2 для других назначений, для которых этот показатель не нормируют.
(Измененная редакция, Изм. N 2).
1.12. Обозначение базовых марок полиэтилена состоит из названия "полиэтилен", восьми цифр, сорта и обозначения настоящего стандарта. Первая цифра - 1 указывает на то, что процесс полимеризации этилена протекает при высоком давлении в трубчатых реакторах и реакторах с перемешивающим устройством с применением инициаторов радикального типа. Две следующие цифры обозначают порядковый номер базовой марки. Четвертая цифра указывает на степень гомогенизации полиэтилена:
0 - без гомогенизации в расплаве;
1 - гомогенизированный в расплаве.
Пятая цифра условно определяет группу плотности полиэтилена, г/см3.
При определении группы плотности берут номинальное значение плотности данной марки.
Следующие цифры, написанные через тире, указывают десятикратное значение показателя текучести расплава.
Пример обозначения полиэтилена порядкового номера марки 15, без гомогенизации в расплаве, плотностью 0,917-0,921 г/см3 и номинальным значением показателя текучести расплава 7 г/10 мин 1-го сорта:
Полиэтилен 11503-070, сорт 1, 16337-77
1.12.1. Обозначение композиций состоит из наименования материала "полиэтилен", трех первых цифр обозначения базовой марки, номера рецептуры добавки по табл.2, написанного через тире, цвета и рецептуры окрашивания по приложению 3, сорта и обозначения настоящего стандарта.
Пример обозначения композиции полиэтилена базовой марки 10204-003 с добавками в соответствии с рецептурой 03, 1-го сорта:
Полиэтилен 102-03, сорт 1, ГОСТ 16337-77
В случае окрашенных композиций к обозначению добавляется цвет и трехзначное число, обозначающее рецептуру окраски по приложению 3.
Пример обозначения композиций полиэтилена базовой марки 10204-003, окрашенной в розовый цвет по рецептуре 104, 1-го сорта:
Полиэтилен 102, розовый 104, сорт 1, ГОСТ 16337-77
Полиэтилен 102-03, розовый 104, сорт 1, ГОСТ 16337-77
1.12, 1.12.1. (Измененная редакция, Изм. N 3).
1.12.2. В обозначении полиэтилена, предназначенного для изготовления пленок различного назначения, изделий, контактирующих с пищевыми продуктами, питьевой водой, косметическими и лекарственными препаратами, игрушек, а также полиэтилена, подлежащего длительному хранению, дополнительно указывают соответствующее назначение.
(Введен дополнительно, Изм. N 3).
1.13. Показатели качества полиэтилена, определение которых не установлено настоящим стандартом, указаны в приложении 4.
2. ПРАВИЛА ПРИЕМКИ
2.1. Полиэтилен принимают партиями. Партией считают количество полиэтилена одной марки и одного сорта массой не менее 1 т, сопровождаемое одним документом о качестве. Допускается формирование партии в бункере готовой продукции.
Документ о качестве должен содержать:
наименование и товарный знак предприятия-изготовителя;
обозначение полиэтилена по п.1.12, сорт, цвет;
дату изготовления;
номер партии;
массу нетто;
результаты проведенных испытаний или подтверждение о соответствии полиэтилена требованиям настоящего стандарта. Для марок полиэтилена, предназначенного для контакта с пищевыми продуктами, изготовления игрушек, водоснабжения, медицинского назначения, указывают соответствие подпункту 7 табл.5.
(Измененная редакция, Изм. N 2).
2.2. Для проверки качества полиэтилена объем выборки (X) вычисляют по формуле
где m - масса партии полиэтилена, кг;
25 - масса условной единицы продукции, кг.
При массе партии 2 т число точечных проб должно быть не менее 6.
(Измененная редакция, Изм. N 3).
2.3. Для проверки технологической пробы на внешний вид пленки полиэтилена марок 15303-003 и 15803-020 высшего сорта, предназначенного для изготовления пленки специального назначения, дополнительно отбирают 15% единиц продукции при массе партии до 2 т, 10% - при массе партии свыше 2 до 5 т и при массе партии свыше 5 т - 20 проб, из которых после смешения каждых произвольно взятых двух проб изготовляют 10 проб.
(Измененная редакция, Изм. N 2).
2.4-2.7. (Исключены, Изм. N 3).
2.8. При получении неудовлетворительных результатов испытаний хотя бы по одному из показателей, проверяемых для каждой партии, проводят по нему повторные испытания удвоенной выборки от той же партии.
Результаты повторной проверки распространяются на всю партию.
2.9. При получении неудовлетворительных результатов испытаний хотя бы по одному из показателей, проверяемых периодически, проводят по нему повторные испытания удвоенной выборки от той же партии.
При получении неудовлетворительных результатов поставка полиэтилена потребителю должна быть прекращена до выяснения и устранения причин несоответствия их требованиям настоящего стандарта и получения удовлетворительных результатов испытаний новых партий.
2.10. Число точечных проб для определения разброса показателя текучести расплава в зависимости от массы партии составляет:
(Измененная редакция, Изм. N 3).
2.11. Приемосдаточные и периодические испытания полиэтилена проводят в соответствии с табл.7а.
Таблица 7а
(Введен дополнительно, Изм. N 3).
3. МЕТОДЫ ИСПЫТАНИЙ
3.1. Точечные пробы из мешков отбирают совком или щупом, а из контейнера или цистерны - щупом из трех слоев по высоте.
Допускается отбирать точечные пробы во время упаковывания или в потоке перед бункером готовой продукции.
3.2. Отобранные точечные пробы соединяют в объединенную пробу и перемешивают на чистом поддоне не менее 5 мин.
Допускается получать объединенную пробу непрерывным отбором из потока полиэтилена, поступающего на формирование партии.
3.3. Масса объединенной пробы должна быть не менее 700 г.
3.4. Масса объединенной пробы, а также каждой точечной пробы для марок 15303-003 и 15803-020 для технологической пробы на внешний вид пленки должна быть не менее 1,5 кг.
3.5. Масса точечной пробы для определения разброса показателя текучести расплава должна быть не менее 20 г.
3.6. Объединенную пробу и точечные пробы помещают в плотно закрытую чистую сухую тару. На каждую тару наклеивают или вкладывают в нее этикетку с условным обозначением продукта, номера и массы партии, даты отбора проб.
3.7. Образцы для определения плотности, предела текучести при растяжении, прочности при разрыве, относительного удлинения при разрыве, температуры хрупкости, стойкости к растрескиванию, электрических характеристик и цвета окрашенных композиций вырубают из пластин. Для этого объединенную пробу полиэтилена прессуют в открытой пресс-форме типа ограничительной рамки, шириной от края рамки до гнезда (45±10) мм с необходимым числом гнезд при условиях, предусмотренных ГОСТ 12019.
Для предотвращения прилипания полиэтилена при прессовании к поверхности пресс-формы допускается использование прокладок из непластифицированной триацетатной или целлюлозной пленки (ГОСТ 7730) или алюминиевой фольги (ГОСТ 618) толщиной (0,075±0,025) мм. Допускается использование других пленок, не влияющих на результаты испытаний. При разногласиях в оценке качества полиэтилена при прессовании используют непластифицированную триацетатную или целлюлозную пленки или алюминиевую фольгу.
Массу навески полиэтилена (X1) в граммах вычисляют по формуле
где V - объем прессуемой пластины, см3;
p- плотность полиэтилена, г/см3.
Пресс-форму с навеской полиэтилена устанавливают в пресс; допускаемая температура пресс-формы - от комнатной до +50 °С. Плиты пресса сближают так, чтобы полиэтилен находился под давлением не более 0,4 МПа, и пресс-форму нагревают в течение (12,5±2,5) мин до температуры выдержки, которую выбирают в зависимости от показателя текучести расплава по табл.8.
Таблица 8
|
Показатели текучести расплава, г/10 мин |
Температура выдержки, °С |
||||
|
До |
1,0 |
включ. |
160-150 |
||
|
Св. |
1,0 |
" |
4,0 |
" |
150-145 |
|
" |
4,0 |
145-110 |
|||
Пресс-форму выдерживают при этой температуре из расчета 5 мин на 1 мм толщины пластины. Затем усилие пресса повышают до требуемого, рассчитываемого исходя из давления 3,4 МПа на прессуемые пластины и их площади, и выдерживают под давлением из расчета 5 мин на 1 мм толщины пластины. После этого, не снижая давления, пресс-форму охлаждают со средней скоростью (20±3) °С в 1 мин до (45±5) °С. Температуру контролируют в верхней и нижней плитах пресса или листах пресс-формы.
Толщина пластин, из которых изготовляют образцы, должна быть: для определения электрических показателей и плотности (1,0±0,1) мм; для определения температуры хрупкости (1,6±0,1) мм; для физико-механических испытаний и определения цвета окрашенных композиций (2,0±0,2) мм; для определения стойкости к растрескиванию (3,0±0,3) мм.
Поверхность образцов должна быть гладкой, без вздутий, сколов, трещин, раковин и других видимых дефектов.
Допускается перед прессованием вальцевать объединенную пробу в течение (6±1) мин до образования сплошного полотна при температуре, которую выбирают в зависимости от показателя текучести по табл.9.
Таблица 9
|
Показатели текучести расплава, г/10 мин |
Температура выдержки, °С |
||||
|
До |
0,5 |
включ. |
160-150 |
||
|
Св. |
0,5 |
" |
1,0 |
" |
150-140 |
|
" |
1,0 |
" |
6,0 |
" |
140-120 |
|
" |
6,0 |
120-105 |
|||
Температура заднего валка должна быть на 5-10 °С ниже переднего. Полиэтилен вальцуют при зазоре между валками (0,75±0,25) мм, частоте вращения валков (25±5) об/мин, фрикции 1:1,2.
Полотно во время вальцевания подрезают не менее двух раз в минуту.
Перед испытанием полиэтилена по показателям "стойкость к растрескиванию", "предел текучести", "прочность при разрыве" и "относительное удлинение" образцы кондиционируют по ГОСТ 12423 при температуре (20±2) °С в течение 3 ч, при этом относительная влажность не нормируется, а перед испытанием по электрическим показателям образцы нормализуют по ГОСТ 6433.1 в комнатной среде в течение 4 ч.
3.8. Определение массовой доли гранул размером свыше 1 до 2 мм и свыше 5 до 8 мм
(200±1) г объединенной пробы распределяют однослойно, осматривают по п.3.14 в течение 5 мин и отбирают гранулы размером, в любом направлении, свыше 1 до 2 мм и свыше 5 до 8 мм. Отобранные гранулы взвешивают с погрешностью не более 0,01 г.
Размер гранул устанавливают при помощи десятикратной измерительной лупы или визуально сопоставлением с гранулами, размер которых установлен по предварительным измерениям.
Массовую долю гранул размером свыше 1 до 2 мм (X2) или гранул размером свыше 5 до 8 мм (X`2) в процентах вычисляют по формуле
где m - масса гранул размером свыше 1 до 2 мм или гранул размером свыше 5 до 8 мм, г;
m1 - масса объемной пробы, г.
3.7, 3.8. (Измененная редакция, Изм. N 2, 3).
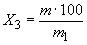
3.9. Определение массовой доли серых и окисленных гранул
(200±1) г объединенной пробы осматривают по п.3.14. Отбирают гранулы серого цвета и окисленные от светло-желтого до темно-коричневого цвета и взвешивают с погрешностью не более 0,01 г.
Массовую долю серых и окисленных гранул (X3) в процентах вычисляют по формуле
где m - масса серых и окисленных гранул, г;
m1 - масса навески объединенной пробы, г.
3.10. Определение цвета окрашенных композиций
Образцы из окрашенного полиэтилена для определения цвета в виде диска диаметром 50 или 100 мм, вырубают из пластин, отпрессованных по п.3.7.
Образцы после изготовления хранят в защищенном от света месте.
Цвет образцов определяют визуально при дневном отраженном свете сравнением с образцом, утвержденным в установленном порядке.
3.11. Плотность определяют по ГОСТ 15139 флотационным методом или методом градиентной колонки при температуре (20,0±0,1) °С. Пластину полиэтилена, отпрессованную по п.3.7, подвергают термообработке в кипящей дистиллированной воде в течение 1 ч с последующим охлаждением в этой воде до 40 °С в течение 30-40 мин в условиях окружающей среды.
Термообработку и охлаждение проводят в стакане типа В-1 (2)-150 или В-1 (2)-250 по ГОСТ 25336, закрытом крышкой; объем воды должен быть не менее 100 см3. Из охлажденной до комнатной температуры пластины, отступив от ее края на (10±5) мм, вырезают не менее трех образцов для каждой пробы: квадраты или треугольники, или прямоугольники площадью (10±2) мм2. Максимальный линейный размер образца не должен превышать 5 мм. Образцы вырезают острым режущим инструментом на деревянной или полиэтиленовой подложке так, чтобы они имели ровные края без заусенцев. Вырезанные образцы промывают в ванночке этиловым спиртом (ГОСТ 18300), извлекают пинцетом, сушат фильтровальной бумагой и осматривают. Образцы не должны иметь неравномерностей окраски, раковин, пузырьков, инородных включений или каких-либо других дефектов. Любое изменение окраски кромки, например, побеление недопустимо.
Для обеспечения полного смачивания образцов при приготовлении основного раствора (Этиловый спирт - Вода) плотностью 0,910 г/см3 к нему добавляют 1 см3 поверхностно-активного вещества ОП-7 (ГОСТ 8433) на 1600 см3 основного раствора.
3.12. Показатель текучести расплава определяют по ГОСТ 11645 при (190±0,5) °С и нагрузке 21,17 Н (2,16 кгс) на экструзионном пластометре диаметром сопла (2,095±0,005) мм после выдержки материала в нагретом приборе в течение 4-5 мин. При определении показателя текучести расплава от 25 до 200 г/10 мин применяют сопло диаметром (1,180±0,005) мм. При этом показатель текучести расплава полиэтилена () г/10 мин вычисляют по формуле
где m - средняя масса отрезка, г;
t - время вытекания одного отрезка, мин;
K - коэффициент пересчета, который вычисляют как среднее арифметическое коэффициентов пересчета, полученных на отдельных образцах.
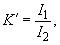
Для определения коэффициента пересчета берут не менее 10 образцов полиэтилена с показателем текучести расплава около 20 г/10 мин и для них определяют показатель текучести расплава параллельно с соплом диаметром (2,095±0,005) мм и (1,180±0,005) мм. Коэффициент пересчета (K`) для каждого образца вычисляют по формуле
где l1 - показатель текучести расплава с соплом диаметром (2,095±0,005) мм, г/10 мин;
l2 - показатель текучести расплава с соплом диаметром (1,180±0,005) мм, г/10 мин.
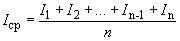
3.13. Определение разброса показателя текучести расплава в пределах одной партии
Показатель текучести расплава для каждой точечной пробы, отобранной по п.3.5, определяют по п.3.12.
Среднее арифметическое показателя текучести расплава (lср) в г/10 мин вычисляют по формуле
где l1, l2...ln-1, ln - показатель текучести расплава каждой из точечных проб, г/10 мин;
n - число проб.
Разброс показателя текучести расплава (
) в процентах вычисляют по формуле
где lmax - максимальный показатель текучести расплава, г/10 мин;
lmin - минимальный показатель текучести расплава, г/10 мин;
lср - среднее арифметическое показателя текучести расплава, г/10 мин.
3.14. Определение количества включений
На лист белой бумаги размером не менее 400700 мм отбирают от объединенной пробы (200±1) г полиэтилена. Затем по (25±5) г гранул распределяют однослойно и внимательно просматривают, отбирая все гранулы, имеющие посторонние включения, загрязнения, вкрапления другого цвета с максимальным размером не менее 0,3 мм (0,2 мм для пленочных марок полиэтилена). Таким образом просматривают всю пробу в течение 5 мин.
Осмотр осуществляется невооруженным глазом при освещении рабочего места электрической лампой мощностью 100 Вт, находящейся от листа на расстоянии примерно 250 мм. Отобранные гранулы классифицируют по размерам включений на 3 группы, указанные в табл.10.
Таблица 10
|
Группа |
Максимальный размер включений, мм |
||||
|
1 |
От |
0,3 |
до |
0,5 |
включ. |
|
2 |
Св. |
0,5 |
" |
1,0 |
" |
|
3 |
" |
1,0 |
" |
2,0 |
" |
Примечания:
1. Нижний предел размера включений 1-й группы для пленочных марок полиэтилена должен быть 0,2 мм.
2. Металлические включения и включения размером свыше 2 мм не допускаются.
Размер включений определяют при помощи десятикратной измерительной лупы (ГОСТ 25706) или сопоставлением с гранулами, имеющими включения размером, соответствующим трем указанным группам.
Количество включений (B) в штуках вычисляют по формуле
B=B1+3B2+10B3
где B1 - количество включений 1-й группы;
B2 - количество включений 2-й группы;
B3 - количество включений 3-й группы.
3.15. Технологическая проба полиэтилена на внешний вид пленки
3.12-3.15. (Измененная редакция, Изм. N 2).
3.15.1. Экструзионный агрегат с отношением длины червяка к диаметру 11-25, степенью сжатия от 1:1 до 1:4, степенью раздува 1,0-2,5, одно- или двухчервячный.
(Измененная редакция, Изм. N 3).
3.15 2. Проведение испытания
Пленку изготовляют методом экструзии через круглую щель с последующим пневматическим растяжением без фильтрации расплава в виде рукава шириной 200 или 400 мм (в зависимости от типа установки) толщиной (0,06±0,015) мм по технологическим режимам, указанным в табл.11.
Таблица 11
|
Показатели текучести расплава, г/10 мин |
Температурная зона червячного пресса, °С |
|||||||
|
Цилиндр |
Головка (на выходе) |
|||||||
|
I |
II |
III, IV |
||||||
|
От. |
0,2 |
до |
1,0 |
включ. |
120-160 |
130-170 |
170-200 |
170-200 |
|
Св. |
1,0 |
" |
2,5 |
" |
80-160 |
120-160 |
130-170 |
130-170 |
|
" |
3,5 |
" |
4,5 |
" |
75-120 |
120-140 |
120-150 |
120-150 |
|
" |
6,0 |
" |
8,0 |
" |
75-100 |
100-110 |
110-130 |
110-130 |
Примечание. Допустимые отклонения от заданной температуры по зонам должны быть не более ±10 °С.
Образец пленки, подлежащий испытанию, отбирают не ранее чем через 5 мин после выхода на заданный режим.
Количество включений (по табл.7) в полиэтилене пленочных марок подсчитывают визуально, осматривая пленку в проходящем свете на образцах длиной 1,25 м при ширине рукава пленки 400 мм и длиной 2,5 м при ширине рукава 200 мм.
Для полиэтилена пленочных марок, кроме марок, предназначенных для изготовления пленки специального назначения, допускается подсчет количества включений на образце длиной 0,3 м с последующим пересчетом на 1 м.
В зависимости от включений, содержащихся на 1 м2, и их величины устанавливают три вида технологической пробы - А, В, С (табл.7).
Для полиэтилена высшего сорта марок 15303-003 и 15803-020, предназначенных для изготовления пленки специального назначения, требованиям вида А должны удовлетворять не менее 75% разовых проб, остальные 25% - в пределах норм, указанных в примечании 4 к табл.7.
Допускается проводить определение технологической пробы на внешний вид пленки на промышленных экструзионных агрегатах при ширине образца, равной ширине развернутого рукава, и длине, определенной при расчете на 1 м2.
При возникновении разногласий в оценке технологической пробы на внешний вид пленки определение проводят на агрегатах, указанных в п.3.15.1.
(Измененная редакция, Изм. N 2, 3).
3.16. Стойкость полиэтилена к растрескиванию под напряжением определяют по ГОСТ 13518.
3.17. Предел текучести и прочность при разрыве, относительное удлинение при разрыве определяют по ГОСТ 11262 на образцах типа 1 при (20±2) °С, при этом относительная влажность не нормируется. Образцы вырубают из пластин, отпрессованных по п.3.7.
Скорость перемещения подвижного захвата должна быть (500±50) мм/мин.
3.16, 3.17. (Измененная редакция, Изм. N 2)
3.18. Массовую долю экстрагируемых веществ определяют по ГОСТ 26393.
(Измененная редакция, Изм. N 3).
3.19. Определение стойкости композиции к термоокислительному старению
(200±1,0) г композиции рецептуры 06 вальцуют 4 ч, композиций рецептур 03, 07, 98 - 6 ч и композиций рецептур 01, 02, 04, 09, 10, 12, 93-97, 99, 100 - 8 ч при следующих условиях:
температура переднего валка - (160±5) °С для композиций с показателем текучести расплава не более 5,5 г/10 мин, (140±5) °С - для композиций с показателем текучести расплава свыше 5,5 до 7,0 г/10 мин; (120±5) °С - для композиций с показателем текучести расплава свыше 7,0 до 12,0 г/10 мин.
Температура заднего валка - ниже на 5-10 °С.
Зазор между валками - (0,25±0,05) мм.
Частота вращения ведущего валка - 30 об/мин.
Фракция - 1:1,2.
Диаметр валка - 150-200 мм.
Длина валка - 320-450 мм.
Полотно подрезают каждые 30 мин. Температуру валков измеряют непрерывно автоматически. Допускается измерять температуру каждые 30 мин при помощи термоэлектрического преобразователя ТХК. Зазор между валками измеряют щупом по ТУ 2-034-225.
Из вальцованного полотна прессуют пластины в соответствии с п.3.7 и определяют предел текучести и прочность при разрыве, относительное удлинение при разрыве, а для композиций рецептур 01, 02, 04, 09, 93, 94, 95, 96, 99 - дополнительно тангенс угла диэлектрических потерь.
Композицию считают выдержавшей испытание, если снижение предела текучести при растяжении, прочность при разрыве и относительного удлинения при разрыве составит не более 10%, а увеличение тангенса угла диэлектрических потерь - не более 25% по сравнению с нормами, указанными в табл.5 и 6.
(Измененная редакция, Изм. N 2, 3)
3.20. Определение стойкости композиций к фотоокислительному старению методом облучения, по равномерности распределения сажи и массовой доле сажи
(Измененная редакция, Изм. N 3)
3.20.1. Стойкость композиции к фотоокислительному старению определяют при облучении образцов, отпрессованных по п.3.7, лампой ДРТ-400 (ДРТ-375), установленной в центре камеры. Вокруг лампы вращается барабан с частотой 10 об/мин.
Испытуемые образцы закрепляют прижимными планками на внутренней поверхности барабана на расстоянии 200 мм от лампы. Температура воздуха внутри барабана на уровне образцов должна быть (50±5) °С, а освещенность поверхности образцов, измеряемая по люксметру, - (20000±2000) лк. Облучение должно осуществляться при исправной приточно-вытяжной вентиляции. Продолжительность работы лампы составляет 500 ч. До начала облучения новая лампа ДРТ-400 (ДРТ-375) должна отработать вхолостую 50 ч. Допускается прерывность облучения. Допускается использование другой конструкции установки для облучения, но с применением лампы ДРТ-400 (ДРТ-375) того же светового и температурного режима.
После облучения образцов в течение времени, указанного в табл.4, определяют температуру хрупкости по ГОСТ 16782 при скорости движения пуансона (2,0±0,2) м/с по ускоренному методу испытания, при этом образец устанавливают облученной поверхностью вниз (облученная поверхность подвергается деформации сжатия).
Композиция считается выдержавшей испытание, если температура хрупкости составит:
для композиций с показателем текучести расплава менее 0,6 г/10 мин - не выше минус 70 °С;
для композиций с показателем текучести расплава от 0,6 до 4,0 г/10 мин - не выше минус 60 °С;
для композиций с показателем текучести расплава до 5,5 г/10 мин - не выше минус 50 °С.
3.20.2. Определение стойкости к фотоокислительному старению композиций, содержащих сажу, по равномерности распределения сажи.
Метод основан на микроскопическом исследовании микропрепаратов, полученных с испытуемых образцов.
Из объединенной пробы композиций, содержащих сажу, берут 3-5 гранул, которые закрепляют в микротоме модели "X" специальным держателем, сконструированным взамен замораживающего устройства.
С каждой гранулы ножом микротома делают 3-4 микросреза толщиной (0,045±0,005) мм и помещают их между чистыми предметными стеклами на расстоянии 0,5 см друг от друга.
Предметные стекла с микросрезами помещают на ровную чистую поверхность электрической плитки (по ГОСТ 14919), нагретой до температуры (185±5) °С, измеряемой термометром с ценой деления 1 °С, и выдерживают 1 мин без давления и 1 мин под давлением груза массой 2,5 кг, имеющего ровную поверхность.
Для предупреждения растрескивания стекло перед установкой груза покрывают слоем асбеста.
После прессования предметные стекла с микропрепаратами в виде пленок толщиной 0,025-0,03 мм охлаждают на воздухе и просматривают под микроскопом МБИ-3 (или другого типа) при 100 увеличении.
Допускается делать снимки испытуемых микропрепаратов под микроскопом с помощью микрофотонасадки МФН-12 или другого типа.
Качество распределения сажи в композиции подразделяется на 4 типа (см. чертеж):
I - лучшее распределение сажи, характеризующееся однородным темным фоном без отдельных агломератов сажи;
II - хорошее распределение сажи, характеризующееся однородным темным фоном с незначительным числом агломератов сажи;
III - удовлетворительное распределение сажи, характеризующееся темным фоном с незначительным числом агломератов сажи и небольшим количеством светлых точек (слабоокрашенные участки) или темным фоном с большим числом мелких агломератов сажи;
IV - плохое распределение сажи, характеризующееся неоднородным фоном с большим числом агломератов сажи.
Стойкость к фотоокислительному старению композиций полиэтилена, содержащих 2,0% сажи и более, эквивалентна 500 ч облучения лампой ДРТ-400 (ДРТ-375) при (50±5) °С, если распределение сажи соответствует I и II типам полиэтилена; содержащего 0,5% сажи - 240 ч облучения лампой ДРТ-400 (ДРТ-375) при (50±5) °С, если распределение сажи соответствует III типу.
При этом температуры хрупкости должны соответствовать значениям, указанным в п.3.20.1.
3.20.1, 3.20.2. (Измененная редакция, Изм. N 2, 3).
3.20.3. При разногласиях, возникших в оценке стойкости композиций полиэтилена к фотоокислительному старению, определение проводят методом облучения лампой ДРТ-400 (ДРТ-375).
(Измененная редакция, Изм. N 2).
3.20.4. Массовую долю сажи определяют по ГОСТ 26311.
(Введен дополнительно, Изм. N 3).
3.21. Массовую долю летучих веществ определяют по ГОСТ 26359. При этом пробы взвешивают и хранят в стакане (бюксе), закрытом крышкой.
(Измененная редакция, Изм. N 3).
3.22 Тангенс угла диэлектрических потерь и диэлектрическую проницаемость при частоте 106Гц определяют по ГОСТ 22372 на дисках толщиной (1,0±0,1) мм, диаметром (50±0,5) мм. Образцы вырубают из пластин, отпрессованных по п.3 7.
3.23. Электрическую прочность при переменном напряжении частотой 50 Гц определяют по ГОСТ 6433.3 в трансформаторном масле (ГОСТ 982) с применением цилиндрических электродов из нержавеющей стали или латуни (ГОСТ 17711) при плавном подъеме напряжения, при этом напряжение должно повышаться от нуля равномерно таким образом, чтобы пробой происходил в интервале времени от 10 до 20 с с момента начала подъема напряжения. Диаметр электродов должен быть (25±0,5) мм, радиус закругления - 2,5 мм, высота - не менее 25 мм. Образцы в форме дисков диаметром (100±1) мм вырубают из пластин, отпрессованных по п.3 7.
3.22, 3.23. (Измененная редакция, Изм. N 2).
Рис. - Типы распределения сажи
Типы распределения сажи
3.24. Запах и привкус водных вытяжек определяют по ГОСТ 22648 после выдержки в течение 24 ч объединенной пробы в рассыпанном состоянии в комнатной среде.
(Измененная редакция, Изм. N 2, 3).
4. УПАКОВКА, МАРКИРОВКА, ТРАНСПОРТИРОВАНИЕ И ХРАНЕНИЕ
4.1. Полиэтилен упаковывают в пяти-, четырехслойные мешки по ГОСТ 2226* марки НМ с открытой горловиной и внутренним полиэтиленовым вкладышем или в мешки пяти-, четырехслойные по ГОСТ 2226* марки ПМ с открытой или закрытой горловиной, или в полиэтиленовые мешки по ГОСТ 17811, или в специальные бумажные мешки, имеющие клапан, или в полиэтиленовые мешки, размеры и форма которых определяются возможностями специальной упаковочной установки, обеспечивающие сохранность и качество продукции.
________________
* На территории Российской Федерации документ не действует. Действует ГОСТ Р 53361-2009, здесь и далее по тексту. - Примечание изготовителя базы данных.
По соглашению с потребителем допускается полиэтилен упаковывать в другие мешки, по качеству соответствующие требованиям вышеуказанной нормативно-технической документации.
При упаковывании полиэтилена, предназначенного на экспорт, число слоев бумажных мешков должно быть не менее пяти.
Горловину вкладыша и полиэтиленовых мешков заваривают или прошивают машинным способом, горловину бумажных мешков прошивают машинным способом. Клапаны должны быть заправлены внутрь.
Полиэтилен упаковывают в мягкие специализированные контейнеры для сыпучих продуктов, в том числе разового использования типа МКР-1,ОС или МКР-1,ОМ.
Масса полиэтилена в мешке должна быть (20,0±0,3) или (25±0,3) кг.
4.2. Полиэтилен, предназначенный для районов Крайнего Севера, упаковывают в специальные пятислойные бумажные мешки с внутренним полиэтиленовым покрытием, обеспечивающие сохранность и качество продукции.
Для длительного хранения полиэтилен упаковывают в пяти-, четырехслойные мешки по ГОСТ 2226 марки НМ с открытой горловиной с внутренним полиэтиленовым вкладышем или в мягкие контейнеры.
По соглашению с потребителем допускается упаковывать полиэтилен в пяти-, четырехслойные мешки по ГОСТ 2226 марки ПМ или в полиэтиленовые мешки по ГОСТ 17811.
Полиэтилен, предназначенный для экспорта, упаковывают в соответствии с требованиями заказа-наряда внешнеторгового объединения.
4.1, 4.2. (Измененная редакция, Изм. N 2).
4.3. Транспортная маркировка - по ГОСТ 14192 с указанием манипуляционных знаков "Беречь от влаги", "Беречь от нагрева" и следующих данных:
наименования и товарного знака предприятия-изготовителя;
обозначения полиэтилена (без указания сорта и назначения);
номера партии;
года изготовления;
массы нетто.
Допускается на полиэтиленовые мешки, получаемые на специальной упаковочной установке, вместо манипуляционных знаков наносить соответствующие надписи.
Полиэтилен, предназначенный для экспорта, маркируют несмываемой краской в соответствии с заказом-нарядом внешнеторгового объединения.
Размеры букв должны быть не менее 7 мм.
Обозначение полиэтилена наносят шрифтом большего размера, чем остальные обозначения.
Маркировку полиэтилена, упакованного в мягкие контейнеры, наносят на его боковую поверхность.
На боковой поверхности контейнера-цистерны, вагона для гранулированных полимеров, специальных цистерн грузоотправителя и автоцистерны несмываемой краской должна быть нанесена надпись: "Полиэтилен" и трафареты приписки.
(Измененная редакция, Изм. N 2, 3; Поправка, ИУС 5-89).
4.4. Полиэтилен транспортируют всеми видами транспорта в крытых транспортных средствах в соответствии с правилами перевозки грузов, действующими на данном виде транспорта.
При транспортировании морским транспортом бумажные мешки должны дополнительно вкладываться в полиэтиленовые мешки.
Допускается по соглашению с потребителем транспортировать полиэтилен насыпью в железнодорожных вагонах моделей 17-495 и 17-917, а также в контейнерах-цистернах по ГОСТ 26380 и специальных цистернах грузоотправителя, предназначенных для перевозки полиэтилена, автоцистернах типа К104ОЭ, принадлежащих предприятию-изготовителю.
Пакетирование полиэтилена - по правилам перевозки грузов, утвержденным соответствующими ведомствами, размеры пакета должны соответствовать ГОСТ 24597, средства скрепления - ГОСТ 21650.
(Измененная редакция, Изм. N 2).
4.5. Полиэтилен хранят в закрытом помещении, исключающем попадание прямых солнечных лучей, на расстоянии не менее 1 м от нагревательных приборов.
4.6. Условия хранения полиэтилена, обеспечивающие гарантийные сроки хранения, указанные в разд.5, - температура не выше 25 °С, относительная влажность - 40-80%.
4.7. Перед вскрытием мешки с полиэтиленом должны быть выдержаны не менее 12 ч в производственном помещении.
5. ГАРАНТИИ ИЗГОТОВИТЕЛЯ
5.1. Изготовитель гарантирует соответствие полиэтилена требованиям настоящего стандарта при соблюдении условий транспортирования и хранения.
5.2. Гарантийный срок хранения полиэтилена с показателем текучести расплава до 12 г/10 мин устанавливается со дня изготовления для базовых марок - 3 года, для композиций, в зависимости от рецептуры, - в соответствии с табл.13.
Таблица 13*
______________________
* Табл.12 (Исключена, Изм. N 2).
(Измененная редакция, Изм. N 3).
5.3. (Исключен, Изм. N 2).
6. ТРЕБОВАНИЯ БЕЗОПАСНОСТИ
6.1. Базовые марки полиэтилена и композиций на их основе при комнатной температуре не выделяют в окружающую среду токсичных веществ и не оказывают при непосредственном контакте влияния на организм человека. Работа с ними не требует особых мер предосторожности.
6.2. При затаривании и механической обработке полиэтилена возможно образование мелкой пыли, а при нагревании в процессе переработки выше 140 °С возможно выделение в воздух летучих продуктов термоокислительной деструкции, содержащих органические кислоты, карбонильные соединения, в том числе формальдегид и ацетальдегид, окись углерода.
6.3. Предельно допустимые концентрации в воздухе рабочей зоны, мг/м3:
6.2, 6.3. (Измененная редакция, Изм. N 2).
6.4. Переработка полиэтилена должна проводиться при работающей местной вытяжной и общеобменной вентиляции, при строгом соблюдении технологического режима.
6.5. При поднесении открытого пламени полиэтилен загорается без взрыва и горит коптящим пламенем с образованием расплава и выделением газообразных продуктов, указанных в п.6.2.
Температура воспламенения полиэтилена около 300 °С, температура самовоспламенения около 400 °С. При возникновении пожара тушить всеми известными средствами пожаротушения.
Максимальное давление взрыва пыли полиэтилена дисперсностью 0,071 мм составляет 50 кПа, максимальная скорость нарастания давления при взрыве - 13100 кПа·с-1, минимальная энергия зажигания - 5,6 мДж, минимальное взрывоопасное содержание кислорода при разбавлении пылевоздушной смеси азотом - 9% объемных.
(Измененная редакция, Изм. N 2).
6.6. В соответствии с правилами защиты от статического электричества оборудование должно быть заземлено, относительная влажность в рабочих помещениях должна быть не ниже 50%. Рабочие места должны быть снабжены резиновыми ковриками.
ПРИЛОЖЕНИЕ 1 (обязательное). ПЕРЕЧЕНЬ БАЗОВЫХ МАРОК И РЕЦЕПТУР ДОБАВОК, ДОПУЩЕННЫХ ДЛЯ КОНТАКТА С ПИЩЕВЫМИ ПРОДУКТАМИ, ИЗГОТОВЛЕНИЯ ИГРУШЕК, ДЛЯ ВОДОСНАБЖЕНИЯ И ДЛЯ ИСПОЛЬЗОВАНИЯ В МЕДИЦИНЕ
ПРИЛОЖЕНИЕ 1
Обязательное
Примечаниее. Рецептуры 401, 403, предназначенные для контакта с пищевыми продуктами, могут применяться только для контакта с сухими и сыпучими пищевыми продуктами и изделиями разового пользования для затаривания жидких пищевых продуктов при температуре не выше плюс 20 °С в течение 24 ч.
Перечисленные базовые марки полиэтилена и композиции на их основе могут быть использованы для изготовления:
деталей машин, оборудования и инвентаря, предназначенных для переработки всех пищевых продуктов, за исключением жиров и жиросодержащих продуктов, при температуре окружающей среды и времени контакта не более 2 ч;
пленок, предназначенных для упаковки всех пищевых продуктов (включая герметичную упаковку), за исключением продуктов, содержащих более 30% жира;
тары и упаковочных материалов типа лотков, ящиков и других открытых емкостных изделий, предназначенных для контакта с сухими и сыпучими пищевыми продуктами и пищевыми концентратами, не содержащими жира, при температуре окружающей среды;
лотков и ящиков, предназначенных для хранения всех пищевых продуктов, за исключением жиров и жиросодержащих продуктов, в течение суток при охлаждении до плюс 5 °С;
пробок для укупорки бутылок с алкогольными и безалкогольными напитками.
Базовые марки полиэтилена и композиции на их основе, перечисленные в данном приложении, могут перерабатываться только в конкретные виды изделий, которые разрешены Министерством здравоохранения.
ПРИЛОЖЕНИЕ 2 (рекомендуемое)
ПРИЛОЖЕНИЕ 2
Рекомендуемое
_____________________
* Для изготовления сварных закрытых (клапанных) мешков рекомендуется использовать полиэтилен марки 10204-003.
ПРИЛОЖЕНИЕ 3 (рекомендуемое). РЕЦЕПТУРЫ ОКРАШИВАНИЯ ПОЛИЭТИЛЕНА ВЫСОКОГО ДАВЛЕНИЯ
ПРИЛОЖЕНИЕ 3
Рекомендуемое
|
Наименование цвета |
Номер рецептуры |
Наименование пигмента |
Массовая доля пигмента в окрашенном полиэтилене, % |
Обозначение стандарта |
|
Светло-розовый |
105 |
Кадмий красный светлый |
0,02 |
- |
|
Титана двуокись пигментная марки Р-02 |
0,3 |
ГОСТ 9808 |
||
|
Красный |
135 |
Лак красный ЖБ |
0,2 |
ГОСТ 8573 |
|
Красный |
134 |
Лак красный ЖБ |
0,4 |
ГОСТ 8573 |
|
Титана двуокись пигментная марки Р-02 |
0,2 |
ГОСТ 9808 |
||
|
Красный |
103 |
Лак рубиновый СК |
0,2 |
ГОСТ 7436 |
|
Титана двуокись пигментная марки Р-02 |
0,5 |
ГОСТ 9808 |
||
|
Красный |
139 |
Кадмий красный темный |
0,4 |
- |
|
Лак рубиновый СК |
0,012 |
ГОСТ 7436 |
||
|
Литапон сухой |
0,12 |
- |
||
|
Красный |
155 |
Кадмий красный темный |
0,8 |
- |
|
Темно-красный |
174 |
Лак рубиновый СК |
0,2 |
ГОСТ 7436 |
|
Оранжевато-красный |
127 |
Кадмий красный светлый |
0,6 |
- |
|
Красновато-оранжевый |
244 |
Лак оранжевый |
0,4 |
ГОСТ 1338 |
|
Титана двуокись пигментная марки Р-02 |
0,2 |
ГОСТ 9808 |
||
|
Светло-оранжево-розовый |
106 |
Кадмий оранжевый |
0,05 |
- |
|
Титана двуокись пигментная марки Р-02 |
0,5 |
ГОСТ 9808 |
||
|
Слоновая кость |
300 |
Кадмий желтый средний |
0,3 |
- |
|
Титана двуокись пигментная марки Р-02 |
1,0 |
ГОСТ 9808 |
||
|
Желтый |
328 |
Кадмий желтый средний |
0,3 |
- |
|
Титана двуокись пигментная марки Р-02 |
0,2 |
ГОСТ 9808 |
||
|
Желтый |
329 |
Кадмий желтый средний |
0,6 |
- |
|
Титана двуокись пигментная марки Р-02 |
0,2 |
ГОСТ 9808 |
||
|
Лимонный |
325 |
Кадмий лимонный |
0,6 |
- |
|
Титана двуокись пигментная марки Р-02 |
0,2 |
ГОСТ 9808 |
||
|
Красновато-коричневый |
743 |
Железоокисный пигмент красный марки "К" |
0,6 |
- |
|
Коричневый |
759 |
Железоокисный пигмент красный марки "К" |
0,8 |
- |
|
Пигмент голубой фталоцианиновый |
0,015 |
ГОСТ 6220 |
||
|
Темный серовато-коричневый |
780 |
Кадмий желтый средний |
0,2 |
- |
|
Железоокисный пигмент красный "К" |
0,4 |
- |
||
|
Углерод технический (сажа) марки ДГ-100 |
0,2 |
ГОСТ 7885 |
||
|
Ярко-желтовато-зеленый |
412 |
Кадмий лимонный |
0,3 |
- |
|
Пигмент зеленый фталоцианиновый |
0,008 |
- |
||
|
Титана двуокись пигментная марки Р-02 |
0,2 |
ГОСТ 9808 |
||
|
Ярко-зеленый |
414 |
Кадмий лимонный |
0,1 |
- |
|
Пигмент зеленый фталоцианиновый |
0,015 |
- |
||
|
Зеленый |
442 |
Кадмий желтый средний |
0,5 |
- |
|
Пигмент зеленый фталоцианиновый |
0,08 |
- |
||
|
Титана двуокись пигментная марки Р-02 |
0,2 |
ГОСТ 9808 |
||
|
Темный желтовато-зеленый |
471 |
Окись хрома техническая марки ОХП-1 |
0,8 |
ГОСТ 2912 |
|
Бирюзовый |
403 |
Пигмент зеленый фталоцианиновый |
0,01 |
- |
|
Титана двуокись пигментная марки Р-02 |
0,2 |
ГОСТ 9808 |
||
|
Ярко-голубой |
530 |
Пигмент голубой фталоцианиновый |
0,015 |
ГОСТ 6220 |
|
Титана двуокись пигментная марки Р-02 |
0,2 |
ГОСТ 9808 |
||
|
Синий |
530 |
Пигмент голубой фталоцианиновый 2 "ЗУ" |
0,2 |
- |
|
Титана двуокись пигментная марки Р-02 |
0,5 |
ГОСТ 9808 |
||
|
Синий |
504 |
Ультрамарин синий сухой марки УС |
0,8 |
ГОСТ 9808 |
|
Белый |
002 |
Титана двуокись пигментная марки Т-02 |
0,5 |
ГОСТ 9808 |
|
Белый |
001 |
Титана двуокись пигментная марки Р-02 |
0,8 |
ГОСТ 9808 |
|
Серебристо-серый |
803 |
пудра алюминиевая пигментная марки ПАП-2 |
0,5 |
ГОСТ 5494 |
|
Серый |
802 |
Углерод технический (сажа) марки ДГ-100 |
0,03 |
ГОСТ 7885 |
|
Титана двуокись пигментная марки Р-02 |
0,6 |
ГОСТ 9808 |
||
|
Светло-серый |
801 |
Углерод технический (сажа) марки ДГ-100 |
0,003 |
ГОСТ 7885 |
|
Титана двуокись пигментная марки Р-02 |
1,0 |
ГОСТ 9808 |
||
|
Черный |
901 |
Углерод технический (сажа) марки ДГ-100 |
0,4 |
ГОСТ 7885 |
ПРИЛОЖЕНИЕ 4 (справочное). ПОКАЗАТЕЛИ МАРОК ПОЛИЭТИЛЕНА С ПОКАЗАТЕЛЕМ ТЕКУЧЕСТИ РАСПЛАВА СВЫШЕ 0,2 ДО 20 Г/10 МИН
ПРИЛОЖЕНИЕ 4
Справочное
Таблица 2*
_____________________
* Таблица 1. (Исключена, Изм. N 3).
Приложения 1-4. (Измененная редакция, Изм. N 1, 3).
официальное издание
М.: Стандартинформ, 2005
