Натрий дифосфат 10-водный. Реактивы ГОСТ 342-77
Натрий дифосфат 10-водный. Реактивы ГОСТ 342-77 Технические условия (с Изменением N 1)
ГОСТ 342-77
Группа Л51
МЕЖГОСУДАРСТВЕННЫЙ СТАНДАРТ
Реактивы
НАТРИЙ ДИФОСФАТ 10-ВОДНЫЙ
Технические условия
Reagents. Sodium diphosphate, 10-aqueous. Specifications
ОКП 26 2112 1170 09
Дата введения 1978-01-01
Постановлением Государственного комитета стандартов Совета Министров СССР от 13 января 1977 г. N 96 дата введения установлена 01.01.78
Ограничение срока действия снято Постановлением Госстандарта от 17.06.92 N 548
Взамен ГОСТ 342-66
Издание (август 2002 г.) с Изменением N 1, утвержденным в июне 1992 г. (ИУС 9-92).
Настоящий стандарт распространяется на 10-водный дифосфат натрия, который представляет собой бесцветные, прозрачные или белые кристаллы, выветривающиеся на воздухе; растворим в воде.
Формула: 
Относительная молекулярная масса (по международным атомным массам 1987 г.) - 446,055.
(Измененная редакция, Изм.N 1).
1. ТЕХНИЧЕСКИЕ ТРЕБОВАНИЯ
1.1а. 10-водный дифосфат натрия должен быть изготовлен в соответствии с требованиями настоящего стандарта по технологическому регламенту, утвержденному в установленном порядке.
(Введен дополнительно, Изм.N 1).
1.1. По физико-химическим показателям 10-водный дифосфат натрий должен соответствовать нормам, указанным в табл.1.
Таблица 1
|
Наименование показателя |
Норма |
|
|
Чистый для анализа (ч.д.а.) 26 2112 1172 07 |
Чистый (ч.) |
|
|
1. Массовая доля 10-водного дифосфата натрия |
99 |
98 |
|
2. Массовая доля нерастворимых в воде веществ, %, не более |
0,003 |
0,005 |
|
3. Массовая доля хлоридов (Cl) , %, не более |
0,001 |
0,005 |
|
4. Массовая доля сульфатов (SO4), %, не более |
0,005 |
0,010 |
|
5. Массовая доля железа (Fe) , %, не более |
0,0002 |
0,0010 |
|
6. Массовая доля тяжелых металлов (Pb) , %, не более |
0,0005 |
0,0010 |
|
7. Массовая доля мышьяка (As) , %, не более |
0,00005 |
0,00050 |
|
8. Массовая доля ортофосфатов (PO4) , %, не более |
0,1 |
0,2 |
|
9. Массовая доля углекислого натрия (Na2CO3) , %, не более |
0,15 |
0,30 |
|
10. pH водного раствора препарата с массовой долей 5% |
10,2-10,8 |
Не нормируется |
|
11. Массовая доля общего азота (N) , %, не более |
0,0002 |
Не нормируется |
|
12. Массовая доля калия (K) , %, не более |
0,005 |
Не нормируется |
(Измененная редакция, Изм.N 1).
2. ПРАВИЛА ПРИЕМКИ
2.1. Правила приемки - по ГОСТ 3885-73-->ГОСТ 3885-73.
3. МЕТОДЫ АНАЛИЗА
3.1а. Общие указания по проведению анализа - по ГОСТ 27025-86.
При проведении взвешиваний применяют лабораторные весы общего назначения типов ВЛР-200 г, ВЛЭ-200 г или ВЛКТ-500г-М.
Допускается применение других средств измерений с метрологическими характеристиками и оборудования с техническими характеристиками не хуже, а также реактивов и материалов по качеству не ниже указанных в настоящем стандарте.
(Введен дополнительно, Изм.N 1).
3.1. Пробы отбирают по ГОСТ 3885-73-->ГОСТ 3885-73. Масса средней пробы должна быть не менее 230 г.
3.2. Определение массовой доли 10-водного дифосфата натрия
3.2.1. Реактивы, растворы, аппаратура и посуда
Вода дистиллированная по ГОСТ 6709-72-->ГОСТ 6709-72.
кислота соляная по ГОСТ 3118-77, раствор молярной концентрации c(HCl)0,5 моль/дм3(0,5н.); готовят по ГОСТ 25794.1-83.
Диметиловый желтый (метиловый желтый), раствор с массовой долей 0,1%; готовят по ГОСТ 4919.1-77.
Иономер универсальный ЭВ-74 или другой прибор с пределом допускаемой основной погрешности ±0,05 рН.
Электроды - стеклянный и хлорсеребряный (или насыщенный каломельный).
Мешалка магнитная.
Стакан Н-1-150 ХС по ГОСТ 25336-82.
Бюретка вместимостью 50 см3 с ценой деления 0,1 см3.
Цилиндр 1(2)-100-2 по ГОСТ 1770-74.
3.2.2. Проведение анализа
Около 4,0000 г тонко растертого препарата помещают в стакан, растворяют в 100 см3 воды и титруют потенциометрически, при перемешивании раствора магнитной мешалкой, раствором соляной кислоты до pH 4,0, используя в качестве измерительного электрода - стеклянный, в качестве электрода сравнения - хлорсеребряный (или насыщенный каломельный).
Допускается заканчивать анализ визуальным титрованием с диметиловым желтым - до изменения окраски раствора от желтой к розовой.
При разногласиях в оценке массовой доли 10-водного дифосфата натрия анализ заканчивают потенциометрически.
3.2.3. Обработка результатов
Массовую долю 10-водного дифосфата натрия (X) в процентах вычисляют по формуле
где V - объем раствора соляной кислоты молярной концентрации точно 0,5 моль/дм3, израсходованный на титрование, см3;
0,1115 - масса 10-водного дифосфата натрия, соответствующая 1 см3 раствора соляной кислоты молярной концентрации 0,5 моль/дм3, г;
m - масса навески препарата, г;
a - массовая доля ортофосфатов, найденная по п.3.9, %;
2,35 - коэффициент пересчета ортофосфатов (PO4) на
;
b - массовая доля углекислого натрия (Na2CO3), найденная по п.3.10, %;
4,21 - коэффициент пересчета углекислого натрия (Na2CO3) на
.
За результат анализа принимают среднеарифметическое результатов двух параллельных определений, абсолютное расхождение между которыми не превышает допускаемое расхождение, равное 0,3%.
Допускаемая абсолютная суммарная погрешность результата анализа ±0,5% при доверительной вероятности P=0,95.
3.1-3.2.3. (Измененная редакция, Изм.N 1).
3.3. Определение массовой доли нерастворимых в воде веществ
3.3.1. Реактивы, растворы, аппаратура и посуда
Вода дистиллированная по ГОСТ 6709-72-->ГОСТ 6709-72.
Тигель фильтрующий по ГОСТ 25336-82 типа ТФ ПОР10 или ТФ ПОР16.
Стакан В(Н)-1-600 ТХС по ГОСТ 25336-82.
Чашка ЧВП-2-100 по ГОСТ 25336-82.
Цилиндр 1(3)-500-2 по ГОСТ 1770-74.
3.3.2. Проведение анализа
50,00 г препарата помещают в стакан и растворяют при нагревании в 500 см3 воды. Стакан накрывают часовым стеклом или стеклянной чашкой и выдерживают на водяной бане в течение 1 ч.
Затем раствор фильтруют через фильтрующий тигель, предварительно высушенный до постоянной массы (результат взвешивания в граммах записывают с точностью до четвертого десятичного знака), остаток на фильтре промывают 100 см3 горячей воды и сушат в сушильном шкафу при 105-110 °С до постоянной массы.
Препарат считают соответствующим требованиям настоящего стандарта, если масса остатка после высушивания не будет превышать:
для препарата чистый для анализа - 1,5 мг;
для препарата чистый - 2,5 мг.
Допускаемая относительная суммарная погрешность результата анализа для "чистого для анализа" ±45%, для "чистого" ±30% при доверительной вероятности P=0,95.
3.4. Определение массовой доли хлоридов
Определение проводят по ГОСТ 10671.7-74.
При этом 1,50 г препарата помещают в мерную колбу вместимостью 50 см3 при фототурбидиметрическом определении или в коническую колбу вместимостью 100 см3 (с меткой на 40 см3) при визуально-нефелометрическом определении и растворяют в 30 см3 воды. Если раствор мутный, его фильтруют через обеззоленный фильтр "синяя лента", промытый горячей водой. Далее определение проводят фототурбидиметрическим (способ 2) или визуально-нефелометрическим (способ 2) методом.
Препарат считают соответствующим требованиям настоящего стандарта, если масса хлоридов не будет превышать:
для препарата чистый для анализа - 0,010 мг;
для препарата чистый - 0,050 мг.
В растворы сравнения добавляют по 0,50 г анализируемого препарата.
При разногласиях в оценке массовой доли хлоридов анализ проводят фототурбидиметрическим методом.
3.5. Определение массовой доли сульфатов
Определение проводят по ГОСТ 10671.5-74. При этом 2,00 г препарата помещают в коническую колбу вместимостью 200 см3 и растворяют в 100 см3 воды. Если раствор мутный, его фильтруют через предварительно промытый горячей водой обеззоленный фильтр "синяя лента", отбрасывая первую порцию фильтрата.
10 см3 полученного раствора (соответствует 0,20 г препарата) пипеткой помещают в коническую колбу вместимостью 50 см3 (с меткой на 26 см3), прибавляют 15 см3 воды, 3 см3 раствора соляной кислоты и кипятят 10 мин (для равномерного кипения в колбу помещают капилляр), после чего смывают стенки колбы 10 см3 воды и снова кипятят 5 мин.
Затем раствор охлаждают, доводят объем раствора водой до метки и далее определение проводят визуально-нефелометрическим методом (способ 1), не прибавляя раствор соляной кислоты.
Препарат считают соответствующим требованиям настоящего стандарта, если наблюдаемая опалесценция анализируемого раствора не будет интенсивнее опалесценции раствора, приготовленного одновременно с анализируемым и содержащего в таком же объеме:
для препарата чистый для анализа - 0,01 мг SO4;
для препарата чистый - 0,02 мг SO4,
1 см раствора соляной кислоты, 3 см3 раствора крахмала и 3 см3 раствора хлористого бария.
3.6. Определение массовой доли железа
Определение проводят по ГОСТ 10555-75. При этом 2,50 г препарата помещают в коническую колбу вместимостью 50 см3, растворяют в 20 см3 воды, прибавляют 5 см3 раствора соляной кислоты (вместо 1 см3) и кипятят 10 мин. Раствор охлаждают и далее определение проводят сульфосалициловым методом.
Препарат считают соответствующим требованиям настоящего стандарта, если масса железа не будет превышать:
для препарата чистый для анализа - 0,005 мг;
для препарата чистый - 0,025 мг.
Допускается проводить определение визуально.
При разногласиях в оценке массовой доли железа анализ проводят фотометрически.
3.7. Определение массовой доли тяжелых металлов
Определение проводят по ГОСТ 17319-76. При этом 2,00 г препарата помещают в коническую колбу вместимостью 100 см3 (с пришлифованной или резиновой пробкой), растворяют в 20 см3 воды, прибавляют 3 см3 раствора соляной кислоты с массовой долей 25% и кипятят 10 мин. Затем раствор охлаждают, нейтрализуют раствором аммиака по универсальной индикаторной бумаге до рН 7 и доводят объем раствора водой до 30 см3. Далее определение проводят сероводородным методом.
Препарат считают соответствующим требованиям настоящего стандарта, если окраска анализируемого раствора не будет интенсивнее окраски раствора, приготовленного одновременно с анализируемым и содержащего в таком же объеме:
для препарата чистый для анализа - 0,01 мг Pb;
для препарата чистый - 0,02 мг Pb,
1 см3 уксусной кислоты, 1 см3 раствора уксуснокислого аммония, 10 см3 сероводородной воды.
3.8. Определение массовой доли мышьяка
Определение проводят по ГОСТ 10485-75 визуальным методом с применением бромнортутной бумаги в сернокислой среде.
Масса навески препарата 1,00 г.
Препарат считают соответствующим требованиям настоящего стандарта, если окраска бромнортутной бумаги от анализируемого раствора не будет интенсивнее окраски бромнортутной бумаги от раствора, приготовленного одновременно с анализируемым и содержащего в таком же объеме:
для препарата чистый для анализа - 0,0005 мг As;
для препарата чистый - 0,0050 мг As,
20 см3 раствора серной кислоты, 0,5 см3 раствора хлорида олова (II) и 5 г цинка.
3.9. Определение массовой доли ортофосфатов
Определение проводят по ГОСТ 10671.6-74. При этом 0,40 г препарата помещают в мерную колбу вместимостью 100 см3, растворяют в 50 см3 воды и нейтрализуют раствором азотной кислоты по n-нитрофенолу. Объем раствора доводят водой до метки и перемешивают.
5 см3 полученного раствора (соответствует 0,02 г препарата) помещают в коническую колбу вместимостью 50 см3, прибавляют 10 см3 воды, 10 см3 реактива на фосфаты, перемешивают и выдерживают в течение 10 мин в водяной бане, имеющей температуру 15-20 °С.
Далее определение проводят фотометрическим методом по желтой окраске фосфорнованадиевомолибденового комплекса.
Допускается проводить определение визуально.
При разногласиях в оценке массовой доли ортофосфатов анализ проводят фотометрически.
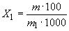
Массовую долю ортофосфатов (X1) в процентах вычисляют по формуле
где m - найденная по градуировочному графику масса ортофосфата, мг;
m1- масса навески препарата, г.
3.3.1-3.9. (Измененная редакция, Изм.N 1).
3.10. Определение массовой доли углекислого натрия
3.10.1. Реактивы, растворы, аппаратура и посуда
Ализариновый желтый, раствор с массовой долей 0,1%; готовят по ГОСТ 4919.1-77.
Вода дистиллированная, не содержащая углекислоты; готовят по ГОСТ 4517-87.
Кислота серная по ГОСТ 4204-77, раствор молярной концентрации c(H2SO4)=0,1 моль/дм3; готовят по ГОСТ 25794.1-83, или
кислота соляная по ГОСТ 3118-77, раствор молярной концентрации c((HCl)=0,1 моль/дм3; готовят по ГОСТ 25794.1-83.
Натрий углекислый безводный по ГОСТ 83-79, 0,05 M раствор.
Смесь буферная с pH 10,2; готовят по ГОСТ 4919.2-77.
Колба Кн-2-50-22 TXC по ГОСТ 25336-82.
Цилиндр 1(3)-50-2 по ГОСТ 1770-74.
Пипетка вместимостью 1 см3.
Бюретка вместимостью 1 см3 с ценой деления 0,01 см3.
3.10.2. Проведение анализа
2,0000 г препарата помещают в колбу вместимостью 50 см3 и растворяют в 30 см3 воды. В другую такую же колбу помещают 30 см3 буферной смеси. В обе колбы прибавляют по 0,1 см3 раствора ализаринового желтого. Если окраска анализируемого раствора будет интенсивнее окраски буферной смеси по красному оттенку, то анализируемый раствор титруют раствором соляной или серной кислоты до окраски буферной смеси. Если окраска анализируемого раствора будет слабее окраски буферной смеси, то титрование не проводят и поправку в результаты определения основного вещества по п.3.2 не вносят.
Допускается проводить титрование анализируемого раствора потенциометрически до pH 10,2.
При разногласиях в определении массовой доли углекислого натрия титрование проводят с индикатором.
3.10.3. Обработка результатов
Массовую долю углекислого натрия (X2) в процентах вычисляют по формуле
где V - объем раствора соляной или серной кислоты молярной концентрации точно 0,1 моль/дм3, израсходованный на титрование, см3;
0,01060 - масса углекислого натрия, соответствующая 1 см3 раствора соляной или серной кислоты молярной концентрации точно 0,1 моль/дм3, г;
m - масса навески препарата, г.
За результат анализа принимают среднеарифметическое результатов двух параллельных определений, абсолютное расхождение между которыми не превышает допускаемое расхождение, равное 0,03%.
Допускаемая абсолютная суммарная погрешность результата анализа ±0,03% при доверительной вероятности P=0,95.
3.11. Определение pH раствора препарата с массовой долей 5%
5,00 г препарата помещают в коническую колбу вместимостью 250 см3 (ГОСТ 25336-82), растворяют в 95 см3 дистиллированной воды, не содержащей углекислоты (готовят по ГОСТ 4517-87), и измеряют pH раствора на иономере ЭВ-74.
За результат анализа принимают среднеарифметическое результатов двух параллельных определений, расхождение между которыми не должно превышать допускаемое расхождение, равное 0,1 pH.
Допускаемая суммарная погрешность результата анализа ±0,1 pH при доверительной вероятности P=0,95.
3.12. Определение массовой доли общего азота
Определение проводят по ГОСТ 10671.4-74. При этом 5,00 г препарата помещают в колбу прибора для отделения аммиака дистилляцией и растворяют в смеси, состоящей из 35 см3 воды и 6 см3 раствора серной кислоты. Далее определение проводят фотометрическим методом, прибавляя 10 см3 раствора гидроокиси натрия (вместо 5 см3).
Препарат считают соответствующим требованиям настоящего стандарта, если общая масса азота не будет превышать:
для препарата чистый для анализа - 0,01 мг.
3.10.1-3.12. (Измененная редакция, Изм.N 1).
3.13. Определение массовой доли калия
3.13.1. Реактивы, растворы, аппаратура и посуда
Фотометр пламенный или спектрофотометр на основе спектрографа ИСП-51 с фотоэлектрической приставкой ФЭП-1 с соответствующими фотоумножителями или спектрофотометр "Сатурн".
Воздух сжатый для питания контрольно-измерительных приборов.
Ацетилен растворенный и газообразный технический по ГОСТ 5457-75 или пропан-бутан (бытовой в баллоне), или газ из городской сети.
Горелка.
Распылитель.
Вода дистиллированная по ГОСТ 6709-72-->ГОСТ 6709-72, вторично перегнанная в кварцевом дистилляторе, или Вода деминерализованная.
Раствор, содержащий калий; готовят по ГОСТ 4212-76, соответствующим разбавлением получают раствор, содержащий 0,01 мг/см3 калия, - раствор А.
Натрий дифосфат 10-водный по настоящему стандарту, раствор с массовой долей 10% с установленным содержанием примеси калия - раствор Б.
Все исходные растворы и растворы сравнения, а также воду, применяемую для их приготовления, хранят в кварцевой или полиэтиленовой посуде.
Колба 2-100-2, 2-50-2 по ГОСТ 1770-74.
Пипетки вместимостью 10 см3.
3.13.2. Подготовка к анализу
Приготовление анализируемых растворов
0,50 г препарата растворяют в воде и помещают в мерную колбу вместимостью 50 см3. Раствор перемешивают, доводят его объем водой до метки и снова тщательно перемешивают.
Приготовление растворов сравнения
В шесть мерных колб помещают по 10 см3 раствора Б и объемы раствора А, указанные в табл.2.
Растворы перемешивают, доводят их объем водой до метки и снова тщательно перемешивают.
Таблица 2
3.13.3. Проведение анализа
Для анализа берут не менее двух навесок препарата. Анализ проводят в пламени пропан-бутан-воздух, используя аналитическую линию К - 766,5 нм.
После подготовки прибора проводят фотометрирование анализируемых растворов и растворов сравнения в порядке возрастания массовой доли примеси калия. Затем проводят фотометрирование в обратной последовательности, начиная с максимальной массовой доли калия, и вычисляют среднеарифметическое значение для каждого раствора.
В качестве поправки учитывают показания, полученные при фотометрировании первого раствора сравнения. После каждого измерения воду распыляют.
3.13.4. Обработка результатов
По полученным данным для растворов сравнения строят градуировочный график, откладывая значения интенсивности излучения по оси ординат, массовую долю калия в пересчете на препарат в процентах - по оси абсцисс.
Массовую долю калия в препарате в процентах находят по графику.
За результат анализа принимают среднеарифметическое двух параллельных определений, относительное расхождение между которыми не превышает допускаемое расхождение, равное 20%.
Допускаемая относительная суммарная погрешность результата анализа ±10% при доверительной вероятности P=0,95.
3.13.1-3.13.4. (Измененная редакция, Изм.N 1).
4. УПАКОВКА, МАРКИРОВКА, ТРАНСПОРТИРОВАНИЕ И ХРАНЕНИЕ
4.1. Препарат упаковывают и маркируют в соответствии с ГОСТ 3885-73-->ГОСТ 3885-73.
Вид и тип тары: 2-1, 2-2, 2-4, 2-9.
Группа фасовки: III, IV, V.
(Измененная редакция, Изм.N 1).
4.2. Препарат перевозят всеми видами транспорта в соответствии с правилами перевозки грузов, действующими на данном виде транспорта.
4.3. Препарат хранят в упаковке изготовителя в крытых складских помещениях.
5. ГАРАНТИИ ИЗГОТОВИТЕЛЯ
5.1. Изготовитель гарантирует соответствие 10-водного дифосфата натрия требованиям настоящего стандарта при условии соблюдения условий транспортирования и хранения.
5.2. Гарантийный срок хранения препарата - один год со дня изготовления.
5.1, 5.2. (Измененная редакция, Изм.N 1).
6. ТРЕБОВАНИЯ БЕЗОПАСНОСТИ
6.1. 10-водный дифосфат натрия в больших количествах может вызывать раздражение слизистых оболочек.
6.2. При работе с препаратом следует применять индивидуальные средства защиты (респираторы, защитные очки, резиновые перчатки), а также соблюдать правила личной гигиены.
6.3. Помещения, в которых проводятся работы с препаратом, должны быть оборудованы общей приточно-вытяжной вентиляцией. Анализ препарата следует проводить в вытяжном шкафу лаборатории.
6.1-6.3. (Измененная редакция, Изм.N 1).
6.4. При работе с горючими газами следует строго руководствоваться инструкцией по технике безопасности.
официальное издание
М.: ИПК Издательство стандартов, 2002