Пентаэритрит технический ГОСТ 9286-2012
Пентаэритрит технический. Технические условия ГОСТ 9286-2012
ГОСТ 9286-2012
Группа Л21
МЕЖГОСУДАРСТВЕННЫЙ СТАНДАРТ
ПЕНТАЭРИТРИТ ТЕХНИЧЕСКИЙ
Технические условия
Technical pentaerythritol. Specifications
МКС 71.080.60
ОКП 24 2240
Дата введения 2013-08-01
Предисловие
Цели, основные принципы и порядок проведения работ по межгосударственной стандартизации установлены ГОСТ 1.0-92 "Межгосударственная система стандартизации. Основные положения" и ГОСТ 1.2-2009 "Межгосударственная система стандартизации. Стандарты межгосударственные, правила и рекомендации по межгосударственной стандартизации. Правила разработки, принятия, применения, обновления и отмены"
Сведения о стандарте
1 РАЗРАБОТАН группой специалистов Федерального государственного унитарного предприятия "Всероссийский научно-исследовательский центр стандартизации, информации и сертификации сырья, материалов и веществ" (ФГУП "ВНИЦСМВ") и Открытого акционерного общества "Метафракс" (ОАО "Метафракс")
2 ВНЕСЕН Межгосударственным техническим комитетом по стандартизации МТК 527 "Химия"
3 ПРИНЯТ Межгосударственным советом по стандартизации, метрологии и сертификации (протокол от 3 декабря 2012 г. N 54-П)
За принятие проголосовали:
|
Краткое наименование страны по МК (ИСО 3166) 004-97 |
Код страны по МК (ИСО 3166) 004-97 |
Сокращенное наименование национального органа по стандартизации |
|
Беларусь |
BY |
Госстандарт Республики Беларусь |
|
Казахстан |
KZ |
Госстандарт Республики Казахстан |
|
Кыргызстан |
KG |
Кыргызстандарт |
|
Молдова |
MD |
Молдова-Стандарт |
|
Российская Федерация |
RU |
Росстандарт |
|
Узбекистан |
UZ |
Узстандарт |
4 Приказом Федерального агентства по техническому регулированию и метрологии от 10 апреля 2013 г. N 46-ст межгосударственный стандарт ГОСТ 9286-2012 введен в действие в качестве национального стандарта Российской Федерации с 1 августа 2013 г.
5 ВЗАМЕН ГОСТ 9286-89
Информация о введении в действие (прекращении действия) настоящего стандарта публикуется в ежемесячно издаваемом информационном указателе "Национальные стандарты".
Информация об изменениях к настоящему стандарту публикуется в ежегодно издаваемом информационном указателе "Национальные стандарты", а текст изменений и поправок - в ежемесячно издаваемых информационных указателях "Национальные стандарты". В случае пересмотра или отмены настоящего стандарта соответствующая информация будет опубликована в ежемесячно издаваемом информационном указателе "Национальные стандарты"
1 Область применения
Настоящий стандарт распространяется на технический пентаэритрит (2,2-бис(гидроксиметил)пропан-1,3-диол), предназначенный для применения в производстве лакокрасочной продукции, полиграфических красок, смазочных масел, пентапласта, для нитрации и других целей.
Формулы:
эмпирическая C5H12O4
структурная
Относительная молекулярная масса (по международным атомным массам 2011 г.) - 136,08.
2 Нормативные ссылки
В настоящем стандарте использованы нормативные ссылки на следующие межгосударственные стандарты:
ГОСТ 8.135-2004 Государственная система обеспечения единства измерений. Стандарт-титры для приготовления буферных растворов - рабочих эталонов pH 2-го и 3-го разрядов. Технические и метрологические характеристики. Методы их определения
ГОСТ 8.579-2002 Государственная система обеспечения единства измерений. Требования к количеству фасованных товаров в упаковках любого вида при их производстве, расфасовке, продаже и импорте
ГОСТ 12.1.004-91 Система стандартов безопасности труда. Пожарная безопасность. Общие требования
ГОСТ 12.1.005-88 Система стандартов безопасности труда. Общие санитарно-гигиенические требования к воздуху рабочей зоны
ГОСТ 12.1.007-76 Система стандартов безопасности труда. Вредные вещества. Классификация и общие требования безопасности
ГОСТ 12.1.016-79 Система стандартов безопасности труда. Воздух рабочей зоны. Требования к методикам измерения концентраций вредных веществ
ГОСТ 12.2.003-91 Система стандартов безопасности труда. Оборудование производственное. Общие требования безопасности
ГОСТ 12.3.002-75 Система стандартов безопасности труда. Процессы производственные. Общие требования безопасности
ГОСТ 12.4.010-75 Система стандартов безопасности труда. Средства индивидуальной защиты. Рукавицы специальные. Технические условия
ГОСТ 12.4.021-75 Система стандартов безопасности труда. Системы вентиляционные. Общие требования
ГОСТ 12.4.121-83 Система стандартов безопасности труда. Противогазы промышленные фильтрующие. Технические условия
ГОСТ 12.4.124-83 Система стандартов безопасности труда. Средства защиты от статического электричества. Общие технические требования
ГОСТ 12.4.137-84 Обувь специальная кожаная для защиты от нефти, нефтепродуктов, кислот, щелочей, нетоксичной и взрывоопасной пыли. Технические условия
ГОСТ 400-80 Термометры стеклянные для испытаний нефтепродуктов. Технические условия
ГОСТ 450-77 кальций хлористый технический. Технические условия
ГОСТ 1770-74 Посуда мерная лабораторная стеклянная. Цилиндры, мензурки, колбы, пробирки. Общие технические условия
ГОСТ 2226-88 Мешки бумажные. Технические условия*
_______________
* На территории Российской Федерации действует ГОСТ Р 53361-2009 "Мешки из бумаги и комбинированных материалов. Общие технические условия".
ГОСТ 3022-80 Водород технический. Технические условия
ГОСТ 4517-87 Реактивы. Методы приготовления вспомогательных реактивов и растворов, применяемых при анализе
ГОСТ 5394-89 Обувь из юфти. Общие технические условия
ГОСТ 5445-79 Продукты коксования химические. Правила приемки и методы отбора проб
ГОСТ 5815-77 Реактивы. Ангидрид уксусный. Технические условия
ГОСТ 5869-77 Реактивы. Ангидрид фталевый. Технические условия
ГОСТ 6613-86 Сетки проволочные тканые с квадратными ячейками. Технические условия
ГОСТ 6709-72-->ГОСТ 6709-72 Вода дистиллированная. Технические условия
ГОСТ 7119-77 Ангидрид фталевый технический. Технические условия
ГОСТ 9147-80 Посуда и оборудование лабораторные фарфоровые. Технические условия
ГОСТ 9293-74 (ИСО 2435-73) Азот газообразный и жидкий. Технические условия
ГОСТ 14192-96 Маркировка грузов
ГОСТ 17269-71 Респираторы фильтрующие газопылезащитные РУ-60м и РУ-60му. Технические условия
ГОСТ 17433-80 Промышленная чистота. Сжатый воздух. Классы загрязненности
ГОСТ 17811-78 Мешки полиэтиленовые для химической продукции. Технические условия
ГОСТ 18522-93 Смолы и пластификаторы жидкие. Методы определения цветности
ГОСТ 19433-88 Грузы опасные. Классификация и маркировка
ГОСТ 19908-90 Тигли, чаши, стаканы, колбы, воронки, пробирки и наконечники из прозрачного кварцевого стекла. Общие технические условия
ГОСТ 24363-80 Реактивы. Калия гидроокись. Технические условия
ГОСТ 24445.5-80 Ангидрид фталевый технический. Метод определения цветности расплава
ГОСТ 24597-81 Пакеты тарно-штучных грузов. Основные параметры и размеры
ГОСТ 25336-82 Посуда и оборудование лабораторные стеклянные. Типы, основные параметры и размеры
ГОСТ 26663-85 Пакеты транспортные. Формирование с применением средств пакетирования. Общие технические требования
ГОСТ 27025-86 Реактивы. Общие указания по проведению испытаний
ГОСТ 27574-87 Костюмы женские для защиты от общих производственных загрязнений и механических воздействий. Технические условия
ГОСТ 27575-87 Костюмы мужские для защиты от общих производственных загрязнений и механических воздействий. Технические условия
ГОСТ 28498-90 Термометры жидкостные стеклянные. Общие технические требования. Методы испытаний
ГОСТ 29228-91 (ИСО 835-2-81) Посуда лабораторная стеклянная. Пипетки градуированные. Часть 2. Пипетки градуированные без установленного времени ожидания
ГОСТ 30090-93 Мешки и мешочные ткани. Общие технические условия
Примечание - При пользовании настоящим стандартом целесообразно проверить действие ссылочных стандартов по указателю "Национальные стандарты", составленному по состоянию на 1 января текущего года, и по соответствующим информационным указателям, опубликованным в текущем году. Если ссылочный стандарт заменен (изменен), то при пользовании настоящим стандартом следует руководствоваться заменяющим (измененным) стандартом. Если ссылочный стандарт отменен без замены, то положение, в котором дана ссылка на него, применяется в части, не затрагивающей эту ссылку.
3 Технические требования
3.1 Технический пентаэритрит должен быть изготовлен в соответствии с требованиями настоящего стандарта по технологическому регламенту, утвержденному в установленном порядке.
3.2 Характеристики
3.2.1 В зависимости от способа производства и области применения пентаэритрит выпускают двух марок:
- А - для производства лакокрасочных материалов и полиграфических красок,
- Б - для производства пентапласта, смазочных масел и для нитрации.
Пентаэритрит марок А и Б может быть использован и для других целей.
3.2.2 По физико-химическим показателям пентаэритрит должен соответствовать требованиям и нормам, указанным в таблице 1.
Таблица 1
3.2.3 Допускается по согласованию с потребителем выпуск продукта марки Б со следующими физико-химическими показателями:
- массовая доля монопентаэритрита, не более, - 98,5%;
- температура плавления - 252 °С - 258 °С;
- рН водного раствора с массовой долей 5,0% - 4,5-7,0.
Показатели качества пентаэритрита, предназначенного для экспорта, должны соответствовать требованиям договора (контракта) с иностранным покупателем.
3.2.4 Для пентаэритрита, предназначенного для экспорта, допускается использовать следующие англоязычные обозначения марок и сортов:
- марка А, высший сорт - mono;
- марка А, первый сорт - tech;
- марка Б - nitration.
3.3 Маркировка
3.3.1 При маркировке должны быть соблюдены нормы законодательства, действующего в каждом из государств - участников Соглашения и устанавливающего порядок маркирования продукции информацией на государственном языке.
3.3.2 Транспортная маркировка - по ГОСТ 14192 с нанесением манипуляционного знака "Беречь от влаги", а также в соответствии с правилами перевозки грузов, действующими на соответствующем виде транспорта.
Пентаэритрит не относится к опасным грузам и по ГОСТ 19433 не классифицируется.
3.3.3 Маркировочные данные наносят типографским способом или с помощью клише, трафарета или ярлыков по ГОСТ 14192.
Способ нанесения маркировки: непосредственно на тару маркировочными машинами; наклейка бумажных этикеток, липких аппликаций и ярлыков; прикрепление ярлыков.
Ярлыки следует крепить к транспортной таре в удобном, хорошо просматриваемом месте. Размер ярлыков для мешков - не менее 7,5х10,5 см, для специализированных контейнеров - 10,5х14,5 см.
При упаковке продукта в мягкие контейнеры ярлык с маркировочными данными прочно прикрепляют к контейнеру, вкладывают бумажную этикетку в карман контейнера или маркировку наносят на поверхность контейнера.
3.3.4 Маркировка упакованного пентаэритрита, предназначенного для экспорта, должна соответствовать требованиям договора (контракта), ГОСТ 14192 и настоящего стандарта.
3.3.5 Маркировка, характеризующая упакованную продукцию, должна соответствовать требованиям законодательства страны-изготовителя, страны-импортера и содержать:
- наименование страны-изготовителя;
- наименование предприятия-изготовителя, его товарный знак и юридический адрес;
- наименование продукта, его марку и сорт;
- номер партии и дату изготовления;
- массу нетто;
- обозначение настоящего стандарта.
3.3.6 Манипуляционный знак "Беречь от влаги" на специализированные мягкие контейнеры не наносят.
3.3.7 Допускается по согласованию с потребителем не наносить марку и сорт продукции при их указании в документе о качестве.
3.4 Упаковка
3.4.1 Пентаэритрит упаковывают в тару из водонепроницаемых материалов. В качестве транспортной тары применяют:
- пяти-, шестислойные бумажные и битумированные или ламинированные мешки по ГОСТ 2226 (в битумированных мешках внутренний соприкасающийся с продуктом слой бумаги должен быть непропитанным);
- полиэтиленовые мешки по ГОСТ 17811;
- мешки из полипропиленовой ткани по ГОСТ 30090, сшитые с внутренним полиэтиленовым вкладышем.
По согласованию с потребителем допускается упаковывать пентаэритрит в мягкие специализированные контейнеры типа МКР для сыпучих продуктов, коэффициент безопасности (запас прочности) которых должен быть не менее 5:1.
Допускается упаковывать пентаэритрит в другую транспортную тару, по прочности и качеству не уступающую перечисленной, обеспечивающую сохранность продукции при хранении и транспортировании.
Горловины мешков должны быть зашиты машинным способом, а полиэтиленовых мешков - заварены. Горловины контейнеров МКР должны быть заварены или завязаны.
По согласованию с потребителем упакованный в мешки пентаэритрит формируют в транспортные пакеты в соответствии с ГОСТ 24597, ГОСТ 26663 и правилами перевозки грузов в транспортных пакетах, действующими на соответствующем виде транспорта.
Допускаются другие способы пакетирования, обеспечивающие сохранность продукции при транспортировании.
3.4.2 Номинальная масса (масса нетто) при отгрузке продукта в мешках должна быть 25 кг.
Масса нетто при отгрузке продукта в специализированных контейнерах должна быть не более 1,5 т.
Предел допускаемых отрицательных отклонений содержимого нетто от номинального количества пентаэритрита в упаковках любого вида должен соответствовать ГОСТ 8.579(таблица А.2).
По согласованию с потребителем допускается отгружать продукт без упаковки с большей массой нетто в специализированных автотранспортных средствах, обеспечивающих сохранение качества продукта при транспортировании.
3.4.3 Вид упаковки, массу нетто (брутто) пентаэритрита устанавливают в соответствии с требованиями настоящего стандарта, договора (контракта) и правилами перевозки грузов, действующими на данном виде транспорта.
4 Требования безопасности
4.1 По степени воздействия на организм человека пентаэритрит относят к умеренно опасным веществам (3-й класс опасности по ГОСТ 12.1.007).
4.2 Предельно допустимая концентрация (ПДК) пентаэритрита в воздухе рабочей зоны - 4 мг/м3. Кумулятивная активность пентаэритрита выражена умеренно. Кожно-резорбтивные и сенсибилизирующие свойства выражены слабо.
4.3 Контроль воздуха рабочей зоны проводят по методике, соответствующей требованиям ГОСТ 12.1.016. Периодичность контроля содержания пыли пентаэритрита в воздухе рабочей зоны осуществляют по ГОСТ 12.1.005.
4.4 Технический пентаэритрит - горючее вещество. Показатели пожарной опасности пентаэритрита: температура воспламенения - 270 °С, температура самовоспламенения - 435 °С, коэффициент дымообразования - 730 м2/кг.
Пыль пентаэритрита взрывопожароопасна. Показатели пожарной опасности пыли: температура самовоспламенения - 435 °С, максимальное давление взрыва - 671 кПа, максимальная скорость нарастания давления взрыва - 34,2 МПа/с, индекс взрывоопасности - 9,1 МПа·м/с.
Средства тушения - распыленная Вода, воздушно-механическая пена.
Пожарную безопасность производства должны обеспечивать система предотвращения пожара, система противопожарной защиты, оргтехмероприятия по ГОСТ 12.1.004.
Защиту оборудования и коммуникаций на участках возможного образования зарядов статического электричества следует проводить в соответствии с ГОСТ 12.4.124.
4.5 Работающие с пентаэритритом должны быть обеспечены средствами индивидуальной защиты. В качестве средств индивидуальной защиты применяют:
- противогазы марок КД или М по ГОСТ 12.4.121;
- респираторы РУ-60м и РУ-60му по ГОСТ 17269;
- специальные костюмы по ГОСТ 27574 или ГОСТ 27575;
- ботинки по ГОСТ 5394 или ГОСТ 12.4.137;
- специальные рукавицы по ГОСТ 12.4.010;
- резинотрикотажные перчатки.
Допускается использовать средства индивидуальной защиты по другим нормативным документам, обеспечивающим требуемую защиту.
4.6 Образование пыли возможно при упаковывании и выгрузке пентаэритрита из тары. Все производственные помещения должны быть оборудованы приточно-вытяжной вентиляцией в соответствии с требованиями ГОСТ 12.4.021, а места возможного пыления - местными отсосами.
В производственных помещениях следует проводить влажную уборку.
4.7 Организация технологического процесса должна быть максимально механизирована и автоматизирована, должна обеспечивать беспыльное транспортирование пентаэритрита и отвечать требованиям ГОСТ 12.3.002 и ГОСТ 12.2.003. Управление технологическим процессом следует обеспечивать дистанционными системами. Пылящее оборудование должно быть герметизировано.
4.8 При изготовлении и фасовке пентаэритрита должны соблюдаться общие требования пожарной безопасности в соответствии с ГОСТ 12.1.004 и гигиенические требования.
5 Требования охраны окружающей среды
5.1 Предельно допустимая концентрация (ПДК) пентаэритрита в воде водоемов хозяйственно-питьевого и культурно-бытового назначения - 0,1 мг/л.
5.2 Ориентировочный безопасный уровень воздействия (ОБУВ) пентаэритрита в атмосферном воздухе населенных мест - 0,04 мг/м3. Пентаэритрит не образует токсичных соединений с другими веществами в воздушной среде и сточных водах.
5.3 Защита окружающей среды при производстве пентаэритрита обеспечивается герметизацией технологического оборудования, устройством вентиляционных отсосов в местах возможных выделений вредных выбросов, обработкой загрязненных вод, улавливанием пыли пентаэритрита с отходящим воздухом в газоочистительных аппаратах.
При работе с пентаэритритом специальные меры по защите окружающей среды от вредных воздействий не требуются.
6 Правила приемки
6.1 Правила приемки - по ГОСТ 5445.
6.1.1 Партией считают количество однородного по показателям качества продукта, сопровождаемого одним документом о качестве.
6.1.2 Документ о качестве должен содержать:
- наименование страны-изготовителя;
- наименование предприятия-изготовителя, его товарный знак и юридический адрес;
- наименование продукта, его марку и сорт;
- номер партии;
- дату изготовления;
- массу нетто;
- результаты анализов;
- гарантийный срок;
- обозначение настоящего стандарта;
- подпись и штамп службы контроля качества.
Допускается по согласованию с потребителем в документ о качестве вносить дополнительные данные, включающие информацию о потребителе продукции, массу брутто, массу тары и т.п.
6.1.3 Партия пентаэритрита, предназначенного для экспорта, должна сопровождаться документом о качестве в соответствии с требованиями договора (контракта).
6.1.4 Показатель "рН водного раствора пентаэритрита с массовой долей 5%" изготовитель определяет периодически один раз в квартал. При получении неудовлетворительных результатов периодических испытаний их переводят в приемо-сдаточные до получения положительных результатов на трех партиях подряд.
7 Методы анализа
7.1 Отбор проб
Отбор проб для анализа - по ГОСТ 5445. Масса средней пробы должна быть не менее 500 г.
7.2 Общие указания
7.2.1 Общие указания по проведению анализа - по ГОСТ 27025.
7.2.2 Допускается применение других средств измерения с метрологическими характеристиками и оборудования с техническими характеристиками не хуже, а также реактивов по качеству не ниже указанных в настоящем стандарте.
7.2.3 Допускается применять другие методы анализа, обеспечивающие требуемую точность и достоверность результатов определения. Применяемые методики должны быть аттестованы в установленном порядке.
При разногласиях в оценке качества продукта анализ проводят методами, указанными в настоящем стандарте.
7.2.4 Результаты определения округляют до того количества значащих цифр, которому соответствует норма по данному показателю.
По согласованию с потребителем допускается округлять результаты определения до количества значащих цифр, установленных требованиями договора (контракта).
7.2.5 Все применяемые средства измерений должны быть поверены, испытательное оборудование - аттестовано.
7.3 Определение внешнего вида
Внешний вид продукта оценивают визуально при естественном или люминесцентном освещении без применения увеличительных приборов в пробе массой (100±5) г, рассыпанной тонким слоем на чистом листе белой бумаги.
7.4 Определение массовой доли монопентаэритрита
7.4.1 Массовую долю монопентаэритрита рассчитывают, вычитая из 100% сумму массовых долей дипентаэритрита и других примесей.
Метод определения дипентаэритрита и других примесей основан на хроматографическом разделении и количественном определении методом внутреннего эталона в виде их ацетатных производных, полученных ацетилированием пробы.
7.4.2 Аппаратура, посуда и реактивы
Хроматограф газовый с пламенно-ионизационным детектором.
Колонка хроматографическая капиллярная длиной 30 м, внутренним диаметром 0,32 мм и с неподвижной фазой SP-Sil 5 СВ толщиной пленки 1 мкм фирмы "Varian".
Компьютер с программным обеспечением для управления хроматографом, сбора информации и обработки результатов.
Весы неавтоматического действия с наибольшим пределом взвешивания 200 г и погрешностью ±0,2 мг.
Баня песчаная.
Микрошприц вместимостью 1 мм3 фирмы "Hamilton".
Термометр ТН2-1 М по ГОСТ 400.
Колба Кн-1-25-14/23 по ГОСТ 25336.
Пипетка 1-2-2-5 по ГОСТ 29228.
Холодильник ХШ-1-200-14/23 по ГОСТ 25336.
Азот газообразный по ГОСТ 9293.
Водород технический сжатый по ГОСТ 3022 марки А или водород от генератора водорода.
Воздух сжатый, класс загрязненности 1 по ГОСТ 17433. Допускается использовать компрессор любого типа, обеспечивающий необходимое давление и чистоту воздуха согласно инструкции по эксплуатации газового хроматографа.
Маннит-D (-).
Ангидрид уксусный по ГОСТ 5815, ч.д.а. или ч.
Дипентаэритрит массовой долей не менее 90%.
7.4.3 Подготовка к анализу
7.4.3.1 Подготовка хроматографа и хроматографической колонки
Газовый хроматограф готовят к работе в соответствии с руководством по эксплуатации прибора.
Хроматографическую колонку кондиционируют при температуре на 50 °С ниже максимальной рабочей температуры неподвижной жидкой фазы.
7.4.3.2 Подбор условий хроматографического разделения
Условия газохроматографического разделения подбирают индивидуально для каждой колонки. Определяют оптимальные температуры испарителя и детектора, температуру колонки, расход газа-носителя через хроматографическую колонку и коэффициент деления потока газа-носителя.
Рекомендуемые условия хроматографирования (при двухступенчатом программировании температуры):
7.4.3.3 Определение времени удержания
Время удержания определяют как время выхода максимума пика дипентаэритрита от момента ввода пробы в хроматограф. Проводят не менее трех измерений одного из градуировочных растворов (ацетилированных смесей) и рассчитывают среднеарифметическое значение времени удержания дипентаэритрита. Полученные значения используют для идентификации пика дипентаэритрита на хроматограммах анализируемых проб. Остальные примеси не идентифицируют и рассчитывают по 7.4.5.1.
7.4.3.4 Приготовление градуировочных растворов
Градуировочные растворы (ацетилированные смеси) готовят из определяемых компонентов (монопентаэритрита и дипентаэритрита), внутреннего эталона (маннита) в уксусном ангидриде.
Колбу вместимостью 25 см3 взвешивают (результат взвешивания в граммах записывают с точностью до четвертого десятичного знака). Во взвешенную колбу вносят около 0,005 г дипентаэритрита, около 0,005 г маннита, добавляют 5 см3 уксусного ангидрида.
Колбу присоединяют к обратному холодильнику, погружают в песочную баню, нагретую до (160±4) °С и выдерживают (ацетилируют) в течение 1,5 ч, затем охлаждают.
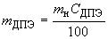
Массу дипентаэритрита в пересчете на 100%-ную концентрацию (mДПЭ), г, вычисляют по формуле (1)
где mн - масса навески дипентаэритрита, г;
CДПЭ - массовая доля дипентаэритрита, %.
7.4.3.5 Градуировка хроматографа
Градуировку хроматографа проводят методом внутреннего эталона с использованием одной градуировочной смеси в измеряемом диапазоне. Содержание дипентаэритрита в градуировочной смеси должно быть близко к его содержанию (количеству) в рабочих пробах.
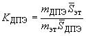
Для определения градуировочного коэффициента дипентаэритрита в хроматограф вводят микрошприцем градуировочный раствор. Градуировочный раствор хроматографируют три раза. Полученные значения площадей пиков дипентаэритита и маннита усредняют. Градуировочный коэффициент дипентаэритрита (CДПЭ) вычисляют по формуле (2)
где mДПЭ - масса дипентаэритрита в градуировочном растворе, г;
- среднее значение площади пика внутреннего эталона в градуировочном растворе, усл. ед.;
mэт - масса внутреннего эталона в градуировочном растворе, г;
- среднее значение площади пика дипентаэритрита в градуировочном растворе, усл. ед.
При использовании программы сбора и обработки хроматографической информации проводят автоматическую обработку хроматографических пиков и расчет градуировочного коэффициента.
Градуировку хроматографа проводят перед анализом каждой серии рабочих проб.
7.4.4 Проведение анализа
Колбу вместимостью 25 см3 взвешивают (результат взвешивания в граммах записывают с точностью до четвертого десятичного знака). Во взвешенную колбу вносят 0,1000-0,1200 г анализируемого пентаэритрита, 0,0050-0,0100 г маннита, добавляют 5 см3 уксусного ангидрида.
Колбу присоединяют к обратному холодильнику, погружают в песочную баню, нагретую до 160 °С, и выдерживают (ацетилируют) в течение 1,5 ч, затем охлаждают.
После охлаждения полученной ацетилированной смеси вводят ее микрошприцем в хроматограф. Анализ проводят при условиях хроматографирования согласно 7.4.3.2. Хроматографирование проводят два раза.
Обработку, идентификацию хроматографических пиков и количественный расчет дипентаэритрита и других примесей проводят с использованием программы сбора и обработки хроматографической информации.
Порядок выхода примесей на хроматограмме указан на рисунке 1.
Рисунок 1 - Типовая хроматограмма технического пентаэритрита
1 - монопентаэритрит; 2 - маннит; 3 - дипентаэритрит; 4 - неидентифицируемые примеси
Рисунок 1 - Типовая хроматограмма технического пентаэритрита
7.4.5 Обработка результатов
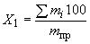
7.4.5.1 Массовую долю суммы примесей (X1), %, вычисляют по формуле (3)
где mi - масса каждой примеси, г;
mпр - масса навески анализируемого пентаэритрита, г.
7.4.5.2 Массу каждой примеси (mi), г, вычисляют по формуле (4)
где KДПЭ - градуировочный коэффициент для дипентаэритрита;
mэт - масса внутреннего эталона, г;
- среднее значение площади пика каждой примеси, усл. ед.;
- среднее значение площади пика внутреннего эталона, усл. ед.
Для расчета неидентифицированных примесей градуировочный коэффициент принимают равным коэффициенту дипентаэритрита.
При использовании программы сбора и обработки хроматографической информации проводят автоматическую обработку хроматографических пиков и расчет массы каждой примеси mi в граммах.
7.4.5.3 Массовую долю монопентаэритрита (X2), %, вычисляют по формуле (5)
где X1 - массовая доля дипентаэритрита и других примесей, %.
За результат анализа массовой доли монопентаэритрита в техническом пентаэритрите принимают среднеарифметическое значение результатов двух параллельных определений, относительное расхождение между которыми не должно превышать предел повторяемости.
Значение предела повторяемости для двух результатов параллельных определений приведено в таблице 2.
Таблица 2 - Диапазон измерений, значения предела повторяемости, предела воспроизводимости и показателя точности при доверительной вероятности P=0,95
В процентах
7.5 Определение температуры плавления
7.5.1 Сущность метода
Метод основан на изменении оптических свойств анализируемого пентаэритрита при его нагревании до полного расплавления (конечной точки плавления - исчезновения последних твердых частиц). Определение проводят капиллярным методом на приборе для определения температуры плавления.
7.5.2 Аппаратура и посуда
Прибор для определения температуры плавления типа FP90/81HT фирмы "Mettler Toledo", обеспечивающий в измеряемом диапазоне погрешность ±0,9 °С.
Капилляры стеклянные длиной от 70 до 100 мм, внутренним диаметром от 1,2 до 1,4 мм, толщиной стенки от 0,2 до 0,3 мм, запаянные с одной стороны.
Трубка стеклянная длиной от 800 до 1000 мм, диаметром от 15 до 20 мм.
Ступка 3 по ГОСТ 9147.
Пестик 3 по ГОСТ 9147.
7.5.3 Подготовка к анализу
7.5.3.1 Подготовка прибора
Прибор для определения температуры плавления готовят к работе в соответствии с руководством по эксплуатации прибора.
7.5.3.2 Подготовка пробы
Небольшое количество предварительно высушенного анализируемого пентаэритрита мелко растирают пестиком в чистой сухой фарфоровой ступке. Растертым продуктом заполняют капилляр следующим образом: открытым концом набирают часть продукта, поворачивают капилляр заплавленным концом вниз и бросают его 10-15 раз через стеклянную трубку, поставленную вертикально на горизонтальную поверхность, до уплотнения продукта в капилляре. Операцию повторяют до получения столбика продукта высотой от 3 до 6 мм.
Допускается заполнять капилляр растертым продуктом, постукивая нижней частью капилляра о твердую поверхность до максимально возможного уплотнения.
Если продукт не продвинется до конца капилляра, необходимо продвинуть его, прилагая незначительные усилия трамбовочной проволокой.
7.5.4 Проведение анализа
Капилляр, заполненный анализируемым продуктом, устанавливают в измерительную ячейку прибора для определения температуры плавления. Определение с помощью прибора проводят в соответствии с руководством по эксплуатации прибора. Нагревание выполняют относительно быстро до достижения температуры ниже ожидаемой температуры плавления примерно на 25 °С. Затем скорость повышения температуры должна быть не более 1 °С в минуту.
За температуру плавления принимают показание прибора в момент полного расплавления анализируемого продукта.
7.5.5 Обработка результатов
7.5.5.1 За результат анализа принимают среднеарифметическое значение результатов двух параллельных определений, абсолютное расхождение между которыми не должно превышать предел повторяемости. Значения предела повторяемости r для двух результатов параллельных определений приведены в таблице 3.
Таблица 3 - Диапазон измерений, значения предела повторяемости, предела воспроизводимости и показателя точности при доверительной вероятности P=0,95
В градусах Цельсия
7.6 Определение массовой доли воды и летучих веществ
7.6.1 Массовую долю воды и летучих веществ определяют методом высушивания при помощи автоматического галогенного анализатора влажности.
7.6.2 Аппаратура
Автоматический анализатор влажности галогенный типа HR 83 фирмы "Mettler Toledo", обеспечивающий в измеряемом диапазоне погрешность ±0,02%.
7.6.3 Подготовка к выполнению измерений
Анализатор влажности готовят к работе в соответствии с руководством по эксплуатации прибора.
7.6.4 Проведение анализа
(10,0000±0,5000) г анализируемого продукта помещают в чашку для образца, взвешивают с помощью прецизионных весов, встроенных в анализатор влажности, равномерно распределяют продукт по чашке и высушивают его с помощью модуля нагрева при температуре (105±5) °С до постоянной массы.
7.6.5 Обработка результатов
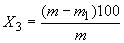
7.6.5.1 Массовую долю воды (X3), %, вычисляют по формуле (6)
где m - масса продукта до сушки, г;
m1 - масса продукта после сушки, г.
7.6.5.2 За результат анализа принимают среднеарифметическое значение результатов двух параллельных определений, относительное расхождение между которыми не должно превышать предел повторяемости.
Значения предела повторяемости r для двух результатов параллельных определений приведены в таблице 4.
Таблица 4 - Диапазон измерений, значения предела повторяемости, предела воспроизводимости и показателя точности при доверительной вероятности P=0,95
В процентах
7.7 Определение массовой доли золы
7.7.1 Аппаратура, посуда и реактивы
Весы неавтоматического действия с наибольшим пределом взвешивания 200 г и погрешностью ±0,2 мг.
Плита лабораторная электрическая типа ЛАБ-ПН-01.
Электропечь камерная типа СНОЛ-1,6.2,5.1/11-И1М.
Эксикатор 2-190 по ГОСТ 25336.
Тигель Н-100 по ГОСТ 19908.
кальций хлористый по ГОСТ 450, прокаленный.
7.7.2 Подготовка к анализу
7.7.2.1 Камерную электропечь готовят к работе в соответствии с руководством по эксплуатации. Эксикатор заполняют прокаленным хлористым кальцием. Кварцевый тигель моют, высушивают и прокаливают в муфельной печи при (800±50) °С до постоянной массы.
7.7.3 Проведение анализа
Взвешивают (50,0000±1,0000) г анализируемого пентаэритрита. Часть навески помещают в кварцевый тигель, подготовленный в соответствии с 7.7.2.1, осторожно озоляют на плитке. Затем постепенно добавляют остальное количество пентаэритрита и также озоляют. Остаток в тигле прокаливают в муфельной печи при (800±50) °С в течение 2 ч, охлаждают в эксикаторе до температуры окружающей среды и взвешивают.
7.7.4 Обработка результатов измерений
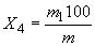
7.7.4.1 Массовую долю золы (X4), %, вычисляют по формуле (7)
где m1 - масса остатка после прокаливания, г;
m - масса анализируемого продукта, г.
7.7.4.2 За результат анализа принимают среднеарифметическое значение результатов двух параллельных определений, относительное расхождение между которыми не должно превышать предел повторяемости.
Значение предела повторяемости r для двух результатов параллельных определений приведено в таблице 5.
Таблица 5 - Диапазон измерений, значения предела повторяемости, предела воспроизводимости и показателя точности при доверительной вероятности P=0,95
В процентах
7.8 Определение цветности плава по платиново-кобальтовой шкале (шкала АРНА)
7.8.1 Метод основан на определении цветности (условно принятой количественной характеристики) путем визуального сравнения цвета сложного эфира, полученного в результате реакции пентаэритрита с фталевым ангидридом, с цветом растворов платиново-кобальтовой шкалы.
7.8.2 Аппаратура, посуда и реактивы
Термостатирующий блок по ГОСТ 24445.5 или баня масляная (глицериновая, парафиновая).
Весы неавтоматического действия с наибольшим пределом взвешивания 1500 г и погрешностью ±30 мг.
Термометр жидкостный стеклянный типа А частичного погружения по ГОСТ 28498.
Пробирка П1-16-150 ТС по ГОСТ 25336.
Ступка 4 по ГОСТ 9147.
Пестик 4 по ГОСТ 9147.
Ангидрид фталевый по ГОСТ 7119 марки А высшего сорта или по ГОСТ 5869, ч.д.а. или ч., имеющий цвет по платиново-кобальтовой шкале не более 50 единиц Хазена.
7.8.3 Подготовка к анализу
Готовят платиново-кобальтовую шкалу по ГОСТ 18522.
7.8.4 Проведение анализа
(4,00±0,10) г пентаэритрита и (4,00±0,10) г фталевого ангидрида тщательно растирают в ступке, смесь переносят в пробирку, уплотняя постукиванием.
Подготовленную пробирку помещают в термостатирующий блок (баню), нагретый до (200±2) °С, и выдерживают в течение 20 мин. Затем пробирку вынимают, охлаждают до комнатной температуры и сравнивают цвет плава с цветом платиново-кобальтовой шкалы, рассматривая их перпендикулярно к оси пробирки на белом фоне.
За цветность пентаэритрита принимают цветность пробирки цветовой шкалы, соответствующую цветности анализируемого продукта.
Если цвет анализируемого продукта окажется промежуточным между двумя соседними цветами цветовой шкалы, то за цветность пентаэритрита принимают более высокое значение.
7.9 Определение массовой доли гидроксильных групп
7.9.1 Метод основан на определении массовой доли гидроксильных групп путем расчета, при котором за основу берется состав и массовая доля суммы примесей, определяемая хроматографическим методом по 7.4.
7.9.2 Обработка результатов измерений
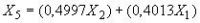
Массовую долю гидроксильных групп в продукте (X5), %, вычисляют по формуле (8)
где 0,4997 - коэффициент пересчета, учитывающий отношение молекулярной массы гидроксильных групп в монопентаэритрите к молекулярной массе монопентаэритрита;
X2 - массовая доля монопентаэритрита, %;
0,4013 - коэффициент пересчета, учитывающий отношение молекулярной массы гидроксильных групп в дипентаэритрите к молекулярной массе дипентаэритрита;
X1 - массовая доля суммы примесей, %.
7.10 Определение массовой доли продукта, проходящего через сито с сеткой 01К
7.10.1 Метод основан на ручном или автоматическом сухом просеивании анализируемого продукта через сито с сеткой требуемого размера и измерении путем взвешивания количества продукта, прошедшего через него.
7.10.2 Аппаратура и посуда
Весы неавтоматического действия с наибольшим пределом взвешивания 1500 г и погрешностью ±30 мг.
Сито с сеткой 01К по ГОСТ 6613 диаметром 200 мм, с крышкой и поддоном.
Рассев (грохот) вибрационный типа "Analisette 3 "PRO" фирмы "Fritsch" для сухого просеивания с зажимной крышкой, аналитическим ситом диаметром 200 мм и высотой 50 мм и приемным сосудом (поддоном).
Секундомер механический СОСпр-2б-2-010, обеспечивающий погрешность в диапазоне рабочих температур ±5,4 с.
Стакан ВН-1-150 по ГОСТ 25336.
Ткань тонкая неворсистая.
Воздух сжатый, класс загрязненности 1 по ГОСТ 17433. Допускается использовать компрессоры любого типа, обеспечивающие необходимое давление и чистоту воздуха.
7.10.3 Подготовка к выполнению измерений
7.10.3.1 Вибрационный рассев (грохот) готовят к работе в соответствии с руководством по эксплуатации.
7.10.3.2 С помощью сжатого воздуха очищают сетку сита от оставшихся в ячейках частиц продукта. Допускается очищать сетку сита водой с последующей сушкой сита в сушильном шкафу при максимальной температуре 95 °С. Время сушки может быть укорочено при споласкивании сита спиртом. Запрещается использовать для чистки сит щетку, т.к. щетка может повредить тонкое переплетение сетки, волокна сетки могут быть смещены и расстояния уже не будут соответствовать правильному размеру сетки.
Поддон и крышку протирают тонкой неворсистой тканью. Взвешивают поддон (результаты взвешивания в граммах записывают с точностью до второго десятичного знака).
7.10.4 Проведение анализа
Взвешивают в стакане от 50,00 до 100,00 г анализируемого пентаэритрита, осторожно, не допуская пыления, высыпают на сито, вставленное в поддон, и плотно закрывают крышкой.
В случае ручного рассева в течение 3 мин, держа сито под углом от 10° до 20° к горизонтальной плоскости, несколько раз в минуту меняя направление наклона, совершают 100-120 колебаний в минуту средней силы.
Рекомендуемые параметры процесса при автоматическом просеивании:
- время рассева - от 3 до 5 мин;
- амплитуда вертикального колебания - от 1 до 3 мм.
По окончании рассева взвешивают поддон с отсеянной фракцией пентаэритрита. Результат взвешивания записывают с точностью до второго десятичного знака.
7.10.5 Обработка результатов
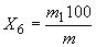
7.10.5.1 Массовую долю продукта, проходящего через сито с сеткой 01К (X6), %, вычисляют по формуле (9)
где m1 - масса продукта, прошедшего через сито 01К, г;
m - масса анализируемого продукта, г.
7.10.5.2 За результат измерения принимают среднеарифметическое значение результатов двух параллельных определений, относительное расхождение между которыми не должно превышать предел повторяемости.
Значения предела повторяемости r для двух результатов параллельных определений приведены в таблице 6.
Таблица 6 - Диапазон измерений, значения предела повторяемости, предела воспроизводимости и показателя точности* при доверительной вероятности P=0,95
В процентах
7.11 Определение pH водного раствора пентаэритрита с массовой долей 5%
7.11.1 Аппаратура, посуда и реактивы
Иономер лабораторный типа И-160.
Весы неавтоматического действия с наибольшим пределом взвешивания 1500 г и погрешностью ±30 мг.
Баня водяная или песчаная.
Колба Кн-2-250-34 по ГОСТ 25336.
Склянка СПЖ-250 или СН-1-200 по ГОСТ 25336.
Стакан В-1-150 по ГОСТ 25336.
Цилиндр 1-100-2 по ГОСТ 1770.
Калия гидроокись по ГОСТ 24363, ч.д.а.
Вода дистиллированная по ГОСТ 6709.
7.11.2 Подготовка к анализу
7.11.2.1 Подготовка прибора
Подготовку иономера и электродов к работе, калибровку иономера по буферным растворам проводят в соответствии с руководством по эксплуатации.
7.11.2.2 Приготовление буферных растворов с pH 4,01; pH 6,86; pH 9,18
Буферные растворы готовят из стандарт-титров по ГОСТ 8.135.
7.11.2.3 Приготовление раствора гидроокиси калия с массовой долей 20%: 20 г гидроокиси калия осторожно растворяют при перемешивании в 80 см3 дистиллированной воды. Хранят раствор в хорошо закрытой полиэтиленовой посуде. Раствор пригоден в течение 1 мес. При появлении мути, осадка, хлопьев раствор заменяют.
7.11.3 Проведение анализа
Около 5,00 г (результат взвешивания в граммах записывают с точностью до второго десятичного знака) пентаэритрита взвешивают в конической колбе, приливают 95 см3 дистиллированной воды, не содержащей углекислоты, приготовленной по ГОСТ 4517, и растворяют навеску при нагревании на песчаной или водяной бане, не доводя до кипения. Затем колбу снимают с бани и закрывают пробкой, в которую вставлена стеклянная трубка, соединенная при помощи резиновой трубки с промывной склянкой, содержащей раствор гидроокиси калия. Колбу охлаждают до комнатной температуры, переносят содержимое в стакан и определяют рН раствора пентаэритрита на иономере.
7.11.4 За результат анализа принимают среднеарифметическое значение результатов двух параллельных определений, относительное расхождение между которыми не должно превышать предел повторяемости.
Значения предела повторяемости r для двух результатов параллельных определений приведены в таблице 7.
Таблица 7 - Диапазон измерений, значения предела повторяемости, предела воспроизводимости и показателя точности при доверительной вероятности P=0,95
В единицах pH
8 Транспортирование и хранение
8.1 Пентаэритрит транспортируют всеми видами транспорта в соответствии с правилами перевозки грузов, действующими на данном виде транспорта.
8.2 Пентаэритрит, упакованный в мешки, транспортируют в крытых транспортных средствах.
8.3 Пентаэритрит, упакованный в мягкие специализированные контейнеры, транспортируют как в крытых, так и открытых транспортных средствах с дополнительной защитой от прямых солнечных лучей.
8.4 По согласованию с потребителем допускается транспортирование продукта без упаковки в специализированных автотранспортных средствах, обеспечивающих сохранение качества продукта во время транспортирования.
8.5 Пентаэритрит хранят в крытых, хорошо проветриваемых складских помещениях, защищающих продукт от атмосферных осадков, на поддонах, отстоящих от пола не менее чем на 5 см и от отопительных приборов не менее чем на 1 м. Допускается хранение пентаэритрита, упакованного в контейнеры, на открытых площадках под навесом или без него с дополнительной защитой от прямых солнечных лучей, на поддонах, отстоящих от земли не менее чем на 5 см.
9 Гарантии изготовителя
9.1 Изготовитель гарантирует соответствие пентаэритрита требованиям настоящего стандарта при соблюдении условий транспортирования и хранения.
9.2 Гарантийный срок хранения пентаэритрита - 2 года со дня изготовления.
официальное издание
М.: Стандартинформ, 2013


