Ангидрид фталевый ГОСТ 5869-77
Ангидрид фталевый. Технические условия (с Изменениями N 1, 2, с Поправкой) ГОСТ 5869-77
ГОСТ 5869-77
Группа Л52
ГОСУДАРСТВЕННЫЙ СТАНДАРТ СОЮЗА ССР
Реактивы
АНГИДРИД ФТАЛЕВЫЙ
Технические условия
Reagents. Phtalic anhydride. Specifications
ОКП 26 3492 0260 01
Срок действия с 01.07.78
до 01.07.93*
_______________________________
* Ограничение срока действия снято
по протоколу N б/н Межгосударственного Совета
по стандартизации, метрологии и сертификации
(ИУС N 2, 1993 год). - Примечание
изготовителя базы данных.
ИНФОРМАЦИОННЫЕ ДАННЫЕ
1. РАЗРАБОТАН И ВНЕСЕН Министерством химической промышленности
ИСПОЛНИТЕЛИ
2. УТВЕРЖДЕН И ВВЕДЕН В ДЕЙСТВИЕ Постановлением Государственного комитета стандартов Совета Министров СССР от 16 июня 1977 г. N 1499
3. Срок проверки 1993 г.
Периодичность проверки 5 лет
4. ВЗАМЕН ГОСТ 5869-67
5. ССЫЛОЧНЫЕ НОРМАТИВНО-ТЕХНИЧЕСКИЕ ДОКУМЕНТЫ
|
Обозначение НТД, на который дана ссылка |
Номер пункта, подпункта |
|
ГОСТ 1770-74 |
3.2.1.1, 3.2.2.1, 3.3.1.1, 3.3.2.1 |
|
3.3.1.1 |
|
|
3.2.1.1, 3.3.1.1 |
|
|
2.1.3.1, 4.1 |
|
|
3.3.2.1 |
|
|
3.3.2.1 |
|
|
3.2.1.1, 3.2.2.1 |
|
|
ГОСТ 4517-75 |
3.2.2.1 |
|
ГОСТ 4919.1-77 |
3.2.1.1 |
|
ГОСТ 5850-72 |
3.2.1.1, 3.2.2.1 |
|
ГОСТ 5854-78 |
3.3.1.1 |
|
3.2.1.1, 3.3.1.1 |
|
|
3.2.1.1 |
|
|
3.3.1.1 |
|
|
ГОСТ 10555-75 |
3.8 |
|
ГОСТ 10671.5-74 |
3.6 |
|
ГОСТ 10671.7-74 |
3.7 |
|
ГОСТ 17319-76 |
3.9 |
|
3.2.1.1, 3.2.2.1 |
|
|
ГОСТ 18995.4-73 |
3.4 |
|
ГОСТ 20292-74 |
3.2.1.1, 3.2.2.1, 3.3.1.1, 3.3.2.1 |
|
3.3.2.1 |
|
|
ГОСТ 24104-80 |
3.1а |
|
ГОСТ 25336-82 |
3.2.1.1, 3.2.2.1, 3.3.1.1, 3.3.2.1 |
|
ГОСТ 25794.1-83 |
3.2.1.1, 3.2.2.1, 3.3.1.1 |
|
ГОСТ 25794.2-83 |
3.3.2.1 |
|
ГОСТ 27025-86 |
3.1а |
|
3.3.2.1 |
|
|
ГОСТ 27184-86 |
3.5 |
6. Срок действия продлен до 01.07.93 Постановлением Госстандарта СССР от 28.04.87 N 1457
7. ПЕРЕИЗДАНИЕ (март 1988 г.) с Изменениями N 1, 2, утвержденными в сентябре 1982 г., апреле 1987 г. (ИУС 12-82, 8-87)
ВНЕСЕНА поправка, опубликованная в ИУС N 3, 1990 год
Поправка внесена изготовителем базы данных
Настоящий стандарт распространяется на реактив - фталевый ангидрид, представляющий собой кристаллический порошок или чешуйки белого цвета; растворим в спирте, бензоле; труднорастворим в холодной воде, лучше - в горячей.
Показатели технического уровня, установленные настоящим стандартом, предусмотрены для высшей категории качества.
Формулы: эмпирическая C8H4O3
структурная 
Молекулярная масса (по международным атомным массам 1971 г.) - 148,12.
1. ТЕХНИЧЕСКИЕ ТРЕБОВАНИЯ
1.1. Фталевый ангидрид должен быть изготовлен в соответствии с требованиями настоящего стандарта, по технологическому регламенту, утвержденному в установленном порядке.
1.2. По физико-химическим показателям фталевый ангидрид должен соответствовать нормам, указанным в таблице.
(Измененная редакция, Изм. N 1, 2).
2. ПРАВИЛА ПРИЕМКИ
2.1. Правила приемки - по ГОСТ 3885-73-->ГОСТ 3885-73.
2.2. Определение массовой доли остатка после прокаливания в виде сульфатов для препарата ч.д.а. проводится только по требованию потребителей.
3. МЕТОДЫ АНАЛИЗА
3.1а. Общие указания по проведению анализа - по ГОСТ 27025-86.
Все взвешивания проводят на лабораторных весах 2-го класса точности с наибольшим пределом взвешивания 200 г и 3-го класса точности с наибольшим пределом взвешивания 500 г или 1 кг по ГОСТ 24104-80.
Допускается применение импортной лабораторной посуды по классу точности и реактивов по качеству не ниже отечественных.
3.1. Пробы отбирают по ГОСТ 3885-73-->ГОСТ 3885-73.
Масса средней пробы должна быть не менее 265 г.
Массовую долю фталевого ангидрида определяют сразу же после вскрытия банки.
3.1а, 3.1. (Измененная редакция, Изм. N 2).
3.2. Определение массовой доли фталевого ангидрида
3.2.1. Метод обратного титрования
3.2.1.1. Аппаратура, реактивы и растворы
Вода дистиллированная по ГОСТ 6709-72-->ГОСТ 6709-72.
Диметиловый желтый (диметиламиноазобензол), индикатор.
кислота соляная по ГОСТ 3118-77; раствор в метаноле концентрации 0,5 моль/дм3 (0,5 н.) готовят следующим образом: 46 см3 концентрированной соляной кислоты, отмеренные с погрешностью не более 1%, помещают в мерную колбу вместимостью 1 дм3, содержащую 20 см3 воды, охлаждают, доводят объем метанолом до метки и перемешивают. Коэффициент поправки раствора устанавливают в день работы по раствору гидроокиси натрия концентрации 0,5 моль/дм3 (0,5 н.) в присутствии раствора фенолфталеина.
метанол-яд по ГОСТ 6995-77.
Метиленовый голубой (индикатор).
Фенолфталеин (индикатор) по ГОСТ 5850-72, спиртовой раствор с массовой долей фенолфталеина 1%, готовят по ГОСТ 4919.1-77.
Морфолин, высушенный над хлористым кальцием в течение суток и дважды перегнанный; раствор в метаноле концентрации 0,5 моль/дм3 (0,5 н.) готовят следующим образом: 44 см3 морфолина, отмеренные с погрешностью не более 1%, помещают в сухую мерную колбу вместимостью 1 дм3, доводят объем метанолом до метки и перемешивают. Раствор хранят в склянке оранжевого стекла (с притертой пробкой).
Натрия гидроокись по ГОСТ 4328-77, раствор концентрации c(NaOH)=0,5 моль/дм3 (0,5 н.); готовят по ГОСТ 25794.1-83.
Смешанный индикатор, раствор в метаноле готовят следующим образом: 1,00 г диметилового желтого и 0,010 г метиленового голубого помещают в коническую колбу вместимостью 250 см3, прибавляют 125 см3 метанола и перемешивают до полного растворения.
Спирт этиловый ректификованный технический по ГОСТ 18300-87, высшего сорта.
Бюретка 1-2-50-0,1 по ГОСТ 20292-74*.
________________
* Действуют ГОСТ 29169-91, ГОСТ 29227-91-ГОСТ 29229-91, ГОСТ 29251-91-ГОСТ 29253-91, здесь и далее по тексту. - Примечание изготовителя базы данных.
Колба мерная 2-1000-2 по ГОСТ 1770-74.
Колбы Кн-1-250-29/32, Кн-2-250-34 по ГОСТ 25336-82.
Пипетки 2-2-50, 4-2-1 по ГОСТ 20292-74.
Цилиндр 1-100 по ГОСТ 1770-74.
3.2.1.2. Проведение анализа
2,5000-3,0000 г препарата помещают в коническую колбу (с притертой пробкой) вместимостью 250 см3 и осторожно прибавляют пипеткой Мора 50 см3 раствора морфолина (пипетки наполняют при помощи резиновой груши). Колбу закрывают, перемешивают круговыми движениями до растворения препарата и оставляют в покое при комнатной температуре. Через 5 мин к раствору прибавляют 0,2-0,4 см3 раствора смешанного индикатора и титруют раствором соляной кислоты в метаноле концентрации 0,5 моль/дм3 до перехода зеленой окраски раствора в желто-оранжевую (без зеленого оттенка).
Одновременно в тех же условиях проводят контрольный опыт с теми же количествами реактивов.
3.2.1.3. Обработка результатов
Массовую долю фталевого ангидрида (X) в процентах вычисляют по формуле
где V - объем раствора соляной кислоты в метаноле концентрации точно 0,5 моль/дм3, израсходованный на титрование контрольного раствора, см3;
V1 - объем раствора соляной кислоты в метаноле концентрации точно 0,5 моль/дм3, израсходованный на титрование анализируемого раствора, см3;
0,07406 - масса фталевого ангидрида, соответствующая 1 см3 раствора морфолина в метаноле концентрации 0,5 моль/дм3, г;
m - масса навески препарата, г;
X2 - массовая доля малеинового ангидрида, определяемая по п.3.3, %;
1,51 - коэффициент пересчета молекулярной массы малеинового ангидрида на молекулярную массу фталевого ангидрида.
За результат анализа принимают среднее арифметическое результатов трех параллельных определений, допускаемые расхождения между которыми не должны превышать 0,35% при доверительной вероятности P=0,95.
3.2.1.1.-3.2.1.3. (Измененная редакция, Изм. N 2).
3.2.2. Метод прямого титрования
3.2.2.1. Аппаратура, реактивы и растворы
Вода дистиллированная, не содержащая углекислоты, готовят по ГОСТ 4517-75.
Натрия гидроокись по ГОСТ 4328-77, раствор концентрации c(NaOH)=0,5 моль/дм3 (0,5 н.); готовят по ГОСТ 25794.1-83.
Спирт этиловый ректификованный технический по ГОСТ 18300-87, высшего сорта.
Фенолфталеин (индикатор) по ГОСТ 5850-72, спиртовой раствор с массовой долей фенолфталеина 1%.
Бюретка 1-2-50-0,1 по ГОСТ 20292-74.
Колбы Кн-1-250-29/32 по ГОСТ 25336-82.
Пипетка 4-2-1 по ГОСТ 20292-74.
Цилиндр 1-100 по ГОСТ 1770-74.
3.2.2.2. Проведение анализа
Около 1,0000 г тонко растертого препарата помещают в коническую колбу, прибавляют 75 см3 горячей воды, колбу закрывают пробкой с воздушным холодильником, нагревают до полного растворения препарата, охлаждают до комнатной температуры, вынимают воздушный холодильник, прибавляют к раствору 0,2 см3 раствора фенолфталеина и титруют раствором гидроокиси натрия до появления розовой окраски, устойчивой в течение 30 с.
3.2.2.3. Обработка результатов.
Массовую долю фталевого ангидрида (X1) в процентах вычисляют по формуле
где V - объем раствора гидроокиси натрия концентрации точно 0,5 моль/дм3, израсходованный на титрование, см3;
0,03703 - масса фталевого ангидрида, соответствующая 1 см3 раствора гидроокиси натрия концентрации точно 0,5 моль/дм3, г;
m - масса навески препарата, г;
1,51 - коэффициент пересчета молекулярной массы малеинового ангидрида на молекулярную массу фталевого ангидрида;
X2 - массовая доля малеинового ангидрида, определяемая по п.3.3, %.
За результат анализа принимают среднее арифметическое результатов трех параллельных определений, допускаемые расхождения между которыми не должны превышать 0,35% при доверительной вероятности P=0,95.
При разногласиях в оценке массовой доли фталевого ангидрида анализ проводят методом прямого титрования.
3.2.2.1.-3.2.2.3. (Измененная редакция, Изм. N 2).
3.3. Определение массовой доли малеинового ангидрида
3.3.1. Полярографический метод
3.3.1.1. Аппаратура, реактивы и растворы
Полярограф любого типа: катод - ртутный капающий электрод;
анод - насыщенный каломельный электрод.
Азот газообразный по ГОСТ 9293-74.
Ацетон по ГОСТ 2603-79.
Вода дистиллированная по ГОСТ 6709-72-->ГОСТ 6709-72.
кислота соляная по ГОСТ 3118-77, раствор концентрации c(НСl)=0,2 моль/дм3 (0,2 н.); готовят по ГОСТ 25794.1-83.
Ангидрид малеиновый по ГОСТ 5854-78.
Раствор малеинового ангидрида массовой концентрации 0,2 мг/см3; готовят следующим образом: 0,200 г малеинового ангидрида помещают в мерную колбу вместимостью 1 дм3, растворяют в ацетоне и доводят объем раствора ацетоном до метки.
Колбы мерные 2(1)-1000-2, 1-100-2 по ГОСТ 1770-74.
Пипетки 6-2-10 и 8-2-0,1 (0,2) по ГОСТ 20292-74.
Стакан В(Н)-1-150 по ГОСТ 25336-82.
Цилиндр 1-50 по ГОСТ 1770-74.
(Измененная редакция, Изм N 2).
3.3.1.2. Подготовка к анализу
Для проведения анализа строят градуировочный график. Для этого готовят семь растворов сравнения: в семь стаканов вместимостью 150 см каждый помещают 0,5; 1,0; 2,0; 4,0; 6,0; 8,0; 10,0 см3 раствора малеинового ангидрида, что соответствует 0,1; 0,2; 0,4; 0,8; 1,2; 1,6; 2,0 мг малеинового ангидрида. Затем объем раствора в каждом стакане доводят ацетоном до 20 см3, прибавляют по 50 см3 раствора соляной кислоты, выпаривают на водяной бане до объема приблизительно 25 см3, разбавляют 20 см3 воды, количественно переносят в мерные колбы вместимостью 100 см3 каждая, доводят объем раствора водой до метки и тщательно перемешивают. Полученные растворы поочередно помещают в полярографическую ячейку, пропускают через них азот в течение 10-15 мин и снимают полярограмму в интервале потенциалов от минус 0,4 до минус 1,1 В.
Измеряют высоты волн и строят градуировочный график, откладывая на оси абсцисс массу малеинового ангидрида в миллиграммах, а на оси ординат соответствующие высоты волн в миллиметрах.
3.3.1.3. Проведение анализа
0,50 г препарата помещают в стакан вместимостью 150 см3, растворяют в 20 см3 ацетона, прибавляют 50 см3 раствора соляной кислоты и выпаривают на водяной бане до объема приблизительно 25 см3. Полученный раствор разбавляют 20 см3 воды, нагретой до 60-70 °С, количественно переносят в мерную колбу вместимостью 100 см3, прибавляют воду той же температуры до объема 90-95 см3 и перемешивают. После охлаждения объем раствора доводят водой до метки и тщательно перемешивают. Раствор помещают в полярографическую ячейку, пропускают через раствор азот в течение 10-15 мин, снимают полярограмму в интервале потенциалов от минус 0,4 до минус 1,1 В и измеряют на ней высоту волны.
Температура и быстрота образования ртутных капель должны быть во время всего определения одинаковы.
3.3.1.4. Обработка результатов
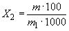
Массовую долю малеинового ангидрида (X2) в процентах вычисляют по формуле
где m - масса малеинового ангидрида, найденная по градуировочному графику, мг;
m1 - масса навески препарата, г.
За результат анализа принимают среднее арифметическое результатов двух параллельных определений, допускаемые расхождения между которыми не должны превышать 5% относительно вычисляемой концентрации при доверительной вероятности P=0,95.
3.3.1.3; 3.3.1.4. (Измененная редакция, Изм. N 2).
3.3.2. Химический метод
3.3.2.1. Аппаратура, реактивы и растворы
Калий йодистый по ГОСТ 4232-74.
Калий марганцовокислый по ГОСТ 20490-75, раствор концентрации c(1/5KMnO4)=0,1 моль/дм3 (0,1 н.); готовят по ГОСТ 25794.2-83.
Кислота серная по ГОСТ 4204-77.
натрий серноватистокислый (Тиосульфат натрия) ГОСТ 27068-86, раствор концентрации c(Na2S2O3·5H2O)=0,1 моль/дм3 (0,1 н.); готовят по ГОСТ 25794.2-83.
Бюретка 1-2-25-0,05 по ГОСТ 20292-74.
Колба Кн-1-250-29/32 по ГОСТ 25336-82.
Пипетка 6-2-10 по ГОСТ 20292-74.
Цилиндр 1-100 по ГОСТ 1770-74.
3.3.2.2. Проведение анализа
1,00 г препарата помещают в коническую колбу с притертой пробкой вместимостью 250 см3 и растворяют в 100-150 см3 воды при нагревании. После полного растворения раствор охлаждают до 50-70 °С, прибавляют 5 см3 серной кислоты, охлаждают до комнатной температуры, прибавляют из бюретки 10 см3 раствора марганцовокислого калия, постепенно в течение 3 мин при перемешивании 0,5 г йодистого калия и избыток марганцовокислого калия титруют раствором серноватистокислого натрия до обесцвечивания раствора.
Одновременно в тех же условиях проводят контрольный опыт с теми же количествами реактивов.
Препарат считают соответствующим требованиям настоящего стандарта, если разность при титровании контрольного и анализируемого растворов не будет превышать:
для препарата чистый для анализа - 1,2 см3;
для препарата чистый - 2,4 см3;
раствора серноватистокислого натрия концентрации точно 0,1 моль/дм3.
При разногласиях в оценке массовой доли малеинового ангидрида анализ проводят полярографическим методом.
3.3.2.1; 3.3.2.2. (Измененная редакция, Изм. N 2).
3.4. Определение температуры плавления проводят по ГОСТ 18995.4-73.
3.5. Определение массовой доли остатка после прокаливания
Определение проводят по ГОСТ 27184-86 в фарфоровом тигле из навески массой 20,00 г для препарата квалификации чистый для анализа и 2,00 г для препарата квалификации чистый с предварительным удалением фталевого ангидрида на песчаной бане. Прокаливание ведут при 600-700 °С.
3.6. Определение массовой доли сульфатов
Определение проводят по ГОСТ 10671.5-74. При этом 5,00 г препарата помещают в стакан вместимостью 100 см3, прибавляют 40 см3 воды и нагревают до растворения препарата. Раствор охлаждают и выдерживают в водяной бане при 10-15 °С в течение 20 мин, изредка перемешивая. Выпавшие кристаллы отфильтровывают через обеззоленный фильтр, трижды промытый горячей водой, собирая фильтрат в мерную колбу вместимостью 50 см3. Стакан и осадок на фильтре дважды промывают холодной водой, собирая промывные воды в ту же колбу, объем раствора доводят водой до метки и перемешивают. Раствор сохраняют для определения хлоридов по п.3.7.
20 см3 приготовленного раствора (соответствуют 2 г препарата) помещают в коническую колбу вместимостью 50-100 см3, прибавляют 5 см3 воды и далее определение проводят фототурбидиметрическим или визуально-нефелометрическим методом (способ 1).
Препарат считают соответствующим требованиям настоящего стандарта, если масса сульфатов не будет превышать:
для препарата чистый для анализа - 0,02 мг,
для препарата чистый - 0,10 мг.
При разногласиях в оценке содержания сульфатов анализ проводят фототурбидиметрическим методом.
3.7. Определение массовой доли хлоридов
Определение проводят по ГОСТ 10671.7-74. При этом 10 см3 раствора, приготовленного по п.3.6 (соответствуют 1 г препарата), помещают в коническую колбу вместимостью 50 см3 (с меткой на 25 см3), прибавляют 5 см3 воды и далее проводят определение фототурбидиметрическим (способ 1) или визуально-нефелометрическим (в объеме 20 см3) методом.
Препарат считают соответствующим требованиям настоящего стандарта, если масса хлоридов не будет превышать:
для препарата чистый для анализа - 0,01 мг,
для препарата чистый - 0,10 мг.
При разногласиях в оценке содержания хлоридов анализ проводят фототурбидиметрическим методом.
3.8. Определение массовой доли железа
Определение проводят по ГОСТ 10555-75. При этом 2,00 г препарата помещают в коническую колбу вместимостью 100 см3 (с меткой на 50 см3), прибавляют 20 см3 воды, 1 см3 соляной кислоты, 2 см3 раствора сульфосалициловой кислоты, перемешивают и нагревают до растворения препарата. В горячий раствор добавляют 5 см3 аммиака, тщательно перемешивают до полного растворения прилипших к стенкам колбы кристаллов, охлаждают, доводят объем раствора водой до метки, перемешивают и через 10 мин фотометрируют.
Препарат считают соответствующим требованиям настоящего стандарта, если масса железа не будет превышать:
для препарата чистый для анализа - 0,01 мг.
Допускается проводить определение из остатка после удаления фталевого ангидрида 2,2'-дипиридиловым методом с предварительным восстановлением аскорбиновой кислотой.
При разногласиях в оценке содержания железа анализ проводят сульфосалициловым методом.
3.9. Определение массовой доли тяжелых металлов
Определение проводят по ГОСТ 17319-76. При этом 2,00 г препарата квалификации чистый для анализа или 1,00 г препарата квалификации чистый помещают в фарфоровую чашку диаметром 4-5 см и нагревают на песчаной бане до полного удаления препарата. К остатку прибавляют 0,5 см3 уксусной кислоты, 5 см3 воды и выпаривают на водяной бане досуха. Сухой остаток растворяют в 10 см3 горячей воды, количественно переносят в колбу вместимостью 100 см3 с притертой или резиновой пробкой, охлаждают до комнатной температуры, доводят объем раствора водой до 30 см3 и далее определение проводят сероводородным методом.
Препарат считают соответствующим требованиям настоящего стандарта, если наблюдаемая окраска анализируемого раствора не будет интенсивнее окраски раствора, приготовленного одновременно с анализируемым и содержащего в таком же объеме:
для препарата чистый для анализа - 0,01 мг,
для препарата чистый - 0,05 мг,
1 см3 уксусной кислоты, 1 см3 раствора уксуснокислого аммония, 10 см3 сероводородной воды.
3.5.-3.9. (Измененная редакция, Изм. N 2).
4. УПАКОВКА, МАРКИРОВКА, ТРАНСПОРТИРОВАНИЕ И ХРАНЕНИЕ
4.1. Препарат упаковывают и маркируют в соответствии с ГОСТ 3885-73-->ГОСТ 3885-73.
Вид и тип тары: 2-1, 2-2, 2-4, 2-9.
Группа фасовки: III, IV, V.
(Измененная редакция, Изм. N 1).
На тару наносят знак опасности по ГОСТ 19433-88 (класс 8, подкласс 8.1, черт.8, классификационный шифр 8313, серийный номер ООН 2214).
(Поправка. ИУС N 3-90).
4.2. Препарат перевозят всеми видами транспорта в соответствии с правилами перевозки грузов, действующими на данном виде транспорта.
4.3. Препарат хранят в упаковке изготовителя в крытых складских помещениях.
5. ГАРАНТИИ ИЗГОТОВИТЕЛЯ
5.1. Изготовитель гарантирует соответствие фталевого ангидрида требованиям настоящего стандарта при соблюдении условий транспортирования и хранения.
(Измененная редакция, Изм. N 2).
5.2. Гарантийный срок хранения фталевого ангидрида - два месяца со дня изготовления в таре 2-1, 2-2, 2-9 и шесть месяцев - в таре 2-4.
(Измененная редакция, Изм. N 1, 2).
6. ТРЕБОВАНИЯ БЕЗОПАСНОСТИ
6.1. Фталевый ангидрид - горючее вещество. Пыль его, взвешенная в воздухе, взрывоопасна. Нижний предел взрываемости пыли 12,6 г/м3. Осевшая пыль пожароопасна. Температура воспламенения аэрозоля 160 °С, температура самовоспламенения аэрозоля 545 °С. Минимальная объемная доля кислорода для горения 14%.
Для тушения применяют распыленную воду или воздушно-механическую пену.
6.2. Фталевый ангидрид относится к высоко опасным соединениям. Предельно допустимая концентрация (ПДК) фталевого ангидрида в воздухе рабочей зоны 1 мг/м3. Пары и пыль фталевого ангидрида при превышении ПДК вызывают сильное раздражение слизистых оболочек глаз, верхних дыхательных путей, кожных покровов. При длительном контакте возможны головная боль, головокружение, снижение кровяного давления.
6.3. При работе с фталевым ангидридом необходимо обеспечить герметизацию аппаратуры, механизацию отгрузки, общеобменную, а в местах возможного пыления и местную вытяжную вентиляцию.
6.4. При отборе проб, анализе и применении фталевого ангидрида необходимо применять индивидуальные средства защиты: противопылевые респираторы, очки, резиновые перчатки, спецодежду, а также соблюдать правила личной гигиены.
Все лабораторные работы следует проводить в вытяжном шкафу.
официальное издание
М.: Издательство стандартов, 1988