1-окси-2-нафтойная кислота техническая ГОСТ 18911-73
1-окси-2-нафтойная кислота техническая. Технические условия (с Изменениями N 1, 2, 3) ГОСТ 18911-73
ГОСТ 18911-73*
Группа Л21
ГОСУДАРСТВЕННЫЙ СТАНДАРТ СОЮЗА ССР
КИСЛОТА 1-ОКСИ-2-НАФТОЙНАЯ ТЕХНИЧЕСКАЯ
Технические условия
Technical 1-naphthol-2-carboxylic acid. Specifications
ОКП 24 7785 0000
Дата введения 1974-07-01
Постановлением Государственного комитета стандартов Совета Министров СССР от 21 июня 1973 г. N 1528 срок введения установлен c 01.07.74
Проверен в 1985 г. Постановлением Госстандарта от 26.09.85 N 3081 срок действия продлен до 01.07.91**
________________
** Ограничение срока действия снято по протоколу N 5-94 Межгосударственного Совета по стандартизации, метрологии и сертификации. (ИУС N 11/12, 1994 год). - Примечание изготовителя базы данных.
* ПЕРЕИЗДАНИЕ (ноябрь 1986 г.) с Изменениями N 1, 2, утвержденными в феврале 1981 г., сентябре 1985 г. (ИУС 5-81, 12-85).
ВНЕСЕНО Изменение N 3, утвержденное и введенное в действие с 01.07.91 постановлением Госстандарта СССР от 27.09.90 N 2568
Изменение N 3 внесено изготовителем базы данных по тексту ИУС N 12, 1990 год
Настоящий стандарт распространяется на техническую 1-окси-2-нафтойную кислоту.
Формулы:
эмпирическая C11H8O3
структурная
Молекулярная масса (по международным атомным массам 1971 г.) - 188,18.
(Измененная редакция, Изм. N 2, 3).
1. ТЕХНИЧЕСКИЕ ТРЕБОВАНИЯ
1.1а. Техническая 1-окси-2-нафтойная кислота должна изготовляться в соответствии с требованиями настоящего стандарта по технологическому регламенту, утвержденному в установленном порядке.
(Введен дополнительно, Изм. N 2).
1.1. По физико-химическим показателям техническая 1-окси-2-нафтойная кислота должна соответствовать требованиям и нормам, указанным в таблице.
|
Наименование показателя |
Норма |
|
1. Внешний вид |
Паста от серого до розового цвета |
|
2. Массовая доля 1-окси-2-нафтойной кислоты в высушенном продукте, %, не менее |
99 |
|
3. Температура начала плавления высушенного продукта, °С, не ниже |
192,0 |
|
4. Массовая доля воды, %, не более |
50 |
|
5. Массовая доля остатка, нерастворимого в растворе кислого углекислого натрия (в том числе смолистых веществ) в высушенном продукте, %, не более |
0,5 |
|
6. Массовая доля 1-нафтола в высушенном продукте, %, не более |
0,4 |
(Измененная редакция, Изм. N 3).
2. ПРАВИЛА ПРИЕМКИ
2.1. Правила приемки - по ГОСТ 6732.1-89.
(Измененная редакция, Изм. N 1, 3).
2.2, 2.3. (Исключены, Изм. N 1).
3. МЕТОДЫ АНАЛИЗА
3.1. Метод отбора проб - по ГОСТ 6732.2-89.
Масса средней лабораторной пробы должна быть не менее 500 г.
(Измененная редакция, Изм. N 3).
3.2. (Исключен, Изм. N 1).
3.3а. Общие указания по проведению анализа - по ГОСТ 27025-86.
При взвешивании применяют лабораторные весы общего назначения с наибольшим пределам взвешивания 200 г и погрешностью ±0,7500 мг.
Допускается применение других средств измерения с метрологическими характеристиками и оборудования с техническими характеристиками не хуже, а также реактивов по качеству не ниже указанных в настоящем стандарте.
(Введен дополнительно, Изм. N 3).
3.3. Перед каждым анализом пробу продукта тщательно перемешивают.
Для определения массовой доли 1-окси-2-нафтойной кислоты, температуры начала плавления, массовой доли остатка, нерастворимого в растворе кислого углекислого натрия (в том числе смолистых веществ), и массовой доли 1-нафтола около 30,00 г анализируемой 1-окси-2-нафтойной кислоты предварительно высушивают в сушильном шкафу при температуре 50-60 °С до постоянной массы. Высушенный продукт растирают в ступке и переносят в чистую сухую стеклянную банку с притертой пробкой
(Измененная редакция, Изм. N 3).
3.4. Внешний вид продукта определяют визуально
3.5. Массовая доля 1-окси-2-нафтойной кислоты в высушенном продукте
(Измененная редакция, Изм. N 3).
3.5.1. Аппаратура, реактивы и растворы
Колбы конические по ГОСТ 25336-82 вместимостью 250 см3.
Колба 2-500-1 по ГОСТ 1770-74.
Бюретка 3-2-50-0,1 по ГОСТ 20292-74*.
________________
* На территории Российской Федерации действуют ГОСТ 29169-91, ГОСТ 29227-91-ГОСТ 29229-91, ГОСТ 29251-91-ГОСТ 29253-91, здесь и далее по тексту. - Примечание изготовителя базы данных.
Стаканчик для взвешивания СВ-14/8 (19/9) по ГОСТ 25336-82.
Спирт этиловый ректификованный технический по ГОСТ 18300-87 нейтральный по 1-нафтолфталеину.
1-Нафтолфталеин (индикатор), раствор с массовой долей 0,1% в растворе этилового спирта с массовой долей 50%.
Натрия гидроокись по ГОСТ 4328-77, раствор концентрации c(NaOH)=0,1 моль/дм3 (0,1 н.); готовят из раствора с массовой долей 50%, не содержащего карбонатов и приготовленного по ГОСТ 4517-87.
Кислота фталевая по ГОСТ 4556-78, дважды перекристаллизованная из воды и высушенная при 100-105 °С до постоянной массы.
Вода дистиллированная по ГОСТ 6709-72-->ГОСТ 6709-72.
3.5.2. Определение коэффициента поправки раствора гидроокиси натрия концентрации 0,1 моль/дм3
Около 0,2000 г перекристаллизованной фталевой кислоты растворяют в 50 см3 свежепрокипяченной дистиллированной воды при температуре 60-70 °С, тщательно перемешивают, охлаждают до температуры (20±2) °С и титруют раствором гидроокиси натрия в присутствии раствора 1-нафтолфталеина до перехода окраски раствора в сине-зеленую.
Коэффициент поправки (K) раствора гидроокиси натрия концентрации 0,1 моль/дм3 вычисляют по формуле
где m - масса навески фталевой кислоты, г;
V - объем раствора гидроокиси натрия концентрации 0,1 моль/дм3, израсходованный на титрование, см3;
0,00831 - масса фталевой кислоты, соответствующая 1 см3 раствора гидроокиси натрия концентрации точно 0,1 моль/дм3, г.
За результат анализа принимают среднее арифметическое результатов трех параллельных определений, расхождение между наиболее отличающимися значениями которых не превышает допускаемое расхождение, равное 0,002.
3.5.1, 3.5.2. (Измененная редакция, Изм. N 2, 3).
3.5.3. Проведение анализа
Около 0,5000 г анализируемой 1-окси-2-нафтойной кислоты, высушенной по п.3.3, помещают в коническую колбу, растворяют в 100 см3 этилового спирта и титруют раствором гидроокиси натрия до перехода окраски раствора в сине-зеленую в присутствии 1-нафтолфталеина, 1 см3 которого вносят после прибавления (85±5)% рассчитанного объема гидроокиси натрия.
(Измененная редакция, Изм. N 3).
3.5.4. Обработка результатов
Массовую долю 1-окси-2-нафтойной кислоты в высушенном продукте (X) в процентах вычисляют по формуле
где V - объем раствора гидроокиси натрия, израсходованный на титрование, см3;
K - коэффициент поправки раствора гидроокиси натрия концентрации 0,1 моль/дм3;
0,018818 - масса 1-окси-2-нафтойной кислоты, соответствующая 1 см3 раствора гидроокиси натрия концентрации точно 0,1 моль/дм3, г;
m - масса навески продукта, г.
За результат анализа принимают среднее арифметическое результатов двух параллельных определений, абсолютное расхождение между которыми не превышает допускаемое расхождение, равное 0,3%.
Допускаемая абсолютная суммарная погрешность результата анализа ±0,4% при доверительной вероятности P=0,95.
(Измененная редакция, Изм. N 2, 3).
3.6. Температуру начала плавления 1-окси-2-нафтойной кислоты, высушенной по п.3.3, определяют по ГОСТ 18995.4-73 капиллярным методом на приборе типа ПТП в капилляре, запаянном с обоих концов.
Скорость нагревания в интервале последних температур от 15 до 20 °С должна составлять (3,5±0,5) °С в минуту.
3.7. Массовую долю воды определяют отгонкой с органическим растворителем по ГОСТ 14870-77, при этом масса навески 1-окси-2-нафтойной кислоты должна быть около 10,00 г.
3.6, 3.7. (Измененная редакция, Изм. N 2, 3).
3.8. Определение массовой доли остатка, нерастворимого в растворе кислого углекислого натрия (в том числе смолистых веществ) в высушенном продукте
3.8.1. Аппаратура, реактивы и растворы
Воронка ВФ-1-40-ПОР 40 ХС по ГОСТ 25336-82.
Стакан В-1-600 ТС (ТХС) по ГОСТ 25336-82.
Цилиндр 1-500 по ГОСТ 1770-74.
Стаканчик для взвешивания СВ-14/8 (19/9, 24/10) по ГОСТ 25336-82.
Воронка Бюхнера 2 (3) по ГОСТ 9147-80.
Колба Кн-1(2)-500 по ГОСТ 25336-82.
Воронка В-36(56)-80 ХС по ГОСТ 25336-82.
Натрий углекислый кислый по ГОСТ 4201-79, х.ч., раствор с массовой долей 5%.
Бумага бриллиантовая желтая.
Фильтр обеззоленный "белая лента".
Вода дистиллированная по ГОСТ 6709-72-->ГОСТ 6709-72.
(Измененная редакция, Изм. N 2, 3).
3.8.2. Проведение анализа
Около 3,0000 г анализируемой 1-окси-2-нафтойной кислоты, высушенной по п.3.3, помещают в стакан и растирают до однородной массы с 1-2 см3 раствора кислого углекислого натрия, взятого из общего объема 300 см3, отмеренного цилиндром. Затем в стакан приливают оставшуюся часть раствора двууглекислого натрия, нагревают до 30-35 °С на водяной бане и выдерживают при этой температуре при перемешивании до полного растворения продукта.
Раствор охлаждают до (20±2) °C и сразу же фильтруют через обеззоленный фильтр "белая лента" диаметром 12,5 см, предварительно высушенный в стаканчике для взвешивания до постоянной массы при температуре (60±2) °С и вложенный в лабораторную воронку или через фильтрующую воронку с вложенным обеззоленным фильтром "белая лента", вырезанным по размеру пластинки, также высушенными до постоянной массы при температуре (60±2) °С, или фильтруют на воронке Бюхнера через обеззоленный фильтр "белая лента", предварительно высушенный в стаканчике для взвешивания до постоянной массы при температуре (60±2) °С. Перед фильтрованием раствора на воронке Бюхнера под этот фильтр вкладывают другой, который не сушат и не взвешивают.
Остаток на фильтре промывают в несколько приемов 25 см3 раствора двууглекислого натрия, а затем дистиллированной водой до отсутствия щелочной реакции по бриллиантовой желтой бумаге.
Фильтр с осадком помещают в тот же стаканчик для взвешивания, сушат при температуре (60±2) °С до постоянной массы и взвешивают. Результаты всех взвешиваний в граммах записывают с точностью до четвертого десятичного знака.
3.8.3. Обработка результатов
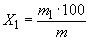
Массовую долю остатка, нерастворимого в растворе кислого углекислого натрия (в том числе смолистых веществ), в высушенном продукте (X1) в процентах вычисляют по формуле
где m - масса навески продукта, г;
m1 - масса высушенного остатка, г.
За результат анализа принимают среднее арифметическое результатов двух параллельных определений, абсолютное расхождение между которыми не превышает допускаемое расхождение равное 0,04%.
Допускаемая относительная суммарная погрешность результата анализа ±39% при доверительной вероятности 0,95.
3.8.2, 3.8.3. (Измененная редакция, Изм. N 2, 3).
3.9. Определение массовой доли 1-нафтола в высушенном продукте
(Измененная редакция, Изм. N 2).
3.9.1. Аппаратура, реактивы и растворы
Хроматографическая камера любого типа.
Пластинки силуфол для тонкослойной хроматографии.
Колбы 1(2)-25-2, 1(2)-50-2 по ГОСТ 1770-74.
Цилиндры 1-10 или 3-10 и 1-100 или 3-100 по ГОСТ 1770-74.
Пипетки 7-2-10 или 7-1-10 по ГОСТ 20292-74*.
________________
* На территории Российской Федерации действуют ГОСТ 29169-91, ГОСТ 29227-91-ГОСТ 29229-91, ГОСТ 29251-91-ГОСТ 29253-91. - Примечание изготовителя базы данных.
Стакан по ГОСТ 25336-82 вместимостью 250 см3.
Микрошприц МШ-10.
Стаканчик для взвешивания СВ-14/8 (19/9) по ГОСТ 25336-82.
4-нитродиазобензол, раствор концентрации 0,1 моль/дм3; готовят по п.3.9.2.1.
1-Нафтол, ч.д.а.
кислота соляная по ГОСТ 3118-77, х.ч., концентрированная и раствор с массовой долей 20%.
Натрий уксуснокислый 3-водный по ГОСТ 199-78, х.ч.
Спирт этиловый ректификованный технический по ГОСТ 18300-87.
Вода дистиллированная по ГОСТ 6709-72-->ГОСТ 6709-72.
Хлороформ по ГОСТ 20015-88, высший сорт.
Бумага индикаторная универсальная.
(Измененная редакция, Изм. N 2, 3).
3.9.2. Подготовка к анализу
(Измененная редакция, Изм. N 2).
3.9.2.1. Приготовление раствора 4-нитродиазобензола
Раствор 4-нитродиазобензола концентрации 0,1 моль/дм3 готовят из 4-нитроанилина по ГОСТ 16923-83. Полученный раствор разбавляют ледяной водой в десять раз.
Приготовленный раствор хранят в темном месте при температуре не выше 10 °С (устойчив в течение 8 ч).
Перед использованием 5-10 см3 раствора нейтрализуют уксуснокислым натрием до pH=6-7 по универсальной индикаторной бумаге.
Нейтрализованный раствор 4-нитродиазобензола используют сразу же после приготовления.
3.9.2.2. Приготовление растворов сравнения 1-нафтола
Точно 0,2000 г 1-нафтола количественно переносят спиртом в мерную колбу вместимостью 50 см3, растворяют в спирте, затем объем раствора в колбе доводят спиртом до метки и тщательно перемешивают. Раствор устойчив в течение месяца.
В три мерные колбы вместимостью 50 см3 вносят пипеткой последовательно 3,0; 4,0; 5,0 см3 приготовленного раствора 1-нафтола, объем раствора в колбах доводят спиртом до метки и тщательно перемешивают. Получают растворы сравнения с массовой долей 1-нафтола 0,3; 0,4; 0,5% относительно массовой доли анализируемой 1-окси-2-нафтойной кислоты в условиях определения.
Растворы сравнения устойчивы в течение 10 сут.
3.9.3. Проведение анализа
Точно 1,0000 г анализируемой 1-окси-2-нафтойной кислоты, высушенной по п.3.3, количественно переносят в мерную колбу вместимостью 25 см3, растворяют в спирте, затем объем раствора в колбе доводят спиртом до метки и тщательно перемешивают.
На пластинке силуфол на расстоянии 15 мм от нижнего края проводят графитовым карандашом линию старта. Затем на линию старта микрошприцем наносят по 1 мм3 приготовленных растворов сравнения и 2 мм3 анализируемого раствора 1-окси-2-нафтойной кислоты. Анализируемый раствор наносят порциями по 1 мм3, причем вторую порцию наносят в центр пятна, образуемого первой, после подсушивания его на воздухе в течение 1-2 с.
Пластинку подсушивают на воздухе в течение 5 мин и устанавливают в хроматографическую камеру в наклонном положении так, чтобы нижний край пластинки погрузился в растворитель (хлороформ) на глубину 5 мм. Объем растворителя 40-50 см3. Хроматографическую камеру закрывают.
После того как растворитель достигнет верхнего края пластинки, ее вынимают, сушат на воздухе в течение 3-4 мин и опрыскивают нейтрализованным раствором 4-нитродиазобензола, приготовленным по п.3.9.2.1. При этом на хроматограмме проявляется 1-нафтол в виде пятен желтого цвета.
Интенсивность окраски пятна 1-нафтола в анализируемой пробе не должна превышать интенсивность окраски пятна, образуемого средним раствором сравнения.
3.9.2.1, 3.9.2.2, 3.9.3. (Измененная редакция, Изм. N 2, 3).
3.9.4-3.9.6. (Исключены, Изм. N 2).
4. УПАКОВКА, МАРКИРОВКА, ТРАНСПОРТИРОВАНИЕ И ХРАНЕНИЕ
4.1. Упаковка - по ГОСТ 6732.3-89.
Техническую 1-окси-2-нафтойную кислоту упаковывают в деревянные заливные бочки (ГОСТ 8777-80) вместимостью 100 дм3.
По требованию потребителя применяют полиэтиленовый вкладыш.
(Измененная редакция, Изм. N 2, 3).
4.2. Маркировка - по ГОСТ 6732.4-89 с нанесением знака опасности по ГОСТ 19433-88 (класс 9, подкласс 9.1, чертеж 6а, классификационный шифр 9153).
(Измененная редакция, Изм. N 3).
4.3. (Исключен, Изм. N 1).
4.4. Транспортирование - по ГОСТ 6732.5-89.
(Измененная редакция, Изм. N 2, 3).
4.5. Техническую 1-окси-2-нафтойную кислоту хранят в упаковке изготовителя в закрытых складских помещениях.
(Измененная редакция, Изм. N 2).
5. ГАРАНТИИ ИЗГОТОВИТЕЛЯ
5.1. Изготовитель гарантирует соответствие технической 1-окси-2-нафтойной кислоты требованиям настоящего стандарта при соблюдении условий хранения и транспортирования.
5.2. Гарантийный срок хранения технической 1-окси-2-нафтойной кислоты - один год со дня изготовления.
5.1, 5.2. (Измененная редакция, Изм. N 2).
6. ТРЕБОВАНИЯ БЕЗОПАСНОСТИ И ПРОИЗВОДСТВЕННОЙ САНИТАРИИ
6.1. Водная паста 1-окси-2-нафтойной кислоты пожаровзрывобезопасна. Не допускать высыхания пасты.
6.2. Техническая 1-окси-2-нафтойная кислота - умеренно опасное вещество (3-й класс опасности по ГОСТ 12.1.007-76). Оказывает раздражающее действие на кожу и слизистые оболочки глаз и верхних дыхательных путей.
При работе с технической 1-окси-2-нафтойной кислотой следует не допускать попадания ее в органы дыхания, пищеварения и на слизистые оболочки глаз. Производственные и вспомогательные помещения должны быть обеспечены общеобменной приточно-вытяжной вентиляцией.
В местах возможного выделения паров продукта должны быть оборудованы местные вентиляционные отсосы.
Технологический процесс должен быть механизирован, а оборудование герметизировано. Необходимо ежесменно проводить влажную уборку помещения.
Способ утилизации - сжигание.
(Измененная редакция, Изм. N 2, 3).
6.3. При работе с технической 1-окси-2-нафтойной кислотой необходимо применять средства индивидуальной защиты.
(Введен дополнительно, Изм. N 3).
официальное издание
М.: Издательство стандартов, 1987