Новости Нефтегазовая пром.
Выставки Наука и технология


Магнезия жженая техническая ГОСТ 844-79

магнезия жженая техническая. Технические условия (с Изменениями N 1, 2, 3, 4) ГОСТ 844-79


ГОСТ 844-79

Группа Л13

     
     
ГОСУДАРСТВЕННЫЙ СТАНДАРТ СОЮЗА ССР

     
     
магнезия жженая ТЕХНИЧЕСКАЯ 

Технические условия

     
Technical burnt magnesia. 
Specifications



ОКП 21 2323

Дата введения 1981-01-01

     
ИНФОРМАЦИОННЫЕ ДАННЫЕ

1. РАЗРАБОТАН И ВНЕСЕН Министерством химической промышленности СССР

РАЗРАБОТЧИКИ

Г.В.Погорельская, Е.П.Черемухин, Б.А.Шойхет

2. УТВЕРЖДЕН И ВВЕДЕН В ДЕЙСТВИЕ Постановлением Государственного комитета СССР по стандартам от 14.11.79 N 4336

3. ВЗАМЕН ГОСТ 844-73

4. ССЫЛОЧНЫЕ НОРМАТИВНО-ТЕХНИЧЕСКИЕ ДОКУМЕНТЫ

Обозначение НТД, на который дана ссылка

Номер пункта, подпункта

ГОСТ 12.1.005-88

2.2

ГОСТ 12.1.007-76

2.2

ГОСТ 12.4.028-76

2.3

ГОСТ 22-94

4.4.1

ГОСТ 1277-75

4.7.1, 4.8.1, 4.9.1а, 4.10.1

ГОСТ 1770-74

4.9.1а, 4.13.1

ГОСТ 2226-88

5.1

ГОСТ 3118-77

4.4.1, 4.6.1, 4.7.1, 4.8.1

ГОСТ 3760-79

4.4.1, 4.6.1, 4.8.1

ГОСТ 3773-72

4.4.1

ГОСТ 4108-72

4.8.1, 4.10.1

ГОСТ 4139-75

4.9.1а

ГОСТ 4146-74

4.10.1

ГОСТ 4159-79

4.13.1

ГОСТ 4202-75

4.10.1

ГОСТ 4204-77

4.6.1, 4.10.1

ГОСТ 4212-76

4.6.1

ГОСТ 4232-74

4.13.1

ГОСТ 4233-77

4.4.1, 4.9.1, 4.9.1а

ГОСТ 4234-77

4.4.1

ГОСТ 4328-77

4.4.1

ГОСТ 4461-77

4.9.1, 4.9.1а

ГОСТ 4478-78

4.6.1

ГОСТ 4520-78

4.9.1

ГОСТ 6613-86

1.3, 4.12.1

ГОСТ 6709-72-->ГОСТ 6709-72

4.4.1, 4.6.1, 4.7.1, 4.8.1, 4.9.1, 4.9.1а, 4.13.1

ГОСТ 9147-80

4.7.1, 4.11.1

ГОСТ 10398-76

4.4.1

ГОСТ 10652-73

4.4.1

ГОСТ 14192-96

5.2

ГОСТ 17811-78

5.1

ГОСТ 18300-87

4.4.1, 4.9.1, 4.13.1

ГОСТ 20288-74

4.9.1а, 4.13.1

ГОСТ 20478-75

4.10.1

ГОСТ 20490-75

4.10.1

ГОСТ 24104-88

4.4.1, 4.7.1, 4.9.1, 4.9.1а, 4.11.1, 4.12.1, 4.13.1

ГОСТ 24363-80

4.10.1

ГОСТ 25336-82

4.9.1а, 4.12.1, 4.13.1

ГОСТ 26726-85

4.5.2, 4.5.3

ГОСТ 27068-86

4.13.1

ГОСТ 29227-91

4.9.1а

ГОСТ 29251-91

4.4.1, 4.9.1а

5. Ограничение срока действия снято по Протоколу Межгосударственного Совета по стандартизации, метрологии и сертификации (ИУС 11-12-94)

6. ПЕРЕИЗДАНИЕ (октябрь 1997 г.) с Изменениями N 1, 2, 3, 4, утвержденными в апреле 1981 г., марте 1985 г., июне 1986 г., марте 1990 г. (ИУС 6-81, 6-85, 9-86, 7-90)

Настоящий стандарт распространяется на техническую жженую магнезию, применяемую в резинотехнической, шинной, электротехнической, химической и других отраслях промышленности. 

Формула: MgO

Молярная масса (по международным атомным массам 1977 г.) - 40,3 г/моль. 

(Измененная редакция, Изм. N 2, 4).

1. ТЕХНИЧЕСКИЕ ТРЕБОВАНИЯ

1.1. жженая магнезия должна быть изготовлена в соответствии с требованиями настоящего стандарта по технологическому регламенту, утвержденному в установленном порядке.

1.2. В зависимости от метода получения жженая магнезия должна выпускаться марок: А (активная), Б, В.

1.3. По физико-химическим показателям жженая магнезия должна соответствовать нормам, указанным в табл.1.

Таблица 1

Наименование показателя

Норма для марок

А (активная)
ОКП 21 2323 0100

Б 
ОКП 21 2323 0200

В
ОКП 21 2323 0300

1. Массовая доля окиси магния, %, не менее

90

93

90

2. Массовая доля окиси кальция, %, не более

1,5

1,2

2,5

3. Массовая доля железа в пересчете на Окись железа, %, не более

0,1

0,08

0,1

4. Массовая доля не растворимого в соляной кислоте остатка, %, не более

0,15

0,1

0,15

5. Массовая доля хлоридов в пересчете на Сl, %, не более

0,05

0,035

0,08

6. Массовая доля марганца, %, не более

0,003

0,003

0,006

7. Потери в массе при прокаливании, %, не более

7,5

5,5

7,5

8. Остаток при просеве на сите с сеткой 
N 014К (ГОСТ 6613-86), %, не более

0,1

0,005

0,1

9. Активность (йодное число), мг·экв. J/100 г MgO, не менее

75

Не нормируется

10. Насыпная плотность, г/см3, не более

0,3

0,45

0,45


Примечания:

1. Массовая доля сульфатов в пересчете на SO3 в жженой магнезии марок Б и В, полученной из сульфатного сырья, гарантируется не более 0,4 и 0,7% соответственно. Определение проводится по требованию потребителей.

2. жженая магнезия марки А, предназначенная для шинной и других отраслей промышленности, кроме резинотехнической, должна иметь активность (йодное число) 30-75 мг/экв J/100 г MgO.

1.2, 1.3. (Измененная редакция, Изм. N 4). 

1.4. (Исключен, Изм. N 4).

2. ТРЕБОВАНИЯ БЕЗОПАСНОСТИ

2.1. жженая магнезия представляет собой порошок белого цвета, нерастворимый в воде. Продукт пожаро- и взрывобезопасен.

2.2. Высокая дисперсность частиц жженой магнезии (особенно марки "активная") способствует длительному ее нахождению в виде пыли в воздухе производственных помещений, а также быстрому проникновению частиц в органы дыхания. Пыль жженой магнезии по своей вредности приравнивается к окиси цинка.

Предельно допустимая концентрация в воздухе рабочей зоны производственных помещений по ГОСТ 12.1.005 - 6 мг/м3, по степени воздействия на организм по ГОСТ 12.1.007 продукт относится к 3-му классу опасности.

2.3. Обслуживающий персонал при работе со жженой магнезией должен иметь специальную одежду, специальную обувь, респираторы по ГОСТ 12.4.028 и другие защитные приспособления в соответствии с отраслевыми нормами, утвержденными в установленном порядке.

2.2, 2.3. (Измененная редакция, Изм. N 2).

2.4. Рабочие помещения должны быть оборудованы приточно-вытяжной вентиляцией.

2.5. Подготовку проб жженой магнезии для анализа необходимо проводить в вытяжном шкафу лаборатории.

3. ПРАВИЛА ПРИЕМКИ

3.1. Жженую магнезию принимают партиями. Партией считают любое количество продукта, однородного по своим показателям качества, оформленного одним документом о качестве, но не более суточной выработки. Документ должен содержать:

наименование предприятия-изготовителя;

наименование и марку продукта;

номер партии;

дату изготовления;

массу нетто;

результаты анализа;

обозначение настоящего стандарта.

3.2. Для контроля качества жженой магнезии отбирают 5% мешков, но не менее пяти мешков при малых партиях (менее 50 мешков).

Для проверки качества жженой магнезии, находящейся на потоке, отбирают пробу массой 100-400 г от 1 т продукта.

3.3. При получении неудовлетворительных результатов анализа хотя бы по одному из показателей проводят повторный анализ по забракованному показателю на удвоенной выборке, взятой от той же партии. Результаты повторного анализа распространяются на всю партию.

3.1-3.3. (Измененная редакция, Изм. N 4).

3.4. Допускается применение импортной лабораторной посуды и приборов по классу точности и реактивов по качеству не ниже отечественных.

(Введен дополнительно, Изм. N 4).

4. МЕТОДЫ АНАЛИЗА

4.1. Точечные пробы жженой магнезии отбирают щупом, погружая его не менее чем на 2/3 глубины мешка. Масса точечной пробы не должна быть менее 50 г.

Точечные пробы продукта, находящегося на потоке, отбирают механическим или автоматическим пробоотборником или ручным способом. Масса точечной пробы от 1 т продукта должна быть не менее 100 г.

(Измененная редакция, Изм. N 4).

4.2. Отобранные точечные пробы соединяют, тщательно перемешивают и сокращают методом квартования до получения средней пробы массой не менее 400 г.

Среднюю пробу жженой магнезии помещают в чистую сухую герметически закрываемую банку или полиэтиленовый мешочек, которые плотно закрывают, завязывают.

4.3. На банку или мешочек наклеивают (вкладывают) этикетку с обозначениями: наименования предприятия-изготовителя, наименования продукта, номера партии, даты отбора пробы.

4.4. Определение массовой доли окиси магния и окиси кальция

4.4.1. Реактивы и растворы

кислота соляная по ГОСТ 3118, концентрированная и разбавленная 1:1.

Натрия гидроокись по ГОСТ 4328, раствор с массовой долей гидроокиси натрия 10%.

аммиак водный по ГОСТ 3760, концентрированный.

Натрий хлористый по ГОСТ 4233.

Соль динатриевая этилендиамин-N,N,N',N'-тетрауксусной кислоты, 2-водная (трилон б) по ГОСТ 10652, растворы концентрацией c(C10H14O8N2Na2·2H2O)=0,1 моль/дм3 (0,1 н.) и c(C10H14O8N2Na2·2H2O)=0,05 моль/дм3 (0,05 н.).

Растворы готовят по ГОСТ 10398 или из фиксанала; 0,025 н. раствор готовят разбавлением 0,05 н. раствора трилона Б и применяют для определения окиси кальция в продукте с массовой долей CaO не менее 1%.

Сахар по ГОСТ 22, раствор с массовой долей 20%.

Вода дистиллированная по ГОСТ 6709.

Индикатор кислотный хромовый темно-синий, ч.д.а. (порошок или раствор) готовят следующим образом: 0,25 г индикатора растирают в фарфоровой ступке с 25 г хлористого натрия (калия) до однородной массы; 0,5 г полученной смеси помещают в мерную колбу вместимостью 100 см3, растворяют в 10 см3 аммиачно-буферного раствора и доводят объем раствора до метки этиловым спиртом, перемешивают. Раствор сохраняется длительное время.

Буферный раствор готовят следующим образом: 5,4 г хлористого аммония растворяют в 20 см3 воды, к полученному раствору прибавляют 35 см3 аммиака и доводят объем раствора водой до 100 см3.

Аммоний хлористый по ГОСТ 3773.

Бюретка по ГОСТ 29251, вместимостью 5 и 50 см3.

Спирт этиловый ректификованный технический по ГОСТ 18300.

Калий хлористый по ГОСТ 4234.

Весы лабораторные с пределом взвешивания от 0,2 мг до 200 г по ГОСТ 24104*, класс 2.
________________
* На территории Российской Федерации действует ГОСТ 24104-2001. Здесь и далее по тексту. - Примечание изготовителя базы данных.

(Измененная редакция,Изм. N 1, 2, 4).

4.4.2. Проведение анализа

0,7-1 г жженой магнезии помещают в стакан вместимостью 250 см3, смачивают 10-15 см3 дистиллированной воды и медленно приливают 8-10 см3 соляной кислоты, разбавленной 1:1, до полного растворения магнезии; раствор нагревают до кипения, охлаждают и переносят в мерную колбу вместимостью 250 см3, разбавляют до метки водой и перемешивают.

25 см3 раствора отбирают пипеткой в коническую колбу вместимостью 500 см3, приливают 2 см3 раствора сахара, 15 см3 гидроокиси натрия и 60 см3 дистиллированной воды. После 1-2 мин перемешивания прибавляют на кончике шпателя или 3-5 капель индикатора хромового темно-синего и медленно, по каплям, из микробюретки титруют раствором трилона Б концентрации 0,05 или 0,025 моль/дм до перехода окраски из розовой в сине-сиреневую.

К этому раствору после определения окиси кальция прибавляют 5 см3 концентрированной соляной кислоты, 7,5 см3 аммиака и быстро титруют раствором трилона Б концентрации 0,1 моль/дм3 до перехода окраски из красной в сине-сиреневую.

(Измененная редакция, Изм. N2, 4).

4.4.3. Обработка результатов

4.4.3.1. Массовую долю окиси кальция (X) в процентах вычисляют по формуле где m - масса навески жженой магнезии, г;

V - объем раствора трилона Б концентрации 0,05 моль/дм3, израсходованный на титрование окиси кальция, см3;

0,001402 - масса окиси кальция, соответствующая 1 см3 раствора трилона Б концентрации точно 0,05 моль/дм3, г;

K - поправочный коэффициент раствора трилона Б концентрации 0,05 моль/дм3

За результат анализа принимают среднее арифметическое двух параллельных определений, допускаемые расхождения между которыми не должны превышать 0,1%, при доверительной вероятности P=0,95.

4.4.3.2. Массовую долю окиси магния (X1) в процентах вычисляют по формуле где V1 - объем раствора трилона Б концентрации 0,1 моль/дм3, израсходованный на титрование окиси магния, см3;

0,002016 - масса окиси магния, соответствующая 1 см3 раствора трилона Б концентрации точно 0,1 моль/дм3, г;

K - поправочный коэффициент раствора трилона Б концентрации 0,1 моль/дм3;

m - масса навески жженой магнезии, г.

За результат анализа принимают среднее арифметическое двух параллельных определений, допускаемые расхождения между которыми не должны превышать 0,4%, при доверительной вероятности P=0,95.

4.4.3.1, 4.4.3.2. (Измененная редакция, Изм. N 2).

4.5. Определение массовой доли окиси кальция - экспресс-метод

4.5.1a. Аппаратура

Весы лабораторные с пределом взвешивания от 10 мг до 100 г по ГОСТ 24104, класс 3.

(Введен дополнительно, Изм. N 2).

4.5.1. Подготовка к анализу

4.5.1.1. 0,2 г жженой магнезии помещают в стакан вместимостью 100 см3, осторожно смачивают 10-15 см3 воды, затем приливают 2 см3 соляной кислоты, разбавленной 1:1, нагревают до полного растворения магнезии, после чего количественно переносят в мерную колбу вместимостью 500 см3, доводят объем раствора до метки водой и тщательно перемешивают.

(Измененная редакция, Изм. N 2).

4.5.1.2. Приготовление растворов сравнения

Для определения массовой доли примеси кальция в окиси магния в девять мерных колб вместимостью 100 см3 помешают по 25 см3 раствора Б и объемы раствора А, указанные в табл.3.


Таблица 3

Номер раствора сравнения

Объем раствора А, см3

Введено кальция в раствор сравнения в виде добавки, мг/100 см3

Массовая доля окиси кальция в жженой магнезии, %

1

0

-

-

2

1

0,1

0,35

3

2

0,2

0,7

4

3

0,3

1,05

5

4

0,4

1,4

6

5

0,5

1,75

7

6

0,6

2,1

8

7

0,7

2,45

9

8

0,8

2,8

4.5.2. Проведение анализа - ГОСТ 26726, разд.1, 2, 4.

4.5.3. Обработка результатов - по ГОСТ 26726, разд.5. 

За результат анализа принимают среднее арифметическое результатов двух параллельных определений, допускаемые расхождения между которыми не должны превышать 20% относительно среднего результата определения вычисляемой концентрации при доверительной вероятности P=0,95.

При разногласиях в оценке массовой доли окиси кальция определение проводят по п.4.4, трилонометрическим методом.

4.5.2, 4.5.3 (Измененная редакция, Изм. N 4).

4.6. Определение массовой доли железа в пересчете на Окись железа

4.6.1. Реактивы, растворы, приборы

аммиак водный по ГОСТ 3760.

кислота соляная по ГОСТ 3118, раствор с массовой долей соляной кислоты 25%.

Кислота сульфосалициловая по ГОСТ 4478, раствор с массовой долей сульфосалициловой кислоты 10%.

Вода дистиллированная по ГОСТ 6709.

Раствор А, содержащий 1 мг Fe+3 в 1 см3; готовят по ГОСТ 4212.

Раствор Б, содержащий 0,01 мг Fe+3, готовят следующим образом: 5 см3 раствора А помещают в мерную колбу вместимостью 500 см3, доводят объем раствора до метки раствором серной кислоты концентрации 0,01 моль/дм3, тщательно перемешивают, раствор годен в течение суток.

Кислота серная по ГОСТ 4204, раствор концентрации c(1/2H2SO4)=0,01 моль/дм3 (0,01 н.).

Фотоэлектроколориметр типа ФЭК-56 (или других марок).

(Измененная редакция, Изм. N 1, 2, 4).

4.6.2. Подготовка к анализу

4.6.2.1. Построение градуировочного графика

В мерные колбы вместимостью 100 см3 помещают из микробюретки 1,0; 2,0; 3,0; 4,0; 5,0; 6,0; 7,0; 8,0; 9,0; 10,0; 11,0; 12,0 см3 раствора Б, что соответствует 0,01; 0,02; 0,03; 0,04; 0,05; 0,06; 0,07; 0,08; 0,09; 0,10; 0,11; 0,12 мг железа.

Раствор в колбах разбавляют до 50 см3 водой, приливают по 1 см3 соляной кислоты и 5 см3 сульфосалициловой кислоты, тщательно перемешивают, после чего прибавляют по 5 смраствора аммиака, доводят объем раствора в каждой колбе до метки водой и вновь перемешивают. Одновременно готовят контрольный раствор, не содержащий железа. По истечении 10 мин измеряют оптическую плотность полученных стандартных растворов по отношению к контрольному раствору в кюветах с толщиной поглощающего свет слоя 50 мм, при длине волны 400-450 нм (синий светофильтр). По полученным данным строят градуировочный график, откладывая на оси абсцисс значения массы железа, содержащиеся в стандартных растворах в миллиграммах, а на оси ординат - соответствующие им значения оптических плотностей.

Для построения каждой точки градуировочного графика вычисляют среднее арифметическое значение оптической плотности трех параллельных определений.

4.6.3. Проведение анализа

В мерную колбу вместимостью 100 см3 отбирают пипеткой 10-25 см3 анализируемого раствора, полученного по п.4.4.2, прибавляют 1 см3 соляной кислоты, 5 смсульфосалициловой кислоты, перемешивают, затем добавляют 5 см3 раствора аммиака, доводят объем раствора до метки водой и вновь перемешивают. Через 10 мин измеряют оптическую плотность анализируемого раствора по отношению к контрольному раствору, как указано при построении градуировочного графика.

На основании полученной оптической плотности по градуировочному графику определяют массу железа в анализируемой пробе в миллиграммах.

(Измененная редакция, Изм. N 2).

4.6.4. Обработка результатов

Массовую долю железа в пересчете на Окись железа (X2) в процентах вычисляют по формуле где m1 - масса железа, найденная по градуировочному графику, мг;

1,4297 - коэффициент пересчета железа на Окись железа;

m - масса навески жженой магнезии по п.4.4.2, г;

V - объем анализируемого раствора, взятый для колориметрирования, см3

За результат анализа принимают среднее арифметическое двух параллельных определений, допускаемые расхождения между которыми не должны превышать 0,007%, при доверительной вероятности P=0,95.

(Измененная редакция, Изм. N 1).

4.7. Определение массовой доли нерастворимого в соляной кислоте остатка

4.7.1. Реактивы, растворы, посуда

кислота соляная по ГОСТ 3118, разбавленная 1:1.

Серебро азотнокислое по ГОСТ 1277, раствор с массовой долей азотнокислого серебра 1%.

Вода дистиллированная по ГОСТ 6709.

Тигель по ГОСТ 9147.

Весы лабораторные с пределом взвешивания от 0,2 мг до 200 г по ГОСТ 24104, класс 2.

4.7.2. Проведение анализа

5 г жженой магнезии помещают в стакан вместимостью 300-400 см3, смачивают 50 см3 воды и осторожно добавляют соляную кислоту до растворения жженой магнезии. Стакан накрывают часовым стеклом; содержимое его кипятят 5-10 мин, фильтруют через фильтр "белая лента" и промывают осадок водой до отрицательной реакции на ион хлора (проба с азотнокислым серебром). Фильтрат и промывные воды переводят в мерную колбу вместимостью 500 см3, доводят объем раствора водой до метки и сохраняют для определения сульфатов.

Фильтр с осадком переносят в фарфоровый тигель, озоляют и прокаливают при 800-900 °С до постоянной массы.

4.7.1, 4.7.2. (Измененная редакция, Изм. N 2, 4).

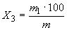
4.7.3. Обработка результатов

Массовую долю нерастворимого в соляной кислоте остатка (X3) в процентах вычисляют по формуле где m1 - масса нерастворимого остатка, г;
- масса навески жженой магнезии, г.

За результат анализа принимают среднее арифметическое двух параллельных определений, допускаемые расхождения между которыми не должны превышать 0,02%, при доверительной вероятности P=0,95.

4.8. Определение массовой доли сульфатов в пересчете на SO3

4.8.1. Реактивы и растворы

аммиак водный по ГОСТ 3760, раствор с массовой долей аммиака 10%. 

кислота соляная по ГОСТ 3118, разбавленная 1:1.

барий хлористый по ГОСТ 4108, раствор с массовой долей хлористого бария 10%. 

Метиловый красный (индикатор), спиртовой раствор с массовой долей метилового красного 0,1%.

Серебро азотнокислое по ГОСТ 1277, раствор с массовой долей азотнокислого серебра 1%. 

Вода дистиллированная по ГОСТ 6709

(Измененная редакция, Изм. N 4).

4.8.2. Проведение анализа

100 см3 фильтрата, полученного по п.4.7.2, помещают в стакан вместимостью 400 см3, нейтрализуют аммиаком по метиловому красному, добавляют 2-4 см3 соляной кислоты, раствор нагревают до кипения и осаждают сульфаты, прибавляя нагретый до кипения раствор хлористого бария (приблизительно 2 см3). Через 8 ч осадок отфильтровывают через плотный фильтр "синяя лента" и промывают горячей водой до отрицательной реакции на хлорион (проба с азотнокислым серебром).
Фильтр с осадком помешают в фарфоровый тигель, сушат, осторожно озоляют и прокаливают при 800-900 °С до постоянной массы.

(Измененная редакция, Изм. N 2).

4.8.3. Обработка результатов

Массовую долю сульфатов в пересчете на SO3 (X4) в процентах вычисляют по формуле где m1 - масса прокаленного осадка, г;

0,343 - коэффициент пересчета сернокислого бария на SO3;

m - масса навески жженой магнезии по п.4.7, г.

За результат анализа принимают среднее арифметическое двух параллельных определений, допускаемые расхождения между которыми не должны превышать 0,07%, при доверительной вероятности P=0,95.

4.9. Определение массовой доли хлоридов в пересчете на Сl

4.9.1. Реактивы и растворы

Ртуть азотнокислая окисная по ГОСТ 4520, раствор концентрации c(1/2Hg(NO3)2=0,05 моль/дм3 (0,05 н.), готовят следующим образом: 4,17 г Hg(NO3)2·0,5 H2O растворяют в воде, к которой прибавляют 10 см3 раствора с массовой долей азотной кислоты 35%, раствор разбавляют в колбе до 500 см3 водой и перемешивают, титр раствора устанавливают по 0,1 н. раствору хлористого натрия.
Кислота азотная по ГОСТ 4461, растворы концентрации c(HNO3)=0,2 и 6 моль/дм3 (0,2 и 6 н.).

Натрий хлористый по ГОСТ 4233, раствор концентрации c(NaCI)=0,1 моль/дм3 (0,1 н.).

Вода дистиллированная по ГОСТ 6709.

Спирт этиловый ректификованный технический по ГОСТ 18300.

Индикатор дифенилкарбазон.

Индикатор бромфеноловый синий.

Индикатор смешанный, готовят следующим образом: в 100 см3 этилового спирта растворяют при нагревании 1 г дифенилкарбазона и 0,05 г бромфенолового синего. Раствор хранят в склянке из темного стекла.

Весы лабораторные с пределом взвешивания от 10 мг до 100 г по ГОСТ 24104, класс 3.

(Измененная редакция, Изм.N 2, 4).

4.9.2. Проведение анализа

10 г магнезии помещают в стакан вместимостью 250 см3, приливают 100 см3 воды, нагревают и кипятят 7-10 мин, охлаждают, затем фильтруют в мерную колбу вместимостью 250 см3.

Фильтр промывают 100 см3 дистиллированной воды, доводят объем раствора до метки и тщательно перемешивают. Отбирают пипеткой 100 см3 фильтрата в коническую колбу вместимостью 250 см3, прибавляют 5-7 капель смешанного индикатора и нейтрализуют 0,2 н. раствором азотной кислоты. Кислоту прибавляют по каплям, интенсивно перемешивают раствор до перехода окраски раствора в соломенно-желтый цвет, затем приливают еще 2-2,5 см3 (для создания среды pH 1,5-2) и титруют из микробюретки 0,05 н. раствором азотнокислой окисной ртути до перехода окраски раствора из соломенно-желтого цвета в ярко-сине-сиреневый.

4.9.3. Обработка результатов

Массовую долю хлоридов в пересчете на Сl (X5) в процентах вычисляют по формуле где V - объем раствора окисной азотнокислой ртути концентрации точно 0,05 моль/дм3, израсходованный на титрование, см3;

0,001773 - масса хлорид-ионов, соответствующая 1 см3 раствора окисной азотнокислой ртути концентрации точно 0,05 моль/дм3, г;

m - масса навески жженой магнезии, г.

За результат анализа принимают среднее арифметическое двух параллельных определений, допускаемые расхождения между которыми не должны превышать 0,0005%, при доверительной вероятности P=0,95.

4.9.2, 4.9.3. (Измененная редакция, Изм. N 2).

4.9а. Определение массовой доли хлоридов в пересчете на Сl

4.9.1а. Аппаратура, реактивы и растворы

Весы лабораторные с пределом взвешивания от 10 мг до 100 г, по ГОСТ 24104, класс 3.

Стакан В-1-400 ТС по ГОСТ 25336.

Колба Кн-1-500-14/23 по ГОСТ 25336.

Воронка В-56-80 ХС по ГОСТ 25336.

Колбы 2-250-2; 1-250-2 по ГОСТ 1770.

Пипетки 2-2-10; 2-2-100 по ГОСТ 29227.

Бюретка 6-2-5 по ГОСТ 29251.

Цилиндры 1-250, 3-250 по ГОСТ 1770.

Квасцы железоаммонийные, насыщенный раствор.

Вода дистиллированная по ГОСТ 6709.

Углерод четыреххлористый по ГОСТ 20288.

Кислота азотная по ГОСТ 4461, х.ч., 35%-ный раствор.

При использовании для определения хлоридов азотной кислоты квалификаций ч. и ч.д.а. необходимо проводить холостой опыт.

Серебро азотнокислое по ГОСТ 1277, раствор концентрации c(AgNO3)=0,1 моль/дм3 (0,1 н.). Титр раствора устанавливают по 0,1 н. раствору хлористого натрия.

Калий роданистый по ГОСТ 4139, раствор концентрации c(KCNS)=0,1 моль/дм3 (0,1 н.). Титр раствора устанавливают по известной концентрации азотнокислого серебра.

Натрий хлористый по ГОСТ 4233, раствор концентрации c(NaCI)=0,1 моль/дм3 (0,1 н.).

4.9.2а. Проведение анализа

20 г жженой магнезии помещают в стакан, смачивают 30-35 см3 воды и осторожно, небольшими порциями, при перемешивании приливают 150 см3 раствора азотной кислоты до растворения жженой магнезии. После охлаждения раствор переносят в мерную колбу вместимостью 250 см3, добавляют пипеткой 10 см3 раствора азотнокислого серебра, доводят объем раствора до метки водой и перемешивают. Отбирают пипеткой 100 см3 раствора в коническую колбу, прибавляют 2 см3 четыреххлористого углерода, 1-2 см3 раствора железоаммонийных квасцов и оттитровывают избыток азотнокислого серебра при энергичном перемешивании раствором роданистого калия до розовой окраски раствора.

4.9.3а. Обработка результатов

Массовую долю хлоридов в пересчете на Cl (X`5) в процентах вычисляют по формуле где V1 - объем раствора азотнокислого серебра концентрации точно 0,1 моль/дм3, взятый на анализ, см3;

V2 - объем раствора роданистого калия концентрации точно 0,1 моль/дм3, израсходованный на титрование избытка азотнокислого серебра, см3;

0,003546 - масса хлорид-ионов, соответствующая 1 см3 раствора азотнокислого серебра концентрации точно 0,1 моль/дм3; г;

m - масса навески жженой магнезии, г.

За результат анализа принимают среднее арифметическое результатов двух параллельных определений, допускаемые расхождения между которыми не должны превышать 0,0005% при доверительной вероятности P=0,95.

Указанный метод применяется при образовании коллоидного раствора при определении хлоридов по п.

4.9.

4.9а-4.9.3а. (Введены дополнительно, Изм. N 2).

4.10. Определение массовой доли марганца

4.10.1. Реактивы, растворы, приборы

Кислота серная по ГОСТ 4204, разбавленная 1:1.

барий хлористый по ГОСТ 4108, раствор с массовой долей хлористого бария 10%.

Калия гидроокись по ГОСТ 24363, раствор с массовой долей гидроокиси калия 30%.

Серебро азотнокислое по ГОСТ 1277, раствор с массовой долей азотнокислого серебра 1%.

Калий марганцовокислый по ГОСТ 20490, раствор концентрации c(1/5KMnO4)=0,1 моль/дм(0,01 н.).

Раствор марганца, содержащий 0,01 мг Mn в 1 см3, готовят разбавлением 4,55 см3 из микробюретки точно 0,1 н. раствора марганцовокислого калия водой до 500 см3 (раствор А). Раствор должен быть свежеприготовленным.

калий йодноватокислый по ГОСТ 4202.

Калий надсернокислый по ГОСТ 4146.

Аммоний надсернокислый (персульфат) по ГОСТ 20478 или Калий йоднокислый мета (метапериодат).

Метапериодат калия готовят следующим образом: 65 г йодноватокислого калия растворяют при нагревании в 200 см3 раствора гидроокиси калия, в раствор, нагретый до кипения, вносят небольшими порциями при перемешивании 100 г надсернокислого калия, смесь кипятят 5-10 мин, охлаждают до комнатной температуры, затем раствор декантируют, кристаллы промывают водой. Промывные воды соединяют с декантированным раствором, нейтрализуют серной кислотой до нейтральной реакции до метиловому оранжевому. Выпавшие кристаллы метапериодата калия отфильтровывают, промывают ледяной водой до тех пор, пока фильтрат, подкисленный азотной кислотой, не будет образовывать с раствором азотнокислого серебра и хлористого бария только слабое помутнение. Кристаллы периодата калия сушат в фарфоровой чашке при 100-105 °С.

Вода дистиллированная по ГОСТ 6709, перегнанная с марганцовокислым калием.

Фотоэлектроколориметр типа ФЭК-56 или другой марки.

Весы лабораторные с пределом взвешивания от 10 до 100 г по ГОСТ 24104, класс 3.

(Измененная редакция, Изм. N 2, 4).

4.10.2. Подготовка к анализу

4.10.2.1. Построение градуировочного графика

Для построения градуировочного графика готовят стандартные растворы. В мерные колбы вместимостью 50 см3 при помощи микробюретки вводят соответственно 1,0; 2,0; 3,0; 4,0; 5,0; 6,0; 7,0; 8,0; 9,0; 10,0 см3 раствора А, что соответствует 0,01; 0,02; 0,03; 0,04; 0,05; 0,06; 0,07; 0,08; 0,09; 0,10 мг марганца. Объем раствора в каждой колбе доводят до метки, тщательно перемешивают и определяют оптическую плотность полученных стандартных растворов на фотоэлектроколориметре при длине волны 540 нм (зеленый светофильтр) в кюветах с толщиной поглощающего свет слоя 50 мм; раствором сравнения является Вода.

По данным значений оптических плотностей строят градуировочный график, откладывая на оси абсцисс значения содержащейся в стандартных растворах массы марганца в миллиграммах, а на оси ординат - соответствующие значения оптических плотностей.

4.10.3. Проведение анализа

Около 5 г жженой магнезии помещают в стакан вместимостью 250 см3, смачивают 50 смводы, приливают около 30 см3 серной кислоты, кипятят 1-2 мин, охлаждают, добавляют 5 смраствора азотнокислого серебра, фильтруют через двойной фильтр "синяя лента" в мерную колбу вместимостью 250 см3 и доводят до метки водой. 20-50 см3 раствора пипеткой переносят в стакан вместимостью 100 см3, добавляют 0,5 г персульфата аммония или метапериодата калия и нагревают до начала кипения, затем раствор выдерживают 3-5 мин на столе для окончательного окисления марганца. После охлаждения раствор количественно переводят в мерную колбу вместимостью 50 см3, доводят до метки водой, перемешивают и измеряют оптическую плотность на фотоэлектроколориметре при длине волны 540 нм (зеленый светофильтр) в кюветах с толщиной поглощающего свет слоя 50 мм, имея раствор сравнения, в который вводят все реактивы (за исключением раствора А).

На основании полученной оптической плотности при помощи градуировочного графика определяют массу марганца в анализируемой пробе в миллиграммах.

(Измененная редакция, Изм. N 2).

4.10.4. Обработка результатов

Массовую долю марганца (X6) в процентах вычисляют по формуле где m1 - масса марганца, найденная по градуировочному графику, мг;
m - масса навески жженой магнезии, г;

V - объем анализируемого раствора, взятый для колориметрирования, см3.

За результат анализа принимают среднее арифметическое двух параллельных определений, допускаемые расхождения между которыми не должны превышать 0,0005%, при доверительной вероятности P=0,95.

4.11. Определение потерь в массе при прокаливании

(Измененная редакция, Изм. N 2).

4.11.1. Посуда, приборы

Тигель по ГОСТ 9147.

Электропечь.

Весы лабораторные с пределом взвешивания от 0,2 мг до 200 г по ГОСТ 24104, класс 2.

(Измененная редакция, Изм. N 2, 4).

4.11.2. Проведение анализа

1 г жженой магнезии помещают в электропечь, прокаливают при 800-900 °С до постоянной массы, охлаждают и взвешивают.

4.11.3. Потери в массе при прокаливании (X7) в процентах вычисляются по формуле где m1 - масса тигля с жженой магнезией до прокаливания, г;
m2 - масса тигля с жженой магнезией после прокаливания; г;

m - масса навески жженой магнезии, г.

За результат анализа принимают среднее арифметическое двух параллельных определений, допускаемые расхождения между которыми не должны превышать 0,05%, при доверительной вероятности P=0,95.

(Измененная редакция, Изм. N 1). 

4.12. Определение остатка при просеве на сите

4.12.1. Приборы

Стаканчик для взвешивания (бюкса) по ГОСТ 25336 или стекло часовое.

Сито металлическое с сеткой N 014К по ГОСТ 6613.

Кисть щетинная N 18-20.

Кисть мягкая N 2-3.

Весы лабораторные с пределом взвешивания от 0,2 мг до 200 г по ГОСТ 24104, класс 2.

4.12.2. Проведение анализа

Около 10 г жженой магнезии помещают на сито и просеивают сначала встряхиванием, а затем при помощи кисти N 18-20. Для контроля полноты просеивания под сито подстилают лист черной бумаги. Анализ считают законченным, если после просеивания при помощи кисточки на черном листе бумаги не будет обнаружено следов продукта. Оставшиеся на сите и кисти твердые частицы количественно переносят с помощью мягкой кисти в предварительно взвешенную бюксу или часовое стекло. После этого остаток вновь просеивают через то же сито и повторяют взвешивание при соблюдении указанных условий.

4.12.1, 4.12.2. (Измененная редакция, Изм. N 2, 4).

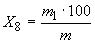
4.12.3. Обработка результатов

Массовую долю остатка при просеве на сите (X8) в процентах вычисляют по формуле где m1 - масса остатка, г;

m - масса навески жженой магнезии, г.

За результат анализа принимают среднее арифметическое двух параллельных определений, допускаемые расхождения между которыми не должны превышать величин, указанных в табл.4, при доверительной вероятности P=0,95.

Таблица 4

Остаток на сите после просева, %

Допускаемые расхождения между результатами параллельных определений, %

До 0,01

0,003

Св. 0,01 до 0,05

0,008

Св. 0,05 до 0,1

0,008

4.13. Определение активности по йодному числу

4.13.1. Реактивы и приборы

Йод по ГОСТ 4159, раствор концентрации c(1/2J2)=0,1 моль/дм3 (0,1 н.) в четыреххлористом углероде. Раствор готовят следующим образом: 6,35 г йода помещают в мерную колбу вместимостью 500 см3 и доводят объем до метки четыреххлористым углеродом. Раствор хранят в бутыли из темного стекла с притертой пробкой.

Углерод четыреххлористый по ГОСТ 20288.

натрий серноватистокислый (натрия тиосульфат) 5-водный по ГОСТ 27068, раствор концентрации c(Na2S2O3x5H2O)=0,05/дм3 (0,05 н.).
_______________
* Размерность соответствует оригиналу. - Примечание изготовителя базы данных.

Спирт этиловый ректификованный технический по ГОСТ 18300.

Калий йодистый по ГОСТ 4232 или Натрий йодистый по ГОСТ 8422, раствор готовят следующим образом: 2 г йодистого калия или йодистого натрия растворяют в 300 см3 спирта и 84 см3 воды.

Колбы конические КН-1-250 ТХС по ГОСТ 25336, обернутые в черную бумагу.

Цилиндр 2-50 по ГОСТ 1770.

Аппарат для встряхивания АВУ-1 или другого типа.

Вода дистиллированная по ГОСТ 6709.

Весы лабораторные с пределом взвешивания от 0,2 мг до 200 г по ГОСТ 24104, класс 2.

(Измененная редакция, Изм. N 1,2, 4).

4.13.2. Проведение анализа

Около 1 г жженой магнезии помещают в колбу с притертой пробкой, добавляют пипеткой 50 см3 раствора йода, колбу плотно закрывают пробкой и встряхивают на аппарате 30 мин (приблизительно 80 колебаний в минуту), затем содержимое колбы быстро переводят в цилиндр, закрывают плотно пробкой и ставят для отстаивания в темное место. После оседания частиц жженой магнезии отбирают пипеткой 10 см3 прозрачной жидкости, переносят в коническую колбу и титруют раствором тиосульфата натрия без индикатора в присутствии 20 см3 раствора йодистого калия или натрия до обесцвечивания раствора. Параллельно проводят контрольный опыт, для этого 10 см3 раствора йода титруют раствором тиосульфата натрия.

(Измененная редакция, Изм. N 2, 4).

4.13.3. Обработка результатов

Активность по йодному числу (X9) в мг-экв J/100 г MgO вычисляют по формуле где V1 - объем раствора тиосульфата натрия концентрации точно 0,05 моль/дм3, израсходованный на титрование контрольного опыта, см3;
V2 - объем раствора тиосульфата натрия концентрации точно 0,05 моль/дм3, израсходованный на титрование анализируемого раствора, см3;

0,05 - нормальность раствора тиосульфата натрия;

m - масса навески жженой магнезии, г.

За результат анализа принимают среднее арифметическое двух параллельных определений, допускаемые расхождения между которыми не должны превышать 5% относительно среднего результата определения вычисляемой концентрации при доверительной вероятности P=0,95. 

(Измененная редакция, Изм. N 2). 

4.14. Определение насыпной плотности

4.14.1. Приборы

Секундомер.

Сито с сеткой N 014К по ГОСТ 3584.

Прибор для определения насыпной плотности состоит из измерительного цилиндра и воронки, изготовленных из белой жести (см. чертеж). Воронку укрепляют на штативе и под воронкой по центру патрубка устанавливают измерительный цилиндр.


1 - измерительный цилиндр вместимостью 500 см32 - штатив; 3 - воронка


Весы лабораторные с пределом взвешивания от 10 мг до 100 г по ГОСТ 24104, класс 3.

4.14.2. Проведение анализа

Пробу жженой магнезии, предварительно просеянную через сито, возможно быстрее без разрывов насыпают в воронку, откуда продукт свободно пересыпается в измерительный цилиндр.

Общее заполнение цилиндра ведут приблизительно одну минуту.

При этом конус продукта должен быть выше стенок измерительного цилиндра. Избыток магнезии (конус) снимают линейкой и цилиндр взвешивают с погрешностью не более 0,01 г.

4.14.1, 4.14.2. (Измененная редакция, Изм. N 2).

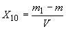
4.14.3. Насыпную плотность (X10) в г/см3 вычисляют по формуле где m1 - масса цилиндра с навеской жженой магнезии, г;
m - масса цилиндра, г;

V - объем цилиндра, см3.

За результат анализа принимают среднее арифметическое двух параллельных определений, допускаемые расхождения между которыми не должны превышать 0,02 г/см3, при доверительной вероятности P=0,95.

5. УПАКОВКА, МАРКИРОВКА, ТРАНСПОРТИРОВАНИЕ И ХРАНЕНИЕ

5.1. Жженую магнезию упаковывают в бумажные трехслойные мешки по ГОСТ 2226 марки НМ с полиэтиленовым вкладышем или ламинированные многослойные марки ПМ в полиэтиленовые мешки по ГОСТ 17811.

По согласованию с потребителем допускается упаковывать продукт в многослойные мешки по ГОСТ 2226 марки НМ, вложенные в мешки из прорезиненной ткани или пятислойные бумажные битумированные, марки БМ.

Масса нетто не более 25 кг. Допускаемое отклонение от установленной массы ±4%.

Полиэтиленовый мешок должен быть заварен, вкладыш завязан или прошит одновременно с бумажным мешком машинным способом.

Допускается в бумажном ламинированном мешке заворачивать один внутренний слой мешка в виде конверта, остальные слои перегибать и прошивать машинным способом.

5.2. Транспортная маркировка - по ГОСТ 14192 с нанесением манипуляционного знака и следующих дополнительных надписей, характеризующих продукт:

наименования продукта;

номера партии;

даты изготовления;

обозначения настоящего стандарта.

Маркировочные данные наносят на поверхность полиэтиленового мешка маркировочной машиной или приваривают к поверхности мешка полиэтиленовый ярлык с указанной маркировкой, или заваривают вместе с горловиной мешка. На бумажные мешки наклеивают ярлыки или наносят трафаретом маркировку.

Примечание. При упаковке бумажных мешков с продуктом в прорезиненные мешки вышеуказанная маркировка наносится и на внутренний мешок.

5.1, 5.2. (Измененная редакция, Изм. N 4).

5.3. Жженую магнезию, упакованную в мешки, транспортируют железнодорожным транспортом повагонными отправками или в контейнерах, а также автомобильным транспортом в соответствии с правилами перевозок, действующими на соответствующем виде транспорта.

При укрупнении грузовых мест в транспортные пакеты схемы пакетирования согласовывают в установленном порядке.

5.4. жженая магнезия должна храниться в крытых складских помещениях на стеллажах или поддонах.

6. ГАРАНТИИ ИЗГОТОВИТЕЛЯ

6.1. Изготовитель гарантирует соответствие жженой магнезии требованиям настоящего стандарта при соблюдении условий транспортирования и хранения. 

(Измененная редакция, Изм. N 2).

6.2. Гарантийный срок хранения жженой магнезии - три месяца со дня изготовления продукта.




официальное издание
М.: ИПК Издательство стандартов, 1998