Карбид кальция ГОСТ 1460-2013
карбид кальция. Технические условия ГОСТ 1460-2013
ГОСТ 1460-2013
Группа Л14
МЕЖГОСУДАРСТВЕННЫЙ СТАНДАРТ
Технические условия
Calcium carbide. Specifications
МКС 71.060.50
ОКП 21 5531
Дата введения 2015-01-01
Предисловие
Цели, основные принципы и основной порядок проведения работ по межгосударственной стандартизации установлены ГОСТ 1.0-92 "Межгосударственная система стандартизации. Основные положения" и ГОСТ 1.2-2009 "Межгосударственная система стандартизации. Стандарты межгосударственные, правила и рекомендации по межгосударственной стандартизации. Правила разработки, принятия, применения, обновления и отмены".
Сведения о стандарте:
1 РАЗРАБОТАН Обществом с ограниченной ответственностью "ЛЕННИИГИПРОХИМ"
2 ВНЕСЕН Межгосударственным техническим комитетом по стандартизации МТК 527
3 ПРИНЯТ Межгосударственным советом по стандартизации, метрологии и сертификации (протокол от 18 октября 2013 г. N 60-П)
За принятие проголосовали:
|
Краткое наименование страны по МК (ИСО 3166) 004-97 |
Код страны по |
Сокращенное наименование национального органа по стандартизации |
|
Беларусь |
BY |
Госстандарт Республики Беларусь |
|
Киргизия |
KG |
Кыргызстандарт |
|
Россия |
RU |
Росстандарт |
|
Таджикистан |
TJ |
Таджикстандарт |
|
Узбекистан |
UZ |
Узстандарт |
Приказом Федерального агентства по техническому регулированию и метрологии от 08 ноября 2013 г. N 1434-ст межгосударственный стандарт ГОСТ 1460-2013 введен в действие в качестве национального стандарта Российской Федерации с 01 января 2015 г.
4 ВЗАМЕН ГОСТ 1460-81
Информация об изменениях к настоящему стандарту публикуется в ежегодном информационном указателе "Национальные стандарты", а текст изменений и поправок - в ежемесячном информационном указателе "Национальные стандарты". В случае пересмотра (замены) или отмены настоящего стандарта соответствующее уведомление будет опубликовано в ежемесячном информационном указателе "Национальные стандарты". Соответствующая информация, уведомление и тексты размещаются также в информационной системе общего пользования - на официальном сайте Федерального агентства по техническому регулированию и метрологии в сети Интернет
1 Область применения
Настоящий стандарт распространяется на карбид кальция, предназначенный для получения ацетилена и для других целей.
карбид кальция - химическое соединение углерода с кальцием.
Формула: CaC2
Относительная молекулярная масса (по международным атомным массам, рекомендованным ИЮПАК в 2012 г.) - 64,1.
карбид кальция, в зависимости от степени его чистоты, имеет серый, коричнево-желтый или черный цвет.
2 Нормативные ссылки
В настоящем стандарте использованы ссылки на следующие межгосударственные стандарты:
ГОСТ 12.0.004-90 Система стандартов безопасности труда. Организация обучения безопасности труда. Общие положения
ГОСТ 12.1.004-91 Система стандартов безопасности труда. Пожарная безопасность. Общие требования
ГОСТ 12.1.005-88 Система стандартов безопасности труда. Общие санитарно-гигиенические требования к воздуху рабочей зоны
ГОСТ 12.1.007-76 Система стандартов безопасности труда. Вредные вещества. Классификация и общие требования безопасности
ГОСТ 12.1.019-2009* Система стандартов безопасности труда. Электробезопасность. Общие требования и номенклатура видов защиты
________________
* Вероятно, ошибка оригинала. Следует читать: ГОСТ Р 12.1.019-2009. - Примечание изготовителя базы данных.
ГОСТ 12.1.044-89 Система стандартов безопасности труда. Пожаровзрывоопасность веществ и материалов. Номенклатура показателей и методы их определения
ГОСТ 12.4.009-83 Система стандартов безопасности труда. Пожарная техника для защиты объектов. Основные виды. Размещение и обслуживание
ГОСТ 12.4.011-89 Система стандартов безопасности труда. Средства защиты работающих. Общие требования и классификация
ГОСТ 17.2.3.02-78 Охрана природы. Атмосфера. Правила установления допустимых выбросов вредных веществ промышленными предприятиями
ГОСТ 17.2.4.02-81 Охрана природы. Атмосфера. Общие требования к методам определения загрязняющих веществ
ГОСТ 195-77 Реактивы. Натрий сернистокислый. Технические условия
ГОСТ 199-78 Реактивы. Натрий уксуснокислый 3-водный. Технические условия
ГОСТ 61-75 Реактивы. Кислота уксусная. Технические условия
ГОСТ OIML R 111-1-2009 Государственная система обеспечения единства измерений. Гири классов точности Е (индекса 1), Е (индекса 2), F (индекса 1), F (индекса 2), М (индекса 1), М (индекса 1-2), М (индекса 2), М (индекса 2-3) и М (индекса 3). Часть 1. Метрологические и технические требования
ГОСТ 112-78 Термометры метеорологические стеклянные. Технические условия
ГОСТ 450-77 кальций хлористый технический. Технические условия
ГОСТ 902-76 Натрия бисульфит технический (водный раствор). Технические условия
ГОСТ 1277-75 Реактивы. Серебро азотнокислое. Технические условия
ГОСТ 1770-74 Посуда мерная лабораторная стеклянная. Цилиндры, мензурки, колбы. Общие технические условия
ГОСТ 3118-77 Реактивы. кислота соляная. Технические условия
ГОСТ 3399-76 Трубки медицинские резиновые. Технические условия
ГОСТ 3582-84 Вазелин медицинский. Технические условия
ГОСТ 3765-88* Реактивы. Аммоний молибденовокислый. Технические условия
________________
* Вероятно, ошибка оригинала. Следует читать: ГОСТ 3765-78. - Примечание изготовителя базы данных.
ГОСТ 4159-79 Реактивы. Йод. Технические условия
ГОСТ 4197-74 Реактивы. Натрий азотистокислый. Технические условия
ГОСТ 4198-75 Реактивы. калий фосфорнокислый однозамещенный. Технические условия
ГОСТ 4204-77 Реактивы. Кислота серная. Технические условия
ГОСТ 4212-76 Реактивы. Методы приготовления растворов для колориметрического и нефелометрического анализа
ГОСТ 4234-77 Реактивы. Калий хлористый. Технические условия
ГОСТ 4459-75 Реактивы. Калий хромовокислый. Технические условия
ГОСТ 4461-77 Реактивы. Кислота азотная. Технические условия
ГОСТ 4517-87 Реактивы. Методы приготовления вспомогательных реактивов и растворов, применяемых при анализе
ГОСТ 4658-73 Ртуть. Технические условия
ГОСТ 4919.1-77 Реактивы и особо чистые вещества. Методы приготовления растворов индикаторов
ГОСТ 5044-79 Барабаны стальные тонкостенные для химических продуктов. Технические условия
ГОСТ 5496-78 Трубки резиновые технические. Технические условия
ГОСТ 6102-94 Ткани асбестовые. Общие технические требования
ГОСТ 6709-72-->ГОСТ 6709-72 Вода дистиллированная. Технические условия
ГОСТ 7995-80 Краны соединительные стеклянные. Технические условия
ГОСТ 9147-80 Посуда и оборудование лабораторные фарфоровые. Технические условия
ГОСТ 9293-74 Азот газообразный и жидкий. Технические условия
ГОСТ 10163-76 Реактивы. Крахмал растворимый. Технические условия
ГОСТ 10398-76 Реактивы и особо чистые вещества. Комплексонометрический метод определения содержания основного вещества
ГОСТ 10652-73 Реактивы. Соль динатриевая этилендиамин-N,N,N',N'- тетрауксусной кислоты 2-водная (трилон б). Технические условия
ГОСТ 11683-76 Пиросульфит натрия технический. Технические условия
ГОСТ 14183-78 Стекло органическое часовое. Технические условия
ГОСТ 14192-96 Маркировка грузов
ГОСТ 14919-83 Электроплиты, электроплитки и жарочные электрошкафы бытовые. Общие технические условия
ГОСТ 15846-2002 Продукция, отправляемая в районы Крайнего Севера и приравненные к ним местности. Упаковка, маркировка, транспортирование и хранение
ГОСТ 19433-88 Грузы опасные. Классификация и маркировка
ГОСТ 20490-75 Реактивы. Калий марганцовокислый. Технические условия
ГОСТ 21650-76 Средства скрепления тарно-штучных грузов в транспортных пакетах. Общие требования
ГОСТ 24104-2001 Весы лабораторные. Общие технические требования
_______________
На территории Российской Федерации действует ГОСТ Р 53228-2008
ГОСТ 24363-80 Реактивы. Калия гидроокись. Технические условия
ГОСТ 24597-81 Пакеты тарно-штучных грузов. Основные параметры и размеры
ГОСТ 25336-82 Посуда и оборудование лабораторные стеклянные. Типы, основные параметры и размеры
ГОСТ 25664-83 Метол (4-метиламинофенол сульфат). Технические условия
ГОСТ 25794.2-83 Реактивы. Методы приготовления титрованных растворов для окислительно-восстановительного титрования
ГОСТ 25794.3-83 Реактивы. Методы приготовления титрованных растворов для титрования осаждением, неводного титрования и других методов
ГОСТ 26319-84 Грузы опасные. Упаковка
ГОСТ 26663-85 Пакеты транспортные. Формирование с применением средств пакетирования. Общие технические требования
ГОСТ 27068-86 Реактивы. натрий серноватистокислый (натрия тиосульфат) 5-водный. Технические условия
ГОСТ 28498-90 Термометры жидкостные стеклянные. Общие технические требования. Методы испытаний
ГОСТ 29151-91 Материалы тентовые с поливинилхлоридным покрытием для автотранспорта. Общие технические условия
ГОСТ 29169-91 Посуда лабораторная стеклянная. Пипетки с одной отметкой
ГОСТ 29227-91 Посуда лабораторная стеклянная. Пипетки градуированные. Часть 1. Общие требования
ГОСТ 29251-91 Посуда лабораторная стеклянная. Бюретки. Часть 1. Общие требования
ГОСТ 29329-92 Весы для статического взвешивания. Общие технические требования
_______________
На территории Российской Федерации действует ГОСТ Р 53228-2008
ГОСТ 31340-2007 Предупредительная маркировка химической продукции. Общие требования
Примечание - При пользовании настоящим стандартом целесообразно проверить действие ссылочных стандартов в информационной системе общего пользования - на официальном сайте Федерального агентства по техническому регулированию и метрологии в сети Интернет или по ежегодному информационному указателю "Национальные стандарты", который опубликован по состоянию на 1 января текущего года, и по выпускам ежемесячного информационного указателя "Национальные стандарты" за текущий год. Если ссылочный стандарт заменен (изменен), то при пользовании настоящим стандартом следует руководствоваться заменяющим (измененным) стандартом. Если ссылочный стандарт отменен без замены, то положение, в котором дана ссылка на него, применяется в части, не затрагивающей эту ссылку.
3 Термины и определения
В настоящем стандарте применены следующие термины с соответствующими определениями:
3.1 литраж (карбида кальция): Объем сухого ацетилена в дм3, выделяемый 1 кг карбида кальция, приведенный к 20°С и давлению 101325 Па (760 мм рт.ст.).
3.2 выход класса крупности (карбида кальция): Отношение массы частиц данного класса крупности к массе анализируемой пробы, выраженное в процентах.
3.3 гранулометрический состав: Характеристика состава материала по крупности, показывающая содержание в нем частиц различного размера, выраженное в процентах от взятой для анализа массы пробы.
3.4 ситовой анализ: Способ определения гранулометрического состава материала просеиванием пробы через набор сит с отверстиями различного размера.
3.5 класс крупности: Совокупность частиц, размер которых ограничивается размером отверстий сита, через которые они прошли, и размером отверстий сита, на котором они остались в результате рассева.
3.6 натуральная масса нетто: Масса поставляемого количества карбида кальция без тары и упаковки.
3.7 условная масса нетто: Отношение натуральной массы карбида кальция, умноженной на литраж карбида кальция, к условному литражу карбида кальция.
4 Технические требования
4.1 Основные показатели и/или характеристики (свойства)
карбид кальция должен быть изготовлен в соответствии с требованиями настоящего стандарта, по технологическому регламенту, утвержденному в установленном порядке.
карбид кальция выпускается высшего, первого, второго и третьего сортов.
4.1.1 По физико-химическим показателям карбид кальция должен соответствовать нормам и требованиям, указанным в таблице 1.
Таблица 1 - Технические требования к карбиду кальция
Примечания
1. Сорт 3 - изготавливают на предприятиях, оборудованных печами средней и малой мощности, работающих на природном сырье с отклонениями по химическому составу от технологического регламента, а также для предприятий, оборудованных печами с охлаждением расплава карбида кальция в охлаждающих барабанах
2. По согласованию с потребителем допускается на предприятиях, оборудованных печами с охлаждением расплава карбида кальция в охлаждающих барабанах, изготавливать карбид кальция литражом не менее 233 дм3/кг для кусков всех размеров, указанных в настоящем стандарте.
4.1.2 карбид кальция по гранулометрическому составу должен соответствовать требованиям, указанным в таблице 2.
Таблица 2 - Гранулометрический состав карбида кальция
К кускам завышенного размера относятся те, которые задерживаются на сите, отвечающему верхнему пределу данного класса крупности.
4.2 Требования к сырью, материалам, покупным изделиям
Исходным сырьем в производстве карбида кальция являются известняк, кокс и антрацит.
Требования к сырью указываются в технологическом регламенте на производство, утвержденном в установленном порядке.
4.3 Маркировка
4.3.1 Транспортная маркировка - по ГОСТ 14192 с нанесением манипуляционного знака "Герметичная упаковка"
4.3.2 Маркировка, характеризующая опасность груза, - в соответствии с правилами перевозки опасных грузов, действующими правилами на соответствующем виде транспорта. Маркировка по ГОСТ 19433: класс 4, подкласс 4.3, чертеж 4в, классификационный шифр 4312. Серийный номер ООН 1402.
4.3.3 Предупредительная маркировка по ГОСТ 31340.
4.3.4 Транспортная маркировка должна содержать:
- наименование, сорт продукции, класс крупности;
- наименование предприятия-изготовителя, его юридический адрес, товарный знак;
- номер партии;
- дату изготовления;
- массу нетто и брутто;
- обозначение настоящего стандарта.
4.3.5 При маркировке должны быть соблюдены нормы законодательства, действующего в каждом из государств-участников Соглашения и устанавливающего порядок маркирования продукции информацией на государственном языке. Особые условия маркировки могут быть оговорены в договоре поставки.
4.3.6 Маркировку карбида кальция, предназначенного для экспорта, проводят в соответствии с договором (контрактом) и по ГОСТ 14192.
4.4 Упаковка
4.4.1 Упаковка карбида кальция должна соответствовать требованиям ГОСТ 26319.
4.4.2 Упаковка, маркировка, транспортирование и хранение карбида кальция в районы Крайнего Севера и отдаленные районы должна соответствовать требованиям ГОСТ 15846.
4.4.3 Продукт, предназначенный для экспорта, упаковывают в соответствии с договором (контрактом) и по ГОСТ 26319.
4.4.4 карбид кальция упаковывают в стальные барабаны по ГОСТ 5044, всех типов герметичного исполнения вместимостью 100 дм3, или в барабаны другого типа, не уступающие по техническим требованиям.
4.4.5 Боковая поверхность барабанов должна быть гофрированной.
4.4.6 Масса нетто барабанов вместимостью 100 дм3 должна быть (110-160)±5 кг.
4.4.7 По согласованию с потребителем допускают использование специальных герметично закрывающихся контейнеров по нормативно-технической документации и соответствующих требованиям ГОСТ 26319. Контейнеры заполняют карбидом кальция при продувке свободного пространства азотом.
4.4.8 Транспортная тара - стальные или полимерные барабаны типа 1А2 или 1Н2, соответствующие требованиям ГОСТ 26319
4.4.9 Перед заполнением тара проверяется на исправность, отсутствие влаги и посторонних предметов.
4.4.10 По согласованию с потребителем карбид кальция допускают упаковывать в другие виды тары по нормативно-технической документации, соответствующие требованиям ГОСТ 26319.
5 Требования безопасности
5.1 карбид кальция по степени воздействия на организм относится к 1 классу опасности по ГОСТ 12.1.007. Пыль карбида кальция оказывает раздражающее действие на кожу, слизистые оболочки органов дыхания и глаз. Предельно-допустимая концентрация карбидной пыли в воздухе рабочей зоны производственных помещений - 10 мг/м3.
5.2 карбид кальция при взаимодействии с водой разлагается с выделением ацетилена (карбидный ацетилен) и гидроксида кальция. Реакция протекает с выделением тепла, при контакте с окислителями также выделяется ацетилен.
5.2.1 Ацетилен - газ наркотического действия. Обладает слабым токсическим действием. Предельно-допустимая концентрация в воздухе рабочей зоны производственных помещений - 500 мг/м3.
5.2.2 В карбидном ацетилене содержатся вредные компоненты - фосфин и сероводород, вызывающие отравления.
Фосфин - газ, относится к 1 классу опасности по ГОСТ 12.1.007. Предельно-допустимая концентрация фосфина в воздухе рабочей зоны производственных помещений - 0,1 мг/м3.
Сероводород - газ, относится ко 2 классу опасности (ГОСТ 12.1.007). Предельно-допустимая концентрация сероводорода в воздухе рабочей зоны производственных помещений - 10 мг/м3.
5.3 Выделяющийся из карбида кальция ацетилен является взрывоопасным газом, легко реагирует с солями серебра, меди и ртути, образуя при этом нестойкие взрывчатые ацетилениды. Максимальное давление взрыва 10,3 кг/см2. Ацетилен обладает способностью самовоспламеняться в чистом виде и в смеси с воздухом при сравнительно низких температурах. Температура самовоспламенения ацетилена 335°С.
Нижний концентрационный предел воспламенения ацетилена в воздухе при атмосферном давлении, приведенный к температуре 25°С, составляет 2,5% (объемн.).
При воздействии на карбид кальция небольшого количества воды за счет разогрева возможно воспламенение выделяющегося ацетилена. Особенно опасна в этом отношении карбидная пыль.
Ацетилен легче воздуха и может накапливаться в слабо проветриваемых помещениях в высших точках, где возможно образование воздушно-ацетиленовой смеси.
В местах возможного накопления ацетилена необходимо контролировать его содержание в воздухе приборами автоматического действия в соответствии с ГОСТ 12.1.044 или приборами ручного действия с устройствами для дистанционного отбора проб воздуха. Сигнал опасности загазованности должен подаваться при достижении объемной доли ацетилена в воздухе 20% от нижнего предела взрываемости, т.е. при объемной доле ацетилена в воздухе, равной 0,46%.
5.4 Производственные помещения, в которых проводятся работы с карбидом кальция:
- должны иметь приточную и вытяжную вентиляцию;
- электродвигатели, осветительная и другая электроаппаратура должны быть во взрывобезопасном исполнении;
- запрещается курить, включать электронагревательные приборы, проводить работы с открытым огнем.
5.5 В помещениях, где проводятся работы с карбидом кальция, и на складе должны быть вывешены на видных местах плакаты и надписи "Не курить", "Взрывоопасно", "Не пользоваться водой для тушения пожара", "Посторонним вход запрещен" и т.д.
5.6 При использовании карбида кальция запрещается сбрасывать тару с карбидом кальция при погрузке и разгрузке.
5.7 Средства индивидуальной защиты и пожаротушения
5.7.1 Производственный персонал должен быть обеспечен спецодеждой и средствами индивидуальной защиты в соответствии с ГОСТ 12.4.011.
5.7.2 При попадании карбида кальция в глаза и на кожу - промыть глаза и кожу обильным количеством воды, кожу смазать вазелиновым маслом.
5.7.3 Производственные помещения, а также рабочие места должны соответствовать требованиям пожарной безопасности по ГОСТ 12.1.004 и обеспечиваться первичными средствами пожаротушения пожарным инвентарем в соответствии с ГОСТ 12.4.009. В качестве средств пожаротушения следует использовать сухие порошковые и углекислотные огнетушители, сухой песок, асбестовое полотно по ГОСТ 6102. Запрещается тушение водой.
6 Требования охраны окружающей среды
6.1 ОБУВ ацетилена в атмосферном воздухе населенных мест - 1,5 мг/м.
_______________
В Российской Федерации действуют ГН 2.1.6.2309-07 "Атмосферный воздух и воздух закрытых помещений, санитарная охрана воздуха" [1].
6.2 Контроль сточных вод от производства карбида кальция осуществляется в соответствии с гигиеническими требованиями.
_______________
В Российской Федерации действуют СанПиН 2.1.5.980-00 "Гигиенические требования к охране поверхностных вод.
С целью охраны атмосферного воздуха от загрязнения выбросами вредных веществ должен быть организован контроль содержания предельно допустимых выбросов. Правила установления допустимых выбросов вредных веществ - по ГОСТ 17.2.3.02.
Гигиенические требования к обеспечению качества атмосферного воздуха по действующим санитарным правилам и нормам.
_______________
В Российской Федерации действуют СанПиН 2.1.6.1032-01 "Гигиенические требования к обеспечению качества атмосферного воздуха населенных мест"
Требования к методикам определения загрязняющих веществ - по ГОСТ 17.2.4.02.
6.3 Отходы от производства карбида кальция подлежат временному хранению в закрытой таре в специально оборудованном месте и дальнейшей сдаче на переработку на лицензированное предприятие в соответствии с действующими санитарными правилами и нормами.
_______________
В Российской Федерации действуют СанПиН 2.1.7.1322-03 "Гигиенические требования к размещению и обезвреживанию отходов производства и потребления".
Отходы производства карбида кальция подлежат сбору в сухую тару и направляются для уничтожения в места, согласованные с местными природоохранными и санитарными органами.
7 Правила приемки
7.1 карбид кальция принимается партиями. Партией считается количество однородного по своим показателям качества продукта в одинаковой упаковке, оформленного одним документом о качестве, но не более 120 т.
По требованию потребителя расчеты с ним могут производиться через условную массу карбида кальция. Условная масса карбида кальция представляет собой отношение натуральной массы карбида кальция умноженной на литраж карбида кальция, определенный по п.8.4 настоящего стандарта, к условному литражу карбида кальция, дм/кг. Условную массу указывают в договоре поставки.
Натуральную массу на условную, т, пересчитывают по формуле (1)
где Mусл. - условная масса карбида кальция, т;
Mнат. - натуральная масса карбида кальция, т;
X1 - литраж карбида кальция, дм3/кг;
Xусл. - условный литраж карбида кальция, дм3/кг.
Условный литраж карбида кальция принимается 250 дм3/кг.
Документ о качестве должен содержать:
- наименование предприятия-изготовителя и его товарный знак;
- наименование продукта, сорт, класс крупности;
- обозначение настоящего стандарта;
- дату изготовления продукта;
- номер партии;
- массу нетто и брутто;
- результаты проведенных анализов или подтверждение о соответствии качества продукции требованиям настоящего стандарта.
7.2 Для проверки качества продукции отбирают пробы из установленного числа неповрежденных единиц упаковки, как указано в таблице 3.
Таблица 3 - Количество отбираемых упаковочных единиц в зависимости от числа неповрежденных единиц упаковки
Если партия состоит из трех и менее упаковочных единиц, пробу отбирают из каждой упаковочной единицы.
7.3 Контроль качества карбида кальция проводят на соответствие показателям п.4.1.1 таблицы 1, п.4.1.2 таблицы 2 настоящего стандарта.
Для 1, 2, 3 сортов показатель 1 таблицы 1 - приемосдаточный, контролируется в каждой партии. Показатели 2-6 таблицы 1 - периодические, контролируются по требованию потребителя, но не реже 1 раза в месяц.
Гранулометрический состав карбида кальция для 1, 2, 3 сортов контролируется не реже 1 раза в месяц.
Для продукта высшего сорта контролируются все показатели в каждой партии.
7.4 При получении неудовлетворительных результатов анализа хотя бы по одному показателю проводят повторный анализ на удвоенной выборке. Результаты повторного анализа распространяются на всю партию.
8 Методы анализа
8.1 Общие сведения
8.1.1 В настоящем стандарте устанавливаются методики выполнения анализов по определению показателей качества карбида кальция в соответствии с разделом 4 данного стандарта.
Допускается применение других методик анализа, средств измерений, вспомогательных устройств, реактивов и материалов, метрологические и технические характеристики которых не уступают указанным в настоящем стандарте.
8.1.2 Условия проведения измерений
Измерения проводят в следующих условиях:
8.1.3 Требования к оформлению результатов измерений
Результаты измерений оформляют записью в журнале, которая должна содержать:
- дату изготовления карбида кальция;
- номер партии;
- дату выполнения измерений;
- сорт, класс крупности;
- результаты проведенных измерений;
- фамилию и подпись лица, выполняющего измерения;
- количество мест в партии;
- массу нетто.
8.1.4 Требования к квалификации лаборантов
К выполнению измерений и обработке результатов допускаются лица не моложе 18 лет, прошедшие медицинское освидетельствование и соответствующий инструктаж, и ознакомленные с нормативно-технической документацией.
8.1.5 Требования к обеспечению безопасности выполняемых работ
При выполнении анализов соблюдают следующие требования безопасности, промышленной санитарии, охраны окружающей среды:
- требования, изложенные в разделе 6 настоящего стандарта;
- электробезопасность при работе с электроустановками по ГОСТ 12.1.019;
- организация обучения работников безопасности труда по ГОСТ 12.0.004;
- помещение лаборатории должно соответствовать требованиям пожарной безопасности по ГОСТ 12.1.004 и иметь средства пожаротушения по ГОСТ 12.4.009;
- при выполнении измерений необходимо соблюдать правила техники безопасности работы в химической лаборатории;
- аппарат для определения литража (далее - литражный аппарат) должен быть установлен в помещении, в котором поддерживается постоянная, по возможности, температура, и защищен от прямого воздействия солнечных лучей;
- запрещается выпуск ацетилена из литражного аппарата в производственное помещение;
- запрещается слив шламовых вод из литражного аппарата в водопровод и канализацию.
8.2 Отбор проб
8.2.1 Из отобранных упаковочных единиц отбирают точечные пробы. Точечная проба должна состоять не менее чем из пяти кусков продукта.
8.2.2 Точечные пробы отбирают при загрузке или выгрузке, отсыпая часть материала на сухой поддон, переносным пробоотборником (алюминиевым совком) не менее трех от каждой упаковочной единицы равномерно на равных уровнях, соответствующих 1/4, 1/2, 3/4 объема упаковки.
8.2.3 Наименьшую массу точечной пробы из барабанов в зависимости от размера куска отбирают в соответствии с данными таблицы 4.
Таблица 4 - Зависимость наименьшей массы точечной пробы от крупности карбида кальция
Масса точечной пробы от крупногабаритного контейнера должна быть не менее 20 кг.
Для проверки массовой доли кусков карбида кальция различных размеров отбирают по одному-два барабана от партии, или по 5 кг от контейнеров, отобранных для проверки качества продукции.
Допускается предприятиям-изготовителям отбирать точечные пробы продукта алюминиевым совком, подставляя его в начале, середине и конце наполнения каждого десятого барабана или каждого крупногабаритного контейнера.
Открытые емкости после отбора проб следует сразу закрыть не поврежденными водонепроницаемыми крышками.
8.3 Подготовка проб для анализа
8.3.1 Отбор проб, дробление и квартование проводят в возможно короткие сроки с соблюдением правил техники безопасности.
Взвешивание проб карбида кальция массой 200 г и 2,0 кг осуществляют на лабораторных весах общего назначения среднего (III) класса точности по ГОСТ 24104 с наибольшим пределом взвешивания 500 г и 3000 г соответственно.
8.3.2 Точечные пробы из отобранных упаковочных единиц на сухом поддоне в сухом помещении объединяют, тщательно перемешивают и получают объединенную пробу.
Объединенную пробу для определения литража и примесей сокращают методом квартования до средней пробы массой 1,5-2,0 кг.
8.3.3 Среднюю пробу фракций с размерами кусков 25/50, 25/80 и 50/80 быстро дробят на куски размером не более 25 мм, отсеивают часть кусков менее 5 мм. Пробу из кусков размером 5-25 мм для определения литража карбида кальция и ферросплава помещают в герметично закрывающуюся банку. На банку наклеивают этикетку с обозначениями: наименование предприятия-изготовителя, наименование продукта, размер кусков, номер партии, дата и место отбора пробы, фамилия пробоотборщика.
8.3.4 Остаток пробы, взятой для определения литража карбида кальция, методом квартования сокращают до 200 г и помещают в герметичную сухую емкость или двойные полиэтиленовые мешочки, снабженные этикеткой (см. п.8.3.3) настоящего стандарта.
8.3.5 Для определения объемной доли фосфина, массовой доли сульфидной серы, свободного углерода и оксида кальция отбирают 80-100 г пробы и измельчают до размеров кусков не более 2 мм.
8.4 Определение литража
8.4.1 Метод измерений
Определение литража осуществляют волюмометрическим методом, основанным на взаимодействии карбида кальция с водой, в результате чего выделяется ацетилен.
![]()
Анализ заключается в измерении объема выделившегося ацетилена.
8.4.2 Нормы погрешности измерений
Допускаемая абсолютная суммарная погрешность результата анализа ±2 дм3/кг при доверительной вероятности P=0,95.
8.4.3 Средства измерений, вспомогательные устройства, материалы и реактивы:
- весы лабораторные общего назначения среднего (III) класса точности с наибольшим пределом взвешивания 1000 г по ГОСТ 24104;
- термометр жидкостный стеклянный ГОСТ 28498, заполняемая жидкость - ртуть марки Р1 или Р2 по ГОСТ 4658, предел измерения от 0 до 60°С, цена деления 1°С;
- манометр водяной U-образный, класс точности - 1,5, предел измерений от 0 до 1000 Па, цена деления 10 Па по ТУ 92-891.026-91;
- аппарат для определения литража карбида кальция (рисунок 1);
- Вода питьевая по действующим гигиеническим нормативам 1).
_______________
1) На территории Российской Федерации действуют СанПиН 2.1.4.1074-01 [6]
Аппарат для определения литража карбида представлен на рисунке 1.
Рисунок 1 - Аппарат для определения литража карбида кальция
1 - сливной патрубок; 2 - реактор; 3 - колокол; 4 - водяной затвор; 5 - перфорированный поддон; 6 - охлаждающий змеевик; 7 - заслонка; 8 - загрузочная камера; 9 - колпак; 10 - поворотное устройство; 11 - груз; 12 - штуцер для установки термометра; 13 - штуцер для подключения водяного манометра.
Рисунок 1 - Аппарат для определения литража карбида кальция
Аппарат состоит из колокола и реактора с кольцевым водяным затвором. Колокол имеет загрузочную камеру с колпаком и заслонку, управляемую поворотным устройством. Загрузочная камера и поворотное устройство имеют водяные затворы. Реактор снабжен охлаждающим змеевиком. Колокол уравновешен грузом. Аппарат имеет шкалу для измерения объема выделившегося ацетилена в дм3/кг. Разложение карбида кальция происходит на перфорированном поддоне.
Возможно использование аппаратов меньших размеров (типа Каро, Приложение А) с аналогичными техническими и метрологическими характеристиками.
8.4.4 Подготовка к выполнению измерений
Перед определением литража карбида кальция реактор и кольцевой водяной затвор при снятом колпаке загрузочной камеры и открытой заслонке заполняют питьевой водой, затем питьевой водой наполняют водяные затворы загрузочной камеры и поворотного устройства, и пускают воду в охлаждающий змеевик.
Предварительно воду в реакторе насыщают ацетиленом (для исключения потерь выделяющегося ацетилена в воду), путем последовательного разложения трех-четырех проб карбида кальция массой около 500 г каждая.
8.4.5 Выполнение измерений
От пробы, приготовленной по п.8.3.3, отбирают (500±1,0) г или (100±1,0) г (для аппаратов меньшего объема с техническими и метрологическими характеристиками, не уступающими аппарату, указанному на рисунке 1) карбида кальция (в зависимости от объема аппарата) и взвешивают на весах. Результат взвешивания записывают с точностью до одного грамма.
При снятом колпаке и закрытой заслонке в загрузочную камеру высыпают приготовленную навеску карбида кальция, затем загрузочную камеру закрывают колпаком, перекрывают выход газа в атмосферу поворотом рукоятки, отводят заслонку. карбид кальция при этом высыпают в поддон.
После прекращения разложения карбида кальция давление ацетилена под колпаком уравнивают с атмосферным давлением, путем поднятия колокола нажатием на груз до выравнивания уровней воды в трубах водяного манометра. Записывают объем, температуру газа и атмосферное давление.
По окончании испытания открывают кран для выхода газа, выпускают ацетилен, путем снятия части груза.
Воду в аппарате меняют не реже чем через 60 определений литража карбида кальция.
8.4.6 Обработка и вычисление результатов измерений
Литраж (X1) в дм3/кг вычисляют по формуле (2)
где V - объем ацетилена, измеренный по шкале аппарата, дм3;
P - атмосферное давление, Па (мм рт.ст.);
Wt - упругость паров воды при температуре t, Па (мм рт.ст.);
P0 - нормальное давление - 101325 Па (760 мм рт.ст.);
t - температура газа под колоколом к концу разложения пробы карбида кальция, °С;
293 - нормальная температура, К;
273 - поправка для пересчета температуры из °С в К;
1000 - коэффициент перевода массы навески карбида кальция в кг;
m - масса навески анализируемой пробы, г
За результат измерений принимают среднее арифметическое двух параллельных определений, допускаемые абсолютные расхождения между которыми не должны превышать 2 дм3/кг при доверительной вероятности P=0,95.
8.5 Определение объемной доли фосфина в ацетилене
8.5.1 Метод измерений
Метод измерения - фотоколориметрический, основан на предварительном разложении пробы карбида кальция дистиллированной водой, окислении образовавшегося фосфина перманганатом калия в азотнокислой среде до фосфат-иона и взаимодействии последнего с молибдатом аммония в кислой среде с образованием фосфорномолибденовой гетерополикислоты, которая восстанавливается бисульфитом натрия до фосфорномолибденового комплекса, окрашенного в синий цвет и поглощающего свет при длине (540±10) нм.



Диапазон измерений объемной доли фосфина от 0,04 до 0,1%.
Продолжительность проведения 1 измерения - 120 мин.
8.5.2 Нормы погрешности измерений
8.5.2.1 При соблюдении всех регламентированных условий и проведении измерений в точном соответствии с методикой погрешность измерений (и ее составляющих) не превышает значений, приведенных в таблице 5
Таблица 5 - Диапазон измерений, предел повторяемости, относительные значения показателей точности, повторяемости и воспроизводимости методики при доверительной вероятности P=0,95
|
Диапазон измерений объемной доли фосфина, % |
Показатель точности (границы относительной погрешности), |
Показатель повторяемости (относительное средне- |
Показатель воспроизводимости (относительное средне- |
Предел повторяемости, r, % при P=0,95, n=2 |
Критическая разность для результатов анализа, полученных в двух лабораториях CD0,95, % (n1=n2=2) |
|
От 0,04 до 0,1 |
8 |
1,5 |
2,5 |
4 |
6 |
8.5.2.2 Значение показателя точности методики используют при:
- оформлении результатов измерений, выдаваемых лабораторией;
- оценке деятельности лаборатории на качество проведения испытаний;
- оценке возможности использования результатов измерений при реализации методики выполнения измерений в лаборатории.
8.5.3 Средства измерений, вспомогательные устройства, материалы и реактивы:
- весы лабораторные общего назначения, высокого (II) класса точности, с наибольшим пределом взвешивания 200 г по ГОСТ 24104;
набор (1-100 г) F1-F2 по ГОСТ OIML R 111-1;
- весы лабораторные общего назначения, среднего (III) класса точности, с наибольшим пределом взвешивания 500 г по ГОСТ 24104;
- набор (1-200 г) M1 по ГОСТ OIML R 111-1;
- фотоколориметр КФК-2, обеспечивающий диапазон измерений коэффициента пропускания от 100% до 1% (оптическая плотность от 0 до 2) с основной абсолютной погрешностью измерений по шкале коэффициента пропускания ±1%;
- кюветы стеклянные с толщиной поглощающего слоя 30 мм;
- бюретка I-2-2-5-0,02 по ГОСТ 29251;
- цилиндры 1-10-2, 1-25-2, 1-50-2, 1-100-2 по ГОСТ 1770;
- колбы 2-100-2, 2-200-2, 2-250-2 по ГОСТ 1770;
- пипетка 1-2-2-5 по ГОСТ 29227;
- пипетка 2-2-20 по ГОСТ 29169;
- термометр ТМ1-2 по ГОСТ 112;
- секундомер по ТУ 25-1894.003 [7];
- психрометр аспирационный, диапазон измерений относительной влажности от 10 до 100% при температуре от +10° до +30°С по ТУ 25-1607.054 [8];
- барометр-анероид, цена деления 1 мм рт.ст. по ТУ 25-04-1797 [9].
- колба КРН-100 ТС по ГОСТ 25336;
- колба Кн-1-250-29/32 ТХС по ГОСТ 25336;
- склянка СН-1-100 по ГОСТ 25336;
- склянка 3-5,00 по ГОСТ 25336;
- стаканы В-1-100 ТС, В-1 -250 ТС по ГОСТ 25336;
- стаканчики СВ-14/8, СВ-24/10 по ГОСТ 25336;
- воронка ВК-50-ХС по ГОСТ 25336;
- воронка В-56-80 ХС по ГОСТ 25336;
- трубка резиновая техническая по ГОСТ 5496;
- плитка электрическая с закрытой спиралью по ГОСТ 14919;
- зажим для резиновых трубок винтовой по ТУ 64-1-964 [10].
- Натрий азотистокислый х.ч. по ГОСТ 4197;
- Аммоний молибденовокислый х.ч. по ГОСТ 3765
- Калий марганцовокислый х.ч. по ГОСТ 20490;
- калий фосфорнокислый однозамещенный х.ч. по ГОСТ 4198;
- кислота серная х.ч. по ГОСТ 4204;
- кислота азотная х.ч. по ГОСТ 4461;
- натрия бисульфит технический (водный раствор) (марка Б) по ГОСТ 902;
- Натрий сернистокислый х.ч. по ГОСТ 195;
- Натрий уксуснокислый 3-водный х.ч. по ГОСТ 199;
- натрия пиросульфит х.ч. по ГОСТ 11683;
- метол (4-метиламинофенол сульфат) х.ч. по ГОСТ 25664;
- азот газообразный по ГОСТ 9293;
- фильтр обеззоленный "Белая лента" по ТУ 2642-001-68085491 [11];
- Вода дистиллированная по ГОСТ 6709.
8.5.4 Подготовка к выполнению измерений
8.5.4.1. Приготовление раствора марганцевокислого (перманганата) калия с массовой долей 5%
Раствор марганцевокислого (перманганата) калия с массовой долей 5% готовят по ГОСТ 4517 п.2.70.
8.5.4.2 Приготовление поглотительного раствора
В стакан В-1-250 цилиндром 1-100-2 вносят 100 см3 раствора марганцевокислого (перманганата) калия, приготовленного по п.8.5.4.1, цилиндром 1-10-2 добавляют 10 см3 концентрированной азотной кислоты и перемешивают.
Раствор годен в течение длительного времени.
8.5.4.3 Приготовление раствора азотистокислого (нитрита) натрия
На весах среднего (III) класса точности в стакане В-1-100 взвешивают (20±0,01) г азотистокислого (нитрита) натрия с точностью до второго десятичного знака, цилиндром 1-100-2 приливают 80 см3 дистиллированной воды и перемешивают до полного растворения навески соли.
Раствор используют свежеприготовленным.
8.5.4.4 Приготовление раствора серной кислоты, разбавленной дистиллированной водой в объемном соотношении H2SO4:H2O=2,5:1
В стакан В-1-100 цилиндром 1-10-2 наливают 10 см3 дистиллированной воды, цилиндром 1-25-2 осторожно при перемешивании добавляют 25 см3 концентрированной серной кислоты и перемешивают.
Раствор годен в течение длительного времени.
8.5.4.5 Приготовление раствора молибденовокислого (молибдата) аммония
На весах среднего (III) класса точности в стакане В-1-250 взвешивают (10±0,01) г молибденовокислого (молибдата) аммония с точностью до второго десятичного знака, цилиндром 1-100-2 приливают 100 см3 дистиллированной воды и перемешивают. Полученный раствор количественно переносят в колбу 2-200-2, цилиндром 1-50-2 приливают 35 см3 раствора серной кислоты, приготовленного по п.8.5.4.1.4, объем в колбе доводят до метки дистиллированной водой и перемешивают.
Раствор годен в течение длительного времени.
8.5.4.6 Приготовление восстанавливающего раствора
На весах среднего (III) класса точности в стаканчиках СВ-14/8 раздельно взвешивают (0,4±0,01) г метола и (1 ±0,01) г сернистокислого (сульфита) натрия с точностью до второго десятичного знака.
На весах среднего (III) класса точности в стакане В-1-100 взвешивают (30±0,01) г пиросульфита натрия с точностью до второго десятичного знака.
В колбу 2-100-2 помещают взвешенные навески метола и сернистокислого (сульфита) натрия, цилиндром 1-25-2 приливают 20 см3 дистиллированной воды и перемешивают до полного растворения навесок. В колбу 2-100-2 с полученным раствором цилиндром 1-100-2 добавляют 60 см3 концентрированного раствора бисульфита натрия или вносят взвешенную навеску пиросульфита натрия, содержимое колбы тщательно перемешивают. Объем раствора в колбе 2-100-2 доводят до метки дистиллированной водой и снова перемешивают. При необходимости раствор фильтруют через бумажный фильтр.
Раствор хранят в склянке из темного стекла в течение длительного времени.
8.5.4.7 Приготовление раствора уксуснокислого (ацетата) натрия
На весах среднего (III) класса точности в стакане В-1-250 взвешивают (34±0,01) г уксуснокислого (ацетата) натрия с точностью до второго десятичного знака, цилиндром 1-100-2 приливают 100 см3 дистиллированной воды, перемешивают и фильтруют через бумажный фильтр.
Раствор годен в течение длительного времени. Перед применением следует убедиться в том, что внешний вид раствора не изменился.
8.5.4.8 Приготовление раствора фосфат-иона с концентрацией 1 мг/см3
Раствор фосфат-иона с концентрацией 1 мг/см3 готовят по ГОСТ 4212 п.64.
Раствор годен в течение 1 года.
8.5.4.9 Приготовление раствора фосфат-иона с концентрацией 0,1 мг/см3
В колбу 2-200-2 пипеткой 2-2-20 вводят 20 см3 раствора фосфат-иона с концентрацией 1 мг/см3, объем раствора в колбе доводят до метки дистиллированной водой и перемешивают.
Раствор годен в течение трех месяцев.
8.5.4.10 Приготовление градуировочных растворов фосфат-иона
В ряд колб 2-100-2 из бюретки вносят 0; 0,5; 1,0; 1,5; 2,0; 2,5; 3,0 см3 раствора фосфат иона с концентрацией 0,1 мг/см3, что соответствует 0; 0,05; 0,1; 0,15; 0,2; 0,25; 0,3 мг фосфат-иона. В каждую колбу 2-100-2 цилиндром 1-50-2 приливают 50 см3 дистиллированной воды, цилиндром 1-10-2 добавляют 5 см3 восстанавливающего раствора, приготовленного по п.8.5.4.6, и 10 см3 раствора молибденовокислого (молибдата) аммония, приготовленного по п.8.5.4.5, перемешивают и оставляют на 10 минут. Затем цилиндром 1-25-2 добавляют 20 см3 раствора уксуснокислого (ацетата) натрия, приготовленного по п.8.5.4.7, и перемешивают. Объем раствора в колбах 2-100-2 доводят до метки дистиллированной водой, тщательно перемешивают и оставляют на 10 мин.
Раствор в колбе 2-100-2, не содержащий раствор фосфат-иона, в дальнейшем используют как "холостой".
8.5.4.11 Приготовление контрольного раствора
В колбу Кн-1-250-29/32 цилиндром 1-100-2 вводят 60 см3 поглотительного раствора, приготовленного по п.8.5.4.2. Колбу Кн-1-250-29/32 с поглотительным раствором помещают на плитку, нагревают до кипения и кипятят 3-5 мин, после чего снимают, охлаждают до комнатной температуры и пипеткой 1-2-2-5 добавляют по каплям раствор азотистокислого (нитрита) натрия, приготовленный по п.8.5.4.3, до обесцвечивания содержимого колбы. Колбу Кн-1-250-29/32 с контрольным раствором снова помещают на плитку, нагревают до кипения и кипятят 3-5 мин, до удаления бурых паров оксидов азота, затем снимают, охлаждают до комнатной температуры и содержимое колбы количественно переносят дистиллированной водой в колбу 2-250-2. Объем раствора в колбе 2-250-2 доводят до метки дистиллированной водой и тщательно перемешивают.
В колбу 2-100-2 пипеткой 2-2-20 вводят 20 см3 приготовленного контрольного раствора, цилиндрами 1-10-2 добавляют 5 см3 восстанавливающего раствора, приготовленного по п.8.5.4.6, и 10 см3 раствора молибденовокислого (молибдата) аммония, приготовленного по п.8.5.4.5, перемешивают и оставляют на 10 мин.
Затем цилиндром 1-25-2 добавляют 20 см3 раствора уксуснокислого (ацетата) натрия, приготовленного по п.8.5.4.7, и перемешивают. Объем раствора в колбе 2-100-2 доводят до метки дистиллированной водой, тщательно перемешивают и оставляют на 10 мин.
8.5.4.12 Подготовка прибора к выполнению измерений
Подготовку и включение прибора проводят, руководствуясь указаниями, приведенными в технической документации на прибор.
При выполнении измерений используют кюветы с одной и той же толщиной поглощающего слоя.
8.5.4.13 Установление градуировочной характеристики
Градуировочные растворы, приготовленные по п.8.5.4.10, перемешивают и последовательно измеряют оптическую плотность каждого градуировочного раствора относительно холостого раствора в кюветах с толщиной поглощающего слоя 30 мм при длине волны (540±10) нм.
Готовят две новые серии градуировочных растворов по п.8.5.4.10 и измеряют их оптические плотности.
Вычисляют среднее арифметическое измеренных значений оптической плотности для каждого градуировочного раствора. Согласно полученным данным строят градуировочный график.
Проверку градуировочного графика проводят не реже одного раза в квартал, или при смене реактивов или прибора.
8.5.4.14 Контроль стабильности градуировочной характеристики
Контроль стабильности градуировочной характеристики заключается в определении параметров этой характеристики через установленные промежутки времени, сопоставлении их с первоначальными параметрами и оценки на этой основе возможности продолжения текущих измерений.
Контроль стабильности градуировочной характеристики проводят не реже одного раза в месяц, а также при смене реактивов, оборудования или изменении условий проведения измерений.
Средствами контроля являются вновь приготовленные образцы для градуировки. Для контроля стабильности применяют не менее двух средств контроля.
Градуировочную характеристику считают стабильной при выполнении для каждого образца для градуировки следующего условия:
где X - результат контрольного измерения содержания определяемого компонента в образце для градуировки, мг;
C - аттестованное значение содержания определяемого компонента в образце для градуировки, мг;
- среднеквадратическое отклонение внутрилабораторной прецизионности, установленное при реализации методики в лаборатории, соответствующее содержанию определяемого компонента в образце для градуировки.
Примечание - Допустимо среднеквадратическое отклонение внутрилабораторной прецизионности при внедрении методики в лаборатории устанавливать на основе выражения:
, с последующим уточнением по мере накопления информации в процессе контроля стабильности результатов анализа.
Установлено, что среднеквадратическое отклонение внутрилабораторной прецизионности
2%.
Если условие стабильности градуировочной характеристики не выполняется только для одного образца для градуировки, необходимо повторить измерение этого образца с целью идентификации выброса.
Если градировочная характеристика нестабильна, выясняют причины ее нестабильности и повторяют контроль с использованием других образцов для градуировки, предусмотренных методикой измерений. При повторном обнаружении нестабильности градуировочной характеристики строят новый градуировочный график.
8.5.4.15 Подготовка и сборка установки для получения ацетилена из карбида кальция (рисунок 2)
В склянки СН-1-100(3,4) цилиндром 1-50-2 наливают по 30 см3 поглотительного раствора, приготовленного по п.8.5.4.2
Собирают установку согласно рисунку 2.
Рисунок 2 - Установка для получения ацетилена из карбида кальция для определения фосфина
1 - капельная воронка ВК-50; 2 - реакционная колба КРН-100; 3, 4 - поглотительные склянки СН-1-100; 5 - ванна для охлаждения, заполненная холодной водой; 6, 7 - склянки 3-5,00
Рисунок 2 - Установка для получения ацетилена из карбида кальция для определения фосфина
8.5.4.16 Проверка установки на герметичность
Винтовым зажимом перекрывают линию подачи азота. Капельную воронку закрывают пробкой.
Склянки 3-5,00 заполняют дистиллированной водой, одну из которых закрывают пробкой со вставленным двухходовым краном и соединяют через тубусное отверстие со второй склянкой 3-5,00, установленной ниже.
К склянке СН-1-100 (4) подсоединяют первую склянку 3-5,00, подготовленную по п.8.5.4.5.2, и открывают двухходовой кран склянки 3-5,00. Если уровень воды в ней сначала опустился, а затем остался постоянным, то установка герметична. Склянки 3-5,00 отсоединяют.
8.5.4.17 Отбор и подготовка проб
Открывают винтовой зажим на линии подачи азота и продувают систему азотом 5-10 мин. Скорость подачи регулируют таким образом, чтобы за секунду через поглотительный раствор проходило два пузырька газа.
На весах высокого (II) класса точности в стаканчике СВ-24/10 взвешивают (2±0,5) г пробы с точностью до четвертого десятичного знака. Навеску помещают в реакционную колбу КРН-100 (2) установки. Стаканчик СВ-24/10 снова взвешивают с той же точностью. По разности весов находят массу пробы, взятой на анализ.
В капельную воронку ВК-50 (1) установки цилиндром 1-25-2 вносят 25 см3 дистиллированной воды. Затем открывают кран на капельной воронке ВК-50 (1) и осторожно по каплям, не прекращая подачи азота, разлагают пробу карбида кальция дистиллированной водой. Газ, прошедший через поглотительные растворы склянок СН-1-100 (3,4), выводят при помощи шланга в атмосферу вытяжного шкафа.
После полного разложения пробы карбида кальция систему продолжают продувать азотом 10-15 мин. Затем закрывают винтовой зажим на линии подачи азота и разбирают установку. Содержимое склянок СН-1-100 количественно переносят дистиллированной водой в колбу Кн-1-250-29/32.
Колбу Кн-1-250-29/32 с раствором помещают на плитку, нагревают до кипения и кипятят 3-5 мин, после чего снимают, охлаждают до комнатной температуры и пипеткой 1-2-2-5 добавляют по каплям раствор азотистокислого (нитрита) натрия, приготовленный по п.8.5.4.3, до обесцвечивания содержимого колбы. Колбу Кн-1-250-29/32 с раствором снова помещают на плитку, нагревают до кипения и кипятят 3-5 мин, до удаления бурых паров оксидов азота, затем снимают, охлаждают до комнатной температуры и содержимое колбы количественно переносят дистиллированной водой в колбу 2-250-2. Объем раствора в колбе 2-250-2 доводят до метки дистиллированной водой и тщательно перемешивают.
В колбу 2-100-2 пипеткой 2-2-20 помещают 20 см3 приготовленного раствора пробы, цилиндрами 1-10-2 добавляют 5 см3 восстанавливающего раствора, приготовленного по п.8.5.4.6, и 10 см3 раствора молибденовокислого (молибдата) аммония, приготовленного по п.8.5.4.5, перемешивают и оставляют на 10 мин. Затем цилиндром 1-25-2 добавляют 20 см3 раствора уксуснокислого (ацетата) натрия, приготовленного по п.8.5.4.7, и перемешивают. Объем раствора в колбе 2-100-2 доводят до метки дистиллированной водой, тщательно перемешивают и оставляют на 10 мин.
8.5.5 Выполнение измерений
Раствор пробы, подготовленный по п.8.5.4.17, перемешивают и измеряют оптическую плотность относительно контрольного раствора, приготовленного по 8.5.4.11, в кюветах с толщиной поглощающего слоя 30 мм при длине волны (540±10) нм.
8.5.6 Обработка и вычисление результатов измерений
Объемную долю фосфина в ацетилене, полученном из карбида кальция (X) %, вычисляют по формуле (3)
где a - масса фосфат-иона в растворе пробы, подготовленном по п.8.5.4.17, найденная по градуировочному графику, мг.
22,4 - объем, занимаемый 1 молем фосфина при нормальных условиях, дм3/моль;
250 - объем раствора пробы, подготовленного по п.8.5.4.17, см3;
0,3579 - коэффициент пересчета, учитывающий соотношение эквивалентных масс фосфина (34 г) и фосфат-иона (95 г);
1000 - коэффициент пересчета г в мг;
1000 - коэффициент пересчета кг в г.
34 - молярная масса фосфина, г/моль;
m - масса навески анализируемой пробы, г;
X1 - литраж анализируемого карбида кальция при нормальных условиях, дм3/кг;
20 - аликвотная часть раствора пробы, подготовленного по п.8.5.4.17, см3;
За результат измерений принимают среднее арифметическое (X) двух параллельных определений, расхождение между которыми не должно превышать предела повторяемости. Значение предела повторяемости (r) для двух параллельных определений приведены в таблице 5.
При превышении предела повторяемости (r) необходимо дополнительно получить еще два результата параллельных определений. Если при этом размах (Xmax-Xmin) результатов четырех параллельных определений равен или меньше предела повторяемости , то в качестве окончательного результата принимают среднее арифметическое значение результатов четырех параллельных определений. Значения предела повторяемости (r*) для четырех результатов параллельных определений приведены в таблице 5.
Если размах (Xmax-Xmin) больше r*, то за результат измерений может быть принята медиана. При четном числе вариантов медиану находят как среднее арифметическое из двух центральных величин (4)
За результат измерений принимается среднее арифметическое двух параллельных определений, допускаемое абсолютное расхождение между которыми не должно превышать 0,004% при доверительной вероятности P=0,95.
8.5.7 Оформление результатов измерений
Результат измерений в документах, предусматривающих его использование, представляют в виде:
, %; P=0,95.
Значение характеристики погрешности приведены в таблице 5.
Допустимо представлять результат в виде:
, %; P=0,95, при условии
,
где
- значение характеристики погрешности результатов измерений, установленное при реализации методики в лаборатории и обеспечиваемое контролем стабильности результатов измерений.
Примечание - Допустимо характеристику погрешности результатов измерений при внедрении методики в лаборатории устанавливать на основе выражения:
. С последующим уточнением по мере накопления информации в процессе контроля стабильности результатов измерений.
8.5а Определение объемной доли фосфористого водорода в ацетилене
8.5а.1 Реактивы, растворы и аппаратура
Кислота уксусная по ГОСТ 61, раствор с массовой долей от 80% до 90%.
Йод по ГОСТ 4159, раствор концентрации c(1/2J2)=0,01 моль/дм3 (0,01 н.), готовят по ГОСТ 25794.2.
Натрий уксуснокислый по ГОСТ 199.
натрий серноватистокислый (Тиосульфат натрия) по ГОСТ 27068, раствор концентрации 0,01 моль/дм3 (0,01 н.).
кислота соляная по ГОСТ 3118 плотностью 1,19 г/см3.
Крахмал растворимый по ГОСТ 10163, водный раствор с массовой долей 0,5%.
Вода дистиллированная по ГОСТ 6709.
Кадмий уксуснокислый, поглотительный раствор, готовят следующим образом: 27 г уксуснокислого кадмия растворяют в воде и при необходимости фильтруют. К раствору добавляют 10 см3 уксусной кислоты и 10 г уксуснокислого натрия, объем раствора доводят водой до 1 дм3 и хорошо перемешивают.
Колба коническая типа КН-500-34.
Колба плоскодонная типа КП-1000-34.
Воронки капельные.
Трубка U-образная типа КШ 14,5/23.
Склянки для промывания газов по ГОСТ 25336 типа СН-1-200.
Бутыли с тубусом по ГОСТ 25336 вместимостью 3 и 10 дм3.
Термометр ртутный стеклянный.
Весы лабораторные общего назначения по ГОСТ 24104 2-го класса точности с наибольшим пределом взвешивания 200 г, допускается применение других весов с аналогичными технологическими и метрологическими характеристиками.
Бюретки, пипетки по нормативным документам или технической документации, пробирки, колбы, цилиндры по ГОСТ 1770 2-го класса точности, допускается применение другой посуды при условии получения метрологических характеристик, не уступающих указанным в соответствующих стандартах.
8.5а.2 Подготовка к анализу
Для определения фосфористого водорода в ацетилене из карбида кальция применяют прибор (рисунок 2а), состоящий из:
конической колбы для разложения карбида кальция вместимостью 500 см3 с присоединенной к ней капельной воронкой такой же вместимости, ванны для охлаждения колбы;
U-образной трубки, заполненной стеклянной ватой и плотно закрытой пробками (газ поступает и выходит через боковые отводы);
первой склянки для промывания газов;
второй склянки для промывания газов, снабженной фильтром ПОР 160 или ПОР 100 по ГОСТ 25336;
плоскодонной колбы, калиброванной по воде для определения фосфористого водорода, вместимостью 1 дм3 с присоединенной к ней капельной воронкой вместимостью от 50 до 100 см3;
большого аспиратора - двух бутылей с нижними тубусами вместимостью 15 дм3 каждая, соединенных между собой резиновым шлангом через тубусы, одна из бутылей плотно закрыта пробкой со вставленным в нее термометром;
малого аспиратора - двух склянок с нижними тубусами вместимостью 3 дм3 каждая, соединенных между собой через тубусы.
Коническую и плоскодонную колбы и одну бутыль большого аспиратора плотно закрывают резиновыми пробками с двумя отверстиями.
В одно отверстие пробки конической колбы вставляют капельную воронку так, чтобы нижний оттянутый конец ее диаметром около 3 мм выступил на 5-10 мм от нижней поверхности пробки.
В другое отверстие вставляют стеклянную изогнутую под прямым углом трубку, отводящую газ. Нижний конец трубки должен находиться на уровне нижней поверхности пробки.
В одно отверстие пробки плоскодонной колбы вставляют подводящую газ трубку, доходящую до дна колбы, в другое - капельную воронку, нижний конец которой должен быть на уровне нижней поверхности пробки. В пробку воронки плотно вставляют трубку, нижний конец которой должен находиться на уровне нижней поверхности пробки, а через верхний конец трубки весь прибор при помощи шланга соединяют с большим аспиратором.
Отдельные части прибора соединяются между собой, как указано на рисунке 2а, при помощи резиновых трубок.
Рисунок 2а - Установка для определения фосфористого водорода в ацетилене из карбида кальция
1 - коническая колба; 2, 8 - капельные воронки; 3 - ванна для охлаждения колбы; 4 - U-образная трубка; 5 - склянка для промывания газа; 6 - склянка для промывания газа со стеклянным пористым фильтром; 7 - плоскодонная колба; 9 - большой аспиратор; 10 - малый аспиратор
Рисунок 2а - Установка для определения фосфористого водорода в ацетилене из карбида кальция
Перед определением краны капельных воронок смазывают вазелином, в склянки для промывания газа наливают около 50 см3 поглотительного раствора, плоскодонную колбу заполняют дистиллированной водой до пробки и ставят вверх воронкой.
Верхнюю бутыль большого аспиратора заполняют водой до пробки, а в нижней бутыли Вода должна покрывать тубус. Затем все части прибора, за исключением конической колбы, соединяют между собой.
8.5а.3 Проведение анализа
Около 30 г карбида кальция, приготовленного по 8.3.5, взвешивают, результат взвешивания в граммах записывают с точностью до второго десятичного знака, и помещают в сухую коническую колбу. В ванну для охлаждения колбы наливают холодную воду, а колбу закрывают пробкой с воронкой 2.
Краны капельных воронок закрывают, в воронку 2 наливают дистиллированную воду и коническую колбу 1 присоединяют к прибору.
Прибор проверяют на герметичность, создавая в нем разрежение опусканием нижней бутыли большого аспиратора и осторожно открывая кран воронки 8.
Если система герметична, что узнают по прекращению прохождения пузырьков воздуха через склянки для промывания газов, приступают к разложению карбида кальция. Для этого осторожно открывают кран воронки 2 и по каплям пускают воду на карбид кальция.
Так как вначале разложение карбида кальция водой идет очень бурно, то в первый период разложения спуск воды должен быть не более 2-3 капель в 1 мин.
Разложение карбида кальция должно быть равномерным и продолжаться в течение 2-3 ч.
Пропустив первые 2-2,5 дм3 ацетилена, плоскодонную колбу для определения фосфористого водорода опрокидывают капельной воронкой вниз и закрепляют ее на штативе в положении, как указано на рисунке 2а.
После того как вся Вода из колбы будет вытеснена газом, колбу возвращают в первоначальное положение, в котором она остается до конца разложения карбида кальция.
Во избежание потерь газа воронку 2 наполняют водой по мере расхода последней.
По окончании разложения карбида кальция коническую колбу заполняют водой для вытеснения оставшегося в ней газа. До половины объема ее заполняют при разрежении, последнюю же порцию воды для заполнения конической колбы подают под давлением. Для этого закрывают кран воронки 8 и зажимают резиновый шланг, соединяющий ее с большим аспиратором, а воронку 2 соединяют с малым аспиратором и создаваемым давлением вытесняют оставшийся газ из конической колбы.
После этого отделяют плоскодонную колбу от склянки для промывания газа с пористым стеклянным фильтром, зажав соединяющую их резиновую трубку зажимом. Затем разъединяют склянки для промывания газа и отделяют U-образную трубку от склянки для промывания газа 5. Следует соблюдать указанный порядок разъединения во избежание перетягивания растворов из одного сосуда в другой.
Заполненную ацетиленом плоскодонную колбу отделяют от большого аспиратора и вынимают пробку из воронки 8.
Для приведения газа в колбе к атмосферному давлению кран капельной воронки 8 на мгновение открывают, выпуская избыток газа, и отмечают атмосферное давление и температуру газа.
Для вытеснения оставшегося в воронке газа (при закрытом кране) ее заполняют водой, которую затем сливают. Эту операцию повторяют дважды.
Из бюретки в воронку 8 наливают 50 см3 раствора йода концентрации 0,01 моль/дм3 и через кран воронки осторожно, чтобы не попал воздух, переводят раствор йода в колбу, создавая давление в воронке. После этого ополаскивают воронку два-три раза дистиллированной водой, каждый раз так же осторожно, переводя промывные воды в колбу.
В течение 10 мин содержимое колбы энергично встряхивают, затем открывают кран воронки 8, снимают зажим с трубки и вынимают пробку из колбы. Трубку, пробку, горло и внутренние стенки колбы споласкивают водой и титруют избыток йода раствором серноватистокислого натрия концентрации 0,01 моль/дм в присутствии крахмала.
8.5а.4 Обработка результатов
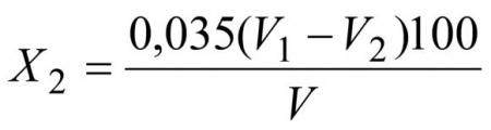
Объемную долю фосфористого водорода (X2), %, вычисляют по формуле (4а)
где V1 - объем раствора йода концентрации точно 0,01 моль/дм3, см3;
V2 - объем раствора серноватистокислого натрия концентрации точно 0,01 моль/дм3, израсходованный на титрование избытка йода, см3;
0,035 - объем фосфористого водорода, соответствующий 1 см3 раствора йода концентрации точно 0,01 моль/дм3, см3;
V - объем ацетилена, см3, равный объему плоскодонной колбы и приведенный к 101325 Па (760 мм рт.ст.) и 20°С по формуле (4б)
где Vk - объем колбы, см3;
P - атмосферное давление, Па (мм рт.ст.)
Wt - упругость паров воды при температуре t, Па (мм рт.ст.);
P0 - нормальное давление, составляющее 101325 Па (760 мм рт.ст.);
t - температура газа при проведении определения, °С.
За результат анализа принимают среднее арифметическое двух параллельных измерений, допускаемые расхождения между которыми не должны превышать 0,004% при доверительной вероятности P=0,95.
Подраздел 8.5а (Введен дополнительно, Изм. N 1).
8.6 Определение массовой доли сульфидной серы
8.6.1 Метод измерений
Метод основан на разложении карбида кальция соляной кислотой, поглощении выделяющегося сероводорода раствором уксуснокислого (ацетата) кадмия в присутствии уксусной кислоты, растворении осадка сульфида кадмия в растворе йода, взятого с избытком. Избыток йода титруют раствором тиосульфата натрия в присутствии крахмала в качестве индикатора.
8.6.2 Нормы погрешности измерений
Допускаемая абсолютная суммарная погрешность результата анализа ±0,1% при доверительной вероятности P=0,95
8.6.3 Средства измерений, вспомогательные устройства, материалы и реактивы:
- бюретка I-2-2-10-0,02 по ГОСТ 29251;
- колба 2-1000-2 по ГОСТ 1770;
- цилиндры 1-10-2, 1-25-2, 1-50-2, 1-500-5 по ГОСТ 1770;
- пипетки 1-2-2-1, 1-2-2-5 по ГОСТ 29227;
- весы лабораторные общего назначения высокого (II) класса точности с наибольшим пределом взвешивания 200 г, по ГОСТ 24104;
- секундомер механический по ТУ 25-1894.003-90 [7];
колба Кн-1-250-29/32 ТХС по ГОСТ 25336;
- колба КРН-100 ТС по ГОСТ 25336;
- склянка СН-1 -200 по ГОСТ 25336;
- склянка 3-5,00 по ГОСТ 25336;
- стакан В-1-100 ТС по ГОСТ 25336;
- стаканчик СВ-24/10 по ГОСТ 25336;
- воронка ВК-25 ХС по ГОСТ 25336;
- кран К2Х-1-50-2,5 по ГОСТ 7995;
- зажим для резиновых трубок ТУ 64-1-964 [10];
- плитка электрическая с закрытой спиралью по ГОСТ 14919;
- резиновые трубки по ГОСТ 3399.
крахмал растворимый, ч.д.а., по ГОСТ 10163;
- кислота уксусная, х.ч. по ГОСТ 61;
- кислота соляная, х.ч., по ГОСТ 3118;
- йод, ч.д.а., по ГОСТ 4159;
- Натрий уксуснокислый 3-водный, ч.д.а., по ГОСТ 199;
- Кадмий уксуснокислый по ТУ 6-09-5446 [12];
- натрий серноватистокислый (натрия тиосульфат) 5-водный, ч.д.а, по ГОСТ 27068;
- Вода дистиллированная по ГОСТ 6709;
- вазелин медицинский по ГОСТ 3582.
8.6.4 Подготовка к выполнению измерений
8.6.4.1 Приготовление раствора крахмала с массовой долей 0,5%
Раствор крахмала с массовой долей 0,5% готовят по ГОСТ 4919.1, п.3.6.6 а.
8.6.4.2 Приготовление раствора йода молярной концентрации c(1/2J2)=0,1 моль/дм3 (0,1 н)
Раствор йода молярной концентрации c(1/2J2)=0,1 моль/дм3 (0,1 н) готовят по ГОСТ 25794.2 п.2.3.
8.6.4.3 Приготовление поглотительного раствора кадмия уксуснокислого (ацетата)
На весах высокого (II) класса точности в стакане В-1-100 взвешивают (27±0,01) г уксуснокислого (ацетата) кадмия с точностью до второго десятичного знака.
На весах высокого (II) класса точности в стакане В-1-100 взвешивают (10±0,01) г уксуснокислого (ацетата) натрия с точностью до второго десятичного знака.
В колбу 2-1000-2 цилиндром 1-500-2 наливают 500 см3 дистиллированной воды, помещают навеску уксуснокислого (ацетата) кадмия и тщательно перемешивают до полного растворения. При необходимости раствор фильтруют через бумажный фильтр.
К полученному раствору цилиндром 1-10-2 наливают 10 см3 уксусной кислоты и подают навеску уксуснокислого натрия. Содержимое колбы 2-100-2 доводят до метки дистиллированной водой и перемешивают.
8.6.4.4 Приготовление раствора тиосульфата натрия молярной концентрации c(Na2S2O3x5H2O)=0,1 моль/дм3 (0,1 н)
Раствор тиосульфата натрия молярной концентрации c(Na2S2O3x5H2O)=0,1 моль/дм3 (0,1 н) готовят по ГОСТ 25794.2 п.2.11
8.6.4.5 Подготовка прибора к выполнению измерений
Подготовка и сборка прибора для определения сульфидной серы
Сульфидную серу из навески карбида кальция выделяют на приборе, представленном на рисунке 3, состоящем из колбы КРН-100 (2), с хорошо пригнанной резиновой пробкой, в которую вставляют воронку ВК-25 (1) для соляной кислоты и барботер для подачи азота. Боковую отводную трубку колбы КРН-100 (2) присоединяют с помощью резиновых шлангов к склянкам СН-1-200 (5, 6).
Рисунок 3 - Прибор для определения сульфидной серы
1 - воронка ВК-25; 2 - колба КРН-100; 3, 4 - склянки СН-1-200; 5, 6 - склянки 3-5,00
Рисунок 3 - Прибор для определения сульфидной серы
Перед определением кран капельной воронки смазывают вазелином, цилиндром 1-50-2 в склянки СН-1-200 (3, 4) наливают по 30-40 см3 поглотительного раствора уксуснокислого (ацетата) кадмия, приготовленного по п.8.6.4.3.
8.6.4.6 Проверка прибора на герметичность
Винтовым зажимом перекрывают линию подачи азота. Воронку ВК-25 (1) закрывают пробкой.
К склянке СН-1-200 (4) подсоединяют аспирационную склянку 3-5,00 (5), закрытую пробкой со вставленным двухходовым краном. Через тубусное отверстие склянку (5) соединяют с другой склянкой 3-5,00 (6), установленной ниже. Склянки предварительно заполняют дистиллированной водой. Открывают двухходовой кран на склянке 3-5,00 (5). Жидкость в верхней склянке сначала опускается, а затем устанавливается на постоянном уровне, что означает - система герметична.
После проверки на герметичность склянки 3-5,00 (5, 6) отсоединяют.
8.6.5 Выполнение измерений
Открывают винтовой зажим на линии подачи азота, систему продувают газом 5-10 мин. Скорость подачи азота регулируют таким образом, чтобы за секунду через поглотительный раствор в склянках СН-1-200 (3, 4) проходило два пузырька газа.
На весах высокого (II) класса точности в сухом стаканчике СВ-24/10 взвешивают (1,5±0,5) г карбида кальция, приготовленного по п.8.3.5, с точностью до четвертого десятичного знака. Навеску помещают в реакционную колбу КРН-100 (2). Стаканчик СВ-24/10 снова взвешивают с той же точностью. По разности результатов взвешивания находят массу пробы, взятой на анализ.
В капельную воронку ВК-25 (1) цилиндром 1-25-2 наливают 20 см3 раствора соляной кислоты. Затем открывают кран капельной воронки ВК-25 (1) и осторожно по каплям, не прекращая подачи азота, разлагают навеску карбида кальция соляной кислотой. Газ, прошедший через поглотительный раствор склянок СН-1-200 (3, 4), выводят при помощи шланга в атмосферу вытяжного шкафа.
После полного разложения навески карбида кальция реакционную колбу КРН-100 (2) нагревают на электроплитке до кипения и кипятят 5-10 мин, затем содержимое охлаждают в токе азота до комнатной температуры. После охлаждения прибор разбирают, раствор уксуснокислого (ацетата) кадмия вместе с образовавшимся осадком сульфида кадмия из склянок СН-1-200 (3, 4) количественно переносят дистиллированной водой в колбу Кн-1-250-29/32.
Бюреткой I-2-2-10-0,02 в колбу Кн-1-250-29/32 добавляют 10 см3 раствора йода, приготовленного по п.8.6.4.2. Пипеткой 1-2-2-5 в колбу Кн-1-250-29/32 вносят 3 см3 концентрированной соляной кислоты. Колбу Кн-1-250-29/32 закрывают пробкой и ставят в темное место на 5-10 мин.
Содержимое колбы Кн-1 -250-29/32 титруют раствором тиосульфата натрия, приготовленного по п.8.6.4.4, до соломенно-желтой окраски, затем пипеткой 1-2-2-1 добавляют несколько капель раствора крахмала, приготовленного по п.8.6.4.1, и продолжают титрование до обесцвечивания раствора.
8.6.6 Обработка и вычисление результатов измерений
Массовую долю сульфидной серы (X3), %, вычисляют по формуле (5)
где V - объем раствора йода молярной концентрации точно c(1/2J2)=0,1 моль/дм3, взятый на анализ, см3;
V1 - объем раствора тиосульфата натрия молярной концентрации точно c(Na2S2O3x5H2O)=0,1 моль/дм3, израсходованный на титрование избытка йода, см3;
m - навеска карбида кальция, г;
0,0016 - масса сульфидной серы, соответствующая 1 см3 раствора йода молярной концентрации точно c(1/2J2)=0,1 моль/дм, г/см3.
За результат измерений принимают среднее арифметическое двух параллельных определений, допускаемое абсолютное расхождение между которыми не должно превышать 0,05% при доверительной вероятности P=0,95.
8.7 Определение массовой доли свободного углерода
8.7.1 Метод измерений
Метод основан на разложении карбида кальция водой, растворении шлама соляной кислотой, фильтрации, озолении и прокаливании осадка при температуре (850±25)°С.
8.7.2 Нормы погрешности измерений
Допускаемая абсолютная суммарная погрешность результата анализа ±0,1% при доверительной вероятности P=0,95.
8.7.3 Средства измерений, вспомогательные устройства, материалы и реактивы
цилиндры 1-10-2, 1-25-2 по ГОСТ 1770;
- пипетки 1-2-0,5, 2-2-25 по ГОСТ 29169;
- весы лабораторные общего назначения высокого (II) класса точности с наибольшим пределом взвешивания 200 г по ГОСТ 24104;
- колба Кн-1-250-29/32 ТХС по ГОСТ 25336;
- стаканчики СВ-24/10, СН-85/15 по ГОСТ 25336;
- стакан В-1-250 ТХС по ГОСТ 25336;
- воронка В-56-80 ХС по ГОСТ 25336;
- пробирка П1-14-120ХС по ГОСТ 25336;
- эксикатор 2-250 по ГОСТ 25336;
- часовое органическое стекло СОЛ-Ч-1,0-100-100 по ГОСТ 14183;
- тигель высокий 3 или 4 по ГОСТ 9147;
- фильтр беззольный "красная лента" по ТУ 2642-001-68085491 [11];
- плитка электрическая с закрытой спиралью по ГОСТ 14919;
- шкаф сушильный с максимальной температурой нагрева до 200°С типа СЭШ-3М по ТУ 25-02-210-718 [13] или электрошкаф типа СНОЛ по ТУ 16-681.032 [14];
- печь муфельная с максимальной температурой нагрева 1000°С типа СНОЛ-1.6.2.5.1/11-И2 по ТУ 16-531.704 [15];
- Вода дистиллированная по ГОСТ 6709;
- Серебро азотнокислое, ч.д.а., по ГОСТ 1277;
- кислота соляная, х.ч., по ГОСТ 3118, водный раствор в объемном соотношении 1:1;
- Калий хлористый по ГОСТ 4234, х.ч. или стандарт-титр c(KCl)=0,1 моль/дм3 (0,1 н);
- Калий хромовокислый, х.ч., по ГОСТ 4459;
- кальций хлористый, высший сорт по ГОСТ 450;
- кислота азотная, х.ч. по ГОСТ 3118, водный раствор в объемном соотношении 1:1.
8.7.4 Подготовка к выполнению измерений
8.7.4.1. Приготовление раствора азотнокислого (нитрата) серебра молярной концентрации точно c(AgNO3)=0,1 моль/дм3 (0,1 н.)
Раствор азотнокислого (нитрата) серебра с молярной концентрацией c(AgNO3)=0,1 моль/дм3 готовят по ГОСТ 25794.3 п.2.2. Раствор хранят длительное время.
8.7.4.2 Подготовка устройств
Эксикатор 2-250 заполняют хлористым кальцием (хлоридом) и все дальнейшие операции проводят только с заполненным эксикатором.
Фарфоровый тигель для проведения анализа прокаливают в муфельной печи при температуре (850±25)°С до постоянной массы в граммах с точностью до четвертого десятичного знака и ставят в эксикатор 2-250.
8.7.5 Выполнение измерений
На весах высокого (II) класса точности в стаканчике СВ-24/10 взвешивают (5,0±0,01) г карбида кальция, приготовленного по п.8.3.5, с точностью до второго десятичного знака. Навеску помещают в стакан В-1-250 ТХС. Стакан закрывают часовым стеклом, затем, осторожно приподнимая стекло, цилиндром 1-25-2 приливают 25 см3 дистиллированной воды до полного разложения карбида кальция.
Стакан В-1-250 ТХС ставят на электрическую плитку и при нагревании пипеткой 2-2-25 приливают 25 см3 раствора соляной кислоты до полного растворения навески.
Горячий раствор фильтруют в колбу Кн-1-250-29/32 ТХС через беззольный фильтр. Фильтр предварительно высушивают при температуре (105±5)°С до постоянной массы с точностью до 0,0002 г в стаканчике для взвешивания СН-85/15. Результат взвешивания в граммах записывают с точностью до четвертого десятичного знака.
Осадок на фильтре на воронке В-56-80 ХС промывают горячей дистиллированной водой до отсутствия хлорид-ионов в промывных водах.
Тест на отсутствие хлорид-ионов обозначает отсутствие загрязнения водного раствора ионами хлора.
В пробирку П1-14-120 ХС пипеткой 1-2-0,5 прикапывают из носика воронки 6-7 капель фильтрата после промывки осадка на фильтре, добавляют пипеткой 1-2-0,5 1 каплю раствора азотной кислоты и прикапывают пипеткой 1-2-0,5 6-7 капель азотнокислого (нитрата) серебра, приготовленного по п.8.7.4.1.
Если раствор в пробирке мутнеет - это свидетельствует о присутствии хлорид-ионов. В этом случае продолжают промывать осадок дистиллированной водой порциями мерным цилиндром 1-10-2 по 10 см, после каждой порции проводят тест на присутствие хлорид-ионов.
Если раствор в пробирке прозрачный - тест на отсутствие хлорид-ионов пройден.
Фильтр с осадком помещают в стаканчик СН-85/15 для взвешивания, высушивают при температуре (105±5)°С до постоянной массы в сотых долях грамма и после охлаждения в эксикаторе 2-250, при комнатной температуре, взвешивают с той же точностью. Затем фильтр с осадком переносят в прокаленный и взвешенный фарфоровый тигель (результат взвешивания в граммах записывают с точностью до четвертого десятичного знака) и озоляют. Для этого подсушенный бумажный фильтр с осадком помещают в тигель, тигель с фильтром осторожно нагревают в муфельной печи (при открытой дверце). При этом бумага должна обугливаться и медленно тлеть, но не гореть. Когда бумага почернеет, начнет рассыпаться и окажется на дне тигля, тигель продвигают вглубь муфельной печи и закрывают дверцу печи. Температура в печи постепенно поднимается до (850±25)°С.
Осадок прокаливают в муфельной печи при температуре (850±25)°С до постоянной массы в граммах с точностью 0,002 г и после охлаждения в эксикаторе 2-250, при комнатной температуре, взвешивают (результат взвешивания записывают с точностью до четвертого десятичного знака).
8.7.6 Обработка и вычисление результатов измерений
Массовую долю свободного углерода (X4), %, вычисляют по формуле (6)
где m1 - масса высушенного осадка, г;
m2 - масса прокаленного осадка, г;
m - масса навески карбида кальция, г.
За результат анализа принимают среднее арифметическое двух параллельных определений, допускаемое абсолютное расхождение между которыми не должно превышать 0,1% при доверительной вероятности P=0,95.
8.8 Определение массовой доли оксида кальция
8.8.1 Метод измерений
Метод основан на определении свободного оксида кальция по разности между общим количеством оксида кальция и количеством оксидом кальция, связанным в виде карбида кальция.
8.8.2 Нормы погрешности измерений
Допускаемая абсолютная суммарная погрешность результата анализа ±0,3% при доверительной вероятности P=0,95.
8.8.3 Средства измерений, вспомогательные устройства, материалы и реактивы
бюретка I-2-2-25-0,1 по ГОСТ 29251;
- цилиндры 1-100-2, 1-50-2, 1-250-2, 1-500-2 по ГОСТ 1770;
- колбы 2-500-2, 2-1000-2 по ГОСТ 1770;
- пипетки 1-2-10, 1-2-5 по ГОСТ 29169;
- весы лабораторные общего назначения высокого (II) класса точности с наибольшим пределом взвешивания 200 г по ГОСТ 24104;
- колбы Кн-1-100-29/32 ТХС, Кн-1-250-29/32 ТХС по ГОСТ 25336;
- стакан Н-2-50 ТС по ГОСТ 25336;
- стаканчик СВ-24/10 по ГОСТ 25336;
- часовое органическое стекло СОЛ-Ч-1,0-100-100 по ГОСТ 14183;
- воронка В-56-80 ХС по ГОСТ 25336;
- фильтр обеззоленный "Синяя лента", по ТУ 2642-001-68085491 [11];
- кислота соляная х.ч., по ГОСТ 3118, водный раствор в объемном соотношении 1:1;
- калия гидроокись х.ч., по ГОСТ 24363;
- соль динатриевая этилендиамин-N, N, N', N'-тетрауксусной кислоты, 2-водная (трилон б) по ГОСТ 10652;
- Вода дистиллированная по ГОСТ 6709;
- Триэтаноламин солянокислый (хлорид), раствор с массовой долей 25%, ч., по действующей технической документации;
- индикаторная смесь - сухая смесь флуорексона с нитратом калия в соотношении 1:100. Допускается применение другого индикатора для определения общего кальция согласно ГОСТ 10398.
8.8.4 Подготовка к выполнению измерений
8.8.4.1 Приготовление водного раствора гидроокиси (гидроксида) калия с массовой долей 20%
На весах высокого (II) класса точности в стакане Н-2-50 ТС взвешивают (16,3±0,01) г гидроокиси (гидроксида) калия с точностью до второго десятичного знака. Навеску переносят в сухую колбу Кн-1-100-29/32, куда цилиндром 1-100-2 приливают 54 см3 дистиллированной воды. Содержимое колбы Кн-1-100-29/32 перемешивают вручную до полного растворения гидроокиси (гидроксида) калия.
8.8.4.2 Приготовление раствора трилона Б молярной концентрации c(1/2ди-Na-ЭДТА)=0,05 моль/дм3
На весах высокого (II) класса точности в стакане Н-2-50 ТС взвешивают (18,6±0,01) г трилона Б с точностью до второго десятичного знака. Навеску трилона Б помещают в колбу 2-1000-2, куда цилиндром 1-500-2 приливают 500 см3 дистиллированной воды. Содержимое колбы перемешивают до полного растворения навески трилона Б. Объем раствора доводят до метки дистиллированной водой и перемешивают. Если раствор мутный, его фильтруют через фильтр "синяя лента" на воронке В-56-80 ХС, отбрасывая первую порцию фильтрата. Коэффициент поправки раствора трилона Б устанавливают по ГОСТ 10398.
8.8.5 Выполнение измерений
На весах высокого (II) класса точности в стаканчике СВ-24/10 взвешивают (1±0,01) г карбида кальция, приготовленного по п.8.3.5, с точностью до четвертого десятичного знака. При взвешивании стаканчик СВ-24/10 закрывают крышкой. Навеску помещают в сухую коническую колбу Кн-1-100-29/32. Затем осторожно небольшими порциями в колбу с помощью цилиндра 1-50-2 приливают 50 см3 раствора соляной кислоты, прикрывая при этом колбу часовым стеклом. После охлаждения и прекращения выделения ацетилена раствор количественно переносят дистиллированной водой в мерную колбу 2-500-2, раствор доводят до метки дистиллированной водой. Содержимое перемешивают и фильтруют через бумажный фильтр на воронке В-56-80 ХС, отбрасывая первые порции фильтрата. Пипеткой 1-2-10 отбирают 10 см3 фильтрата и помещают в коническую колбу Кн-1-250-29/30, куда цилиндром 1-250-2 добавляют 100-150 см3 дистиллированной воды, пипеткой 1-2-5 вводят 5 см3 раствора триэтаноламина, бюреткой 1-2-2-250-0,1 приливают 25 см3 раствора гидроокиси (гидроксида) калия, приготовленного по п.8.8.4.1, на кончике шпателя добавляют около 10 мг индикаторной смеси. Содержимое колбы перемешивают и титруют раствором трилона Б, приготовленного по п.8.8.4.2, до перехода зеленоватой флуоресцирующей окраски в розовую. Титрование проводится на темном фоне при энергичном перемешивании.
8.8.6 Обработка и вычисление результатов измерений
Массовую долю общего кальция (Xобщ.) в пересчете на массовую долю оксида кальция (CaO), %, вычисляют по формуле (7)
где V - объем раствора трилона Б с молярной концентрацией c(1/2ди-Nа-ЭДТА)=0,05 моль/дм3 израсходованный на титрование, см3;
K - коэффициент поправки к раствору трилона Б молярной концентрации c(1/4ди-Na-ЭДТА)=0,05 моль/дм3 (0,05н);
0,0014 - масса оксида кальция, соответствующая 1 см3 раствора трилона Б молярной концентрации точно c(1/2 ди-Nа-ЭДТА)=0,05 моль/дм3 (0,05н.), г/см3
500 - общий объем реакционного раствора полученного в ходе анализа, см;
m - масса навески карбида кальция, г.
10 - аликвотная часть раствора взятая на титрование, см3.
Массовую долю оксида кальция (X5), %, вычисляют по формуле (8)
где Xобщ. - массовая доля общего кальция в пересчете на массовую долю оксида кальция, %;
X1 - литраж карбида кальция, вычисленный по п.8.4.6 настоящего стандарта, дм3/кг;
56 - молярная масса , г/моль;
1000 - коэффициента пересчета кг в г;
23,78 - объем, занимаемый 1 молем ацетилена при 20° С и атмосферном давлении 101325 Па (760 мм рт.ст.), дм/моль.
За результат анализа принимают среднее арифметическое двух параллельных измерений, допускаемое абсолютное расхождение между которыми не должно превышать 0,5% при доверительной вероятности P=0,95.
8.9 Определение массовой доли ферросплава
8.9.1 Метод измерений
Метод основан на разложении карбида кальция водой, выделении ферросплава на предварительно взвешенном магните.
8.9.2 Нормы погрешности измерений
Допускаемая абсолютная суммарная погрешность результата анализа ±0,1% при доверительной вероятности P=0,95.
8.9.3 Средства измерений, вспомогательные устройства, материалы и реактивы
- цилиндры 1-1000-2, 1-500-2 по ГОСТ 1770;
- термометр жидкостный стеклянный ГОСТ 28498, заполняемая жидкость - ртуть марки P1 или P2 по ГОСТ 4658, предел измерения от 0 до 100°С, цена деления 1°С;
- секундомер механический по ТУ 25-1894.003 [7];
- весы лабораторные общего назначения высокого (II) класса точности с наибольшим пределом взвешивания 200 г по ГОСТ 24104;
- стакан В-1-1000 ТХС по ГОСТ 25336;
- эксикатор 2-250 по ГОСТ 1770;
- чашка выпарительная 3 или 4 по ГОСТ 9147;
- шкаф сушильный с максимальной температурой нагрева до 200°С типа СЭШ-3М по ТУ 25-02-210-718 [13] или электрошкаф типа СНОЛ по ТУ 16-681.032 [14];
- магнитная мешалка типа ПЭ-6100 по ТУ 3615-009-23050963 [16] или другая с аналогичными техническими характеристиками;
- кислота соляная, х.ч. по ГОСТ 3118, водный раствор в объемном соотношении 1:10;
- кальций хлористый, высший сорт по ГОСТ 450;
- Вода дистиллированная по ГОСТ 6709.
8.9.4 Выполнение измерений
Эксикатор 2-250 заполняют хлористым (хлоридом) кальцием и все дальнейшие операции проводят только с заполненным эксикатором.
На весах высокого (II) класса точности взвешивают навеску карбида кальция, приготовленную по п.8.3.4, массой (100±0,01) г с точностью до второго десятичного знака. Навеска помещается в стакан В-1-1000 и в вытяжном шкафу порциями цилиндром 1-1000-2 приливают дистиллированную воду в соотношении: твердая фаза к жидкой фазе 1:5
1:8. По окончании реакции в стакан В-1-1000 опускают магнит, предварительно взвешенный на весах высокого (II) класса точности в граммах с точностью до четвертого десятичного знака, и стакан устанавливают на магнитную мешалку.
После перемешивания содержимого стакана в течение 3 мин магнит с частицами ферросплава вынимают и помещают в стакан вместимостью В-1-1000, куда предварительно цилиндром 1-500-2 поместили 500 см3 раствора соляной кислоты. Магнит промывают в растворе соляной кислоты в течение 1 мин. Затем аналогичным образом магнит промывают в дистиллированной воде. После промывки магнит с ферросплавом вынимают из стакана и помещают в фарфоровую чашку, предварительно высушенную при температуре (105±5)°С до постоянной массы в граммах с точностью до четвертого десятичного знака.
Магнит с ферросплавом высушивают в фарфоровой чашке при температуре (105±5)°С до постоянной массы с точностью до 0,0001 г и после охлаждения в эксикаторе 2-250 взвешивают на весах. Результат взвешивания в граммах записывают с точностью до четвертого десятичного знака.
Операцию высушивания и взвешивания повторяют до тех пор, пока разность между результатами последнего и предпоследнего взвешивания не будет превышать 0,0005 г.
8.9.5 Обработка и вычисление результатов измерений
Массовую долю ферросплава (X6), %, вычисляют по формуле (9)
где m - навеска карбида кальция, г;
m1 - масса магнита, г;
m2 - масса магнита с ферросплавом, г.
За результат измерения принимают среднее арифметическое двух параллельных измерений, допускаемое абсолютное расхождение между которыми не должно превышать 0,2% при доверительной вероятности P=0,95.
8.10 Определение гранулометрического состава карбида кальция
8.10.1 Метод измерений
Метод основан на определении гранулометрического состава карбида кальция ситовым анализом.
8.10.2 Нормы погрешности измерений
Допускаемая абсолютная суммарная погрешность результата анализа ±0,3% при доверительной вероятности P=0,95.
8.10.3 Средства измерений, вспомогательные устройства, материалы и реактивы
- весы товарные среднего (III) класса точности с наибольшим пределом взвешивания 150 или 200 кг по ГОСТ 29329. Допускается применение других весов с аналогичными технологическими характеристиками.
Ситовой анализ проводят на аппарате с механическим или ручным рассевом с набором сит из перфорированных пластин с круглыми отверстиями или металлическими сетками с круглыми отверстиями, приведенными в таблице 6.
Таблица 6 - Показатели полотен сит
Наружный размер сит должен быть не менее 450 мм. Каждому классу крупности карбида кальция соответствует набор сит с полотнами решетками или металлическими сетками, представленными в таблице 7.
Таблица 7 - Набор сит в зависимости от крупности карбида кальция
8.10.4 Выполнение измерений
Анализируемую пробу карбида кальция взвешивают на товарных весах, затем частями по 20-25 кг всыпают в аппарат рассева. При ручном рассеве совершают 30 качаний аппарата за ручку от упора до упора. При механическом рассеве процесс заканчивается автоматически.
карбид кальция, оставшийся на одноименных ситах, собирают вместе и взвешивают с точностью до первого десятичного знака.
карбид кальция, прошедший через нижнее сито, выгружают и взвешивают с точностью до первого десятичного знака.
8.10.5 Обработка и вычисление результатов измерений
Массовую долю кусков карбида кальция других размеров (X7), %, вычисляют по формуле (10)
где m1 - масса карбида кальция, оставшегося на одноименных ситах или прошедшего через нижнее сито, кг;
m - масса навески карбида кальция, взятая для определения, кг.
За результат анализа принимают среднее арифметическое двух параллельных определений, допускаемые абсолютные расхождения между которыми не должны превышать 0,25% при доверительной вероятности P=0,95.
9 Транспортирование и хранение
9.1 Барабаны с карбидом кальция транспортируют всеми видами транспорта, кроме воздушного, в крытых транспортных средствах в соответствии с правилами перевозок грузов, действующими на каждом виде транспорта.
При транспортировании барабанов железнодорожным транспортом между ярусами барабанов должен быть уложен прокладочный материал, проведено дополнительное закрепление верхнего яруса барабанов и дверных проемов деревянными брусьями или досками, исключающее завалы и порчу барабанов при транспортировании.
Допускается транспортирование карбида кальция автомобильным транспортом с открытыми кузовами, при этом барабаны и контейнеры должны быть закрыты тентовым материалом по ГОСТ 29151.
По железной дороге карбид кальция транспортируется повагонными отправками.
Пакетирование упакованной продукции в соответствии с ГОСТ 26663, ГОСТ 24597 и ГОСТ 21650.
Конкретные виды тары, упаковки и транспортировки, удовлетворяющие требованиям настоящего стандарта, указываются в договорах поставки.
9.2 Барабаны с карбидом кальция хранят на открытых площадках под навесом или в несгораемых, хорошо проветриваемых складах, исключающих попадание влаги.
9.2.1 Барабаны с карбидом кальция должны храниться в вертикальном положении, не более чем в 3 яруса. Между ярусами барабанов должны быть уложены доски толщиной 25 мм, пропитанные огнезащитным составом, отвечающим требованиям правил пожарной безопасности.
9.2.2 Запрещается хранить карбид кальция в подвальных помещениях, на лестничных клетках и проходах, в подъездах и коридорах. Совместное хранение с другими веществами и материалами не допускается.
9.2.3 Вскрытые или поврежденные упаковочные единицы с карбидом кальция хранить не разрешается. При невозможности немедленного использования карбид кальция должен быть пересыпан в герметично закрываемую тару или в сухой барабан.
9.2.4 Вскрытие тары с карбидом кальция проводится инструментом, исключающим искрообразование.
9.2.5 Пустую тару хранят на специально отведенных площадках под навесом вне производственных помещений. Тара должна быть сухой и уложенной вверх днищами.
9.2.6 На складах не допускается скапливание пыли карбида кальция. Накопившаяся пыль и мелочь, а также пыль, оставшаяся в упаковочных единицах, должна собираться в герметично закрываемой таре, а затем вывозится на полигон химических отходов, разлагаться водой в емкости на открытом воздухе вдали от помещений при соотношении пыли (мелочи) и воды 1:8, небольшими порциями.
10 Гарантии изготовителя
10.1 Изготовитель гарантирует соответствие качества карбида кальция требованиям настоящего стандарта при соблюдении условий транспортирования и хранения.
10.2 Гарантийный срок хранения карбида кальция - шесть месяцев со дня изготовления продукта.
Приложение А (рекомендуемое). Определение литража карбида кальция на аппарате Каро
Приложение А
(рекомендуемое)
Допускается использовать аппарат меньших размеров (аппарат Каро, представленный на рисунке А.1) в котором карбид кальция разлагается в выносном генераторе с головкой, исполняющей роль загрузочной камеры. По техническим и метрологическим характеристикам аппарат Каро не уступает аппарату, изображенному на рисунке 1 п.8.4.3.
1 - генератор, 2 - гибкий шланг, 3 - текстолитовая муфта, 4 - головка, 5 - наружная обечайка, 6 - внутренняя обечайка, 7 - колокол газгольдера, 8 - труба входа ацетилена, 9 - гибкий шланг, 10 - чашка сбора шлама, 11 - термометр, 12 - патрубок выпуска ацетилена, 13 - проушина, 14 - тросик, 15 - U-образный манометр, 16 - направляющие блоки, 17 - уравновешивающий груз, 18 - шкала, 19 - стойка, 20 - указатель-стрелка.
Рисунок А.1 - Аппарат Каро для определения литража карбида кальция
Аппарат Каро состоит из 3-х основных частей: генератора, газгольдера с плавающим колоколом и системы противовеса. На плоской крышке колокола помещают: U-образный манометр для контроля за уравниванием давления ацетилена в газгольдере и наружного воздуха, термометр, патрубок для стравливания ацетилена, проушина для троса противовеса. Воду, насыщенную ацетиленом, заливают в обечайку аппарата Каро. Готовят ее разложением 100 г карбида кальция в 10 дм3 воды. Генератор представляет собой высокий цилиндр, имеющий загрузочную камеру карбида кальция. Генератор соединен шлангом с обечайкой аппарата и газгольдером.
Для проведения анализа в аппарате Каро навеску карбида кальция в количестве (100±1,0) г, взвешенную на технических весах с погрешностью не более 1,0 г быстро без потерь пересыпают в загрузочную камеру. Загрузочную камеру с навеской присоединяют к генератору, заполненному 0,5 дм3 водой, насыщенной ацетиленом. Слегка встряхивают камеру и карбид кальция пересыпается в генератор, где происходит его разложение. Выделяющийся ацетилен поступает в газгольдер аппарата.
После прекращения разложения карбида кальция давление ацетилена в газгольдере уравнивают с атмосферным при помощи противовеса. Записывают объем, температуру газа и атмосферное давление.
Обработка результатов проводится по п.8.4.6 настоящего стандарта. Требования к показателям точности измерения и проверка приемлемости результатов по 8.4.2 и 8.4.6 настоящего стандарта.
Библиография
официальное издание
М.: Стандартинформ, 2014
, % при P=0,95

