Йод технический ГОСТ 545-76
Йод технический. Технические условия (с Изменениями N 1, 2, 3, 4) ГОСТ 545-76
ГОСТ 545-76
Группа Л11
МЕЖГОСУДАРСТВЕННЫЙ СТАНДАРТ
ЙОД ТЕХНИЧЕСКИЙ
Технические условия
Iodine for industrial use. Specifications
ОКП 21 1291
Дата введения 1978-01-01
ИНФОРМАЦИОННЫЕ ДАННЫЕ
1. РАЗРАБОТАН И ВНЕСЕН Министерством химической промышленности СССР
2. УТВЕРЖДЕН И ВВЕДЕН В ДЕЙСТВИЕ Постановлением Государственного комитета стандартов Совета Министров СССР от 22.10.76 N 2372
3. Срок проверки - 1997 г.
Периодичность проверки - 5 лет
4. ВЗАМЕН ГОСТ 545-71
5. ССЫЛОЧНЫЕ НОРМАТИВНО-ТЕХНИЧЕСКИЕ ДОКУМЕНТЫ
|
Обозначение НТД, на который дана ссылка |
Номер пункта, подпункта |
|
ГОСТ 12.1.005-88 |
2а.З; 2а.5 |
|
ГОСТ 12.1.007-76 |
2а.З |
|
3.3.1 |
|
|
ГОСТ 1770-74 |
3.3.1 |
|
ГОСТ 4212-76 |
3.3.1 |
|
3.2.1 |
|
|
3.3.1 |
|
|
3.3.1 |
|
|
3.3.1; 3.6.1 |
|
|
3.2.1; 3.3.1 |
|
|
ГОСТ 8777-80 |
4.1 |
|
3.6.2 |
|
|
ГОСТ 9570-84 |
4.5 |
|
3.2.1; 3.4.1 |
|
|
3.3.1 |
|
|
ГОСТ 14192-96 |
4.3 |
|
ГОСТ 15102-75 |
4.5 |
|
ГОСТ 17065-94 |
4.1 |
|
ГОСТ 19433-88 |
4.3 |
|
ГОСТ 19908-90 |
3.5.1 |
|
3.4.1 |
|
|
ГОСТ 20435-75 |
4.5 |
|
ГОСТ 24234-80 |
4.1 |
|
ГОСТ 25336-82 |
3.2.1; 3.3.1; 3.4.1; 3.5.1; 3.6.1 |
|
ГОСТ 25794.2-83 |
3.2.1; 3.4.1 |
|
ГОСТ 26319-84 |
4.1 |
|
3.2.1; 3.4.1 |
6. Ограничение срока действия снято Постановлением Госстандарта от 07.04.92 N 367
7. ИЗДАНИЕ (март 2002 г.) с Изменениями N 1, 2, 3, 4, утвержденными в январе 1982 г., январе 1987 г., ноябре 1987 г., апреле 1992 г. (ИУС 4-82, 4-87, 2-88, 7-92)
Настоящий стандарт распространяется на технический йод, изготовляемый для нужд народного хозяйства и экспорта, представляющий собой кристаллический продукт серо-черного цвета с металлическим блеском, размером кусков около 30 мм.
Формула: I2
Молекулярная масса (по международным атомным массам 1985 г.) - 253,809.
Требования настоящего стандарта являются обязательными, кроме п.5 таблицы.
(Измененная редакция, Изм. N 2, 4).
1. МАРКИ И ТЕХНИЧЕСКИЕ ТРЕБОВАНИЯ
1.1а. Технический йод должен быть изготовлен в соответствии с требованиями настоящего стандарта по технологическому регламенту, утвержденному в установленном порядке.
(Введен дополнительно, Изм. N 1).
1.1. В зависимости от способа получения и применения йод выпускают двух марок:
А - для производства синтетического каучука, лекарственных средств, редких металлов;
Б - для производства йодистых солей.
(Измененная редакция, Изм. N 2).
1.2. По физико-химическим показателям технический йод должен соответствовать нормам, указанным в таблице.
(Измененная редакция, Изм. N 1, 4).
2а. ТРЕБОВАНИЯ БЕЗОПАСНОСТИ
2а.1. Йод пожаро- и взрывобезопасен, токсичен.
2а.2. Пары йода обладают раздражающим действием на дыхательные пути, слизистую оболочку глаз, ядовиты.
Йод оказывает прижигающее действие на кожу и вызывает дерматиты.
2а.3. Предельно допустимая концентрация паров йода в воздухе рабочей зоны помещений - 1 мг/м3 по ГОСТ 12.1.005. В соответствии с ГОСТ 12.1.007 йод относится ко 2-му классу опасности.
2а.4. Подготовку проб и проведение анализов, связанных с выделением свободного йода, проводят в вытяжном шкафу.
2а.5. Рабочие помещения должны быть оборудованы приточно-вытяжной вентиляцией, обеспечивающей чистоту воздуха в соответствии с ГОСТ 12.1.005.
Разд.2а. (Введен дополнительно, Изм. N 2).
2. ПРАВИЛА ПРИЕМКИ
2.1. Технический йод принимают партиями. Партией считают любое количество йода, однородного по своим показателям качества, сопровождаемого одним документом о качестве, но не более суточной выработки.
Документ о качестве должен содержать:
наименование предприятия-изготовителя или его товарный знак;
наименование продукта и его марку;
номер партии;
количество тарных мест в партии и их порядковые номера;
дату изготовления;
массу нетто;
результаты анализов;
обозначение настоящего стандарта.
2.2. Для проверки качества йода отбирают каждую единицу упаковки.
2.1, 2.2. (Измененная редакция, Изм. N 1).
2.3. При получении неудовлетворительных результатов анализа хотя бы по одному из показателей проводят повторный анализ на удвоенной выборке.
Результаты повторного анализа распространяются на всю партию.
2.4. Массовую долю воды в продукте определяют по требованию потребителя.
(Введен дополнительно, Изм. N 4).
3. МЕТОДЫ АНАЛИЗА
3.1. Отбор проб
3.1.1. Разовые пробы йода отбирают щупом, погружая его до дна единицы упаковки. Масса точечной пробы должна быть не менее 50 г. От каждой единицы упаковки отбирают не менее трех точечных проб.
3.1.2. Отобранные точечные пробы соединяют вместе, тщательно перемешивают, сокращают методом квартования до массы средней пробы не менее 300 г и измельчают.
3.1.1, 3.1.2. (Измененная редакция, Изм. N 1).
3.1.3. Полученную среднюю пробу помещают в чистую сухую банку с притертой пробкой. На банку наклеивают этикетку с указанием наименования продукта, номера партии, даты отбора пробы.
3.2. Определение массовой доли йода
3.2.1. Аппаратура, реактивы и растворы
Стаканчик СН-34/12, СН-45/13, СВ-24/10 по ГОСТ 25336.
Колба Кн-1(2)-250-19/26 ТС по ГОСТ 25336.
Бюретка вместимостью 50 см3.
Калий йодистый по ГОСТ 4232, х. ч.
натрий серноватистокислый по ГОСТ 27068, раствор с молярной концентрацией эквивалента 0,1 моль/дм3 (0,1 н.), приготовленный по ГОСТ 25794.2.
Крахмал растворимый по ГОСТ 10163 с массовой долей в растворе 1%.
Вода дистиллированная по ГОСТ 6709.
Весы лабораторные общего назначения 1-го или 2-го класса точности с наибольшим пределом взвешивания 200 г.
3.2.2. Проведение анализа
Около 0,4 г йода взвешивают (результат взвешивания в граммах записывают с точностью до четвертого десятичного знака) в предварительно взвешенную бюксу, содержащую 3 г йодистого калия и 5 см3 воды.
В коническую колбу с притертой пробкой вместимостью 250 см3 приливают около 100 см3 3%-ного раствора йодистого калия, затем в колбу переносят содержимое бюксы, тщательно перемешивают и титруют раствором серноватистокислого натрия, прибавляя в конце титрования раствор крахмала.
3.2.3. Обработка результатов
Массовую долю технического йода (X) в процентах вычисляют по формуле
где V - объем раствора серноватистокислого натрия концентрации точно 0,1 моль/дм3, израсходованный на титрование, см3;
0,01269 - масса йода, соответствующая 1 см3 раствора серноватистокислого натрия концентрации точно 0,1 моль/дм3, г;
m - масса навески, г.
За результат анализа принимают среднее арифметическое двух параллельных определений, допускаемые расхождения между которыми не должны превышать 0,7% при доверительной вероятности P=0,95.
3.2.1-3.2.3. (Измененная редакция, Изм. N 2).
3.3. Определение массовой доли хлорида и бромида
3.3.1. Аппаратура, реактивы и растворы
Стаканчик СН-34/12, СН-45/13, СВ-24/10 по ГОСТ 25336.
Стакан В-1-250 ТС по ГОСТ 25336.
Цилиндр 1(3)-100 по ГОСТ 1770.
Цилиндр 1(3)-5 по ГОСТ 1770.
Колба 1(2)-100-2 по ГОСТ 1770.
Воронка В по ГОСТ 25336.
Натрия гидроокись по ГОСТ 4328, раствор с молярной концентрацией эквивалента 0,2 моль/дм3 (0,2 н.).
Кислота ортофосфорная по ГОСТ 6552.
Кислота азотная по ГОСТ 4461 с массовой долей в растворе 1 и 25%.
Водорода перекись по ГОСТ 10929.
Серебро азотнокислое по ГОСТ 1277, раствор с молярной концентрацией эквивалента 0,1 моль/дм3 (0,1 н.).
Раствор, содержащий хлорид-ион, готовят по ГОСТ 4212.
Вода дистиллированная по ГОСТ 6709.
Весы лабораторные общего назначения 1-го или 2-го класса точности с наибольшим пределом взвешивания 200 г.
(Измененная редакция, Изм. N 2).
3.3.2. Проведение анализа
Около 1 г йода взвешивают (результат взвешивания в граммах записывают с точностью до второго десятичного знака) в предварительно взвешенной бюксе, переносят в химический стакан вместимостью 200-250 см3 и добавляют 50 см3 0,2 н. раствора гидроокиси натрия. Содержимое стакана перемешивают стеклянной палочкой до полного растворения йода, прибавляют 1 см3 раствора ортофосфорной кислоты, после этого кипятят до обесцвечивания, проверяя полноту удаления йода йодкрахмальной бумагой. Затем в кипящий раствор приливают 1 см3 перекиси водорода и продолжают кипятить до полного обесцвечивания. Объем анализируемого раствора в стакане при кипячении поддерживают равным 50 см3, для этого периодически добавляют воду.
Охлажденный раствор количественно переносят в мерную колбу вместимостью 100 см3, доводят водой до метки, тщательно перемешивают, а затем фильтруют через плотный беззольный фильтр "синяя лента", предварительно промытый горячим 1%-ным раствором азотной кислоты. К 20 см3 фильтрата и к такому же объему раствора сравнения, приготовленному одновременно и содержащему
для марки А - 0,02 мг Cl;
для марки Б - 0,03 мг Cl,
добавляют по 1 см3 25%-ного раствора азотной кислоты, по 1 см3 0,1 н. раствора азотнокислого серебра и перемешивают.
Йод считают соответствующим настоящему стандарту, если наблюдаемая через 20 мин опалесценция анализируемого раствора не будет интенсивнее опалесценции раствора сравнения.
(Измененная редакция, Изм. N 1, 2).
3.4. Определение массовой доли органических веществ
3.4.1. Аппаратура, реактивы и растворы
Шкаф сушильный.
Весы лабораторные общего назначения 1-го или 2-го класса точности с наибольшим пределом взвешивания 200 г.
Баня водяная.
Эксикатор по ГОСТ 25336.
Стаканчик СН-45/13 по ГОСТ 25336.
натрий серноватистокислый по ГОСТ 27068, раствор с молярной концентрацией эквивалента 0,01 моль/дм3 (0,01 н.), приготовленный по ГОСТ 25794.2.
Хлороформ по ГОСТ 20015.
Крахмал растворимый по ГОСТ 10163, с массовой долей в растворе 1%.
(Измененная редакция, Изм. N 2).
3.4.2. Проведение анализа
В бюксу, предварительно высушенную до постоянной массы и взвешенную (результат взвешивания в граммах записывают с точностью до четвертого десятичного знака), помещают около 5 г хорошо растертого йода и взвешивают (результат взвешивания в граммах записывают с точностью до второго десятичного знака). Навеску распределяют тонким слоем по дну бюксы, ставят на водяную баню и отгоняют йод. Конец отгонки определяют по прекращении выделения фиолетовых паров. После отгонки йода стаканчик помещают в сушильный шкаф, сушат 15 мин при температуре (100±5) °С, охлаждают в эксикаторе, после этого взвешивают нелетучий остаток (результат взвешивания в граммах записывают с точностью до четвертого десятичного знака).
Для проверки полноты отгонки йода остаток количественно переносят хлороформом в коническую колбу, тщательно перемешивают и оттитровывают раствором серноватистокислого натрия, прибавляя в конце титрования крахмал.
(Измененная редакция, Изм. N 1, 2).
3.4.3. Обработка результатов
Массу неотогнанного йода (m1) в граммах вычисляют по формуле
m1=V x 0,001269
где V - объем раствора серноватистокислого натрия концентрации точно 0,01 моль/дм3, см3;
0,001269 - масса йода, соответствующая 1 см3 раствора серноватистокислого натрия концентрации точно 0,01 моль/дм3, г.
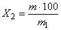
Массовую долю органических веществ (X1) в процентах вычисляют по формуле
где m - масса навески, г;
m1 - масса неотогнанного йода, г;
m2 - масса нелетучего остатка, г;
X2 - массовая доля остатка при прокаливании, определяемая по п.3.5, %.
За результат анализа принимают среднее арифметическое двух параллельных определений, допускаемые расхождения между которыми не должны превышать 20% относительно среднего результата определения вычисляемой концентрации при доверительной вероятности P=0,95.
(Измененная редакция, Изм. N 2, 4).
3.5. Определение массовой доли остатка при прокаливании
(Измененная редакция, Изм. N 4).
3.5.1. Аппаратура
Чаша типа КП-20 по ГОСТ 19908.
Печь муфельная.
Баня водяная или песчаная.
Эксикатор по ГОСТ 25336.
Весы лабораторные общего назначения 1-го или 2-го класса точности с наибольшим пределом взвешивания 200 г.
(Измененная редакция, Изм. N 2).
3.5.2. Проведение анализа
Около 8 г хорошо растертого йода помещают в кварцевую чашу, прокаленную до постоянной массы при 800°С, накрывают часовым стеклом и взвешивают (результат взвешивания в граммах записывают с точностью до второго десятичного знака).
Кварцевую чашу, накрытую часовым стеклом, предварительно взвешивают (результат взвешивания в граммах записывают с точностью до четвертого десятичного знака).
Навеску йода испаряют на водяной или песчаной бане, а затем прокаливают в муфельной печи при 800 °С, охлаждают в эксикаторе и взвешивают (результат взвешивания в граммах записывают с точностью до четвертого десятичного знака).
(Измененная редакция, Изм. N 1, 2).
3.5.3. Обработка результатов
Массовую долю остатка при прокаливании (X2) в процентах вычисляют по формуле
где m - масса прокаленного остатка, г;
m1 - масса навески йода, г.
За результат анализа принимают среднее арифметическое двух параллельных определений, допускаемые расхождения между которыми не должны превышать 20%, относительно среднего результата определения вычисляемой концентрации при доверительной вероятности P=0,95.
(Измененная редакция, Изм. N 2, 4).
3.6. Определение массовой доли воды
3.6.1. Аппаратура и реактивы
Прибор вторичный типа КСП-4 с шириной диаграммной ленты 250 мм, скоростью движения 240 мм/ч, значением шкалы - 10 мВ.
Влагомер типа "Корунд" с датчиком, представляющим собой трубчатый чувствительный элемент (черт.1).
Склянка Тищенко для промывания газов по ГОСТ 25336, типа СПТ.
Черт.1. Влагомер типа "Корунд" с датчиком
1 - корпус чувствительного элемента; 2 - платиновые геликоидальные электроды; 3 - гидроскопическая пленка (пятиокись фосфора)
Черт.1
Весы лабораторные общего назначения 1-го или 2-го класса точности с наибольшим пределом взвешивания 200 г.
Фторопластовый цилиндр (черт.2).
Черт.2. Фторопластовый цилиндр
1 - пробка; 2 - отверстие для ввода шприца
Черт.2
Печь для сублимации йода (черт.3).
Черт.3.Печь для сублимации йода
1 - нагревательный элемент; 2 - изоляция из асбестового листа
Черт.3
Шприц медицинский со стеклянным поршнем, вместимостью 1 см3 (черт.4).
Черт.4. Шприц медицинский со стеклянным поршнем, вместимостью 1 куб.м

Черт.4
Холодильник стеклянный по ГОСТ 25336, типа ХПГ-100.
Лабораторный автотрансформатор типа ЛАТР-1 или ЛАТР-2м.
Кислота ортофосфорная по ГОСТ 6552, х. ч.
Магний хлорнокислый безводный.
Азот газообразный по ГОСТ 9293.
(Измененная редакция, Изм. N 2).
3.6.2. Подготовка к анализу
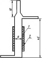
Установку (см. черт.5) проверяют на герметичность и выводят на режим в соответствии с инструкцией по монтажу и эксплуатации прибора "Корунд", при этом ток электролиза должен соответствовать паспортным данным.
Для отбора пробы во фторопластовый цилиндр помещают 15-20 г растертого йода, хорошо перемешивают встряхиванием.
Места соединений шприца с фторопластовым цилиндром и печью для сублимации йода должны быть пришлифованы. Холодильник по мере загрязнения промывают раствором серноватистокислого натрия.
3.6.3. Проведение анализа
Шприц, предварительно взвешенный (результат взвешивания в граммах записывают с точностью до четвертого десятичного знака), вводят во фторопластовый цилиндр, который затем переворачивают и отбирают навеску. Тщательно очищают наружную поверхность шприца от остатков йода и взвешивают.
Черт.5. Установка для определения воды
Установка для определения воды
1 - баллон с азотом; 2 - редуктор; 3 - резиновый шланг; 4 - склянка Тищенко (с ангидроном); 5 - склянка Тищенко (с P2O5); 6 - фторопластовая трубка; 7 - печь для сублимации йода; 8 - холодильник; 9 - стеклянный фильтр; 10 - чувствительные элементы; 11 - ротаметр
Черт.5
Шприц с навеской вводят в нагретую до 120-130 °С печь. Систему продувают осушенным азотом и после выхода прибора на рабочий режим дозируют йод, который сублимируется в печи и кристаллизуется в холодильнике, охлаждаемом водопроводной водой, при этом влага, содержащаяся в йоде, потоком осушенного азота подается на чувствительные элементы датчика прибора "Корунд".
Вторичный прибор фиксирует пик и выходит на начальные показания, после этого можно вводить следующую пробу йода.
На время отбора пробы печь для сублимации закрывают притертой стеклянной пробкой.
Площадь пика соответствует массовой доле воды в продукте. Пики взвешивают (результат взвешивания в граммах записывают с точностью до четвертого десятичного знака).
Для определения массы 1 мм2 площади диаграммной бумаги одновременно с пиком вырезают площадку размером 50 х 100 мм и взвешивают с той же точностью. Массу 1 мм2 диаграммной бумаги (m2) в миллиграммах вычисляют по формуле
где m - масса площадки, мг.
3.6.4. Обработка результатов
Массовую долю воды в йоде (X3) в процентах вычисляют по формуле
где
- масса воды, соответствующая 1 мм2 площади пика, мг;
Kп - коэффициент загрубления прибора;
m - масса площади пика, мг;
m1 - масса навески йода, мг;
m2 - масса 1 мм2 диаграммной бумаги, мг.
За результат анализа принимают среднее арифметическое двух параллельных определений, допускаемые расхождения между которыми не должны превышать 20% относительно среднего результата определения вычисляемой концентрации при доверительной вероятности P=0,95.
3.6.3, 3.6.4. (Измененная редакция, Изм. N 2).
4. УПАКОВКА, МАРКИРОВКА, ТРАНСПОРТИРОВАНИЕ И ХРАНЕНИЕ
4.1. Йод упаковывают в картонные навивные барабаны по ГОСТ 17065, типов I, II или III, вместимостью не более 28 дм3, толщиной фанерного дна не менее 5 мм, с вкладышем из полиэтилентерефталатной пленки по ГОСТ 24234 или другой нормативной документации или в деревянные бочки по ГОСТ 8777 вместимостью 15, 25 дм3, с вкладышем из полиэтилентерефталатной пленки по ГОСТ 24234 или другой НД. Масса нетто - не более 50 кг.
При поставке на экспорт йод упаковывают в соответствии с требованиями ГОСТ 26319, условиями договора предприятия с внешнеэкономической организацией или контракта с иностранным покупателем.
(Измененная редакция, Изм. N 1, 2, 3, 4).
4.2. Мешки-вкладыши завариваются.
4.3. Транспортная маркировка - по ГОСТ 14192 с нанесением манипуляционных знаков "Беречь от нагрева", "Беречь от влаги", "Герметичная упаковка" и дополнительных надписей, характеризующих продукцию:
наименования продукта и его марки;
номера партии и места;
даты изготовления;
обозначения настоящего стандарта;
обозначения знака опасности по ГОСТ 19433 (классификационный шифр 8373, черт. 8, серийный номер ООН 1759).
(Измененная редакция, Изм. N 4).
4.4. (Исключен, Изм. N 1).
4.5. Йод транспортируют любым видом транспорта в крытых транспортных средствах в соответствии с правилами перевозки грузов, действующими на данном виде транспорта.
Транспортирование йода по железной дороге и водным транспортом осуществляют мелкими отправками на поддонах типа "4Я с цельными стенками и крышкой" по ГОСТ 9570 или в универсальных контейнерах по ГОСТ 15102 или ГОСТ 20435.
(Измененная редакция, Изм. N 1, 2).
4.6. Йод хранят в упакованном виде в крытых складских помещениях, исключающих попадание прямых солнечных лучей на тару с продуктом.
4.7. (Исключен, Изм. N 4).
5. ГАРАНТИИ ИЗГОТОВИТЕЛЯ
5.1. Изготовитель гарантирует соответствие йода требованиям настоящего стандарта при соблюдении условий транспортирования и хранения.
(Измененная редакция, Изм. N 2).
5.2. Гарантийный срок хранения йода - год со дня изготовления.
(Измененная редакция, Изм. N 1).
Разд. 6. (Исключен, Изм. N 2).
официальное издание
М.: ИПК Издательство стандартов, 2002