Этиленгликоль ГОСТ 19710-83
этиленгликоль. Технические условия (с Изменениями N 1, 2, 3) ГОСТ 19710-83
Группа Л21
ГОСУДАРСТВЕННЫЙ СТАНДАРТ СОЮЗА ССР
Технические условия
Ethylene glycol. Specifications
ОКП 24 2212
Дата введения 1984-07-01
ИНФОРМАЦИОННЫЕ ДАННЫЕ
1. РАЗРАБОТАН И ВНЕСЕН Министерством химической промышленности СССР
РАЗРАБОТЧИКИ
А.Ф.Мазанко, Г.Г.Жукова, М.Л.Михель, Г.К.Гончаров, Р.И.Балабан, А.В.Борисов, Е.А.Карсанина
2. УТВЕРЖДЕН И ВВЕДЕН В ДЕЙСТВИЕ Постановлением Государственного комитета СССР по стандартам от 25.07.83 N 3432
3. ВЗАМЕН ГОСТ 19710-74
4. ССЫЛОЧНЫЕ НОРМАТИВНО-ТЕХНИЧЕСКИЕ ДОКУМЕНТЫ
|
Обозначение НТД, на который дана ссылка |
Номер пункта, подпункта |
|
ГОСТ 12.1.005-88 |
2.2 |
|
ГОСТ 12.4.034-85 |
2.5 |
|
ГОСТ 427-75 |
4.4.1 |
|
ГОСТ 1770-74 |
4.5.2.1; 4.7.1; 4.9.1 |
|
ГОСТ 2517-85 |
4.1 |
|
4.4.1 |
|
|
4.4.1 |
|
|
4.4.1 |
|
|
4.5.2.1 |
|
|
4.9.1 |
|
|
ГОСТ 4517-87 |
4.9.1 |
|
ГОСТ 4919.1-77 |
4.9.1 |
|
ГОСТ 6247-79 |
5.1 |
|
ГОСТ 6563-75 |
4.6 |
|
ГОСТ 6613-86 |
4.4.1 |
|
4.4.1; 4.11.1 |
|
|
4.4.1 |
|
|
ГОСТ 9147-80 |
4.4.1 |
|
4.4.1 |
|
|
ГОСТ 9557-87 |
5.6 |
|
ГОСТ 10136-77 |
4.4.1 |
|
ГОСТ 10555-75 |
4.7.1 |
|
ГОСТ 13950-91 |
5.1 |
|
ГОСТ 14192-77 |
5.3 |
|
ГОСТ 14870-77 |
4.8 |
|
4.4.1; 4.9.1 |
|
|
ГОСТ 18995.2-73 |
4.10 |
|
ГОСТ 19433-88 |
3.1; 5.3 |
|
4.4.1 |
|
|
ГОСТ 19908-90 |
4.6 |
|
4.4.1 |
|
|
ГОСТ 21029-75 |
5.1 |
|
ГОСТ 21140-88 |
5.6 |
|
ГОСТ 21650-76 |
5.6 |
|
ГОСТ 24104-88 |
4.4.1; 4.9.1 |
|
ГОСТ 24597-81 |
5.6 |
|
ГОСТ 25336-82 |
4.4.1; 4.5.2.1; 4.9.1 |
|
ГОСТ 25706-83 |
4.4.1 |
|
ГОСТ 25794.1-83 |
4.9.1 |
|
ГОСТ 26155-84 |
5.1 |
|
ГОСТ 26319-84 |
5.4 |
|
ГОСТ 26663-85 |
5.6 |
|
ГОСТ 27025-86 |
4.3 |
|
ГОСТ 27184-86 |
4.6 |
|
ГОСТ 29131-91 |
4.5.2.2 |
|
ТУ 6-09-3331-78 |
4.4.1 |
|
ТУ 51-940-80 |
4.4.1 |
5. Ограничение срока действия снято Постановлением Госстандарта от 18.06.92 N 552
6. ПЕРЕИЗДАНИЕ (февраль 1997 г.) с Изменениями N 1, 2, 3, утвержденными в апреле 1985 г., декабре 1988 г., июне 1992 г. (ИУС 7-85, 3-89, 9-92)
Настоящий стандарт распространяется на этиленгликоль, получаемый гидратацией окиси этилена, и устанавливает требования к этиленгликолю, изготовляемому для нужд народного хозяйства и экспорта.
этиленгликоль применяют в производстве синтетических волокон, смол, растворителей, низкозамерзающих и гидравлических жидкостей и для других целей.
По внешнему виду этиленгликоль представляет собой прозрачную жидкость.
Формула: HOCH2CH2OH
Относительная молекулярная масса (по международным атомным массам 1987 г.) - 62,07.
(Измененная редакция, Изм. N 2, 3).
1. ТЕХНИЧЕСКИЕ ТРЕБОВАНИЯ
1.1. этиленгликоль должен быть изготовлен в соответствии с требованиями настоящего стандарта по технологическому регламенту, утвержденному в установленном порядке.
1.2. По физико-химическим показателям этиленгликоль должен соответствовать требованиям и нормам, указанным в таблице.
Примечание. Допускается выпускать продукт с нормой, указанной в скобках, до 01.07.91.
(Измененная редакция, Изм. N 2, 3).
2. ТРЕБОВАНИЯ БЕЗОПАСНОСТИ
2.1. этиленгликоль обладает наркотическим действием. При попадании внутрь может вызвать хроническое отравление с поражением жизненно важных органов (действует на сосуды, почки, нервную систему). этиленгликоль может проникать через кожные покровы.
2.2. Предельно допустимая концентрация (ПДК) этиленгликоля в воздухе рабочей зоны 5 мг/м3. этиленгликоль относится к третьему классу опасности (ГОСТ 12.1.005-88). Из-за низкой упругости паров этиленгликоль не представляет опасности острых отравлений при вдыхании.
2.1, 2.2. (Измененная редакция, Изм. N 3).
2.3. этиленгликоль горюч. Температура вспышки паров 120 °С. Температура самовоспламенения 380 °С. Температурные пределы воспламенения паров в воздухе, °С:
нижний 112,
верхний 124.
Пределы воспламенения паров в воздухе, % (по объему):
нижний 3,8,
верхний 6,4.
2.4. Помещения, в которых проводятся работы с этиленгликолем, должны быть оборудованы приточно-вытяжной вентиляцией. Оборудование должно быть герметичным.
2.5. Производственный персонал должен быть обеспечен специальной одеждой согласно отраслевым нормам и средствами защиты: фартук из пленочной ткани, резиновые перчатки и сапоги, противогаз марки "ФГ-13-А" по ГОСТ 12.4.034* или марки БКФ.
__________
* Действует ГОСТ 12.4.034-2001.
2.6. Доврачебная помощь. При попадании продукта в организм человека через рот необходимо промыть желудок обильным количеством воды или насыщенным раствором питьевой соды, обеспечить пострадавшему покой, тепло и немедленно доставить в медсанчасть.
2.7. этиленгликоль, пролитый на землю или оборудование, необходимо смыть обильной струей воды.
2.8. При попадании этиленгликоля на кожу следует снять одежду и обмыть облитые участки кожи теплой водой с мылом.
2.9. Все производственные помещения должны быть обеспечены средствами пожаротушения в соответствии с табелем, утвержденным в установленном порядке.
2.10. При загорании следует применять тонкораспыленную воду, пену и инертные газы.
3. ПРАВИЛА ПРИЕМКИ
3.1. этиленгликоль принимают партиями. Партией считают любое количество продукта, однородного по показателям качества, но не более 800 т, сопровождаемое одним документом о качестве, содержащим следующие данные:
наименование предприятия-изготовителя и его товарный знак;
наименование продукта и его сорт;
номер партии и дату изготовления;
номера цистерн, входящих в партию;
массу нетто и брутто;
количество грузовых мест в партии;
классификационный шифр 6162 по ГОСТ 19433;
результаты проведенных анализов или подтверждение соответствия качества продукта требованиям настоящего стандарта;
подтверждение о нанесении на упаковку знака опасности по ГОСТ 19433;
обозначение настоящего стандарта.
При доставке продукции на экспорт партией считают каждую цистерну.
(Измененная редакция, Изм. N 2, 3).
3.2. Для проверки качества этиленгликоля отбирают пробы из 2% бочек, но не менее чем из двух бочек или из каждой четвертой цистерны одной партии, но не менее чем из двух цистерн.
Допускается у изготовителя отбор проб из хранилища.
3.3. Цветность после кипячения с соляной кислотой определяют только для этиленгликоля, предназначенного для производства синтетических волокон и смол для пленок.
3.4. Массовую долю железа и массовую долю остатка после прокаливания изготовитель определяет периодически, не реже одного раза в квартал.
3.5. Показатель преломления изготовитель определяет по требованию потребителя.
3.6. Пропускание в ультрафиолетовой области спектра определяют только в этиленгликоле, предназначенном для экспорта.
3.7. При получении неудовлетворительных результатов анализа хотя бы по одному из показателей проводят повторный анализ по всем показателям на удвоенной выборке бочек и цистерн, взятых от той же партии, или вновь отобранной пробе из хранилища. Результаты повторного анализа распространяются на всю партию.
3.2-3.7. (Измененная редакция, Изм. N 2).
4. МЕТОДЫ АНАЛИЗА
4.1. Точечные пробы для анализа отбирают по ГОСТ 2517.
При этом точечную пробу из железнодорожной цистерны отбирают переносным пробоотборником с уровня, расположенного на высоте 0,33 диаметра цистерны от нижней внутренней образующей.
Пробу из хранилища отбирают с любого уровня (нижнего, среднего, верхнего). Перед отбором пробы продукт в хранилище перемешивают.
(Измененная редакция, Изм. N 2).
4.2. Точечные пробы соединяют, перемешивают и объединенную пробу помещают в склянку с пришлифованной пробкой или в банку с навинчивающейся крышкой.
На склянку наклеивают этикетку с указанием наименования продукта и его сорта, обозначения настоящего стандарта, номера партии, даты отбора пробы, фамилии лица, отобравшего пробу.
Объем пробы для анализа должен быть не менее 1 дм3.
4.3. Общие указания по проведению анализа - по ГОСТ 27025.
Допускается использование аппаратуры с техническими и метрологическими характеристиками, а также реактивов по качеству не ниже указанных в настоящем стандарте.
Результаты анализа округляют до того десятичного знака, который указан в таблице технических требований.
4.4. Определение массовой доли этиленгликоля и диэтиленгликоля
Массовую долю этиленгликоля определяют по разности, вычитая из 100% массовые доли воды, диэтиленгликоля и триэтиленгликоля.
Массовую долю диэтиленгликоля и триэтиленгликоля определяют методом газовой хроматографии в изотермическом режиме с использованием колонки I или колонки II. Определение проводят методом "внутреннего эталона".
4.4.1. Аппаратура, реактивы
Хроматограф аналитический газовый лабораторный с пламенно-ионизационным детектором.
Колонка газохроматографическая стальная или стеклянная длиной 1 м внутренним диаметром 3 мм.
Весы лабораторные 2-го и 3-го класса точности по ГОСТ 24104* с наибольшим пределом взвешивания 200 и 500 г.
_______________
* Действует ГОСТ 24104-2001, здесь и далее.
Линейка измерительная металлическая по ГОСТ 427 с ценой деления 1 мм.
Термометр любого типа, обеспечивающий измерение температуры в интервале от 40 до 60 °С, от 140 до 200 °С.
Секундомер.
Лупа типа ЛИ по ГОСТ 25706 с ценой деления 0,1 мм.
Интегратор электронный.
Микрошприц МШ-10.
Стакан по ГОСТ 25336 типа В вместимостью 50 и 100 см3.
Воронка типа ВФО по ГОСТ 25336.
Стаканчик для взвешивания по ГОСТ 25336 типа СВ.
Чашка выпарительная по ГОСТ 9147 N 4 или 5.
Сито с сетками 025 и 05 по ГОСТ 6613.
Полисорб-1 с частицами размером 0,250-0,315 мм или инертон супер с частицами размером 0,16-0,20 или 0,250-0,315 мм. Допускается применение других твердых носителей, обеспечивающих разделение и определение массовой доли примесей с погрешностью не более чем на указанных твердых носителях.
полиэтиленгликоль с молекулярной массой 20000 (ПЭГ-20М).
Гелий газообразный марки А по ТУ 51-940 или азот газообразный по ГОСТ 9293.
Водород технический марки А или Б по ГОСТ 3022 или водород электролизный от генератора СГС-2.
Воздух сжатый для питания контрольно-измерительных приборов.
Хлороформ фармакопейный или по ГОСТ 20015.
Спирт этиловый ректификованный технический по ГОСТ 18300 высшего сорта.
Вода дистиллированная по ГОСТ 6709 или Вода эквивалентной чистоты.
Ацетон по ГОСТ 2603 или Ацетон технический по ГОСТ 2768.
Эфир этиловый.
Нонанол-1, ч., по ТУ 6-09-3331.
Диэтиленгликоль по ГОСТ 10136 высшего сорта.
триэтиленгликоль с массовой долей основного вещества не менее 98%.
Спирт бензиловый по ГОСТ 8751, ч.
этиленгликоль по ГОСТ 19710 высшего сорта.
4.2-4.4.1. (Измененная редакция, Изм. N 2, 3).
4.4.2. Подготовка к анализу
(Измененная редакция, Изм. N 2).
4.4.2.1. Приготовление насадки и заполнение хроматографической колонки
Перед нанесением неподвижной фазы полисорб-1 инертон супер отсеивают с помощью металлических сит и отбирают необходимую фракцию. Полисорб-1 переносят на воронку типа ВФО и последовательно промывают ацетоном, этиловым спиртом, взятыми в 3-5-кратном объеме от объема полисорба-1, затем сушат при комнатной температуре в вытяжном шкафу.
Насадку готовят следующим образом: полиэтиленгликоль, взятый в количестве 3% от массы полисорба-1 (насадка I) или 5% от массы инертона супер (насадка II), и полисорб-1 (инертон супер) взвешивают. Результаты взвешиваний в граммах записывают до второго десятичного знака. полиэтиленгликоль растворяют в хлороформе, полученный раствор при непрерывном перемешивании приливают к полисорбу-1 (инертону супер), помещенному в выпарительную чашку. Количество раствора должно быть таким, чтобы полисорб-1 (инертон супер) был полностью смочен раствором. Выпарительную чашку помещают на водяную баню, нагретую до 40-60 °С и, непрерывно перемешивая ее содержимое, испаряют растворитель до сыпучего состояния сорбента.
Хроматографические колонки промывают водой, ацетоном и сушат, после этого колонку I из нержавеющей стали заполняют раствором ПЭГ-20М в ацетоне с массовой долей 0,5%. Через 5 мин раствор сливают и колонку осторожно высушивают сжатым воздухом. Стеклянная колонка и стальная колонка II в такой обработке не нуждается.
Затем в колонку вносят небольшими порциями насадку и уплотняют ее с помощью вибратора (или постукиванием) и водоструйного насоса, подсоединенного к противоположному от ввода насадки концу колонки. Концы заполненной колонки закрывают стекловатой или стеклотканью. Заполненную колонку устанавливают в термостат хроматографа, не присоединяя к детектору, и продувают ее газом-носителем в течение 8-10 ч, постепенно повышая температуру от комнатной до 200 °С, затем в течение 18-20 ч при 200 °С.
Монтаж, наладку и вывод хроматографа на рабочий режим производят в соответствии с инструкцией, прилагаемой к прибору.
4.4.2.2. Режим градуировки и работы хроматографа
Хроматографический анализ и градуировку прибора проводят при следующих условиях:
Число эффективных теоретических тарелок (N) вычисляют по формуле
где l - расстояние на хроматограмме от точки ввода пробы до максимума пика диэтиленгликоля, см;
- ширина пика диэтиленгликоля на половине его высоты, см.
В зависимости от модели применяемого хроматографа и партии адсорбента в режим работы хроматографа могут быть внесены некоторые изменения с целью достижения полного хроматографического разделения примесей и контроля их содержания с погрешностью, указанной в настоящем стандарте.
Типовые хроматограммы этиленгликоля с использованием колонок I и II приведены на черт.1 и 2 соответственно. Методика с использованием колонки I является арбитражной.
Черт.1. Типовая хроматограмма этиленгликоля с использованием колонки I
Типовая хроматограмма этиленгликоля с использованием колонки I
![]()
1 - этиленгликоль; 2 - Диэтиленгликоль; 3 - нонанол-1; 4 - триэтиленгликоль
Черт.1
Черт.2. Типовая хроматограмма этиленгликоля с использованием колонки II
Типовая хроматограмма этиленгликоля с использованием колонки II
![]()
1, 2 - неидентифицированные примеси; 3 - этиленгликоль;
4 - бензиловый спирт ("внутренний эталон");
5 - Диэтиленгликоль; 6 - триэтиленгликоль
Черт.2
4.4.3. Градуировка хроматографа
Массовую долю органических примесей в этиленгликоле определяют методом "внутреннего эталона" с учетом градуировочных коэффициентов. В качестве "внутреннего эталона" для колонки I используют нонанол-1, для колонки II - бензиловый спирт. Градуирование хроматографа осуществляют по 4-5 градуировочным смесям, приготовленным гравиметрическим способом.
В стаканчик для взвешивания помещают последовательно этиленгликоль и "внутренний эталон", взятый в количестве 0,05-0,20% от массы этиленгликоля. Результаты взвешиваний в граммах записывают до четвертого десятичного знака.
Смесь перемешивают, отбирают микрошприцем не менее двух раз необходимый объем и вводят в испаритель хроматографа для проверки хроматографической чистоты этиленгликоля. Далее к этой смеси добавляют 0,05-1,0% диэтиленгликоля и триэтиленгликоля.
Полученную градуировочную смесь перемешивают и хроматографируют не менее двух раз.
Относительная погрешность приготовления градуировочных смесей не должна превышать ±10% для каждого примесного компонента и "внутреннего эталона".
Градуировочный коэффициент (Ki) вычисляют по формуле
где
m, mэт - массы определяемого компонента и "внутреннего эталона" соответственно, введенные в градуировочную смесь, г;
Sэт2, Sэт1 - площади пика "внутреннего эталона" на хроматограмме градуировочной смеси и исходного этиленгликоля соответственно, мм2;
Si2, Si1 - площади пика определяемого компонента на хроматограмме градуировочной смеси и исходного этиленгликоля соответственно, мм2.
При отсутствии определяемых примесных компонентов в этиленгликоле, используемом для приготовления градуировочных смесей, принимают Si=Si2.
Площадь пика вычисляют как произведение высоты пика на его ширину, измеренную на середине высоты, с учетом масштаба записи.
Допускается определять площадь пика с помощью электронного интегратора.
Градуировочный коэффициент определяемой примеси определяют как среднее арифметическое результатов всех определений, вычисленных с точностью до второго десятичного знака. Градуировочный коэффициент неидентифицированных примесей принимают равным 1.
Градуировку хроматографа проводят после проведения около 400 анализов, а также при смене насадки и изменении условий хроматографического определения.
4.4.4. Проведение анализа
Около 10 г этиленгликоля взвешивают в стаканчике для взвешивания, добавляют к нему 0,05-0,20% "внутреннего эталона" от массы анализируемого продукта. Результаты взвешиваний записывают в граммах с точностью до четвертого десятичного знака. Смесь тщательно перемешивают, микрошприцем отбирают 1 мм3 и вводят в испаритель хроматографа не менее двух раз.
4.4.5. Обработка результатов
Массовую долю определяемой примеси (Xi) в процентах вычисляют по формуле
где Ki - градуировочный коэффициент определяемой примеси;
Si - площадь пика определяемой примеси, мм2;
mэт - масса навески "внутреннего эталона", г;
Sэт - площадь пика "внутреннего эталона", мм2;
m - масса навески этиленгликоля, взятая для анализа, г.
За результат анализа принимают среднее арифметическое результатов двух параллельных определений диэтиленгликоля, абсолютное расхождение между которыми не превышает допускаемое расхождение, равное 0,02% для продукта высшего сорта и 0,15% для продукта первого сорта.
Допускаемая абсолютная суммарная погрешность результата определения диэтиленгликоля ±0,01 и ±0,15%, этиленгликоля ±0,02 и ±0,17% для продуктов высшего и первого сортов соответственно при доверительной вероятности P=0,95.
Массовую долю этиленгликоля (X) в процентах вычисляют по формуле
где
- сумма массовых долей диэтиленгликоля и триэтиленгликоля, %;
XB - массовая доля воды, определяемая по п.4.8, %.
4.4.2.1-4.4.5. (Измененная редакция, Изм. N 2, 3).
4.5. Определение цвета в единицах Хазена
4.5.1. Цвет в обычном состоянии определяют по ГОСТ 29131.
4.5.2. Определение цвета в единицах Хазена после кипячения с соляной кислотой
4.5-4.5.2. (Измененная редакция, Изм. N 3).
4.5.2.1. Аппаратура, реактивы
Коническая колба по ГОСТ 25336.
Холодильник по ГОСТ 25336.
Цилиндр по ГОСТ 1770 вместимостью 100 см3.
Пипетка вместимостью 1 см3.
Секундомер.
кислота соляная по ГОСТ 3118.
4.5.2.2. Проведение анализа
100 см3 этиленгликоля помещают в коническую колбу, добавляют 1 см3 соляной кислоты. К колбе присоединяют холодильник и ставят на предварительно нагретую песчаную баню или электроплитку. Содержимое колбы доводят до кипения за время не более 10 мин и выдерживают кипящим (30±3) с.
Колбу охлаждают до комнатной температуры.
Допускается для сокращения времени анализа охлаждать колбу водой, а затем на воздухе до комнатной температуры.
Цвет продукта после кипячения с соляной кислотой определяют по ГОСТ 29131.
4.6. Определение массовой доли остатка после прокаливания
Массовую долю остатка после прокаливания определяют по ГОСТ 27184 (п.2.2). При этом 199,5-200,5 г анализируемого продукта выпаривают по частям в кварцевой (ГОСТ 19908) или платиновой (ГОСТ 6563) чашке.
За результат анализа принимают среднее арифметическое результатов двух параллельных определений, абсолютное допускаемое расхождение между которыми не превышает:
для высшего сорта - 0,0003%;
для первого сорта - 0,0006%
при доверительной вероятности P=0,95.
Допускаемая абсолютная суммарная погрешность результата определения ±0,0006% при доверительной вероятности P=0,95.
Остаток после прокаливания используют для определения массовой доли железа.
4.5.2.1-4.6. (Измененная редакция, Изм. N 2, 3).
4.7. Определение массовой доли железа
4.7.1. Массовую долю железа определяют по ГОСТ 10555 фотометрически сульфосалициловым методом. При этом к остатку, полученному после прокаливания (п.4.6), прибавляют 5 см3 раствора соляной кислоты с массовой долей 25% и нагревают до полного растворения осадка (раствор А).
Для продукта высшего сорта полученный раствор (раствор А) переносят количественно в мерную колбу исполнения 1 или 2 вместимостью 50 см3 по ГОСТ 1770, прибавляют 2 см3 раствора сульфосалициловой кислоты и перемешивают. Затем прибавляют 6 см3 раствора аммиака и далее определяют по ГОСТ 10555.
Для продукта первого сорта раствор А переносят количественно в мерную колбу вместимостью 50 см3, доводят объем раствора водой до метки и перемешивают (раствор Б).
1 см3 полученного раствора (раствор Б) помещают в мерную колбу вместимостью 50 см3, прибавляют 2 см3 раствора сульфосалициловой кислоты и перемешивают. Затем прибавляют 5 см3 раствора аммиака и далее определяют по ГОСТ 10555.
Одновременно проводят контрольный опыт с теми же количествами реактивов и в тех же условиях, как при определении железа в анализируемой пробе.
4.7, 4.7.1. (Измененная редакция, Изм. N 2).
4.7.2. Обработка результатов
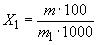
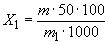
Массовую долю железа (X1) в процентах вычисляют по формулам:
для продукта высшего сорта
для продукта первого сорта
где m - масса железа, найденная по градуировочному графику, мг;
m1 - масса навески продукта, взятая для определения остатка после прокаливания (п.4.6), г.
За результат анализа принимают среднее арифметическое результатов двух параллельных определений, абсолютное допускаемое расхождение между которыми не превышает:
для продукта высшего сорта - 0,000003%;
для продукта первого сорта - 0,00015%,
при доверительной вероятности P=0,95.
Допускаемая абсолютная суммарная погрешность результатов определения ±3·10-6% для продукта высшего сорта и ±1,5·10-4% для продукта первого сорта при доверительной вероятности P=0,95.
4.8. Определение массовой доли воды
Определение массовой доли воды проводят по ГОСТ 14870 реактивом Фишера визуальным или электрометрическим титрованием.
При титровании используют бюретки исполнения 7 вместимостью 3 или 10 см3.
За результат анализа принимают среднее арифметическое результатов двух параллельных определений, абсолютное расхождение между которыми не превышает допускаемое, равное 0,01% для продукта высшего сорта и 0,05% для продукта первого сорта.
Допускаемая абсолютная суммарная погрешность результата определения ±0,01% для продукта высшего сорта и ±0,05% для продукта первого сорта при доверительной вероятности P=0,95.
При возникновении разногласий в оценке качества продукта массовую долю воды определяют электрометрическим титрованием.
4.7.2, 4.8. (Измененная редакция, Изм. N 2, 3).
4.9. Определение массовой доли кислот в пересчете на уксусную кислоту
(Измененная редакция, Изм. N 2).
4.9.1. Аппаратура, реактивы, растворы
Весы лабораторные 3-го класса точности по ГОСТ 24104 с наибольшим пределом взвешивания 500 г.
Секундомер.
Цилиндр по ГОСТ 1770 вместимостью 100 см3.
Бюретка исполнения 1 или 2 вместимостью 2 или 5 см3.
Коническая колба вместимостью 250 см3 по ГОСТ 25336.
Бромтимоловый синий (индикатор), водно-спиртовой раствор с массовой долей 1%, готовят по ГОСТ 4919.1.
Натрия гидроокись по ГОСТ 4328, раствор концентрации c(NaOH)=0,01 моль/дм3 (0,01 н.), готовят по ГОСТ 25794.1.
Вода дистиллированная, не содержащая углекислоты, готовят по ГОСТ 4517.
Спирт этиловый ректификованный технический по ГОСТ 18300 высшего сорта.
(Измененная редакция, Изм. N 2, 3).
4.9.2. Проведение анализа
99,50-100,50 г анализируемого продукта помещают в коническую колбу, прибавляют 100 см3 воды, 3-5 капель раствора бромтимолового синего и титруют раствором гидроокиси натрия до появления синей окраски, устойчивой в течение 30 с.
Одновременно в тех же условиях и с теми же количествами реактивов проводят контрольное титрование.
(Измененная редакция, Изм. N 2).
4.9.3. Обработка результатов
Массовую долю кислот в пересчете на уксусную кислоту (X2) в процентах вычисляют по формуле
где У - объем раствора гидроокиси натрия концентрации точно 0,01 моль/дм3, израсходованный на титрование пробы, см3;
У1 - объем раствора гидроокиси натрия концентрации точно 0,01 моль/дм3, израсходованный на контрольное титрование, см3;
0,0006 - масса уксусной кислоты, соответствующая 1 см3 раствора гидроокиси натрия концентрации точно 0,01 моль/дм3, г;
m - масса навески анализируемого продукта, г.
За результат анализа принимают среднее арифметическое результатов двух параллельных определений, абсолютное расхождение между которыми не превышает допускаемое, равное 0,0002% для высшего сорта и 0,001% для первого сорта.
Допускаемая абсолютная суммарная погрешность результата определения ±0,0002% для высшего сорта и ±0,001% для первого сорта при доверительной вероятности P=0,95.
(Измененная редакция, Изм. N 2,3).
4.10. Определение показателя преломления
Показатель преломления определяют по ГОСТ 18995.2.
4.11. Определение пропускания в ультрафиолетовой области спектра
4.11.1. Аппаратура, реактивы
Спектрофотометр любого типа, позволяющий измерить пропускание в диапазоне 210-370 нм.
Вода дистиллированная по ГОСТ 6709.
4.10-4.11.1. (Измененная редакция, Изм. N 2).
4.11.2. Проведение анализа
Пропускание анализируемого продукта измеряют в кварцевых кюветах с толщиной поглощающего свет слоя 10 мм, относительно дистиллированной воды при трех длинах волн: 220, 275 и 350 нм.
За результат анализа принимают результат одного определения. Допускаемая абсолютная суммарная погрешность результата определения ±1,1% при доверительной вероятности P=0,95.
(Измененная редакция, Изм. N 2, 3).
5. УПАКОВКА, МАРКИРОВКА, ТРАНСПОРТИРОВАНИЕ И ХРАНЕНИЕ
5.1. этиленгликоль заливают в алюминиевые бочки по ГОСТ 21029 типа 1 вместимостью 110 и 275 дм3 или в бочки из коррозионностойкой стали по ГОСТ 26155 вместимостью 110-250 дм3.
По согласованию с потребителем этиленгликоль допускается заливать в стальные неоцинкованные бочки по ГОСТ 6247 вместимостью 100-275 дм3 или по ГОСТ 13950 типа 1 вместимостью 100, 200 дм3.
5.2. Бочки перед заполнением продуктом должны быть промыты и высушены.
5.3. Транспортная маркировка - по ГОСТ 14192 с нанесением манипуляционного знака "Герметичная упаковка", знака опасности по ГОСТ 19433 (класс 6, подкласс 6.1, черт.6а, классификационный шифр 6162) и серийного номера ООН 2810.
Маркировка упакованной продукции должна содержать следующие дополнительные данные:
наименование предприятия-изготовителя и (или) товарный знак;
наименование продукта и его сорт;
номер партии и дату изготовления;
массу брутто и нетто;
знак опасности по ГОСТ 19433;
обозначение настоящего стандарта.
5.4. Упаковка продукта для экспорта должна соответствовать ГОСТ 26319 и требованиям настоящего стандарта.
Маркировка должна соответствовать рекомендациям по перевозке опасных грузов ООН и правилам перевозок грузов на данном виде транспорта.
5.1-5.4. (Измененная редакция, Изм. N 2).
5.5. этиленгликоль, упакованный в бочки, транспортируют в крытых транспортных средствах всеми видами транспорта, а также наливом в железнодорожных цистернах в соответствии с правилами перевозок грузов, действующими на данном виде транспорта.
Железнодорожным транспортом этиленгликоль, упакованный в бочки, перевозят повагонно и мелкими отправками.
При транспортировании наливом - в железнодорожных цистернах изготовителя (потребителя) с котлами из алюминия или коррозионно-стойкой стали.
По согласованию с потребителем - в специально выделенных железнодорожных цистернах с верхним сливом и цистернах изготовителя (потребителя) с котлами из углеродистой стали.
Наливные люки цистерн и горловины бочек закрывают крышками, которые герметизированы прокладками, и пломбируют.
Прокладки изготовляют из материала, стойкого к воздействию продукта.
Степень (уровень) заполнения цистерн (бочек) вычисляют с учетом максимального использования грузоподъемности (вместимости) цистерн (бочек) и объемного расширения продукта при возможном перепаде температур в пути следования.
(Измененная редакция, Изм. N 2, 3).
5.6. этиленгликоль в бочках вместимостью 100 дм3 транспортируют в пакетированном виде в соответствии с требованиями ГОСТ 26663, ГОСТ 21140, ГОСТ 21650, ГОСТ 24597 на плоских деревянных поддонах по ГОСТ 9557.
5.7. этиленгликоль хранят в герметичных емкостях из алюминия, коррозионно-стойкой стали или алюминированной стали.
этиленгликоль в бочках хранят в крытых неотапливаемых складских помещениях.
Не допускается хранение продукта высшего сорта в бочках из углеродистой стали.
5.8. Бочки с этиленгликолем должны храниться вертикально. Высота штабеля бочек не должна превышать три яруса.
5.6-5.8. (Измененная редакция, Изм. N 2).
6. ГАРАНТИИ ИЗГОТОВИТЕЛЯ
6.1. Изготовитель гарантирует соответствие качества этиленгликоля требованиям настоящего стандарта при соблюдении условий транспортирования и хранения.
6.2. Гарантийный срок хранения этиленгликоля высшего сорта - один год, первого сорта - три года со дня изготовления.
(Измененная редакция, Изм. N 2).
официальное издание
М.: ИПК Издательство стандартов, 1997
300