Новости Нефтегазовая пром.
Выставки Наука и технология


Эпихлоргидрин технический ГОСТ 12844-74

Эпихлоргидрин технический. Технические условия (с Изменениями N 1, 2, 3) ГОСТ 12844-74


ГОСТ 12844-74

Группа Л21

     
     
ГОСУДАРСТВЕННЫЙ СТАНДАРТ СОЮЗА ССР

ЭПИХЛОРГИДРИН ТЕХНИЧЕСКИЙ 

Технические условия

Technical epichlorhydrine. Specifications



ОКП 24 1714 0100

Срок действия с 01.01.75
до 01.01.95* 
________________________________
* Ограничение срока действия снято
по протоколу N 4-93 Межгосударственного Совета
по стандартизации, метрологии и сертификации
(ИУС N 4, 1994 год). - Примечание изготовителя базы данных.

     
     
ИНФОРМАЦИОННЫЕ ДАННЫЕ

1. РАЗРАБОТАН И ВНЕСЕН Министерством химической промышленности СССР

ИСПОЛНИТЕЛИ

М.И.Горель, В.Ф.Илюшина, Л.И.Киссина

2. УТВЕРЖДЕН И ВВЕДЕН В ДЕЙСТВИЕ Постановлением Государственного комитета СССР по стандартам от 19.02.74 N 452

3. ВЗАМЕН ГОСТ 12844-67

4. ССЫЛОЧНЫЕ НОРМАТИВНО-ТЕХНИЧЕСКИЕ ДОКУМЕНТЫ

Обозначение НТД, на который дана ссылка

Номер пункта, подпункта

ГОСТ 12.1.007-76

2а.1

ГОСТ 427-75

3.5.2

ГОСТ 1277-75

3.5.2

ГОСТ 1770-74

3.3, 3.5.2

ГОСТ 2603-79

3.5.2

ГОСТ 2706.1-74

3.3

ГОСТ 3118-77

3.5.2

ГОСТ 5072-79

3.5.2

ГОСТ 6613-86

3.5.2

ГОСТ 6709-72-->ГОСТ 6709-72

3.5.2

ГОСТ 6995-77

3.7

ГОСТ 9147-80

3.5.2

ГОСТ 9293-74

3.5.2

ГОСТ 14192-77

4.8

ГОСТ 14870-77

3.7

ГОСТ 17366-80

4.1

ГОСТ 18995.1-73

3.4

ГОСТ 19433-88

4.8

ГОСТ 20015-74

3.5.2

ГОСТ 24104-88

3.5.2

ГОСТ 25336-82

3.5.2

ГОСТ 25706-83

3.5.2

5. Срок действия продлен до 01.01.95 Постановлением Госстандарта от 22.12.88 N 4411

6. ПЕРЕИЗДАНИЕ (январь 1989 г.) с Изменениями N 1, 2, утвержденными в марте 1986 г., декабре 1988 г. (ИУС 7-86, 4-89)

ВНЕСЕНО Изменение N 3, утвержденное и введенное в действие с 01.03.90 Постановлением Госстандарта СССР от 04.09.89 N 2684 

Изменение N 3 внесено изготовителем базы данных по тексту ИУС N 12, 1989 год

Настоящий стандарт распространяется на технический эпихлоргидрин, представляющий собой легковоспламеняющуюся ядовитую жидкость.


Формулы: C3H5ClO

структурная 


Молекулярная масса (по международным атомным массам 1971 г.) - 92,53.

1. ТЕХНИЧЕСКИЕ ТРЕБОВАНИЯ

1.1. Технический эпихлоргидрин должен быть изготовлен в соответствии с требованиями настоящего стандарта по технологическому регламенту, утвержденному в установленном порядке.

1.2. По физико-химическим показателям технический эпихлоргидрин должен соответствовать требованиям и нормам, указанным в таблице.

Наименование показателя

Норма



Высший сорт
ОКП 24 1714 0120

Первый сорт
ОКП 24 1714 0130

1. Внешний вид

Бесцветная прозрачная жидкость

2. Плотность при 20 °С и давлении 760 мм рт.ст., г/см3

1,179-1,181

1,179-1,181

3. Массовая доля эпихлоргидрина, %, не менее

99,5

99,0

4. Суммарная массовая доля хлорорганических примесей, %, не более

0,4

Не нормируется

в том числе непредельных соединений, %, не более

0,3

"

5. Массовая доля воды, %, не более

0,1

0,15


Примечание. Для производства эпоксидных смол поставляется продукт только высшего сорта.

(Измененная редакция, Изм. N 1, 2).

2а. ТРЕБОВАНИЯ БЕЗОПАСНОСТИ

2а.1. Эпихлоргидрин технический - ядовитая жидкость с неприятным запахом. Обладает раздражающим и аллергическим действием. Поражает печень и почки. Проникает через кожу и может вызвать отек легких. Предельно допустимая концентрация (ПДК) в рабочей зоне - 1 мг/м3, класс опасности 2 по ГОСТ 12.1.007-76.

2а.2. Эпихлоргидрин - легко воспламеняющаяся жидкость. Пары эпихлоргидрина в смеси с воздухом взрывоопасны. Температура вспышки в закрытом тигле 26 °С, в открытом тигле 35 °С. Температура самовоспламенения 410 °С.

Температурные пределы воспламенения паров в воздухе:

нижний - 26 °С;

верхний - 96 °С.

Концентрационные пределы воспламенения паров в воздухе:

нижний - 2,3% (по объему);

верхний - 49% (по объему).

2а.3. Производственное оборудование должно быть герметичным. Производственные помещения должны быть оборудованы общей приточно-вытяжной и местной вентиляцией, обеспечивающей концентрацию паров эпихлоргидрина в рабочей зоне, не превышающую ПДК.

2а.4. Работающие с эпихлоргидрином должны быть обеспечены спецодеждой и средствами индивидуальной защиты в соответствии с правилами, утвержденными в установленном порядке.

2а.5. Разлитый на пол помещения или транспортного средства технический эпихлоргидрин должен быть немедленно засыпан сухим песком и удален, а загрязненная поверхность обмыта водой.

2а.6. При попадании эпихлоргидрина на спецодежду ее необходимо немедленно заменить. Попавший на кожные покровы продукт следует смыть мылом и обильной струей воды.

2а.7. При загорании эпихлоргидрина тушить сухим песком, углекислым газом, воздушно-механической пеной.

Разд.2а. (Введен дополнительно, Изм. N 1).

2. ПРАВИЛА ПРИЕМКИ

2.1. Технический эпихлоргидрин принимают партиями. Партией считают любое количество продукта, но не более 60 т, однородное по своим качественным показателям, сопровождаемое одним документом о качестве.

Каждую железнодорожную цистерну технического эпихлоргидрина принимают за партию.

Документ о качестве должен содержать:

наименование предприятия-изготовителя или его товарный знак;

наименование продукта и его сорт;

номер партии;

дату изготовления;

количество упаковочных единиц в партии;

массу брутто и нетто;

результаты проведенных анализов;

обозначение настоящего стандарта.

2.2. Для проверки соответствия качества продукта требованиям настоящего стандарта объем выборки продукта - 10% бочек, но не менее трех.

2.3. При получении неудовлетворительных результатов анализа хотя бы по одному показателю проводят повторный анализ пробы на удвоенной выборке той же партии или на вновь отобранной пробе из цистерны.

Результаты повторного анализа распространяются на всю партию.

Разд.2. (Измененная редакция, Изм. N 1).

3. МЕТОДЫ АНАЛИЗА

3.1. Точечную пробу из бочек отбирают стеклянной трубкой с оттянутым концом, опуская ее до дна бочки. Из железнодорожных цистерн и контейнеров точечную пробу отбирают пробоотборником из трех разных мест по высоте вблизи дна, из середины и верхнего слоя.

3.2. Отобранные точечные пробы соединяют вместе, тщательно перемешивают и сокращают, среднюю пробу 0,5 дм помещают в чистую сухую полиэтиленовую или стеклянную банку и герметично закрывают. На банку со средней пробой наклеивают этикетку с обозначением: наименования продукта, номера партии, даты и места отбора пробы, обозначения настоящего стандарта, надписей: "Осторожно", "Ядовито". Перед каждым анализом среднюю пробу тщательно перемешивают.

3.1, 3.2. (Измененная редакция, Изм. N 2).

3.3. Внешний вид технического эпихлоргидрина определяют визуально по ГОСТ 2706.1-74 в цилиндре (ГОСТ 1770-74) вместимостью 100 см3.

3.4. Плотность эпихлоргидрина определяют по ГОСТ 18995.1-73 пикнометром. Допускается определять плотность по ГОСТ 18995.1-73 ареометром. 

При разногласиях в оценке плотности определение проводят пикнометром.

(Измененная редакция, Изм. N 3).

3.5. Определение массовой доли эпихлоргидрина

Массовую долю эпихлоргидрина определяют, вычитая из 100% сумму массовых долей органических примесей и воды.

3.5.1. Массовую долю суммы органических примесей в техническом эпихлоргидрине определяют методом газожидкостной хроматографии.

3.5, 3.5.1. (Измененная редакция, Изм. N 2).

3.5.2. Аппаратура, реактивы, посуда

Хроматограф газовый любого типа с детектором по теплопроводности с пределом обнаружения объемной доли пропана не более 1·10-3% (при использовании гелия в качестве газа-носителя) и блоком программирования температуры. Допускается использование хроматографа с пламенно-ионизационным детектором при условии проведения метрологической аттестации методики выполнения измерений с данным детектором. При этом погрешности измерений не должны превышать значений, указанных в п.3.5.5.

Колонка газохроматографическая из коррозионностойкой стали внутренним диаметром 3 мм, длиной 2-3 м.

Шкаф сушильный, обеспечивающий нагрев до 250 °С.

Печь муфельная, обеспечивающая нагрев до 900 °С.

Весы лабораторные 2-го класса точности по ГОСТ 24104-88* с наибольшим пределом взвешивания 200 г.
________________
* На территории Российской Федерации действует ГОСТ Р 53228-2008. - Примечание изготовителя базы данных.

Линейка измерительная металлическая по ГОСТ 427-75.

Лупа типа ЛИ по ГОСТ 25706-83 10 увеличения.

Микрошприц МШ-10.

Секундомер по ГОСТ 5072-79.

Колба коническая по ГОСТ 25336-82 исполнения 1 вместимостью 500 см3.

Холодильник типа XIII по ГОСТ 25336-82 длиной 300 мм.

Стаканчик типа СВ по ГОСТ 25336-82 диаметром 25 мм.

Чашка выпарительная по ГОСТ 9147-80 N 3.

Эксикатор по ГОСТ 25336-82.

Цилиндр по ГОСТ 1770-74 исполнения 1 вместимостью 150 см3.

Ступка по ГОСТ 9147-80.

Электроплитка или другой нагревательный прибор.

Термометр лабораторный ТЛ-2 1-А 4.

Сита с сетками по ГОСТ 6613-86.

Насос механический вакуумный типа ВН-494 или другого типа.

Шприцы медицинские типа "Рекорд" вместимостью 1 и 10 см3.

Носители твердые: хроматон N-AW с частицами размером 0,250-0,315 мм, динохром Н с частицами размером 0,250-0,315 мм.

Фазы неподвижные: полидиэтиленгликольсукцинат и апиезон L.

Газ-носитель: гелий газообразный. При использовании детектора ионизации в пламени в качестве газа-носителя применяют также газообразный азот по ГОСТ 9293-74.

кислота соляная по ГОСТ 3118-77, разбавленная 1:1.

Вода дистиллированная по ГОСТ 6709-72-->ГОСТ 6709-72 или Вода эквивалентной чистоты.

Ацетон по ГОСТ 2603-79.

Серебро азотнокислое по ГОСТ 1277-75.

3-Хлорпропен с массовой долей основного вещества не менее 95%.

Хлороформ технический по ГОСТ 20015-88, высший сорт.

1,2-Дихлорпропан с массовой долей основного вещества не менее 95%.

2,3-Дихлорпропен с массовой долей основного вещества не менее 95%.

цис-1,3-Дихлорпропен с массовой долей основного вещества не менее 95%.

транс-1,3-Дихлорпропен с массовой долей основного вещества не менее 95%.

Бета-хлораллиловый спирт с массовой долей основного вещества не менее 95%.

1,2,3-Трихлорпропан с массовой долей основного вещества не менее 95%.

1,3-Дихлорпропанол-2 с массовой долей основного вещества не менее 95%.

Тетрадекан с массовой долей основного вещества не менее 98%.

Эпихлоргидрин технический, очищенный ректификацией. Чистоту проверяют хроматографированием в условиях проведения анализа при объеме пробы 10 мм3. На хроматограмме должны отсутствовать пики примесей.

Допускается применение другого носителя или другой неподвижной фазы, обеспечивающих определение примесей с допускаемым расхождением, указанным в п.3.5.5.

(Измененная редакция, Изм. N 2, 3).

3.5.3. Подготовка к анализу

3.5.3.1. Приготовление насадки и заполнение хроматографической колонки

Твердый носитель хроматон N-AW применяют без предварительной обработки.

Твердый носитель динохром Н кипятят в колбе с обратным холодильником в растворе соляной кислоты в течение 3-4 ч, затем промывают дистиллированной водой до отрицательной реакции на хлорид-ион (проба с азотнокислым серебром), сушат в сушильном шкафу при температуре 150-200 °С в течение 2-3 ч, затем прокаливают в муфельной печи при 900 °С в течение 4-5 ч, охлаждают в эксикаторе и отсеивают фракцию 0,250-0,315 мм.

Неподвижную фазу наносят на твердый носитель следующим образом: твердый носитель взвешивают в фарфоровой чашке. Взвешивают полидиэтиленгликольсукцинат в количестве 20% от массы твердого носителя и апиезон L в количестве 3% от массы твердого носителя и растворяют в хлороформе. Объем хлороформа должен быть таким, чтобы твердый носитель был полностью смочен раствором. Результаты взвешиваний в граммах записывают с точностью до первого десятичного знака.

Приготовленный раствор переносят в фарфоровую чашку с твердым носителем и, непрерывно перемешивая ее содержимое, испаряют хлороформ на воздухе в вытяжном шкафу до сыпучего состояния насадки. Затем чашку с насадкой нагревают на водяной бане в течение 1 ч.

Хроматографическую колонку промывают ацетоном и сушат.

Затем один конец колонки закрывают тампоном из стекловолокна высотой 5 мм и присоединяют его к вакуумному насосу. Создав разрежение, в другой конец колонки через воронку насыпают насадку, уплотняя ее вибратором или легким постукиванием по колонке деревянной палочкой. После заполнения колонку снимают и закрывают ее открытый конец тампоном из стекловолокна высотой 5 мм. Заполненную колонку устанавливают в термостат прибора и, не присоединяя к детектору, продувают газом-носителем в течение 8-10 ч при медленном подъеме температуры до 180 °С.

Монтаж, наладку и вывод хроматографа на рабочий режим производят в соответствии с инструкцией, прилагаемой к прибору.

3.5.3.2. Режим градуировки и работы хроматографа

Хроматограммы снимают при следующих условиях:

объемный расход газа-носителя

30 см3/мин

линейное программирование температуры колонок

70-160 °С 

скорость линейного программирования температуры

5 °С/мин

температура термостата детектора

180 °С

температура испарителя

200 °С

скорость движения диаграммной ленты

240 мм/ч

ток моста детектора

150 мА

объем вводимой пробы

5-10 мм3


В зависимости от типа применяемого хроматографа допускается изменять условия режима его работы с целью достижения оптимального разделения примесей.

3.5.3.3. Градуировка прибора

Массовую долю примесей определяют методом "внутреннего эталона" с учетом градуировочных коэффициентов. В качестве "внутреннего эталона" используют тетрадекан.

Градуировку хроматографа осуществляют по искусственным смесям, приготовленным гравиметрическим методом. Для предотвращения испарения веществ в процессе приготовления искусственных смесей используют пенициллиновую склянку с резиновой пробкой и полиэтиленовой прокладкой, помещенную в зажимное устройство (черт.1).

Черт.1. - Зажимное устройство для пенициллиновой склянки

Зажимное устройство для пенициллиновой склянки


1 - металлическая пластинка; 2 - резиновая прокладка; 3 - полиэтиленовая прокладка; 4 - стяжные болты; 5 - пенициллиновый флакон; 6 - металлическая прокладка; 7 - полиэтиленовая прокладка 

Черт.1



Искусственные смеси готовят следующим образом. В предварительно взвешенную склянку шприцем через резиновую пробку и полиэтиленовую прокладку помещают последовательно 4 см очищенного эпихлоргидрина, по 0,7 см3 1,3-дихлорпропанола-2 и тетрадекана, по 0,4 см3 1,2,3-трихлорпропана, бета-хлораллилового спирта, по 0,3 см3 цис- и транс-1,3-дихлорпропена, 2,3-дихлорпропена, 1,2-дихлорпропана и хлороформа, 0,2 см3 3-хлорпропена. После добавления каждого компонента склянку со смесью взвешивают. Результаты всех взвешиваний в граммах записывают с точностью до четвертого десятичного знака. Массовые доли определяемых примесей в исходной смеси от 2 до 9%. Многократным разбавлением исходной смеси очищенным эпихлоргидрином получают смеси с малыми массовыми долями определяемых примесей. Разбавлением исходной смеси в 10 раз получают градуировочную смесь N 1. Разбавлением смеси N 1 соответственно в 2, 4 и 10 раз получают градуировочные смеси N 2, 3, 4. Все разбавления контролируют гравиметрическим методом (результаты взвешивания в граммах записывают с точностью до четвертого десятичного знака). Перед разбавлением все смеси тщательно перемешивают.

Относительная погрешность приготовления градуировочной смеси не должна превышать 0,3%.

Градуировочные смеси отбирают микрошприцем вместимостью 10 мм3 и вводят в испаритель хроматографа. Каждую смесь хроматографируют при условиях, указанных в п.3.5.3.2, не менее 4 раз.

Площадь пика вычисляют как произведение его высоты на ширину, измеренную на середине высоты, с учетом масштаба записи или регистрируют автоматическим цифровым измерителем хроматографических пиков.

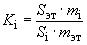
Градуировочный коэффициент (Ki) для каждой примеси вычисляют по формуле где Sэт - площадь пика "внутреннего эталона", мм2 или мкВ·с (условных единиц);


Si - площадь пика определяемой примеси, мм2 или мкВ·с (условных единиц);

mэт - масса навески "внутреннего эталона" в исходной смеси, г;

mi - масса навески определяемой примеси в исходной смеси, г.

Градуировочный коэффициент для каждой примеси определяют как среднее арифметическое результатов всех определений.

Относительная погрешность градуировки не должна превышать ±20%.

Градуировочные коэффициенты определяют после каждой смены насадки, а также при изменении условий хроматографического определения. Стабильность градуировочных характеристик определяют по ГОСТ 8.485-83. 

3.5.4. Проведение анализа 

Около 8 г анализируемого продукта взвешивают в пенициллиновой склянке, помещенной в зажимное устройство, добавляют микрошприцем через резиновую пробку и полиэтиленовую прокладку 10 мм3 тетрадекана и взвешивают (результаты взвешивания в граммах записывают с точностью до четвертого десятичного знака). Приготовленную смесь тщательно перемешивают, отбирают микрошприцем 5-10 мм3 смеси и вводят в испаритель хроматографа, хроматографируя смесь не менее двух раз.

3.5.5. Обработка результатов

Массовую долю каждой примеси (Xi) в процентах вычисляют по формуле где Ki - градуировочный коэффициент определяемой примеси;


Si - площадь пика определяемой примеси, мм2 или мкВ·с (условных единиц);

mэт - масса навески "внутреннего эталона", г;

Sэт - площадь пика "внутреннего эталона", мм2 или мкВ·с (условных единиц);

m - масса навески эпихлоргидрина, взятой для анализа, г.

Типовая хроматограмма технического эпихлоргидрина приведена на черт.2.

Черт.2. - Хроматограмма эпихлоргидрина технического

Хроматограмма эпихлоргидрина технического 


1-3 - хлорпропен; 2 - хлороформ; 3 - 1,2-дихлорпропан; 4 - 2,3-дихлорпропен; 5 - цис-1,3-дихлорпропен; 6 - транс-1,3-дихлорпропен; 7 - эпихлоргидрин; 8 - бета-хлораллиловый спирт; 9 - 1,2,3-трихлорпропан; 10 - тетрадекан; 11 - 1,3-дихлорпропанол-2; 12 - 2,3-дихлорпропанол-1

Черт.2



При появлении на хроматограмме пиков неидентифицированных примесей их градуировочный коэффициент принимается равным градуировочному коэффициенту ближайшего известного компонента.

Массовую долю суммы органических примесей () вычисляют суммированием массовых долей всех примесей, определяемых хроматографически.
За результат анализа принимают среднее арифметическое результатов двух параллельных определений, абсолютное расхождение между которыми не превышает допускаемое расхождение, равное 0,13% для продукта первого сорта и 0,06% для продукта высшего сорта.

Допускаемая абсолютная суммарная погрешность результата анализа ±0,15% при доверительной вероятности P=0,95.

Массовую долю суммы примесей непредельных соединений () для продукта высшего сорта вычисляют суммированием массовых долей примесей непредельных соединений, определяемых хроматографически.
За результат анализа принимают среднее арифметическое результатов двух параллельных определений, абсолютное расхождение между которыми не превышает допускаемое расхождение, равное 0,05%.

Допускаемая абсолютная суммарная погрешность результата анализа ±0,05% при доверительной вероятности P=0,95.

Массовую долю эпихлоргидрина (X) в процентах вычисляют по формуле где  - сумма массовых долей всех определяемых примесей, %;


Xв - массовая доля воды, определяемая, как указано в п.3.7, %.

Допускаемая абсолютная суммарная погрешность результата анализа ±0,16% при доверительной вероятности 0,95. 

3.5.3-3.5.5. (Измененная редакция, Изм. N 2).

3.6, 3.6.1-3.6.4. (Исключены, Изм. N 2).

3.7. Определение массовой доли воды

Массовую долю воды определяют электрометрическим титрованием методом Фишера по ГОСТ 14870-77.

Масса навески анализируемого эпихлоргидрина должна быть около 15 г.

При установке титра реактива Фишера за результат анализа принимают среднее арифметическое результатов трех параллельных определений, расхождение между наиболее отличающимися значениями которых не превышает допускаемое расхождение, равное 0,005 мг H2O/см3.

В качестве растворителя пробы применяют метанол-яд по ГОСТ 2222-78*, высшего сорта.
________________
* На территории Российской Федерации действует ГОСТ 2222-95. - Примечание изготовителя базы данных..

За результат анализа принимают среднее арифметическое результатов двух параллельных определений, абсолютное расхождение между которыми не превышает допускаемое расхождение, равное 0,01%.

Допускаемая абсолютная суммарная погрешность результата анализа ±0,005% при доверительной вероятности P=0,95.

(Измененная редакция, Изм. N 2, 3).

4. УПАКОВКА, МАРКИРОВКА, ТРАНСПОРТИРОВАНИЕ И ХРАНЕНИЕ

4.1. Технический эпихлоргидрин транспортируют в специальных стальных чистых железнодорожных цистернах с верхним сливом, принадлежащих предприятию-изготовителю, в стальных сварных толстостенных бочках для химических продуктов вместимостью 0,275 дм(ГОСТ 17366-80).

По согласованию с потребителем разрешается транспортировать технический эпихлоргидрин в стальных автомобильных цистернах с верхним сливом.

4.2. Железнодорожные цистерны, бочки, автомобильные цистерны перед заполнением должны быть продуты сухим азотом. Тару заполняют эпихлоргидрином не более чем на 90%.

Степень заполнения цистерн вычисляют с учетом полного использования их грузоподъемности (вместимости), а также объемного расширения продукта при возможном перепаде температур в пути следования.

4.1, 4.2. (Измененная редакция, Изм. N 1).

4.3. Наливные люки железнодорожных цистерн, автомобильных цистерн и горловины бочек должны быть тщательно герметизированы паронитовыми прокладками.

4.4. Перед наливом железнодорожных цистерн производят анализ остатка эпихлоргидрина на соответствие требованиям настоящего стандарта. Если анализ остатка соответствует требованиям настоящего стандарта, то цистерну заполняют эпихлоргидрином, если анализ остатка не соответствует требованиям настоящего стандарта, то остаток удаляют вакуумированием, цистерну пропаривают, промывают и сушат.

4.5. Бочки и автомобильные цистерны перед заполнением должны быть тщательно промыты и высушены.

4.6. На котле железнодорожных цистерн должны быть нанесены предупредительные надписи "Огнеопасно", "Ядовито" и трафарет приписки. Надписи и знаки на железнодорожных цистернах должны быть нанесены в соответствии с правилами перевозки грузов.

4.7. На днище каждой бочки при помощи трафарета несмываемой краской наносят следующие обозначения:

наименование предприятия-изготовителя или его товарный знак;

наименование продукта и его сорт; 

номер партии; 

дату изготовления; 

массу брутто и нетто; 

обозначение настоящего стандарта.

4.6, 4.7. (Измененная редакция, Изм. N 1).

4.8. Маркировка транспортной тары - по ГОСТ 14192-77*, знаки опасности по ГОСТ 19433-88 основной (класс 6, подкласс 6.1, черт.6а) и дополнительный (класс 3, черт.3), классификационный шифр 6132 и серийный номер ОНН 2023.
________________
* На территории Российской Федерации действует ГОСТ 14192-96. - Примечание изготовителя базы данных.

(Измененная редакция, Изм. N 3).

4.9. На боковую поверхность автомобильных цистерн (или контейнеров) с обеих сторон наносят несмываемой краской при помощи трафарета следующие предупредительные надписи: "Эпихлоргидрин", "Огнеопасно", "Ядовито".

4.10. Технический эпихлоргидрин транспортируют в бочках в крытых железнодорожных вагонах и автомобильным транспортом в соответствии с правилами перевозки грузов, действующими на соответствующем виде транспорта.

4.10. (Измененная редакция, Изм. N 1).

4.11. (Исключен, Изм. N 1).

4.12. Технический эпихлоргидрин хранят в крытых неотапливаемых складских помещениях, специальных резервуарах, отвечающих требованиям для складов с ядовитыми и огнеопасными веществами.

5. ГАРАНТИИ ИЗГОТОВИТЕЛЯ

5.1. Изготовитель гарантирует соответствие технического эпихлоргидрина требованиям настоящего стандарта при соблюдении условий транспортирования и хранения.

5.2. Гарантийный срок хранения технического эпихлоргидрина - 1 год со дня изготовления.

Разд.5. (Измененная редакция, Изм. N 1). 

Разд.6. (Исключен, Изм. N 1).



официальное издание
М.: Издательство стандартов, 1989