Эфиры этиловый и бутиловый уксусной кислоты. Реактивы ГОСТ 22300-76
Эфиры этиловый и бутиловый уксусной кислоты. Реактивы. Технические условия (с Изменениями N 1, 2, 3) ГОСТ 22300-76
ГОСТ 22300-76
Группа Л52
МЕЖГОСУДАРСТВЕННЫЙ СТАНДАРТ
Реактивы
ЭФИРЫ ЭТИЛОВЫЙ И БУТИЛОВЫЙ УКСУСНОЙ КИСЛОТЫ
Технические условия
Reagents. Ethyl acetate and buthyl acetate. Specifications
MКC 71.040.30
ОКП 26 3471 5020 01, 26 3471 0790 08
Дата введения 1977-07-01
ИНФОРМАЦИОННЫЕ ДАННЫЕ
1. РАЗРАБОТАН И ВНЕСЕН Министерством химической промышленности
2. УТВЕРЖДЕН И ВВЕДЕН В ДЕЙСТВИЕ Постановлением Государственного комитета стандартов Совета Министров СССР от 31.12.76 N 2966
3. ВЗАМЕН ГОСТ 5.1070-71, ГОСТ 5.1145-71
4. Стандарт предусматривает прямое применение раздела 62 (Р.62) международного стандарта ИСО 6353-3-87 "Реактивы для химического анализа. Часть 3. Технические условия. Вторая серия" и международного стандарта ИСО 6353-1-82 "Реактивы для химического анализа. Часть 1. Общие методы испытаний"
5. ССЫЛОЧНЫЕ НОРМАТИВНО-ТЕХНИЧЕСКИЕ ДОКУМЕНТЫ
|
Обозначение НТД, на который дана ссылка |
Номер пункта, подпункта |
|
ГОСТ 12.1.005-88 |
2а.2 |
|
ГОСТ 17.2.3.02-78 |
2а.5 |
|
ГОСТ 427-75 |
3.2.1.1; 3.2.2.1 |
|
ГОСТ 1770-74 |
3.7.1 |
|
3.2.1.1; 3.2.2.1 |
|
|
2.1; 3.1; 4.1 |
|
|
3.8.1 |
|
|
3.8.1 |
|
|
3.7.1 |
|
|
ГОСТ 4919.1-77 |
3.7.1 |
|
3.2.1.1 |
|
|
3.2.1.1 |
|
|
3.2.2.1; 3.8.1 |
|
|
Приложение 2 |
|
|
3.2.1.1 |
|
|
ГОСТ 14192-96 |
4.1 |
|
ГОСТ 14870-77 |
3.2.2.5; приложение 2 |
|
3.2.1.1 |
|
|
3.2.2.1; 3.7.1 |
|
|
ГОСТ 18995.1-73 |
3.4 |
|
ГОСТ 18995.2-73 |
3.5 |
|
ГОСТ 18995.7-73 |
3.3 |
|
ГОСТ 19433-88 |
4.1 |
|
3.2.1.1 |
|
|
3.8.1 |
|
|
ГОСТ 21533-76 |
3.2.1; 3.2.1.2; 3.2.1.4; 3.2.2; 3.2.2.5; приложение 2 |
|
ГОСТ 25336-82 |
3.7.1; 3.8.1 |
|
ГОСТ 25706-83 |
3.2.1.1; 3.2.2.1 |
|
ГОСТ 25794.1-83 |
3.7.1 |
|
ГОСТ 25794.2-83 |
3.8.1 |
|
ГОСТ 27025-86 |
3.1а |
|
ГОСТ 27026-86 |
3.6 |
6. Ограничение срока действия снято Постановлением Госстандарта СССР от 30.09.91 N 1568
7. ИЗДАНИЕ (декабрь 2002 г.) с Изменениями N 1, 2, 3, утвержденными в ноябре 1981 г., октябре 1986 г., сентябре 1991 г. (ИУС 2-82, 1-87, 12-91)
Настоящий стандарт распространяется на этиловый и бутиловый эфиры уксусной кислоты (Этилацетат и бутилацетат), которые представляют собой бесцветные и прозрачные жидкости с характерным запахом. Мало растворимы в воде; с этиловым спиртом и этиловым эфиром смешиваются во всех соотношениях.
Формулы: эмпирическая этилацетата C4H8O2
бутилацетата C6H12O2 структурная этилацетата
бутилацетата 
Относительная молекулярная масса (по международным атомным массам 1985 г.) этилацетата - 88,11, бутилацетата - 116,16.
Требования настоящего стандарта, кроме требований пп.2, 3 и 4 табл.1, являются обязательными.
Допускается изготовление этилового эфира уксусной кислоты по МС ИСО 6353-3-87 (Р. 62) (см. приложение 1) и проведение анализов по МС ИСО 6353-1-82 (см. приложение 2).
(Измененная редакция, Изм. N 2, 3).
1. ТЕХНИЧЕСКИЕ ТРЕБОВАНИЯ
1.1а. Этиловый и бутиловый эфиры уксусной кислоты должны быть изготовлены в соответствии с требованиями настоящего стандарта по технологическим регламентам, утвержденным в установленном порядке.
(Введен дополнительно, Изм. N 1).
1.1. По физико-химическим показателям Этилацетат и бутилацетат должны соответствовать требованиям и нормам, указанным в табл.1.
Таблица 1
|
Наименование показателя |
Норма |
||||
|
химически чистый (х.ч.) ОКП 26 3471 5023 09 |
чистый для анализа (ч.д.а.) |
чистый (ч.) ОКП 26 3471 5021 00 |
химически чистый (х.ч.) ОКП 26 3471 0793 05 |
чистый (ч.) ОКП 26 3471 0791 07 |
|
|
1. Массовая доля этилацетата или бутилацетата (C4H8O2 или C6H12O2), %, не менее |
99,7 |
99,5 |
99,0 |
99,5 |
98,5 |
|
2. Температурные пределы перегонки, °С |
76,5-77,5 |
76,0-77,5 |
75,8-77,5 |
124-126 |
124-127 |
|
В этих пределах должно отгоняться 95% объемных долей в интервале, °С |
1,0 |
1,0 |
Не |
1,5 |
2,0 |
|
3. Плотность при 20 °С, г/см3 |
0,900-0,902 |
0,899-0,902 |
0,899-0,902 |
0,880-0,882 |
0,880-0,883 |
|
4. Показатель преломления |
1,3724-1,3730 |
1,3720-1,3730 |
1,3720-1,3730 |
1,3940-1,3947 |
1,3940-1,3950 |
|
5. Массовая доля нелетучих веществ, %, не более |
0,0005 |
0,0005 |
0,001 |
0,001 |
0,002 |
|
6. Массовая доля кислот в пересчете на уксусную кислоту, %, не более |
0,003 |
0,003 |
0,003 |
0,003 |
0,005 |
|
7. Содержание веществ, темнеющих под действием серной кислоты |
Должен выдерживать испытание по п.3.8 |
Не нормируется |
|||
|
8. Массовая доля воды, %, не более |
0,05 |
0,1 |
0,1 |
0,05 |
0,1 |
(Измененная редакция, Изм. N 1, 2, 3).
2а. ТРЕБОВАНИЯ БЕЗОПАСНОСТИ
2а.1. Этилацетат и бутилацетат легко воспламеняются. Температура вспышки в закрытом тигле этилацетата - минус 3 °С, бутилацетата - плюс 29 °С.
Температура самовоспламенения этилацетата 400 °С, бутилацетата 450 °С.
Пары этилацетата и бутилацетата образуют с воздухом взрывоопасные смеси.
Нижний концентрационный предел воспламенения (этилацетата - 2,28%, бутилацетата - 1,43% (по объему)).
По классификации взрывоопасных смесей бутилацетат и Этилацетат относятся к категории 2, группе Т2.
(Измененная редакция, Изм. N 2).
2а.2. Этиловый и бутиловый эфиры уксусной кислоты относятся к веществам 4-го класса опасности (ГОСТ 12.1.005). Предельно допустимая концентрация эфиров в воздухе рабочей зоны - 200 мг/м3.
Этилацетат и бутилацетат обладают наркотическим действием, раздражают слизистые оболочки верхних дыхательных путей, могут вызывать дерматиты и другие заболевания кожи.
(Измененная редакция, Изм. N 2, 3).
2а.3. При работе с препаратом следует применять индивидуальные средства защиты.
При аварии применять фильтрующие противогазы марок А и БКФ.
(Измененная редакция, Изм. N 2).
2а.4. Помещения, в которых проводятся работы с препаратом, должны быть оборудованы непрерывно действующей приточно-вытяжной вентиляцией. Анализ препарата в лаборатории следует проводить в вытяжном шкафу, вдали от огня. При загорании для тушения применяют химическую пену, водяной пар и инертные газы.
(Измененная редакция, Изм. N 2, 3).
2а.5. С целью охраны атмосферного воздуха от загрязнений выбросами этилацетата и бутилацетата должен быть организован контроль за соблюдением предельно допустимых выбросов, утвержденных в установленном порядке, в соответствии с ГОСТ 17.2.3.02.
2а.6. Предельно допустимая концентрация в воде объектов хозяйственно-питьевого и культурно-бытового водопользования этилацетата - 0,2 мг/дм3, бутилацетата - 0,1 мг/дм3 ("Санитарные правила и нормы охраны поверхностных вод от загрязнений"*, утвержденные Минздравом СССР).
__________________
* На территории Российской Федерации действуют СанПиН 2.1.5.980-00. - Примечание изготовителя базы данных.
2а.7. Метод определения этилацетата и бутилацетата в воздухе основан на реакции взаимодействия сложных эфиров органических кислот с гидроксиламином и последующем колориметрическом определении полученных гидроксамовых кислот с солями железа (III) по красно-фиолетовому окрашиванию. ("Методические указания на колориметрическое определение сложных эфиров одноосновных органических кислот в воздухе", утвержденные Минздравом СССР).
2а.5-2а.7. (Введены дополнительно, Изм. N 3).
2. ПРАВИЛА ПРИЕМКИ
2.1. Правила приемки - по ГОСТ 3885.
2.2. Массовую долю нелетучего остатка изготовитель определяет периодически в каждой 15-й партии.
(Введен дополнительно, Изм. N 3).
3. МЕТОДЫ АНАЛИЗА
3.1а. Общие указания по проведению анализа - по ГОСТ 27025.
Допускается применение других средств измерений с метрологическими характеристиками и оборудования с техническими характеристиками не хуже, а также реактивов и материалов по качеству не ниже указанных в настоящем стандарте.
(Измененная редакция, Изм. N 3).
3.1. Пробы отбирают по ГОСТ 3885.
Масса средней пробы должна быть не менее 1,5 кг. Объем этилацетата или бутилацетата, необходимый для анализа, отбирают пипеткой или цилиндром с погрешностью не более 1%.
(Измененная редакция, Изм. N 2, 3).
3.2. Определение массовой доли этилацетата или бутилацетата
Массовую долю этилацетата или бутилацетата определяют по разности, вычитая из 100% сумму органических примесей и воды в процентах.
При использовании в качестве неподвижной фазы полиэтиленгликоля массовую долю этилацетата вычисляют с учетом массовой доли этилового спирта.
(Измененная редакция, Изм. N 2).
3.2.1. Определение массовой доли органических примесей
Массовую долю органических примесей определяют методом газожидкостной хроматографии на набивных сорбционных колонках с регистрацией сигналов разделенных компонентов детектором ионизации в пламени.
Количественную обработку проводят методом "внутреннего эталона".
Общие требования к проведению хроматографического анализа, градуировка прибора и обработка результатов анализа - по ГОСТ 21533.
(Измененная редакция, Изм. N 3).
3.2.1.1. Аппаратура и реактивы
Хроматограф газовый аналитический с пламенно-ионизационным детектором.
Колонки длиной 2 и 3 м и внутренним диаметром 3 или 0,25-0,5 мм.
Лупа измерительная по ГОСТ 25706.
Линейка измерительная металлическая по ГОСТ 427.
Микрошприц вместимостью 10 мм3.
Шкаф сушильный.
Газ-носитель: азот технический газообразный высшего сорта по ГОСТ 9293 или гелий газообразный очищенный.
Водород технический по ГОСТ 3022 или водород, полученный по системе газоснабжения СГС-2.
Воздух сжатый для питания контрольно-измерительных приборов.
Неподвижная жидкая фаза: полиэтиленгликоль (ПЭГ-300) для этилацетата и жидкость кремнийорганическая ПФМС-4 по ГОСТ 15866 для бутилацетата или динониловый эфир фталевой кислоты для хроматографии.
Твердый носитель: хроматон-N, порохром с размером частиц в интервале 0,15-0,32 мм.
Бутанол-1 по ГОСТ 6006.
Спирт изобутиловый по ГОСТ 6016.
Спирт пропиловый нормальный, х.ч.
Эфир изобутиловый уксусной кислоты.
Хлороформ технический по ГОСТ 20015.
(Измененная редакция, Изм. N 2, 3).
3.2.1.2. Подготовка к анализу
полиэтиленгликоль (ПЭГ-300) и кремнийорганическую жидкость ПФМС-4 в количестве 10% или динониловый эфир фталевой кислоты в количестве 20% массы твердого носителя растворяют в хлороформе. Объем хлороформа должен быть таким, чтобы весь твердый носитель был покрыт раствором жидкой фазы. При помешивании в раствор засыпают предварительно высушенный при 210 °С в сушильном шкафу до постоянной массы и взвешенный твердый носитель. Избыток хлороформа удаляют нагреванием массы на водяной бане при постоянном помешивании, а затем - в сушильном шкафу при 80 °С в течение 2-3 ч.
Заполнение хроматографической колонки проводят по ГОСТ 21533.
Включение и пуск хроматографа осуществляют в соответствии с прилагаемой к нему инструкцией.
(Измененная редакция, Изм. N 1).
3.2.1.3 Проведение анализа
Массовую долю примесей определяют методом "внутреннего эталона".
В качестве "внутреннего эталона" при анализе этилацетата с использованием в качестве неподвижной жидкой фазы ПЭГ-300 применяют нормальный пропиловый спирт, а при использовании динонилового эфира фталевой кислоты - бутанол-1.
"Внутренний эталон" добавляют в препарат в количестве 0,02%-0,5% объема анализируемой пробы.
В качестве "внутреннего эталона" для анализа бутилацетата используют изобутиловый спирт, который добавляют в препарат в количестве 0,01%-0,2% объема анализируемой пробы.
Массовую долю органических примесей определяют при условиях, указанных в табл.2.
Таблица 2
При установившемся режиме в испаритель хроматографа вводят при помощи микрошприца соответствующий объем анализируемой пробы.
Последовательность выхода компонентов из колонки и относительное время удерживания для этилацетата указаны в табл.3, для бутилацетата - в табл.4.
Таблица 3
При использовании в качестве неподвижной жидкой фазы полиэтиленгликоля массовую долю этилового спирта определяют по п.3.2.2.
Таблица 4
(Измененная редакция, Изм. N 1, 2, 3).
3.2.1.4. Обработка результатов
Обработку результатов анализа проводят по ГОСТ 21533.
Допускается определять площадь пиков с помощью электронного интегратора.
При этом, учитывая, что коэффициенты чувствительности пламенно-ионизационного детектора для примесей и "вещества-эталона" незначительно отличаются друг от друга, их в расчет не принимают.
При расчете площадей пиков, выходящих после основного компонента, за нулевую линию принимают продолжение пика основного компонента.
За результат анализа принимают среднеарифметическое результатов двух параллельных определений, допускаемое абсолютное расхождение между которыми не должно превышать: для этилацетата всех квалификаций и бутилацетата квалификации х.ч. - 0,02%, а для бутилацетата квалификации ч. - 0,05% при доверительной вероятности P=0,95.
(Измененная редакция, Изм. N 2, 3).
3.2.2. Определение массовой доли воды и этилового спирта
Массовую долю воды определяют методом газожидкостной хроматографии на набивных колонках с регистрацией сигналов разделенных компонентов детектором по теплопроводности.
Количественную обработку проводят путем построения градуировочного графика.
Общие требования к проведению хроматографического анализа - по ГОСТ 21533.
(Измененная редакция, Изм. N 3).
3.2.2.1. Аппаратура и реактивы
Хроматограф газовый аналитический с детектором по теплопроводности.
Колонки длиной 2 и 3 м и внутренним диаметром 3 мм.
Лупа измерительная по ГОСТ 25706.
Линейка измерительная металлическая по ГОСТ 427.
Микрошприц вместимостью 10 мм3.
Шкаф сушильный.
Газ-носитель: гелий газообразный очищенный или водород технический по ГОСТ 3022.
Твердый носитель: полисорб - адсорбент для хроматографии с размером частиц 0,25-0,5 мм.
Спирт этиловый ректификованный технический по ГОСТ 18300 высшего сорта.
Вода дистиллированная по ГОСТ 6709.
(Измененная редакция, Изм. N 2, 3).
3.2.2.2. Подготовка к анализу
Колонку заполняют полисорбом и стабилизируют в токе газа-носителя в течение 4-5 ч при 120 °С.
Включение и пуск хроматографа осуществляют в соответствии с прилагаемой к нему инструкцией.
3.2.2.3. Проведение анализа
Массовую долю воды и этилового спирта определяют методом "абсолютной градуировки".
Препарат анализируют при следующих условиях:
длина колонки 2-3 м;
температура колонки 100 °С;
температура испарителя 140 °С - 170 °С;
скорость газа-носителя 45-65 см3/мин;
ток моста катарометра при шкале самописца 10 мВ - 200-250 мА, при шкале самописца 1 мВ - 100-150 мА;
объем анализируемой пробы 5-10 мм3.
При установившемся режиме в испаритель хроматографа вводят анализируемую пробу.
Последовательность выхода компонентов из колонки и относительное время удерживания указаны в табл.5.
Таблица 5
(Измененная редакция, Изм. N 1, 2, 3).
3.2.2.4. Построение градуировочных графиков
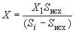
Для построения градуировочных графиков готовят 4-6 растворов на основе этилацетата или бутилацетата с массовой долей воды или этилового спирта не более 0,03%, содержащих точно известные массовые доли воды или этилового спирта (от 0,03% до 0,3%). Снимают хроматограммы анализируемого этилацетата или бутилацетата и 4-6 растворов для построения градуировочных графиков при условиях, указанных в п.3.2.2.3. Измеряют площади пиков воды или этилового спирта и вычисляют массовую долю воды или этилового спирта (X) в процентах в анализируемом этилацетате или бутилацетате по формуле
где X1 - массовая доля воды или этилового спирта, введенная в растворы для построения градуировочных графиков, %;
Sисх - площадь пика воды или этилового спирта в анализируемом этилацетате, мм2;
Si - площадь пика воды или этилового спирта в растворах для построения градуировочных графиков, мм2.
Массовую долю воды или этилового спирта (Xi) в процентах в растворах для построения градуировочных графиков вычисляют по формуле
где X - массовая доля воды или этилового спирта в исходном этилацетате или бутилацетате, %;
X1 - массовая доля воды или этилового спирта, введенная в растворы для построения градуировочных графиков, %.
Далее строят градуировочные графики по приготовленным растворам, откладывая по оси абсцисс массовые доли воды или этилового спирта (Xi), а по оси ординат - соответствующие им площади пиков (Si).
Градуировочные графики проверяют ежемесячно и при изменении условий анализа.
3.2.2.5. Обработка результатов
Снимают хроматограммы анализируемого этилацетата или бутилацетата и измеряют площади пиков воды или этилового спирта.
Допускается массовую долю воды или этилового спирта вычислять, используя вместо площади высоту пиков по ГОСТ 21533 (п.4.2а).
По полученным градуировочным графикам находят массовую долю воды или этилового спирта в анализируемом этилацетате или бутилацетате.
За результат анализа принимают среднеарифметическое результатов двух параллельных определений, допускаемое абсолютное расхождение между которыми при доверительной вероятности P=0,95 не должно превышать 0,01%.
Допускается массовую долю воды определять реактивом Фишера по ГОСТ 14870 (способ 1).
При разногласиях в оценке массовой доли воды анализ проводят методом газожидкостной хроматографии.
3.2.2.4, 3.2 2.5. (Измененная редакция, Изм. N 2, 3).
3.3. Температурные пределы перегонки определяют по ГОСТ 18995.7 в приборе с наклонным холодильником.
3.4. Плотность определяют по ГОСТ 18995.1.
3.5. Показатель преломления определяют по ГОСТ 18995.2.
3.6. Определение массовой доли нелетучих веществ
Определение проводят по ГОСТ 27026 из навески 200,0 г препарата (220 см3 этилацетата или 227 см3 бутилацетата) в платиновой, кварцевой или фарфоровой чашке.
Препарат считают соответствующим требованиям настоящего стандарта, если масса остатка после высушивания не будет превышать в этилацетате:
для препарата химически чистый - 1 мг,
для препарата чистый для анализа - 1 мг,
для препарата чистый - 2 мг;
в бутилацетате:
для препарата химически чистый - 2 мг,
для препарата чистый - 4 мг.
Допускаемая относительная суммарная погрешность результата анализа: ±35% - для этилацетата химически чистый и чистый для анализа; ±25% - для этилацетата чистый и бутилацетата химически чистый; ±10% - для бутилацетата чистый при доверительной вероятности P=0,95.
(Измененная редакция, Изм. N 2, 3).
3.7. Определение массовой доли кислот в пересчете на уксусную кислоту
3.7.1. Посуда, реактивы и растворы
Колба Кн-1-100-29/32 ТХС по ГОСТ 25336.
Цилиндр 1(3)-50-2 по ГОСТ 1770.
Бюретка вместимостью 5 см3.
Натрия гидроокись по ГОСТ 4328, раствор концентрации c(NaOH)=0,01 моль/дм3 (0,01 н.); готовят по ГОСТ 25794.1.
Спирт этиловый ректификованный технический по ГОСТ 18300 высшего сорта, нейтрализованный по фенолфталеину.
Фенолфталеин (индикатор) по НД, спиртовой раствор с массовой долей 1%; готовят по ГОСТ 4919.1.
(Измененная редакция, Изм. N 2, 3).
3.7.2. Проведение анализа
25 см3 спирта помещают в коническую колбу, прибавляют цилиндром 30 см3 препарата, 2 капли раствора фенолфталеина и титруют из бюретки раствором гидроокиси натрия до появления розовой окраски раствора, не исчезающей в течение 30 с.
(Измененная редакция, Изм. N 3).
3.7.3. Обработка результатов
Массовую долю кислот в пересчете на уксусную кислоту (X2) в процентах вычисляют по формуле
где V - объем раствора гидроокиси натрия концентрации 0,01 моль/дм3, израсходованный на титрование, см3;
K - коэффициент поправки раствора гидроокиси натрия концентрации 0,01 моль/дм3;
0,0006 - масса уксусной кислоты, соответствующая 1 см3 раствора гидроокиси натрия концентрации точно 0,01 моль/дм3, г;
30 - объем препарата, см3;
p - плотность препарата, равная 0,90 г/см3 - для этилацетата и 0,88 г/см3 - для бутилацетата.
За результат анализа принимают среднеарифметическое двух параллельных определений, допускаемое абсолютное расхождение между которыми не должно превышать 0,0006% - для этилацетата и 0,0003% - для бутилацетата при доверительной вероятности P=0,95.
Допускаемая абсолютная суммарная погрешность результата анализа для этилацетата ±0,0005% и для бутилацетата ±0,0003% при доверительной вероятности P=0,95.
(Измененная редакция, Изм. N2, 3).
3.8. Определение содержания веществ, темнеющих под действием серной кислоты
3.8.1. Посуда, реактивы и растворы
Пробирки П-1 или П-2 по ГОСТ 25336.
Пипетки вместимостью 1, 5 и 10 см3.
Термометр с пределом измерения 100 °С и ценой деления 1 °С.
Вода дистиллированная по ГОСТ 6709.
Йод по ГОСТ 4159, раствор концентрации c(1/2J2)=0,0005 моль/дм3 (0,0005 н.); готовят по ГОСТ 25794.2.
Калий марганцовокислый по ГОСТ 20490, раствор концентрации c(1/5KMnO4)=0,033 моль/дм3 (0,033 н.); готовят по ГОСТ 25794.2.
Кислота серная по ГОСТ 4204, х.ч., выдерживающая пробу Савалля.
(Измененная редакция, Изм. N 2,3).
3.8.2. Проведение анализа
5 см3 препарата вносят в пробирку вместимостью 20-25 см3 и помещают в холодную водяную баню температурой не выше 5 °С. Затем добавляют 5 см3 серной кислоты небольшими порциями при перемешивании так, чтобы температура в пробирке не превышала 40 °С и сразу же наблюдают окраску.
Препарат считают соответствующим требованиям настоящего стандарта, если для препарата х.ч. анализируемый раствор будет бесцветным, а для препарата ч.д.а. окраска анализируемого раствора по розовому оттенку не будет интенсивнее окраски раствора, приготовленного одновременно и содержащего 5,9 см3 воды, 4 см3 раствора йода и 0,1 см3 раствора марганцовокислого калия.
(Измененная редакция, Изм. N 2).
4. УПАКОВКА, МАРКИРОВКА, ТРАНСПОРТИРОВАНИЕ И ХРАНЕНИЕ
4.1. Реактив упаковывают и маркируют в соответствии с ГОСТ 3885.
На потребительскую тару наносят надпись "Легковоспламеняющаяся жидкость" или символ, соответствующий знаку опасности по ГОСТ 19433.
На транспортную тару наносят знаки опасности по ГОСТ 19433 для этилового эфира уксусной кислоты: класс 3, подкласс 3.2, черт.3, классификационный шифр 3212, серийный номер ООН 1173 и для бутилового эфира уксусной кислоты: класс 3, подкласс 3.3, черт.3, классификационный шифр 3313, серийный номер ООН 1123, манипуляционные знаки по ГОСТ 14192 "Хрупкое. Осторожно" и "Беречь от нагрева".
(Измененная редакция, Изм. N 3).
4.2. Препараты перевозят всеми видами транспорта в соответствии с правилами перевозки грузов, действующими на данном виде транспорта.
4.3. Препарат хранят в упаковке предприятия-изготовителя в помещении для огнеопасных веществ.
5. ГАРАНТИИ ИЗГОТОВИТЕЛЯ
5.1. Изготовитель гарантирует соответствие этилацетата и бутилацетата требованиям настоящего стандарта при соблюдении условий транспортирования и хранения.
5.2. Гарантийный срок хранения этилацетата - три года, бутилацетата - два года со дня изготовления.
5.1, 5.2. (Измененная редакция, Изм. N 2).
Разд.6. (Исключен, Изм. N 2).
ПРИЛОЖЕНИЕ 1 (обязательное). ИСО 6353-3-87 "Реактивы для химического анализа. Часть 3. Технические условия. Вторая серия"
ПРИЛОЖЕНИЕ 1
Обязательное
Р. 62 Этилацетат CH3COOC2H5
Относительная молекулярная масса: 88,11.
Р. 62.1. Технические требования
Р. 62.2. Проведение испытаний
Р. 62.2.1. Окраска в единицах Хазена
Следуют указаниям ОМ 36*.
Р. 62.2.2. Плотность
Следуют указаниям ОМ 24.1*.
________________
* Общие методы анализа (ОМ) - по МС ИСО 6353-1-82.
Р. 62.2.3. Определение массовых долей этанола, метанола и метилацетата
Следуют указаниям ОМ 34*, учитывая следующие условия:
Р. 62.2.4. Определение массовой доли нелетучих веществ
Берут 50 г (55,5 см3) анализируемого препарата и следуют указаниям ОМ 14*. Масса остатка не должна превышать 1 мг.
________________
* Общие методы анализа (ОМ) - по МС ИСО 6353-1-82.
Р. 62.2.5. Определение кислотности
К 20 см3 метанола добавляют 0,1 см3 фенолфталеина (2,5 г фенолфталеина растворяют в 250 см3 95%-ного (по объему) этанола) и титрованный раствор гидроокиси натрия c(NaOH)=0,01 моль/дм3 в количестве, необходимом для получения розовой окраски. Охлаждают в ледяной бане и добавляют 20 г (22,2 см3) препарата. При необходимости проводят титрование раствором гидроокиси натрия c(NaOH)=0,01 моль/дм3 до появления розовой окраски.
Объем титрованного раствора гидроокиси натрия не должен превышать 1,6 см3.
Р. 62.2.6. Испытание на легко карбонизируемые вещества
Охлаждают 5 см3 раствора серной кислоты (95±0,5)% до 10 °С и медленно, при непрерывном встряхивании, добавляют 5 см3 препарата.
Через 5 мин интенсивность окраски полученного раствора не должна превышать интенсивности окраски раствора йода c(1/2J2)=5·10-5 моль/дм3.
Р. 62.2.7. Определение массовой доли воды
Берут 10 г (11,1 см) препарата и следуют указаниям ОМ 12, в качестве растворителя используют 20 см3 метанола.
ПРИЛОЖЕНИЕ 2 (обязательное). ИСО 6353-1-82 "Реактивы для химического анализа. Часть 1. Общие методы испытаний" (ОМ)
ПРИЛОЖЕНИЕ 2
Обязательное
5.12. Определение массовой доли воды (ОМ 12)
Следуют указаниям ГОСТ 14870*.
5.14. Определение остатка после выпаривания (ОМ 14)
Пробу анализируемого препарата известной массы выпаривают на водяной кипящей бане, используя предварительно взвешенную чашку для выпаривания (платиновую, стеклянную или кварцевую) вместимостью примерно 150 см3. Остаток сушат до постоянной массы при температуре (105±2) °С в соответствии с методикой для каждого конкретного продукта.
Следуют указаниям также ГОСТ 8981*.
5.24.1. Пикнометрический метод (ОМ 24.1)
5.24.1.1. Методика
Высушенный пикнометр (объем 25-50 см3) взвешивают с точностью до 0,2 мг. Пикнометр заполняют свежепрокипяченной (остывшей) водой и определяют взвешиванием массу воды при (20±0,1) °С (m2). Пикнометр освобождают от воды, высушивают, заполняют анализируемым веществом и определяют аналогичным способом массу вещества при (20±0,1) °С (m1).
5.24.1.2. Обработка результатов
Плотность испытуемого вещества, выраженную в граммах на кубический сантиметр и рассчитываемую с точностью до третьего десятичного знака после запятой, определяют по формуле
где m1 - масса навески испытуемого вещества, г;
m2 - масса навески воды, г;
pв - плотность воды при 20 °С (0,9982 г/см3);
A - поправка к массе при взвешивании на воздухе; A=paV, где pa - плотность воздуха (приблизительно 0,0012 г/см3); V - объем пикнометра, см3.
5.34. Газовая хроматография (ОМ 34) - по ГОСТ 21533.
5.36. Определение цвета в единицах Хазена (ОМ 36)
Следуют указаниям ГОСТ 8981*.
Примечание *. Следуют указаниям ГОСТ 14870 до применения в виде государственного стандарта международного стандарта ИСО 760-78, ГОСТ 8981 - международных стандартов ИСО 759-81 и ИСО 2211-73.
ПРИЛОЖЕНИЯ 1, 2. (Введены дополнительно, Изм. N 3).
официальное издание
М.: ИПК Издательство стандартов, 2003
