Хлорпикрин (нитротрихлорметан) технический ГОСТ 12263-77
Хлорпикрин (нитротрихлорметан) технический. Технические условия (с Изменениями N 1, 2, 3) ГОСТ 12263-77
ГОСТ 12263-77
Группа Л16
МЕЖГОСУДАРСТВЕННЫЙ СТАНДАРТ
ХЛОРПИКРИН (НИТРОТРИХЛОРМЕТАН) ТЕХНИЧЕСКИЙ
Технические условия
Technical chloropicrin (nitrotrichlormethane).
Specifications
ОКП 24 4731 0000
Дата введения 1978-01-01
ИНФОРМАЦИОННЫЕ ДАННЫЕ
1. РАЗРАБОТАН И ВНЕСЕН Министерством химической промышленности СССР
2. УТВЕРЖДЕН И ВВЕДЕН В ДЕЙСТВИЕ Постановлением Государственного комитета стандартов Совета Министров СССР от 19.01.77 N 135
3. ВЗАМЕН ГОСТ 12263-66
4. ССЫЛОЧНЫЕ НОРМАТИВНО-ТЕХНИЧЕСКИЕ ДОКУМЕНТЫ
|
Обозначение НТД, на который дана ссылка |
Номер пункта, подпункта |
|
ГОСТ 12.1.007-76 |
6.1 |
|
ГОСТ 427-75 |
3.4.1 |
|
ГОСТ 1770-74 |
3.5.1 |
|
3.4.1 |
|
|
ГОСТ 2263-79 |
3.4.1 |
|
3.4.1 |
|
|
3.4.1 |
|
|
3.4.1 |
|
|
3.5.1 |
|
|
ГОСТ 4517-87 |
3.5.1 |
|
ГОСТ 4919.1-77 |
3.5.1 |
|
4.4 |
|
|
ГОСТ 6745-79 |
4.4 |
|
3.4.1 |
|
|
ГОСТ 9557-87 |
4.4 |
|
ГОСТ 10146-74 |
3.4.1 |
|
3.4.1 |
|
|
ГОСТ 14189-81 |
2.1, 3.1, 4.2, 4.3, 4.5 |
|
ГОСТ 14923-78 |
4.4 |
|
ГОСТ 17366-80 |
4.1, 4.4 |
|
ГОСТ 17433-80 |
3.4.1 |
|
3.5 |
|
|
ГОСТ 19433-88 |
4.2 |
|
3.4.1 |
|
|
ГОСТ 21650-76 |
4.4 |
|
3.4.1 |
|
|
ГОСТ 24104-88 |
3.4.1, 3.5.1 |
|
ГОСТ 24597-81 |
4.4 |
|
3.4.1 |
|
|
ГОСТ 25336-82 |
3.2, 3.4.1, 3.5.1 |
|
ГОСТ 25706-83 |
3.4.1 |
|
ГОСТ 25794.1-83 |
3.5.1 |
|
ГОСТ 26319-84 |
4.4 |
|
ГОСТ 29227-91 |
3.5.1 |
|
ГОСТ 29251-91 |
3.5.1 |
5. Ограничение срока действия снято по протоколу N 5-94 Межгосударственного Совета по стандартизации, метрологии и сертификации (ИУС 11-12-94)
6. ИЗДАНИЕ с Изменениями N 1, 2, 3, утвержденными в апреле 1979 г., июле 1987 г., декабре 1989 г. (ИУС 6-79, 11-87, 3-90)
Настоящий стандарт распространяется на технический хлорпикрин, применяемый в качестве инсектоакарицида фумигантного действия.
Хлорпикрин относится к жидким хлорорганическим пестицидам.
Формула: CCl3O2
Молекулярная масса (по международным атомным массам 1971 г.) - 164,37.
(Измененная редакция, Изм. N 2, 3).
1. ТЕХНИЧЕСКИЕ ТРЕБОВАНИЯ
1.1a. Хлорпикрин должен изготовляться в соответствии с требованиями настоящего стандарта по технологическому регламенту, утвержденному в установленном порядке.
(Введен дополнительно, Изм. N 2).
1.1. По физико-химическим показателям хлорпикрин должен соответствовать требованиям и нормам, указанным в табл.1.
Таблица 1
2. ПРАВИЛА ПРИЕМКИ
2.1. Правила приемки - по ГОСТ 14189. Масса партии продукта не должна превышать 15 т.
(Измененная редакция, Изм. N 2).
3. МЕТОДЫ АНАЛИЗА
3.1. Пробы отбирают по ГОСТ 14189. Масса средней пробы не должна быть менее 500 г. Перед анализом среднюю пробу тщательно перемешивают.
3.2. Внешний вид определяют визуально. Хлорпикрин помещают в бесцветную пробирку П1-16-150 ХС по ГОСТ 25336 и рассматривают на белом фоне.
3.3. Плотность хлорпикрина определяют по ГОСТ 18995.1.
(Измененная редакция, Изм. N 2).
3.4. Определение массовой доли хлорпикрина
Массовую долю хлорпикрина определяют расчетным методом, вычитая из 100% сумму массовых долей примесей.
Определение примесей проводят на газожидкостном хроматографе с пламенно-ионизационным детектором. Количественное определение проводят методом "внутреннего эталона".
3.4.1. Аппаратура, реактивы и растворы
Хроматограф серии "Цвет" с пламенно-ионизационным детектором или хроматограф другого типа, обеспечивающий необходимую чувствительность.
Колонка хроматографическая стеклянная или металлическая длиной 3 м и внутренним диаметром 3 мм.
Весы лабораторные общего назначения по ГОСТ 24104* 2-го класса с наибольшим пределом взвешивания 200 г.
________________
* С 1 июля 2002 г. вводится в действие ГОСТ 24104-2001 (здесь и далее).
Лупа измерительная по ГОСТ 25706.
Секундомер.
Линейка измерительная по ГОСТ 427.
Стекловолокно ГСФ (7А) по ГОСТ 10146.
Микрошприц МШ-10.
Азот по ОСТ* 9293.
___________________
* Вероятно ошибка оригинала. Следует читать ГОСТ 9293.
Водород по ГОСТ 3022, марка А или электролитический из генератора СГС-2.
Воздух сжатый для приборов и средств автоматизации по ГОСТ 17433.
Хроматон N-AW-НМДS силанизированный НМДS, пропитанный 5% ХЕ-60 (готовый сорбент фирмы "Zachema", ЧССР) - фракция 0,20-0,25 мм.
Хлорпикрин - синтезированный и очищенный следующим образом:
в двугорлую колбу вместимостью 500 см3 помещают раствор гипохлорита кальция концентрации 100-105 г/дм3, охлаждают до 4-6 °С. К раствору по каплям при непрерывном перемешивании добавляют водный раствор нитрометана концентрации 5 г/дм3. При этом должен быть 10%-ный избыток гипохлорита кальция. Выход хлорпикрина - 90%.
Затем постепенно, в течение 1-2 ч, повышают температуру до (20±5) °С, присоединяют холодильник и приемник для отгона. В колбу интенсивно подают водяной пар и нагревают содержимое до 100-110 °С.
Содержимое приемника переносят в делительную воронку, отделяют органический слой, сушат поташем и фильтруют через бумажный фильтр.
Чистоту хлорпикрина определяют хроматографированием 1 см3 синтезированного хлорпикрина в соответствии с требованиями настоящей методики. На хроматограмме пики примесей должны отсутствовать.
1,1,2-трихлорэтан, синтезированный следующим образом:
в четырехгорлую колбу, снабженную мешалкой и обратным холодильником, помещают 150-200 см3 1,2-дихлорэтана, 2-4 г фенола. При непрерывном перемешивании подают винилхлорид со скоростью 375 см3/мин и хлор со скоростью 400 см/мин в течение 2,5-3 ч. Поддерживают температуру 30-40 °С. Реакционные газы через обратный холодильник поглощают водным раствором щелочи. Реакционная масса содержит 60% 1,1,2-трихлорэтана. Затем через реакционную массу продувают азот в течение 10-15 мин, промывают водой и разгоняют на ректификационной колонке с насадкой Фенске высотой 500 мм. Для работы отбирают фракцию при 113-114 °С. Выход 1,1,2-трихлорэтана составляет 75-80%. Чистоту полученного продукта проверяют хроматографированием в соответствии с требованиями настоящей методики. При высоте пика, равной ширине шкалы самописца, пики примесей должны отсутствовать.
Хлороформ по ГОСТ 20015 марки А.
Нитрометан.
кальция гипохлорит по ГОСТ 25263.
калий углекислый (поташ) по ГОСТ 10690.
Ацетон по ГОСТ 2603 или по ГОСТ 2768.
Дихлорэтан по ГОСТ 1942.
Фенол по ГОСТ 23519.
Натрия гидроокись (гидроксид) по ГОСТ 2263.
Колба КГУ-1-500-29/32 по ГОСТ 25336.
Колба КГП-4-1-500-29/32 по ГОСТ 25336.
Холодильник ХП1 1(2,3)-400-29/32 по ГОСТ 25336.
Склянки СН-2 или СВТ по ГОСТ 25336.
Воронка типа ВД-1(2)-250-29/32 ХС по ГОСТ 25336.
3.4.2. Подготовка к анализу
3.4.2.1. Подготовка и заполнение колонки
Колонку перед заполнением промывают ацетоном, высушивают. Сухую, чистую стеклянную колонку заполняют готовым сорбентом. Короткий конец закрывают тампоном из стекловолокна высотой 5 мм и присоединяют к вакуум-насосу или водоструйному насосу. В длинный конец колонки через воронку насыпают сорбент. Сорбент уплотняют легким постукиванием. Длинный конец колонки оставляют незаполненным на 130 мм. Для предотвращения выдувания сорбента газом-носителем в колонку вставляют стеклянный капилляр длиной 125 мм. Оставшиеся 5 мм закрывают тампоном из стекловолокна.
Заполненную колонку устанавливают в термостат хроматографа и, не присоединяя к детектору, продувают газом-носителем в течение 2 ч при 100 °С.
3.4.2.2. Подготовка хроматографа
Вывод хроматографа на рабочий режим проводится по инструкции эксплуатации хроматографа, прилагаемой к прибору.
В зависимости от типа применяемого хроматографа в условия выполнения измерений могут быть внесены некоторые изменения с целью достижения оптимального разделения примесей.
3.4.2.3. Градуировка хроматографа
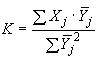
Массовые доли примесей определяют методом "внутреннего эталона" с учетом градуировочного коэффициента. В качестве "внутреннего эталона" применяют 1,1,2-трихлорэтан. Так как из трех примесей хлорпикрина идентифицирован лишь хлороформ, для него определяют градуировочный коэффициент экспериментально. Для остальных примесей используют этот же градуировочный коэффициент. Исходный хлороформ предварительно проверяют на чистоту в соответствии с требованиями настоящей методики и считают удовлетворяющим требованиям, если на хроматограмме пик хлороформа выходит на всю шкалу, а пики примесей отсутствуют.
Для определения градуировочного коэффициента готовят несколько искусственных смесей, состоящих из хлорпикрина, хлороформа с массовой долей 0,02-0,5% и 1,1,2-трихлорэтана с массовой долей 0,02-0,5%. Для этого 12-15 г хлорпикрина взвешивают в стеклянном флаконе вместимостью 20 см3 (результаты взвешивания в граммах записывают до четвертого десятичного знака) и в него поочередно шприцем через пенициллиновую пробку и фторопластовую пленку добавляют хлороформ и 1,1,2-трихлорэтан в количестве 0,015-0,040 г, взвешивая смесь после каждого добавления. Для закрепления пробки и прокладки применяют струбцину любой конструкции.
Приготовленную таким образом смесь отбирают микрошприцем в количестве 0,2-0,6 мм3, вводят в испаритель прибора и хроматографируют по п.3.4.2.2. По полученной хроматограмме вычисляют площади пиков хлороформа и 1,1,2-трихлорэтана (см. чертеж).
Хроматограмма хлорпикрина
1 - хлороформ; 2 - хлорпикрин; 3 - 1,1,2-трихлорэтан; 4, 5 - неидентифицированные примеси
Градуировочный коэффициент для хлороформа вычисляют методом наименьших квадратов по формуле
где
где
,
- масса хлороформа и внутреннего эталона в j-м растворе, г;
,
- площади пиков хлороформа и эталона в j-м растворе, мм2;
- среднее значение соотношения площадей из нескольких параллельных измерений.
Коэффициент определяют из результатов анализа пяти смесей, каждую из которых хроматографируют не менее 10 раз.
Градуировочные коэффициенты определяют после каждой смены сорбента в колонке.
3.4.3. Проведение анализа
Взвешивают 12-15 г анализируемого хлорпикрина (результаты взвешивания в граммах записывают до второго десятичного знака), добавляют 0,020-0,040 г 1,1,2-трихлорэтана, 0,2-0,6 мм3 полученной смеси вводят микрошприцем в испаритель прибора и снимают хроматограмму по п.3.4.2.2.
В связи с тем, что при анализе хлорпикрина стенки детектора ионизации в пламени покрываются налетом и при этом ухудшаются чувствительность детектора и нулевая линия, рекомендуется периодически промывать детектор этиловым спиртом после проведения 20-30 анализов.
3.4.4 Обработка результатов
Суммарную массовую долю примесей
, в процентах, вычисляют по формуле
где
- сумма площадей пиков примесей, мм2;
Sэт - площадь пика эталона (1,1,2-трихлорэтана), мм2;
K - градуировочный коэффициент;
mэт - масса введенного в пробу внутреннего эталона, г;
m - масса анализируемого хлорпикрина, г.
За результат анализа принимают среднеарифметическое результатов двух параллельных определений, допускаемое расхождение между которыми не должно превышать ±0,01%, при доверительной вероятности P=0,95.
Результаты параллельных определений округляют до второго десятичного знака, результат определения - до первого десятичного знака.
Суммарная абсолютная погрешность определения находится в диапазоне от - 0,2 А % до +0,2 А % при доверительной вероятности P=0,95, где А - суммарная массовая доля примесей.
3.4.5. Массовую долю хлорпикрина (X) в процентах вычисляют по формуле
где
- суммарная массовая доля примесей, найденная по п.3.4.4, %.
3.5. Определение массовой доли свободных кислот в пересчете на азотную кислоту
Метод основан на извлечении кислот водой и титровании раствором гидроксида натрия.
Диапазон определения массовых долей свободных кислот от 0,001% до 0,008%.
3.5.1. Аппаратура, растворы и реактивы
Весы лабораторные общего назначения по ГОСТ 24104 2-го и 4-го классов точности с наибольшими пределами взвешивания 200 и 500 г соответственно.
Секундомер механический.
Бюретка 6-2-0,02 по ГОСТ 29251.
Колба мерная 2-250-2 по ГОСТ 1770.
Пипетка 2-2-10/25 по ГОСТ 29227.
Цилиндр 1,3-50 по ГОСТ 1770.
Колба Кн-2-100-18 ТХС по ГОСТ 25336.
Воронка ВД-1,3-100 ХС по ГОСТ 25336.
Капельница 1,2-50 ХС по ГОСТ 25336.
Натрия гидроокись (гидроксид) по ГОСТ 4328, х.ч., раствор молярной концентрации c(NaOH)=0,01 моль/дм3. Готовят раствор концентрации c(NaOH)=0,1 моль/дм3 по ГОСТ 25794.1. 25 см3 полученного раствора разбавляют водой, не содержащей углекислоты, в мерной колбе вместимостью 250 см3 и перемешивают. Раствор годен в течение 8 ч.
Фенолфталеин, спиртовый раствор с массовой долей 1%; готовят по ГОСТ 4919.1, п.3.1.
Спирт этиловый ректификованный технический по ГОСТ 18300.
Вода дистиллированная, не содержащая углекислоты; готовят по ГОСТ 4517.
3.5.2. Проведение анализа
В две делительные воронки вместимостью 100 см3 помещают по 10 см3 хлорпикрина, отобранного пипеткой, приливают по 50 см3 дистиллированной воды, не содержащей углекислоты, отобранной цилиндром. Взбалтывают (2,0±0,5) мин. После расслоения фаз водную фазу переносят в коническую колбу, прибавляют 3-4 капли раствора фенолфталеина и титруют раствором гидроксида натрия до появления розовой окраски индикатора, не исчезающей в течение 15-20 с. Одновременно проводят контрольный опыт. Для этого в две конические колбы помещают по 50 см3 дистиллированной воды, не содержащей углекислоты, прибавляют 3-4 капли раствора фенолфталеина и далее поступают, как описано выше.
3.5.3. Обработка результатов
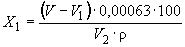
Массовую долю свободных кислот в пересчете на азотную кислоту (X1) в процентах вычисляют по формуле
где V - объем раствора гидроксида натрия молярной концентрации c(NaOH)=0,01 моль/дм3, израсходованный на титрование рабочей пробы, см3;
V1 - объем раствора гидроксида натрия молярной концентрации c(NaOH)=0,01 моль/дм3, израсходованный на титрование контрольной пробы, определяют как среднеарифметическое двух параллельных определений, см3;
0,00063 - масса азотной кислоты, соответствующая 1 см3 раствора гидроксида натрия концентрации точно c(NaOH)=0,01 моль/дм3, г;
V2 - объем хлорпикрина, взятый для анализа, см3;
p - плотность анализируемого хлорпикрина, г/см3.
За результат анализа принимают среднеарифметическое результатов двух параллельных определений, расхождение между которыми не должно превышать 0,2·10-3%, при доверительной вероятности P=0,95.
Результат определения округляют до третьего десятичного знака.
Суммарная относительная погрешность определения находится в диапазоне от -0,1 А% до +0,1А% при доверительной вероятности P=0,95, где А - результат определения.
3.4-3.5.3. (Измененная редакция, Изм. N 3).
3.6. (Исключен, Изм. N 1).
3.6.1-3.6.3. (Исключены, Изм. N 2).
3.7. Определение содержания воды, отстоя и взвешенных механических примесей
Присутствие воды и взвешенных механических примесей определяют по внешнему виду пробы, помещенной в чистую сухую, герметически закупоренную пробирку, находящуюся не менее 12 ч в условиях, исключающих вибрацию и встряхивание.
4. УПАКОВКА, МАРКИРОВКА, ТРАНСПОРТИРОВАНИЕ И ХРАНЕНИЕ
4.1. Хлорпикрин упаковывают в бочки БСТ 1-1 110-4 по ГОСТ 17366. Бочки герметизируют прокладками из прокладочного поливинилхлоридного пластиката толщиной 2-3 см. Перед наполнением бочки испытывают на давление 0,39 МПа (4 кгс/см2) водой и сушат горячим воздухом.
Степень заполнения бочек вычисляют с учетом максимального использования вместимости тары и объемного расширения продукта при возможном перепаде температур в пути следования.
(Измененная редакция, Изм. N 2).
4.2. Маркировка - по ГОСТ 14189 с нанесением знака опасности по ГОСТ 19433 (класс 6, подкласс 6.1, шифр группы 6111), серийный номер ООН 1580.
Способ нанесения маркировки - непосредственно на тару по трафарету.
(Измененная редакция, Изм. N 3).
4.3. Транспортирование - по ГОСТ 14189 транспортом всех видов, кроме воздушного.
Высота штабелирования при морских перевозках - не более чем в три яруса.
(Измененная редакция, Изм. N 2).
4.4. Хлорпикрин на экспорт упаковывают в новые бочки БСТ 1-1 110-4 по ГОСТ 17366, окрашенные в два слоя эмалью ГФ-1426 защитного цвета по ГОСТ 6745 или эмалью ПФ-223 стального цвета по ГОСТ 14923, или ПФ-115 серого цвета по ГОСТ 6465.
Упаковывание проводят в соответствии с требованиями внешнеторгового объединения.
Тара должна отвечать требованиям ГОСТ 26319.
Бочки формируют в пакеты на плоских поддонах по ГОСТ 9557 в соответствии с требованиями ГОСТ 21929, ГОСТ 21650 и ГОСТ 24597.
(Измененная редакция, Изм. N 2, 3).
4.5. Хранение - по ГОСТ 14189 в упаковке изготовителя.
(Измененная редакция, Изм. N 2).
5. ГАРАНТИИ ИЗГОТОВИТЕЛЯ
5.1. Изготовитель гарантирует соответствие хлорпикрина требованиям настоящего стандарта при соблюдении условий транспортирования и хранения.
5.2. Гарантийный срок хранения - два года со дня изготовления.
Разд.5. (Измененная редакция, Изм. N 2).
6. ТРЕБОВАНИЯ БЕЗОПАСНОСТИ
6.1. Хлорпикрин - высокоопасное вещество (2-й класс опасности по ГОСТ 12.1.007). Пары хлорпикрина сильно раздражают легкие, глаза.
Предельно допустимая концентрация (ПДК) хлорпикрина в воздухе рабочей зоны - 0,7 мг/м3,
Летучесть при 20 °С - 164 мг/дм3.
Хлорпикрин не горючее и пожаровзрывобезопасное вещество.
6.2. При работе с хлорпикрином необходимо применять средства индивидуальной защиты.
6.1, 6.2. (Измененная редакция, Изм. N 2).
официальное издание
Средства защитные для древесины.
Технические условия: Сб. Гостов. -
М.: ИПК Издательство стандартов, 2002
