Новости Нефтегазовая пром.
Выставки Наука и технология


Гидросульфит натрия технический ГОСТ 246-76

Гидросульфит натрия технический. Технические условия (с Изменениями N 1-4) ГОСТ 246-76


ГОСТ 246-76

Группа Л14

     
     
ГОСУДАРСТВЕННЫЙ СТАНДАРТ СОЮ3А ССР


ГИДРОСУЛЬФИТ НАТРИЯ ТЕХНИЧЕСКИЙ

Технические условия

Sodium hydrosulphite for industrial use.
Specifications


ОКП 21 4231 0100

Дата введения 1978-01-01

ИНФОРМАЦИОННЫЕ ДАННЫЕ

1. РАЗРАБОТАН И ВНЕСЕН Министерством химической промышленности СССР

РАЗРАБОТЧИКИ

К.В.Ткачев, Н.И.Баянова, Г.П.Скотникова, А.Е.Телепнева, Н.М.Кудрявцева

2. УТВЕРЖДЕН И ВВЕДЕН В ДЕЙСТВИЕ Постановлением Государственного комитета стандартов Совета Министров СССР от 23.07.76 N 1775

3. ВЗАМЕН ГОСТ 246-67

4. Периодичность проверки - 5 лет

5. ССЫЛОЧНЫЕ НОРМАТИВНО-ТЕХНИЧЕСКИЕ ДОКУМЕНТЫ

Обозначение НТД, на который дана ссылка

Номер пункта, подпункта

ГОСТ 12.1.005-88

1а.3; 1а.5

ГОСТ 12.1.007-76

1a.1

ГОСТ 12.4.016-83

1а.6

ГОСТ 61-75

3.5.1; 3.6.1

ГОСТ 195-77

3.8.1

ГОСТ 199-78

3.7.1

ГОСТ 1625-89

3.5.1; 3.6.1

ГОСТ 1770-74

3.5.1; 3.6.1; 3.7.1; 3.8.1

ГОСТ 3118-77

3.7.1; 3.8.1

ГОСТ 3760-79

3.8.1

ГОСТ 4108-72

3.9.1

ГОСТ 4109-79

3.8.1

ГОСТ 4159-79

3.5.1; 3.6.1

ГОСТ 4166-76

3.8.1

ГОСТ 4174-77

3.6.1; 3.8.1

ГОСТ 4212-76

3.7.1

ГОСТ 4328-77

3.5.1; 3.6.1

ГОСТ 4517-87

3.8.1

ГОСТ 4658-73

3.8.1

ГОСТ 4919.1-77

3.5.1; 3.6.1

ГОСТ 5044-79

4.1

ГОСТ 5456-79

3.7.1

ГОСТ 6709-72-->ГОСТ 6709-72

3.5.1; 3.6.1; 3.7.1; 3.8.1; 3.9.1

ГОСТ 9338-80

4.1

ГОСТ 10163-76

3.5.1; 3.6.1

ГОСТ 11293-59

3.8.1

ГОСТ 14192-77

4.3

ГОСТ 18300-87

3.5.1; 3.6.1

ГОСТ 19433-88

2.1; 4.3

ГОСТ 21650-76

4.5

ГОСТ 24104-88

3.5.1; 3.6.1; 3.7.1; 3.8.1; 3.9.1

ГОСТ 24597-81

4.5

ГОСТ 25336-82

3.6.1; 3.9.1

ГОСТ 25794.1-83

3.5.1; 3.7.1

ГОСТ 25794.2-83

3.5.1; 3.6.1

ГОСТ 26663-85

4.5

ГОСТ 27068-86

3.5.1; 3.6.1

6. Ограничение срока действия снято по решению Межгосударственного совета по стандартизации, метрологии и сертификации (протокол 2-93)

7. ПЕРЕИЗДАНИЕ (март 1994 г.) с Изменениями N 1, 2, 3, утвержденными в январе 1982 г., сентябре 1986 г., декабре 1988 г. (ИУС 4-82, 12-86, 4-89) 

ВНЕСЕНО Изменение N 4, принятое Межгосударственным Советом по стандартизации, метрологии и сертификации (протокол от 21.11.97 N 12). Государство-разработчик Россия. Постановлением Госстандарта России от 20.04.98 N 198 введено в действие на территории РФ с 01.07.98


Изменение N 4 внесено по тексту ИУС N 7, 1998 год

Настоящий стандарт распространяется на технический гидросульфит натрия (дитионит натрия), предназначенный для легкой, медицинской, пищевой, химической и других отраслей промышленности.

Формула: Na2S2O4

Относительная молекулярная масса (по международным атомным массам 1987 г.) - 174,097.

(Измененная редакция, Изм. N 3, 4).

1. ТЕХНИЧЕСКИЕ ТРЕБОВАНИЯ

1.1а. Гидросульфит натрия должен быть изготовлен в соответствии с требованиями настоящего стандарта по технологическому регламенту, утвержденному в установленном порядке.

(Введен дополнительно, Изм. N 1).

1.1. По физико-химическим показателям гидросульфит натрия должен соответствовать нормам, указанным в таблице.

Наименование показателя

Норма

Высший сорт 
ОКП 21 4231 0120

Первый сорт 
ОКП 21 4231 0130

1. Внешний вид

Белый с сероватым оттенком порошок

2. Массовая доля гидросульфита натрия (Na2S2O4), 
%, не менее

93,0

86,0

3. Массовая доля окиси железа (Fe2O3), %, не более

0,03

0,10

4. Массовая доля нерастворимых в воде веществ, %, не более

0,1

1,0


Примечание. Гидросульфит натрия высшего сорта, предназначенный для медицинской и пищевой промышленности, должен быть изготовлен с массовой долей сернистого натрия (Na2S) не более 0,10% и массовой долей цинка (Zn) не более 0,02%.

(Измененная редакция, Изм. N 1, 2, 3).

1a. ТРЕБОВАНИЯ БЕЗОПАСНОСТИ

1a.1. Гидросульфит натрия относится к веществам третьего класса опасности в соответствии с ГОСТ 12.1.007-76.

1а.2. Токсичность гидросульфита натрия обуславливается выделением из него при взаимодействии с водой сернистого ангидрида.

Токсичной является пыль гидросульфита натрия. При попадании внутрь организма человека она может вызвать рвоту, вялость, расстройство кровообращения, сердцебиение.

1а.3. Предельно допустимая концентрация сернистого ангидрида в воздухе рабочей зоны производственных помещений - 10 мг/м3 по ГОСТ 12.1.005-88.

Контроль за концентрацией вредных веществ проводят по методикам, разработанным в соответствии с ГОСТ 12.1.016-79.

1а.2, 1а.3. (Измененная редакция, Изм. N 4).

1а.4. Гидросульфит натрия - взрывобезопасен. Пожароопасен при действии на продукт воды в присутствии кислорода воздуха, что приводит к реакции, сопровождающейся выделением большого количества тепла и самовозгоранием выделившейся серы.

Тушение загоревшегося продукта производят распыленной водой и воздушно-механической пеной.

1а.5. Производственные помещения и лаборатории, в которых проводят работы с гидросульфитом натрия, должны быть обеспечены приточно-вытяжной вентиляцией по ГОСТ 12.4.021-75 и санитарно-бытовыми помещениями.

Производственное оборудование и коммуникации в местах возможного образования пыли и газов должны быть снабжены местными аспирационными отсосами, обеспечивающими состояние воздуха рабочей зоны в соответствии с требованиями ГОСТ 12.1.005-88, или, при необходимости, герметизированы.

1а.6. Работающие с гидросульфитом натрия должны быть обеспечены специальной одеждой в соответствии с ГОСТ 12.4.016-83 и нормами, утвержденными в установленном порядке, а также средствами индивидуальной защиты органов дыхания - респираторами типа У-2К, ШБ-1 "Лепесток" по ГОСТ 12.4.028-76.

1а.5, 1а.6. (Измененная редакция, Изм. N 4).

1а.7. При производстве, применении, транспортировании и хранении гидросульфита натрия должны быть обеспечены требования ГОСТ 17.2.3.02-78 и правил безопасности для производств основной химической промышленности.

1а.8. Утилизация отходов осуществляется в соответствии с санитарными правилами накопления, транспортирования, обезвреживания и захоронения промышленных отходов.

1а.7, 1а.8. (Введены дополнительно, Изм. N 4).

2. ПРАВИЛА ПРИЕМКИ

2.1. Гидросульфит натрия принимают партиями. Партией считают продукт, однородный по своим качественным показателям, в массе не более грузоподъемности одного вагона, сопровождаемый одним документом о качестве.

Документ должен содержать:

наименование предприятия-изготовителя и его товарный знак;

наименование и сорт продукта;

номер партии;

дату изготовления;

массу нетто;

количество мест в партии;

обозначение настоящего стандарта;

результаты проведенных анализов или подтверждение о соответствии качества продукта требованиям настоящего стандарта;

подтверждение о нанесении на упаковку знака опасности по ГОСТ 19433-88.

2.2. Для проверки гидросульфита натрия на соответствие требованиям настоящего стандарта от партии отбирают 5% барабанов, но не менее двух при партии менее 50 барабанов.

Для контроля качества гидросульфита натрия, находящегося в движении, пробы отбирают механизированным или ручным способом в местах перепада потока с периодом отбора, обеспечивающим получение точечной пробы массой 0,2 кг от 5 т продукта.

(Измененная редакция, Изм. N 1).

2.3. При получении неудовлетворительных результатов анализа хотя бы по одному из показателей проводят по нему повторный анализ на удвоенной выборке от той же партии.

Результаты повторного анализа распространяются на всю партию.

3. МЕТОДЫ АНАЛИЗА

3.1. Точечные пробы от упакованного продукта отбирают при помощи щупа, погружая его не менее чем на 3/4 глубины барабана по вертикальной оси. Масса точечной пробы от каждого барабана не должна быть менее 0,2 кг.

3.2. Точечные пробы соединяют вместе в объединенную пробу, быстро и тщательно перемешивают и сокращают методом квартования или на делителе до получения средней пробы массой не менее 0,5 кг.

3.3. Среднюю пробу делят на две равные части по 0,25 кг, лабораторную и контрольную, и помещают в чистые сухие банки с плотно закрывающимися крышками.

На банках указывают: наименование продукта, обозначение настоящего стандарта, сорт, номер партии, дату отбора пробы, надпись "Воспламеняется от воды.

3.2, 3.3. (Измененная редакция, Изм. N 4).

3.4. Внешний вид определяют визуально

3.5. Определение массовой доли гидросульфита натрия

3.5.1. Аппаратура, реактивы и растворы:

Весы лабораторные общего назначения по ГОСТ 24104-88 2-го класса точности с наибольшим пределом взвешивания 200 г или аналогичного типа.

Пипетка вместимостью 50 см3.

Бюретка вместимостью 25 см3 с ценой деления 0,1 см3

Колба мерная 1-500-2 по ГОСТ 1770-74.

Колба типа Кн исполнения 1, вместимостью 500 см3 из термически и химически стойкого стекла с пришлифованной пробкой по ГОСТ 25336-82.

Стаканчики для взвешивания по ГОСТ 25336-82.

Цилиндр 1-25-2 по ГОСТ 1770-74.

Вода дистиллированная по ГОСТ 6709-72-->ГОСТ 6709-72.

Спирт этиловый ректификованный технический по ГОСТ 18300-87.

Йод по ГОСТ 4159-79, раствор концентрации c(1/2J2)=0,1 моль/дм3 (0,1 н.), готовят по ГОСТ 25794.2-83.

Кислота уксусная по ГОСТ 61-75, раствор с массовой долей уксусной кислоты 1%.

Крахмал растворимый по ГОСТ 10163-76, раствор с массовой долей крахмала 0,5%, готовят по ГОСТ 4919.1-77.

натрий серноватистокислый (Тиосульфат натрия) по ГОСТ 27068-86, раствор концентрации c(Na2S2O3x5H2O=0,1 моль/дм3 (0,1 н.), готовят по ГОСТ 25794.2-83.

Натрия гидроокись (натрия гидроксид) по ГОСТ 4328-77, раствор концентрации c(NaOH)=0,1 моль/дм3 (0,1 н.), готовят по ГОСТ 25794.1-83.

Фенолфталеин (индикатор), раствор с массовой долей фенолфталеина - 1%.

формалин технический по ГОСТ 1625-89, раствор 2:1, нейтрализованный по фенолфталеину раствором гидроокиси натрия, выпавший осадок гидроокиси железа отфильтровывают после предварительного нагревания раствора до 70-80 °С.

Допускается применение импортной посуды по классу точности не ниже отечественных аналогов.

(Измененная редакция, Изм. N 2, 3, 4).

3.5.2. Проведение анализа

Около 1 г гидросульфита натрия взвешивают в стаканчике для взвешивания, результат взвешивания в граммах записывают с точностью до четвертого десятичного знака, добавляют 15 см3 раствора формалина, перемешивают стеклянной палочкой до полного растворения навески.

Если раствор становится бесцветным, то добавляют несколько капель раствора гидроокиси натрия до появления розового окрашивания.

Содержимое стаканчика для взвешивания переносят в мерную колбу вместимостью 500 см, доводят объем водой до метки и перемешивают.

50 см3 этого раствора помещают в коническую колбу вместимостью 500 см3, прибавляют четыре капли раствора фенолфталеина, уксусную кислоту до обесцвечивания раствора, избыток ее тщательно нейтрализуют раствором гидроокиси натрия до слабо-розового окрашивания. Затем приливают раствор йода до красно-бурого цвета, избыток йода удаляют серноватистокислым натрием в присутствии 2 см3 раствора крахмала, прибавляют дополнительно две капли фенолфталеина и титруют раствором гидроокиси натрия до появления розовой окраски.

(Измененная редакция, Изм. N 1, 2, 4).

3.5.3. Обработка результатов

Массовую долю гидросульфита натрия (X) в процентах вычисляют по формуле где V - объем раствора гидроокиси натрия концентрации точно c(NaOH)=0,1 моль/дм3, израсходованный на титрование, см3;
0,003482 - масса гидросульфита натрия, соответствующая 1 см3 раствора гидроокиси натрия концентрации точно c(NaOH)=0,1 моль/дм3, г;

m - масса навески гидросульфита натрия, г.

За результат анализа принимают среднее арифметическое результатов двух параллельных определений, абсолютное расхождение между которыми не превышает допускаемое расхождение, равное 0,4%.

Допускаемая абсолютная суммарная погрешность результата анализа ±0,6% при доверительной вероятности P=0,95.

При получении результатов анализа в пределах 93,0-93,2 (для продукта высшего сорта) и 86,0-86,1 (для продукта первого сорта) необходимо проведение одного дополнительного определения. В этом случае за результат анализа принимают среднее арифметическое результатов трех параллельных определений, абсолютное расхождение между наиболее отличающимися значениями которых не превышает допускаемое расхождение, равное 0,5%.

Допускаемая абсолютная суммарная погрешность результата анализа ±0,75% при доверительной вероятности P=0,95.

(Измененная редакция, Изм. N 1, 2, 3, 4).

3.6. Определение массовой доли сернистого натрия

3.6.1. Аппаратура, реактивы и растворы

Весы лабораторные общего назначения по ГОСТ 24104-88 2-го класса точности с наибольшим пределом взвешивания 200 г или аналогичного типа.

Бюретка вместимостью 25 см3 с ценой деления 0,1 см3

Воронка В-56-110 ХС или В-75-110 ХС по ГОСТ 25336-82.

Колба коническая Кн-1-250 ТХС по ГОСТ 25336-82 с притертой пробкой.

Пипетка вместимостью 25 см3.

Стакан В-1-100 ТХС или В-1-150 ТХС по ГОСТ 25336-82.

Цилиндр 1-25-2 по ГОСТ 1770-74.

Стаканчики для взвешивания по ГОСТ 25336-82.

Допускается применение импортной посуды по классу точности не ниже отечественной.

Вода дистиллированная по ГОСТ 6709-72-->ГОСТ 6709-72.

Йод по ГОСТ 4159-79, раствор концентрации c(1/2J2)=0,01 моль/дм3 (0,01 н.); готовят разбавлением раствора концентрации c(1/2J2)=0,1 моль/дм3, приготовленного по ГОСТ 25794.2-83.

Кислота уксусная по ГОСТ 61-75, раствор с массовой долей уксусной кислоты 10%.

Крахмал растворимый по ГОСТ 10163-76 свежеприготовленный с массовой долей крахмала 0,5%, готовят по ГОСТ 4919.1-77.

натрий серноватистокислый (Тиосульфат натрия) по ГОСТ 27068-86, раствор концентрации c(Na2S2O3x5H2O)=0,01 моль/дм3 (0,01 н.), приготовленный по ГОСТ 25794.2-83.

Натрий углекислый безводный по ГОСТ 83-79, раствор с массовой долей углекислого натрия 10%.

Натрия гидроокись по ГОСТ 4328-77, раствор с массовой долей гидроокиси натрия 5%.

Спирт этиловый ректификованный технический по ГОСТ 18300-87.

Фенолфталеин (индикатор), спиртовой раствор с массовой долей индикатора 1%, готовят по ГОСТ 4919.1-77.

формалин технический по ГОСТ 1625-89, раствор 2:1, нейтрализованный по фенолфталеину раствором гидроокиси натрия; выпавший осадок гидроокиси железа отфильтровывают после предварительного нагревания раствора до 70-80 °С.

Цинк сернокислый 7-водный по ГОСТ 4174-77, раствор с массовой долей сернокислого цинка 10%.

Суспензию углекислого цинка готовят следующим образом: 10 см3 сернокислого цинка смешивают с 10 см3 раствора углекислого натрия и тщательно перемешивают стеклянной палочкой. Суспензию готовят перед употреблением.

3.6.2. Проведение анализа

Около 2 г гидросульфита натрия взвешивают в стаканчике для взвешивания, результат взвешивания в граммах записывают с точностью до четвертого десятичного знака. Навеску помещают в стакан вместимостью 100-150 см3, наливают 15 см3 раствора формалина и полностью растворяют, перемешивая раствор стеклянной палочкой. Если он при этом обесцвечивается, то добавляют несколько капель раствора гидроокиси натрия до появления малиновой окраски. Затем приливают 20 см3 суспензии углекислого цинка, перемешивают и отфильтровывают осадок через бумажный фильтр "красная лента". Осадок на фильтре промывают водой до тех пор, пока промывная Вода в присутствии крахмала от 1-2 капель раствора йода не окрасится в синий цвет.

Осадок с фильтром переносят в коническую колбу с притертой пробкой вместимостью 250 см3 и прибавляют 20 см3 уксусной кислоты. После растворения осадка вносят 25 см3 раствора йода, встряхивают и ставят в темное место. Через 15 мин титруют избыток йода раствором серноватистокислого натрия до появления светло-желтой окраски, затем добавляют несколько капель раствора крахмала и продолжают титрование до полного обесцвечивания фильтра и раствора.

Одновременно в тех же условиях проводят контрольный опыт с теми же количествами реактивов, но без анализируемого продукта.

3.6.3. Обработка результатов

Массовую долю сернистого натрия (X1) в процентах вычисляют по формуле где V - объем раствора серноватистокислого натрия концентрации точно c(Na2S2O3x5H2O)=0,01 моль/дм3, израсходованный на титрование контрольного опыта, см3;

V1 - объем раствора серноватистокислого натрия концентрации точно c(Na2S2O3x5H2O)=0,01 моль/дм3, израсходованный на титрование анализируемого раствора, см3;

0,0003903 - масса сернистого натрия, соответствующая 1 см3 раствора серноватистокислого натрия концентрации точно c(Na2S2O3x5H2O)=0,01 моль/дм3, г;

m - масса навески гидросульфита натрия, г.

За результат анализа принимают среднее арифметическое результатов двух параллельных определений, абсолютное расхождение между которыми не превышает допускаемое расхождение, равное 0,02%.

Допускаемая абсолютная суммарная погрешность результата анализа ±0,04% при доверительной вероятности P=0,95.

3.6.1-3.6.3. (Измененная редакция, Изм. N 3, 4).

3.7. Определение массовой доли окиси железа

3.7.1. Аппаратура, реактивы и растворы

Фотоэлектроколориметры типов ФЭК-М, КФК-2 по ГОСТ 12083-78 или аналогичного типа.

Весы лабораторные общего назначения по ГОСТ 24104-88 2-го класса точности с наибольшим пределом взвешивания 200 г или аналогичного типа.

Бюретка вместимостью 5 см3.

Пипетка вместимостью 10 см3.

Колба мерная 2-50 (200)-2 по ГОСТ 1770-74.

Колба типа Кн исполнения 1, вместимостью 250 см3 из термически и химически стойкого стекла с пришлифованной пробкой по ГОСТ 25336-82.

Цилиндр 1-5(50)-2 по ГОСТ 1770-74.

Бумага конго красная (индикатор).

Стаканчики для взвешивания по ГОСТ 25336-82.

Вода дистиллированная по ГОСТ 6709-72-->ГОСТ 6709-72.

Гидроксиламин гидрохлорид, водный раствор с массовой долей гидрохлорида гидроксиламина 10%.

Квасцы железоаммонийные (железо III-Аммоний сернокислый), раствор, содержащий 1 см3 железа (Fe3+) в 1 см3 раствора, готовят по ГОСТ 4212-76; 10 см3 приготовленного раствора разбавляют раствором соляной кислоты концентрации c(HCl)=0,01 моль/дм3 (0,01 н.), до 1 дм3; 1 см3 полученного раствора содержит 0,01 мг железа - раствор А; раствор А пригоден только в день приготовления.

кислота соляная по ГОСТ 3118-77, растворы концентрации c(HCl)=1 и 0,01 моль/дм3 (1 и 0,01 н.), готовят по ГОСТ 25794.1-83.

Натрий уксуснокислый 3-водный по ГОСТ 199-78, раствор с массовой долей уксуснокислого натрия 34%.

2,2-дипиpидил (a, a-дипиридил), раствор с массовой долей 2,2-дипиpидила 0,5%, готовят следующим образом: 0,5 г препарата растворяют в 95 см3 горячей воды с добавлением 5 смраствора соляной кислоты, концентрации 0,01 моль/дм3. Раствор хранят в склянке из оранжевого стекла.

О-фенантролин, раствор готовят следующим образом: 0,5 г препарата растворяют в 250 смводы. Раствор хранят в склянке из оранжевого стекла.

Допускается применение импортной посуды по классу точности не ниже отечественной.

(Измененная редакция, Изм. N 2, 3, 4).

3.7.2. Построение градуировочного графика

Для построения градуировочного графика готовят растворы сравнения:

в мерные колбы вместимостью 50 см3 отбирают из бюретки соответственно 0,50; 1,0; 1,5; 2,0; 2,5; 3,0; 3,5; 4,0 см3 раствора А. Объем раствора в колбе доводят водой до 25 см3. В каждую колбу последовательно приливают 3 см3 раствора гидрохлорида гидроксиламина, раствор уксуснокислого натрия до перехода цвета индикаторной бумаги в чисто-красный и 3 см3 раствора о-фенантролина или 3 см3 раствора 2,2-дипиpидилa. После добавления каждого реактива содержимое колб перемешивают. Объем растворов в колбах доводят водой до метки и перемешивают. Полученные растворы сравнения соответственно содержат 0,005; 0,01; 0,015; 0,02; 0,025; 0,03; 0,035; 0,04 мг железа. Одновременно готовят контрольный раствор, в который приливают все реактивы, кроме раствора А.

Оптические плотности полученных растворов измеряют через 10-15 мин на фотоэлектроколориметре (на левом барабане) по отношению к контрольному раствору в кювете с толщиной поглощающего свет слоя 50 мм, пользуясь зеленым светофильтром (длина волны 490-540 нм). По полученным данным строят градуировочный график, откладывая по оси абсцисс содержащиеся в растворах сравнения массы железа в миллиграммах, а по оси ординат - соответствующие им оптические плотности.

3.7.3. Проведение анализа

Около 1 г гидросульфита натрия взвешивают в стаканчике для взвешивания, результат взвешивания в граммах записывают с точностью до четвертого десятичного знака, помещают в коническую колбу вместимостью 250 см3, приливают 30 см3 1 моль/дм3 раствора соляной кислоты, нагревают до кипения и кипятят при умеренном нагревании 30 мин. После охлаждения содержимое колбы переводят в мерную колбу вместимостью 200 см3, объем раствора доводят водой до метки, тщательно перемешивают и фильтруют через сухой фильтр "синяя лента" в сухой стакан, отбрасывая первые порции фильтрата.

Отбирают пипеткой 10 см3 фильтрата в мерную колбу вместимостью 50 см3. Объем раствора в колбе доводят водой до 25 см3 и последовательно приливают 3 см3 раствора гидрохлорида гидроксиламина, раствор уксуснокислого натрия до перехода цвета индикаторной бумаги в чисто-красный и 3 см3 раствора о-фенантролина или 3 см3 раствора 2,2-дипиpидилa. После добавления каждого реактива содержимое колбы перемешивают. Объем раствора в колбе доводят водой до метки и перемешивают. Одновременно через все стадии анализа проводят контрольный опыт в тех же условиях и с тем же количеством реактивов, но без анализируемого раствора.

Через 10-15 мин измеряют оптическую плотность испытуемого раствора по отношению к аликвотной части раствора контрольного опыта так же, как и при построении градуировочного графика.

Массу железа в анализируемой пробе в миллиграммах определяют по градуировочному графику.

3.7.4. Обработка результатов

Массовую долю окиси железа (X2) в процентах вычисляют по формуле где m1 - масса железа, найденная по градуировочному графику, мг;
m - масса навески гидросульфита натрия, г;

1,43 - коэффициент пересчета железа на Окись железа.

За результат анализа принимают среднее арифметическое результатов двух параллельных определений, абсолютное расхождение между которыми не превышает допускаемое расхождение, равное 0,003%. 

Допускаемая абсолютная суммарная погрешность результата анализа ±0,006% при доверительной вероятности P=0,95.

3.7.2-3.7.4. (Измененная редакция, Изм. N 3, 4).

3.8. Определение массовой доли цинка

3.8.1. Аппаратура, реактивы и растворы

Полярограф визуальный или электронный самопишущий.

Весы лабораторные общего назначения по ГОСТ 24104-88 2-го класса точности с наибольшим пределом взвешивания 200 г или аналогичного типа.

Пипетка вместимостью 10 см3.

Колба мерная 2-25 (250)-2 по ГОСТ 1770-74.

Колба типа Кн исполнения 1, вместимостью 50(250) см3 из термически и химически стойкого стекла с пришлифованной пробкой по ГОСТ 25336-82.

Цилиндр 1-5(25, 100)-2 по ГОСТ 1770-74.

Секундомер.

Стаканчик для взвешивания по ГОСТ 25336-82.

аммиак водный по ГОСТ 3760-79.

Бром по ГОСТ 4109-79, х.ч., насыщенный водный раствор (бромная Вода), готовят по ГОСТ 4517-87.

Вода дистиллированная по ГОСТ 6709-72-->ГОСТ 6709-72.

желатин пищевой по ГОСТ 11293-89, свежеприготовленный раствор с массовой долей пищевого желатина 0,5%; готовят следующим образом: 0,5 г желатина растворяют при 90 °С в 100 см3 воды, затем прибавляют 3,5 г сернокислого натрия.

кислота соляная по ГОСТ 3118-77, раствор с массовой долей соляной кислоты 5%.

Натрий сернистокислый (сульфит натрия) безводный по ГОСТ 195-77.

Натрий сернокислый по ГОСТ 4166-76.

Ртуть по ГОСТ 4658-73.

Цинк сернокислый по ГОСТ 4174-77, х.ч., раствор концентрации c(1/2ZnSO4)=0,01 моль/дм3 (0,01 н.), готовят следующим образом: 0,3593 г сернокислого цинка растворяют в воде в мерной колбе вместимостью 250 см3, доливают водой до метки и тщательно перемешивают. 1 см3 полученного раствора содержит 0,00033 г цинка - раствор А.

Допускается применение импортной посуды по классу точности не ниже отечественной.

(Измененная редакция, Изм. N 2, 3, 4).

3.8.2. Проведение анализа

0,5 г гидросульфита натрия взвешивают, результат взвешивания в граммах записывают с точностью до четвертого десятичного знака, помещают в коническую колбу вместимостью 50 см3, растворяют в 10-15 см3 раствора соляной кислоты и кипятят раствор для удаления SO2 и коагулирования серы. Выпавшую серу отфильтровывают через бумажный фильтр "белая лента", промывают небольшими порциями горячей воды общим объемом 20 см3. К фильтрату добавляют 15 см3 бромной воды, раствор кипятят для удаления избытка брома, охлаждают и переносят в мерную колбу вместимостью 25 см3. Добавляют, 2 см3 аммиака 0,2 см3 раствора желатина, 1 г сернистокислого натрия, доводят объем раствора водой до метки, перемешивают и оставляют на 15 мин.

10 см3 раствора отбирают в полярографический сосуд. Устанавливают скорость вытекания ртути из капилляра равной 50-60 каплям в минуту и полярографируют раствор при чувствительности гальванометра, подобранной визуально в зависимости от содержания цинка.

Строят кривую зависимости силы тока от напряжения в пределах от 1,0 до 1,5 В.

Затем к раствору в полярографическом сосуде прибавляют такое количество раствора А, чтобы получилось увеличение высоты волны не менее чем на одну треть.

3.8.3. Обработка результатов

Массовую долю цинка (X3) в процентах вычисляют по формуле где 0,00033 - масса цинка в 1 см3 раствора А, г;
V - объем раствора А, см3;

h - высота волны исследуемого раствора, мм;

h1 - высота волны исследуемого раствора с добавлением раствора А, мм;

m - масса навески, г.

За результат анализа принимают среднее арифметическое результатов двух параллельных определений, абсолютное расхождение между которыми не превышает допускаемое расхождение, равное 0,01%. 

Допускаемая абсолютная суммарная погрешность результата анализа ±0,02% при доверительной вероятности P=0,95.

(Измененная редакция, Изм. N 3, 4).

3.9. Определение массовой доли нерастворимых в воде веществ

3.9.1. Аппаратура, реактивы и растворы

Весы лабораторные общего назначения по ГОСТ 24104-88 2-го класса точности с наибольшим пределом взвешивания 200 г или аналогичного типа.

Тигель ТФ ПОР 10 ХС или ТФ ПОР 16 ХС по ГОСТ 25336-82. Для удаления растворяющихся участков новой фильтрующей пластинки, искажающих получаемый результат, новые фильтры следует дважды промыть раствором соды (Na2CO3) с массовой долей 10-15% при температуре 50-70 °С, затем промыть дистиллированной водой при температуре 50-60 °С до отсутствия щелочной реакции по фенолфталеину и высушить.

Стакан В-1-400 ТХС по ГОСТ 25336-82.

Пробирка П2Т-10 ТС по ГОСТ 25336-82.

Вода дистиллированная по ГОСТ 6709-72-->ГОСТ 6709-72.

барий хлористый по ГОСТ 4108-72, раствор с массовой долей хлористого бария 10%.

Стаканчики для взвешивания по ГОСТ 25336-82.

Шкаф сушильный с погрешностью регулирования температуры ±2,5 °С.

Эксикатор по ГОСТ 25336-82 с герметично пришлифованной крышкой, заполненный силикагелем по ГОСТ 3956-76, активной окисью алюминия или хлористым кальцием, предварительно прокаленным при 250-300 °С в течение 1-2 ч.

Допускается применение импортной посуды по классу точности не ниже отечественной.

(Измененная редакция, Изм. N 2, 4).

3.9.2. Проведение анализа

Около 10 г гидросульфита натрия взвешивают в стаканчике для взвешивания, результат взвешивания в граммах записывают с точностью до второго десятичного знака, растворяют в 200 см3 воды. После растворения фильтруют раствор через высушенный до постоянной массы при 105-110 °С фильтрующий стеклянный тигель.

Остаток на фильтре промывают водой до отрицательной реакции на сульфат-ион (проба с раствором хлористого бария) и сушат при 105-110 °С до постоянной массы.

3.9.3. Обработка результатов

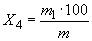
Массовую долю нерастворимых в воде веществ (X4) в процентах вычисляют по формуле где m1 - масса высушенного остатка, г;
m - масса навески, г.

За результат анализа принимают среднее арифметическое результатов двух параллельных определений, абсолютное расхождение между которыми не превышает допускаемое расхождение, равное 0,03%. 

Допускаемая абсолютная суммарная погрешность результата анализа ±0,06% при доверительной вероятности P=0,95.

3.9.2, 3.9.3. (Измененная редакция, Изм. N 4).

4. УПАКОВКА, МАРКИРОВКА, ТРАНСПОРТИРОВАНИЕ И ХРАНЕНИЕ

4.1. Гидросульфит натрия упаковывают в герметичные стальные барабаны для химических продуктов типов БТIБ1-50, БТIIIБ1-50 по ГОСТ 5044-79, вставленные в фанерные барабаны N 4-1 типа 1 по ГОСТ 9338-80 или в полиэтиленовые мешки-вкладыши, вложенные в герметичные стальные барабаны из стали толщиной не менее 0,63 мм (по согласованию с потребителями не менее 0,5 мм) типов БТIБ1-50, БТIIIБ1-50 по ГОСТ 5044-79.

Полиэтиленовые мешки-вкладыши запаивают или завязывают.

(Измененная редакция, Изм. N 3).

4.2. Стальные барабаны должны быть с наружной стороны покрыты лаком. Крышка должна точно подходить к отверстию барабана и после закрытия должна быть хорошо развальцована.

Тара должна обеспечивать сохранность продукта при транспортировании и хранении.

(Измененная редакция, Изм. N 1, 3).

4.3. Транспортная маркировка - по ГОСТ 14192-77 наносится на бумажные ярлыки или несмываемой краской на крышку барабана с указанием манипуляционных знаков "Беречь от влаги", "Верх, не кантовать" и предупредительной надписи "Не бросать", а также с нанесением знака опасности по ГОСТ 19433-88, класс 4, подкласс 4.3, классификационный шифр 4302, серийный номер ООН 1384.

Кроме того, на транспортную тару наносится маркировка, содержащая следующие данные, характеризующие продукцию:

наименование и сорт продукта;

номер партии;

обозначение настоящего стандарта.

(Измененная редакция, Изм. N 1, 4).

4.4. (Исключен, Изм. N 1).

4.5. Гидросульфит натрия транспортируют транспортом всех видов (кроме авиации) в крытых транспортных средствах в соответствии с правилами перевозки опасных грузов, действующими на транспорте данного вида.

По железной дороге продукт транспортируют повагонными отправками.

Упакованный в барабаны продукт должен транспортироваться пакетами в соответствии с ГОСТ 24597-81, ГОСТ 21650-76, ГОСТ 26663-85.

Допускается транспортировать продукт в непакетированном виде по согласованию с потребителем.

(Измененная редакция, Изм. N 2, 3).

4.6. Гидросульфит натрия должен храниться в закрытом складском помещении в исправной герметичной таре.

5. ГАРАНТИИ ИЗГОТОВИТЕЛЯ

5.1. Изготовитель гарантирует соответствие гидросульфита натрия требованиям настоящего стандарта при соблюдении условий транспортирования и хранения.

5.2. Гарантийный срок хранения гидросульфита натрия - шесть месяцев со дня изготовления продукта.

Разд.5. (Измененная редакция, Изм. N 2).

Разд. 6. (Исключен, Изм. N 2).




официальное издание
М.: Издательство стандартов, 1994