1,4-Диоксан. Реактивы ГОСТ 10455-80
1,4-Диоксан. Реактивы. Технические условия (с Изменением N 1) ГОСТ 10455-80
ГОСТ 10455-80
Группа Л52
ГОСУДАРСТВЕННЫЙ СТАНДАРТ СОЮЗА ССР
Реактивы
1,4-ДИОКСАН
Технические условия
Reagents. 1,4-Dioxan. Specifications
ОКП 26 3152 0210 01
Срок действия с 01.01.1981
до 01.01.1986*
_______________________________
* Ограничение срока действия снятопо протоколу N 5-94
Межгосударственного Совета по стандартизации,
метрологии и сертификации (ИУС N 11/12, 1994 год). -
Примечание изготовителя базы данных.
РАЗРАБОТАН Министерством химической промышленности
Член коллегии В.Ф.Ростунов
ИСПОЛНИТЕЛИ
Г.В.Грязнов, И.Л.Ротенберг, Н.П.Никонова, Л.В.Кидиярова, Е.Н.Яковлева, Т.Н.Малахова
ВНЕСЕН Министерством химической промышленности
Член коллегии В.Ф.Ростунов
УТВЕРЖДЕН И ВВЕДЕН В ДЕЙСТВИЕ Постановлением Государственного комитета СССР по стандартам от 30 января 1980 г. N 482
ВЗАМЕН ГОСТ 10455-75
ВНЕСЕНО Изменение N 1, утвержденное и введенное в действие Постановлением Государственного комитета СССР по управлению качеством продукции и стандартам от 24.05.90 N 1291 с 01.01.91
Изменение N 1 внесено изготовителем базы данных по тексту ИУС N 8, 1990 год
Настоящий стандарт распространяется на 1,4-диоксан, представляющий собой бесцветную прозрачную жидкость со специфическим запахом, смешивающуюся во всех соотношениях с водой и органическими растворителями, плотность 1,03 г/см.
Формула: эмпирическая С4H8O2

Молекулярная масса (по международным атомным массам 1971 г.) - 88,11.
(Измененная редакция, Изм. N 1).
1. ТЕХНИЧЕСКИЕ ТРЕБОВАНИЯ
1.1. 1,4-диоксан должен быть изготовлен в соответствии с требованиями настоящего стандарта по технологическому регламенту, утвержденному в установленном порядке.
1.2. По физико-химическим показателям 1,4-диоксан должен соответствовать требованиям и нормам, указанным в табл.1.
Таблица 1
|
Наименование показателя |
Норма |
|||
|
Чистый для |
Чистый (ч.) |
Сцинтилляционный |
||
|
1. Массовая доля 1,4-диоксана (C4H8O2), %, не менее |
99,5 |
99,0 |
99,5 |
|
|
2. (Исключен, Изм. N 1). |
||||
|
3. Массовая доля перекисных соединений в пересчете на активный Кислород, %, не более |
0,0015 |
0,0030 |
0,0015 |
|
|
4. Показатель преломления, |
1,4200-1,4240 |
Не нормируется |
1,4200-1,4240 |
|
|
5. Температура кристаллизации, °С |
10,5-11,5 |
10-11,5 |
10,5-11,5 |
|
|
6. Массовая доля нелетучего остатка, %, не более |
0,001 |
Не нормируется |
||
|
7. Массовая доля кислот в пересчете на уксусную кислоту (CH3COOH), %, не более |
0,005 |
0,010 |
0,005 |
|
|
8. Массовая доля альдегидов в пересчете на уксусный альдегид, %, не более |
0,05 |
0,10 |
0,05 |
|
|
9. Массовая доля воды, %, не более |
0,15 |
0,3 |
0,15 |
|
|
10. Оптическая прозрачность, %, не ниже следующих значений |
||||
|
|
Не нормируется |
95 |
||
|
|
Не нормируется |
99 |
||
|
|
Не нормируется |
99 |
||
|
|
Не нормируется |
99 |
||
|
11. Массовая доля гидрохинона (C6H6O2), %, не более |
0,01 |
0,01 |
Не нормируется |
|
Примечание. Гидрохинон по ГОСТ 19627-74 применяют в качестве стабилизатора по согласованию с потребителем.
(Измененная редакция, Изм. N 1).
2. ТРЕБОВАНИЯ БЕЗОПАСНОСТИ
2.1. 1,4-диоксан - яд, действующий на почки и печень, наркотик, обладающий раздражающим действием.
2.2. 1,4-диоксан относится к третьему классу опасности (ГОСТ 12.1.007-76). Предельно допустимая концентрация 1,4-диоксана в воздухе рабочей зоны производственных помещений 10 мг/м3.
2.3. При работе с препаратом следует применять индивидуальные средства защиты (противогаз марки А, резиновые перчатки), а также соблюдать правила личной гигиены. Не допускать попадания препарата внутрь организма и на кожу.
2.4. Помещения, в которых проводятся работы с препаратом, должны быть оборудованы общей приточно-вытяжной вентиляцией, а места возможного выделения препарата в воздух рабочих помещений - укрытиями с местной вытяжной вентиляцией. Анализ препарата следует проводить в вытяжном шкафу лаборатории.
2.5. 1,4-диоксан представляет собой легковоспламеняющуюся жидкость. Температура вспышки 11 °С. Температура самовоспламенения 340 °С. Температурные пределы воспламенения: нижний 4 °С, верхний 58,0 °С.
Пары 1,4-диоксана образуют с воздухом взрывоопасные смеси. Нижний концентрационный предел воспламенения паров - 2,14% (об.), верхний концентрационный предел воспламенения паров - 23,4% (об.).
Работы с препаратом следует проводить вдали от огня. При загорании для тушения применяют химическую пену, воду, водяной пар, инертные газы.
2.4, 2.5. (Измененная редакция, Изм. N 1).
2.6. Должна быть обеспечена максимальная герметизация технологического оборудования.
3. ПРАВИЛА ПРИЕМКИ
3.1. Правила приемки - по ГОСТ 3885-73-->ГОСТ 3885-73.
4. МЕТОДЫ АНАЛИЗА
4.1. Общие указания по проведению анализа - по ГОСТ 27025-86.
При взвешивании применяют лабораторные весы общего назначения типов ВЛР-200 и ВЛКТ-500 г-М или ВЛЭ-200 г.
Допускается применение других средств измерения с метрологическими характеристиками и оборудования с техническими характеристиками не хуже, а также реактивов по качеству не ниже указанных в настоящем стандарте.
4.2. Пробы отбирают по ГОСТ 3885-73-->ГОСТ 3885-73. Объем средней пробы должен быть не менее 900 см3. Объем продукта, необходимый для анализа, отбирают пипеткой с резиновой грушей или цилиндром с погрешностью не более 1%.
4.3. Массовую долю 1,4-диоксана определяют газохроматографическим методом, вычитая из 100% сумму массовых долей органических примесей, массовую долю альдегидов, массовую долю гидрохинона и массовую долю воды в процентах.
4.1-4.3. (Измененная редакция, Изм. N 1).
4.3.1. Определение массовых долей органических примесей
4.3.1.1. Приборы и реактивы
Хроматограф газовый аналитический с пламенно-ионизационным детектором.
Колонка хроматографическая длиной 3 м и внутренним диаметром 3-4 мм.
Интегратор электронный или измерительная лупа по ГОСТ 25706-83 и линейка металлическая по ГОСТ 427-75.
Микрошприц вместимостью 10 мм3.
Азот газообразный технический (газ-носитель) по ГОСТ 9293-74, высший сорт.
Водород технический по ГОСТ 3022-80.
Воздух сжатый для питания контрольно-измерительных приборов.
Гексан.
полиэтиленгликоль 20 М (неподвижная жидкая фаза).
Целит 545 или хроматон N-AW с зернами размером 0,250-0,315 мм (твердый носитель) или другой носитель с аналогичными характеристиками.
Хлороформ технический по ГОСТ 20015-74*.
______________
* Действует ГОСТ 20015-88. - Примечание изготовителя базы данных.
4.3.1.2. Подготовка к анализу
полиэтиленгликоль 20 М из расчета 15% от массы твердого носителя растворяют в хлороформе. Объем хлороформа должен быть таким, чтобы твердый носитель был покрыт раствором жидкой фазы. При постоянном помешивании в раствор засыпают твердый носитель, предварительно прокаленный при 300 °С в течение 3 ч. Избыток хлороформа удаляют нагреванием массы на водяной бане при постоянном перемешивании, а затем сушат под инфракрасной лампой.
Хроматографическую колонку заполняют по ГОСТ 21533-76, помещают ее в термостат хроматографа и выдерживают в течение 8 ч в токе азота при 120 °С.
Включение и пуск прибора осуществляют в соответствии с прилагаемой к нему инструкцией.
Режим работы хроматографа
|
Температура колонки, °С |
80±2 |
|
Температура испарителя, °С |
130±5 |
|
Расход азота (газа-носителя), см3/мин |
40±5 |
|
Расход водорода, см3/мин |
30±5 |
|
Расход воздуха, см3/мин |
240±20 |
|
Шкала регистратора, А |
30·10-9 |
|
Скорость движения диаграммной ленты, мм/ч |
720 |
|
Продолжительность анализа, мин |
35. |
4.3.1.3. Проведение анализа
Массовую долю органических примесей определяют методом "внутреннего эталона". В качестве "внутреннего эталона" используют гексан, который добавляют в препарат из расчета 0,3-0,05% от массы анализируемой пробы.
При установившемся режиме в испаритель хроматографа вводят с помощью микрошприца 0,4-1 мм3 анализируемой пробы.
Последовательность выхода компонентов из колонки, относительное время удерживания и ориентировочные значения градуировочных коэффициентов приведены на чертеже и в табл.2.
Чертеж. Типовая хроматограмма продукта
Типовая хроматограмма продукта
1 - гексан "внутренний эталон"; 2 - Бензол; 3 - изопропиловый спирт; 4 - 1,4-диоксан
Таблица 2
4.3.1.4. Обработка результатов
Площадь пиков определяют с помощью электронного интегратора либо вычисляют как произведение высоты пика на его ширину, измеренную на половине высоты. Измерения производят с помощью металлической линейки и измерительной лупы.
Массовую долю каждой органической примеси (Xi) в процентах вычисляют по формуле
где P - отношение массы гексана к массе анализируемой пробы, %;
Sэт - площадь пика "внутреннего эталона", мм2;
Si - площадь пика i-го компонента, мм2;
Ki - градуировочный коэффициент i-го компонента.
Градуировочные коэффициенты определяют по ГОСТ 21533-76 по искусственным смесям, близким по составу к анализируемой пробе.
За результат анализа принимается среднее арифметическое результатов двух параллельных определений, относительное расхождение между которыми не превышает допускаемое расхождение, равное 10%.
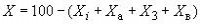
Массовую долю 1,4-диоксана (X) в процентах вычисляют по формуле
где Xi - массовая доля суммы органических примесей, определяемая по п.4.3.1, %;
Xa - массовая доля альдегидов, определяемая по п.4.10, %;
X3 - массовая доля гидрохинона, определяемая по п.4.13, %;
Xв - массовая доля воды, определяемая по п.4.11, %.
4.3.1, 4.3.1.1-4.3.1.4. (Измененная редакция, Изм. N 1).
4.4. (Исключен, Изм. N 1).
4.5. Определение массовой доли перекисных соединений в пересчете на активный Кислород.
4.5.1. Аппаратура, реактивы и растворы
Бюретка 6-2-2 или 7-2-3 по ГОСТ 20292-74*.
_______________
* Действуют ГОСТ 29169-91, ГОСТ 29227-91-ГОСТ 29229-91, ГОСТ 29251-91-ГОСТ 29253-91, здесь и далее по тексту. - Примечание изготовителя базы данных.
Колба Кн-1-100-14/23 ТС по ГОСТ 25336-82.
Пипетка 6(7)-2-5(10) по ГОСТ 20292-74.
Цилиндр 1(3)-25 по ГОСТ 1770-74.
Вода дистиллированная по ГОСТ 6709-72-->ГОСТ 6709-72.
натрий серноватистокислый (натрия тиосульфат) 5-водный по ГОСТ 27068-86, раствор концентрации c(Na2S2O3)=0,1 моль/дм3 (0,1 н.); готовят по ГОСТ 25794.2-83.
Калий йодистый по ГОСТ 4232-74, раствор с массовой долей 10%, свежеприготовленный; готовят по ГОСТ 4517-87.
кислота соляная по ГОСТ 3118-77, раствор с массовой долей 25%; готовят по ГОСТ 4517-87.
4.5.2. Проведение анализа
25 см3 препарата помещают в коническую колбу, прибавляют 25 см3 воды, 5 см3 раствора соляной кислоты, перемешивают, прибавляют 10 см3 раствора йодистого калия, перемешивают и через 5 мин титруют выделившийся йод из бюретки раствором 5-водного серноватистокислого натрия до исчезновения желтой окраски раствора. Одновременно проводят контрольный опыт с теми же реактивами.
4.5.3. Обработка результатов
Массовую долю перекисных соединений в пересчете на активный Кислород (X1) в процентах вычисляют по формуле
где V - объем раствора 5-водного серноватистокислого натрия концентрации точно 0,1 моль/дм3, израсходованный на титрование анализируемого раствора, см3;
V1 - объем раствора 5-водного серноватистокислого натрия концентрации точно 0,1 моль/дм3, израсходованный на титрование контрольного раствора, см3;
V2 - объем препарата, см3;
p - плотность препарата, равная 1,03 г/см3;
0,008 - масса кислорода, соответствующая 1 см3 раствора 5-водного серноватистокислого натрия концентрации точно 0,1 моль/дм3, г.
За результат анализа принимают среднее арифметическое результатов двух параллельных определений, абсолютное расхождение между которыми не превышает допускаемое расхождение, равное 0,00005%.
Допускаемая абсолютная погрешность результата анализа ±0,0002% при доверительной вероятности P=0,95.
4.5.1-4.5.3. (Измененная редакция, Изм. N 1).
4.6. Определение показателя преломления проводят по ГОСТ 18995.2-73.
4.7. Определение температуры кристаллизации проводят по ГОСТ 18995.5-73.
4.8. Определение массовой доли нелетучего остатка проводят по ГОСТ 27026-86 из навески 100 г (97 см3), взятой цилиндром (1(3)-100 по ГОСТ 1770-74).
За результат анализа принимают среднее арифметическое результатов двух параллельных определений, относительное расхождение между которыми не превышает допускаемое расхождение, равное 30%.
Допускаемая относительная суммарная погрешность результата анализа ±35% при доверительной вероятности P=0,95.
4.9. Определение массовой доли кислот в пересчете на уксусную кислоту
4.8, 4.9. (Измененная редакция, Изм. N 1).
4.9.1. Аппаратура, реактивы и растворы
Бюретка 6-2-2 или 7-2-3 по ГОСТ 20292-74.
Колба Кн-2-100-22 ТХС по ГОСТ 25336-82.
Пипетка 4(5)-2-1 по ГОСТ 20292-74.
Цилиндр 1(3)-25 по ГОСТ 1770-74.
Бромтимоловый синий (индикатор), спиртовой раствор с массовой долей 0,1%, готовят по ГОСТ 4919.1-77.
Вода дистиллированная по ГОСТ 6709-72-->ГОСТ 6709-72.
Натрия гидроокись по ГОСТ 4328-77, раствор концентрации c(NaOH)=0,02 моль/дм3 (0,02 н.); готовят по ГОСТ 25794.1-83.
Спирт этиловый ректификованный технический по ГОСТ 18300-87, высшего сорта.
4.9.2. Проведение анализа
25 см3 воды помещают в коническую колбу, прибавляют 0,1 см3 раствора бромтимолового синего и раствор гидроокиси натрия до появления голубой окраски. Затем к содержимому колбы прибавляют 25 см3 препарата и титруют раствором гидроокиси натрия до перехода желтой окраски в синюю, устойчивую в течение 30 с.
4.9.3. Обработка результатов
Массовую долю кислот в пересчете на уксусную кислоту (X2) в процентах вычисляют по формуле
где V - объем раствора гидроокиси натрия концентрации точно 0,02 моль/дм3, израсходованный на титрование препарата, см3;
V1 - объем препарата, см3;
p - плотность препарата, равная 1,03 г/см3;
0,00120 - масса уксусной кислоты, соответствующая 1 см3 раствора гидроокиси натрия концентрации точно 0,02 моль/дм3, г.
За результат анализа принимают среднее арифметическое результатов двух параллельных определений абсолютное расхождение между которыми не превышает допускаемое расхождение, равное 0,0002%.
Допускаемая абсолютная суммарная погрешность результата анализа ±0,0003% при доверительной вероятности P=0,95.
4.9.1-4.9.3. (Измененная редакция, Изм. N 1).
4.10. Определение массовой доли альдегидов в пересчете на уксусный альдегид проводят по ГОСТ 16457-76.
При этом 20 см3 препарата помещают цилиндром вместимостью 25 см3 (ГОСТ 1770-74) в стакан вместимостью 250 см3 (ГОСТ 25336-82), смешивают с 25 см3 этилового спирта (ГОСТ 18300-87, высший сорт), добавляют 50 см3 воды и далее определение проводят объемным методом потенциометрическим титрованием.
3а результат анализа принимают среднее арифметическое результатов двух параллельных определений, абсолютное расхождение между которыми не превышает допускаемое расхождение, равное 0,0025%.
Допускаемая абсолютная суммарная погрешность результата анализа ±0,005% при доверительной вероятности P=0,95.
(Измененная редакция, Изм. N 1).
4.11. Определение массовой доли воды проводят по ГОСТ 14870-77 реактивом Фишера (способ 3). Для анализа берут 5 см3 препарата.
(Измененная редакция, Изм. N 1).
4.12. Определение оптической прозрачности
4.12.1. Приборы и реактивы
Спектрофотометр типа СФ-4 или другой прибор с аналогичными техническими и метрологическими характеристиками.
Кюветы с толщиной поглощающего свет слоя 10 мм.
Вода дистиллированная по ГОСТ 6709-72-->ГОСТ 6709-72.
(Измененная редакция, Изм. N 1).
4.12.2. Проведение анализа
Оптическую прозрачность (светопропускание) препарата в процентах измеряют на спектрофотометре по отношению к воде в соответствии с инструкцией, прилагаемой к прибору, при длине волны 360-420 нм через каждые 20 нм.
Препарат считают соответствующим требованиям настоящего стандарта, если светопропускание при указанных длинах волн будет соответствовать техническим требованиям.
4.13. Определение массовой доли гидрохинона
4.13.1. Определение йодометрическим титрованием
4.13.1.1. Аппаратура, реактивы и растворы
Бюретка 1-2-10-0,05 по ГОСТ 20292-74.
Колба Кн-2-250-34 ТХС по ГОСТ 25336-82.
Пипетка 2-2-5 по ГОСТ 20292-74.
Цилиндр 1(3)-50 по ГОСТ 1770-74.
Вода дистиллированная по ГОСТ 6709-72-->ГОСТ 6709-72.
Йод по ГОСТ 4159-79, раствор концентрации c(1/2J2)=0,1 моль/дм3 (0,1 н.); готовят по ГОСТ 25794.2-83.
натрий серноватистокислый (натрия тиосульфат) 5-водный по ГОСТ 27068-86; раствор концентрации c(Na2S2O3)=0,1 моль/дм3 (0,1 н.); готовят по ГОСТ 25794.2-83.
4.13.1.2. Проведение анализа
30 см3 препарата помещают цилиндром в коническую колбу, прибавляют 50 см3 воды и при перемешивании из пипетки 5 см3 раствора йода. Избыток йода оттитровывают из бюретки раствором 5-водного сернистокислого натрия до исчезновения желтой окраски раствора. Одновременно проводят контрольный опыт с теми же реактивами.
4.13.1.3. Обработка результатов
Массовую долю гидрохинона (X3) в процентах вычисляют по формуле
где V - объем раствора 5-водного сернистокислого натрия концентрации точно 0,1 моль/дм3, израсходованный на титрование в контрольном опыте, см3;
V1 - объем раствора 5-водного сернистокислого натрия концентрации точно 0,1 моль/дм3, израсходованный на титрование избытка йода, см3;
V2 - объем препарата, см3;
p - плотность препарата, равная 1,03 г/см3;
0,005505 - масса гидрохинона, соответствующая 1 см3 раствора 5-водного сернистокислого натрия концентрации точно 0,1 моль/дм3, г.
За результат анализа принимают среднее арифметическое результатов двух параллельных определений, относительное расхождение между которыми не превышает допускаемое расхождение, равное 10%.
Допускаемая относительная суммарная погрешность результата анализа ±15% при доверительной вероятности P=0,95.
4.13.1.1-4.13.1.3. (Измененная редакция, Изм. N 1).
4.13.2. Определение колориметрическим методом по окраске турнбулевой сини
4.13.2.1. Аппаратура, реактивы и растворы
Колба 2-100-2 по ГОСТ 1770-74.
Колба Кн-2-100-22 ТХС по ГОСТ 25336-82.
Пипетки 4-2-1 и 6(7)-2-5 по ГОСТ 20292-74.
Цилиндр 1(3)-50 по ГОСТ 1770-74.
Вода дистиллированная по ГОСТ 6709-72-->ГОСТ 6709-72.
Гидрохинон по ГОСТ 19627-74 с проверенным содержанием основного вещества. Раствор, содержащий 1 мг гидрохинона в 1 см3, готовят следующим образом: 0,100 г гидрохинона помещают в мерную колбу, растворяют в воде, доводят объем раствора водой до метки и перемешивают. Раствор хранят в темном месте (годен в течение 3 сут). Соответствующим разбавлением готовят раствор, содержащий 0,01 мг/см3. Раствор применяют свежеразбавленным.
Железо (III) хлорид 6-водное по ГОСТ 4147-74, ч., раствор с массовой долей 1% готовят с добавлением 5 см3 раствора соляной кислоты.
калий железосинеродистый по ГОСТ 4206-75, раствор с массовой долей 0,1%.
кислота соляная по ГОСТ 3118-77, раствор с массовой долей 25%.
4.13.2.2. Проведение анализа
5 г (4,85 см3) препарата помещают пипеткой в мерную колбу, доводят объем раствора водой до метки и перемешивают.
4 см3 полученного раствора (соответствует 0,2 г препарата) пипеткой помещают в коническую колбу, прибавляют цилиндром 21 см3 воды, прибавляют при перемешивании 1,0 см3 раствора 6-водного хлорида железа (III) и 1,0 см3 раствора железосинеродистого калия. Через 15 мин прибавляют цилиндром 23 см3 воды и перемешивают.
Препарат считают соответствующим требованиям настоящего стандарта, если наблюдаемая окраска анализируемого раствора не будет интенсивнее окраски раствора, приготовленного одновременно таким же образом и содержащего гидрохинона в таком же объеме:
1 см3 раствора 6-водного хлорида железа (III) и 1 см3 раствора железосинеродистого калия.
При разногласиях в оценке массовой доли гидрохинона анализ проводят колориметрическим методом.
4.13.2.1, 4.13.2.2. (Измененная редакция, Изм. N 1).
5. УПАКОВКА, МАРКИРОВКА, ТРАНСПОРТИРОВАНИЕ И ХРАНЕНИЕ
5.1. Препарат упаковывают и маркируют в соответствии с ГОСТ 3885-73-->ГОСТ 3885-73.
Вид и тип тары: 3т-1, 3т-5, 8т-1, 8т-2.
Группа фасовки: IV, V, VI, VII.
Тару маркируют в соответствии с ГОСТ 14192-77* с нанесением знаков опасности по ГОСТ 19433-88 (класс 3, подкласс 3.2, черт.3, классификационный шифр 3212), серийный номер ООН 1165.
_______________
* Действует ГОСТ 14192-96. - Примечание изготовителя базы данных
(Измененная редакция, Изм. N 1).
5.2. Препарат перевозят всеми видами транспорта в соответствии с правилами перевозки грузов, действующими на данном виде транспорта.
5.3. Препарат хранят в упаковке изготовителя в помещениях, специально приспособленных для хранения огнеопасных веществ.
6. ГАРАНТИИ ИЗГОТОВИТЕЛЯ
6.1. Изготовитель гарантирует соответствие 1,4-диоксана требованиям настоящего стандарта при соблюдении условий транспортирования и хранения.
6.2. Гарантийный срок хранения препарата стабилизированного гидрохиноном - 6 мес, нестабилизированного - 3 мес со дня изготовления.
6.1, 6.2. (Измененная редакция, Изм. N 1).
официальное издание
М.: Издательство стандартов, 1980

360