Ангидрид уксусный технический ГОСТ 21039-75
Ангидрид уксусный технический. Технические условия (с Изменениями N 1, 2) ГОСТ 21039-75 (СТ СЭВ 2962-81)
ГОСТ 21039-75
(СТ СЭВ 2962-81)
Группа Л21
ГОСУДАРСТВЕННЫЙ СТАНДАРТ СОЮЗА ССР
АНГИДРИД УКСУСНЫЙ ТЕХНИЧЕСКИЙ
Технические условия
Acetic anhydride for industrial use.
Specifications
ОКП 24 1841 0300
Срок действия с 01.01.77
до 01.01.94*
______________________________
* Ограничение срока действия снято
по протоколу N 3-93 Межгосударственного Совета
по стандартизации, метрологии и сертификации
(ИУС N 5-6, 1993 год).
ИНФОРМАЦИОННЫЕ ДАННЫЕ
1. РАЗРАБОТАН И ВНЕСЕН Министерством химической промышленности СССР
ИСПОЛНИТЕЛИ
Шевчук В.У., Ошин Л.А., Бельферман А.Л. (руководитель темы), Жукова Г.Г., Багрий Е.В., Бишко Я.В., Ильина Н.И., Михель М.Л., Фарфель Е.Г., Шефер Г.М.
2. УТВЕРЖДЕН И ВВЕДЕН В ДЕЙСТВИЕ Постановлением Государственного комитета СССР по стандартам от 31.07.75 N 2029
3. ВЗАМЕН ГОСТ 787-55 и ГОСТ 5.811-71
4. Стандарт содержит все требования СТ СЭВ 2962-81
5. ССЫЛОЧНЫЕ НОРМАТИВНО-ТЕХНИЧЕСКИЕ ДОКУМЕНТЫ
|
Обозначение НТД, на который дана ссылка |
Номер пункта, подпункта |
|
ГОСТ 12.1.007-76 |
2а.2 |
|
3.4а.1 |
|
|
ГОСТ 481-80 |
4.3 |
|
ГОСТ 1770-74 |
3.3, 3.4а.1, 3.6, 3.7а.1, 3.10.1 |
|
ГОСТ 2517-85 |
3.1 |
|
3.10.1 |
|
|
3.4а.1 |
|
|
3.9.1 |
|
|
3.4а.1 |
|
|
3.5.1, 3.8.1, 3.9.1 |
|
|
ГОСТ 4212-76 |
3.7а.1, 3.10.1 |
|
3.8.1, 3.9.1 |
|
|
3.8.1 |
|
|
3.4а.1 |
|
|
3.9.1 |
|
|
ГОСТ 4517-87 |
3.4а.1, 3.4.1, 3.10.1 |
|
ГОСТ 4784-74 |
4.9 |
|
ГОСТ 4919.1-77 |
3.4.1 |
|
ГОСТ 5632-72 |
3.1, 4.1 |
|
3.4.1 |
|
|
3.4а.1 |
|
|
3.3, 3.4а.1, 3.4.1, 3.5.1, 3.7а.1, 3.9.1, 3.10.1 |
|
|
3.8.1 |
|
|
ГОСТ 10671.7-74 |
3.6 |
|
3.4.1 |
|
|
ГОСТ 13874-83 |
3.11 |
|
ГОСТ 14182-80 |
4.1 |
|
ГОСТ 14192-77 |
4.7 |
|
3.4.1 |
|
|
ГОСТ 17319-76 |
3.7 |
|
3.4.1 |
|
|
ГОСТ 18573-86 |
4.4 |
|
ГОСТ 19433-81 |
4.7 |
|
ГОСТ 20292-74 |
3.4.1, 3.5.1, 3.8.1, 3.10.1 |
|
3.5.1 |
|
|
3.5.1 |
|
|
ГОСТ 24104-88 |
3.4а.1, 3.4.1 |
|
ГОСТ 25336-82 |
3.4а.1, 3.4.1, 3.5.1, 3.8.1, 3.9.1 |
|
ГОСТ 25794.3-83 |
3.4а.1 |
|
ГОСТ 27026-86 |
3.11 |
|
3.8.1 |
6. Срок действия продлен до 01.01.94 Постановлением Госстандарта СССР от 22.06.88 N 2110
7. ПЕРЕИЗДАНИЕ (январь 1989 г.) с Изменениями N 1, 2, утвержденными в феврале 1983 г., июне 1988 г. (ИУС 5-83, 10-88)
Настоящий стандарт распространяется на технический уксусный ангидрид, получаемый окислением уксусного альдегида, пиролизом уксусной кислоты и ацетона.
Настоящий стандарт устанавливает требования к техническому уксусному ангидриду, изготовляемому для нужд народного хозяйства и для поставки на экспорт.
Технический уксусный ангидрид - бесцветная, прозрачная, легковоспламеняющаяся жидкость с резким запахом.
Формулы:
эмпирическая C4H6O3
структурная
Молекулярная масса (по международным атомным массам 1971 г.) - 102,09.
1. ТЕХНИЧЕСКИЕ ТРЕБОВАНИЯ
1.1а. Технический уксусный ангидрид изготовляют в соответствии с требованиями настоящего стандарта по технологическому регламенту, утвержденному в установленном порядке.
(Введен дополнительно, Изм. N 1).
1.1. По физико-химическим показателям технический уксусный ангидрид должен соответствовать требованиям и нормам, указанным в таблице.
Примечания:
1. Нормы по показателям 4, 5 и 7 изготовитель определяет периодически один раз в месяц.
2. Нормы по показателям 8 и 9 таблицы установлены для уксусного ангидрида, предназначенного только для экспорта.
Обозначение сортов продукта, предназначенного для экспорта, должно соответствовать СТ СЭВ 2962-81.
(Измененная редакция, Изм. N 1, 2).
2а. ТРЕБОВАНИЯ БЕЗОПАСНОСТИ
2а.1. Уксусный ангидрид - бесцветная, легковоспламеняющаяся жидкость с резким запахом.
Температура вспышки 40 °С, температура самовоспламенения 360 °С.
Температурные пределы воспламенения: нижний - 37 °С, верхний - 75 °С.
Пределы взрываемости паров в смеси с воздухом: нижний - 1,21% по объему, верхний - 9,9% по объему.
Тушить тонкораспыленной водой, газовыми и порошковыми составами.
2а.2. По степени воздействия на организм уксусный ангидрид относится к 3-му классу опасности по ГОСТ 12.1.007-76. Предельно допустимая концентрация (ПДК) паров уксусного ангидрида в воздухе рабочей зоны 5 мг/м3.
2а.3. При работе с уксусным ангидридом необходимо применять средства индивидуальной защиты органов дыхания, зрения и кожных покровов.
2а.4. Все рабочие помещения должны быть оборудованы общей и местной приточно-вытяжной вентиляцией, обеспечивающей концентрацию паров уксусного ангидрида не выше предельно допустимой концентрации.
Разд.2а. (Введен дополнительно, Изм. N 2).
2. ПРАВИЛА ПРИЕМКИ
2.1. Уксусный ангидрид принимают партиями. В партию включают продукт, однородный по своим качественным показателям в любом количестве, сопровождаемый одним документом о качестве.
Документ должен содержать:
условное наименование предприятия-изготовителя и его товарный знак;
наименование продукта и его сорт;
номер партии и дату изготовления;
количество единиц продукции в партии;
массу брутто и нетто;
результаты проведенных испытаний или подтверждение о соответствии партии уксусного ангидрида требованиям настоящего стандарта;
обозначение настоящего стандарта.
При транспортировании уксусного ангидрида в железнодорожных цистернах за партию принимают каждую цистерну.
2.2. При транспортировании уксусного ангидрида в бутылях или бочках объем выборки составляет 10% единиц продукции, но не менее чем три, если партия состоит менее чем из 30 единиц продукции.
При транспортировании уксусного ангидрида в железнодорожных цистернах пробу отбирают из каждой цистерны.
2.1, 2.2. (Измененная редакция, Изм. N 1).
2.3. При получении неудовлетворительных результатов анализа хотя бы по одному из показателей проводят повторный анализ удвоенной выборки, взятой от той же партии. Результаты повторного анализа распространяются на всю партию.
3. МЕТОДЫ АНАЛИЗА
3.1. Из бутылей и бочек точечные пробы отбирают стеклянной или алюминиевой трубкой при помощи резиновой груши. Из цистерн пробы отбирают по ГОСТ 2517-85 металлическим переносным пробоотборником диаметром 80 или 55 мм, изготовленным из алюминия или стали марок Х18Н10Т или Х17Н13М2Т (ГОСТ 5632-72) из верхнего, среднего и нижнего слоев.
3.2. Точечные пробы соединяют вместе, тщательно перемешивают и среднюю пробу в количестве 1 дм3 помещают в чистую сухую стеклянную или полиэтиленовую банку с притертой пробкой. На банку со средней пробой наклеивают этикетку с указанием: наименования предприятия-изготовителя, наименования продукта, номера партии, даты и места отборы пробы.
3.3. Внешний вид и цвет определяют визуальным сравнением анализируемого продукта с дистиллированной водой (ГОСТ 6709-72-->ГОСТ 6709-72).
Для этого в один цилиндр из бесцветного стекла 1(3)-50 (ГОСТ 1770-74) наливают до метки дистиллированную воду, в другой - анализируемый продукт.
Содержимое сравнивают по оси цилиндров и сбоку на белом фоне. Продукт должен быть бесцветным, прозрачным, без механических примесей.
3.1.-3.3. (Измененная редакция, Изм. N 1, 2).
3.4а. Потенциометрический метод определения массовой доли уксусного ангидрида.
3.4а.1. Аппаратура, посуда и реактивы
Потенциометр с входным электрическим сопротивлением не менее 5-10 Ом, диапазоном измерения от 0 до 1400 мВ.
Электрод платиновый.
Электрод каломельный или хлорсеребряный.
Мешалка магнитная.
Весы лабораторные 2-го класса точности по ГОСТ 24104-88 с наибольшим пределом взвешивания 200 г.
________________
* На территории Российской Федерации действует ГОСТ 24104-2001, здесь и далее по тексту.
Колба 2-1000-2 по ГОСТ 1770-74.
Колба Кн-1(2)-250-29/32 ТХС по ГОСТ 25336-82.
Стакан В-1-400, 600 ТХС по ГОСТ 25336-82.
м-нитроанилин.
Вода дистиллированная по ГОСТ 6709-72-->ГОСТ 6709-72.
Кислота уксусная по ГОСТ 61-75, раствор с массовой долей 99,5%.
Кислота сульфаниловая по ГОСТ 5821-78.
Натрия гидроокись по ГОСТ 4328-77, раствор концентрации c(NaOH)=1 моль/дм3 (1 н.), не содержащий карбонатов, готовят по ГОСТ 4517-87.
кислота соляная по ГОСТ 3118-77, с массовой долей 37%.
Натрий азотистокислый по ГОСТ 4197-74, раствор концентрации c(NaNO2)=0,5 моль/дм3(0,5 н.), готовят по ГОСТ 25794.3-83.
3.4а.2. Подготовка к анализу
Поправочный коэффициент раствора азотистокислого натрия концентрации 0,5 моль/дм3 определяют следующим образом: 4,0 г высушенной при 105 °С сульфаниловой кислоты взвешивают (результат взвешивания в граммах записывают с точностью до четвертого десятичного знака), растворяют в 200 см3 дистиллированной воды и 23 см3 раствора гидроокиси натрия при нагревании. Затем раствор охлаждают до 8 °С, добавляют 25 см3 соляной кислоты и титруют потенциометрически при 10 °С раствором азотистокислого натрия.
Поправочный коэффициент (K) раствора азотистокислого натрия концентрации 0,5 моль/дм, вычисляют по формуле
где m - масса навески сульфаниловой кислоты, г;
V - объем раствора азотистокислого натрия концентрации 0,5 моль/дм3, израсходованный на титрование, см3;
0,086595 - масса сульфаниловой кислоты, соответствующая 1 см3 раствора азотистокислого натрия концентрации точно 0,5 моль/дм3, г.
Раствор А готовят следующим образом: 40,0 г м-нитроанилина взвешивают (результат взвешивания в граммах записывают с точностью до четвертого десятичного знака), растворяют в мерной колбе в небольшом количестве уксусной кислоты. После растворения доливают уксусную кислоту до метки и хорошо перемешивают.
3.4а.3. Проведение анализа
Около 2 г уксусного ангидрида взвешивают (результат взвешивания в граммах записывают с точностью до четвертого десятичного знака) в конической колбе, добавляют 100 см3 раствора А и оставляют на 30 мин, периодически сильно встряхивая. Затем содержимое колбы переносят в стакан, разбавляют водой до 300 см3, охлаждают до 8 °С и добавляют 30 см3 соляной кислоты. В полученный раствор помещают электроды и мешалку. При перемешивании содержимого раствор азотистокислого натрия прибавляют порциями 0,1-0,2 см3. При приближении к точке эквивалентности раствор прибавляют по каплям.
После добавления каждой порции определяют электродный потенциал. Титрование заканчивают после получения не менее 6 результатов после скачка потенциала.
Одновременно проводят контрольный опыт с 50 см3 раствора А, разбавленных до 150 см3 водой в стакане и с 15 см3 соляной кислоты.
По полученным данным строят градуировочные графики, откладывая по оси абсцисс израсходованные на титрование объемы раствора азотистокислого натрия, а на оси ординат соответствующие им значения разности потенциала.
За объем раствора азотистокислого натрия концентрации 0,5 моль/дм3, израсходованный на титрование в основном и контрольном опытах, принимают объемы, соответствующие точкам кривых графиков.
3.4а.4. Обработка результатов
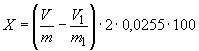
Массовую долю уксусного ангидрида (X) в процентах вычисляют по формуле
где V - объем раствора азотистокислого натрия, концентрации 0,5 моль/дм3, израсходованный на титрование в основном опыте, см3;
V1 - объем раствора азотистокислого натрия концентрации 0,5 моль/дм3, израсходованный на титрование в контрольном опыте, см3;
m - масса навески, г;
K - поправочный коэффициент раствора азотистокислого натрия концентрации 0,5 моль/дм3;
0,051045 - масса уксусного ангидрида, соответствующая 1 см3 раствора азотистокислого натрия концентрации точно 0,5 моль/дм3, г.
За результат анализа принимают среднее арифметическое двух параллельных определений, допускаемое расхождение между которыми не должно превышать 0,6% при доверительной вероятности P=0,95.
3.4а.-3.4а.4. (Измененная редакция, Изм. N 2).
3.4. Определение массовой доли уксусного ангидрида титрованием
(Измененная редакция, Изм. N 1).
3.4.1. Аппаратура, посуда и реактивы
Весы лабораторные 2-го класса точности по ГОСТ 24104-88 с наибольшим пределом взвешивания 200 г.
Капельница 2(1)-50 ХС по ГОСТ 25336-82.
Колба Кн-1(2)-250-29/32 ТХС по ГОСТ 25336-82.
Бюретки, пипетки 2-го класса точности по ГОСТ 20292-74.
Анилин по ГОСТ 5819-78, раствор с массовой долей 3%.
Пиридин по ГОСТ 13647-78.
Натрия гидроокись, раствор концентрации c(NaOH)=0,5 моль/дм3 (0,5 н.), не содержащий карбонатов, готовят по ГОСТ 4517-87.
Вода дистиллированная по ГОСТ 6709-72-->ГОСТ 6709-72.
Фенолфталеин (индикатор), спиртовый раствор с массовой долей 1%, готовят по ГОСТ 4919.1-77.
Спирт этиловый ректификованный технический по ГОСТ 18300-87 или ГОСТ 17299-78.
3.4.2. Проведение анализа
5-10 см3 уксусного ангидрида помещают в капельницу с притертой пипеткой так, чтобы смоченной была только самая нижняя оттянутая часть пипетки, и взвешивают (результат взвешивания в граммах записывают с точностью до четвертого десятичного знака).
Затем около 1 см3 уксусного ангидрида при помощи пипетки переносят из капельницы в коническую колбу с притертой пробкой (при этом надо следить, чтобы шлиф капельницы оставался сухим), куда предварительно наливают 100 см3 воды и 0,5 см3 пиридина.
Капельницу с пипеткой снова взвешивают и по разности масс вычисляют взятую навеску уксусного ангидрида. Для удобства взятия навески на пипетке делают метку, соответствующую объему 1 см3.
Содержимое колбы тщательно перемешивают до полного растворения уксусного ангидрида и по истечении 5 мин титруют раствором гидроокиси натрия в присутствии фенолфталеина.
Для взятия навески уксусного ангидрида можно пользоваться также специальной пипеткой для взвешивания и ампулами. При пользовании ампулами титрование ведут в толстостенной банке с притертой пробкой. Ампулы разбивают под слоем жидкости.
В другую коническую колбу с притертой пробкой наливают 100 см3 раствора анилина и вносят указанным выше способом 2 см3 уксусного ангидрида. Колбу закрывают, содержимое колбы тщательно перемешивают (при этом выпадает белый осадок ацетанилида) и титруют раствором гидроокиси натрия в присутствии фенолфталеина.
3.4.3. Обработка результатов
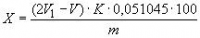
Массовую долю уксусного ангидрида (X) в процентах вычисляют по формуле
где V - объем раствора гидроокиси натрия, концентрации точно 0,5 моль/дм3, израсходованный на первое титрование, см3;
m - масса навески уксусного ангидрида, взятая для первого титрования г;
V1 - объем раствора гидроокиси натрия, концентрации точно 0,5 моль/дм3, израсходованный на второе титрование, см3;
m1 - масса навески уксусного ангидрида, взятая для второго титрования г;
0,0255 - масса уксусного ангидрида, соответствующая 1 см3 раствора гидроокиси натрия, концентрации точно 0,5 моль/дм3, г.
За результат анализа принимают среднее арифметическое двух параллельных определений, допускаемые расхождения между которыми не должны превышать 0,2% при доверительной вероятности P=0,95.
3.4.1.-3.4.3. (Измененная редакция, Изм. N 1).
3.4.4. При разногласиях в оценке массовой доли уксусного ангидрида анализ проводят методом титрования.
(Введен дополнительно, Изм. N 1).
3.5. Определение расхода марганцовокислого калия
3.5.1. Аппаратура, посуда и реактивы
Колба Кн-1(2)-250-29/32 ТХС по ГОСТ 25336-82.
Пипетки 2-го класса точности по ГОСТ 20292-74.
Бюретка 1 (2,3)-2-10(25)-0,1 или 7-2-10 по ГОСТ 20292-74.
Баня водяная.
Калий марганцовокислый по ГОСТ 20490-75, раствор концентрации c(1/5KMnO4)=0,1 моль/дм3 (0,1 н.).
Кислота серная по ГОСТ 4204-77, раствор концентрации c(1/2H2SO4)=5 моль/дм3 (5 н.).
Кислота щавелевая по ГОСТ 22180-76, раствор концентрации c(1/2H2C2O4·2H2O)=0,1 моль/дм3 (0,1 н.).
Вода дистиллированная по ГОСТ 6709-72-->ГОСТ 6709-72.
3.5.2. Проведение анализа
5 см3 уксусного ангидрида наливают в коническую колбу, добавляют 40,0 см3 дистиллированной воды и встряхивают в течение 5 мин до получения гомогенного раствора. Колбу закрывают пробкой и устанавливают температуру (20±2) °С. Затем добавляют 2,0 см3 раствора марганцовокислого калия, закрывают и выдерживают в темном месте в течение 30 мин. После этого добавляют 20,0 см3 раствора серной кислоты и 10,0 см3 раствора щавелевой кислоты. Колбу нагревают в течение 5 мин на водяной бане при (90±2) °С. Избыточную щавелевую кислоту оттитровывают из бюретки раствором марганцовокислого калия до получения розового цвета, устойчивого в течение 1 мин при температуре не ниже 60 °С.
Одновременно проводят контрольный опыт без анализируемого продукта с теми же количествами реактивов в одинаковом объеме и при тех же условиях.
3.5.1; 3.5.2. (Измененная редакция, Изм. N 1, 2).
3.5.3. Обработка результатов
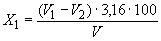
Расход марганцовокислого калия (X1) в миллиграммах KMnO4 на 100 см3 продукта вычисляют по формуле
где V1 - объем раствора марганцовокислого калия концентрации точно 0,1 моль/дм3, израсходованный на титрование в основном опыте, см3;
V2 - объем раствора марганцовокислого калия концентрации точно 0,1 моль/дм3, израсходованный на титрование в контрольном опыте, см3;
V - объем продукта, взятый для анализа, см3;
3,16 - масса марганцовокислого калия, соответствующая 1 см3 раствора щавелевой кислоты концентрации точно 0,1 моль/дм3, мг.
За результат анализа принимают среднее арифметическое двух параллельных определений, допускаемое расхождение между которыми не должно превышать 6 мг KMnO4 на 100 см3 продукта, при доверительной вероятности P=0,95.
(Измененная редакция, Изм. N 2).
3.6. Определение массовой доли хлоридов
Определение проводят по ГОСТ 10671.7-74 визуально-нефелометрическим или фототурбидиметрическим методом. При этом 5 г (4,6 см3, отмеренные с погрешностью не более 0,1 см3) уксусного ангидрида помещают в бесцветный стеклянный цилиндр 1(3)-50, 100 (ГОСТ 1770-74), прибавляют 25 см3 воды, 5 см3 раствора азотной кислоты и 1 см3 раствора азотнокислого серебра.
Препарат считают соответствующим требованиям настоящего стандарта, если наблюдаемая через 20 мин опалесценция анализируемого раствора не будет интенсивнее опалесценции раствора, приготовленного одновременно с анализируемым и содержащего в таком же объеме 0,005 мг Cl, 5 см3 раствора азотной кислоты и 1 см3 раствора азотнокислого серебра.
(Измененная редакция, Изм. N 1, 2).
3.7а. Метод определения массовой доли тяжелых металлов с тиоацетамидом
3.7а.1. Применяемые реактивы и растворы:
тиоацетамид;
раствор, содержащий 0,0001% свинца, готовят следующим образом: 1,0 см3 приготовленного по ГОСТ 4212-76 основного раствора наливают в мерную колбу, доливают водой до метки и встряхивают;
Вода дистиллированная по ГОСТ 6709-72-->ГОСТ 6709-72;
цилиндры по ГОСТ 1770-74;
колба 2-1000-2 по ГОСТ 1770-74.
3.7а.2. Проведение анализа
1 г уксусного ангидрида помещают в цилиндр из бесцветного стекла вместимостью 25 см3, добавляют 20 см3 воды и встряхивают в течение 5 мин до получения гомогенного раствора. К полученному раствору прибавляют 0,2 г тиоацетамида.
В другой такой же цилиндр помещают 1,0 см3 раствора, содержащего 0,0001% свинца, 20 см3 воды и 0,2 г тиоацетамида.
Все взвешивания проводят с точностью до первого десятичного знака.
Появившееся через 20 мин коричневое окрашивание растворов сравнивают по оси цилиндров и сбоку.
Продукт соответствует требованиям настоящего стандарта, если окрашивание анализируемого раствора будет не интенсивнее окрашивания раствора сравнения.
3.7а.1-3.7а.2. (Измененная редакция, Изм. N 2).
3.7. Определение массовой доли тяжелых металлов, осаждаемых сероводородом
Определение проводят по ГОСТ 17319-76 сероводородным методом. При этом 10 г (9,2 см3, отмеренные с погрешностью не более 0,1 см3) уксусного ангидрида помещают в коническую колбу вместимостью 100 см3 с притертой пробкой, прибавляют 20 см3 воды, 1 см3 раствора уксуснокислого аммония, 10 см3 сероводородной воды. Раствор тщательно перемешивают и закрывают колбу пробкой.
Препарат считают соответствующим требованиям настоящего стандарта, если наблюдаемая через 10 мин окраска анализируемого раствора не будет интенсивнее окраски раствора, приготовленного одновременно с анализируемым и содержащего в том же объеме 0,01 мг Pb, 1 см3 уксусной кислоты, 10 см3 сероводородной воды, 1 см3 раствора уксуснокислого аммония.
При разногласиях в оценке массовой доли тяжелых металлов определение проводят с тиоацетамидом.
(Измененная редакция, Изм. N1).
3.8. Определение массовой доли веществ, окисляемых двухромовокислым калием
3.8.1. Аппаратура, посуда и реактивы
калий двухромовокислый по ГОСТ 4220-75, раствор концентрации c(1/6K2Cr2O7)=0,5 моль/дм3 (0,5 н.).
Кислота серная по ГОСТ 4204-77.
Калий йодистый по ГОСТ 4232-74, раствор с массовой долей 10%.
Крахмал растворимый по ГОСТ 10163-76, раствор с массовой долей 0,5%.
натрий серноватистокислый (Тиосульфат натрия) по ГОСТ 27068-86, раствор концентрации c(Na2S2O3·5H2O)=0,1 моль/дм3 (0,1 н.).
Холодильник ХШ-1-300-29/32 ХС по ГОСТ 25336-82.
Колба Кн-1 (2)-250-29/32 ТХС по ГОСТ 25336-82.
Бюретки, пипетки по ГОСТ 20292-74.
Баня водяная.
3.8.2. Проведение анализа
В коническую колбу помещают пипеткой 10 см3 анализируемого уксусного ангидрида и осторожно по каплям прибавляют пипеткой 25 см3 бихроматного реактива. Колбу с пробой соединяют с обратным холодильником и содержимое колбы нагревают в течение 30 мин на кипящей водяной бане. Затем через трубку холодильника прибавляют 100 см3, воды и охлаждают смесь до (20±2) °С. После охлаждения смеси в колбу вносят пипеткой 10 см3 раствора йодистого калия и быстро титруют раствором тиосульфата натрия до слабо-желтой окраски, в конце титрования добавляют 0,5 см3 крахмала и титруют до голубовато-зеленой окраски.
Параллельно в тех же условиях титруют контрольный раствор, содержащий те же реактивы и 10 см3 дистиллированной воды, вместо уксусного ангидрида.
3.8.3. Обработка результатов
Содержание веществ, окисляемых двухромовокислым калием (X2) в см3 раствора тиосульфата натрия концентрации точно 0,1 моль/дм3, вычисляют по формуле
где V1 - объем раствора тиосульфата натрия концентрации точно 0,1 моль/дм3, израсходованный на титрование контрольного раствора, см3;
V2 - объем раствора тиосульфата натрия концентрации точно 0,1 моль/дм3, израсходованный на титрование анализируемого раствора, см3.
Допускаемые расхождения между двумя параллельными определениями не должны превышать 0,1 см3 при доверительной вероятности P=0,95.
3.9. Проба с серной кислотой
3.9.1. Аппаратура, посуда и реактивы
Кислота серная по ГОСТ 4204-77;
кобальт сернокислый по ГОСТ 4462-78;
Никель азотнокислый по ГОСТ 4055-78;
калий двухромовокислый по ГОСТ 4220-75;
Вода дистиллированная по ГОСТ 6709-72-->ГОСТ 6709-72,
раствор сравнения; готовят следующим образом: в мерной колбе вместимостью 500 см3 растворяют в воде 0,2500 г двухромовокислого калия и доводят раствор водой до метки (раствор 1).
В мерную колбу вместимостью 1 дм3 вносят 1,5 г сернокислого кобальта и растворяют в 50 см3 воды, затем в колбу вносят 0,5000 г азотнокислого никеля и 150 см3 раствора 1. Объем в колбе доводят водой до метки и тщательно перемешивают (раствор сравнения).
Раствор сравнения хранят в затемненном месте в запаянных пробирках из прозрачного бесцветного стекла. Срок хранения - не более 6 месяцев;
термостат типа ТС-15; ТС-16 или любого другого типа, позволяющий поддержать температуру (40±2) °С;
пробирка П1-30-150 ХС по ГОСТ 25336-82.
3.9.2. Проведение анализа
Пробирку из прозрачного, бесцветного стекла ополаскивают анализируемым уксусным ангидридом, дают стечь со стенок последним каплям жидкости, затем вводят 23 см3 анализируемого уксусного ангидрида, отмеренного с погрешностью не более 0,1 см3, прибавляют 2 см3 серной кислоты и осторожно перемешивают. Пробирку с пробой закрывают пробкой, помещают в одну из ячеек термостата с дистиллированной водой (при 40 °С), выдерживают 2,5 ч и сравнивают окраску пробы с раствором сравнения.
Продукт соответствует требованиям настоящего стандарта, если окраска анализируемой пробы не будет интенсивнее окраски раствора сравнения.
3.8.1.-3.9.2. (Измененная редакция, Изм. N 2).
3.10. Определение массовой доли железа
3.10.1. Аппаратура, посуда и реактивы
Цилиндры 2(4)-25 по ГОСТ 1770-74.
Пипетки 2-го класса точности по ГОСТ 20292-74.
Кислота аскорбиновая, раствор с массовой долей 5%, готовят по ГОСТ 4517-87.
2,2'-дипиридил, раствор с массовой долей 0,5%, готовят по ГОСТ 4517-87.
Раствор, содержащий 0,0001% железа, готовят следующим образом:
1 см3 основного раствора, приготовленного по ГОСТ 4212-76, наливают в мерную колбу вместимостью 1 дм3, доливают водой до метки и встряхивают.
Аммоний уксуснокислый по ГОСТ 3117-78.
Вода дистиллированная по ГОСТ 6709-72-->ГОСТ 6709-72.
3.10.2. Проведение анализа
2,0 см3 уксусного ангидрида наливают в цилиндр из бесцветного стекла, добавляют 8,0 см3 воды и встряхивают в течение 5 мин до получения гомогенного раствора. К раствору прибавляют 2,0 см3 раствора аскорбиновой кислоты и 2,0 см3 раствора 2,2-дипиридила. pH полученного раствора доводят уксуснокислым аммонием до величины 3-4 по универсальной индикаторной бумаге.
В другой такой же цилиндр помещают 2,0 см3 раствора, содержащего 0,0001% железа, 8,0 см3 воды, 2,0 см3 раствора аскорбиновой кислоты и 2,0 см3 раствора 2,2-дипиридила.
Появившееся через 20 мин оранжевое окрашивание растворов сравнивают по оси цилиндров и сбоку.
Продукт соответствует требованиям настоящего стандарта, если окрашивание анализируемого раствора будет не интенсивнее окрашивания раствора сравнения.
3.10.1.-3.10.2. (Измененная редакция, Изм. N 2).
3.11. Определение массовой доли нелетучего остатка
Анализ проводят по ГОСТ 27026-86 со следующими дополнениями:
объем анализируемой пробы 100 см3;
температура проведения анализа 140 °С;
песчаная баня с электрическим обогревом или инфракрасные лампы типа ИКЗ-220-500 (ГОСТ 13874-83) или другого типа, обеспечивающего условия проведения анализа.
3.11. (Введен дополнительно, Изм. N 1).
4. УПАКОВКА, МАРКИРОВКА, ТРАНСПОРТИРОВАНИЕ И ХРАНЕНИЕ
4.1. Уксусный ангидрид заливают в специальные сухие алюминиевые железнодорожные цистерны или железнодорожные цистерны с внутренней поверхностью из нержавеющей стали марки Х18Н10Т (ГОСТ 5632-72) с верхним сливом, автоцистерны алюминиевые или из нержавеющей стали, алюминиевые бочки объемом до 275 дм3 или бочки из нержавеющей стали объемом до 200 дм3, стеклянные бутыли по ГОСТ 14182-80, объемом 20 дм3.
(Измененная редакция, Изм. N 2).
4.2. Железнодорожные и автомобильные цистерны, бочки и бутыли должны быть заполнены уксусным ангидридом не более чем на 95% объема тары.
4.3. Наливные люки цистерн и горловины бочек должны быть тщательно герметизированы прокладками из паронита (ГОСТ 481-80) или другого материала, стойкого к уксусному ангидриду.
Горловины бутылей должны быть укупорены притертыми пробками или полиэтиленовыми пробками и колпаками, обернуты тканью и завязаны шпагатом.
4.4. Стеклянные бутыли с уксусным ангидридом должны быть помещены в деревянные ящики 3-2 по ГОСТ 18573-86 и уплотнены древесной стружкой. При повагонных поставках, а также при перевозке автомобильным и водным транспортом допускается использовать корзины.
(Измененная редакция, Изм. N 2).
4.5. Перед наливом цистерн должен быть проведен анализ остатка уксусного ангидрида на соответствие требованиям настоящего стандарта. Если анализ соответствует требованиям настоящего стандарта, то цистерну заполняют уксусным ангидридом, если анализ остатка не соответствует требованиям настоящего стандарта, то цистерну промывают, пропаривают и сушат.
4.6. Перед наполнением автоцистерны, бочки и бутыли должны быть тщательно промыты и высушены.
4.7. Транспортная маркировка по ГОСТ 14192-77* с нанесением знака опасности и классификационного шифра 8142 по ГОСТ 19433-81**.
________________
* Действует ГОСТ 14192-96.
** Действует ГОСТ 19433-88.
На днище каждой бочки при помощи трафарета несмываемой краской должны быть нанесены следующие дополнительные данные:
условное наименование и товарный знак предприятия-изготовителя;
наименование продукта и его сорт;
номер партии и дата изготовления;
масса брутто и нетто;
обозначение настоящего стандарта;
предупредительные надписи: "Осторожно", "Берегись ожога", "Воспламеняется".
К горловине стеклянных бутылей должна быть привязана фанерная (или из плотного картона) бирка с теми же данными.
По согласованию с потребителем при повагонных отправках прямым железнодорожным сообщением ярлыки разрешается прикреплять на тару, расположенную у дверей вагона, но не менее чем на 10 шт.
На котле цистерн должна быть надпись "Опасно. Уксусный ангидрид".
(Измененная редакция, Изм. N 1, 2).
4.8. Бочки и бутыли с уксусным ангидридом транспортируют в крытых железнодорожных вагонах, автомашинах и в трюмах судов в соответствии с правилами перевозок опасных грузов, действующими на соответствующих видах транспорта.
4.9. Уксусный ангидрид хранят в герметичных резервуарах из стали марки Х17Н13М2Т или алюминия марки АД1 по ГОСТ 4784-74*.
________________
* Действует ГОСТ 4784-97.
Бочки и бутыли с уксусным ангидридом хранят в сухих, складских помещениях или под навесом, исключающим попадание атмосферных осадков.
5. ГАРАНТИИ ИЗГОТОВИТЕЛЯ
5.1. Изготовитель гарантирует соответствие уксусного ангидрида требованиям настоящего стандарта при соблюдении условий транспортирования и хранения.
5.2. Гарантийный срок хранения продукта 1-го сорта - шесть месяцев со дня изготовления продукта, а продукта высшего сорта - один год.
5.1, 5.2. (Измененная редакция, Изм. N 1).
Разд.6. (Исключен, Изм. N 2).
официальное издание
М.: Издательство стандартов, 1989