Новости Нефтегазовая пром.
Выставки Наука и технология


2-Аминоанизол технический ГОСТ 10261-81

2-Аминоанизол технический. Технические условия (с Изменениями N 1, 2) ГОСТ 10261-81


ГОСТ 10261-81*

Группа Л21

     
     
МЕЖГОСУДАРСТВЕННЫЙ СТАНДАРТ

2-АМИНОАНИЗОЛ ТЕХНИЧЕСКИЙ

Технические условия

Technical 2-aminoanisol. Specifications



ОКП 24 7244 0130

Дата введения 1982-07-01



Постановлением Государственного комитета СССР по стандартам от 2 июня 1981 г. N 2793 дата введения установлена 01.07.82

Ограничение срока действия снято по протоколу N 4-93 Межгосударственного Совета по стандартизации, метрологии и сертификации (ИУС 4-94)

ВЗАМЕН ГОСТ 10261-76

* ПЕРЕИЗДАНИЕ (декабрь 1998 г.) с Изменениями N 1, 2, утвержденными в июле 1986 г., апреле 1992 г. (ИУС 10-86, 8-92).

Настоящий стандарт распространяется на технический 2-аминоанизол, предназначенный для анилинокрасочной, химико-фармацевтической и пищевой промышленности.

Формулы:

эмпирическая C7H9ON

структурная 


Относительная молекулярная масса (по международным атомным массам 1987 г.) - 123,16.

(Измененная редакция, Изм. N 2).

1. ТЕХНИЧЕСКИЕ ТРЕБОВАНИЯ

1.1. 2-Аминоанизол должен быть изготовлен в соответствии с требованиями настоящего стандарта по технологическому регламенту, утвержденному в установленном порядке.

1.2. По физико-химическим показателям 2-аминоанизол должен соответствовать требованиям и нормам, указанным в таблице.

Наименование показателя

Норма

1. Температура кристаллизации высушенного продукта, °С, не ниже

6,6

2. Массовая доля диазотирующихся соединений в пересчете на аминоанизол, %, не менее

99,4

3. Массовая доля анилина и 2-хлоранилина, %, не более

0,45

4. Массовая доля 3-хлоранилина и 4-хлоранилина, %, не более

0,15

5. Массовая доля 4-аминоанизола, %, не более

0,35


(Измененная редакция, Изм. N 1).

2. ТРЕБОВАНИЯ БЕЗОПАСНОСТИ

2.1. 2-Аминоанизол - горючая жидкость.

Температура вспышки в открытом тигле 100 °С.

Температура воспламенения 110 °С.

Температура самовоспламенения 389 °С.

Температурные пределы воспламенения: нижний 97 °С, верхний 150 °С.

Средства пожаротушения: тонкораспыленная Вода, пена.

Меры предупреждения загорания: герметизация емкостей для хранения продукта и удаление их от источников тепла и огня.

2.2. По степени воздействия на организм человека 2-аминоанизол относится к высокоопасным веществам (2-й класс опасности по ГОСТ 12.1.005-88). Действует на кровь, нервную и сердечно-сосудистую системы. Способен проникать в организм человека через кожные покровы, слизистые оболочки и дыхательные пути.

Предельно допустимая концентрация (ПДК) в воздухе рабочей зоны - 1 мг/м3.

Содержание 2-аминоанизола в воздухе рабочей зоны определяют полярографическим методом.

2.3. При отборе проб, анализе и применении 2-аминоанизола следует применять средства индивидуальной защиты от попадания продуктов на кожные покровы, слизистые оболочки и проникновения его паров в органы дыхания.

Для обеспечения безопасности помещение, где проводятся работы с продуктом, должно быть оборудовано общеобменной приточно-вытяжной вентиляцией, а в местах возможного выделения паров должны быть оборудованы местные вентиляционные отсосы. Оборудование должно быть герметизировано. Технологический процесс необходимо автоматизировать. Необходимо ежесменно проводить влажную уборку помещения.

Продукт с кожных покровов и слизистых оболочек удаляют водой.

В производстве технического 2-аминоанизола твердые отходы и газовые выбросы отсутствуют. Сточные воды направляют на биохимическую очистку.

2.2, 2.3. (Измененная редакция, Изм. N 1, 2).

3. ПРАВИЛА ПРИЕМКИ

3.1. Правила приемки - по ГОСТ 6732.1-89.

(Измененная редакция, Изм. N 2).

3.2. Массовую долю анилина и 2-хлоранилина, 3-хлоранилина и 4-хлоранилина, 4-аминоанизола изготовитель определяет периодически в каждой пятнадцатой партии продукта.

4. МЕТОДЫ АНАЛИЗА

4.1. Метод отбора проб - по ГОСТ 6732.2-89. Если продукт закристаллизовался, его перед отбором проб разогревают при 60-70 °С. Масса средней лабораторной пробы должна быть не менее 1 кг.

Перед каждым анализом среднюю пробу тщательно перемешивают.

(Измененная редакция, Изм. N 2).

4.2а. Общие указания по проведению анализа - по ГОСТ 27025-86.

Допускается применение других средств измерения с метрологическими характеристиками и оборудования с техническими характеристиками не хуже, а также реактивов по качеству не ниже указанных в настоящем стандарте.

(Введен дополнительно, Изм. N 2).

4.2. Определение температуры кристаллизации высушенного продукта 

Температуру кристаллизации определяют по ГОСТ 18995.5-73 (разд.1) в приборе Жукова. Перед определением около 30 см3 анализируемого продукта сушат в течение 1 ч в сушильном шкафу при 60-70 °С, периодически перемешивая стеклянной палочкой.

Высушенный продукт осторожно заливают в прибор Жукова, закрывают его пробкой со вставленным в нее термометром и помещают в охлаждающую баню. Для охлаждающей бани применяют смесь из толченого льда и соли (10:3).

При 3 °С вносят "затравку", которую готовят следующим образом: в стакан или пробирку вместимостью 25 см3 вносят 3-5 г 2-аминоанизола и помещают в охлаждающую баню. После охлаждения до минус 3 °С в жидкий 2-аминоанизол вносят кристаллик 4-аминоанизола и перемешивают стеклянной палочкой до кристаллизации всей массы. "Затравку" хранят в охлаждающей бане.

4.3. Определение массовой доли диазотирующихся соединений в пересчете на аминоанизол

4.3.1. Аппаратура, реактивы и растворы

Весы лабораторные общего назначения 2-го класса точности по ГОСТ 24104-88* с наибольшим пределом взвешивания 200 г.
________________
* На территории Российской Федерации действует ГОСТ 24104-2001, здесь и далее по тексту. - Примечание изготовителя базы данных.

Бумага йодкрахмальная; готовят по ГОСТ 4517-87.

Стаканчик СВ-14/8 по ГОСТ 25336-82.

Стакан В-1-600 ТХС по ГОСТ 25336-82.

Цилиндры 1-25-2, 1-500-2 по ГОСТ 1770-74.

Бюретка с ценой деления 0,10 см3.

кислота соляная по ГОСТ 3118-77.

Натрий азотистокислый по ГОСТ 4197-74, х.ч., раствор молярной концентрации c(NaNO2)=0,5 моль/дм3 (0,5 н.); готовят по ГОСТ 16923-83.

Калий бромистый по ГОСТ 4160-74.

Вода дистиллированная по ГОСТ 6709-72-->ГОСТ 6709-72.

4.3.2. Проведение анализа

Около 2,0000-2,5000 г анализируемого продукта растворяют в 15 см3 соляной кислоты и 400 см3 воды в стакане. К раствору прибавляют 5,00 г бромистого калия и титруют при 15-20 °С раствором азотистокислого натрия.

В конце титрования раствор азотистокислого натрия добавляют медленно, по каплям. Конец титрования определяют по йодкрахмальной бумаге, нанося на нее каплю раствора. При появлении на ней слабо-фиолетового пятна прибавление раствора азотистокислого натрия прекращают. Дают выдержку 3 мин. Если при нанесении капли раствора на йодкрахмальную бумагу по истечении выдержки на ней появится пятно, то титрование считают законченным. В противном случае прибавляют еще 2-3 капли раствора азотистокислого натрия и через 3 мин снова повторяют пробу по йодкрахмальной бумаге.

(Измененная редакция, Изм. N 2).

4.3.3. Обработка результатов

Массовую долю диазотирующихся соединений в пересчете на аминоанизол (X) в процентах вычисляют по формуле где V - объем раствора азотистокислого натрия концентрации точно 0,5 моль/дм3, израсходованный на титрование, см3;

0,06158 - масса аминоанизола, соответствующая 1 см3 раствора азотистокислого натрия концентрации точно 0,5 моль/дм3, г;

m - масса навески анализируемого продукта, г.

За результат анализа принимают среднее арифметическое результатов двух параллельных определений, абсолютное расхождение между которыми не превышает допускаемое расхождение, равное 0,3%.

Допускаемая абсолютная суммарная погрешность результата анализа ±0,4% при доверительной вероятности P=0,95.

(Измененная редакция, Изм. N 1, 2).

4.4. Определение массовой доли анилина и 2-хлоранилина, 3-хлоранилина и 4-хлоранилина, 4-аминоанизола

Определение массовой доли анилина и 2-хлоранилина, 3-хлоранилина и 4-хлоранилина, 4-аминоанизола проводят методом газожидкостной хроматографии с применением "внутреннего эталона". В качестве "внутреннего эталона" применяют нитробензол.

4.4.1. Аппаратура и реактивы

Хроматограф газовый с пламенно-ионизационным детектором.

Колонка газохроматографическая из нержавеющей стали или стеклянная длиной 2 м и внутренним диаметром 2-3 мм.

Хроматон N-AW-DMCS или хроматон N-AW-HMDS с частицами размером 0,20-0,25 мм (твердый носитель).

Эфир полифениловый 5Ф4Э для хроматографии (неподвижная фаза).

Микрошприц МШ-10.

Весы лабораторные общего назначения 2-го класса точности по ГОСТ 24104-88 с наибольшим пределом взвешивания 200 г.

Стаканчик СВ-14/8 по ГОСТ 25336-82.

Термометр лабораторный любого типа с ценой деления не более 0,5 °С и диапазоном измерения от 0 до 105 °С.

Чашка выпарительная 3 по ГОСТ 9147-80.

Водород технический по ГОСТ 3022-80.

Азот газообразный технический по ГОСТ 9293-74.

Воздух для питания приборов.

Нитробензол перегнанный ("Внутренний эталон").

Ангидрид трифторуксусный, ч.

Хлороформ по ГОСТ 20015-88, очищенный, высшего сорта.

Анилин по ГОСТ 5819-78.

2-Хлоранилин, ч.

3-Хлоранилин, ч.

4-Аминоанизол, ч.

(Измененная редакция, Изм. N 1, 2).

4.4.2. Подготовка к анализу

4.4.2.1. Приготовление насадки

К 9 г хроматона, помещенного в фарфоровую чашку и смоченного хлороформом, приливают раствор, содержащий 1 г полифенилового эфира в 30-40 см3 хлороформа. Затем хлороформ полностью испаряют при постоянном осторожном перемешивании, поместив чашку на песчаную баню, предварительно нагретую до 75-80 °С.

Все работы, связанные с применением хлороформа, проводят в вытяжном шкафу.

4.4.2.2. Условия проведения анализа

Чистую сухую газохроматографическую колонку заполняют готовой насадкой при осторожном постукивании по ней. Заполненную колонку помещают в термостат хроматографа и, не присоединяя к детектору, продувают током газа-носителя (азота) при 200 °С в течение 8 ч.

Включение хроматографа и вывод его на рабочий режим осуществляют в соответствии с инструкцией, прилагаемой к прибору.

Хроматограмму снимают при рабочих условиях, указанных ниже:

температура термостата колонки, °С

170-180

температура испарителя, °С

250-300

скорость потока газа-носителя (азота), см3/мин

20-30

скорость потока водорода, см3/мин

20-30

скорость движения диаграммной ленты, мм/ч

200


Соотношение скорости водорода и воздуха указано в инструкции к прибору.

4.4.2.3. Градуировка прибора

Для четкого разграничения на хроматограмме пиков 2-аминоанизол и другие амины, содержащиеся в продукте, предварительно переводят трифторуксусным ангидридом в соответствующие трифторацетамиды:

анилин в трифторацетанилид;

2-хлоранилин в 2-хлортрифторацетанилид;

3-хлоранилин в 3-хлортрифторацетанилид;

4-хлоранилин в 4-хлортрифторацетанилид;

2-аминоанизол в 2-метокситрифторацетанилид;

4-аминоанизол в 4-метокситрифторацетанилид.

Градуировочный коэффициент для каждой определяемой примеси определяют, анализируя 5-10 искусственных бинарных смесей, состоящих из нитробензола и определяемой примеси. В случае примесей анилин+2-хлоранилин и 3-хлоранилин+4-хлоранилин определяют по любой из двух примесей. Искусственные смеси готовят следующим образом: одинаковые количества (в пределах 1,0000 г) определяемой примеси и нитробензола взвешивают в стаканчике, приливают 3 см хлороформа и перемешивают.

0,1 см3 полученного раствора обрабатывают в отдельном стаканчике 0,3 см3 трифторуксусного ангидрида, как указано в п.4.4.3. Анализ искусственной смеси проводят при условиях, указанных в п.4.4.2.2.

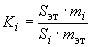
Градуировочный коэффициент для каждой определяемой примеси (Ki) вычисляют по формуле где Sэт - площадь пика "внутреннего эталона", мм2;

mi - масса определяемого компонента в искусственной бинарной смеси, г;

Si - площадь пика определяемого компонента, мм2;

mэт - масса "внутреннего эталона", г.

Площадь каждого пика вычисляют как произведение высоты пика на его ширину, измеренную на середине высоты.

Высоту пика измеряют металлической измерительной линейкой, а ширину - измерительной лупой.

4.4.3. Проведение анализа

2,0000-3,0000 г анализируемого продукта взвешивают в стаканчике, добавляют микрошприцем 0,0100-0,0150 г нитробензола и снова взвешивают. Результат взвешивания в граммах записывают с точностью до четвертого десятичного знака. Раствор перемешивают и 0,1 см3 этого раствора помещают в чистый стаканчик, приливают 0,5 см3 хлороформа и осторожно, по одной капле, приливают 0,3 см3 трифторуксусного ангидрида. Стаканчик закрывают крышкой и несколько раз энергично встряхивают. Затем крышку открывают и стаканчик оставляют открытым до исчезновения запаха трифторуксусного ангидрида.

1-2 мм3 приготовленной пробы вводят в испаритель хроматографа. Порядок выхода компонентов указан на хроматограмме (см. чертеж).

1 - хлороформ; 2 - трифторацетанилид+2-хлортрифторацетанилид; 3 - неидентифицированная примесь; 4 - нитробензол; 5 - 2-метокситрифторацетанилид; 6 - 3-хлортрифторацетанилид+4-хлортрифторацетанилид; 7 - 4-метокситрифторацетанилид

4.4.2.3, 4.4.3. (Измененная редакция, Изм. N 1, 2).

4.4.4. Обработка результатов

Массовую долю определяемой примеси (Xi) в процентах вычисляют по формуле где Si - площадь пика определяемой примеси, мм2;

mэт - масса навески "внутреннего эталона", г;

Ki - градуировочный коэффициент определяемой примеси;

Sэт - площадь пика "внутреннего эталона", мм2;

m - масса навески анализируемого продукта, г.

За результат анализа принимают среднее арифметическое результатов двух параллельных определений, абсолютное расхождение между которыми не превышает допускаемое расхождение, равное 0,02%.

Допускаемая абсолютная суммарная погрешность результата анализа ±0,03% при доверительной вероятности P=0,95.

(Измененная редакция, Изм. N 2).

5. УПАКОВКА, МАРКИРОВКА, ТРАНСПОРТИРОВАНИЕ И ХРАНЕНИЕ

5.1. Упаковка - по ГОСТ 6732.3-89.

Технический 2-аминоанизол упаковывают в стальные сварные бочки типа I по ГОСТ 6247-79 вместимостью 100 или 200 дм3 или транспортируют в стальных вагонах-цистернах предприятия-изготовителя, снабженных оборудованием для подогрева продукта.

5.2. Маркировка - по ГОСТ 6732.4-89 с нанесением знака опасности по ГОСТ 19433-88 (класс 6, подкласс 6.1, черт.6б, классификационный шифр 6163) и серийного номера ООН 2431.

На цистерны наносят надписи: "2-Аминоанизол", "Яд" и "Огнеопасно".

5.3. Транспортирование - по ГОСТ 6732.5-89.

Технический 2-аминоанизол, упакованный в стальные бочки, транспортируют транспортом любого вида, кроме воздушного, в крытых транспортных средствах.

5.1-5.3. (Измененная редакция, Изм. N 2).

5.4. Технический 2-аминоанизол хранят в упаковке изготовителя или в закрытых стальных емкостях в закрытых складских помещениях.

6. ГАРАНТИИ ИЗГОТОВИТЕЛЯ

6.1. Изготовитель гарантирует соответствие продукта требованиям настоящего стандарта при соблюдении условий хранения и транспортирования.

6.2. Гарантийный срок хранения - 6 мес со дня изготовления.

(Измененная редакция, Изм. N 1).




официальное издание
М.: ИПК Издательство стандартов, 1999