Новости Нефтегазовая пром.
Выставки Наука и технология


Свинец (II) сернокислый. Реактивы ГОСТ 10539-74

Свинец (II) сернокислый. Реактивы. Технические условия (с Изменениями N 1, 2) ГОСТ 10539-74


ГОСТ 10539-74

Группа Л51

МЕЖГОСУДАРСТВЕННЫЙ СТАНДАРТ



Реактивы 

СВИНЕЦ (II) СЕРНОКИСЛЫЙ

Технические условия

Reagents. Lead sulfate. Specifications



ОКП 26 2423 0380 06

Дата введения 1975-07-01



ИНФОРМАЦИОННЫЕ ДАННЫЕ

1. РАЗРАБОТАН И ВНЕСЕН Министерством химической промышленности СССР 

РАЗРАБОТЧИКИ:

Г.В.Грязнов, В.Г.Брудзь, И.Л.Ротенберг, З.М.Ривина, Е.Н.Яковлева, Л.В.Кидиярова

2. УТВЕРЖДЕН И ВВЕДЕН В ДЕЙСТВИЕ Постановлением Государственного комитета стандартов Совета Министров СССР от 22.10.74 N 2373 

3. ВЗАМЕН ГОСТ 10539-63

4. ССЫЛОЧНЫЕ НОРМАТИВНО-ТЕХНИЧЕСКИЕ ДОКУМЕНТЫ

Обозначение НТД, на который дана ссылка

Номер пункта, подпункта

ГОСТ 12.1.007-76

2а.1

ГОСТ 61-75

3.2, 3.4.1

ГОСТ 199-78

3.4.1

ГОСТ 1027-67

3.2

ГОСТ 1770-74

3.3.1, 3.4.1, 3.5, 3.6, 3.7

ГОСТ 3885-73-->ГОСТ 3885-73

2.1, 3.1, 4.1

ГОСТ 6563-75

3.3.2

ГОСТ 6709-72-->ГОСТ 6709-72

3.2, 3.3.1, 3.4.1

ГОСТ 9147-80

3.1, 3.3.1

ГОСТ 10398-76

3.2

ГОСТ 10555-75

3.6

ГОСТ 10671.2-74

3.5

ГОСТ 10671.7-74

3.7

ГОСТ 19433-88

4.1

ГОСТ 25336-82

3.3.1, 3.4.1, 3.6

ГОСТ 27025-86

3.1а

5. Ограничение срока действия снято по протоколу N 4-93 Межгосударственного Совета по стандартизации, метрологии и сертификации (ИУС 4-94)

6. ПЕРЕИЗДАНИЕ (декабрь 1998 г.) с Изменениями N 1, 2, утвержденными в сентябре 1984 г., декабре 1989 г. (ИУС 1-85, 3-90)


Настоящий стандарт распространяется на Сернокислый свинец (II), который представляет собой тяжелый белый кристаллический порошок, не растворимый в воде; растворим в растворе уксуснокислого натрия, в растворах уксуснокислого и виннокислого аммония и щелочей; слабо растворим в концентрированных кислотах.

Формула: PbSO4

Молекулярная масса (по международным атомным массам 1971 г.) - 303,25.

(Измененная редакция, Изм. N 2).

1. ТЕХНИЧЕСКИЕ ТРЕБОВАНИЯ

1.1. Сернокислый свинец (II) должен быть изготовлен в соответствии с требованиями настоящего стандарта по технологическому регламенту, утвержденному в установленном порядке.

1.2. По химическим показателям Сернокислый свинец (II) должен соответствовать нормам, указанным в таблице.

Наименование показателя 

Норма

Химически чистый (х.ч.) 

Чистый для анализа (ч.д.а.) 

Чистый (ч.)

ОКП 26 2423 0383 03

ОКП 26 2423 0382 04

ОКП 26 2423 0381 05

1. Массовая доля сернокислого свинца (II) (PbSO4), %, не менее

99,5

99,5

99,0

2. Массовая доля растворимых в воде веществ, %, не более

0,05

0,10

0,20

3. Массовая доля нерастворимых в растворе уксуснокислого натрия веществ, %, не более

0,05

0,05

0,10

4. Массовая доля нитратов (NO3), %, не более

0,003

0,010

Не нормируется

5. Массовая доля железа (Fe), %, не более

0,001

0,002

0,005

6. Массовая доля хлоридов (Cl), %, не более

0,001

0,002

0,005



Разд.1. (Измененная редакция, Изм. N 1).

2а. ТРЕБОВАНИЯ БЕЗОПАСНОСТИ

2а.1. Сернокислый свинец (II) относится к веществам 1-го класса опасности (ГОСТ 12.1.007). Предельно допустимая концентрация его в воздухе рабочей зоны производственных помещений в пересчете на свинец - 0,01 мг/м3. Превышение предельно допустимой концентрации может вызывать острые и хронические отравления с поражением жизненно важных органов и систем.

2а.2. При работе с препаратом следует применять индивидуальные средства защиты.

2а.1., 2а.2. (Введены дополнительно, Изм. N 1).

2а.3. Помещения, в которых проводятся работы с препаратом, должны быть оборудованы общей приточно-вытяжной вентиляцией, а места наибольшего пыления - укрытиями с местной вытяжной вентиляцией. Анализ препарата в лаборатории следует проводить в вытяжном шкафу.

(Измененная редакция, Изм. N 2).

2. ПРАВИЛА ПРИЕМКИ

2.1. Правила приемки - по ГОСТ 3885.

3. МЕТОДЫ АНАЛИЗА

3.1а. Общие указания по проведению анализа - по ГОСТ 27025.

Допускается применение других средств измерения с метрологическими характеристиками и оборудования с техническими характеристиками не хуже, а также реактивов по качеству не ниже указанных в настоящем стандарте.

При взвешивании применяют лабораторные весы общего назначения типов ВЛР-200 и ВЛКТ-500г-М или ВЛЭ-200 г.

3.1. Пробы отбирают по ГОСТ 3885. Масса средней пробы не должна быть менее 40 г. Препарат перед определением пробы предварительно измельчают в фарфоровой ступке (ГОСТ 9147).

3.1а, 3.1. (Измененная редакция, Изм. N 2).

3.2. Определение массовой доли сернокислого свинца (II) проводят по ГОСТ 10398 (п.4.17). 

При этом около 0,4500 г препарата помещают в коническую колбу вместимостью 250 см3, растворяют при нагревании в 30 см3 буферного раствора II, прибавляют 70 см3 воды, 1 см3 ксиленолового оранжевого и далее определение проводят комплексонометрическим методом.

Масса сернокислого свинца (II), соответствующая 1 см3 раствора трилона Б концентрации точно c(ди-Na-ЭДТА)=0,05 моль/дм3 (0,05 М), равна 0,01516 г.

Одновременно проводят контрольный опыт с 30 см3 буферного раствора II в тех же условиях. После прибавления ксиленолового оранжевого прибавляют из бюретки (6-2-5 или 7-2-10 по НТД) раствор уксуснокислого свинца концентрации точно 0,05 моль/дм3 до перехода желтой окраски раствора в фиолетово-красную.

При необходимости в результат анализа вводят поправку на контрольное титрование.

Раствор уксуснокислого свинца концентрации c(Pb(CH3CoO)2)=0,05 моль/дм3 готовят следующим образом: 18,97 г уксуснокислого свинца по ГОСТ 1027 растворяют в воде по ГОСТ 6709, прибавляют 5 см3 ледяной уксусной кислоты по ГОСТ 61 и доводят объем раствора водой до 1 дм3.

Поправочный коэффициент раствора уксуснокислого свинца концентрации 0,05 моль/дм3 определяют следующим образом: 25 см3 приготовленного раствора уксуснокислого свинца, отмеренного бюреткой, помещают в коническую колбу вместимостью 250 см3, прибавляют 70 см3 воды, 5 см3 буферного раствора II, 1 смраствора ксиленолового оранжевого и титруют раствором ди-Na-ЭДТА концентрации точно 0,05 моль/дм3 до перехода фиолетово-красной окраски раствора в лимонно-желтую.

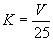
Поправочный коэффициент (K) для раствора уксуснокислого свинца концентрации 0,05 моль/дм3 вычисляют по формуле где V - объем раствора ди-Na-ЭДТА концентрации точно 0,05 моль/дм3, израсходованный на титрование, см3.
За результат анализа принимают среднее арифметическое результатов двух параллельных определений, абсолютное расхождение между которыми не превышает допускаемое расхождение, равное 0,2 %.

Допускаемая абсолютная суммарная погрешность результата анализа ±0,4% при доверительной вероятности  P=0,95.

(Измененная редакция, Изм. N 1, 2).

3.2.1-3.2.3. (Исключены, Изм. N 1).

3.3. Определение массовой доли растворимых в воде веществ

3.3.1. Посуда, реактивы

Стакан B(H)-1-100 по ГОСТ 25336.

Цилиндр 1(3)-50 по ГОСТ 1770.

Чашка выпарительная 2 по ГОСТ 9147 или чашка из платины по ГОСТ 6563.

Вода дистиллированная по ГОСТ 6709.

3.3.2. Проведение анализа

2,00 г препарата помещают в стакан (с меткой на 40 см3), прибавляют 40 см3 воды, кипятят в течение 2-3 мин, доводят объем раствора водой до метки и перемешивают. После охлаждения раствор фильтруют через обеззоленный фильтр "синяя лента", предварительно промытый горячей водой, собирая фильтрат в платиновую или выпарительную чашку, прокаленную до постоянной массы и взвешенную (результат взвешивания в граммах записывают с точностью до четвертого десятичного знака). Содержимое чашки выпаривают на водяной бане досуха, остаток прокаливают в муфельной печи при 700-800 °С до постоянной массы.

Препарат считают соответствующим требованиям настоящего стандарта, если масса остатка после прокаливания не будет превышать:

для препарата химически чистый - 1 мг;

для препарата чистый для анализа - 2 мг;

для препарата чистый - 4 мг.

За результат анализа принимают среднее арифметическое результатов двух параллельных определений, относительное расхождение между которыми не превышает допускаемое расхождение, равное 30% для препарата "химически чистый", 20% - для препаратов "чистый для анализа" и "чистый".

Допускаемая относительная суммарная погрешность результата анализа ±45% для препаратов "химически чистый" и "чистый для анализа" и ±15% для препарата "чистый" при доверительной вероятности  P=0,95.

3.3-3.3.2. (Измененная редакция, Изм. N 2).

3.4. Определение массовой доли не растворимых в растворе уксуснокислого натрия веществ

3.4.1. Реактивы, растворы и посуда 

Вода дистиллированная по ГОСТ 6709.

Кислота уксусная по ГОСТ 61, х.ч., ледяная.

Натрий уксуснокислый по ГОСТ 199, раствор с массовой долей 30% (на 100 см3 раствора прибавляют 2,5 см3 уксусной кислоты и фильтруют). 

Пипетка 6(7)-2-5(10) по НТД. 

Стакан B(H)-1-400 по ГОСТ 25336. 

Цилиндр 1(3)-250 по ГОСТ 1770. 

Тигель фильтрующий ТФ ПОР10 или ТФ ПОР16 по ГОСТ 25336.

3.4.2. Проведение анализа

2,00 г препарата помещают в стакан и растворяют при нагревании в 200 см3 горячего раствора уксуснокислого натрия. Раствор выдерживают на водяной бане в течение 30 мин и фильтруют через фильтрующий тигель, предварительно высушенный до постоянной массы и взвешенный (результат взвешивания записывают в граммах с точностью до четвертого десятичного знака). Остаток на фильтре промывают 100 см3 горячей воды и сушат в сушильном шкафу при 105-110 °С до постоянной массы.

Препарат считают соответствующим требованиям настоящего стандарта, если масса остатка после высушивания не будет превышать:

для препарата химически чистый - 1 мг;

для препарата чистый для анализа - 1 мг;

для препарата чистый - 2 мг.

За результат анализа принимают среднее арифметическое результатов двух параллельных определений, относительное расхождение между которыми не превышает допускаемое расхождение, равное 30% для препаратов "химически чистый" и "чистый для анализа" и 25% - для препарата "чистый".

Допускаемая относительная суммарная погрешность результата анализа ±45% при доверительной вероятности  P=0,95.

3.4.1, 3.4.2. (Измененная редакция, Изм. N 2).

3.5. Определение массовой доли нитратов проводят по ГОСТ 10671.2.

При этом 2,50 г препарата помещают в мерную колбу по ГОСТ 1770 вместимостью 50 см3, прибавляют 30-40 см3 воды, энергично взбалтывают в течение 5 мин, доводят объем раствора водой до метки, перемешивают, дают осадку осесть и фильтруют через обеззоленный фильтр "синяя лента", промытый горячей водой, отбрасывая первую порцию фильтрата.

6 см3 фильтрата (соответствуют 0,3 г препарата) помещают пипеткой в коническую колбу вместимостью 50 см3, прибавляют пипеткой 4 см3 дистиллированной воды и далее определение проводят методом с применением индигокармина.

Препарат считают соответствующим требованиям настоящего стандарта, если через 5 мин окраска анализируемого раствора не будет слабее окраски раствора, приготовленного одновременно с анализируемым и содержащего в таком же объеме:

для препарата химически чистый - 0,009 мг NO3,

для препарата чистый для анализа - 0,030 мг NO3,

1 см3 раствора хлористого натрия, 1 см3 раствора индигокармина и 12 смконцентрированной серной кислоты.

(Измененная редакция, Изм. N 1, 2).

3.5.1, 3.5.2. (Исключены, Изм. N 1).

3.6. Определение массовой доли железа проводят по ГОСТ 10555. При этом 2,50 г препарата помещают в стакан по ГОСТ 25336 вместимостью 100 см3, прибавляют 45 см3 воды, 2,5 смраствора азотной кислоты, нагревают до кипения и кипятят в течение 3 мин. Содержимое стакана охлаждают и переводят в мерную колбу по ГОСТ 1770 вместимостью 100 см3, доводят объем водой до метки, перемешивают, дают отстояться и фильтруют через обеззоленный фильтр «синяя лента», тщательно промытый горячей водой, отбрасывая первые порции фильтрата. Фильтрат собирают в коническую колбу вместимостью 100 см3 и сохраняют для определения содержания хлоридов по п.3.7.

Далее определение проводят роданидным методом с предварительным окислением железа азотной кислотой, взяв 20 см3 полученного фильтрата (соответствуют 0,5 г препарата).

Препарат считают соответствующим требованиям настоящего стандарта, если масса железа не будет превышать:

для препарата химически чистый - 0,005 мг;

для препарата чистый для анализа - 0,010 мг;

для препарата чистый - 0,025 мг.

Допускается заканчивать определение визуально.

При разногласиях в оценке массовой доли железа анализ заканчивают фотометрически.

3.7. Определение массовой доли хлоридов проводят по ГОСТ 10671.7 фототурбидиметрическим (способ 2) или визуально-нефелометрическим (способ 2, в объеме 43 см3 вместо 40 см3) методом, взяв цилиндром (1-50 по ГОСТ 1770) 40 см3 фильтрата, полученного по п.3.6 (соответствуют 1 г препарата).

Препарат считают соответствующим требованиям настоящего стандарта, если масса хлоридов не будет превышать:

для препарата химически чистый - 0,01 мг;

для препарата чистый для анализа - 0,02 мг;

для препарата чистый - 0,05 мг.

При разногласиях в оценке массовой доли хлоридов анализ проводят фототурбидиметрическим методом.

3.6, 3.7. (Измененная редакция, Изм. N 1, 2). 

4. УПАКОВКА, МАРКИРОВКА, ТРАНСПОРТИРОВАНИЕ И ХРАНЕНИЕ

4.1. Продукт упаковывают и маркируют в соответствии с ГОСТ 3885

Вид и тип тары: 2-1, 2-2, 2-4, 2-9.

Группа фасовки: III, IV, V.

На тару наносят знаки опасности по ГОСТ 19433 (класс 6, подкласс 6.1, черт. 6а, классификационный шифр 6161).

(Измененная редакция, Изм. N 1, 2).

4.2. Продукт перевозят всеми видами транспорта в соответствии с правилами перевозок грузов, действующими на соответствующем виде транспорта.

4.3. (Исключен, Изм. N 1).

4.4. Продукт хранят в упаковке изготовителя в крытых складских помещениях, вентилируемых и отапливаемых в зимнее время.

5. ГАРАНТИИ ИЗГОТОВИТЕЛЯ

5.1. Изготовитель гарантирует соответствие сернокислого свинца (II) требованиям настоящего стандарта при соблюдении условий хранения и транспортирования.

5.2. Гарантийный срок хранения - два года со дня изготовления. 

Разд.5. (Измененная редакция, Изм. N 1).

Разд.6. (Исключен, Изм. N 1).



официальное издание 
М.: ИПК Издательство стандартов, 1999