Спирт этиловый синтетический технический и денатурированный ГОСТ Р 52574-2006
Спирт этиловый синтетический технический и денатурированный. Технические условия (с Поправкой, с Изменениями N 1, 2, с Поправкой) ГОСТ Р 52574-2006
ГОСТ Р 52574-2006
Группа Л25
НАЦИОНАЛЬНЫЙ СТАНДАРТ РОССИЙСКОЙ ФЕДЕРАЦИИ
СПИРТ ЭТИЛОВЫЙ СИНТЕТИЧЕСКИЙ ТЕХНИЧЕСКИЙ И ДЕНАТУРИРОВАННЫЙ
Технические условия
Technical and denatured synthetic ethyl alcohol. Specifications
ОКС 71.080.60
ОКП 24 2121
Дата введения 2007-07-01
Предисловие
1 РАЗРАБОТАН Открытым акционерным обществом "Государственный научно-исследовательский институт биосинтеза белковых веществ" (ОАО "ГОСНИИСИНТЕЗБЕЛОК")
2 ВНЕСЕН Техническим комитетом по стандартизации ТК 326 "Биотехнологическая продукция немедицинского назначения"
3 УТВЕРЖДЕН И ВВЕДЕН В ДЕЙСТВИЕ Приказом Федерального агентства по техническому регулированию и метрологии от 29 сентября 2006 г. N 217-ст
4 ВВЕДЕН ВПЕРВЫЕ
5 ИЗДАНИЕ (май 2018 г.) с Изменениями N 1, N 2 (ИУС 6-2011, 2-2018), Поправкой (ИУС 2-2007)
Изменение N 1 утверждено и введено в действие Приказом Федерального агентства по техническому регулированию и метрологии от 22.03.2011 N 34-ст
Изменение N 2 утверждено и введено в действие Приказом Федерального агентства по техническому регулированию и метрологии от 03.11.2017 N 1641-ст
Правила применения настоящего стандарта установлены в статье 26 Федерального закона от 29 июня 2015 г. N 162-ФЗ "О стандартизации в Российской Федерации". Информация об изменениях к настоящему стандарту публикуется в ежегодном (по состоянию на 1 января текущего года) информационном указателе "Национальные стандарты", а официальный текст изменений и поправок - в ежемесячном информационном указателе "Национальные стандарты". В случае пересмотра (замены) или отмены настоящего стандарта соответствующее уведомление будет опубликовано в ближайшем выпуске ежемесячного информационного указателя "Национальные стандарты". Соответствующая информация, уведомление и тексты размещаются также в информационной системе общего пользования - на официальном сайте Федерального агентства по техническому регулированию и метрологии в сети Интернет.
ВНЕСЕНА поправка, опубликованная в ИУС N 9, 2018 год
Поправка внесена изготовителем базы данных
1 Область применения
Настоящий стандарт распространяется на технический и денатурированный технический синтетический Этиловый спирт, предназначенный для использования в качестве растворителя в различных отраслях промышленности, для изготовления различной химической продукции, в качестве сырья для получения ректификованных, денатурированных спиртов, а также для поставки на экспорт.
Спирт этиловый синтетический технический получают гидратацией этилена в присутствии катализатора.
Денатурированный спирт в качестве денатурирующей добавки содержит кротоновый альдегид или денатониум бензоат (битрекс).
Формула: C2H5OH
Относительная молекулярная масса (по международным атомным массам 2003 г.) - 46,07.
Поставка и оборот спирта, предназначенного на экспорт, на территории Российской Федерации не допускается.
Раздел 1. (Измененная редакция, Изм. N 1).
(Поправка. ИУС N 9-2018).
2 Нормативные ссылки
В настоящем стандарте использованы нормативные ссылки на следующие стандарты:
ГОСТ 12.1.004-91 Система стандартов безопасности труда. Пожарная безопасность. Общие требования
ГОСТ 12.1.007-76 Система стандартов безопасности труда. Вредные вещества. Классификация и общие требования безопасности
ГОСТ 12.1.010-76 Система стандартов безопасности труда. Взрывобезопасность. Общие требования
ГОСТ 12.1.018-93 Система стандартов безопасности труда. Пожаровзрывобезопасность статического электричества. Общие требования
ГОСТ 12.1.044-89 (ИСО 4589-84) Система стандартов безопасности труда. Пожаровзрывоопасность веществ и материалов. Номенклатура показателей и методы их определения
ГОСТ 12.4.011-89 Система стандартов безопасности труда. Средства защиты работающих. Общие требования и классификация
ГОСТ 12.4.021-75 Система стандартов безопасности труда. Системы вентиляционные. Общие требования
ГОСТ 12.4.026-2015 Система стандартов безопасности труда. Цвета сигнальные, знаки безопасности и разметка сигнальная. Назначение и правила применения. Общие технические требования и характеристики. Методы испытаний
ГОСТ 12.4.121-2015 Система стандартов безопасности труда. Средства индивидуальной защиты органов дыхания. Противогазы фильтрующие. Общие технические условия
ГОСТ 12.4.296-2015 Система стандартов безопасности труда. Средства индивидуальной защиты органов дыхания. Респираторы фильтрующие. Общие технические условия
ГОСТ 245-76 Реактивы. Натрий фосфорнокислый однозамещенный 2-водный. Технические условия
ГОСТ 427-75 Линейки измерительные металлические. Технические условия
ГОСТ 1770-74 Посуда мерная лабораторная стеклянная. Цилиндры, мензурки, колбы, пробирки. Общие технические условия
ГОСТ 2517-2012 Нефть и нефтепродукты. Методы отбора проб
ГОСТ 3022-80 Водород технический. Технические условия
ГОСТ 3118-77 Реактивы. кислота соляная. Технические условия
ГОСТ 3639-79 Растворы водно-спиртовые. Методы определения концентрации этилового спирта
ГОСТ 6247-79 Бочки стальные сварные с обручами катания на корпусе. Технические условия
ГОСТ 6709-72-->ГОСТ 6709-72 Вода дистиллированная. Технические условия
ГОСТ 9147-80 Посуда и оборудование лабораторные фарфоровые. Технические условия
ГОСТ 9293-74 (ИСО 2435-73) Азот газообразный и жидкий. Технические условия
ГОСТ 9968-86 Метилен хлористый технический. Технические условия
ГОСТ 13950-91 Бочки стальные сварные и закатные с гофрами на корпусе. Технические условия
ГОСТ 14192-96 Маркировка грузов
ГОСТ 14870-77 Продукты химические. Методы определения воды
ГОСТ 17366-80 Бочки стальные сварные толстостенные для химических продуктов. Технические условия
ГОСТ 18995.1-73 Продукты химические жидкие. Методы определения плотности
ГОСТ 19433-88 Грузы опасные. Классификация и маркировка
ГОСТ 21029-75 Бочки алюминиевые для химических продуктов. Технические условия
ГОСТ 22967-90 Шприцы медицинские инъекционные многократного применения. Общие технические требования и методы испытаний
ГОСТ 25336-82 Посуда и оборудование лабораторные стеклянные. Типы, основные параметры и размеры
ГОСТ 25706-83 Лупы. Типы, основные параметры. Общие технические требования
ГОСТ 26319-84 Грузы опасные. Упаковка
ГОСТ 26663-85 Пакеты транспортные. Формирование с применением средств пакетирования. Общие технические требования
ГОСТ 29169-91 (ИСО 648-77) Посуда лабораторная стеклянная. Пипетки с одной отметкой
ГОСТ 29227-91 (ИСО 835-1-81) Посуда лабораторная стеклянная. Пипетки градуированные. Часть 1. Общие требования
ГОСТ 30536-2013 Водка и спирт этиловый из пищевого сырья. Газохроматографический экспресс-метод определения содержания токсичных микропримесей
ГОСТ 30852.5-2002 (МЭК 60079-4:1975) Электрооборудование взрывозащищенное. Часть 4. Метод определения температуры самовоспламенения
ГОСТ 30852.11-2002 (МЭК 60079-12:1978) Электрооборудование взрывозащищенное. Часть 12. Классификация смесей газов и паров с воздухом по безопасным экспериментальным максимальным зазорам и минимальным воспламеняющим токам
ГОСТ 31340-2013 Предупредительная маркировка химической продукции. Общие требования
ГОСТ 31497-2012 Спирт этиловый. Спектрофотометрический метод определения содержания денатурирующих добавок (битрекса, керосина, бензина)
ГОСТ Р 8.563-2009 Государственная система обеспечения единства измерений. Методики (методы) измерений
ГОСТ Р ИСО 5725-1-2002 Точность (правильность и прецизионность) методов и результатов измерений. Часть 1. Основные положения и определения
ГОСТ Р ИСО 5725-6-2002 Точность (правильность и прецизионность) методов и результатов измерений. Часть 6. Использование значений точности на практике
ГОСТ ИСО/МЭК 17025-2009 Общие требования к компетентности испытательных и калибровочных лабораторий
ГОСТ Р 57251-2016 Спирт этиловый технический. Правила приемки и методы анализа
Примечание - При пользовании настоящим стандартом целесообразно проверить действие ссылочных стандартов в информационной системе общего пользования - на официальном сайте Федерального агентства по техническому регулированию и метрологии в сети Интернет или по ежегодному информационному указателю "Национальные стандарты", который опубликован по состоянию на 1 января текущего года, и по выпускам ежемесячного информационного указателя "Национальные стандарты" за текущий год. Если ссылочный стандарт заменен (изменен), то при пользовании настоящим стандартом следует руководствоваться заменяющим (измененным) стандартом. Если ссылочный стандарт отменен без замены, то положение, в котором дана ссылка на него, применяется в части, не затрагивающей эту ссылку.
Раздел 2. (Измененная редакция, Изм. N 2).
3 Технические требования
3.1 Спирт изготовляют в соответствии с требованиями настоящего стандарта по технологическому регламенту, утвержденному в установленном порядке.
3.1.1 Спирт этиловый синтетический технический денатурированный вырабатывают двух марок А и Б:
А - спирт этиловый синтетический технический денатурированный, получаемый денатурацией спирта этилового синтетического технического кротоновым альдегидом или битрексом;
Б - спирт этиловый синтетический технический денатурированный, получаемый денатурацией спирта этилового синтетического технического абсолютированного кротоновым альдегидом или битрексом.
3.2 По физико-химическим показателям спирт должен соответствовать требованиям и нормам, указанным в таблице 1.
Таблица 1
|
Наименование показателя |
Норма |
Метод анализа |
||
|
Спирт этиловый синтетический технический ОКП 24 2121 |
Спирт этиловый синтетический технический денатурированный ОКП 24 2105 |
|||
|
Марка А |
Марка Б |
|||
|
1 Внешний вид |
Бесцветная прозрачная жидкость без механических примесей |
По 7.3 |
||
|
2 Объемная доля этилового спирта, %, не менее |
92,5 |
92,5 |
99,0 |
По 7.4 |
|
3 Массовая концентрация кислот в пересчете на уксусную кислоту, мг/дм3, не более |
7 |
По 7.5 |
||
|
4 Объемная доля уксусного альдегида, %, не более |
0,7 |
По 7.6 |
||
|
5 Объемная доля кротонового альдегида, % |
Не более 0,15 |
Не менее 0,2 |
По 7.6 |
|
|
6 Объемная доля диэтилового эфира, %, не более |
1,0 |
По 7.6 |
||
|
7 Массовая концентрация сухого остатка, мг/дм3, не более |
5 |
По 7.7 |
||
|
8 Массовая доля битрекса, %, не менее |
- |
0,0015 |
По 7.8 и 7.9 |
|
3.2.1 При денатурации технического синтетического этилового спирта битрексом объемная доля кротонового альдегида должна быть не более 0,2%.
3.2.2 При производстве технического синтетического этилового спирта, поставляемого на экспорт, допускается добавлять Ацетон не более 5,0% и/или спирт бутиловый третичный не более 1,0% и/или изопропиловый спирт не более 7,0% в соответствии со спецификацией к договору. При наличии в техническом синтетическом этиловом спирте ацетона, и/или спирта бутилового третичного и/или спирта изопропилового допускается снижение нормы по показателю 2 до 85,0%.
При производстве технического синтетического этилового спирта, поставляемого на экспорт с добавлением метилэтилкетона и изопропилового спирта, допускается добавлять на 100 литров абсолютного этилового спирта: 1,0 л изопропилового спирта (1% об.); 1,0 л метилэтилкетона (1% об.) и 1,0 г (не менее 0,00127% масс.) денатониум бензоата в соответствии со спецификацией к договору. При наличии в техническом синтетическом этиловом спирте изопропилового спирта и метилэтилкетона допускается снижение нормы по показателю 2 до 88% об.
3.2.3 При производстве технического синтетического этилового денатурированного спирта марок А и Б, поставляемого на экспорт, допускается добавлять Ацетон не более 5,0%, а при производстве спирта марки Б - изопропиловый спирт не более 7,0% в соответствии со спецификацией к договору. При наличии в спирте марок А и Б ацетона допускается снижение нормы по показателю 2 до 88,0%, а при наличии в спирте марки Б спирта изопропилового - снижение нормы по показателю 2 до 92,0%.
При производстве денатурированного технического синтетического этилового спирта марки Б с добавлением метилэтилкетона и изопропилового спирта, поставляемого на экспорт, допускается добавлять на 100 литров абсолютного этилового спирта: 1,0 л изопропилового спирта (1% об.); 1,0 л метилэтилкетона (1% об.) в соответствии со спецификацией к договору. Содержание денатониум бензоата в спирте марки Б соответствует требованиям к спирту, поставляемому на экспорт (не менее 0,0015% масс). При наличии в денатурированном техническом синтетическом этиловом спирте марки Б изопропилового спирта и метилэтилкетона допускается снижение нормы по показателю 2 до 96% об.
3.2.1, 3.2.2. (Измененная редакция, Изм. N 1, 2).
3.3 Маркировка
3.3.1 Транспортная маркировка - по ГОСТ 14192 с нанесением следующих дополнительных данных, характеризующих продукт:
- наименования предприятия-изготовителя и его товарного знака;
- наименования, сорта продукта;
- номера партии;
- объема в декалитрах;
- даты изготовления;
- обозначения настоящего стандарта;
- предупредительная маркировка - по ГОСТ 31340 (см. приложение А).
Способ нанесения надписей - по ГОСТ 14192.
(Измененная редакция, Изм. N 1).
3.3.2 Маркировка, характеризующая транспортную опасность груза, - по ГОСТ 19433.
Спирт относится к классу 3, подклассу 3.2 (знак опасности - по чертежу 3, классификационный шифр 3212). Номер ООН 1170.
3.3.3 Маркировка продукта, поставляемого на экспорт, должна соответствовать требованиям договора поставки или условиям внешнеэкономического контракта с учетом требований настоящего стандарта.
3.4 Упаковка
3.4.1 Спирт заливают в следующую транспортную тару: алюминиевые бочки типа I по ГОСТ 21029; стальные бочки типа I по ГОСТ 6247 и по ГОСТ 17366; стальные или стальные оцинкованные бочки типа 1А1 по ГОСТ 13950.
Вместимость бочек - 85-275 дм3.
Допускается при транспортировании автомобильным транспортом упаковывать спирт в транспортную тару потребителя. Ответственность за сохранность и качество упакованного в нее продукта несет потребитель.
3.4.2 Упаковка продукта, поставляемого на экспорт, должна соответствовать требованиям договора поставки или условиям внешнеэкономического контракта с учетом требований настоящего стандарта.
3.4.3 Коэффициент заполнения транспортной тары - 0,9.
Транспортная тара с продуктом должна быть герметично закупорена, опломбирована или опечатана.
3.4.4 Упаковка должна соответствовать требованиям ГОСТ 26319.
4 Требования безопасности
4.1 Спирт по степени воздействия на организм человека в соответствии с ГОСТ 12.1.007 относится к 4-му классу опасности (малоопасным веществам).
Предельно допустимая концентрация (ПДК) паров этилового спирта в воздухе рабочей зоны - 2000/1000 мг/м3 по [1].
Денатониум бензоат (битрекс) по степени воздействия на организм человека в соответствии с ГОСТ 12.1.007 относится к 3-му классу опасности (вещество умеренно опасное).
Ориентировочные безопасные уровни воздействия (ОБУВ) паров битрекса в воздухе рабочей зоны - 0,01 мг/м3 по [2]. Битрекс раздражает кожу, вызывает ожог глаз и раневых поверхностей, у человека при вдыхании или проглатывании вызывает рвотный рефлекс и чувство сильной горечи.
(Измененная редакция, Изм. N 1, 2).
(Поправка. ИУС N 9-2018).
4.2 Контроль концентрации паров спирта в воздухе рабочей зоны проводят по [3].
Периодичность контроля - по [4].
(Измененная редакция, Изм. N 2).
(Поправка. ИУС N 9-2018).
4.3 Спирт обладает наркотическим действием, вызывает сухость кожи, пары спирта раздражают слизистые оболочки глаз и верхних дыхательных путей. Кумулятивными и кожно-резорбтивными свойствами спирт не обладает.
4.4 Спирт в воздушной среде, сточных водах и в присутствии других веществ или факторов, а также при высоких температурах (в условиях пожара) токсичных соединений не образует, в химическое взаимодействие с кислородом воздуха при обычных условиях не вступает.
4.5 Индивидуальные средства защиты: защитные очки, перчатки, спецодежда в соответствии с типовыми отраслевыми нормами, утвержденными в установленном порядке, и требованиями ГОСТ 12.4.011; респираторы по ГОСТ 12.4.296; в замкнутых пространствах - изолирующий шланговый противогаз ПШ-1 или ПШ-2, в аварийных ситуациях - фильтрующий промышленный противогаз типа I марки А или БКФ по ГОСТ 12.4.121.
(Измененная редакция, Изм. N 2).
4.6 Этиловый спирт - легковоспламеняющаяся жидкость.
Температура вспышки технического и денатурированного спиртов - 14°С, температура самовоспламенения - 403°С. Концентрационные пределы распространения пламени (воспламенения), % об.: нижний - 3,6; верхний - 17,7.
Температурные пределы распространения пламени (воспламенения), °С: нижний - 11; верхний - 41.
Показатели пожаровзрывоопасности определены по ГОСТ 12.1.044.
Битрекс взрывобезопасен, не горюч, но поддерживает горение.
(Измененная редакция, Изм. N 1).
4.7 При пожаре для тушения применяют следующие вещества и материалы: пену, порошок ПСБ, двуокись углерода, распыленную воду, песок; в помещениях - объемное тушение.
4.8 При работе с продуктом, отборе проб, сливно-наливных операциях следует соблюдать требования электростатической искробезопасности по ГОСТ 12.1.018.
4.9 В производственных помещениях должны быть предусмотрены следующие меры предосторожности: герметизация оборудования и аппаратов, общеобменная приточно-вытяжная и местная вентиляции в соответствии с требованиями ГОСТ 12.4.021.
Электрооборудование и освещение должны быть во взрывозащищенном исполнении, оборудование и трубопроводы - заземлены.
Следует использовать следующие знаки безопасности по ГОСТ Р 12.4.026: запрещающий знак Р02 "Запрещается пользоваться открытым огнем и курить"; предупредительный знак W01 "Пожароопасно. Легковоспламеняющиеся вещества".
4.10 Пожаровзрывобезопасность при производстве спирта следует обеспечивать в соответствии с требованиями ГОСТ 12.1.004 и ГОСТ 12.1.010.
Категория взрывоопасности смеси паров этилового спирта с воздухом - IIA по ГОСТ 30852.11, группа взрывоопасных смесей - Т2 по ГОСТ 30852.5.
Довзрывоопасную концентрацию в помещениях определяют с помощью автоматических стационарных сигнализаторов.
В соответствии с требованиями пожарной безопасности по совместному хранению материалов и веществ (см. ГОСТ 12.1.004, приложение 7) спирт относится к разряду опасных веществ категории 321.
(Измененная редакция, Изм. N 2).
4.11 При производстве спирта и работе с ним следует соблюдать санитарные правила и правила по технике безопасности, принятые при работе с легковоспламеняющимися химическими веществами, а также требования, предусмотренные ГОСТ 12.1.007.
5 Требования охраны окружающей среды
5.1 Во избежание попадания спирта в окружающую среду необходимо использовать в технологическом процессе производства герметичное оборудование и трубопроводы.
5.2 ПДК паров этилового спирта в атмосферном воздухе населенных мест - 5 мг/м3 (4-й класс опасности) [5].
Контроль воздушной среды проводят по методикам, утвержденным в установленном порядке или согласованным с органами санитарного надзора.
5.3 Спирт полностью используют, утилизация не требуется.
6 Правила приемки
6.1 Спирт принимают партиями. Партией считают любое количество однородного по своим показателям качества спирта, сопровождаемое одним документом о качестве.
При отгрузке продукта в железнодорожных цистернах и автоцистернах партией считают каждую цистерну.
6.2 Документ о качестве должен содержать:
- наименование предприятия-изготовителя, его товарный знак и юридический адрес; наименование страны-изготовителя;
- наименование, сорт;
- номер партии, количество мест в партии, их номера;
- объем в декалитрах;
- дату изготовления;
- результаты проведенных анализов или подтверждение о соответствии качества продукта требованиям настоящего стандарта;
- обозначение настоящего стандарта.
6.3 При поставке продукта на экспорт документ о качестве оформляют в соответствии с требованиями договора поставки или условиями внешнеэкономического контракта.
6.4 Объем выборки продукта, упакованного в транспортную тару, - 10% от партии, но не менее трех упаковочных единиц.
При отгрузке спирта в железнодорожных цистернах и автоцистернах проверке подвергают каждую цистерну.
Допускается изготовителю отбирать пробу из товарного резервуара.
6.5 Массовую концентрацию сухого остатка изготовитель определяет по требованию потребителя.
6.6 При получении неудовлетворительных результатов анализа спирта хотя бы по одному из показателей по нему проводят повторный анализ на удвоенной выборке или вновь отобранной пробе из цистерны или товарного резервуара той же партии. Результаты повторного анализа распространяют на всю партию.
7 Методы анализа
7.1 Отбор проб - по ГОСТ 2517.
Из товарного резервуара отбирают не менее трех точечных проб с помощью пробоотборного крана. При отсутствии пробоотборного крана пробы отбирают так же, как из цистерны.
7.2 Общие указания
Допускается применять другие средства измерений с метрологическими характеристиками и оборудование с техническими характеристиками не хуже, а также реактивы по качеству не ниже, чем в предусмотренных настоящим стандартом методах анализа.
7.3 Внешний вид и цвет спирта определяют визуально в светлом хорошо проветриваемом помещении. Спирт наливают в цилиндр по ГОСТ 1770 или пробирку из бесцветного стекла по ГОСТ 25336 высотой 15 см и сравнивают его с дистиллированной водой по ГОСТ 6709, налитой в такой же цилиндр или пробирку. Содержимое рассматривают сверху вниз по оси сосудов на белом фоне при дневном свете. Одновременно определяют наличие механических примесей.
7.4 Определение объемной доли этилового спирта - по ГОСТ 3639 (раздел 2).
При добавлении к техническому синтетическому этиловому спирту или денатурированному техническому синтетическому этиловому спирту марки Б одного или нескольких компонентов (ацетона, или спирта бутилового третичного, или изопропилового спирта, или метилэтилкетона) объемную долю этилового спирта (Xc), %, определяют по формуле (1а)
где
- сумма объемных долей нормируемых примесей и добавляемых компонентов, %;
Xв - объемная доля воды в анализируемом продукте, %, вычисляемая по формуле (1б)
где X`в - массовая доля воды, определяемая по ГОСТ 14870, раздел 2, %;
p - плотность анализируемого продукта, определяемая по ГОСТ 18995.1, г/см3.
Определение ацетона, спирта бутилового третичного, спирта изопропилового и метилэтилкетона проводят по аттестованным методикам [6]*, [7].
________________
* Поз. [6]-[8] см. раздел Библиография, здесь и далее по тексту. - Примечание изготовителя базы данных.
(Измененная редакция, Изм. N 2).
7.5 Определение массовой концентрации кислот в пересчете на уксусную кислоту - по ГОСТ Р 57251.
7.6 Определение объемной доли уксусного альдегида, кротонового альдегида и диэтилового эфира
Определение проводят методом газовой хроматографии на хроматографе с пламенно-ионизационным детектором с применением "внутреннего эталона".
7.6.1 Аппаратура, посуда и реактивы
Хроматограф газовый с пламенно-ионизационным детектором с пределом детектирования не более 5·10-12 г/с.
Весы неавтоматического действия, обеспечивающие для навесок массой от 0,05 до 200 г относительную погрешность измерения не более ±1%.
Линейка измерительная по ГОСТ 427.
Шприц медицинский вместимостью 1 см3 по ГОСТ 22967.
Секундомер механический.
Лупа измерительная по ГОСТ 25706 или микроскоп измерительный.
Микрошприц типа МШ или микрошприц фирм Hewlett Packard, Agilent Technologies вместимостью 1 или 10 мм3.
Колонка хроматографическая из нержавеющей стали или стекла длиной 3-5 м, диаметром 3-4 мм. Допускается применение капиллярных колонок с техническими характеристиками, обеспечивающими разделение, аналогичное приведенному на рисунке 1.

1 - диэтиловый эфир; 2 - н-октан - "внутренний эталон"; 3 - уксусный альдегид; 4 - Этиловый спирт; 5 - кротоновый альдегид
Рисунок 1 - Типовая хроматограмма градуировочной смеси
Стакан Н-1-10 по ГОСТ 25336.
Цилиндр 1-50-2 или 1-100-2 по ГОСТ 1770.
Чашка фарфоровая выпарительная N 4 или 5 по ГОСТ 9147.
Баня водяная.
Склянка для отбора и приготовления искусственных смесей любого типа с пробкой, обеспечивающей герметичность и имеющей резиновую мембрану.
Носитель твердый: динохром Н, хроматон N или другие диатомитовые носители с частицами размером 0,16-0,50 мм.
Фаза неподвижная: диглицерин и полидиэтиленгликольсукцинат.
Газ-носитель: азот по ГОСТ 9293 особой чистоты или 1-го сорта повышенной чистоты или гелий газообразный очищенный марки А или Б.
Водород технический по ГОСТ 3022 марки А или водород от генератора водорода.
Воздух сжатый в баллоне. Допускается использовать компрессоры любого типа, обеспечивающие необходимое давление и чистоту воздуха согласно инструкции по эксплуатации газового хроматографа.
н-Октан для хроматографии ("внутренний эталон").
Метилен хлористый (дихлорметан) для хроматографии или по ГОСТ 9968, высшего сорта.
Спирт этиловый технический ректификованный с объемной долей основного вещества не менее 96,2%.
Эфир этиловый технический с массовой долей основного вещества не менее 90% или эфир диэтиловый (серный) марки ЭМ или ЭП.
Альдегид уксусный технический с массовой долей основного вещества не менее 99,6%.
Альдегид кротоновый с массовой долей основного вещества не менее 98%.
(Поправка. ИУС N 9-2018).
7.6.2 Подготовка к анализу
7.6.2.1 Монтаж, наладку и вывод хроматографа на рабочий режим проводят в соответствии с инструкцией, прилагаемой к прибору.
7.6.2.2 Приготовление сорбента и стабилизация насадочной колонки
Для анализа готовят смешанный сорбент, состоящий из 25% носителя с нанесенным на него диглицерином и 75% носителя с нанесенным на него полидиэтиленгликольсукцинатом.
В стакане взвешивают диглицерин в количестве 20% массы твердого носителя и растворяют его в смеси этилового спирта и воды (4:1 по объему). Затем в таком же стакане взвешивают полидиэтиленгликольсукцинат в количестве 20% массы твердого носителя и растворяют его в хлористом метилене. Результаты всех взвешиваний в граммах записывают с точностью до второго десятичного знака.
Объем растворителя должен быть примерно равным, но не превышающим объем твердого носителя. Носитель в чашках заливают раствором жидкой фазы. Содержимое чашек тщательно перемешивают, чашки переносят на водяную баню и, не переставая перемешивать содержимое, испаряют растворитель под тягой. Стаканы ополаскивают соответствующим растворителем, который сливают в те же чашки.
Приготовленные сорбенты смешивают в вышеуказанном соотношении и заполняют колонку.
Заполненную сорбентом колонку помещают в термостат хроматографа и, не подсоединяя ее к детектору, продувают газом-носителем с объемным расходом 25-35 см3/мин при температуре от 60°С до 75°С до тех пор, пока не установится стабильная нулевая линия при максимальной чувствительности прибора.
7.6.3 Условия хроматографического анализа
7.6.3.1 Измерения выполняют при следующих режимных параметрах хроматографа:
Чувствительность регистрирующего устройства устанавливают так, чтобы при массовой доле кротонового альдегида 0,1% высота пика была не менее 25 мм.
Допускается проведение анализа при других условиях хроматографирования, в том числе с программированием температуры, обеспечивающих аналогичное разделение компонентов и последовательность выхода компонентов, аналогичную приведенной на рисунке 1.
7.6.3.2 Градуировка хроматографа
Прибор градуируют по трем градуировочным смесям с применением "внутреннего эталона", в качестве которого используют н-октан.
Состав градуировочных смесей должен быть близким к анализируемой пробе спирта по нормируемым показателям.
Для приготовления градуировочных смесей во взвешенную склянку цилиндром наливают 30 см3 технического ректификованного спирта, закрывают пробкой и взвешивают. Через мембрану шприцем в склянку последовательно вводят компоненты, по которым градуируют прибор. Первым вводят кротоновый альдегид, затем н-октан, диэтиловый эфир и уксусный альдегид.
Масса навески кротонового альдегида должна быть около 0,05 г; н-октана около 0,08 г; диэтилового эфира и уксусного альдегида около 0,25 и 0,15 г соответственно.
Для каждого компонента используют индивидуальный шприц. Шприцы, которыми вводят диэтиловый эфир и уксусный альдегид, охлаждают в морозильной камере холодильника. После введения каждого компонента проводят взвешивание. Результаты всех взвешиваний в граммах записывают с точностью до четвертого десятичного знака.
Перед введением пробы в хроматограф шприц три раза промывают приготовленной смесью.
Каждую градуировочную смесь хроматографируют не менее трех раз в условиях повторяемости в соответствии с требованиями ГОСТ Р ИСО 5725-1 при условиях хроматографирования, указанных в 7.6.3.1. Порядок выхода компонентов приведен на рисунке 1.
Градуировочный коэффициент (K`i) каждого определения вычисляют по формуле (1)
где mi - масса определяемого компонента в градуировочной смеси, г;
Sэт - площадь пика "внутреннего эталона", мм2;
mэт - масса "внутреннего эталона" в градуировочной смеси, г;
Si - площадь пика определяемого компонента, мм2.
Площадь пика определяют по 7.6.4.1.
Результат каждого определения вычисляют до третьего десятичного знака и округляют до второго десятичного знака.
За градуировочный коэффициент определяемого компонента (Ki) принимают среднеарифметическое значение результатов всех определений, относительные расхождения между которыми не превышают допускаемое расхождение, равное 20% среднего значения, при доверительной вероятности P=0,95.
Градуировку хроматографа следует проводить не реже чем через 400 анализов.
7.6.3.3 Проведение анализа
В склянку для приготовления смесей, предварительно взвешенную, наливают 25-30 см3 анализируемого спирта, закрывают пробкой и взвешивают. Через мембрану добавляют шприцем около 0,08 г н-октана и снова взвешивают, после этого пробу тщательно перемешивают.
Результаты взвешивания в граммах записывают с точностью до четвертого десятичного знака.
Микрошприцем, предварительно промытым 3-4 раза анализируемой пробой, отбирают 1-2 мм анализируемой пробы, вводят ее в испаритель хроматографа и записывают хроматограмму при режимных параметрах хроматографирования, указанных в 7.6.3.1.
Проводят два параллельных определения в условиях повторяемости в соответствии с требованиями ГОСТ Р ИСО 5725-1.
7.6.4 Обработка результатов
7.6.4.1 Площадь пика вычисляют как произведение высоты пика на его ширину, измеренную на половине высоты, или используют специализированные программы обсчета хроматограмм на компьютере или интеграторе.
Высоту пика измеряют линейкой от основания до вершины, включая ширину линии.
Ширину пика измеряют от внешнего контура одной стороны до внутреннего контура другой стороны с помощью измерительной лупы или измерительного микроскопа.
Результаты измерения записывают с точностью до 0,5 мм для высоты пика и с точностью до 0,1 мм для ширины пика.
Обработку результатов измерений допускается выполнять, используя программное обеспечение входящего в комплект хроматографа персонального компьютера или интегратора, в соответствии с инструкцией по их эксплуатации.
7.6.4.2 Массовую долю каждого определяемого компонента (xi), %, вычисляют по формуле (2)
где Ki - градуировочный коэффициент определяемого компонента;
Si - площадь пика определяемого компонента, мм2;
Sэт - площадь пика "внутреннего эталона", мм2;
m - масса пробы, взятой для анализа, г;
mэт - масса "внутреннего эталона", г.
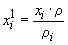
Объемную долю каждого определяемого компонента (xi1), %, вычисляют по формуле (3)
где xi - массовая доля определяемого компонента, %;
p - плотность анализируемого спирта, г/см3;
pi - плотность определяемого компонента, г/см3.
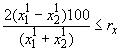
За результат измерений принимают среднеарифметическое значение результатов двух параллельных определений объемной доли каждого компонента, полученных в условиях повторяемости, если выполняется условие приемлемости (4)
где 2 - количество параллельных определений;
x11, x12 - результаты параллельных определений, % об.;
100 - множитель для пересчета в проценты;
rx - значение предела повторяемости определяемого компонента, %.
Значения rx приведены в таблице 2.
Таблица 2
Если условие (4) не выполняется, то выясняют причины превышения значения норматива контроля, устраняют их и повторяют выполнение измерений в соответствии с требованиями 7.6.3.3.
7.6.4.3 Результат анализа в документах, предусматривающих его использование, представляют в виде:
xср, объемная доля, %, P=0,95, 
где xср - среднеарифметическое значение измерений объемной доли определяемых компонентов, признанных приемлемыми, %;
- показатель точности (границы относительной погрешности), %.
Значения
приведены в таблице 2.
7.6.5 Контроль качества результатов измерений при реализации методики в лаборатории
Контроль стабильности измерений в лаборатории осуществляют, используя метод контроля стабильности стандартного отклонения промежуточной прецизионности по ГОСТ Р ИСО 5725-6(6.2.3) с применением контрольных карт Шухарта (пример определения их приведен в ГОСТ 30536, приложение В). При неудовлетворительных результатах контроля: например, при превышении предела действия, а также регулярном превышении предела предупреждения выясняют и устраняют причины этих отклонений.
Периодичность контроля и процедуры контроля стабильности результатов измерений должны быть установлены в руководстве по качеству лаборатории* в соответствии с требованиями ГОСТ ИСО/МЭК 17025 и ГОСТ Р 8.563.
7.6.5.1 Контроль качества результатов измерений, полученных в условиях промежуточной прецизионности
Контроль проводят с использованием рабочих проб. Контроль показателя промежуточной прецизионности проводят дважды, анализируя пробу для контроля (рабочую пробу) в соответствии с 7.6.3 в условиях промежуточной прецизионности с изменяющимися факторами "время", "оператор" (xср1, xср2).
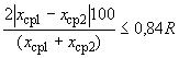
Промежуточную прецизионность признают удовлетворительной, если выполняется условие (5)
где 2 - количество параллельных определений;
xср1, xср2 - среднеарифметические значения результатов двух определений объемной доли компонента в условиях промежуточной прецизионности с изменяющимися факторами "время", "оператор", %;
100 - множитель для пересчета в проценты;
0,84 - коэффициент пересчета предела воспроизводимости и промежуточной прецизионности определяемого компонента в условиях промежуточной прецизионности с изменяющимися факторами "время", "оператор";
R - предел воспроизводимости (для двух результатов анализа).
Значения R приведены в таблице 2.
Если условие (5) не выполняется, процедуру повторяют. При повторном превышении норматива контроля выясняют причины, приводящие к неудовлетворительным результатам, и устраняют их.
7.6.6 Проверка приемлемости результатов измерений в условиях воспроизводимости
Проверку приемлемости результатов измерений в условиях воспроизводимости проводят:
- при возникновении спорных ситуаций между двумя лабораториями;
- проверке совместимости результатов измерений, полученных при сличительных испытаниях (при проведении аккредитации лаборатории и инспекционного контроля).
Для проведения проверки приемлемости результатов в условиях воспроизводимости объем отобранной пробы, направленный в лабораторию для проведения измерений, делят на две части и из каждой части готовят пробу для анализа по 7.6.3.
Предел воспроизводимости признают удовлетворительным, если выполняется условие (6)
где 2 - количество параллельных определений;
xср1, xср2 - результаты определений, полученных в разных лабораториях, % об.;
100 - множитель для пересчета в проценты;
R - значение предела воспроизводимости для двух результатов анализа, полученных в разных лабораториях.
Значения R приведены в таблице 2.
7.7 Определение массовой концентрации сухого остатка - по ГОСТ Р 57251.
7.8 Определение массовой доли битрекса
Определение проводят методом высокоэффективной жидкостной хроматографии (ВЭЖХ) с использованием спектрофотометрического детектора.
7.8.1 Аппаратура, материалы, реактивы, посуда
Хроматограф изократический "Стайер - UV/VS" со спектрофотометрическим детектором (СФД).
Колонка хроматографическая с внутренним диаметром 4 мм длиной 250 мм.
Фаза неподвижная Диасфер - 110-С-18 зернением 5 мкм или "Phenomenex LUNA С18" зернением 5 мкм.
Комплекс программно-аппаратный "МультиХром" ЗАО "Амперсенд" (г.Москва), либо любое другое аттестованное программное обеспечение, позволяющее проводить градуировку и количественное определение методом абсолютной градуировки.
Весы неавтоматического действия, обеспечивающие для навесок массой от 0,05 до 200 г относительную погрешность измерения не более ±1%.
pH-метр микропроцессорный, модель "pH-410" производства "НПКФ АКВИЛОН" (г. Москва).
Микрошприцы вместимостью 100 мкл фирмы "Rheodyne" серия 1700, модель 810.
Фильтры мембранные с размером пор 0,45 мкм, диаметром 13 мм или 47 мм (каталог фирмы ЗАО "БиоХимМак СТ" (г.Москва). Каталожный номер 7.5 А 045.
Комплект для фильтрации образцов НФ-13 с фильтрами (каталог фирмы ЗАО "БиоХимМак СТ" (г. Москва).
Комплект для фильтрации и дегазации растворов с насадкой из политетрафторэтилена (ПТФЭ), колбой вместимостью 500 см и переходником. Каталожный номер 7,5 А 153 (каталог фирмы ЗАО "БиоХимМак СТ" (г. Москва).
Ацетонитрил для жидкостной хроматографии ОП-3, ос.ч. [8].
Вода дистиллированная по ГОСТ 6709.
Битрекс (денатониум бензоат) фирмы Макфарлан Смит Лимитед, или N 30914 (каталог фирмы Sigma-Aldrich 2000 г.), или любой другой фирмы с содержанием основного вещества не менее 99,0%.
Натрий фосфорнокислый однозамещенный 2-водный по ГОСТ 245, х.ч.
кислота соляная по ГОСТ 3118, х.ч.
Натрия додецилсульфат, х.ч. фирмы AppliChem (Германия), или N 55422 (каталог фирмы Sigma-Aldrich 2000 г.), или любой другой фирмы с содержанием основного вещества не менее 98,0%.
Спирт этиловый ректификованный по действующей нормативной или технической документации с объемной долей не менее 96,2%.
Пипетки 1-2-0,5 по ГОСТ 29169.
Цилиндры 2-100-2, 2-500-2, 2-1000-2 по ГОСТ 1770.
Колбы 2-10-2, 2-50-2, 2-100-2, 2-1000-2 по ГОСТ 1770.
Пипетки 4-2-1-1, 4-2-1-5, 4-2-1-10 по ГОСТ 29227.
Стаканчик СВ-14/8 по ГОСТ 25336.
Флаконы стеклянные для градуировочных и анализируемых растворов вместимостью 1,8 и 5,0 см3 с завинчивающимися крышками и тефлоновыми прокладками фирмы "Supelco", номера по каталогу 2-6951, 2-7037 и 2-7039.
7.8.2 Подготовка к анализу
7.8.2.1 Подготовка хроматографа
Хроматограф включают и подготавливают к работе в соответствии с его описанием и руководством по эксплуатации.
7.8.2.2 Подготовка посуды
Стеклянную посуду перед употреблением тщательно моют горячей водой с любым моющим средством, ополаскивают дистиллированной водой и сушат.
7.8.2.3 Приготовление пробы
Объем отобранной пробы, направленной в лабораторию для проведения определений, делят на две части и из каждой части готовят образец.
В стеклянный флакон вместимостью 1,8 см3, предварительно ополоснув его отобранной пробой, пипеткой вместимостью 1 см3, вносят 1 см3 образца.
7.8.2.4 Приготовление подвижной фазы (элюента)
Фосфатный буферный раствор молярной концентрацией c(NaH2PO4·2H2O)=0,1 моль/дм3 готовят следующим образом: растворяют 13,8 г натрия фосфорнокислого однозамещенного 2-водного в 900 см3 воды в мерной колбе вместимостью 1000 см3. Раствор тщательно перемешивают и доводят до метки водой. Затем 100 см3 полученного буферного раствора помещают в мерную колбу вместимостью 1000 см3, добавляют воду до метки, одновременно добавляя раствор соляной кислоты молярной концентрации c(HCl)=2 моль/дм3 до pH=3.
Полученный буферный раствор молярной концентрации 0,01 моль/дм3 с pH=3 смешивают с ацетонитрилом в соотношении 40:60 (соответственно), затем добавляют из расчета на 1 дм3 подвижной фазы 7,38 г додецилсульфата натрия. Требуемые объемы ацетонитрила и буферного раствора отмеряют мерными цилиндрами.
Готовый элюент фильтруют через мембранный фильтр и проводят вакуумную детализацию*.
________________
* Текст документа соответствует оригиналу. - Примечание изготовителя базы данных.
7.8.2.5 Приготовление градуировочных растворов
Приготовление градуировочных растворов проводят при температуре окружающего воздуха 18°С-22°С.
Точно взвешенного в стаканчике 100 мг битрекса помещают в мерную колбу вместимостью 100 см3, куда предварительно вносят 50 см3 этилового спирта. Раствор перемешивают до полного растворения битрекса и доводят до метки этиловым спиртом (раствор А). Результаты взвешивания в граммах записывают до четвертого десятичного знака.
От полученного раствора отбирают пипеткой 10 см3 и переносят в мерную колбу вместимостью 100 см3, доводят до метки этиловым спиртом (раствор Б). Полученный раствор Б, содержащий 100 мг/дм3 битрекса в этиловом спирте, фильтруют через мембранный фильтр, а затем используют для приготовления градуировочных растворов с массовой концентрацией 0,5; 1,0; 10,0; 50,0 мг/дм3 битрекса в подвижной фазе.
а) Приготовление градуировочного раствора с массовой концентрацией 50 мг/дм3
5,0 см3 раствора Б помещают с помощью пипетки вместимостью 5 см3 в мерную колбу вместимостью 10 см3 и доводят до метки раствором подвижной фазы (элюента).
б) Приготовление градуировочного раствора с массовой концентрацией 10 мг/дм3
1,0 см3 раствора Б помещают с помощью пипетки вместимостью 1 см3 в мерную колбу вместимостью 10 см3 и доводят до метки раствором подвижной фазы.
в) Приготовление градуировочного раствора с массовой концентрацией 1 мг/дм3
1,0 см3 раствора Б помещают с помощью пипетки вместимостью 1 см3 в мерную колбу вместимостью 100 см3 и доводят до метки раствором подвижной фазы.
г) Приготовление градуировочного раствора с массовой концентрацией 0,5 мг/дм3
0,5 см3 раствора Б помещают с помощью микропипетки вместимостью 0,5 см3 в мерную колбу вместимостью 100 см3 и доводят до метки раствором подвижной фазы.
Все полученные растворы после фильтрования помещают в стеклянные флаконы вместимостью 5 см3 с завинчивающимися крышками и тефлоновыми прокладками и хранят в холодильнике. Срок хранения - 6 месяцев.
7.8.2.6 Условия хроматографического анализа:
Режим работы ВЭЖХ со спектрофотометрическим детектором задают либо с клавиатуры хроматографа в соответствии с руководством по эксплуатации, либо с клавиатуры ЭВМ в соответствии с руководством пользователя и контролируют на мониторах в следующем виде:
Для улучшения технических и метрологических характеристик работы хроматографической системы рекомендуется использовать термостат колонок и проводить анализ при температуре 35°С.
Перед началом анализа прокачивают через хроматографическую систему элюент до стабилизации базовой линии детектора в указанном режиме.
7.8.2.7 Градуировка хроматографа
Градуировку хроматографа осуществляют последовательным вводом (в условиях проведения измерения) градуировочных растворов в порядке возрастания их массовых концентраций. Каждый раствор вводят в хроматограф не менее двух раз. Полученные значения площадей пиков усредняют и проверяют приемлемость выходных сигналов хроматографа по 7.8.7.1.
После математической обработки хроматограмм фиксируют параметры удерживания и площади пиков, строят градуировочные характеристики (ГХ), отражающие зависимость среднего значения площади пика от массовой концентрации битрекса в градуировочном растворе.
Градуировочный коэффициент (Ki) вычисляют по формуле (7)
где Ci - массовая концентрация битрекса в градуировочном растворе, мг/дм3;
- среднее значение площади пика битрекса в градуировочном растворе, усл.ед.
За градуировочный коэффициент для определяемого компонента
принимают среднеарифметическое результатов всех Ki после проверки их приемлемости по 7.8.7.3.
Градуировку хроматографа проводят при внедрении методики, после мероприятий заведомо приводящих к ее изменению, а также при отрицательных результатах контроля по 7.8.7.4.
Типовая хроматограмма анализа градуировочного раствора представлена на рисунке 2.
7.8.3 Проведение анализа
Количественный анализ пробы выполняют в условиях, приведенных в 7.8.2.6.
Определяемое вещество идентифицируют по времени удерживания в соответствии с градуировкой.
Проводят два параллельных определения массовой концентрации битрекса.
1, 2 - неидентифицированные компоненты; 3 - битрекс
Рисунок 2 - Типовая хроматограмма градуировочного раствора
7.8.4 Обработка результатов
Массовую концентрацию битрекса в анализируемом продукте (X3), мг/дм3, вычисляют по формуле (8)
где
- градуировочный коэффициент битрекса;
S - площадь пика битрекса в анализируемом продукте, усл. ед.
За результат анализа принимают среднеарифметическое результатов двух параллельных определений. Проверку приемлемости результатов параллельных определений проводят по 7.8.7.2.
Массовую долю битрекса (X4), %, вычисляют по формуле (9)
где X3 - массовая концентрация битрекса в растворе, мг/дм3;
p - плотность раствора, определяемая по ГОСТ 18995.1, г/см3;
10000 - коэффициент пересчета.
7.8.5 Характеристика погрешности измерений
Расширенную неопределенность измерений (U), % (при коэффициенте охвата k=2)*, вычисляют по формуле (10)
где
- среднеарифметическое значение результатов измерения массовой доли битрекса, %.________________
* Значение расширенной неопределенности соответствует границе абсолютной погрешности при P=0,95.
7.8.6 Оформление результатов измерений
Результаты анализа при записи в документах представляют в следующем виде:
%, k=2 (11)
где U - значение расширенной неопределенности измерений (при коэффициенте охвата k=2), приведенное в 7.8.5, %.
7.8.7 Контроль точности результатов измерений
7.8.7.1 Проверка приемлемости выходных сигналов хроматографа
Проверяемым параметром является относительный размах выходных сигналов хроматографа, который осуществляется при проведении градуировки, выполнении измерений и контроле стабильности градуировочной характеристики.
Результат проверки признается положительным при выполнении (для P=0,95) условия (12)
где Smax - максимальная площадь хроматографического пика, усл. ед.;
Smin - минимальная площадь хроматографического пика, усл. ед.;
- среднеарифметическое значение площадей пиков, полученных при параллельных вводах пробы, усл. ед.
7.8.7.2 Проверка приемлемости результатов параллельных определений
Результат проверки признается положительным при выполнении (для P=0,95) условия (13)
где Cmax - максимальное значение массовой доли битрекса, %;
Cmin - минимальное значение массовой доли битрекса, %;
- среднеарифметическое значение массовой доли битрекса, полученное при параллельных вводах пробы, %.
7.8.7.3 Проверка приемлемости градуировочной характеристики
Проверка приемлемости градуировочной характеристики проводится каждый раз при построении градуировочной зависимости для всех градуировочных растворов.
Результат контроля признается положительным при выполнении условия (14)
где Kimax - максимальное значение градуировочного коэффициента;
Kimin - минимальное значение градуировочного коэффициента;
- среднеарифметическое значение градуировочного коэффициента.
7.8.7.4 Контроль стабильности градуировочной характеристики
Рекомендуемая периодичность контроля - один раз в месяц. Контроль проводят по свежеприготовленным по 7.8.2.5 градуировочным растворам. Используют по одному раствору в начале и конце диапазона измерений. Ввод проб в хроматограф осуществляется в соответствии с 7.8.2.6, после чего проверяют выполнение условия 7.8.7.3.
Результаты контроля считают положительными при выполнении условия (15)
где K* - среднее значение градуировочного коэффициента, вычисляемое по 7.8.2.7;
- ранее установленное значение градуировочного коэффициента.
7.9 Допускается определение массовой доли битрекса по ГОСТ Р 52826 или по ГОСТ 31497или по [9].
При разногласиях в оценке массовой доли битрекса определение проводят методом высокоэффективной жидкостной хроматографии по 7.8.
7.8, 7.9 (Введены дополнительно, Изм. N 1).
8 Транспортирование и хранение
8.1 Спирт транспортируют железнодорожным транспортом в соответствии с правилами перевозок железнодорожным транспортом грузов наливом в вагонах-цистернах и вагонах бункерного типа для перевозки нефтебитума [10]; автомобильным транспортом - в соответствии с правилами перевозки опасных грузов автомобильным транспортом [11].
Транспортное наименование спирта этилового синтетического технического и денатурированного по настоящему стандарту - спирт этиловый технический.
8.2 Спирт в транспортной таре перевозят в крытых транспортных средствах, по железной дороге - повагонными или мелкими отправками в соответствии с правилами перевозок опасных грузов [12] и техническими условиями размещения и крепления грузов в вагонах и контейнерах [13], действующими на железнодорожном транспорте.
8.3 Спирт, упакованный в транспортную тару вместимостью не более 100 дм3 включительно, транспортируют в пакетированном виде. Пакетирование - по ГОСТ 26663.
8.4 Хранят спирт в соответствии с правилами хранения спирта (легковоспламеняющихся жидкостей) в специально оборудованных и предназначенных для него резервуарах или на складе грузоотправителя или грузополучателя в упаковке изготовителя.
8.5 Срок годности спирта - не ограничен.
(Введен дополнительно, Изм. N 2).
9 Гарантии изготовителя
9.1 Изготовитель гарантирует соответствие спирта требованиям настоящего стандарта при соблюдении условий транспортирования и хранения.
9.2 Гарантийный срок хранения спирта - один год со дня изготовления.
Приложение А (обязательное). Предупредительная маркировка
Приложение А
(обязательное)
Содержание предупредительной маркировки:
- наименование продукции: Спирт этиловый технический синтетический и денатурированный;
- сведения об организации-производителе;
- описание опасности;
- символ: пламя;
- сигнальное слово: опасно (danger);
- краткая характеристика опасности;
- легковоспламеняющаяся жидкость. Пары образуют с воздухом взрывоопасные смеси (Highly flammable liquid and vapour);
- меры по предупреждению опасности:
- держать в герметичной таре;
- беречь от источников воспламенения, искр, открытого огня;
- использовать перчатки и защитные очки, респираторы по ГОСТ 12.4.296, в замкнутых пространствах - изолирующий шланговый противогаз ПШ-1 или ПШ-2;
- использовать взрывобезопасное оборудование и освещение;
- беречь от статического электричества;
- использовать искробезопасный инструмент;
- тушить пеной, порошком ПСБ, двуокисью углерода, распыленной водой, песком;
- при попадании на кожу немедленно снять всю загрязненную одежду, загрязненные участки кожи промыть водой;
- условия безопасного хранения:
- хранить в прохладном, хорошо вентилируемом месте.
Более полная информация по безопасному обращению продукции содержится в паспорте безопасности.
(Измененная редакция, Изм. N 1, 2).
Приложение Б (справочное). Библиография
Приложение Б
(справочное)
Библиография. (Измененная редакция, Изм. N 2).
|
УДК 661.722:006.354 |
ОКС 71.080.60 |
Л25 |
ОКП 24 2121 |
|
Ключевые слова: спирт этиловый синтетический технический, спирт этиловый синтетический технический денатурированный, денатониум бензоат (битрекс), назначение, маркировка, упаковка, требования безопасности, легковоспламеняющаяся жидкость, охрана окружающей среды, правила приемки, методы анализа, газохроматографическии метод, транспортирование и хранение, гарантии изготовителя |
|||
официальное издание
М.: Стандартинформ, 2018