Силикат натрия растворимый ГОСТ Р 50418-92
Силикат натрия растворимый. Технические условия (принят в качестве межгосударственного стандарта ГОСТ 13079-93) ГОСТ Р 50418-92
ГОСТ P 50418-92
Группа Л14
ГОСУДАРСТВЕННЫЙ СТАНДАРТ РОССИЙСКОЙ ФЕДЕРАЦИИ
СИЛИКАТ НАТРИЯ РАСТВОРИМЫЙ
Технические условия
Soluble sodium silicate.
Specifications
ОКП 59 2181
Дата введения 1994-01-01*
_________________
* Дополнительную информацию о введении в
действие см. ярлык "Примечания". -
Примечание изготовителя базы данных.
ИНФОРМАЦИОННЫЕ ДАННЫЕ
1. РАЗРАБОТАН И ВНЕСЕН Государственной ассоциацией "Союзстройматериалов"
РАЗРАБОТЧИКИ
Е.В.Соболев, канд. техн. наук; В.Е.Голубев, канд. техн. наук; Е.И.Раевская, канд. техн. наук; Е.А.Диденко, канд. хим. наук; Р.П.Борисова
2. УТВЕРЖДЕН И ВВЕДЕН В ДЕЙСТВИЕ Постановлением Госстандарта России от 02.12.92 N 1523
3. Срок проверки - 1999 г.
Периодичность проверки - 5 лет
4. ВЗАМЕН ГОСТ 13079-81
5. ССЫЛОЧНЫЕ НОРМАТИВНО-ТЕХНИЧЕСКИЕ ДОКУМЕНТЫ
|
Обозначение НТД, на который дана ссылка |
Номер пункта, подпункта |
|
ГОСТ 22-78 |
3.11.2 |
|
3.8.2, 3.10.2 |
|
|
3.6.2, 3.12.2 |
|
|
3.10.2 |
|
|
3.12.2 |
|
|
ГОСТ 1770-74 |
3.2 |
|
ГОСТ 2053-73 |
3.11.2 |
|
3.8.2 |
|
|
3.5.3, 3.6.2, 3.7.2, 3.8.2, 3.9.2, 3.12.2, 3.13.2, 3.14.2 |
|
|
ГОСТ 3640-79 |
3.8.2 |
|
3.5.2, 3.8.2, 3.9.2 |
|
|
3.6.2 |
|
|
3.9.2 |
|
|
3.13.2 |
|
|
3.6.2 |
|
|
ГОСТ 4166-76 |
З.13.2 |
|
3.5.2, 3.8.2, 3.12.2 |
|
|
3.9.2 |
|
|
3.6.2 |
|
|
3.13.2 |
|
|
3.11.2 |
|
|
3.7.2, 3.11.2 |
|
|
3.7.2 |
|
|
3.9.2 |
|
|
ГОСТ 4919.1-77 |
3.7.2, 3.8.2, 3.9.2, 3.12.2, 3.14.1 |
|
3.8.2, 3.10.2 |
|
|
3.6.2 |
|
|
ГОСТ 6563-75 |
3.5.2, 3.8.2 |
|
3.2, 3.7.2, 3.11.2, 3.12.2, 3.14.1 |
|
|
ГОСТ 7328-82 |
3.2 |
|
ГОСТ 9147-80 |
3.4.1, 3.5.2 |
|
3.6.2 |
|
|
3.5.2, 3.8.2, 3.12.2 |
|
|
3.1.3, 3 5.2, 3.7.2, 3.8.2, 3.10.2, 3.12.2 |
|
|
3.9.2 |
|
|
ГОСТ 24104-88 |
3.2 |
|
ГОСТ 25336-82 |
3.5.2 |
|
ТУ 6-09-5169-84 |
3.9.2 |
|
ТУ 6-09-5171-84 |
3.12.2, 3.14.2 |
|
ТУ 6-09-5346-87 |
3.9.2 |
|
ТУ 6-09-5359-88 |
3.9.2 |
|
ТУ 6-09-5360-88 |
3.14.2 |
6. ПЕРЕИЗДАНИЕ. Июль 1994 г.
Настоящий стандарт распространяется на растворимый силикат натрия, выпускаемый в виде кусков и гранулята, предназначенный для изготовления жидкого стекла по ГОСТ 13078.
1. ТЕХНИЧЕСКИЕ ТРЕБОВАНИЯ
1.1. Растворимый силикат натрия должен соответствовать требованиям настоящего стандарта и технологической документации, утвержденной в установленном порядке.
1.2. По физико-химическим показателям силикат натрия должен соответствовать нормам, указанным в таблице.
1.3. Нормы по химическому составу устанавливаются в пересчете на прокаленное вещество.
1.4. Силикат натрия должен изготовляться кусками размерами не менее 10 и не более 150 мм. Допускаются куски размерами менее 10 и более 150 мм, если их общая масса не превышает 40% от массы партии и 30% при производстве жидкого стекла, применяемого для сварочных материалов. Максимальный размер кусков силиката натрия - 200 мм.
|
Наименование показателя |
Норма силиката натрия |
|||||
|
для изготовления замазок, литья, флотации |
для катализаторов и адсорбентов, для производства сварочных электродов |
для СМС и химических производств, белой сажи |
для строительства |
для клеев, пропиток, покрытий |
для бумажного производства |
|
|
Внешний вид |
Однородные прозрачные бесформенные куски без механических включений, видимых невооруженным глазом, со слабо-зеленым, желтоватым или голубоватым оттенком |
Однородные прозрачные бесформенные куски без механических включений |
Однородные прозрачные бесформенные куски, без механических включений, видимых невооруженным глазом, со слабо-зеленым, желтоватым или голубоватым оттенком |
|||
|
Массовая доля диоксида кремния, % |
70,7-73,4 |
71,7-73,1 |
71,7-73,8 |
70,4-74,1 |
73,4-75,7 |
75,8-76,7 |
|
Массовая доля оксида алюминия и оксида железа, %, не более |
0,6 |
0,48 |
0,40 |
2,0 |
0,6 |
0,6 |
|
в том числе оксида железа, %, не более |
Не нормируется |
Не нормируется |
0,05 |
Не нормируется |
Не нормируется |
Не нормируется |
|
Массовая доля оксида кальция, %, не более |
0,4 |
0,25 |
0,1 |
0,4 |
0,4 |
0,4 |
|
Массовая доля оксида серы, %, не более |
0,3 |
0,15 |
0,15 |
0,3 |
0,3 |
0,3 |
|
Массовая доля оксида натрия, % |
25,3-28,1 |
26,0-27,4 |
25,5-28,2 |
23,2-26,9 |
23,0-26,3 |
22,0-22,9 |
|
Силикатный модуль |
2,6-3,0 |
2,7-2,9 |
2,6-3,0 |
2,7-3,3 |
2,7-3,4 |
3,4-3,6 |
|
Примечание. Допускается применение растворимого силиката натрия для других целей. |
||||||
2. ПРИЕМКА
2.1. Силикат натрия принимают партиями. Партией считают любое количество однородного по своим качественным показателям продукта, оформленное одним документом о качестве, содержащим:
наименование или товарный знак предприятия-изготовителя;
наименование продукта;
дату изготовления;
подтверждение о соответствии качества продукции требованиям настоящего стандарта или результаты проведенных испытаний;
номер партии;
массу нетто.
2.2. В каждой партии силиката натрия определяют его внешний вид, массовую долю диоксида кремния, оксида натрия и силикатный модуль. Массовые доли оксида железа и алюминия, оксида кальция и оксида серы изготовитель определяет по требованию потребителя.
2.3. Для проверки соответствия качества продукции требованиям настоящего стандарта отбирают пробу общей массой не менее 2 кг.
2.4. При получении неудовлетворительных результатов испытаний хотя бы по одному из показателей проводят повторные испытания по данному показателю на удвоенной пробе от той же партии. Результаты повторных испытаний распространяются на всю партию.
3. МЕТОДЫ АНАЛИЗА
3.1. Отбор проб
3.1.1. Точечные пробы, равные по массе, отбирают щипцами или совком из нержавеющей стали из трех разных мест общей массой не менее 2 кг. Отобранные точечные пробы соединяют, перемешивают и квартованием сокращают до получения объединенной пробы массой не менее 750 г.
3.1.2. Объединенную пробу делят на две равные части, одну из которых подвергают испытаниям, а другую помещают в чистую сухую полиэтиленовую банку с крышкой или пробкой и хранят в течение трех месяцев на случай разногласий в оценке качества. На банку наклеивают этикетку с указанием наименования продукта, номера партии, номера пробы и даты отбора.
3.1.3. Отобранную для испытаний часть пробы сокращают квартованием до 20-25 г, обтирают или обмывают кусочки этиловым спиртом по ГОСТ 18300 (1-2 см3 на образец), быстро растирают в агатовой, халцедоновой или кварцевой ступке до состояния пудры, 12-15 г которой помещают в стаканчик для взвешивания, закрывают плотно крышкой и ставят в эксикатор. Допускается механическое истирание пробы. Полученный порошок предназначается для проведения всех последующих испытаний.
3.2. Общие требования к методам анализа
Для взвешивания анализируемых проб, остатков после высушивания и прокаливания, химических реактивов, используемых для приготовления стандартных и титрованных растворов, применяют лабораторные весы по ГОСТ 24104* с погрешностью взвешивания не более 0,0002 г и наибольшим пределом взвешивания 200 г, гири Г-2-210 по ГОСТ 7328**. Результат взвешивания записывают с точностью до четвертого десятичного знака.
________________
* На территории Российской Федерации действует ГОСТ 24104-2001, здесь и далее по тексту.
** На территории Российской Федерации действует ГОСТ 7328-2001, здесь и далее по тексту.
Реактивы для приготовления буферных и вспомогательных растворов взвешивают на лабораторных весах по ГОСТ 24104 с погрешностью не более 0,01 г и наибольшим пределом взвешивания 1 кг. Используют гири Г-4-1110 по ГОСТ 7328. Результат взвешивания записывают с точностью до второго десятичного знака.
Для анализа применяют химические реактивы квалификации не ниже "чистый для анализа" и дистиллированную воду по ГОСТ 6709.
Для фильтрования применяют бумажные обеззоленные фильтры.
В выражении "разбавленная 1:1, 1:2" и т.д. первые цифры обозначают объемные части кислоты или аммиака, а вторые - объемные части воды. Если концентрация или разбавление кислоты или водного раствора аммиака не указаны, то имеют в виду концентрированную кислоту или концентрированный раствор аммиака.
Для проведения анализа применяют мерную лабораторную посуду по ГОСТ 1770 не ниже 2-го класса точности. Для измерения объемов аликвотных частей растворов проб, стандартных и титрованных растворов используют мерную лабораторную посуду по нормативно-технической документации (пипетки, бюретки). Измерение объемов вспомогательных и буферных растворов проводят мерной лабораторной посудой по ГОСТ 1770 (цилиндры, мензурки).
Выражения "горячая Вода" или "горячий раствор" обозначают, что температура жидкости составляет 60-80 °С, "теплая Вода" или "теплый раствор" - температура жидкости составляет 40-50 °С.
Для построения градуировочных графиков требуется не менее пяти точек, которые должны быть равномерно распределены по диапазону измерений, при этом максимальное и минимальное значения измерений устанавливают пределы диапазона измерений. Градуировочные графики проверяют не реже одного раза в 6 мес, а также при замене реактивов или фотоколориметра.
Точные концентрации растворов рассчитывают до четвертого десятичного знака по результатам не менее трех параллельных определений.
3.3. Внешний вид силиката натрия определяют визуально.
3.4. Определение массовой доли потерь при прокаливании
3.4.1. Аппаратура
Печь лабораторная муфельная с нагревом до температуры 500 °С.
Тигли фарфоровые с крышками N 3 и 4 по ГОСТ 9147.
3.4.2. Проведение анализа
В предварительно прокаленный и взвешенный фарфоровый тигель помещают 0,8-1,0 г порошка силиката натрия. Тигель с навеской на 3/4 прикрывают крышкой (во избежание в дальнейшем разбрызгивания), прокаливают, постепенно повышая температуру, в электрической муфельной печи и выдерживают при температуре 400-420 °С в течение 30-40 мин. Тигель с навеской охлаждают в эксикаторе и взвешивают. Повторяют прокаливание до постоянной массы.
3.4.3. Обработка результатов
Массовую долю потерь при прокаливании (X) в процентах вычисляют по формуле
где m1 - потеря массы навески после прокаливания, г;
m - масса навески силиката натрия, г.
За результат анализа принимают среднее арифметическое результатов двух параллельных определений, абсолютное расхождение между которыми не превышает допускаемое, равное 0,3%.
Суммарная относительная погрешность анализа ±0,4% при доверительной вероятности P=0,95.
3.5. Определение массовой доли диоксида кремния (гравиметрический метод)
3.5.1. Сущность метода
Метод основан на разложении пробы растворением в горячей воде, двойном обезвоживании кремниевой кислоты в солянокислой среде, выделении и прокаливании осадка, отгонке четырехфтористого кремния путем обработки фтористоводородной кислотой.
3.5.2. Реактивы, растворы, аппаратура
кислота соляная по ГОСТ 3118, х.ч., разбавленная 1:99.
Кислота серная по ГОСТ 4204, х.ч., разбавленная 1:1.
Кислота фтористоводородная по ГОСТ 10484, х.ч.
аммиак водный по ГОСТ 3760, х.ч.
Спирт этиловый по ГОСТ 18300 высшего сорта.
Тигли из платины N 100-7 или N 100-8 и крышки к тиглям из платины N 101-7 или N 101-8 по ГОСТ 6563.
Печь муфельная лабораторная с температурой нагрева 1000-1100 °С.
Чашка фарфоровая N 4 по ГОСТ 9147.
Стаканчики для взвешивания по ГОСТ 25336.
3.5.3. Проведение анализа
0,8-1,0 г порошка силиката натрия взвешивают в стаканчике для взвешивания и осторожно высыпают в фарфоровую чашку. Стаканчик для взвешивания тотчас же взвешивают и по разности масс вычисляют массу навески.
Навеску в чашке обрабатывают 75-100 см3 горячей воды, помещают на плитку, прикрывают часовым стеклом и осторожно кипятят, помешивая в течение 15-30 мин до растворения препарата.
При определении диоксида кремния в силикате с низким силикатным модулем пробу можно растворять в фарфоровой чашке на кипящей водяной бане. Затем через носик чашки в раствор при частом перемешивании стеклянной палочкой вводят из капельницы 25 см3 соляной кислоты, при этом чашка должна быть накрыта часовым стеклом. Не снимая стекла, чашку с содержимым помещают на кипящую баню на 10-15 мин, после чего часовое стекло снимают и обмывают его и края чашки водой. Полученный раствор общим объемом около 150 см3 вместе с выделившимся осадком геля кремниевой кислоты выпаривают почти досуха на кипящей водяной бане или под лампой инфракрасного излучения. Образовавшийся твердый осадок осторожно растирают до порошкообразного состояния пестикообразной стеклянной палочкой, которая должна находиться в чашке. Нагревание на водяной бане или под лампой инфракрасного излучения продолжают до полного исчезновения запаха хлористого водорода. Полноту удаления хлористого водорода проверяют также с помощью палочки, смоченной раствором аммиака. Для более полного обезвоживания кремниевой кислоты чашку держат на водяной бане еще 2 ч.
Высушенный и охлажденный осадок смачивают 3-4 см3 соляной кислоты и, прикрыв чашку часовым стеклом, выдерживают 15-20 мин, после чего в нее приливают 70-75 см3 горячей воды. Раствор вместе с осадком перемешивают стеклянной палочкой, дают осадку в чашке отстояться (не более 10 мин), а затем жидкость декантируют на фильтр "белая лента". Осадок промывают 3-4 раза декантацией небольшими порциями горячей воды, перенося его на фильтр, и затем на фильтре 8-10 раз теплым разбавленным (1:99) раствором соляной кислоты.
Кремниевую кислоту выделяют вторично, выпаривая полученный фильтрат вместе с промывными водами в той же фарфоровой чашке на кипящей водяной бане досуха и повторяя при этом все предыдущие операции, за исключением промывания декантацией.
Оба фильтра с осадком кремниевой кислоты подсушивают до слегка влажного состояния, осторожно заворачивают внутрь края фильтров, закрывая этим осадок, и плотно укладывают конусом вверх в предварительно прокаленный и взвешенный платиновый тигель.
Содержимое тигля озоляют и прокаливают в лабораторной электропечи при температуре 1000-1100 °С до постоянной массы.
Прокаленный осадок обрабатывают несколькими каплями разбавленной (1:1) серной кислоты и 5-7 см3 фтористоводородной кислоты. Полученную смесь выпаривают досуха на электроплитке. Затем сухой остаток солей прокаливают при постепенном повышении температуры до 1000-1100 °С в муфельной печи в течение 15-20 мин. После охлаждения в эксикаторе тигель с остатком взвешивают.
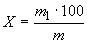
3.5.4. Обработка результатов
Массовую долю диоксида кремния (X1) в процентах вычисляют по формуле
где m1 - масса тигля с осадком диоксида кремния, г;
m2 - масса тигля с остатком после обработки фтористоводородной кислотой, г;
m - масса навески силиката натрия, г;
x - массовая доля потерь при прокаливании (п.3.4), %.
За результат анализа принимают среднее арифметическое результатов двух параллельных определений, абсолютное расхождение между которыми не превышает допускаемое, равное 0,3%.
Суммарная относительная погрешность анализа ±0,45% при доверительной вероятности P=0,95.
3.6. Определение массовой доли диоксида кремния (комбинированный метод)
3.6.1. Сущность метода
Сущность метола заключается в гравиметрическом определении основной массы диоксида кремния. В фильтрате определяют содержание диоксида кремния фотоколориметрически по синей окраске восстановленного кремнемолибденового комплекса. Массовую долю диоксида кремния определяют как сумму результатов гравиметрического и фотоколориметрического методов.
3.6.2. Реактивы, растворы, аппаратура
Реактивы, растворы, аппаратура - по п.3.5.2, а также
Колориметр фотоэлектрический по ГОСТ 12083 или спектрофотометр.
диоксид кремния по ГОСТ 9428.
Аскорбиновая кислота, раствор с массовой долей 5%.
Аммоний молибденовокислый по ГОСТ 3765, раствор с массовой долей 5%.
Соль закиси железа и аммония двойная сернокислая (Соль Мора) по ГОСТ 4208, раствор с массовой долей 4%.
тиомочевина по ГОСТ 6344, раствор с массовой долей 5%.
Медь (II) сернокислая 5-водная (сульфат меди) по ГОСТ 4165, раствор с массовой долей 0,4%.
Натрий углекислый безводный по ГОСТ 83.
кислота соляная по ГОСТ 3118, разбавленная 1:1, и раствор молярной концентрации c(НСl)=0,5 моль/дм3.
3.6.3. Подготовка к анализу
Смесь восстановителей I готовят, смешивая равные объемы растворов соли Мора и аскорбиновой кислоты. Смесь хранят в темном месте не более 7 дней.
Смесь восстановителей II готовят, смешивая равные объемы растворов тиомочевины и сернокислой меди.
Для приготовления стандартного раствора, содержащего 0,25 мг/см3 SiO2, взвешивают 0,0625 г тонко растертого диоксида кремния, предварительно прокаленного при температуре 1000-1100 °С до постоянной массы, и сплавляют в платиновом тигле с 1 г безводного углекислого натрия. Расплав выщелачивают водой, полученный раствор помещают в мерную колбу вместимостью 250 см3, доливают водой до метки и перемешивают. Раствор хранят в полиэтиленовой посуде.
3.6.4. Проведение анализа
Основную массу диоксида кремния получают однократным выделением в соответствии с п.3.5.3. Фильтрат с промывными водами собирают в мерную колбу вместимостью 250 см3, объем доводят водой до метки и тщательно перемешивают. Аликвотную часть анализируемого раствора в количестве 25 или 50 см3 помещают в мерную колбу вместимостью 100 см3, добавляют 10 см3 дистиллированной воды, 4 см3 раствора молибденовокислого аммония. Через 10 мин добавляют 20 см3 соляной кислоты 1:1 и 2 см раствора смеси восстановителей (I или II), тщательно перемешивают и доводят объем раствора водой до метки. Раствор сравнения, не содержащий SiO2, готовят одновременно с испытуемым. Растворы выдерживают 20 мин.
Оптическую плотность анализируемого раствора по отношению к раствору сравнения измеряют на фотоэлектроколориметре, пользуясь красным светофильтром (
650 нм), в кюветах с толщиной слоя 5 см3. Содержание SiO2 определяют по градуировочному графику.
3.6.5. Построение градуированного графика
В мерные колбы вместимостью 100 см3 отмеривают бюреткой стандартный раствор, содержащий 0,25; 0,5; 0,75; 1,0; 1,25 мг SiO2. Одновременно готовят раствор сравнения, не содержащий SiO2. В каждый раствор прибавляют по 20 см3 воды, 5 см3 раствора соляной кислоты концентрации c(HCl)=0,5 моль/дм3, 4 см3 раствора молибденовокислого аммония. Через 10 мин добавляют 20 см3 раствора соляной кислоты (1:1) и 2 см3 раствора смеси восстановителей. Доводят объем раствора до метки водой и тщательно перемешивают. Растворы выдерживают 20 мин.
Оптическую плотность растворов измеряют, как указано в п.3.6.4. По полученным данным строят градуировочный график.
3.6.6. Обработка результатов
Массовую долю диоксида кремния в фильтрате (после однократного осаждения) (X2) в процентах вычисляют по формуле
где m3 - масса диоксида кремния, найденная по градуировочному графику, мг;
m - масса навески силиката натрия, г;
V - общий объем раствора фильтрата, см3;
V1 - объем аликвотной части, взятый для фотоколориметрирования, см3.
x - массовая доля потерь при прокаливании (п.3.4), %.
Общую массовую долю диоксида кремния (X3) в процентах вычисляют по формуле
где X1 - массовая доля диоксида кремния после однократного выделения по п.3.5.4.
За результат анализа принимают среднее арифметическое результатов двух параллельных определений, абсолютное расхождение между которыми не превышает допускаемое, равное 0,3%.
Суммарная относительная погрешность анализа ±0,45% при доверительной вероятности P=0,95.
3.7. Определение массовой доли диоксида кремния (объемный метод)
3.7.1. Сущность метода
Метод основан на титриметрическом определении количества гидроокиси натрия (эквивалентного кремниевой кислоте), которая образуется в нейтрализованном растворе после выделения осадка гексафторсиликата натрия в присутствии этилового спирта.
3.7.2. Аппаратура, реактивы, растворы
Чашка из стеклоуглерода.
Шпатель платиновый N 209-2 по ГОСТ 6563.
Печь муфельная лабораторная с температурой нагрева не ниже 600 °С.
Бюретка по нормативно-технической документации вместимостью 25 см3.
Натрий фтористый по ГОСТ 4463, х.ч., обезвоженный при 600 °С и охлажденный в эксикаторе.
Спирт этиловый ректификованный технический по ГОСТ 18300 высшего сорта и раствор с массовой долей 50%.
кислота соляная по ГОСТ 3118, х.ч., растворы молярной концентрации c(НСl)=0,1 моль/дм3 и c(НСl)=1 моль/дм3.
Натрия гидроокись по ГОСТ 4328, х.ч., растворы молярной концентрации c(NaOH)=1 моль/дм3, c(NaOH)=0,1 моль/дм3.
Метиловый красный, индикатор по ТУ 6-09-5169-84, приготовление раствора по ГОСТ 4919.1.
Вода дистиллированная по ГОСТ 6709.
3.7.3. Проведение анализа
4-5 г гидроокиси натрия взвешивают в чашке из стеклоуглерода, осторожно и быстро (3-5 мин) расплавляют и охлаждают.
1,9-2,0 г порошка силиката натрия взвешивают в стаканчике для взвешивания и осторожно высыпают в чашку на поверхность застывшего расплава, стараясь шпателем распределить навеску по всей поверхности гидроокиси натрия. Стаканчик для взвешивания снова взвешивают и по разности масс определяют массу навески пробы. Чашку нагревают на электроплитке, непрерывно перемешивая смесь шпателем, и далее сплавляют при температуре 400-500 °С в течение 3-5 мин. Затем чашку охлаждают, плав растворяют в горячей воде и количественно переносят в стакан вместимостью 300-400 см3, затем стакан нагревают до полного растворения плава. Вводят в раствор несколько капель метилового красного и подкисляют раствор соляной кислотой, давая 1-2 капли в избыток, после чего раствор должен стать прозрачным.
Раствор охлаждают и переносят в мерную колбу вместимостью 250 см3, доводят объем раствора водой до метки и перемешивают. 50 см3 подготовленного раствора помещают в коническую колбу вместимостью 250 см3, добавляют 0,3 см3 метилового красного и нейтрализуют раствором гидроокиси натрия концентрации 1 моль/дм3 до перехода красной окраски в желтую, а затем добавляют по каплям раствор соляной кислоты концентрации 0,1 моль/дм3 до перехода желтой окраски раствора в красную.
К нейтрализованному раствору добавляют (5,0±0,1) г фтористого натрия, перемешивают до растворения, добавляют точно отмеренный объем раствора соляной кислоты концентрации 1 моль/дм3 (V1) до перехода желтой окраски раствора в красную и избыток этого раствора кислоты 5 см3. Затем добавляют в раствор 50 см3 этилового спирта, перемешивают 1 мин, переносят в мерную колбу вместимостью 200 см3, разбавляют до метки этиловым спиртом с массовой долей 50% и снова перемешивают. Около 100 см3 полученного раствора фильтруют в сухой стакан вместимостью 300-400 см3 через сухой складчатый фильтр "синяя лента", отбросив первые 3-4 см3. 100 см3 фильтрата помешают в коническую колбу вместимостью 250 см3, добавляют 0,3 см3 метилового красного и титруют избыток кислоты раствором гидроокиси натрия концентрации 1 моль/дм3 до перехода красной окраски раствора в желтую. Отмечают объем раствора гидроокиси натрия, израсходованный на титрование (V2).
3.7.4. Контрольный опыт
В коническую колбу вместимостью 250 см3 помещают 70 см3 воды и 0,8-1,0 г гидроокиси натрия. Растворяют, помешивая, прибавляют 0,3 см3 метилового красного и нейтрализуют по каплям соляной кислотой до изменения желтой окраски раствора в красную. Затем добавляют сначала раствор гидроокиси натрия концентрации 1 моль/дм3 до появления желтой окраски раствора, а затем раствор соляной кислоты концентрации c(НСl)=0,1 моль/дм3 до появления красной окраски раствора.
К нейтрализованному раствору добавляют (5,0±0,1) г фтористого натрия, хорошо перемешивая до растворения, и добавляют точно отмеренный объем раствора соляной кислоты концентрации c(НСl)=1 моль/дм3 (V3) до перехода желтой окраски раствора в красную и избыток этого раствора кислоты 5 см3. Затем добавляют 50 см3 этилового спирта, перемешивают 1 мин, переносят в мерную колбу вместимостью 200 см3, разбавляют до метки этиловым спиртом с массовой долей 50% и снова перемешивают. Около 100 см3 полученного раствора фильтруют в сухой стакан вместимостью 300-400 см3 через складчатый сухой фильтр "синяя лента", отбросив первые 3-4 см3. 100 см3 фильтрата помещают в коническую колбу вместимостью 250 см3, добавляют 0,3 см3 метилового красного и титруют избыток кислоты раствором гидроокиси натрия концентрации c(NaOH)=1 моль/дм3 до перехода красной окраски раствора в желтую. Отмечают объем раствора гидроокиси натрия, пошедший на титрование (V4).
3.7.5. Обработка результатов
Массовую долю диоксида кремния (X1) в процентах вычисляют по формуле
где V1 - объем раствора соляной кислоты концентрации точно 1 моль/дм3, добавленный для проведения определения, см3;
V2 - объем раствора гидроокиси натрия концентрации точно 1 моль/дм3, израсходованный на обратное титрование, см3;
V3 - объем раствора соляной кислоты концентрации точно 1 моль/дм3, добавленный в контрольном опыте, см3;
V4 - объем раствора гидроокиси натрия концентрации точно 1 моль/дм3, израсходованный на обратное титрование в контрольном опыте, см3;
0,01502 - масса диоксида кремния, соответствующая 1 см3 раствора соляной кислоты концентрации точно 1 моль/дм3, г;
m - масса навески, г;
x - массовая доля потерь при прокаливании (п.3.4), %.
За результат анализа принимают среднее арифметическое результатов двух параллельных определений, абсолютное расхождение между которыми не должно превышать допускаемое, равное 0,6%.
При разногласиях в оценке массовой доли диоксида кремния анализ проводят гравиметрическим методом.
3.8. Определение массовой доли суммы оксида железа и оксида алюминия (комплексонометрический метод)
3.8.1. Сущность метода
Метод основан на образовании комплексных соединений алюминия и железа с трилоном Б при условии его избытка. Избыток трилона Б титруют раствором сернокислого цинка в присутствии буферного раствора при pH 5,2-5,8 с индикатором ксиленоловым оранжевым. Пробу предварительно разлагают смесью фтористоводородной и серной кислот.
3.8.2. Аппаратура, реактивы, растворы
Чашка из платины N 118-3 по ГОСТ 6563.
Шпатель платиновый N 209-11 по ГОСТ 6563.
Кислота фтористоводородная по ГОСТ 10484, х.ч.
Кислота серная по ГОСТ 4204, х.ч.
Кислота уксусная по ГОСТ 61, х.ч.
кислота соляная по ГОСТ 3118, х.ч.
аммиак водный по ГОСТ 3760, х.ч., растворы с массовой долей 25 и 10%.
Гидроксиламин солянокислый по ГОСТ 5456, раствор с массовой долей 10%.
Аммоний уксуснокислый по ГОСТ 3117.
Индикаторы: бумага "конго" красная, эриохром черный Т, ксиленоловый оранжевый, приготовленные по ГОСТ 4919.1, кислотный хром, темно-синий, готовят следующим образом: 0,15 г индикатора растворяют в 5 см3 аммиачного буферного раствора, добавляют 20 см3 этилового спирта и перемешивают.
Цинк по ГОСТ 3640*.
________________
* Действует ГОСТ 3640-94.
Цинк сернокислый по ГОСТ 4174, раствор концентрации c(1/2ZnSO4)=0,025 моль/дм3.
Вода дистиллированная по ГОСТ 6709.
трилон б (динатриевая соль этилендиаминтетрауксусной кислоты) по ГОСТ 10652, раствор концентрации 0,025 моль/дм3.
Спирт этиловый ректификованный технический по ГОСТ 18300 высшего сорта.
Ацетатный буферный раствор с pH 5,2-5,8, готовят следующим образом: 100 г уксуснокислого аммония растворяют в 300-400 см3 воды (для лучшего растворения растворы подогревают), фильтруют, добавляют 10 см3 уксусной кислоты, разбавляют до 1 дм3 и перемешивают.
Аммиачный буферный раствор с pH 9,5-10,0, готовят следующим образом: 54 г хлористого аммония растворяют в 200 см3 воды, к полученному раствору прибавляют 350 см3 раствора аммиака с массовой долей 25% и доводят объем раствора водой до 1 дм3.
3.8.3. Приготовление титрованных растворов
Раствор трилона Б концентрации 0,025 моль/дм, готовят следующим образом:
9,31 г трилона Б растворяют в воде в мерной колбе вместимостью 1 дм3, затем доводят объем водой до 1 дм3. Растворы хранят в полиэтиленовых или стеклянных, парафинированных изнутри сосудах. Допускается приготовление раствора из стандарт-титра трилона Б.
Раствор соли цинка концентрации точно 0,025 моль/дм3 (для определения коэффициента поправки раствора трилона Б), готовят следующим образом:
1,6345 г цинка, свежеочищенного стальным ножом от оксида, сразу же взвешивают, помещают в фарфоровую чашку и растворяют при нагревании на водяной бане в смеси 100 см3 воды и 15 см3 концентрированной азотной кислоты, накрыв чашку часовым стеклом. Затем тщательно смывают стекло водой, собирая ее в ту же чашку, и упаривают раствор до 3-4 см3. Остаток из чашки количественно переносят, смывая стенки чашки водой, в мерную колбу вместимостью 1 дм3 и доводят объем раствора водой до метки. Раствор годен в течение одного месяца.
Коэффициент поправки раствора трилона Б концентрации 0,025 моль/дм3 определяют по раствору соли цинка следующим образом:
к 25 см3 раствора соли цинка концентрации точно 0,025 моль/дм3 прибавляют 5 см3 буферного аммиачного раствора, 0,1 г индикаторной смеси эриохрома Т или 10-12 капель раствора кислотного хрома темно-синего и 70 см3 воды.
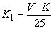
Раствор перемешивают и титруют из бюретки раствором трилона Б до перехода фиолетово-красной окраски в синюю (при применении эриохрома черного Т) или малиновой в неизменяющуюся синюю (при применении кислотного хрома темно-синего). Коэффициент поправки (K) раствора трилона Б концентрации 0,025 моль/дм3 вычисляют по формуле
где V - объем раствора трилона Б концентрации 0,025 моль/дм3, израсходованный на титрование, см3.
Раствор сернокислого цинка концентрации 0,025 моль/дм3, готовят следующим образом:
7,2 г сернокислого цинка растворяют в воде и доводят объем раствора водой до 1 дм3.
Коэффициент соответствия раствора определяют следующим образом:
25 см3 раствора сернокислого цинка помещают в колбу для титрования, прибавляют 70 см3 воды, 5 см3 аммиачного буферного раствора, 0,1 г индикаторной смеси эриохрома черного Т и титруют раствором трилона Б концентрации 0,025 моль/дм3 до перехода фиолетовой окраски в синюю.
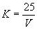
Коэффициент соответствия (K1) раствора сернокислого цинка концентрации 0,025 моль/дм3 вычисляют по формуле
где V - объем раствора трилона Б концентрации 0,025 моль/дм3, израсходованный на титрование, см3;
K - коэффициент поправки раствора трилона Б концентрации 0,025 моль/дм3.
3.8.4. Приготовление испытуемого раствора
2,0-2,1 г силиката натрия взвешивают в платиновой чашке. Параллельно проводят контрольный опыт на чистоту реактивов. Навеску смачивают водой и смешивают с 2 см3 серной кислоты и 7-10 см3 фтористоводородной кислоты. Смесь выпаривают сначала на водяной бане до полного удаления фтористоводородной кислоты, затем переносят на электроплитку и нагревают до обильного выделения паров серной кислоты. Когда содержимое чашки превратится в сиропообразную массу, застывшую при охлаждении, нагревание прекращают.
После этого в чашку наливают 10-15 см3 воды, 3-4 см3 соляной кислоты и, помешивая стеклянной палочкой, полностью растворяют остаток солей при осторожном нагревании на водяной бане.
Раствор переносят в мерную колбу вместимостью 100 или 250 см3, ополаскивают чашку не менее трех раз горячей водой, сливая воду каждый раз в ту же колбу. Затем колбу с содержимым охлаждают до комнатной температуры, доливают водой до метки и перемешивают.
3.8.5. Проведение анализа
50 см3 раствора, приготовленного в соответствии с п.3.8.4, переносят сухой пипеткой в коническую колбу вместимостью 250 см3, добавляют 15 см3 раствора трилона Б, опускают бумагу "конго", добавляют 30-35 см3 воды, нагревают до 50 °С и прибавляют по каплям водный аммиак с массовой долей 25% до покраснения бумаги, а затем раствор водного аммиака с массовой долей 10% до ярко-красного цвета бумаги. Затем прибавляют 20 см3 ацетатного буферного раствора, 10 см3 раствора солянокислого гидроксиламина и кипятят 1-2 мин. После этого сразу же титруют раствором сернокислого цинка с индикатором ксиленоловым оранжевым, 10 капель которого предварительно добавляют в раствор. Титрование продолжают до перехода желтой окраски раствора в фиолетово-красную. Отмечают объем раствора сернокислого цинка, израсходованный на титрование (V1). При обработке результатов необходимо учитывать результат контрольного опыта.
3.8.6. Обработка результатов
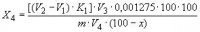
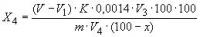
Массовую долю суммы оксида железа и оксида алюминия в пересчете на Оксид алюминия (X4) в процентах вычисляют по формуле
где V2 - объем раствора сернокислого цинка концентрации 0,025 моль/дм3, израсходованный на титрование контрольного опыта, см3;
V1 - объем раствора сернокислого цинка концентрации 0,025 моль/дм3, израсходованный на обратное титрование пробы, см3;
K1 - коэффициент соответствия раствора сернокислого цинка концентрации 0,025 моль/дм3;
V3 - общий объем анализируемого раствора, см3;
0,001275 - масса Аl2O3, соответствующая 1 см3 раствора трилона Б концентрации точно 0,025 моль/дм3, г;
m - масса навески, г;
V4 - объем аликвотной части анализируемого раствора, см3;
x - массовая доля потерь при прокаливании (п.3.4), %.
За результат анализа принимают среднее арифметическое результатов двух параллельных определений, абсолютное расхождение между которыми не превышает допускаемое, равное 0,05%.
Суммарная относительная погрешность анализа ±5% при доверительной вероятности P=0,95.
3.9. Определение массовой доли оксида железа (III)
3.9.1. Сущность метода
Метод основан на образовании сульфосалицилата железа, окрашенного в аммиачной среде в желтый цвет (pH 8-11,5) и на последующем фотоколориметрировании окрашенного раствора.
3.9.2. Аппаратура, реактивы, растворы
Фотоэлектроколориметр по нормативно-технической документации или спектрофотометр.
кислота соляная по ГОСТ 3118, разбавленная 1:1.
аммиак водный по ГОСТ 3760, раствор с массовой долей 10%.
Кислота сульфосалициловая по ГОСТ 4478, раствор с массовой долей 20%.
Метиловый красный по ТУ 6-09-5169, приготовление раствора по ГОСТ 4919*.
________________
* Вероятно, ошибка оригинала. Следует читать ГОСТ 4919.1-77.
Аммоний хлористый по ГОСТ 3773, раствор концентрации 1 моль/дм3, готовят следующим образом:
53,50 г хлористого аммония растворяют в 1 дм3 воды и, если необходимо, фильтруют.
Аммоний азотнокислый по ГОСТ 22867, раствор с массовой долей 2%.
Аммоний железо (III) сульфат (1:1:2) 12-водный (Железоаммонийные квасцы) по ТУ 6-09-5359.
Оксид железа по ТУ 6-09-5346.
3.9.3. Приготовление стандартных растворов оксида железа (III)
Раствор А массовой концентрации 1 мг/см3 Fe2O3, готовят следующим образом:
6,0399 г железоаммонийных квасцов растворяют в 100 см3 дистиллированной воды, подкисленной 9 см3 соляной кислоты, и разбавляют водой до 1 дм3.
Точную концентрацию раствора устанавливают гравиметрическим методом. Для этого из бюретки отмеряют в три стакана вместимостью 300 см3 каждый 10, 20, 30 см3 стандартного раствора, разбавляют до 120-150 см3 водой, нагревают до кипения и осаждают гидроокись железа аммиаком в присутствии метилового красного. Полученный осадок фильтруют через фильтр "белая лента", промывают горячим раствором азотнокислого аммония с массовой долей 2%, в который добавлено несколько капель аммиака. Фильтр с осадком помещают в предварительно прокаленный и взвешенный платиновый тигель, озоляют, прокаливают до постоянной массы при 850 °С и вычисляют массовую концентрацию раствора (мг/см3 Fe2O3).
Допускается готовить стандартные растворы из оксида железа (III).
Раствор А готовят следующим образом:
1 г высушенного при (110±5) °С в течение 1 ч оксида железа помещают в коническую колбу вместимостью 500 см3, приливают 100 см3 соляной кислоты 1:1 и, накрыв колбу, нагревают на водяной бане до полного растворения. Затем раствор охлаждают, переносят в мерную колбу вместимостью 1000 см3, доводят водой до метки и перемешивают.
Раствор Б массовой концентрации 0,1 мг/см3 Fe2O3, готовят разбавлением водой раствора А в десять раз.
Раствор В, содержащий массовой концентрации 0,01 мг/см3 Fe2O3 готовят разбавлением водой раствора Б в десять раз.
3.9.4. Построение градуировочной кривой
В мерные колбы вместимостью 100 см3 отмеряют бюреткой 1, 2, 3, 4, 5, 6, 7, 8, 9, 10 см3 раствора Б.
В каждую колбу добавляют 10 см3 раствора хлористого аммония концентрации 1 моль/дм3, 15 см3 раствора сульфосалициловой кислоты с массовой долей 20% и прибавляют по каплям раствор аммиака с массовой долей 10% до появления устойчивой желтой окраски и сверх того 3 см3. Растворы перемешивают и доводят объем водой до метки.
Одновременно готовят раствор сравнения, не содержащий Fe2O3.
Вторая градуировочная кривая строится аналогично первой, но при этом берут раствор В массовой концентрации 0,01 мг/см3.
Оптическую плотность растворов измеряют на фотоэлектроколориметре пользуясь синим светофильтром (длина волны 450 нм), в кюветах с толщиной слоя 30 мм.
По полученным данным строят градуировочный график.
Значения оптической плотности откладывают по оси ординат, а соответствующие им количества Fe2O3 в миллиграммах - по оси абсцисс.
Для построения каждой точки градуировочного графика вычисляют среднее арифметическое значение оптической плотности по результатам трех параллельных определений.
Градуировочный график проверяют не реже одного раза в 6 мес, а также при замене реактивов или фотоэлектроколориметра.
3.9.5. Проведение анализа
В мерную колбу вместимостью 100 см3 переносят 25 см3 испытуемого раствора, приготовленного в соответствии с п.3.8.4, приливают 10 см раствора хлористого аммония концентрации 1 моль/дм3, 15 см3 раствора сульфосалициловой кислоты с массовой долей 20% и аммиака сначала до появления устойчивой желтой окраски и сверх того 3 см3, после чего разбавляют водой до метки. Одновременно готовят раствор сравнения, не содержащий Fe2O3.
3.9.6. Обработка результатов
По полученной оптической плотности, пользуясь градуировочным графиком, находят содержание Fe2O3 в испытуемом растворе.
Массовую долю оксида железа (X5) в процентах вычисляют по формуле
где m1 - масса Fe2O3, найденная по градуировочному графику, мг;
V - общий объем раствора, см3;
m - масса навески, г;
V1 - объем аликвотной части раствора, взятый для фотоколориметрирования, см3;
x - массовая доля потерь при прокаливании (п.3.4), %.
При необходимости в результат определения вносят поправку на массовую долю оксида железа, определяемую контрольным опытом.
За результат анализа принимают среднее арифметическое результатов двух параллельных определений, абсолютное расхождение между которыми не превышает допускаемое, равное 0,01%.
Суммарная относительная погрешность анализа ±5% при доверительной вероятности P=0,95.
3.10. Фотоколориметрический метод определения массовой доли оксида железа (III) с 1,10-фенантролином
3.10.1. Сущность метода
Метод основан на образовании оранжево-красного комплексного соединения железа с 1,10-фенантролином (
508 нм). Трехвалентное железо предварительно восстанавливается солянокислым гидроксиламином.
3.10.2. Реактивы, растворы, аппаратура
Колориметр фотоэлектрический по нормативно-технической документации или спектрофотометр.
Кислота уксусная по ГОСТ 61.
Гидроксиламингидрохлорид по ГОСТ 5456, раствор с массовой долей 10%.
Натрий уксуснокислый по ГОСТ 199, раствор с массовой долей 40%.
1,10-фенантролин, спиртовой раствор с массовой долей 1%.
Спирт этиловый ректификованный технический по ГОСТ 18300 высшего сорта.
Ацетатный буферный раствор pH 5,0, готовят следующим образом:
38 г уксуснокислого натрия растворяют в 500 см3 воды, добавляют 6,7 см3 уксусной кислоты, доливают водой до объема 1000 см3 и перемешивают.
Стандартные растворы оксида железа (III), готовят, как указано в п.3.9.3.
Универсальная индикаторная бумага.
3.10.3. Проведение анализа
В мерную колбу вместимостью 100 см3 переносят 25 см3 испытуемого раствора, приготовленного по п.3.8.4, добавляют 3 см3 раствора гидроксиламина гидрохлорида и добавляют по каплям раствор уксуснокислого натрия до pH 3,0 (pH контролируют с помощью универсальной индикаторной бумаги). Затем прибавляют 10 см3 буферного раствора, 2 см3 раствора 1,10-фенантролина, доливают водой до метки и перемешивают. Через 40 мин измеряют оптическую плотность на фотоэлектроколориметре, используя зеленый светофильтр с длиной волны 540 нм в кюветах с толщиной слоя 30 мм. В качестве раствора сравнения используют раствор контрольного опыта, приготовленный также, как испытуемый раствор.
Содержание оксида железа (III) в испытуемом растворе в миллиграммах находят по градуировочному графику.
3.10.4. Построение градуировочного графика
В мерные колбы вместимостью по 100 см3 приливают из бюретки 1, 2, 3, 4, 5, 6, 7, 8, 9, 10 см стандартного раствора В массовой концентрации 0,01 мг/см3 Fe2O3. Одновременно готовят раствор сравнения. Далее поступают в соответствии с п.3.10.3. По полученным значениям оптической плотности растворов и известным содержаниям оксида железа (III) строят градуировочный график. Второй градуировочный график строится аналогично первому с использованием раствора Б массовой концентрации 0,1 мг/см3 Fe2O3.
3.10.5. Обработка результатов - по п.3.9.6.
При разногласиях в оценке массовой доли оксида железа анализ проводят фотоколориметрическим методом с 1,10-фенантролином.
3.11. Определение массовой доли оксида кальция (комплексонометрический метод)
3.11.1. Сущность метода
Метод основан на прямом титровании трилоном Б анализируемого раствора при pH 12 с индикатором хром темно-синим или флуорексоном после разложения силиката натрия смесью фтористоводородной и серной кислот и растворения остатка в разбавленной соляной кислоте.
3.11.2. Реактивы и растворы
натрий сернистый (сульфид) по ГОСТ 2053*, раствор с массовой долей 2% (свежеприготовленный).
________________
* Действует ГОСТ 2053-77 (Указатель "Национальные стандарты" 2006 г.)
Гидроокись натрия по ГОСТ 4328, х.ч., раствор концентрации 2 моль/дм.
Вода дистиллированная по ГОСТ 6709.
Индикатор "конго" красный.
Сахар-рафинад по ГОСТ 22, раствор с массовой долей 2%.
Кислотный хром темно-синий, готовят по п.3.8.2.
Индикатор флуорексон.
Индикатор тимолфталеин.
Калий хлористый по ГОСТ 4234.
Индикатор малахитовый зеленый, спиртовой раствор с массовой долей 0,2%.
Индикаторная смесь флуорексона: 0,2 г флуорексона и 0,165 г тимолфталеина растирают в фарфоровой ступке с 20 г хлористого калия.
трилон б концентрации 0,025 моль/дм3, раствор готовят по п.3.8.3. Коэффициент поправки трилона Б определяют по п.3.8.3.
Калия гидроксид по ГОСТ 24363, раствор концентрации 5 моль/дм3.
3.11.3. Проведение анализа
Приготовление раствора для определения оксида кальция проводят, как указано в п.3.8.4. Полученный раствор переносят количественно в коническую колбу вместимостью 250 см3, прибавляют 2 см3 раствора сахара, добавляют воды до объема 85-90 см3, опускают индикаторную бумагу "конго", нейтрализуют раствором гидроокиси натрия до покраснения бумаги, добавляют 2 см3 раствора сульфида натрия, перемешивают, добавляют 5 см3 раствора гидроокиси натрия, выдерживают раствор 1-2 мин, добавляют 8-10 капель раствора кислотного хрома темно-синего и титруют при непрерывном перемешивании раствором трилона Б до перехода малиновой окраски раствора в неизменяющуюся синюю.
В случае применения смеси флуорексона с тимолфталеином в коническую колбу для титрования вместимостью 250 см3 помещают раствор, полученный в соответствии с п.3.6.4, разбавляют водой до объема 80-100 см3, добавляют 1-2 капли малахитового зеленого и приливают по каплям раствор гидроокиси калия до обесцвечивания раствора, после чего добавляют избыток его в количестве 10 см. К полученному раствору добавляют 30-50 мг смеси индикаторов флуорексона и тимолфталеина и титруют из бюретки раствором трилона Б концентрации 0,025 моль/дм3 до резкого изменения зеленой флюоресценции раствора и перехода его окраски в фиолетовую. Титрование следует проводить на черном фоне. Отмечают объем трилона Б, пошедший на титрование оксида кальция.
3.11.4. Обработка результатов
Массовую долю оксида кальция (X4) в процентах вычисляют по формуле
где V - объем раствора трилона Б концентрации 0,025 моль/дм3, израсходованный на титрование, см3;
K - коэффициент поправки раствора трилона Б концентрации 0,025 моль/дм3;
0,0014 - масса CaO, соответствующая 1 см3 раствора трилона Б концентрации точно 0,025 моль/дм3, г;
V1 - объем раствора трилона Б концентрации 0,025 моль/дм3, израсходованный на титрование контрольного опыта, см3;
V3 - общий объем анализируемого раствора, см3;
V4 - объем аликвотной части анализируемого раствора, см3;
m - масса навески, г;
x - массовая доля потерь при прокаливании (п.3.4), %
За результат анализа принимают среднее арифметическое результатов двух параллельных определений, абсолютное расхождение между которыми не превышает допускаемое, равное 0,05%.
Суммарная относительная погрешность анализа ±2% при доверительной вероятности P=0,95.
3.12. Определение массовой доли оксида серы (гравиметрический метод)
3.12.1. Сущность метода
Метод основан на осаждении сульфат-иона в виде сернокислого бария в слабокислой среде раствором хлористого бария.
3.12.2. Аппаратура, реактивы, растворы
Тигель из платины N 100-8 и крышка к тиглю из платины N 101-8 по ГОСТ 6563.
Печь муфельная лабораторная с температурой нагрева не ниже 950 °С.
Натрий углекислый безводный по ГОСТ 83, х.ч., раствор с массовой долей 1%.
Спирт этиловый ректификованный технический по ГОСТ 18300 высшего сорта.
барий хлористый по ГОСТ 4108, раствор с массовой долей 1%.
Вода дистиллированная по ГОСТ 6709.
кислота соляная по ГОСТ 3118, х.ч., раствор молярной концентрации c(НСl)=2 моль/дм3.
Кислота серная по ГОСТ 4204, х.ч., разбавленная (1:1).
Кислота фтористоводородная по ГОСТ 10484, х.ч.
Серебро азотнокислое по ГОСТ 1277, раствор с массовой долей 1%.
Метиловый оранжевый по ТУ 6-09-5171, приготовление раствора по ГОСТ 4919.1.
3.12.3. Проведение анализа
1,0-1,1 г силиката натрия взвешивают в платиновом тигле, смешивают с 3 г безводного углекислого натрия, закрывают тигель крышкой и сплавляют в печи при температуре 900-950 °С. Охлажденный сплав обрабатывают небольшими порциями горячей воды до 100 см3, раствор переносят в стакан вместимостью 400 см3. Стакан, накрыв часовым стеклом, ставят на горячую водяную баню до осветления жидкости над осадком. После этого снимают часовое стекло, отстоявшуюся жидкость фильтруют в стакан вместимостью 300-400 см3, декантируют 3 раза горячим раствором углекислого натрия с массовой долей 1%, затем переносят осадок на фильтр и промывают его 2-3 раза. Можно использовать также фильтрат после выделения диоксида кремния в соответствии с п.3.5.3 или 100 см3 раствора в соответствии с п.3.6.4, из которого определяют диоксид кремния фотоколориметрически. Фильтрат разбавляют до 200 см3 водой, прибавляют 3-5 капель метилового оранжевого, осторожно нейтрализуют соляной кислотой до изменения желтой окраски раствора в красную, после чего дают избыток 5-7 капель соляной кислоты.
Операцию нейтрализации необходимо проводить при постоянном помешивании, периодически прикрывая стакан часовым стеклом.
Слабокислый раствор нагревают до кипения и кипятят 5-10 мин при постоянном перемешивании, приливая 20 см3 горячего раствора хлористого бария, и оставляют на кипящей водяной бане в стакане, прикрытом часовым стеклом, на 2 ч и на 12 ч при комнатной температуре. Осадок сернокислого бария отфильтровывают через двойной фильтр (синяя лента) и промывают горячей водой до отсутствия в промывных водах иона хлора (проба с азотнокислым серебром). Фильтр с осадком помещают в предварительно прокаленный и взвешенный платиновый тигель, осторожно подсушивают, озоляют, прокаливают в муфельной печи 30-40 мин при температуре 800-850 °С до постоянной массы.
Полученный осадок обрабатывают 1-2 каплями раствора серной кислоты и 5-6 каплями фтористоводородной кислоты. Смесь выпаривают на воздушной бане досуха. Сухой остаток прокаливают снова в муфельной печи 30-40 мин при температуре 800-850 °С и после охлаждения в эксикаторе тигель с осадком сернокислого бария взвешивают.
3.12.4. Обработка результатов
Массовую долю оксида серы (X7) в процентах вычисляют по формуле
где m - масса навески, г;
m1 - масса осадка сернокислого бария, г;
x - массовая доля потерь при прокаливании (п.3.4), %;
0,343 - коэффициент пересчета массы сернокислого бария на оксид серы.
За результат анализа принимают среднее арифметическое результатов двух параллельных определений, абсолютное расхождение между которыми не превышает допускаемое, равное 0,05%.
Суммарная относительная погрешность анализа ±10% при доверительной вероятности P=0,95.
3.13. Определение массовой доли оксида серы (VI) (фотоколориметрический метод)
3.13.1. Сущность метода
Метод основан на измерении опалесценции сернокислого бария, образующегося при взаимодействии ионов бария с сульфат-ионами.
3.13.2. Реактивы, растворы, аппаратура
Колориметр фотоэлектрический по нормативно-технической документации или спектрофотометр.
Натрий сернокислый безводный по ГОСТ 4166.
Стандартный раствор, содержащий сульфат-ион, готовят по ГОСТ 4166. Перед применением соответствующим разбавлением готовят раствор концентрации 0,1 мг/см3.
барий хлористый по ГОСТ 4108.
глицерин.
кислота соляная по ГОСТ 3118.
Натрий хлористый по ГОСТ 4233.
Составной реагент, готовят следующим образом:
60 г хлористого натрия и 25 г хлористого бария растворяют в смеси 300 см3 воды и 300 см3 глицерина, добавляют 5 см3 соляной кислоты и хорошо перемешивают.
3.13.3. Проведение анализа
В мерную колбу вместимостью 100 см3 помещают 10 см3 раствора составного реагента и доводят до метки фильтратом после выделения кремниевой кислоты в соответствии с п.3.5.3 или 3.6.4. Одновременно готовят раствор сравнения, не содержащий сульфат-иона.
Через 30 мин измеряют оптическую плотность анализируемого раствора относительно раствора сравнения на фотоэлектроколориметре, пользуясь синим светофильтром с длиной волны
480-490 нм в кюветах с толщиной слоя 30 мм. По полученному значению оптической плотности, пользуясь градуировочным графиком, находят содержание сульфат-иона в миллиграммах.
3.13.4. Построение градуировочного графика
В мерные колбы вместимостью 100 см3 помещают растворы, содержащие 0,1; 0,2; 0,3; 0,4; 0,5 мг сульфат-иона, дистиллированной водой доводят объемы растворов до 25 см3 и перемешивают.
Одновременно готовят раствор сравнения, не содержащий сульфат-иона. К каждому раствору прибавляют 10 см3 составного реагента, доливают до метки водой и перемешивают.
Оптическую плотность растворов измеряют в соответствии с п.3.13.3. По полученным данным строят градуировочный график.
3.13.5. Обработка результатов
Массовую долю оксида серы (VI) (X7) в процентах вычисляют по формуле
где m1 - масса сульфата-иона, найденная по градуировочному графику, мг;
0,833 - коэффициент пересчета сульфат-иона на оксид серы (VI);
V - общий объем раствора, см3;
V1 - объем аликвотной части анализируемого раствора, взятый для фотоколориметрирования, см3;
m - масса навески, г.
За результат анализа принимают среднее арифметическое результатов двух параллельных определений, абсолютное расхождение между которыми не превышает допускаемое, равное 0,05%.
Суммарная относительная погрешность метода ±10% при доверительной вероятности P=0,95.
При разногласиях в оценке массовой доли оксида серы анализ проводят гравиметрическим методом.
3.14. Определение массовой доли оксида натрия (ацидиметрический метод)
3.14.1. Сущность метода
Метод основан на ацидиметрическом титровании раствора, полученного после многократной обработки силиката натрия горячей водой.
3.14.2. Аппаратура, реактивы, растворы
кислота соляная по ГОСТ 3118, х.ч., раствор молярной концентрации c(НСl)=0,1 моль/дм3.
Спирт этиловый ректификованный технический по ГОСТ 18300 высшего сорта.
Вода дистиллированная по ГОСТ 6709.
Метиловый оранжевый по ТУ 6-09-5171, раствор готовят по ГОСТ 4919.1.
Фенолфталеин по ТУ 6-09-5360, раствор готовят по ГОСТ 4919.1.
3.14.3. Проведение анализа
Взвешивают 0,19-0,21 г силиката натрия, помещают в стакан вместимостью 150-200 см3, обрабатывают 25 см3 нагретой до кипения водой и, прокипятив 2-3 мин, дают отстояться. После этого прозрачный раствор сливают в коническую колбу вместимостью 250 см3.
Оставшийся в стакане осадок снова обрабатывают до полного растворения небольшими порциями по 10 см3 горячей воды. Снова кипятят и сливают прозрачный раствор в ту же коническую колбу. Полноту растворения массы навески проверяют по фенолфталеину.
После охлаждения жидкость в колбе титруют раствором соляной кислоты в присутствии 3-4 капель метилового оранжевого до перехода желтой окраски в бледно-розовую.
3.14.4. Обработка результатов
Массовую долю оксида натрия (X8) в процентах вычисляют по формуле
где V - объем раствора соляной кислоты молярной концентрации c(НСl)=0,1 моль/дм3, израсходованный на титрование, см3;
m - масса навески, г;
x - массовая доля потерь при прокаливании (п.3.4), %;
0,0031 - масса оксида натрия, соответствующая 1 см3 раствора соляной кислоты молярной концентрации точно 0,1 моль/дм3, г.
За результат анализа принимают среднее арифметическое результатов двух параллельных определений, абсолютное расхождение между которыми не превышает допускаемое, равное 0,4%.
Суммарная относительная погрешность анализа ±5% при доверительной вероятности P=0,95.
3.15. Определение силикатного модуля
Силикатный модуль - отношение числа грамм-молекул диоксида кремния к числу грамм-молекул оксида натрия.
Силикатный модуль (X9) вычисляют по формуле
где X1 - массовая доля диоксида кремния (пп.3.5, 3.6 или 3.7), %;
X8 - массовая доля оксида натрия (п.3.14), %;
1,0323 - отношение молекулярной массы оксида натрия к молекулярной массе диоксида кремния.
4. ТРАНСПОРТИРОВАНИЕ И ХРАНЕНИЕ
4.1. Силикат натрия транспортируют насыпью без упаковки.
4.2. Силикат натрия транспортируют всеми видами транспорта в крытых транспортных средствах в соответствии с правилами перевозки грузов, действующими на данном виде транспорта, и техническими условиями погрузки и крепления грузов. По согласованию с потребителем силикат натрия транспортируют в полувагонах и на платформах.
4.3. Силикат натрия должен храниться в крытых помещениях с твердым покрытием пола.
5. ГАРАНТИИ ИЗГОТОВИТЕЛЯ
5.1. Изготовитель гарантирует соответствие силиката натрия требованиям настоящего стандарта при соблюдении условий транспортирования и хранения.
5.2. Гарантийный срок хранения растворимого силиката натрия - 3 мес со дня изготовления.
официальное издание
М.: Издательство стандартов, 1994