Порошок цинковый ГОСТ 12601-76
Порошок цинковый. Технические условия (с Изменениями N 1-5) ГОСТ 12601-76
ГОСТ 12601-76
Группа В56
ГОСУДАРСТВЕННЫЙ СТАНДАРТ СОЮЗА ССР
ПОРОШОК ЦИНКОВЫЙ
Технические условия
Zinc powder. Specifications
ОКП 17 2132
Дата введения 1978-01-01
ИНФОРМАЦИОННЫЕ ДАННЫЕ
1. РАЗРАБОТАН И ВНЕСЕН Министерством цветной металлургии СССР
РАЗРАБОТЧИКИ
Вохрышева Л.З., Зиновьева М.И., Бендрик А.Р., Максай Л.И., Лысенко В.И.
2. УТВЕРЖДЕН И ВВЕДЕН В ДЕЙСТВИЕ Постановлением Государственного комитета стандартов Совета Министров СССР от 27.05.76 N 1320
3. ВЗАМЕН ГОСТ 12601-67
4. ССЫЛОЧНЫЕ НОРМАТИВНО-ТЕХНИЧЕСКИЕ ДОКУМЕНТЫ
|
Обозначение НТД, на который дана ссылка |
Номер пункта, подпункта |
|
ГОСТ 12.1.004-91 |
2а.6.1 |
|
ГОСТ 12.1.005-88 |
2а.3; 2а.3.1 |
|
ГОСТ 12.1.010-76 |
2а.6.1 |
|
ГОСТ 12.1.016-79 |
2а.3.1 |
|
ГОСТ 12.3.009-76 |
2а.12 |
|
ГОСТ 12.4.009-83 |
2а.6.2 |
|
ГОСТ 12.4.021-75 |
2а.7 |
|
2а.6.4 |
|
|
ГОСТ 12.4.028-76 |
2а.11 |
|
4.3.1 |
|
|
ГОСТ 892-89 |
4.9.1 |
|
4.8.1 |
|
|
4.5.1 |
|
|
4.5.1 |
|
|
ГОСТ 2874-82 |
2а.3.2 |
|
ГОСТ 2991-85 |
5.1 |
|
4.5.1, 4.8.1 |
|
|
1.1, 4.5.1 |
|
|
4.3.1 |
|
|
4.5.1 |
|
|
4.5.1 |
|
|
4.5.1 |
|
|
4.5.1 |
|
|
ГОСТ 5037-78 |
5.1 |
|
ГОСТ 5799-78 |
5.1 |
|
4.3.1 |
|
|
ГОСТ 6613-86 |
2.2, 2.5, 4.9.1 |
|
4.3.1, 4.8.1 |
|
|
ГОСТ 10354-82 |
5.1 |
|
4.5.1 |
|
|
ГОСТ 14192-77 |
5.5 |
|
ГОСТ 15102-75 |
5.7 |
|
ГОСТ 18293-72 |
2а.3.2 |
|
ГОСТ 19251.0-79 |
4.2 |
|
ГОСТ 19251.1-79 |
4.4 |
|
ГОСТ 19251.2-79 |
4.5 |
|
ГОСТ 19251.3-79 |
4.6 |
|
ГОСТ 19251.4-79 |
4.7 |
|
ГОСТ 19251.5-79 |
4.7 |
|
ГОСТ 19251.6-79 |
4.7 |
|
ГОСТ 19433-88 |
5.5 |
|
ГОСТ 20435-75 |
5.7 |
|
4.3.1 |
|
|
4.3.1 |
|
|
ГОСТ 22397-77 |
4.10 |
|
4.5.1 |
|
|
ГОСТ 23957.1-80 |
4.5, 5.7 |
|
ГОСТ 24104-88 |
4.9.1 |
|
ГОСТ 24634-81 |
5.1 |
|
ГОСТ 25336-82 |
4.5.1, 4.8.1 |
5. Ограничение срока действия снято Постановлением Госстандарта от 27.07.92 N 776
6. ПЕРЕИЗДАНИЕ (январь 1997 г.) с Изменениями N 1, 2, 3, 4, 5, утвержденными в июле 1980 г., феврале 1984 г., январе 1988 г., октябре 1990 г., декабре 1992 г. (ИУС 4-80, 1-84, 9-87, 6-90, 10-92)
Настоящий стандарт распространяется на цинковый порошок, применяемый в электротехнической (для производства химических источников тока), химической, металлургической, фармацевтической и других отраслях промышленности, предназначенный для нужд народного хозяйства и экспорта.
(Измененная редакция, Изм. N 2, 3, 4).
1. МАРКИ
1.1. В зависимости от способа производства и гранулометрического состава цинковый порошок изготовляют двух классов:
А - мелкозернистый цинковый порошок марок ПЦ1, ПЦ2, ПЦ3, ПЦ4, изготовляемый способом ректификации;
Б - крупнозернистый цинковый порошок марок ПЦ6 и ПЦ7, изготовляемый способом распыления.
Цинковый порошок всех марок изготовляется из цинка марок ЦВ, ЦО или ЦОА по ГОСТ 3640-94.
(Измененная редакция, Изм. N 2, 3).
2. ТЕХНИЧЕСКИЕ ТРЕБОВАНИЯ
2.1. Цинковый порошок изготовляют в соответствии с требованиями настоящего стандарта по технологическому регламенту, утвержденному в установленном порядке.
Химический состав цинкового порошка должен соответствовать нормам, указанным в табл.1.
Таблица 1
|
Клас- |
Мар- |
Код ОКП |
Химический состав, % |
|||||||
|
Цинк метал- |
Примеси, не более |
|||||||||
|
Железо |
Свинец |
Кадмий |
Медь |
Олово |
Мышьяк |
Сурьма |
||||
|
А |
ПЦ1 |
17 2133 0101 10 |
96 |
0,0005 |
0,001 |
0,0015 |
0,0004 |
0,001 |
0,0005 |
0,001 |
|
ПЦ2 |
17 2133 0102 09 |
95 |
0,0005 |
0,002 |
0,002 |
0,0004 |
0,001 |
0,0005 |
0,001 |
|
|
ПЦ3 |
17 2133 0103 08 |
95 |
0,002 |
0,006 |
0,006 |
0,001 |
0,001 |
0,001 |
0,001 |
|
|
ПЦ4 |
17 2133 0104 07 |
95 |
0,007 |
0,02 |
0,05 |
0,005 |
0,001 |
0,01 |
0,02 |
|
|
Б |
ПЦ6 |
17 2133 0201 07 |
98 |
0,006 |
0,014 |
0,005 |
0,001 |
0,001 |
0,001 |
0,001 |
|
ПЦ7 |
17 2133 0202 06 |
95 |
0,006 |
0,014 |
0,005 |
0,001 |
0,001 |
0,001 |
0,001 |
|
Примечания:
1., 2. (Исключены, Изм. N 3).
3. В цинковом порошке всех марок, применяемом в фармацевтической промышленности, химической - для производства бензидина и его аналогов и для производства тиондигоидных красителей, раствор, полученный при определении нерастворимого остатка, должен быть бесцветным.
В цинковом порошке марки ПЦ4, применяемом для производства триондигоидных красителей, массовая доля меди не должна быть более 0,001%.
По согласованию изготовителя с потребителем в цинковом порошке марки ПЦ4, применяемом для производства гидросульфита натрия и ронгалита, допускается массовая доля кадмия не более 0,1%.
4. Цинковый порошок, применяемый в фармацевтической промышленности и химической - для производства ронгалита, бензидина и его аналогов и других органических красителей, должен содержать остаток, нерастворимый в соляной кислоте, разбавленной 1:1, не более 0,1%.
2.2. Гранулометрический состав цинкового порошка должен соответствовать нормам, указанным в табл.2.
Таблица 2
|
Классы |
Марки |
Гранулометрический состав, %, |
Содержание фракции - |
Массовая доля фракции - |
|||
|
Остаток на сетке по ГОСТ 6613-86 |
|||||||
|
N 016К |
N 008К |
N 0071К |
N 005К |
||||
|
А |
ПЦ1 |
- |
0,04 |
- |
1,0 |
- |
- |
|
ПЦ2 |
Без остатка |
- |
2,0 |
- |
- |
- |
|
|
ПЦ3 |
0,1 |
- |
2,5 |
- |
- |
- |
|
|
ПЦ4 |
3,0 |
- |
5,0 |
- |
- |
- |
|
|
Б |
ПЦ6 |
- |
- |
- |
- |
94 |
- |
|
ПЦ7 |
- |
- |
- |
- |
- |
90 |
|
Примечания:
1. В цинковом порошке марки ПЦ4, применяемом для производства ронгалита, остаток на сетке N 0071К должен быть не более 2%, остаток на сетке N 016К не нормируется.
2. В цинковом порошке, применяемом для производства бензидина и его аналогов, содержание остатка на сетке N 016К должно быть не более 0,1%.
3. В цинковом порошке марки ПЦ4, применяемом для производства ронгалита, удельная поверхность должна быть не менее 800 см2/г.
4. Для цинкового порошка марки ПЦ6, применяемого для термодиффузионного цинкования труб, допускается содержание фракции - 1,00+0,63 мм при просеве через сетки N 1К и N 063К не менее 80%.
(Измененная редакция, Изм. N 5).
2.3. Цинковый порошок должен быть светло-серого или серого цвета.
2.4. Цинковый порошок не должен содержать посторонних примесей (кусочков металла, керамики, изгари).
2.5. Цинковый порошок класса А не должен содержать комков, гранул, окатышей при просеве через контрольную сетку N 0315К, класса Б - через сетку N 063К по ГОСТ 6613-86 на механическом встряхивателе в соответствии с методикой, предусмотренной п.4.9 настоящего стандарта.
(Измененная редакция, Изм. N 2, 3).
2а. ТРЕБОВАНИЯ БЕЗОПАСНОСТИ
2а.1. Цинковый порошок обладает токсичными свойствами. Вид опасности - отравление. Цинковая пыль поступает в организм работающих через органы дыхания и желудочно-кишечный тракт, вызывая катары верхних дыхательных путей и желудочно-кишечные расстройства.
2а.2. (Исключен, Изм. N 5).
2а.3. Общие санитарно-гигиенические требования к воздуху рабочей зоны производственных помещений по ГОСТ 12.1.005-88.
2а.3.1. Контроль за содержанием цинка в воздухе рабочей зоны производственных помещений должен осуществляться в соответствии с требованиями ГОСТ 12.1.005-88.
Концентрацию вредных веществ в воздухе рабочей зоны определяют по методикам, соответствующим ГОСТ 12.1.016-79, или методическим указаниям, утвержденным Минздравом СССР.
(Измененная редакция, Изм. N 5).
2а.3.2. Предельно допустимая концентрация цинка (Zn2+) в питьевой воде по ГОСТ 2874-82 - 5 мг/дм3.
Анализ питьевой воды на содержание цинка (Zn2+) проводят по ГОСТ 18293-72.
2а.4. Цинковый порошок хранят в закрытой таре.
Рассыпанный цинковый порошок необходимо собрать совком в тару.
Утилизация, обезвреживание и уничтожение цинкового порошка проводят в соответствии с требованиями, утвержденными Министерством здравоохранения СССР.
2а.5. Цинковый порошок не образует более токсичных соединений в воздушной среде и сточных водах при наличии других веществ или факторов.
2а.6. Цинковый порошок пожаровзрывоопасен и относится к 4-й группе пожаровзрывоопасных веществ с температурой воспламенения 600 °С и нижним пределом взрываемости его с воздухом при концентрации 480 г/м3.
2а.6.1. Требования пожаровзрывобезопасности при работе с цинковым порошком - по ГОСТ 12.1.004-91, ГОСТ 12.1.010-76 и общим правилам безопасности для предприятий и организаций металлургической промышленности, утвержденным Госгортехнадзором СССР.
2а.6.2. Требования к номенклатуре видов пожарной техники и огнетушащих средств - по ГОСТ 12.4.009-83.
2а.6.3. В бункерном отделении следует пользоваться светильниками напряжением не более 12 В.
2а.6.4. В местах работы с цинковым порошком должны быть установлены знаки безопасности по ГОСТ 12.4.026-76*.
______________
* На территории Российской Федерации действует ГОСТ Р 12.4.026-2001
2а.7. Производственные помещения и лаборатории, в которых производятся работы с цинковым порошком, должны быть оборудованы приточно-вытяжной вентиляцией по ГОСТ 12.4.021-75.
2а.8. Выгрузку цинкового порошка из тары и транспортирование его при помощи пневмотранспорта необходимо проводить в соответствии с "Общими правилами взрывобезопасности для взрывопожароопасных химических, нефтехимических и нефтеперерабатывающих производств", утвержденными Госгортехнадзором СССР.
2а.7, 2а.8. (Измененная редакция, Изм. N 5).
2а.9, 2а.10. (Исключены, Изм. N 5).
2а.11. Все работы с цинковым порошком необходимо выполнять в респираторе типа "Лепесток" по ГОСТ 12.4.028-76, в сухой исправной спецодежде и предохранительных приспособлениях согласно "Типовым отраслевым нормам бесплатной выдачи рабочим и служащим специальной обуви и других средств индивидуальной защиты".
2a.11. (Измененная редакция, Изм. N 5).
2а.12. Требования безопасности при погрузочно-разгрузочных работах - по ГОСТ 12.3.009-76.
2а.13. Транспортирование цинкового порошка не допускается вместе с горючими веществами, кислотами и щелочами.
Разд.2а. (Введен дополнительно, Изм. N 2).
3. ПРАВИЛА ПРИЕМКИ
3.1. Цинковый порошок принимают партиями.
Партия должна состоять из порошка одной марки и оформлена одним документом о качестве, содержащим:
товарный знак или товарный знак и наименование предприятия-изготовителя;
наименование порошка и его марку;
номер партии и количество мест в партии;
массу партии (брутто и нетто, кг);
результаты испытаний на соответствие требованиям пп.2.1-2.5;
дату изготовления;
обозначение настоящего стандарта.
(Измененная редакция, Изм. N 2, 3).
3.2. Проверку химического и гранулометрического состава цинкового порошка всех марок, упакованного в специальные контейнеры, и порошка марок ПЦ1, ПЦ2 и ПЦ3, упакованного в барабаны, проводят на каждой единице продукции партии.
Для проверки химического и гранулометрического состава цинкового порошка марок ПЦ6 и ПЦ7, упакованного во фляги и мешочки, от партии отбирают каждую пятую единицу продукции.
Массовые доли меди, олова, мышьяка, сурьмы в цинковом порошке марок ПЦ1, ПЦ2, ПЦ3, ПЦ4 и массовые доли железа, свинца, кадмия, меди, олова, мышьяка и сурьмы марок ПЦ6, ПЦ7 определяются периодически 1 раз в месяц.
Проверку удельной поверхности цинкового порошка марки ПЦ4 для производства ронгалита проводят в каждой второй партии на каждой единице продукции партии.
(Измененная редакция, Изм. N 3, 4).
3.3. Проверку внешнего вида цинкового порошка, а также отсутствие посторонних примесей производят на всей продукции партии.
3.4. При получении неудовлетворительных результатов анализа хотя бы по одному из показателей по нему проводят повторный анализ на удвоенном количестве проб, взятых от партии. Результаты повторного анализа распространяются на всю партию.
4. МЕТОДЫ ИСПЫТАНИЙ
4.1. Отбор и подготовка проб
4.1.1. Из каждой емкости (контейнера, барабана, мешочка и фляги) щупом или трубкой из нержавеющей стали, титана или алюминия длиной 80 см, диаметром 10-15 мм отбирают разовую пробу на всей глубине.
Конструкция щупа должна обеспечивать отбор порошка по всей высоте единицы упаковки.
Пробу из контейнера отбирают в двух точках, расположенных на расстоянии 30 см друг от друга.
Пробу из барабанов, фляг и мешочков отбирают в одной точке.
Масса пробы, отобранной из контейнера, не должна быть менее 1 кг, из барабана и фляги - менее 200 г, из мешочка - менее 100 г.
(Измененная редакция, Изм. N 2, 3).
4.1.2. Изготовителю разрешается отбирать разовые пробы механическим или автоматическим пробоотборником в потоке при упаковывании цинкового порошка в тару.
4.1.3. Отобранные пробы объединяют и тщательно перемешивают. Масса средней пробы должна быть 1 кг. При массе средней пробы более 1 кг ее квартованием сокращают до массы 1 кг.
4.1.4. Среднюю пробу делят на две части, одну из которых подвергают испытаниям, а другую упаковывают в герметичную тару, на которую наносят марку порошка, номер партии и дату отбора пробы, и хранят в течение трех месяцев на случай разногласия в оценке качества.
4.2. Общие требования к методам химического анализа - по ГОСТ 19251.0-79 со следующими дополнениями.
4.2.1. Для определения химического состава цинкового порошка марок ПЦ1 и ПЦ2 применяют реактивы по степени чистоты не ниже х.ч., марок ПЦ3, ПЦ4, ПЦ5, ПЦ6 и ПЦ7 - не ниже ч.д.а.
(Измененная редакция, Изм. N 2).
4.3. Определение металлического цинка в цинковом порошке методом фазового химического анализа.
Метод основан на извлечении металлического цинка селективным растворителем и последующем перманганатометрическом определении его в диапазоне массовых долей 92-98%.
(Измененная редакция, Изм. N 3).
4.3.1. Реактивы и растворы
Кислота щавелевая по ГОСТ 22180-76, 0,1 н. раствор, фиксанал.
Кислота серная по ГОСТ 4204-77, разбавленная 1:3 и 1:20 (по объему).
Кислота ортофосфорная по ГОСТ 6552-80.
Калий марганцовокислый по ГОСТ 20490-75, 0,1 н. раствор.
Установка коэффициента нормальности
Отбирают пипеткой 25 см3 раствора щавелевой кислоты, помещают в коническую колбу вместимостью 250 см3, добавляют 25 см3 серной кислоты, разбавленной 1:3, примерно 100 см3 воды и нагревают раствор до 70 °С, после чего титруют раствором марганцовокислого калия.
Коэффициент нормальности (K) вычисляют по формуле
где v - количество раствора щавелевой кислоты, см3;
v1 - количество раствора марганцовокислого калия, израсходованное на титрование, см3.
Квасцы железоаммонийные по ТУ 6-09-5359-88.
Натрий уксуснокислый по ГОСТ 199-78.
Вода дистиллированная по ГОСТ 6709-72-->ГОСТ 6709-72.
Селективный растворитель металлического цинка с рН 2,4-2,6; готовят следующим образом: 400 г железоаммонийных квасцов растворяют в 1 дм3 воды, прибавляют 150 г уксуснокислого натрия, растворяют и фильтруют.
4.3.2. Проведение анализа
Для порошка марок ПЦ1, ПЦ2, ПЦ3, ПЦ6, ПЦ7.
0,15 г цинкового порошка взвешивают с погрешностью не более 0,0002 г, помещают в коническую колбу с пробкой вместимостью 500 см3, прибавляют 50 см3 селективного растворителя и непрерывно встряхивают содержимое колбы на механическом вибраторе до полного растворения цинкового порошка (40 мин). Затем к раствору приливают 200 см3 серной кислоты, разбавленной 1:20, 5 см3 фосфорной кислоты для получения более четкого титрования и титруют раствором марганцовокислого калия до появления неисчезающего в течение 2 мин слабо-розового окрашивания.
Для порошка марок ПЦ4 и ПЦ5
1 г цинкового порошка взвешивают с погрешностью не более 0,0002 г, помещают в коническую колбу вместимостью 500 см3, прибавляют 100 см3 селективного растворителя и непрерывно встряхивают содержимое колбы в течение 40 мин. Затем, обмывая стенки колбы, прибавляют еще 75 см3 селективного растворителя и продолжают перемешивать 20 мин. Затем весь раствор переводят в мерную колбу вместимостью 200 см3 и доводят до метки водой. Для титрования отбирают пипеткой 20 см3 раствора в колбу вместимостью 500 см3, приливают 200 см3 серной кислоты, разбавленной 1:20, 5 см3 фосфорной кислоты для более четкого титрования и титруют раствором марганцовокислого калия до появления неисчезающего в течение 2 мин слабо-розового окрашивания.
Одновременно проводят контрольный опыт в тех же условиях, с тем же количеством реактивов.
4.3.3. Обработка результатов
Массовую долю металлического цинка (X) в процентах вычисляют по формуле
где v2 - количество раствора марганцовокислого калия, израсходованное на титрование, см3;
v3 - количество раствора марганцовокислого калия, израсходованное на титрование раствора контрольного опыта, см3;
K - коэффициент нормальности раствора марганцовокислого калия;
0,003269 - количество цинка, соответствующее 1 см3 точно 0,1 н. раствора марганцовокислого калия, г;
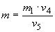
m - масса навески цинкового порошка, г, которую для порошка марок ПЦ4, ПЦ5 вычисляют по формуле
где m1 - масса исходной навески цинкового порошка, г;
v4 - количество аликвотной части, взятой из мерной колбы, см3;
v5 - вместимость мерной колбы, см.
За результаты анализа принимают среднее арифметическое результатов трех параллельных определений, допускаемые расхождения между которыми не должны превышать при анализе цинкового порошка класса А - 1 абс.%, класса Б - 0,8 абс.% (P=0,95).
4.4. Определение массовой доли железа проводят по ГОСТ 19251.1-79.
При фотометрическом определении от 0,0003 до 0,001% железа берут навеску цинкового порошка массой 2 г, разлагают в 20 см3 азотной кислоты, разбавленной 1:1, выпаривают до объема 8-10 см3. Переносят раствор в мерную колбу вместимостью 50 см3 и далее ведут анализ по ГОСТ 19251.1-79.
Градуировочный график строят в диапазоне концентраций 5-50 мкг железа в 50 см3 раствора.
При атомно-абсорбционном определении от 0,0004 до 0,001% железа берут навеску цинкового порошка массой 5 г и готовят градуировочные растворы с массовой концентрацией железа 0,20; 0,5 и 1,0 мкг/см3 на основе раствора цинка (массовая концентрация цинка должна быть 50 г/дм3). При расчете массовой доли железа необходимо учесть загрязнение, вносимое раствором цинка в градуировочные растворы железа.
Допускаемые расхождения результатов параллельных определений не должны превышать 0,0002% в диапазоне массовых долей 0,0003-0,001%.
4.5. Определение массовых долей свинца и кадмия проводят по ГОСТ 19251.2-79 или ГОСТ 23957.1-80*.
________________
* На территории Российской Федерации действует ГОСТ 23957.1-2003.
Для атомно-абсорбционного определения от 0,0008 до 0,002% свинца берут навеску цинкового порошка массой 5 г и готовят градуировочные растворы с массовой концентрацией свинца 0,4; 1,0 и 2,0 мкг/см3 на основе раствора цинка (массовая концентрация цинка должна быть 50 г/дм3).
При расчете массовой доли свинца необходимо учесть загрязнение, вносимое раствором цинка в градуировочные растворы свинца.
4.4, 4.5. (Измененная редакция, Изм. N 3).
4.5.1. Аппаратура и реактивы
Полярограф осциллографический постоянного тока или полярограф переменного тока.
Воронки фильтрующие типа ВФ-1-32-ПОР 100 ТХС или ВФ-1-40-ПОР 100 ТХС по ГОСТ 25336-82.
Водорода перекись по ГОСТ 10929-76, 30%-ный раствор.
кислота соляная по ГОСТ 3118-77, разбавленная 2:1 и 1:3.
Кислота бромистоводородная по ГОСТ 2062-77.
Кислота азотная по ГОСТ 4461-77, разбавленная 1:3.
Кадмий марки КдО по ГОСТ 1467-93.
Натрий хлористый по ГОСТ 4233-77.
гидразин солянокислый.
Фоновый электролит; готовят следующим образом: в склянку вместимостью 1 дм3 помещают 200 г хлористого натрия, 5 г солянокислого гидразина, приливают 10 см3 соляной кислоты, разбавляют до объема 1 дм3 водой и перемешивают.
Ртуть по ГОСТ 4658-73.
Свинец марки С00 по ГОСТ 22861-93.
Хлоридный раствор; готовят как и фоновый электролит, не добавляя солянокислый гидразин.
Стандартный раствор А; готовят следующим образом: навеску массой 0,2 г мелко нарезанного свинца и навеску массой 1 г кадмия помещают в стакан вместимостью 1 дм3, растворяют при нагревании в 30 см3 азотной кислоты, разбавленной 1:3, и выпаривают до влажного остатка. Прибавляют 10 см3 соляной кислоты и снова выпаривают почти досуха. Выпаривание с 10 см3 соляной кислоты повторяют еще два раза. К остатку прибавляют 600 см3 хлоридного раствора, нагревают до растворения солей, охлаждают, переводят в мерную колбу вместимостью 1 дм3, разбавляют до метки этим же раствором и перемешивают.
1 см3 стандартного раствора А содержит 0,2 мг свинца и 1 кг* кадмия.
Стандартный раствор Б; готовят следующим образом: 0,1 г мелко нарезанного свинца и 0,1 г кадмия помещают в коническую колбу вместимостью 250 см3, растворяют при нагревании в 20 см3 азотной кислоты, разбавленной 1:3, и далее поступают, как указано в п. 4.5.1 при приготовлении стандартного раствора А свинца и кадмия. Раствор разбавляют в мерной колбе вместимостью 1 дм3 хлоридным раствором.
1 см3 стандартного раствора Б содержит 0,1 мг свинца и 0,1 мг кадмия.
цинк хлористый по ГОСТ 4529-78, безводный.
Цинк марки ЦВ или Ц0 по ГОСТ 3640-94 в виде стружки или порошка.
Цинковый раствор с содержанием 200 г/дм3 цинка; готовят из безводной соли хлористого цинка или из цинка.
Цинковый раствор из хлористой соли; готовят следующим образом: 750 г соли хлористого цинка растворяют при перемешивании в 500 см3 воды, соблюдая осторожность (раствор сильно разогревается), прибавляют 20 см3 соляной кислоты, 35-40 г металлического цинка и перемешивают в течение 30 мин (очистка от примесей свинца и кадмия). Раствор фильтруют через фильтрующую воронку, на которую добавляют около 2 г порошка цинка без создания разрежения. Фильтрат собирают в полиэтиленовую бутыль вместимостью 2 дм3. После этого 5 см3 фильтрата выпаривают, как указано в п.4.5.2, и определяют свинец и кадмий. При наличии этих элементов в растворе фильтрат переливают в колбу, в которой проводили цементацию примесей, прибавляют 10 см3 соляной кислоты и очистку цинком повторяют. После очистки и фильтрования цинковый раствор разбавляют водой до объема 2 дм3 и перемешивают.
Цинковый раствор из металла; готовят следующим образом: 400 г металлического цинка помещают в колбу вместимостью 3 дм3 и растворяют вначале в 50 см3 соляной кислоты, разбавленной 2:1, а затем по мере снижения скорости растворения цинка добавляют порциями по 25-30 см3 концентрированную соляную кислоту при частом перемешивании. После того, как на дне колбы останется около 25-30 г цинка, прибавляют 25-30 г порошка цинка, 20 см3 соляной кислоты и продолжают очистку до растворения, примерно, половины цинка. Раствор фильтруют и проверяют на чистоту, как указано выше. Фильтрат разбавляют до объема 2 дм3 водой.
Градуировочные растворы свинца и кадмия; готовят следующим образом: в 19 конических колб вместимостью по 100 см3 отмеривают в соответствии с табл.3 стандартные растворы А и Б и выпаривают цинковый раствор до получения кристаллов хлористого цинка. Затем приливают по 45-50 см3 фонового электролита, нагревают до растворения соли, охлаждают, количественно переводят в мерные колбы вместимостью 200 см3, разбавляют до метки фоновым электролитом и перемешивают.
Таблица 3
|
Номер градуировочного раствора |
Количество раствора хлористого цинка, см3 |
Количество стандартного раствора, см3 |
Массовая доля в градуировочном растворе, см3 |
||
|
А |
Б |
свинца |
кадмия |
||
|
1 |
20* |
- |
- |
- |
- |
|
2 |
20* |
- |
0,5 |
0,25 |
0,25 |
|
3 |
20* |
- |
1 |
0,50 |
0,50 |
|
4 |
20* |
- |
2 |
1 |
1 |
|
5 |
10 |
- |
- |
- |
- |
|
6 |
10 |
- |
4 |
2 |
2 |
|
7 |
10 |
- |
6 |
3 |
3 |
|
8 |
10 |
- |
8 |
4 |
4 |
|
9 |
10 |
- |
10 |
5 |
5 |
|
10 |
10 |
- |
12 |
6 |
6 |
|
11 |
10 |
- |
16 |
8 |
8 |
|
12 |
10 |
- |
20 |
10 |
10 |
|
13 |
10 |
- |
25 |
12,5 |
12,5 |
|
14 |
5 |
- |
- |
- |
- |
|
15 |
5 |
5 |
- |
5 |
25 |
|
16 |
5 |
10 |
- |
10 |
50 |
|
17 |
5 |
15 |
- |
15 |
75 |
|
18 |
5 |
20 |
- |
20 |
100 |
|
19 |
5 |
25 |
- |
25 |
125 |
________________
* При определении 0,0005%-ных массовых долей свинца и кадмия (навески массами 2 или 2,5 г, разбавление раствора пробы 50 см3) в градуировочные растворы 1-4 в процессе их приготовления вводят соответственно 40 или 50 см3 цинкового раствора.
Массовая доля свинца и кадмия в градуировочных растворах указана в табл.3.
При анализе цинкового порошка марок ПЦ1 и ПЦ2 применяют градуировочные растворы 1-4, марок ПЦ3, ПЦ6 и ПЦ7 - градуировочные растворы 5-13, марок ПЦ4 и ПЦ5 - градуировочные растворы 14-19. Градуировочные растворы 1, 5, 14 служат для проведения контрольного опыта.
4.5.2. Проведение анализа
В коническую колбу вместимостью 100-250 см3 помещают навеску цинкового порошка (табл.4), прибавляют небольшими порциями соляную кислоту, разбавленную 2:1, и ведут растворение вначале на холоде, а затем при нагревании. В конце растворения прибавляют около 0,5 см3 перекиси водорода и выпаривают до объема 8-10 см3. Приливают 5 см3 бромистоводородной кислоты и продолжают выпаривать до кристаллизации соли хлористого цинка.
Таблица 4
|
Марки |
Навеска пробы, г |
Количество соляной кислоты, см3 |
Вместимость мерной колбы, см3 |
|
ПЦ1 и ПЦ2 |
1-2,5 |
20-60 |
50 |
|
ПЦ3, ПЦ6 и ПЦ7 |
1 |
20 |
100 |
|
ПЦ4 и ПЦ5 |
0,5 |
15 |
100 |
Одновременно с этим проводят контрольные опыты следующим образом: в четыре конические колбы вместимостью по 100 см3 отмеривают соответственно в каждую 2,5 см3 (навеска массой 0,5 г), 5 см3 (навеска массой 1 г), 10 см3 (навеска массой 2 г), 12,5 см3 (навеска массой 2,5 г) раствора хлористого цинка, приливают соответственно 20 см3 соляной кислоты, разбавленной 2:1, добавляют по 0,5 см3 перекиси водорода и выпаривают до объема 8-10 см3. Затем приливают 5 см3 бромистоводородной кислоты и продолжают выпаривание до кристаллизации соли хлористого цинка. К остатку приливают 25 или 50 см3 фонового электролита, нагревают до растворения солей, охлаждают и переводят в мерную колбу вместимостью 50 или 100 см3 (см. табл.4).
Раствор пробы и раствор контрольного опыта заливают в электролизер и полярографируют свинец и кадмий соответственно при потенциалах пиков от минус 0,45 до минус 0,65 В по отношению к насыщенному каломельному электроду с применением осциллографического полярографа при начальном напряжении минус 0,30 В, конечном - минус 0,9 В, скорости напряжения 0,25-0,5 В/с, периоде капания ртути 4-6 с, задержке 3-5 с, схеме "дифференциальное - 2-3" и оптимальных значениях диапазона тока. В аналогичных условиях полярографируют градуировочные растворы. Полярографирование с применением полярографа переменного тока проводят при периоде капания ртути из капилляра 1-2,5 с и оптимальных значениях диапазона тока.
Из высот волн определяемых элементов вычитают значения высот волн контрольного опыта и производят расчет результатов анализа свинца и кадмия.
4.5.3. Обработка результатов
Массовую долю свинца или кадмия (X1) в процентах вычисляют по формуле
где H - высота волны определяемого элемента испытуемого раствора пробы, мм;
V - объем раствора исходной пробы, см3;
m - масса пробы, г;
K - отношение высоты волны элемента к его концентрации в градуировочном растворе, мм·мг/дм3.
Допускаемые расхождения между крайними результатами анализа не должны превышать величин, указанных в табл.5.
Таблица 5
4.6. Массовую долю меди определяют по ГОСТ 19251.3-79.
Для фотометрического определения от 0,0003 до 0,0005% меди берут навеску цинкового порошка массой 2 г и определение ведут из всей навески.
Для атомно-абсорбционного определения от 0,0003 до 0,0005% меди берут навеску цинкового порошка массой 5 г и готовят градуировочные растворы с массовой концентрацией меди 0,125; 0,25 и 0,5 мкг/см на основе раствора цинка (массовая концентрация цинка должна быть 50 г/дм3).
При расчете массовой доли меди необходимо учесть загрязнение, вносимое раствором цинка в градуировочные растворы меди.
(Измененная редакция, Изм. N 3).
4.7. Массовую долю олова, мышьяка и сурьмы определяют по ГОСТ 19251.4-79 - ГОСТ 19251.6-79.
4.8. Определение массовой доли остатка, нерастворимого в разбавленной 1:1 соляной кислоте
4.8.1. Реактивы, растворы и приборы
Вода дистиллированная по ГОСТ 6709-72-->ГОСТ 6709-72.
кислота соляная по ГОСТ 3118-77, разбавленная 1:1.
Тигель фильтрующий по ГОСТ 25336-82, ТФ-40-ПОР 100 ХС или ТФ-32-ПОР 100 ХС.
Серебро азотнокислое по ГОСТ 1277-75, 1,5%-ный раствор.
(Измененная редакция, Изм. N 2).
4.8.2. Проведение анализа
Навеску цинкового порошка массой 10 г взвешивают с погрешностью не более 0,01 г, помещают в коническую колбу вместимостью 250 см3, прибавляют 120 см3 соляной кислоты, закрывают горлышко колбы часовым стеклом или стеклянным шариком и кипятят до растворения цинка (15-60 мин). Раствор охлаждают и фильтруют через предварительно высушенный при температуре (105±2) °С до постоянной массы стеклянный тигель с пористым дном. Остаток на фильтре и колбу промывают дистиллированной водой до отрицательной реакции на хлорид-ион в промывных водах (проба с раствором азотнокислого серебра). Тигель с остатком высушивают при 105±2 °C до постоянной массы.
4.8.3. Обработка результатов
Массовую долю остатка, нерастворимого в соляной кислоте, (X2) в процентах вычисляют по формуле
где m - масса навески цинкового порошка, г;
m1 - масса нерастворимого сухого остатка, г.
За результат анализа принимают среднее арифметическое результатов двух параллельных определений, допускаемые расхождения между которыми не должны превышать 0,015 абс.% (P=0,95).
4.9. Определение гранулометрического состава и наличия комков, гранул и окатышей
4.9.1. Аппаратура
Сетки N 063К, 0315К, 016К, 008К, 0071К и 005К по ГОСТ 6613-86.
Набор сит с сетками, с крышкой и поддоном. Сита должны быть круглыми с размерами, не менее: диаметр 100 мм, глубина 25 мм, высота обечайки 40 мм.
Механический встряхиватель марки 162Т-ГР или типа "Ротап". Допускается применять другие типы механических встряхивателей с частотой вращения (300±15) об/мин и при одновременном встряхивании с равномерной частотой 180±10 в минуту.
Весы лабораторные рычажные по ГОСТ 24104-88* или любого другого типа с погрешностью взвешивания не более 0,001 г.
________________
* Действует ГОСТ 24104-2001.
Калька по ГОСТ 892-89.
(Измененная редакция, Изм. N 2, 3).
4.9.2. Проведение анализа
Сухие и чистые сита укладывают по возрастающему размеру ячеек одно над другим; поддон помещают под нижним ситом.
Навеску массой 100 г, взвешенную с погрешностью не более 0,1 г, высыпают на верхнее сито и закрывают его крышкой.
Приготовленный таким образом набор сит помещают на встряхиватель и включают его. Время рассева 20 мин.
По окончании рассева отдельные фракции высыпают из сит, начиная с сита с большими ячейками. Содержимое на сите осторожно встряхивают на одну сторону и пересыпают на кальку или в стеклянные взвешенные бюксы при легком постукивании по стенке сита. Полученную фракцию взвешивают с погрешностью не более 0,001 г.
Такую операцию повторяют для каждого сита и поддона. Масса всех фракций в сумме должна составлять не менее 99% массы испытуемой пробы.
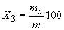
4.9.3. Обработка результатов
Содержимое отдельной фракции (X3) в процентах вычисляют с относительной погрешностью до 0,1% по формуле
где mn - масса данной фракции, г;
m - масса испытуемой пробы, г.
4.10. Допускается определять химический состав цинкового порошка спектральным методом по ГОСТ 22397-77.
(Измененная редакция, Изм. N 2).
4.11. Цвет цинкового порошка проверяют сравнением с образцами, согласованными изготовителем с потребителем.
4.12. Контроль на отсутствие посторонних примесей проводят внешним осмотром.
4.13. Удельная поверхность цинкового порошка определяется по методике, согласованной между изготовителем и потребителем.
(Введен дополнительно, Изм. N 3).
5. УПАКОВКА, МАРКИРОВКА, ТРАНСПОРТИРОВАНИЕ И ХРАНЕНИЕ
5.1. Цинковый порошок упаковывают в специальную герметичную тару: металлические контейнеры (черт.1), барабаны (черт.2), изготовленные по нормативно-технической документации, и фляги по ГОСТ 5799-78 типа ФС или ФСЦ или ГОСТ 5037-78 типа ФА или ФЛ.
Черт.1
Черт.2
Цинковый порошок для производства химических источников тока упаковывают в оцинкованные металлические барабаны (черт.2) с пропаянными швами или оцинкованные фляги по ГОСТ 5799-78 или ГОСТ 5037-78. По согласованию с потребителем допускается упаковывать цинковый порошок в неоцинкованные металлические барабаны (черт.2) и фляги по ГОСТ 5799-78 или ГОСТ 5037-78, обеспечивающие герметичность упаковывания и сохранность продукции.
Цинковый порошок, предназначенный для экспорта, упаковывают в мешочки из полиэтилена по ГОСТ 10354-82 с последующей укладкой заваренных мешочков в деревянные ящики по ГОСТ 24634-81 или ГОСТ 2991-85.
(Измененная редакция, Изм. N 3, 5).
5.2. Тара для упаковывания цинкового порошка заполняется доверху, чтобы над поверхностью порошка оставалось как можно меньше воздуха.
Может быть применена возвратная тара по нормативно-технической документации.
5.3. Масса брутто цинкового порошка в контейнере не должна быть более 1500 кг, в барабанах - 65 кг, флягах - 100 кг, полиэтиленовых мешочках - 15 кг. Вместимость контейнера должна составлять 0,36 м3, барабана - 0,01-0,015 м3, фляги - 0,03 м3, 0,04 м3.
5.2, 5.3. (Измененная редакция, Изм. N 2, 3).
5.4. Не допускается заливка крышек тары битумом или другим органическим веществом, которое может попасть в цинковый порошок при раскупорке.
5.5. Транспортная маркировка по ГОСТ 14192-77* с нанесением манипуляционного знака "Беречь от влаги".
________________
* Действует ГОСТ 14192-96.
Маркировка, характеризующая транспортную опасность груза, по ГОСТ 19433-88 с нанесением знака опасности (черт.4в/4б), классификационного шифра группы 4372, серийного номера ООН 1436 и транспортного наименования груза - "цинк порошок".
(Измененная редакция, Изм. N 5).
5.6. (Исключен, Изм. N 2).
5.7. Цинковый порошок, упакованный в специальные контейнеры, транспортируют железнодорожным, речным и морским транспортом в крытых транспортных средствах в соответствии с правилами перевозок опасных грузов, действующими на транспорте данного вида.
Цинковый порошок в барабанах и флягах, дополнительно помещенных в универсальные металлические контейнеры по ГОСТ 20435-75 или ГОСТ 15102-75, транспортируют на открытом подвижном составе, автомобилях, речных и морских судах.
(Измененная редакция, Изм. N 3).
5.8. Цинковый порошок хранят в упаковке изготовителя в крытых складских помещениях при отсутствии кислот, щелочей и других агрессивных веществ.
Порошок, упакованный в контейнеры, допускается хранить под навесом.
(Измененная редакция, Изм. N 2).
6. ГАРАНТИИ ИЗГОТОВИТЕЛЯ
6.1. Изготовитель должен гарантировать соответствие цинкового порошка требованиям настоящего стандарта при соблюдении потребителем условий транспортирования и хранения, установленных стандартом.
6.2. Гарантийный срок хранения цинкового порошка устанавливается шесть месяцев с момента изготовления.
(Измененная редакция, Изм. N 2, 3, 4).
Разд.7 (Исключен, Изм. N 2).
Приложение (Исключено, Изм. N 3).
официальное издание
М.: ИПК Издательство стандартов, 1997
